Воздух рабочей зоны. Аэрозоли преимущественно фиброгенного действия. Общие принципы гигиенического контроля и оценки воздействия. ГОСТ р 54578-2011

(утв. Приказом Росстандарта от 01.12.2011 N 677-СТ)
Редакция от 01.12.2011 — Действует с 01.12.2012

НАЦИОНАЛЬНЫЙ СТАНДАРТ РОССИЙСКОЙ ФЕДЕРАЦИИ

ВОЗДУХ РАБОЧЕЙ ЗОНЫ

АЭРОЗОЛИ ПРЕИМУЩЕСТВЕННО ФИБРОГЕННОГО ДЕЙСТВИЯ

ОБЩИЕ ПРИНЦИПЫ ГИГИЕНИЧЕСКОГО КОНТРОЛЯ И ОЦЕНКИ ВОЗДЕЙСТВИЯ

WORKPLACE AIR QUALITY. PREDOMINANTLY FIBROGENIC AEROSOLS. GENERAL PRINCIPLES FOR HYGIENIC REGULATION, MONITORING AND EVALUATION

ГОСТ Р 54578-2011

Дата введения
1 декабря 2012 года

Предисловие

Цели и принципы стандартизации в Российской Федерации установлены Федеральным законом от 27 декабря 2002 г. N 184-ФЗ "О техническом регулировании", а правила применения национальных стандартов Российской Федерации - ГОСТ Р 1.0-2004 "Стандартизация в Российской Федерации. Основные положения".

Сведения о стандарте

1. Разработан Учреждением Российской академии медицинских наук "Научно-исследовательский институт медицины труда РАМН" (НИИ МТ РАМН) и Учреждением Российской академии наук "Институт проблем комплексного освоения недр РАН" (ИПКОН РАН).

2. Внесен Техническим комитетом по стандартизации ТК 457 "Качество воздуха".

3. Утвержден и введен в действие Приказом Федерального агентства по техническому регулированию и метрологии от 1 декабря 2011 г. N 677-ст.

4. Введен впервые.

Информация об изменениях к настоящему стандарту публикуется в ежегодно издаваемом указателе "Национальные стандарты", а текст изменений и поправок - в ежемесячно издаваемых информационных указателях "Национальные стандарты". В случае пересмотра (замены) или отмены настоящего стандарта соответствующее уведомление будет опубликовано в ежемесячно издаваемом информационном указателе "Национальные стандарты". Соответствующая информация, уведомление и тексты размещаются также в информационной системе общего пользования - на официальном сайте Федерального агентства по техническому регулированию и метрологии в сети Интернет.

Введение

Вдыхание работником аэрозолей преимущественно фиброгенного действия (АПФД) является причиной ряда профессиональных заболеваний органов дыхания (пылевой бронхит, пневмокониозы, рак легких и др.). Все АПФД подразделяются на: высоко-, умеренно- и слабофиброгенные, что отражается в гигиеническом нормировании (через разные величины ), учитывается при гигиеническом контроле и классификации условий труда по показателям вредности.

Биологическое действие АПФД, как и некоторых других аэрозолей, определяется общим содержанием частиц пыли (выраженным через массовую концентрацию, мг/м3) в воздухе, размером твердых частиц, составляющих дисперсную фазу, и другими физико-химическими свойствами, а также длительностью воздействия. Положения, приведенные в настоящем стандарте, относятся к вдыхаемой фракции частиц (см. ГОСТ Р ИСО 7708).

1. Область применения

Настоящий стандарт устанавливает общие принципы гигиенического контроля и оценки риска развития профзаболеваний в результате воздействия аэрозолей преимущественно фиброгенного действия (АПФД) на основе измерений массовой концентрации частиц пыли, содержащихся в воздухе рабочей зоны.

