Постановление Правительства РФ от 10.08.2020 N 1206

"Об утверждении Правил предоставления субсидий из федерального бюджета производителям станкоинструментальной продукции в целях предоставления покупателям скидки при приобретении такой продукции"
Редакция от 10.08.2020 — Документ утратил силу, см. «Постановление Правительства РФ от 18.09.2024 N 1275»
Показать изменения

ПРАВИТЕЛЬСТВО РОССИЙСКОЙ ФЕДЕРАЦИИ

ПОСТАНОВЛЕНИЕ
от 10 августа 2020 г. N 1206

ОБ УТВЕРЖДЕНИИ ПРАВИЛ ПРЕДОСТАВЛЕНИЯ СУБСИДИЙ ИЗ ФЕДЕРАЛЬНОГО БЮДЖЕТА ПРОИЗВОДИТЕЛЯМ СТАНКОИНСТРУМЕНТАЛЬНОЙ ПРОДУКЦИИ В ЦЕЛЯХ ПРЕДОСТАВЛЕНИЯ ПОКУПАТЕЛЯМ СКИДКИ ПРИ ПРИОБРЕТЕНИИ ТАКОЙ ПРОДУКЦИИ

Правительство Российской Федерации постановляет:

Утвердить прилагаемые Правила предоставления субсидий из федерального бюджета производителям станкоинструментальной продукции в целях предоставления покупателям скидки при приобретении такой продукции.

Председатель Правительства
Российской Федерации
М. МИШУСТИН

УТВЕРЖДЕНЫ
постановлением Правительства
Российской Федерации
от 10 августа 2020 г. N 1206

ПРАВИЛА ПРЕДОСТАВЛЕНИЯ СУБСИДИЙ ИЗ ФЕДЕРАЛЬНОГО БЮДЖЕТА ПРОИЗВОДИТЕЛЯМ СТАНКОИНСТРУМЕНТАЛЬНОЙ ПРОДУКЦИИ В ЦЕЛЯХ ПРЕДОСТАВЛЕНИЯ ПОКУПАТЕЛЯМ СКИДКИ ПРИ ПРИОБРЕТЕНИИ ТАКОЙ ПРОДУКЦИИ

1. Настоящие Правила устанавливают цели, условия и порядок предоставления субсидий из федерального бюджета производителям станкоинструментальной продукции в целях предоставления покупателям скидки при приобретении такой продукции (далее соответственно - производители, продукция, субсидия).

Субсидия предоставляется в рамках подпрограммы "Развитие производства средств производства" государственной программы Российской Федерации "Развитие промышленности и повышение ее конкурентоспособности" в целях достижения показателя "Объем отгруженных товаров собственного производства, выполненных работ, услуг собственными силами (в отраслях производства средств производства)", установленного указанной подпрограммой.

2. Понятия, используемые в настоящих Правилах, означают следующее:

"дата поставки продукции" - дата подписания производителем (продавцом) и покупателем акта приема-передачи продукции;

"дилерский договор" - договор поставки продукции, заключенный производителем с продавцом и продавцом (продавцами) с продавцом (продавцами) (при наличии);

"договор о реализации" - договор о реализации продукции (дополнительное соглашение, приложение и (или) спецификация к нему), заключенный между производителем (продавцом) и покупателем;

"квалификационный отбор" - отбор производителей, которые соответствуют требованиям, установленным настоящими Правилами;

"покупатель" - юридическое или физическое лицо, приобретающее или принимающее продукцию для собственного использования в соответствии с ее назначением;

"продавец" - юридическое или физическое лицо, реализующее или передающее во временное владение и в пользование покупателям продукцию производителя;

"продукция" - станкоинструментальная продукция, соответствующая требованиям, установленным пунктом 4 настоящих Правил;

"производитель" - субъект деятельности в сфере промышленности, получивший заключение о подтверждении производства промышленной продукции на территории Российской Федерации в соответствии с постановлением Правительства Российской Федерации от 17 июля 2015 г. N 719 "О подтверждении производства промышленной продукции на территории Российской Федерации" (далее - заключение о подтверждении производства промышленной продукции) либо владеющий не менее 70 процентами акций (долей) в уставном капитале субъектов деятельности в сфере промышленности, получивших заключение о подтверждении производства промышленной продукции;

"проект реестра получателей субсидии" - перечень производителей, прошедших квалификационный отбор в соответствии с настоящими Правилами, с которыми в соответствующем финансовом году может быть заключено соглашение о предоставлении субсидии;

"реестр получателей субсидии" - перечень производителей, прошедших квалификационный отбор в соответствии с настоящими Правилами, с которыми в соответствующем финансовом году заключено соглашение о предоставлении субсидии, содержащий размер субсидии на соответствующий финансовый год, результат предоставления субсидии и показатель, необходимый для достижения результата предоставления субсидии, в отношении каждого производителя.

