Бережливое производство. Поток создания ценности. ГОСТ р 57524-2017

(утв. Приказом Ростехрегулирования от 30.06.2017 N 649-СТ)
Редакция от 30.06.2017 — Действует с 01.01.2018

НАЦИОНАЛЬНЫЙ СТАНДАРТ РОССИЙСКОЙ ФЕДЕРАЦИИ

БЕРЕЖЛИВОЕ ПРОИЗВОДСТВО

ПОТОК СОЗДАНИЯ ЦЕННОСТИ

Lean production. Value stream

ГОСТ Р 57524-2017

Дата введения
1 января 2018 года

Предисловие

1. РАЗРАБОТАН ООО "Центр "Приоритет" совместно с рабочей группой в составе: АО "Концерн ВКО "Алмаз-Антей"; АО "Вертолеты России"; АО "Выксунский металлургический завод"; Иркутский авиационный завод - филиал ПАО "Научно-производственная корпорация "ИРКУТ"; ПАО "КАМАЗ"; ООО "ЛинСофт"; Московский автомобильно-дорожный государственный технический университет (МАДИ); АО "РСК "МИГ"; ООО "Национальные системы менеджмента"; АО "НЗ 70-летия Победы"; АО "ОСК"; ООО "ПензТИСИЗ"; ООО "Респект-Инфо"; Государственная корпорация по атомной энергии "Росатом"; ООО "СМЦ "Приоритет"; ЧОУ ДПО "Высшая школа менеджмента и лидерства"; АНО ДПО "Академия менеджмента"; ООО "Управляющая компания "Группа ГАЗ"; ГК "Оргпром".

2. ВНЕСЕН Техническим комитетом по стандартизации ТК 076 "Системы менеджмента".

3. УТВЕРЖДЕН И ВВЕДЕН В ДЕЙСТВИЕ Приказом Федерального агентства по техническому регулированию и метрологии от 30 июня 2017 г. N 649-ст.

4. ВВЕДЕН ВПЕРВЫЕ

Правила применения настоящего стандарта установлены в статье 26 Федерального закона от 29 июня 2015 г. N 162-ФЗ "О стандартизации в Российской Федерации". Информация об изменениях к настоящему стандарту публикуется в ежегодном (по состоянию на 1 января текущего года) информационном указателе "Национальные стандарты", а официальный текст изменений и поправок - в ежемесячном информационном указателе "Национальные стандарты". В случае пересмотра (замены) или отмены настоящего стандарта соответствующее уведомление будет опубликовано в ближайшем выпуске ежемесячного информационного указателя "Национальные стандарты". Соответствующая информация, уведомление и тексты размещаются также в информационной системе общего пользования - на официальном сайте Федерального агентства по техническому регулированию и метрологии в сети Интернет (www.gost.ru).

Введение

Настоящий стандарт разработан на основе концепции бережливого производства (ГОСТ Р 56020-2014 "Бережливое производство. Основные положения и словарь") и подходов к организации поточного производства, а также накопленного российскими организациями и мирового опыта повышения эффективности деятельности за счет организации, управления и улучшения потока создания ценности.

Настоящий стандарт содержит основные понятия и положения производственных систем, построенных на принципах бережливого производства, на основе процессного подхода и организации потока создания ценности, постоянного улучшения и вовлечения персонала. Производственные системы, построенные на принципах бережливого производства, позволяют снижать затраты, повышать рентабельность бизнеса, производительность труда, сокращать время выполнения заказов, улучшать гибкость и управляемость в изменяющихся внешних и внутренних условиях бизнеса.

Настоящий стандарт разработан для применения концепции бережливого производства с целью повышения эффективности деятельности организаций.

1. Область применения

Настоящий стандарт является руководством по проектированию, управлению и совершенствованию потока создания ценности (далее - ПСЦ) с целью повышения результативности и эффективности деятельности по выпуску продукции.

Настоящий стандарт предназначен для повышения эффективности на уровне организации и/или цепи поставок за счет системного применения принципов, методов и инструментов БП на этапе проектирования, управлении и улучшении ПСЦ.

Положения настоящего стандарта являются общими и применимы для организаций независимо от их вида, размера, типа ПС и поставляемой продукции.

Положения настоящего стандарта ограничены стадией производства. Применение введенных понятий и понятий на других стадиях жизненного цикла продукции требует уточнений.