Эти общие принципы для разных видов деятельности следует учитывать при:

- обосновании гигиенических нормативов ( и );

- оценке качества воздуха рабочей зоны;

- оценке риска воздействия АПФД (по уровню долговременных пылевых нагрузок и по относительному числу заболевших среди контингента работников, имеющих профессиональный контакт с АПФД);

- разработке требований к организации и проведению пылевого контроля;

- организации технологических процессов и совершенствовании оборудования, связанных с источниками возможного пылевыделения;

- выборе путей профилактики неблагоприятного воздействия АПФД;

- дальнейшем развитии методологии нормирования АПФД разных видов.

2. Нормативные ссылки

В настоящем стандарте использованы нормативные ссылки на следующие стандарты:

ГОСТ Р ИСО 7708-2006 Качество воздуха. Определение гранулометрического состава частиц при санитарно-гигиеническом контроле

ГОСТ Р ИСО 15767-2007 Точность взвешивания аэрозольных проб

ГОСТ 12.1.005-88 Система стандартов безопасности труда. Общие санитарно-гигиенические требования к воздуху рабочей зоны

Примечание. При пользовании настоящим стандартом целесообразно проверить действие ссылочных стандартов в информационной системе общего пользования - на официальном сайте Федерального агентства по техническому регулированию и метрологии в сети Интернет или по ежегодно издаваемому информационному указателю "Национальные стандарты", который опубликован по состоянию на 1 января текущего года, и по соответствующим ежемесячно издаваемым информационным указателям, опубликованным в текущем году. Если ссылочный стандарт заменен (изменен), то при пользовании настоящим стандартом следует руководствоваться заменяющим (измененным) стандартом. Если ссылочный стандарт отменен без замены, то положение, в котором дана ссылка на него, применяется в части, не затрагивающей эту ссылку.

3. Термины и определения

В настоящем стандарте применены следующие термины с соответствующими определениями:

3.1. Аэрозоль преимущественно фиброгенного действия; АПФД: аэрозоли, отличающиеся и обладающие (по характеру биологического воздействия) преимущественно фиброгенным типом действия.

Примечания.

1. Фиброгенность (синоним увеличения фиброза) - свойство частиц пыли вызывать усиленный синтез коллагена (белка) в структуре органа (легких). Фиброгенные свойства пыли характеризуются степенью увеличения количества коллагена в соединительной ткани легких.

2. В нормативных документах, устанавливающих гигиенические нормативы, этот вид аэрозолей помечают индексом "Ф".

3.2. Аэрозоль: сложная аэродисперсная система, состоящая из дисперсной фазы, представленной частицами твердого вещества или нескольких веществ, и дисперсионной среды, представленной воздухом и/или другой смесью газов или отдельным газом.

Примечание. В общем случае дисперсная фаза аэрозоля может состоять из твердых частиц и частиц жидкости, взвешенных в газовой фазе. В настоящем стандарте рассматриваются только твердые частицы АПФД.

3.3. Среднесменная концентрация , мг/м3: массовая концентрация вредного вещества в воздухе рабочей зоны, усредненная за восьмичасовую рабочую смену.

Примечания.

1. Среднесменная концентрация - показатель, необходимый для расчета пылевой нагрузки на органы дыхания, которая является основой установления профессиональной этиологии развивающихся изменений в органах дыхания, прогностической оценки возможных неблагоприятных последствий воздействия пылевого фактора (ПФ) и разработки профилактических мероприятий.

2. Среднесменную концентрацию определяют по результатам непрерывного или дискретного отбора проб воздуха в зоне дыхания работников или рабочей зоне, позволяющего характеризовать содержание пыли в течение времени, составляющего не менее 75% продолжительности рабочей смены, включая основные и вспомогательные технологические операции, а также перерывы в работе с учетом их длительности в течение смены.

3. Предельно допустимая среднесменная концентрация обозначается как .

3.4. Максимальная разовая концентрация : максимальное содержание вредного вещества в воздухе рабочей зоны.

Примечания.

1. Максимальную разовую концентрацию определяют по результатам непрерывного или дискретного отбора проб аэрозоля в зоне дыхания работников или рабочей зоне при технологическом процессе, сопровождающемся максимальным пылевыделением, за любой промежуток времени продолжительностью не более 30 мин, достаточный для накопления на фильтре пыли в количестве, пригодном для достоверного определения массы.