3. Результатом предоставления субсидии является достижение стоимостного объема реализации продукции, заявленного производителем (с учетом налога на добавленную стоимость) на соответствующий финансовый год.

Показателем, необходимым для достижения результата предоставления субсидии, является отношение стоимостного объема реализации продукции производителем (с учетом налога на добавленную стоимость) в соответствующем финансовом году к размеру субсидии, предоставляемой производителю в соответствующем финансовом году в отношении этого вида продукции.

4. Право на получение субсидии имеет производитель, включенный в реестр получателей субсидии и имеющий заключение о подтверждении производства промышленной продукции в отношении следующей продукции:

а) оборудование металлообрабатывающее (классифицируется в соответствии с Общероссийским классификатором продукции по видам экономической деятельности (ОКПД2) кодами 28.41.1, 28.41.2, 28.41.3);

б) управляющий программно-аппаратный комплекс, шпиндели, линейные направляющие, шарико-винтовые передачи, инструментальные магазины и инструментальные головки (код ОКПД2 из 28.41.4);

в) инструмент ручной прочий (код ОКПД2 25.73.30);

г) инструменты рабочие сменные для станков или для ручного инструмента (с механическим приводом или без него) (код ОКПД2 25.73.4);

д) инструменты ручные электрические и инструменты ручные прочие с механизированным приводом (код ОКПД2 28.24.1);

е) оправки для крепления инструмента (код ОКПД2 28.49.2);

ж) аддитивное оборудование (коды ОКПД2 28.96.10.121, 28.96.10.122, 28.96.10.123, 28.96.10.129, 28.41.34.100, 28.41.34.110, 28.41.34.120, 28.41.34.190);

з) станки для обработки камня, дерева и аналогичных твердых материалов (код ОКПД2 28.49.1).

5. Производитель по состоянию на дату не ранее чем за 30 календарных дней до дня подачи заявления об участии в квалификационном отборе должен соответствовать следующим требованиям:

а) у производителя отсутствует неисполненная обязанность по уплате налогов, сборов, страховых взносов, пеней, штрафов и процентов, подлежащих уплате в соответствии с законодательством Российской Федерации о налогах и сборах;

б) у производителя отсутствуют просроченная задолженность по возврату в федеральный бюджет субсидий, бюджетных инвестиций, предоставленных в том числе в соответствии с иными правовыми актами, и иная просроченная задолженность перед федеральным бюджетом;

в) производитель не находится в процессе реорганизации, ликвидации, в отношении его не введена процедура банкротства, деятельность производителя не приостановлена в порядке, предусмотренном законодательством Российской Федерации;

г) производитель не является иностранным юридическим лицом, а также российским юридическим лицом, в уставном (складочном) капитале которого доля участия иностранных юридических лиц, местом регистрации которых является государство или территория, включенные в утверждаемый Министерством финансов Российской Федерации перечень государств и территорий, предоставляющих льготный налоговый режим налогообложения и (или) не предусматривающих раскрытия и предоставления информации при проведении финансовых операций (офшорные зоны), в совокупности превышает 50 процентов;

д) производитель не получает средства из федерального бюджета на основании иных нормативных правовых актов на цели, указанные в пункте 1 настоящих Правил.

6. Субсидия предоставляется на основании соглашения о предоставлении субсидии, заключенного между Министерством промышленности и торговли Российской Федерации и производителем в соответствии с типовой формой, установленной Министерством финансов Российской Федерации (далее - соглашение о предоставлении субсидии).

Соглашение о предоставлении субсидии заключается в форме электронного документа с использованием государственной интегрированной информационной системы управления общественными финансами "Электронный бюджет" (далее - система "Электронный бюджет") и подписывается усиленной квалифицированной электронной подписью лиц, имеющих право действовать от имени каждой из сторон.

В соглашении о предоставлении субсидии предусматриваются в том числе сроки и формы представления производителем дополнительной отчетности по запросу Министерства промышленности и торговли Российской Федерации, а также согласие производителя на проведение Министерством промышленности и торговли Российской Федерации и органами государственного финансового контроля проверок соблюдения производителем целей, условий и порядка предоставления субсидии, которые установлены настоящими Правилами, значение результата предоставления субсидии и значение показателя, необходимого для достижения результата предоставления субсидии.

