Приказ Минстроя РФ от 07.11.2016 N 777/ПР

"Об утверждении СП 52.13330 "СНиП 23-05-95* естественное и искусственное освещение"
Редакция от 20.11.2019 — Не действует Перейти в действующую
Показать изменения

МИНИСТЕРСТВО СТРОИТЕЛЬСТВА И ЖИЛИЩНО-КОММУНАЛЬНОГО ХОЗЯЙСТВА РОССИЙСКОЙ ФЕДЕРАЦИИ

ПРИКАЗ
от 7 ноября 2016 г. N 777/пр

ОБ УТВЕРЖДЕНИИ СП 52.13330 "СНИП 23-05-95* ЕСТЕСТВЕННОЕ И ИСКУССТВЕННОЕ ОСВЕЩЕНИЕ"

(в ред. Приказа Минстроя РФ от 10.02.2017 N 86/пр, Изменения N 1, утв. Приказом Минстроя РФ от 20.11.2019 N 699/пр)

В соответствии с Правилами разработки, утверждения, опубликования, изменения и отмены сводов правил, утвержденными постановлением Правительства Российской Федерации от 1 июля 2016 г. N 624, подпунктом 5.2.9 пункта 5 Положения о Министерстве строительства и жилищно-коммунального хозяйства Российской Федерации, утвержденного постановлением Правительства Российской Федерации от 18 ноября 2013 г. N 1038, пунктом 42 Плана разработки и утверждения сводов правил и актуализации ранее утвержденных сводов правил, строительных норм и правил на 2015 г. и плановый период до 2017 г., утвержденного приказом Министерства строительства и жилищно-коммунального хозяйства Российской Федерации от 30 июня 2015 г. N 470/пр, с изменениями, внесенными приказом Министерства строительства и жилищно-коммунального хозяйства Российской Федерации от 14 сентября 2015 г. 659/пр, приказываю:

1. Утвердить и ввести в действие через 6 месяцев со дня издания настоящего приказа СП 52.13330 "СНиП 23-05-95* Естественное и искусственное освещение" согласно приложению.

2. С момента введения в действие СП 52.13330 "СНиП 23-05-95* Естественное и искусственное освещение" признать не подлежащим применению СП 52.13330.2011 "СНиП 23-05-95* Естественное и искусственное освещение", утвержденный приказом Министерства регионального развития Российской Федерации от 27 декабря 2010 г. N 783, за исключением пунктов СП 52.13330.2011 "СНиП 23-05-95* Естественное и искусственное освещение", включенных в Перечень национальных стандартов и сводов правил (частей таких стандартов и сводов правил), в результате применения которых на обязательной основе обеспечивается соблюдение требований Федерального закона "Технический регламент о безопасности зданий и сооружений", утвержденный постановлением Правительства Российской Федерации от 26 декабря 2014 г. N 1521 (далее - Перечень), до внесения соответствующих изменений в Перечень. (в ред. Приказа Минстроя РФ от 10.02.2017 N 86/пр)

В связи с утратой силы Постановления Правительства РФ от 26.12.2014 N 1521 следует руководствоваться принятым взамен Постановлением Правительства РФ от 04.07.2020 N 985.

3. Департаменту градостроительной деятельности и архитектуры в течение 15 дней со дня издания приказа направить утвержденный СП 52.13330 "СНиП 23-05-95* Естественное и искусственное освещение" на регистрацию в национальный орган Российской Федерации по стандартизации.

4. Департаменту градостроительной деятельности и архитектуры обеспечить опубликование на официальном сайте Минстроя России в информационно-телекоммуникационной сети "Интернет" текста утвержденного СП 52.13330 "СНиП 23-05-95* Естественное и искусственное освещение" в электронно-цифровой форме в течение 10 дней со дня регистрации свода правил национальным органом Российской Федерации по стандартизации.

5. Контроль за исполнением настоящего приказа возложить на заместителя Министра строительства и жилищно-коммунального хозяйства Российской Федерации Х.Д. Мавлиярова.