2. Максимальная разовая концентрация наряду с другими выборочными характеристиками ПФ применяется для выявления характера формирования ПН на органы дыхания по наличию кратковременного, но значительного ("пикового") превышения значений предельно допустимой концентрации (ПДК). Эти концентрации в случае АПФД не имеют самостоятельного определяющего значения при установлении связи отклонений в состоянии здоровья с ПФ.

3.5. Разовая концентрация: содержание вредного вещества в разовой пробе, отбираемой за любой фиксированный промежуток времени с целью определения максимально-разовых и среднесменных концентраций.

3.6. Пылевая нагрузка на органы дыхания работника; ПН: реальное или прогностическое значение суммарной экспозиционной дозы пыли, определяемое на основе среднесменной концентрации пыли, которую вдыхает работник за весь период фактического или предполагаемого (прогностического) профессионального контакта с пылевым фактором.

3.7. Контрольный уровень пылевой нагрузки; КПН: значение пылевой нагрузки при допущении, что на всем протяжении периода профессионального контакта с пылью, определяемого сроком трудового соглашения либо сроком выхода на пенсию, среднесменная концентрация была равна предельно допустимой среднесменной концентрации.

Примечания.

1. КПН применяют для сравнения с ним и оценки реально полученной ПН.

2. Класс условий труда и степень их вредности при профессиональном контакте с АПФД устанавливают, исходя из кратности превышения КПН, с учетом фактических значений среднесменной концентрации АПФД и определяемых ими значений реальной ПН (см. таблицу 1).

Таблица 1

Классификация условий труда в зависимости от содержания АПФД в воздухе рабочей зоны и кратности превышения КПН реальными пылевыми нагрузками в соответствии с современными данными (в развитие [5])

Вид аэрозолей Класс условий труда
Допустимый безопасный Вредный Опасный <3>
2 3.1 + 3.2 3.3 + 3.4 4
Высоко- и умереннофиброгенные АПФД <1>; пыли, содержащие природные (асбесты, цеолиты) и искусственные (стеклянные, керамические, углеродные и др.) минеральные волокна <= 1 КПН От 1,1 КПН до 10 КПН Свыше 10 КПН -
Слабофиброгенные АПФД <2> <= 1 КПН От 1,1 КПН до 20 КПН Свыше 20 КПН -
<1> Высоко- и умереннофиброгенные пыли ( <= 2 мг/м3).
<2> Слабофиброгенные пыли ( > 2 мг/м3).
<3> Опасность в данном случае определяется не ПН, а возможностью взрывов и пожаров при высоких концентрациях горючих АПФД, особенно органического происхождения.

3.8. Гигиенический норматив: установленное нормативным документом предельно допустимое максимальное содержание вредных (загрязняющих) веществ в атмосферном воздухе, при котором отсутствует вредное воздействие на здоровье человека.

3.9. Защита временем: уменьшение вредного действия неблагоприятных факторов производственной среды и трудового процесса на работников за счет сокращения продолжительности их действия путем введения внутрисменных перерывов, сокращения рабочего дня, увеличения продолжительности отпуска, ограничения стажа работы в данных условиях, перемещения на другие работы.

4. Общие положения

Гигиенический контроль для аэрозолей всех видов базируется на учете и измерении общей массы частиц, попадающих в организм работника с вдыхаемым воздухом. Риск профессиональных заболеваний (например, пневмокониозов), обусловленных воздействием АПФД, зависит от пылевой нагрузки на органы дыхания, формирующейся за весь период профессионального контакта работника с АПФД. Для оценки этого риска необходимо: проведение мониторинга качества воздуха рабочей зоны (контроля и , а при превышении - вычисления реальной ПН и сравнения ее с КПН); анализ данных периодических медицинских осмотров и использование эффективных путей профилактики профзаболеваний пылевой этиологии (совершенствование оборудования и организации технологического процесса; защита временем в целях снижения кратности превышения КПН и улучшения условий труда).