Соглашение заключается в отношении каждого вида продукции.

7. Для участия в квалификационном отборе производитель с 10 ноября по 10 декабря соответствующего финансового года в целях формирования реестра получателей субсидии на год, следующий за текущим финансовым годом (а в 2020 году в целях формирования реестра получателей субсидии на 2020 год - до 10 сентября), представляет в Министерство промышленности и торговли Российской Федерации заявление об участии в квалификационном отборе, подписанное руководителем (уполномоченным лицом - с представлением документов, подтверждающих полномочия указанного лица) производителя, с приложением следующих документов:

а) выписка из Единого государственного реестра юридических лиц, заверенная в установленном порядке, или сведения о юридическом лице, полученные с официального сайта Федеральной налоговой службы в информационно-телекоммуникационной сети "Интернет" (далее - сеть "Интернет") в форме электронного документа, подписанного усиленной квалифицированной электронной подписью, на дату не ранее чем за 30 календарных дней до дня подачи заявления об участии в квалификационном отборе (в случае непредставления производителем такого документа Министерство промышленности и торговли Российской Федерации запрашивает его самостоятельно);

б) справка налогового органа, подтверждающая отсутствие у производителя по состоянию на дату не ранее чем за 30 календарных дней до дня подачи заявления об участии в квалификационном отборе неисполненной обязанности по уплате налогов, сборов, страховых взносов, пеней, штрафов и процентов, подлежащих уплате в соответствии с законодательством Российской Федерации о налогах и сборах, заверенная в установленном порядке или подписанная усиленной квалифицированной электронной подписью (в случае непредставления производителем такого документа Министерство промышленности и торговли Российской Федерации запрашивает его самостоятельно);

в) справка, подписанная руководителем (уполномоченным лицом - с представлением документов, подтверждающих полномочия указанного лица) и главным бухгалтером (при наличии) производителя, подтверждающая соответствие производителя по состоянию на дату не ранее чем за 30 календарных дней до дня подачи заявления об участии в квалификационном отборе требованиям, установленным подпунктами "б" - "д" пункта 5 настоящих Правил;

г) копия заключения о подтверждении производства промышленной продукции, при реализации которой будут предоставляться скидки;

д) перечень наименований видов продукции, предлагаемых производителем к реализации в соответствующем календарном году, с указанием кодов Общероссийского классификатора продукции по видам экономической деятельности (ОКПД2), цен на каждый вид продукции (с учетом налога на добавленную стоимость), предлагаемых в течение соответствующего календарного года, подписанный руководителем (уполномоченным лицом - с представлением документов, подтверждающих полномочия указанного лица) и главным бухгалтером (при наличии) производителя;

е) справка, подписанная руководителем (уполномоченным лицом - с представлением документов, подтверждающих полномочия указанного лица) и главным бухгалтером (при наличии) производителя, подтверждающая обязательство производителя достигнуть запланированного результата предоставления субсидии в соответствующем финансовом году и показателя, необходимого для достижения результата предоставления субсидии в соответствующем финансовом году;

ж) сведения о запрашиваемом в соответствующем финансовом году размере субсидии, запланированном к достижению результате предоставления субсидии и о запланированном к достижению показателе, необходимом для достижения результата предоставления субсидии, подписанные руководителем (уполномоченным лицом - с представлением документов, подтверждающих полномочия указанного лица) и главным бухгалтером (при наличии) производителя.

8. В случае если производитель осуществляет производство нескольких видов продукции, он подает заявления об участии в квалификационном отборе в отношении каждого такого вида продукции.

9. Министерство промышленности и торговли Российской Федерации:

а) регистрирует в порядке поступления заявления и документы, указанные в пункте 7 настоящих Правил;

б) проверяет в течение 15 рабочих дней со дня окончания подачи заявлений и документов, указанных в пункте 7 настоящих Правил, полноту и достоверность содержащихся в них сведений;

в) в случае если совокупный размер запрашиваемой производителями в рамках квалификационного отбора субсидии превышает нераспределенные средства субсидии в пределах лимитов бюджетных обязательств, доведенных в установленном порядке до Министерства промышленности и торговли Российской Федерации как получателя средств федерального бюджета на цели, указанные в пункте 1 настоящих Правил, на соответствующий финансовый год, осуществляет пропорциональное уменьшение запрашиваемого размера субсидии и пропорциональное снижение результата предоставления субсидии для каждого производителя. В этом случае обязательство производителя достигнуть запланированного показателя, необходимого для достижения результата предоставления субсидии в соответствующем финансовом году, предусмотренное подпунктом "е" пункта 7 настоящих Правил, будет относиться к пропорционально сниженному результату предоставления субсидии;