2. Нормативные ссылки

В настоящем стандарте использованы нормативные ссылки на следующие стандарты:

ГОСТ Р 56020 Бережливое производство. Основные положения и словарь

ГОСТ Р 56404 Бережливое производство. Требования к системам менеджмента

ГОСТ Р 56407 Бережливое производство. Основные методы и инструменты

ГОСТ Р 56906 Бережливое производство. Организация рабочего пространства (5S)

ГОСТ Р 56907 Бережливое производство. Визуализация

ГОСТ Р 56908 Бережливое производство. Стандартизация работы

ГОСТ Р ИСО 3100 Менеджмент риска. Принципы и руководство

ГОСТ Р ИСО 9000 Системы менеджмента качества. Основные положения и словарь

ГОСТ Р ИСО 9001 Системы менеджмента качества. Требования

Примечание - При пользовании настоящим стандартом целесообразно проверить действие ссылочных стандартов в информационной системе общего пользования - на официальном сайте Федерального агентства по техническому регулированию и метрологии в сети Интернет или по ежегодному информационному указателю "Национальные стандарты", который опубликован по состоянию на 1 января текущего года, и по выпускам ежемесячного информационного указателя "Национальные стандарты" за текущий год. Если заменен ссылочный стандарт, на который дана недатированная ссылка, то рекомендуется использовать действующую версию этого стандарта с учетом всех внесенных в данную версию изменений. Если заменен ссылочный стандарт, на который дана датированная ссылка, то рекомендуется использовать версию этого стандарта с указанным выше годом утверждения (принятия). Если после утверждения настоящего стандарта в ссылочный стандарт, на который дана датированная ссылка, внесено изменение, затрагивающее положение, на которое дана ссылка, то это положение рекомендуется применять без учета данного изменения. Если ссылочный стандарт отменен без замены, то положение, в котором дана ссылка на него, рекомендуется применять в части, не затрагивающей эту ссылку.

3. Термины, определения и сокращения

3.1. Термины и определения

В настоящем стандарте применены термины по ГОСТ Р 56020, ГОСТ Р ИСО 9000, а также следующие термины с соответствующими определениями:

3.1.1. поток (stream): Совокупность элементарных действий, которые управляются как целое, характеризуемое скоростью перемещения основной характеристики объекта.

Примечания

1. Понятие "поток" возникает при перемещении вещества, электрических зарядов (электрический ток), электрических и магнитных полей, информации, финансов и характеризует скорость их перемещения через определенные сечения.

2. В настоящем стандарте поток представляет собой деятельность системы взаимосвязанных процессов, например соединенных в цепочку, отражающую последовательность перемещения и создания ценностей от входа одного процесса к другому синхронно по всей цепочке.

3.1.2. поток создания ценности (value stream): Все действия, как создающие, так и не создающие ценность, которые позволяют продукции пройти все процессы от разработки концепции до запуска в производство и от принятия заказа до доставки потребителю.

Примечания

1. В данном определении под потребителем понимается как внешний, так и внутренний потребители.

2. ПСЦ используется как интегральное понятие, включающее в себя материальные потоки (сырья, материалов, комплектующих, деталей и сборочных единиц, готовой продукции), информационные и финансовые потоки, направленные на создание и доставку готовой продукции потребителю в установленное время, в установленном месте, с установленной стоимостью, с последующим ее обслуживанием в процессе эксплуатации и утилизации.

3. Приведенное понятие ПСЦ охватывает несколько стадий жизненного цикла продукции, включая стадии проектирования. Настоящий стандарт рассматривает стадию производства.

4. При создании и перемещении ценности соответствующие потоки характеризуются скоростью перемещения ценности со входа предыдущего процесса на вход последующего. Синхронизация процессов в ПСЦ обеспечивается применением методов и инструментов БП, таких как канбан, супермаркет, поддержание буферных запасов.

3.1.3. цикл "Планируй - Делай - Проверяй - Действуй" (PDCA: Plan - Do - Check - Act): Цикл, позволяющий организации обеспечивать ее процессы необходимыми ресурсами, осуществлять их менеджмент, определять и реализовывать возможности для улучшения.

Примечания

1. Цикл PDCA может быть применен ко всем процессам и к системе менеджмента в целом.

2. Описание цикла PDCA: - планируй - разработка целей системы и ее процессов, определение ресурсов, необходимых для достижения результатов в соответствии с требованиями потребителей и политикой организации, определение и рассмотрение рисков и возможностей; - делай - выполнение того, что запланировано; - проверяй - мониторинг и (там, где это применимо) измерение процессов, продукции в сравнении с политикой, целями, требованиями и запланированными действиями и сообщение о результатах; - действуй - принятие мер по улучшению результатов деятельности в той степени, насколько это необходимо.