Критерии, используемые для диагностики заболеваний, провоцируемых АПФД (определяемые на основе функциональных, рентгенологических, лабораторных, биохимических и других показателей), характеризуют воздействие всех вдыхаемых человеком частиц во всем диапазоне их дисперсности, поскольку каждая фракция АПФД, находящихся во вдыхаемом воздухе, обладает определенной биологической активностью и вносит свой вклад в развитие заболеваний от воспалительно-дистрофических нарушений до продуктивно-склеротических изменений в зависимости от длительности воздействия.

5. Гигиенический контроль аэрозолей преимущественно фиброгенного действия

Предельно допустимые концентрации на известные АПФД приведены в нормативных документах, устанавливающих гигиенические нормативы (см. [1] и ГОСТ 12.1.005). При проектировании производственных зданий, технологических процессов, оборудования, вентиляции должны быть учтены ПДК. Это обеспечивает безопасность производственной среды и профилактику неблагоприятного воздействия АПФД на здоровье работников.

В реальных производственных условиях при контроле уровня содержания АПФД в воздухе рабочей зоны учитывают все колебания содержания АПФД в течение рабочей смены. При превышении необходим расчет общей пылевой нагрузки на работника, включающий в себя учет колебаний на протяжении всего периода профессионального контакта с АПФД. Пылевую нагрузку ПН (в граммах) на органы дыхания работника (индивидуальную или для группы работников, если они выполняют аналогичную работу в одинаковых условиях) вычисляют по формуле

, (1)

где - фактическая среднесменная концентрация пыли в зоне дыхания работника, мг/м3;

N - число рабочих смен, отработанных в календарном году в условиях воздействия АПФД;

T - продолжительность контакта работника с АПФД, лет;

Q - объем легочной вентиляции за смену, м3, принимаемый равным (см. [2]):

- 4 м3 для легких работ (категории Iа - Iб);

- 7 м3 для работ средней тяжести (категории IIа - IIб);

- 10 м3 для тяжелых работ (категория III).

Полученное значение ПН сравнивают со значением КПН, вычисляемым по формуле

, (2)

где - среднесменная предельно допустимая концентрация пыли в зоне дыхания работника, мг/м3.

По результатам сравнения фактической пылевой нагрузки с контрольным уровнем условия труда относят либо к допустимому безопасному, либо к вредному классу условий труда (см. таблицу 1) и в соответствии с этим определяют возможность продолжения работы в надлежащих условиях, обеспечивающих полную безопасность или требующих использования мер профилактики и установленных законодательством компенсаций за работу во вредных условиях труда.

Кратность превышения контрольных пылевых нагрузок указывает на класс вредности условий труда по данному фактору (см. таблицу 1).

При превышении контрольных пылевых нагрузок рекомендуется использовать принцип защиты временем.

Учет пылевой нагрузки и ее сравнение с КПН способствуют выбору путей профилактики, а также обеспечивают возможность расчета компенсаций за работу в неблагоприятных условиях, определения очередности профилактических мероприятий и ликвидации профессиональных заболеваний органов дыхания пылевой этиологии.

6. Оценка риска воздействия аэрозолей преимущественно фиброгенного действия

6.1. Определяемые характеристики пылевого фактора

Регулярные измерения разовой концентрации пыли (см. [3], [4]) проводят для получения распределения значений содержания пыли в воздухе рабочей зоны (подчиняющегося, как правило, не нормальному, а логнормальному закону [4]), в соответствии с которым определяют следующие характеристики пылевого фактора:

- минимальное и максимальное значения разовой концентрации пыли в выборке, характеризующих ее "размах";

- выборочную медиану Me распределения значений разовой концентрации пыли, полученных в течение восьмичасовой рабочей смены, делящей его на две равные половины (каждая из которых включает 50% значений).

Примечание. Me не следует использовать в формуле (1) в качестве ;

- выборочное стандартное геометрическое отклонение (дает количественную характеристику разброса значений разовых концентраций в выборке и степени организованности технологического процесса);

- среднесменную концентрацию (определяемую как среднегеометрическое по выборке).