г) в течение 20 рабочих дней со дня окончания проверки, предусмотренной подпунктом "б" настоящего пункта, формирует проект реестра получателей субсидии, включая в него производителей, которые ранее не были включены в реестр получателей субсидии на соответствующий финансовый год (за исключением производителей, которые ранее были включены в реестр получателей субсидии как производители иного вида продукции), и размещает его в государственной информационной системе промышленности в сети "Интернет";

д) заключает с производителями, включенными в проект реестра получателей субсидии, соглашения о предоставлении субсидии в течение 15 рабочих дней со дня размещения в государственной информационной системе промышленности в сети "Интернет" проекта реестра получателей субсидии. В случае если производитель не подписывает соглашение о предоставлении субсидии в течение 5 рабочих дней со дня его поступления на подписание с использованием системы "Электронный бюджет", Министерство промышленности и торговли Российской Федерации принимает решение об отказе в заключении соглашения о предоставлении субсидии, уведомляет об этом производителя и возвращает заявление об участии в квалификационном отборе и документы, представленные производителем в соответствии с пунктом 7 настоящих Правил;

е) в течение 10 рабочих дней со дня окончания срока заключения соглашения о предоставлении субсидии, установленного подпунктом "д" настоящего пункта, формирует реестр получателей субсидии и размещает его в государственной информационной системе промышленности в сети "Интернет";

ж) в течение 15 рабочих дней со дня окончания проверки, предусмотренной подпунктом "б" настоящего пункта, уведомляет производителя о непрохождении квалификационного отбора и об отказе во включении в реестр получателей субсидии и возвращает заявление об участии в квалификационном отборе с прилагаемыми документами и указанием оснований, указанных в пункте 11 настоящих Правил;

з) в случае если производитель был включен в реестр получателей субсидии на соответствующий финансовый год как производитель соответствующего вида продукции, вместо действий, указанных в подпунктах "г" - "е" настоящего пункта, заключает с производителем дополнительное соглашение к соглашению о предоставлении субсидии и корректирует реестр получателей субсидии, суммируя размеры субсидии на соответствующий финансовый год, результаты предоставления субсидии, а также осуществляя пересчет показателя, необходимого для достижения результата предоставления субсидии, для такого производителя в течение 10 рабочих дней со дня окончания проверки, предусмотренной подпунктом "б" настоящего пункта.

10. В случае если производитель не подписывает дополнительное соглашение к соглашению о предоставлении субсидии в течение 5 рабочих дней со дня его поступления на подписание с использованием системы "Электронный бюджет", Министерство промышленности и торговли Российской Федерации принимает решение об отказе в заключении дополнительного соглашения к соглашению о предоставлении субсидии, уведомляет об этом производителя и возвращает заявление об участии в квалификационном отборе и документы, представленные производителем в соответствии с пунктом 7 настоящих Правил.

11. Производитель признается не прошедшим квалификационный отбор в следующих случаях:

а) непредставление (представление не в полном объеме) документов, указанных в пункте 7 настоящих Правил, нарушение сроков их представления, установленных пунктом 7 настоящих Правил, и (или) несоответствие представленных документов положениям пунктов 4, 5 и (или) 7 настоящих Правил;

б) наличие показателя, необходимого для достижения результата предоставления субсидии, составляющего:

менее 4 - при реализации продукции, указанной в подпунктах "а", "в" - "з" пункта 4 настоящих Правил;

менее 3 - при реализации продукции, указанной в подпункте "б" пункта 4 настоящих Правил;

в) несоответствие запланированного производителем результата предоставления субсидии требованиям, установленным настоящими Правилами;

г) наличие в представленных документах недостоверной информации.

12. При наличии нераспределенного размера средств субсидии в пределах лимитов бюджетных обязательств, доведенных в установленном порядке до Министерства промышленности и торговли Российской Федерации как получателя средств федерального бюджета на цели, указанные в пункте 1 настоящих Правил, на соответствующий финансовый год, Министерство промышленности и торговли Российской Федерации вправе провести повторный квалификационный отбор с предварительным размещением извещения о его проведении в государственной информационной системе промышленности в сети "Интернет".