3.2. Сокращения

В настоящем стандарте применены следующие сокращения:

БП - бережливое производство;

ПС - производственная система;

СМБП - система менеджмента бережливого производства;

СМК - система менеджмента качества;

ПДО - планово-диспетчерский отдел;

ПО - плановый отдел;

ЖЦ - жизненный цикл.

4. Общие положения

Организация системы процессов достигает наилучших результатов с точки зрения стоимости, скорости, гибкости, когда она построена на принципах БП. Организации, не применяющие принципы БП, имеют более высокий уровень потерь, более длинные временные производственные циклы, невысокую производительность труда. Переход к ПС на принципах БП приводит к росту эффективности производственных процессов и бизнеса в целом, создает условия для повышения показателей эффективности организаций и основу для постоянного совершенствования.

Требования к ПС включают условия соответствия принципам БП, поточную организацию процессов, управление системой процессов через характеристики ПСЦ (например, время цикла, время такта, уровень запасов в супермаркетах), а также требования к совершенствованию систем процессов и постоянной их адаптации к меняющемуся потоку заказов.

Принципы БП позволяют построить ПС, более простые в управлении с ограниченным числом управленческих характеристик и сокращающие потери, которые характерны для ПС, ориентированных на работу партиями, централизацию управления и логистикой.

ПС, построенные на принципах БП, на основе процессного подхода и организации потоков создания ценности, постоянного улучшения и вовлечения персонала позволяют снижать затраты, повышать рентабельность бизнеса, сокращать время выполнения заказов, повышать производительность труда, также преимуществом становится их гибкость, простота и более высокая управляемость в изменяющихся внешних и внутренних условиях бизнеса. Это позволяет построить СМБП, направленные на управление относительно небольшим числом показателей ПС, и создает основу для систематического управляемого процесса повышения эффективности.

5. Основные понятия

5.1. Производственная система на принципах бережливого производства

5.1.1. Назначение производственной системы

ПС представляет собой совокупность процессов создания ценности продукции или услуг и процессов обеспечения их функционирования (технического обслуживания и ремонта, метрологического обеспечения, внутренней логистики и т.п.), а также информационных процессов (например, планирование производства с помощью канбан, супермаркетов, подхода "точно вовремя"), необходимых для реализации ПС. ПС является объектом управления со стороны системы менеджмента.

Задача системы менеджмента состоит в определении целей ПС и требований к ПС, направленных на обеспечение достижения ключевых показателей бизнеса и их улучшение, в соответствии с целями бизнеса (см. рисунок 1).

Ключевые показатели бизнеса и их целевые значения формируются высшим руководством организации на основе потребностей заинтересованных сторон. Данные показатели включают в себя показатели операционной эффективности и инвестиционной эффективности.

Цели и требования ПС связаны с качеством, безопасностью, охраной труда, уровнем затрат (себестоимостью продукции/услуги), сроками поставок. Для достижения поставленных целей система менеджмента обеспечивает ПС необходимыми ресурсами.

Задачей ПС является организация процессов создания продукции для достижения целевых значений показателей, установленных системой менеджмента, с учетом удовлетворения требований потребителя.

5.1.2. Процессный подход как основа построения производственной системы

Ценность для конечного потребителя создается системами процессов, составляющих ПС.

Входами процессов являются выходы предыдущих процессов, а выходы процессов являются входами последующих процессов (ГОСТ Р ИСО 9001).

Процессный подход является способом организации деятельности людей на основе разделения труда. Разделение труда реализуется через принципы автономности человека, взявшего на себя ответственность за управление процессом. Автономность и ответственность являются основой категории "владелец процесса". Между владельцами процессов формируются отношения по принципу "поставщик - потребитель". Интеграция процессов в единую систему осуществляется через связи и договоры между владельцами процессов, выполняющих роли поставщиков и потребителей как внешних, так и внутренних.

Процессы обладают высокой степенью воспроизводимости результатов при одних и тех же условиях. Процессы имеют характеристики периода и фазы. Под периодом процесса понимается продолжительность единичного выполнения процесса. Фаза процесса характеризует момент начала и момент окончания процесса. При интеграции процессов в единую систему их результативность и эффективность зависят от их синхронизации по периоду и по фазе.

Рисунок 1. Структура требований на разных уровнях управления организации

Между владельцами процессов устанавливаются договоры <1>, определяющие их взаимные обязательства и ответственности. Владельцы процессов являются участниками коллективного договора об участии в действиях по устранению потерь, обусловленных несоответствиями, и их скрытых причин. Владельцы процессов выявляют проблемы и потери, причины возникновения несоответствий и предоставляют предложения по их устранению.