Указанные параметры вычисляют с использованием соответствующих формул для логарифмического нормального распределения (см. [5]).

По вышеприведенным формулам (1) и (2) рассчитывают уровни фактических и контрольных индивидуальных и/или коллективных пылевых нагрузок (расчет фактических ПН обязателен при превышении и необходим для доказательства связи заболевания с профессиональной деятельностью и одновременного сравнения с КПН, характеризующим предельно допустимый уровень воздействия конкретного вида АПФД).

Полученные значения характеристик следует сохранять в базе данных не менее 50 лет для формирования выборочных характеристик пылевого фактора и оценки степени его воздействия на работников (в случае необходимости проведения судебно-медицинской экспертизы).

6.2. Требования к методам и средствам измерений

6.2.1. Общие положения

В настоящем подразделе установлены требования к методам и средствам измерений, которые следует соблюдать при получении оценок характеристик, указанных в 6.1.

Методы измерений массовой концентрации пыли делятся на прямые (весовой или гравиметрический метод), и косвенные (измерения с помощью пылемеров).

Измерения должны проводиться по аттестованной методике измерений с учетом положений настоящего стандарта и специфики конкретного производства.

6.2.2. Гравиметрический метод

6.2.2.1. Отбор проб

Весовой или гравиметрический метод определения массы частиц пыли, отобранных на фильтр пылеотборника (пылеотборника), является основным прямым методом измерений, при котором взвешиванием определяется масса частиц, а по результатам измерений расхода воздуха и продолжительности отбора пробы определяется ее объем.

Для определения массы частиц пыли их собирают на фильтр, установленный в пробоотборнике, просасывая через него рассчитанный объем воздуха с помощью побудителя расхода (аспиратора). В зависимости от цели измерений пробу частиц пыли отбирают с помощью индивидуального или стационарного пробоотборного устройства (например, см. [6]).

Для проведения отбора проб применяют следующее оборудование:

- фильтры подходящего диаметра для использования в фильтродержателях;

- побудитель расхода, обеспечивающий постоянный расход воздуха с отклонением +/- 5% номинального значения (в некоторых случаях может быть встроенным в портативный индивидуальный пробоотборник);

- портативный расходомер с погрешностью не более +/- 5%;

- термометр для измерения температуры в соответствующем диапазоне температур воздуха рабочей зоны, ценой деления не более 1°C (при необходимости);

- барометр для измерения атмосферного давления (при необходимости);

- часы или таймер для определения продолжительности отбора проб;

- вспомогательные приспособления (такие как гибкие резиновые шланги, ремни для крепления индивидуальных пробоотборников, пинцеты с плоскими губками для обращения с фильтрами, контейнеры для транспортирования фильтров и т.д.).

При отборе проб учитывают следующие условия:

- отбор частиц пыли в воздухе рабочей зоны должен производиться в направлении потока вдыхаемого воздуха с расположением фильтродержателя навстречу потоку. При отборе частиц пыли из спокойного воздуха фильтродержатель должен быть обращен в сторону источника пыли;

- линейная скорость потока воздуха на входе в пробоотборный канал (фильтродержатель) должна быть в пределах от 1,0 до 1,2 м/с (обеспечивается применением насадок к фильтродержателям). Падение объемного расхода воздуха через фильтр при отборе проб должно быть не более 10%;

- рекомендуемый объемный расход воздуха, прокачиваемого через фильтр, должен быть в пределах от 20 до 70 дм3/мин. При применении фильтров АФА номинальные диаметры входных отверстий насадок к фильтродержателям должны быть 17, 21, 24, 27 и 31 мм при объемном расходе воздуха через фильтр соответственно 20, 30, 40, 50 и 70 дм3/мин;

- масса пыли на одном квадратном сантиметре фильтра типа АФА не должна превышать 4 мг, т.е. максимально допустимая масса пыли не должна превышать 40 мг на фильтре АФА-ВП10 и 80 мг на фильтре АФА-ВП20;

- в пылеотборниках должна быть предусмотрена индикация массы пыли на фильтре каким-либо косвенным методом, например, оптическим или депремометрическим;

- конструкция индивидуального пылеотборника должна быть неразборной для посторонних лиц: пуск и остановка должны осуществляться специальным "ключом".