Повторный квалификационный отбор проводится при представлении производителем в Министерство промышленности и торговли Российской Федерации заявления об участии в квалификационном отборе, подписанного руководителем (уполномоченным лицом - с представлением документов, подтверждающих полномочия указанного лица) производителя, с приложением документов, указанных в подпунктах "а" - "ж" пункта 7 настоящих Правил, в порядке, установленном пунктами 9 - 11 настоящих Правил, и в сроки, установленные в извещении о проведении повторного квалификационного отбора, размещенном в государственной информационной системе промышленности в сети "Интернет".

13. Субсидии предоставляются Министерством промышленности и торговли Российской Федерации ежеквартально в пределах лимитов бюджетных обязательств, доведенных в установленном порядке до Министерства промышленности и торговли Российской Федерации как получателя средств федерального бюджета на цели, предусмотренные пунктом 1 настоящих Правил.

14. Субсидия предоставляется производителю при выполнении следующих условий:

а) покупателю продукции предоставлена скидка в размере не меньше размера субсидии (производителем - по договору о реализации, заключенному производителем с покупателем; производителем через продавца (продавцов), заключившего (заключивших) дилерский (дилерские) договор (договоры), - по договору о реализации, заключенному продавцом с покупателем);

б) продукция произведена не ранее 1 января года, предшествующего календарному году получения субсидии;

в) сведения о производителе, предусмотренные постановлением Правительства Российской Федерации от 21 декабря 2017 г. N 1604 "О предоставлении субъектами деятельности в сфере промышленности, органами государственной власти и органами местного самоуправления информации для включения в государственную информационную систему промышленности и размещении информации государственной информационной системы промышленности в открытом доступе в информационно-телекоммуникационной сети "Интернет", размещены в государственной информационной системе промышленности в сети "Интернет";

г) производителю ранее не предоставлялась субсидия на производство и (или) реализацию одной и той же единицы продукции, при приобретении которой покупателю была предоставлена скидка в соответствии с договорами о реализации;

д) при предоставлении субсидии производителю, включенному в реестр получателей субсидии, договор о реализации должен быть заключен не ранее 1 января года, предшествующего финансовому году получения субсидии, поставка продукции по которому должна быть осуществлена покупателю не ранее 1 января финансового года получения субсидии.

15. Для получения субсидии производитель, включенный в реестр получателей субсидии, представляет в Министерство промышленности и торговли Российской Федерации не чаще одного раза в квартал и не позднее 1 декабря соответствующего финансового года заявление о предоставлении субсидии по форме, приведенной в соглашении о предоставлении субсидии, подписанное руководителем (уполномоченным лицом - с представлением документов, подтверждающих полномочия указанного лица) производителя, с приложением следующих документов, заверенных руководителем (уполномоченным лицом - с представлением документов, подтверждающих полномочия указанного лица) и главным бухгалтером (при наличии) производителя:

а) справка для получения субсидии по форме согласно приложению N 1;

б) расчет размера субсидии по форме согласно приложению N 2, при этом размер запрашиваемой субсидии не может превышать суммарный объем скидок, предоставленных покупателям по договорам о реализации на дату представления заявления о предоставлении субсидии;

в) копия заключения о подтверждении производства промышленной продукции, указанной в договорах о реализации, действительного на дату заключения договора о реализации;

г) справка о выполнении производителем требований, установленных пунктом 3 Правил предоставления субъектами деятельности в сфере промышленности, органами государственной власти и органами местного самоуправления информации для включения в государственную информационную систему промышленности, утвержденных постановлением Правительства Российской Федерации от 21 декабря 2017 г. N 1604 "О предоставлении субъектами деятельности в сфере промышленности, органами государственной власти и органами местного самоуправления информации для включения в государственную информационную систему промышленности и размещении информации государственной информационной системы промышленности в открытом доступе в информационно-телекоммуникационной сети "Интернет".

16. Заверенные руководителем (уполномоченным лицом с представлением документов, подтверждающих полномочия указанного лица) и главным бухгалтером (при наличии) производителя документы, подтверждающие достоверность сведений, указанных в справке для получения субсидии, указанной в подпункте "а" пункта 15 настоящих Правил, хранятся у производителя в течение 5 лет со дня перечисления Министерством промышленности и торговли Российской Федерации субсидии в установленном порядке на расчетный счет производителя, открытый в кредитной организации, в соответствии с пунктом 26 настоящих Правил.