<1> Термин "договор" означает, что владельцы процессов и высшее руководство устанавливают соглашения в любой форме, включая устную, а также оформленную в рамках документации системы менеджмента.

Выходом процесса могут быть продукция и информация. К выходу предыдущего процесса (процесса-поставщика) устанавливаются требования, соответствие которым позволяет принять решение о переходе к последующему процессу (процессу-потребителю). Невыполнение данных требований влечет за собой возврат на вход предыдущего процесса.

Требования от процесса-потребителя к процессу-поставщику согласованы с требованиями конечного потребителя. На владельца процесса-потребителя возложена ответственность за контроль соответствия требованиям выхода процесса-поставщика.

Для построения ПС организации на основе процессного подхода необходимо определить следующие элементы управления:

а) цели и требования;

б) методы и стандарты работы;

в) обеспечение ресурсами;

г) методы контроля;

д) мотивация и организационная среда;

е) правила взаимодействия между процессами. Они могут касаться способов передачи информации, совместного использования активов и ресурсов, совместного планирования и ведения деятельности;

ж) разрешение спорных вопросов через административный ресурс. Несмотря на то что процессы обладают высокой воспроизводимостью, изменения во внешней среде (например, требований потребителей) могут приводить к конфликтам интересов владельцев различных процессов, которые разрешаются высшим руководством организации;

и) компенсация ответственности. Степень взятой на себя ответственности владельцем процесса компенсируется системой мотивации по принципу: "Чем больше ответственность, тем выше бонусы за достигнутые результаты";

к) требования ко всей системе процессов ПС.

5.1.3. Понятие бережливой производственной системы

Существует два типа ПС:

а) ПС с централизованной системой управления, в которой управление процессами осуществляется локально (каждым в отдельности) на основе норм выработки и плана производства для каждого отдельного процесса. Роль складов в данной системе сводится к консолидации, хранению и перераспределению единиц продукции, производимых каждым из процессов, в соответствии с планом производства для каждого из процессов.

Примечание - К ПС с централизованной системой управления относятся производство партиями или традиционное производство.

В данном случае каждый процесс организуется и управляется через центральный склад и подразделение, занимающееся обеспечением и логистикой (например, ПДО или ПО и т.п.). При данном типе организации ПС каждый процесс обрабатывает партию изделий, которые собираются на рабочих местах и далее направляются на центральный склад или в смежный цех. Управление осуществляется через нормы (задания каждому владельцу процесса), контроль выполнения каждого процесса и мотивацию каждого владельца процесса, что создает сложные управленческие механизмы. Оплата труда владельцев процессов определяется в зависимости от норм выработки и фактического выполнения нормы;

б) бережливая ПС (децентрализованная система управления), организованная на основе ПСЦ, в соответствии с принципом вытягивания без использования централизованных складов. Организация процессов без использования централизованных складов, как правило, более эффективна, чем с использованием централизованных складов. Управление процессами, организованными на основе ПСЦ, выстраивается как управление целостным объектом через характеристики ПСЦ. Вместо управления каждым процессом (рабочим местом) в отдельности основными параметрами управления в бережливой ПС становятся: время такта, время цикла; количество рабочего времени; в ряде случаев количество параллельных процессов; неснижаемый запас продукции в буфере. Оплата труда владельцев процессов носит повременно-премиальный характер, так как производительность труда определяется временами такта и цикла.

Примечание - Для синхронизации поставки допускается использовать склады на рабочих местах, организованные для хранения страхового запаса, необходимого для начала работы процесса-потребителя точно вовремя.

5.2. Понятия потока создания ценности и его составляющих

5.2.1. Понятие "ценность"

Под ценностью следует понимать то, чем люди хотят владеть, пользоваться, что хотят потреблять, эксплуатировать и чем хотят обмениваться. Ценность продукции определяется потребителем на основе собственного опыта, конкурентных предложений, существующих знаний и технологий, возможностей и потребностей и измеряется ценой, формируемой в результате обменных процессов (универсальная обменная ценность - деньги).

Примечание - Ценность для потребителя может быть связана с категориями, такими как качество, время производства продукции, время оказания услуги, надежность, безопасность и др.

Для производителя ценность связана с обменом продукции на деньги - универсальную обменную ценность. При этом чем выше ценность для потребителя, тем большую обменную ценность имеет продукция для производителя.