Диапазон расхода пылеотборника должен обеспечивать возможность настройки расхода воздуха таким образом, чтобы за 8 ч работы на фильтре оседала пыль массой, достаточной для ее определения с погрешностью не более 16% (1,3 мг при погрешности взвешивания, равной 0,1 мг).

Пример - Для получения массы пыли на фильтре, равной 1,3 мг, при массовой концентрации пыли 2 мг/м3 и продолжительности отбора пробы 8 ч расход воздуха должен составлять не менее 1,3 дм3/мин. При таком же расходе воздуха и массовой концентрации пыли 10 мг/м3 масса пыли составит 6,25 мг.

Примечание. Если масса отобранной пыли превышает допустимое для используемых фильтров (например, АФА-ВП10) значение, то следует уменьшить расход воздуха через пылеотборник.

6.2.2.2. Взвешивание

Общие рекомендации по взвешиванию проб аэрозолей и оценке точности измерений, связанной с процедурой взвешивания, приведены в ГОСТ Р ИСО 15767.

6.2.2.3. Вычисление массовой концентрации пыли

Массовую концентрацию пыли C, мг/м3, вычисляют по формуле

<1>, (3)

где m - масса фильтра после отбора пробы, мг;

- масса фильтра до отбора пробы, мг;

q - объемный расход воздуха, дм3/мин;

t - продолжительность отбора проб, мин.

<1> В случае прямого измерения объема V, дм3, протянутого воздуха .

Относительные погрешности величин, входящих в формулу (3), могут быть:

- одинаковыми, при этом максимальные значения относительных погрешностей взвешивания чистого фильтра, фильтра с пылью и объема прокачанного воздуха будут равны по 8% <2>;

- неодинаковыми, при условии, что предельная относительная погрешность определения массовой концентрации пыли не превысит 25% полученного значения <3>.

<2> Относительная погрешность определения продолжительности отбора пробы составляет не более 1%.

<3> Например, погрешность измерения объема прокачанного воздуха через фильтр может быть равна 5% и менее, если она гарантирована заводом - изготовителем аспиратора. В этом случае погрешности взвешивания фильтров могут быть более 8%.

Минимальная масса пыли на фильтре определяется абсолютной погрешностью взвешивания (производится дважды) и требуемой относительной погрешностью определения массы пыли. При абсолютной погрешности взвешивания 0,1 мг и относительной погрешности определения массы пыли на фильтре не более 16% масса пыли на фильтре должна быть не менее 1,3 мг.

Результат измерений приводят к стандартным условиям: температура 293 К (20°C), давление 101,3 кПа (760 мм рт. ст.), относительная влажность 50% (для этого при отборе проб следует регистрировать температуру окружающего воздуха, барометрическое давление, влажность и скорость движения воздуха, а на открытых площадках и направление потока воздуха), см. ГОСТ 12.1.005 (пункт 5.5) и [4].

6.2.3. Измерение массовой концентрации пыли с помощью пылемеров

Косвенные методы измерений массовой концентрации пыли (пылемеры) основаны на зависимости какого-либо физического свойства частиц пыли (способности поглощать или рассеивать свет, нести электронный заряд и т.д.) от ее массы.

Приборы, основанные не на измерении массы пыли в единице объема воздуха, должны быть аттестованы в качестве измерителей массовой концентрации пыли и обладать погрешностью, не превышающей 25% измеряемой величины в диапазоне размеров частиц 0,5 - 70 мкм в воздухе рабочей зоны.

В зависимости от изменчивости свойств пыли (особенно дисперсного состава) связь массовой концентрации частиц с характеристикой измеряемого сигнала (светового или электрического), идущего от частиц, может быть неустойчивой и значительно влиять на погрешность метода.