17. Министерство промышленности и торговли Российской Федерации:

а) регистрирует заявления и документы, указанные в пункте 15 настоящих Правил, в порядке их поступления;

б) в течение 15 рабочих дней со дня регистрации заявлений, указанных в пункте 15 настоящих Правил, проверяет зарегистрированные заявления и прилагаемые к ним документы, в том числе полноту и достоверность содержащихся в них сведений и их соответствие требованиям, установленным настоящими Правилами, и принимает решение о предоставлении субсидии либо об отказе в предоставлении субсидии;

в) в случае принятия решения об отказе в предоставлении субсидии в течение 15 рабочих дней со дня окончания проверки, предусмотренной подпунктом "б" настоящего пункта, направляет производителю уведомление об отказе в предоставлении субсидии с приложением заявления и документов, представленных производителем в соответствии с пунктом 15 настоящих Правил.

18. Министерство промышленности и торговли Российской Федерации отказывает производителю в предоставлении субсидии в следующих случаях:

а) непредставление (представление не в полном объеме) документов, указанных в пункте 15 настоящих Правил, нарушение сроков их представления и (или) несоответствие представленных документов положениям пунктов 4, 14 и (или) 15 настоящих Правил;

б) наличие в представленных документах недостоверной информации;

в) превышение производителем размера субсидии на текущий финансовый год, предусмотренной реестром получателей субсидии;

г) наличие у производителя просроченной задолженности по денежным обязательствам перед Российской Федерацией, определенным в статье 93.4 Бюджетного кодекса Российской Федерации.

19. В случае сокращения в текущем финансовом году потребности в субсидии производитель, включенный в реестр получателей субсидии, не позднее 1 сентября текущего финансового года, представляет в Министерство промышленности и торговли Российской Федерации скорректированные сведения о потребности в субсидии на текущий финансовый год, подписанные руководителем (уполномоченным лицом - с представлением документов, подтверждающих полномочия указанного лица) и главным бухгалтером (при наличии) производителя. На основании указанных сведений Министерство промышленности и торговли Российской Федерации не позднее 15 сентября текущего финансового года обеспечивает:

а) корректировку реестра получателей субсидии в части уменьшения размеров субсидии на текущий финансовый год и снижения результата предоставления субсидии, при этом показатель, необходимый для достижения результата предоставления субсидии, остается неизменным;

б) размещение скорректированного реестра получателей субсидии в государственной информационной системе промышленности в сети "Интернет".

20. До 20 сентября текущего финансового года Министерство промышленности и торговли Российской Федерации в соответствии с корректировками, внесенными в реестр получателей субсидии в соответствии с пунктом 19 настоящих Правил, заключает дополнительные соглашения к соглашениям о предоставлении субсидии.

21. В случае представления производителем, включенным в реестр получателей субсидии, до 1 сентября текущего финансового года сведений о сокращении в текущем финансовом году потребности в субсидии и неиспользования при этом по итогам текущего финансового года субсидии в соответствии с реестром получателей субсидии к такому производителю применяются штрафные санкции (), размер которых определяется по формуле:

,

где:

- размер субсидии в соответствии с реестром получателей субсидии;

- размер субсидии, фактически предоставленной производителю в текущем финансовом году;

k - коэффициент возврата, учитывающий средний размер ключевой ставки, устанавливаемой Центральным банком Российской Федерации, за период предоставления субсидии в текущем финансовом году, выраженный в долях единицы.

22. В случае непредставления производителем, включенным в реестр получателей субсидии, до 1 сентября текущего финансового года сведений о сокращении в текущем финансовом году потребности в субсидии и неиспользования при этом по итогам текущего финансового года субсидии в соответствии с реестром получателей субсидии к такому производителю применяются штрафные санкции (), размер которых определяется по формуле:

,

где:

- размер субсидии в соответствии с реестром получателей субсидии;

- размер субсидии, фактически предоставленной производителю в текущем финансовом году;

k - коэффициент возврата, учитывающий средний размер ключевой ставки, устанавливаемой Центральным банком Российской Федерации, за период предоставления субсидии в текущем финансовом году, выраженный в долях единицы.

23. Сумма штрафных санкций подлежит перечислению в доход федерального бюджета в порядке, установленном бюджетным законодательством Российской Федерации.