Ценность для внутреннего потребителя определяется реализацией требований к поставке продукции нужного качества, в нужное время и место, в необходимом количестве.

5.2.2. Понятие "создание ценности"

Ценность для потребителя продукции создается в производственных процессах и процессах логистики. Процессы логистики необходимы для передачи ценности потребителю.

Примечание - В данных терминологии и понятиях логистические процессы рассматриваются как процессы создания ценности, поскольку перемещают ценность от выхода процесса-поставщика на вход процесса-потребителя, если речь идет о внутреннем потребителе, либо непосредственно к внешнему потребителю. Этап владения ценностью наступает, когда продукция находится в нужном месте, в нужное время. Продукция, к которой у потребителя нет доступа, т.е. нет возможности владеть, использовать, потреблять, не имеет для него ценности.

5.2.3. Понятие "поток создания ценности"

ПСЦ образуется как повторяющаяся последовательность создания и перемещения ценностей от входов первых процессов до выходов последних, синхронизированных с потоком заказов, и представляет собой результат деятельности системы процессов, создающих ценность и перемещающих ее от поставщиков к потребителям.

Примечания

1. В данном случае имеется в виду как внутренний, так и внешний потребитель.

2. Поток заказов от потребителей является необходимым условием для реализации ПСЦ.

Система процессов может включать в себя:

- обработку;

- сборку;

- контроль;

- обслуживание оборудования;

- обеспечение ресурсами;

- логистику (хранение, транспортировку, упаковку);

- действия с несоответствующей продукцией;

- обмен информацией.

ПСЦ предполагает создание системы процессов, при которой перемещение продукции (деталей) осуществляется напрямую с выхода процесса-поставщика на вход процесса-потребителя, минуя поставку на склад и доставку со склада. При этом функцию доставки выполняют логистические процессы. Задачей процесса-поставщика является удовлетворение требований процесса-потребителя, т.е. предоставление ему продукции в нужное место, необходимого качества и количества, в нужный момент времени ("4 НУ").

Требования к процессу-поставщику определяются процессом-потребителем в зависимости от требований конечного потребителя в соответствии с принципом вытягивания. Цепочка взаимоотношений "поставщик - потребитель" в ПСЦ требует точной синхронизации времени начала, окончания и доставки ценности на вход процессов. В противном случае появляется вероятность возникновения потерь, например излишние запасы и перемещения, дефекты. Для выстраивания ПСЦ применяются инструменты БП (например, супермаркет, канбан), направленные на синхронизацию процессов по фазе и периоду. Это позволяет решать задачу снижения потерь, вызванных рассинхронизацией процессов.

Примечание - Иногда процессы в силу технологических причин работают как параллельные, например термообработка, закалка, гальванические процессы и др., которые принципиально должны обрабатывать одновременно определенное число деталей; синхронизация этих процессов требует применения накопительных буферов.

Управление ПСЦ направлено на достижение целевых значений показателей, установленных системой менеджмента, и обеспечение соответствия продукции требованиям потребителей при минимизации использования ресурсов. Для этого необходимо определять и применять соответствующие методы и инструменты БП (ГОСТ Р 56407). Управление ПСЦ осуществляется на четырех уровнях (ГОСТ Р 56020), требования к управлению ПСЦ на каждом уровне приведены в ГОСТ Р 56404.

ПСЦ состоит из элементарных последовательных или последовательно-параллельных цепей, включающих в себя создание и перемещение ценности (см. рисунки 2, 3). Создание ценности подразумевает под собой процесс изменения свойств продукции (движение в пространстве характеристик продукции, от входа процесса к его выходу). Перемещение ценности подразумевает под собой перенос продукции от выхода предыдущего процесса ко входу последующего за счет логистических процессов (движение в физическом пространстве).

Рисунок 2. Структура элементарного действия по созданию и перемещению ценности (последовательные цепи)

- процесс-поставщик; - процесс-потребитель; - ценность на входе процесса-поставщика; - ценность на входе процесса-потребителя; - время обработки детали в процессе; - время перемещения детали от выхода процесса-поставщика на вход процесса-потребителя

Рисунок 3. Структура элементарного действия по созданию и перемещению ценности (последовательно-параллельные цепи)

5.2.4. Понятие синхронизации процессов

Синхронизация процессов в ПСЦ (по периоду и по фазе) - инструмент создания, управления и адаптации непрерывного, равномерного ПСЦ. Для синхронизации процессов применяют методы и инструменты, такие как канбан, супермаркет, буферные запасы.