Использование автоматических пылемеров непрерывного действия расширяет возможности мониторинга содержания пыли в воздухе рабочей зоны, на рабочих местах или в представительных точках с передачей информации для сохранения в соответствующей базе данных.

6.2.4. Погрешность измерения массовой концентрации пыли

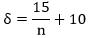
Все методы и средства измерений запыленности воздуха должны обеспечивать определение массовой концентрации пыли с размером частиц от 0,5 до 70 мкм в воздухе в диапазоне от 1 до 10 ПДК с основной относительной погрешностью, не превышающей 25% при доверительной вероятности 0,95. При концентрации более 10 ПДК погрешность не нормируется. При массовой концентрации пыли менее 1 ПДК допускается погрешность измерения, определяемая по формуле

, %, (4)

где n - доли ПДК.

Примечание. Например при n = 0,5 , как это требуется в [3].

6.3. Процедура оценки риска воздействия

Вероятность развития профессионального заболевания пылевой этиологии оценивают на основе данных, характеризующих степень загрязненности воздуха рабочей зоны АПФД, и определения соответствующего класса вредности условий труда (см. таблицу 1). Оценка риска профзаболевания включает следующие этапы:

1) Обрабатывают результаты измерений массовой концентрации пыли в воздухе рабочей зоны, при этом получают статистические характеристики пылевого фактора (см. 6.1) и вычисляют пылевые нагрузки - ПН, КПН. Необходимые данные могут быть получены по результатам аттестации рабочих мест на предприятии, при мониторинге качества воздуха рабочей зоны, в ходе научно-исследовательских или практических работ, выполняемых службами "пылевого контроля" на предприятиях.

2) Оценивают риск по пылевому фактору на основе классов условий труда, применяемых при санитарно-гигиеническом контроле (см. [7] и таблицу 1). В соответствии с таблицей 1 различия степени вредности отдельных классов работ для высоко-, умеренно- и слабофиброгенных АПФД могут быть установлены при не менее чем десяти-, двадцатикратном превышении допустимого уровня воздействия, определяемого КПН. При этом, если для первого объединенного класса условий труда (3.1 + 3.2) достаточно рекомендации по проведению оздоровительных мероприятий, то для второго объединенного класса условий труда (3.3 + 3.4) необходимо также использовать защиту временем. Именно поэтому при оценке риска профзаболевания, основанной на показателях здоровья, целесообразно руководствоваться классификацией условий труда, как можно менее дифференцированной, в зависимости от реальных ПН и КПН, что и нашло отражение в таблице 1.

Примечание. Зависимость риска профзаболевания от содержания АПФД в воздухе, со свойственным им широким диапазоном дисперсности, носит усредненный "смазанный" характер, поскольку воздействие АПФД на органы дыхания работника проявляется в виде пневмокониоза и/или пылевого бронхита по истечении длительного периода, необходимого для накопления пыли определенной массы в легких и проявления ее опосредованного воздействия.

3) Ориентировочно определяют вероятность развития профессионального заболевания органов дыхания, провоцируемого АПФД, с использованием общей методологии оценки риска развития профессионального заболевания [3]. При этом учитывают, что применяемые значения индексов профзаболеваний могут не получить подтверждения на практике (например, оказаться чрезмерно высокими или, наоборот, малыми), в связи с чем риск профзаболевания рекомендуется уточнять в соответствии с данными, полученными на этапах 1) - 2).

Вероятность развития профессиональных заболеваний, провоцируемых АПФД, при работе в условиях первого "сдвоенного" вредного класса условий труда (3.1 + 3.2) составляет не более 10% - 15%; при работе в условиях второго "сдвоенного" класса (3.3 + 3.4) - не более 40% - 50% (см. таблицу 1). Для асбестсодержащей пыли установлен уровень "критической" пылевой нагрузки и при его достижении развивается профзаболевание. Для установления и уточнения аналогичных критических значений и уровней пылевых нагрузок для других видов АПФД требуется накопление данных в соответствии с рекомендациями настоящего стандарта.