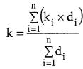
24. Коэффициент возврата, учитывающий средний размер ключевой ставки, устанавливаемой Центральным банком Российской Федерации, за период предоставления субсидии в текущем финансовом году (k), определяется по формуле:

,

где:

n - количество периодов, в которых в текущем финансовом году изменялось значение ключевой ставки, устанавливаемой Центральным банком Российской Федерации, начиная с даты заключения производителем соглашения о предоставлении субсидии в соответствии с подпунктом "д" пункта 9 настоящих Правил;

- выраженный в долях единицы размер устанавливаемой в текущем финансовом году Центральным банком Российской Федерации ключевой ставки в i-м периоде начиная с даты заключения производителем соглашения о предоставлении субсидии в соответствии с подпунктом "д" пункта 9 настоящих Правил;

- количество календарных дней начиная с даты заключения производителем соглашения о предоставлении субсидии в соответствии с подпунктом "д" пункта 9 настоящих Правил в периоде, в котором в текущем финансовом году изменялось значение ключевой ставки, устанавливаемой Центральным банком Российской Федерации.

25. Положения пунктов 19 - 22 настоящих Правил не распространяются на производителей, заключивших соглашения о предоставлении субсидии в текущем финансовом году по итогам квалификационного отбора, проведенного в текущем финансовом году после 1 сентября.

26. Министерство промышленности и торговли Российской Федерации не позднее 10 рабочих дней со дня принятия решения о предоставлении субсидии обеспечивает перечисление субсидии в установленном порядке на расчетный счет производителя, открытый в кредитной организации.

27. Производитель обязан в течение 25 рабочих дней со дня окончания финансового года получения субсидии представить в Министерство промышленности и торговли Российской Федерации отчет о достижении результата предоставления субсидии и показателя, необходимого для достижения результата предоставления субсидии, указанных в реестре получателей субсидии, по форме согласно приложению N 3.

28. В случае недостижения производителем результата предоставления субсидии, указанного в реестре получателей субсидии, соответствующие средства подлежат возврату в доход федерального бюджета в части, пропорциональной величине недостижения такого результата в стоимостном выражении, на основании документов, указанных в подпунктах "а" и "б" пункта 30 настоящих Правил.

29. В случае недостижения показателя, необходимого для достижения результата предоставления субсидии, соответствующие средства в размере одного процента объема полученной производителем субсидии подлежат возврату в доход федерального бюджета на основании документов, указанных в подпунктах "а" и "б" пункта 30 настоящих Правил.

30. Министерство промышленности и торговли Российской Федерации и (или) уполномоченные органы государственного финансового контроля проводят обязательные проверки соблюдения производителем целей, условий и порядка предоставления субсидии.

В случае установления по итогам проверок, проведенных Министерством промышленности и торговли Российской Федерации и (или) уполномоченным органом государственного финансового контроля фактов нарушения производителем условий, установленных при предоставлении субсидии, соответствующие средства подлежат возврату в доход федерального бюджета:

а) на основании требования Министерства промышленности и торговли Российской Федерации - не позднее 20-го рабочего дня со дня получения производителем указанного требования;

б) на основании представления и (или) предписания уполномоченного органа государственного финансового контроля - в сроки, установленные в соответствии с бюджетным законодательством Российской Федерации.

Приложение N 1
к Правилам предоставления субсидий
из федерального бюджета производителям
станкоинструментальной продукции
в целях предоставления покупателям скидки
при приобретении такой продукции

(форма)

СПРАВКА ДЛЯ ПОЛУЧЕНИЯ СУБСИДИИ ИЗ ФЕДЕРАЛЬНОГО БЮДЖЕТА ПРОИЗВОДИТЕЛЯМИ СТАНКОИНСТРУМЕНТАЛЬНОЙ ПРОДУКЦИИ В ЦЕЛЯХ ПРЕДОСТАВЛЕНИЯ ПОКУПАТЕЛЯМ СКИДКИ ПРИ ПРИОБРЕТЕНИИ ТАКОЙ ПРОДУКЦИИ