Синхронизация по периоду - кратно устанавливается при планировании ПСЦ; при невозможности обеспечить равные по техническим и/или организационным причинам применяют последовательно-параллельные цепи, размещая параллельно более медленные процессы. Вариабельность и случайные нарушения синхронизации компенсируются страховыми запасами в буферах.

Канбан является инструментом синхронизации по фазе, совмещая логистические процессы с информационными (заказами).

5.2.5. Поддерживающие процессы

ПСЦ создается процессами и определяется характеристиками перемещения ценностей в пространстве как физическом, так и виртуальном (пространстве свойств, характеристик качества). Процессы создания и перемещения ценностей, как правило, включают в себя обработку, сборку, логистику (хранение, транспортировку, упаковку). Для обеспечения функционирования процессов создания и перемещения ценности в ПС создаются поддерживающие (вспомогательные) процессы, обеспечивающие предотвращение, минимизацию или устранение возникающих потерь. Поддерживающие (вспомогательные) процессы могут включать в себя:

- контроль;

- техническое обслуживание и ремонт оборудования;

- обеспечение ресурсами;

- действия с несоответствующей продукцией;

- метрологическое обеспечение;

- обслуживание инфраструктуры и производственной среды и т.д.;

- информационные потоки.

Примечание - Информационные потоки служат для обеспечения синхронизации процессов по фазе и периоду, а также для передачи требований от процесса-потребителя к процессу-поставщику. Информационные потоки в ПС создаются потоком заказов.

5.3. Основные характеристики потока создания ценности

Основными характеристиками ПСЦ являются:

- производительность процессов как характеристика скорости создания и перемещения ценности (текущие и усредненные за календарный период);

- времена тактов и циклов (от входа предыдущего процесса до выхода последующего);

- запасы продукции в буферах (время обеспечения работы процесса при нарушении поставки в нужное время, в нужном количестве, в нужное место);

- время цикла обратных процессов (время на осуществление действий с несоответствующей продукцией);

- коэффициенты готовности процессов (процессы должны иметь равные коэффициенты готовности).

Производительность процесса V, руб./ч, вычисляют по формуле

, (1)

где:

- ценность на входе процесса-потребителя (рыночная цена детали на входе последующего процесса);

- ценность на входе процесса-поставщика (рыночная цена детали на входе предыдущего процесса);

- время создания ценности процессом-поставщиком и ее перемещения ко входу процесса-потребителя (время между моментами двух последовательных входов процессов).

Логистические процессы в значительной мере влияют на производительность процессов, т.к. она зависит от времени между моментами двух последовательных входов процессов, в которое входит время создания ценности и время перемещения ценности (см. формулу 2).

, (2)

где:

- интервал времени обработки детали в процессе (действие по созданию ценности);

- интервал времени перемещения от выхода процесса-поставщика ко входу процесса-потребителя (действие по перемещению ценности).

Производительность ПСЦ определяется производительностью (скоростью) элементарных действий по созданию и перемещению ценности в потоке. Производительность всего ПСЦ для единицы продукции при последовательном выполнении всех процессов вычисляют по формуле

, (3)

где:

- производительность потока;

- ценность на входе процесса-потребителя;

- ценность на входе процесса-поставщика;

n - количество элементарных действий в ПСЦ.

В случае, когда время элементарного действия по созданию и переносу ценности всех процессов в потоке одинаково, производительность потока вычисляют по формуле

, (4)

где:

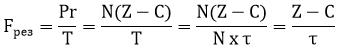
- среднее изменение ценности продукции при переходе от входа предыдущего процесса ко входу последующего. Результирующий финансовый поток представляет собой прибыль, которую бизнес приносит в единицу времени.

, (5)

где:

Z - цена единицы продукции;

C - себестоимость единицы продукции;

Pr - прибыль на единицу продукции;

N - количество произведенной и проданной продукции за период времени T;

- время такта;

T - доступное время производства.

6. Управление потоком создания ценности

В настоящем стандарте под управлением ПСЦ следует понимать деятельность по планированию, реализации, проверке и улучшению ПСЦ как системы процессов, направленную на удовлетворение требований потребителей и других заинтересованных сторон. Управление ПСЦ осуществляется в соответствии с циклом PDCA (см. рисунок 4), включающий в себя следующие этапы:

Рисунок 4. Цикл управления ПСЦ

- планирование,

- реализация,

- проверка,

- улучшение.