В условиях, когда используемое оборудование и технические средства борьбы с пылью не позволяют снизить ее содержание в воздухе до уровня ПДК и допустимых уровней экспозиции (КПН), контролируемое ограничение пылевой экспозиции на основе расчетов ПН становится эффективной мерой снижения уровня профессиональных заболеваний пылевой этиологии.

4) Определяют наиболее эффективный путь профилактики.

Безопасными можно считать работы до достижения суммарной экспозиционной дозы, оцениваемой (в граммах) на основе расчета контрольной пылевой нагрузки (КПН).

Работа в условиях десяти-, двадцатикратного превышения КПН, попадающих в диапазон классов условий труда 3.1 + 3.2 и 3.3 + 3.4, будет сопровождаться развитием профессиональных заболеваний у 10% и 40% работников соответственно.

КПН по существу ограничивает безопасный "контрольный" уровень пылевой нагрузки на органы дыхания, в пределах которого контакт с АПФД не будет сопровождаться развитием профессиональных заболеваний. Таким образом, учет КПН является эффективной мерой профилактики заболеваний пылевой этиологии.

Врач должен учитывать также характер воздействия пылевого фактора, постоянный или интермиттирующий, поскольку даже при одинаковой пылевой нагрузке на органы дыхания он может иметь разное значение. С одной стороны, интермиттирующее действие может способствовать увеличению скорости выведения пыли из легких. С другой, пики разовых концентраций, превышающих значение среднесменной в пять и более раз, приводят к уменьшению скорости выведения пыли и соответственно более выраженному фиброгенному действию. Поэтому необходимо сокращать частоту появления пиков, характеризуемых максимально-разовыми концентрациями, и продолжительность их действия. Они должны наблюдаться не чаще 4 раз в смену при общей продолжительности действия не более 30 мин.

5) Разрабатывают перечень рекомендаций по улучшению условий труда, связанных с ограничением и снижением пылевой экспозиции, совершенствуют классификацию условий труда с учетом степени вредности и характера воздействия АПФД. Основой для составления рекомендаций являются выявленные изменения в состоянии здоровья работников, соответствующие им значения ПН и уровни воздействия АПФД, определенные с использованием выборочных характеристик ПФ (см. 6.1), служащих доказательной базой при установлении связи заболевания органов дыхания с профессиональной деятельностью работника.

Полученные в результате выполнения этапов 1) - 5) данные используют не только врачи-диагносты, сопоставляющие результаты медицинского обследования и периодических медицинских осмотров работников с характеристиками ПФ для оценки его этиологической связи с отклонениями в состоянии органов дыхания, но также технологи, как организаторы технологического процесса, и конструкторы машин и оборудования, являющихся источниками пылевыделения, в целях их совершенствования.

БИБЛИОГРАФИЯ

[1] ГН 2.2.5.1313-03 Предельно допустимые концентрации (ПДК) вредных веществ в воздухе рабочей зоны. Гигиенические нормативы.

В связи с утратой силы ГН 2.2.5.1313-03 следует руководствоваться принятым взамен ГН 2.2.5.3532-18.

[2] СанПин 2.2.4.548-96 Гигиенические требования к микроклимату производственных помещений.

[3] Р 2.2.1766-03 Руководство по оценке профессионального риска для здоровья работников. Организационно-методические основы, принципы и критерии оценки.

[4] МУК 4.1.2468-09 Измерение массовых концентраций пыли в воздухе рабочей зоны предприятий горнорудной и нерудной промышленности. М., 2009.

[5] ГОСТ Р 50779.10-2000 Статистические методы. Вероятность и основы статистики. Термины и определения.

[6] ГОСТ Р ИСО 15202-1-2007 Воздух рабочей зоны. Определение содержания металлов и металлоидов в твердых частицах аэрозоля методом атомной эмиссионной спектрометрии с индуктивно-связанной плазмой. Часть 1. Отбор проб.

[7] Р 2.2.2006-05 Руководство по гигиенической оценке факторов рабочей среды и трудового процесса. Критерии и классификация условий труда.