Наименование производителя  
Место нахождения и адрес  
ОГРН  
ИНН  
КПП  
Наименование покупателя продукции ИНН покупателя продукции Реквизиты (дата и номер) договора о реализации и дилерского договора (при наличии) <*> Наименование вида продукции с указанием кода Общероссийского классификатора продукции по видам экономической деятельности (ОКПД2) Дата производства продукции (ДД.ММ.ГГГГ) Цена единицы продукции в соответствии с перечнем наименований видов продукции (с учетом налога на добавленную стоимость), рублей Конечная цена реализации единицы продукции покупателю по договору о реализации (с учетом налога на добавленную стоимость), рублей Размер предоставленной скидки покупателю по договору о реализации в отношении единицы продукции (с учетом налога на добавленную стоимость), рублей Количество единиц продукции, штук Суммарный объем скидок покупателю по договору о реализации (с учетом налога на добавленную стоимость), рублей Реквизиты (дата и номер) акта приема- передачи продукции по договору о реализации (при поставке на экспорт) либо первичные документы о приеме-передаче товаров(при поставке на территорию ЕЭАС) <**> Реквизиты (дата, номер и сумма) платежных документов об оплате покупателем продукции в соответствии с условиями договора о реализации Дата и номер заключения о подтверждении производства промышленной продукции на территории Российской Федерации, выданного Минпромторгом России в соответствии с постановлением Правительства Российской Федерации от 17 июля 2015 г. N 719
А Б В Г д Е Ж 3 = Е - Ж И К = 3 х И Л М Н
подтверждает, что ему ранее не предоставлялась субсидия в отношении единицы продукции, при приобретении которой покупателю была предоставлена скидка в рамках договоров о реализации, указанных в настоящей справке.
(наименование производителя)
  подтверждает, что государственная поддержка производства и реализации одной и той же единицы продукции, указанной в настоящей справке, осуществляется один раз в течение срока службы такой продукции.
(наименование производителя)

Руководитель производителя      
  (подпись)   (фамилия, имя, отчество (при наличии))
Главный бухгалтер (при наличии)      
  (подпись)   (фамилия, имя, отчество (при наличии))
Исполнитель      
  (подпись)   (фамилия, имя, отчество (при наличии))

Телефон _________________

"___" ______________ 20__ г.

М.П. (при наличии)

<*> Копии договоров, заверенные уполномоченным лицом заявителя, прилагаются к заявлению.

<**> Копии актов, заверенные уполномоченным лицом заявителя, прилагаются к заявлению.

Приложение N 2
к Правилам предоставления субсидий
из федерального бюджета производителям
станкоинструментальной продукции
в целях предоставления покупателям скидки
при приобретении такой продукции

(форма)

РАСЧЕТ РАЗМЕРА СУБСИДИИ ИЗ ФЕДЕРАЛЬНОГО БЮДЖЕТА ПРОИЗВОДИТЕЛЯМ СТАНКОИНСТРУМЕНТАЛЬНОЙ ПРОДУКЦИИ В ЦЕЛЯХ ПРЕДОСТАВЛЕНИЯ ПОКУПАТЕЛЯМ СКИДКИ ПРИ ПРИОБРЕТЕНИИ ТАКОЙ ПРОДУКЦИИ

Наименование производителя  
Место нахождения и адрес  
ОГРН  
ИНН  
КПП  
Суммарный объем скидок, предоставленных покупателям по договорам о реализации, заключенным не ранее 1 января года, предшествующего финансовому году получения субсидии, поставка продукции по которым осуществлена покупателю не ранее 1 января финансового года получения субсидии, на дату представления заявления о предоставлении субсидии (рублей)  
Руководитель производителя      
  (подпись)   (фамилия, имя, отчество (при наличии))
Главный бухгалтер (при наличии)      
  (подпись)   (фамилия, имя, отчество (при наличии))
Исполнитель      
  (подпись)   (фамилия, имя, отчество (при наличии))

Телефон _________________

"___" ______________ 20__ г.

М.П. (при наличии)

Приложение N 3
к Правилам предоставления субсидий
из федерального бюджета производителям
станкоинструментальной продукции
в целях предоставления покупателям скидки
при приобретении такой продукции

(форма)

ОТЧЕТ  
о достижении   результата
  (наименование производителя)  
предоставления субсидии и показателя, необходимого для достижения результата предоставления субсидии,
указанных в    
  (указывается реестр получателей субсидии (далее - реестр))  

Результат предоставления субсидии, указанный в реестре <*>, рублей Фактически достигнутый результат предоставления субсидии, рублей Достижение результата предоставления субсидии (гр. 2 / гр. 1)
1 2 3
Показатель, необходимый для достижения результата предоставления субсидии, указанный в реестре <*> Фактически достигнутый показатель, необходимый для достижения результата предоставления субсидии Достижение показателя, необходимого для достижения результата предоставления субсидии (гр. 2 / гр. 1)
1 2 3

Руководитель производителя      
  (подпись)   (фамилия, имя, отчество (при наличии))
Главный бухгалтер (при наличии)      
  (подпись)   (фамилия, имя, отчество (при наличии))
Исполнитель      
  (подпись)   (фамилия, имя, отчество (при наличии))

Телефон _________________

"___" ______________ 20__ г.

М.П. (при наличии)

<*> Указывается информация в соответствии с реестром получателей субсидии.