6.1. Планирование

Планирование ПСЦ осуществляется на ранних стадиях ЖЦ продукта. Планирование осуществляется на основе следующих исходных данных, получаемых из процессов системы менеджмента:

- цели СМБП;

- требования и ожидания потребителя (по качеству продукции, безопасности, срокам изготовления и поставки, стоимости, объемам) и других заинтересованных сторон.

Примечания

1. Требования потребителя к срокам поставки продукции являются исходной информацией для расчета времени такта (ГОСТ Р 56020).

2. Требования потребителя могут быть связаны с точностью, объемом партии, периодичностью поставок, комплектностью продукции и т.д.;

- опыт проектирования и организации производственных и логистических процессов;

- возможности процессов (мощности оборудования, квалификация персонала) исходя из их пропускной способности.

Примечание - Под пропускной способностью процесса следует понимать поток максимально возможного числа обработанных единиц продукции в единицу времени (прошедших от входа к выходу процесса);

- планировка производственной площадки (расстановка оборудования, станков, оснастки и т.п.) с учетом рекомендаций ГОСТ Р 56906, ГОСТ Р 56907;

- риски невыполнения требований потребителя (ГОСТ Р ИСО 31000).

6.1.1. Деятельность на этапе планирования потока создания ценности

На этапе планирования ПСЦ перед организацией стоит выбор - выполнять процесс самостоятельно или передавать его сторонним организациям. Выбор следует делать с учетом возможности достигать цели организации и выполнять требования потребителей по качеству, стоимости и времени.

Деятельность на этапе планирования включает в себя:

- формирование межфункциональной команды для разработки/проектирования;

- определение системы процессов для реализации ПСЦ на основе принципов, методов БП и менеджмента качества;

- проектирование процессов.

Примечание - В рамках проектирования процессов организация должна определять:

- требования к результатам процесса, в т.ч. к продолжительности процессов;

- методы выполнения операций в рамках процесса;

- методы контроля хода и результатов процесса;

- компетенции и возможности сотрудников для достижения результата процесса;

- методы мотивации сотрудников;

- установление показателей для ПСЦ;

- определение ресурсов (человеческих, финансовых, материальных, информационных) для достижения целей ПСЦ;

- обучение работников, участвующих в ПСЦ;

- определение методов проверки и оценки ПСЦ;

- разработку форм документирования информации по ПСЦ.

6.1.2 Результатами этапа планирования являются:

- предварительная карта ПСЦ.

Примечание - Предварительная карта ПСЦ отображает последовательность процессов создания ценности и их основные показатели, например время цикла, время обработки, задействованные ресурсы. Предварительную карту ПСЦ следует формировать с учетом положений ГОСТ Р 56407;

- перечень показателей ПСЦ и методики их расчета;

- матрица ответственности.

Примечание - Матрица ответственности включает в себя распределение ответственности между участниками ПСЦ.

Результаты планирования ПСЦ - это выходные данные процесса проектирования, входные данные для процесса валидации продукции. Валидация должна быть осуществлена до начала серийного производства при выпуске опытной/установочной партии.

6.2. Реализация

Входные данные этапа реализации ПСЦ - это результаты этапа планирования ПСЦ.

6.2.1 Деятельность на этапе реализации ПСЦ

Реализация потока создания ценностей включает в себя:

- разработку и применение документированных процедур, инструкций, регламентирующих деятельность в рамках процессов создания ценности (ГОСТ Р 56908);

- организацию информационной системы (в том числе для сбора данных для расчета показателей ПСЦ);

- уточнение планировки производственной площадки (размещение оборудования, места складирования, оснастки, инструмента и т.п.) и систем коммуникаций;

- организацию рабочих мест (ГОСТ Р 56407, ГОСТ Р 56906);

- монтаж, установку, пусконаладочные работы оборудования;

- разработку плана производства;

- разработку плана подготовки основного и вспомогательного персонала.

6.2.2 Результатами этапа реализации являются:

- продукция, соответствующая требованиям потребителя;

- записи результатов функционирования ПСЦ;

- фактическая производительность каждого процесса создания ценности и всего ПСЦ;

- значения показателей ПСЦ в соответствии с методиками расчета показателей.

6.3. Проверка

Входные данные этапа проверки ПСЦ - это результаты этапа реализации ПСЦ.

6.3.1 Деятельность на этапе проверки потока создания ценности

Реализация этапа проверки ПСЦ включает в себя:

- построение карты текущего состояния ПСЦ.

Примечание - Карту текущего состояния ПСЦ строят согласно требованиям ГОСТ Р 56407;

- оценку соответствия результата реализации ПСЦ требованиям потребителя;

- аудит ПСЦ и его показателей;

- оценку реальных и потенциальных потерь.

Примечание - Фактически понесенные потери при прохождении потока создания ценности через процессы организации следует относить к реальным, возможные потери вследствие реализации рисков - к потенциальным. Общая классификация потерь по видам приведена в ГОСТ Р 56020. Организация может расширить представленные виды потерь;

- оценку вовлеченности персонала в реализацию ПСЦ.

6.3.2 Результаты этапа проверки:

- карта текущего состояния ПСЦ;

- значения показателей ПСЦ.

Примечание - Проверка ПСЦ позволяет получить данные о текущих показателях результативности и эффективности ПСЦ;

- перечень потерь;

- степень удовлетворенности потребителя.

6.4. Улучшение

Входные данные этапа улучшения ПСЦ - это результаты этапа проверки ПСЦ.

6.4.1 Деятельность на этапе улучшения потока создания ценности

Реализация этапа улучшения ПСЦ включает в себя:

- разработку карты будущего состояния ПСЦ.

Примечание - Карту будущего состояния ПСЦ строят согласно требованиям ГОСТ Р 56407;

- планирование мероприятий по снижению и устранению потерь в ПСЦ.

Примечание - Организации следует применять методы БП (ГОСТ Р 56407), направленные на снижение и устранение потерь;

- внесение изменений в матрицу ответственности.

6.4.2 Результаты этапа улучшения:

- карта будущего состояния ПСЦ;

- перечень мероприятий по снижению и устранению потерь;

- планировка производственной площадки;

- целевые значения показателей ПСЦ;

- ПСЦ, соответствующий целевым значениям показателей.

6.5. Вовлечение персонала в этапы цикла PDCA

Для целей улучшения ПСЦ высшему руководству организации следует организовать систему вовлечения работников в деятельность по постоянному улучшению (например, кайдзен-группы и другие формы командной работы, материальная и нематериальная мотивация, обучение, соответствующая корпоративная культура).

В системах мотивации в рамках процессного подхода применяют методы принуждения к выполнению участниками договоров своих обязательств, гарантированные и переменные вознаграждения за количество, качество труда и предотвращение рисковых событий, а также методы создания условий для самомотивации, которые работодатель предлагает работнику взамен на предложения по улучшению.

Для работников важно получать не только материальные ценности, но и такие ценности, как уважение, признание достижений и личных качеств, публичность, участие в принятии важных решений, условия для проявления творческих способностей и самореализации.

7. Применение потока создания ценности для построения, развития, совершенствования производственной системы и систем менеджмента бережливого производства организаций

Для БП характерна поточная организация процессов, в которой выход одного процесса передается на вход другого процесса напрямую без обращения продукции через централизованные склады. Функцию доставки выполняют логистические процессы. Такая организация процессов существенно более эффективна, чем организация работы партиями и накопление их на складах, и последующее перераспределение по процессам.

Поточная организация производства - это организация системы процессов, когда выходы предыдущих процессов передаются на входы последующих синхронно в соответствии с требованием "4 Ну". Процессы выстраиваются последовательно. Процессы выстраиваются параллельно, когда их продолжительность кратно больше периодов основных процессов, принимаемых за время такта, в этих случаях параллельные процессы сдвигаются по фазе на время периода (время такта) или перед ними устанавливается накопитель - буфер, задача которого - накопить на входе необходимое количество продукции или комплектующих для начала процесса.

Поток возникает, когда множество заказов формируется как последовательность заказов с определенным периодом времени, согласованным со временем такта системы процессов. ПСЦ определяется как отношение ценности, пересекающей выход процесса, ко времени, за которое эта ценность создана. Процесс добавляет на выходе ценность к той, которая была поставлена на вход процесса. ПСЦ характеризует скорость создания ценности и ее перемещения с выхода одного процесса на вход другого.

Организация системы процессов в виде ПСЦ позволяет улучшать показатели стоимости, скорости, гибкости, уровня потерь, временных производственных циклов, производительности труда, а также создает условия для планомерного повышения показателей эффективности организаций и основу для постоянного совершенствования.

Постоянное совершенствование ПСЦ направлено на повышение удовлетворенности всех заинтересованных сторон бизнеса (акционеры/собственники, менеджмент, персонал, потребители/заказчики) и обеспечение устойчивости к колебаниям спроса на рынке за счет синхронизации процессов и уменьшения потерь как в самих процессах, так и при переходе от одного процесса создания ценности к другому (сокращение или устранение излишних процессов логистики, контроля/верификации, действий с несоответствующей продукцией, аутсорсинг процессов).