И.о. Министра
Е.О. СИЭРРА

УТВЕРЖДЕН
Приказом Министерства строительства
и жилищно-коммунального хозяйства
Российской Федерации
от 7 ноября 2016 г. N 777/пр

СВОД ПРАВИЛ

ЕСТЕСТВЕННОЕ И ИСКУССТВЕННОЕ ОСВЕЩЕНИЕ

АКТУАЛИЗИРОВАННАЯ РЕДАКЦИЯ
СНиП 23-05-95*

Daylighting and artificial lighting

СП 52.13330.2016

(в ред. Изменения N 1, утв. Приказом Минстроя РФ от 20.11.2019 N 699/пр)

Дата введения
8 мая 2017 года

Сведения о своде правил

1. ИСПОЛНИТЕЛИ - федеральное государственное бюджетное учреждение "Научно-исследовательский институт строительной физики Российской академии архитектуры и строительных наук" (НИИСФ РААСН) и Общество с ограниченной ответственностью "ЦЕРЕРА-ЭКСПЕРТ" (ООО "ЦЕРЕРА-ЭКСПЕРТ")

2. ВНЕСЕН Техническим комитетом по стандартизации ТК 465 "Строительство"

3. ПОДГОТОВЛЕН к утверждению Департаментом градостроительной деятельности и архитектуры Министерства строительства и жилищно-коммунального хозяйства Российской Федерации (Минстрой России)

4. УТВЕРЖДЕН приказом Министерства строительства и жилищно-коммунального хозяйства Российской Федерации от 7 ноября 2016 г. N 777/пр и введен в действие с 8 мая 2017 г.

5. ЗАРЕГИСТРИРОВАН Федеральным агентством по техническому регулированию и метрологии (Росстандарт). Пересмотр СП 52.13330.2011 "СНиП 23-05-95* Естественное и искусственное освещение"

В случае пересмотра (замены) или отмены настоящего свода правил соответствующее уведомление будет опубликовано в установленном порядке. Соответствующая информация, уведомление и тексты размещаются также в информационной системе общего пользования - на официальном сайте разработчика (Минстрой России) в сети Интернет

Введение

В настоящем своде правил приведены требования, соответствующие целям Федерального закона от 30 декабря 2009 г. N 384-ФЗ "Технический регламент о безопасности зданий и сооружений" и подлежащие обязательному соблюдению с учетом части 1 статьи 46 Федерального закона от 27 декабря 2002 г. N 184-ФЗ "О техническом регулировании", Федерального закона от 23 ноября 2009 г. N 261-ФЗ "Об энергосбережении и о повышении энергетической эффективности и о внесении изменений в отдельные законодательные акты Российской Федерации".

Свод правил устанавливает нормы естественного, искусственного и совмещенного освещения зданий и сооружений, а также нормы искусственного освещения селитебных территорий, площадок предприятий и мест производства работ вне зданий.

Актуализация выполнена авторским коллективом: федеральное государственное бюджетное учреждение "Научно-исследовательский институт строительной физики Российской академии архитектуры и строительных наук" (канд. техн. наук И.А. Шмаров, канд. техн. наук В.А. Земцов, инж. В.В. Земцов, инж. Л.В. Бражникова, канд. техн. наук Е.В. Коркина); ООО "ЦЕРЕРА-ЭКСПЕРТ" (инж. Е.А. Литвинская) при участии ООО "Всероссийский научно-исследовательский, проектно-конструкторский светотехнический институт им. С.И. Вавилова" (инж. А.Ш. Черняк, канд. техн. наук А.А. Коробко); Российская медицинская академия последипломного образования Минздрава России (д-р мед. наук Т.Е. Бобкова); Федеральное государственное автономное учреждение "Научный центр здоровья детей" Минздрава России (канд. биол. наук Л.М. Текшева); Программа развития ООН (инж. А.С. Шевченко), ЗАО "Светлана-Оптоэлектроника" (канд. техн. наук А.А. Богданов) ОАО НИПИ "ТЯЖПРОМ-ЭЛЕКТРОПРОЕКТ" (инж. З.К. Гобачева).

Изменение N 1 к СП 52.13330.2016 разработано авторским коллективом: федеральное государственное учреждение "Научно-исследовательский институт строительной физики Российской академии архитектуры и строительных наук" (НИИСФ РААСН) (канд. техн. наук И.А. Шмаров, канд. техн. наук В.А. Земцов, Л.B. Бражникова), Ассоциация "Росэлектромонтаж" (В.Н. Коротков), ОАО "ВНИПИнефть" (А.А. Полякова), ООО "ЦЕРЕРА-ЭКСПЕРТ" (Е.А. Литвинская). (в ред. Изменения N 1, утв. Приказом Минстроя РФ от 20.11.2019 N 699/пр)

1. Область применения

1.1 Настоящий свод правил распространяется на проектирование зданий и сооружений различного назначения, места производства работ вне зданий, площадки промышленных и сельскохозяйственных предприятий, железнодорожные пути площадок предприятий, наружное освещение городов, поселков и сельских населенных пунктов, автотранспортных тоннелей.

1.2 Настоящий свод правил также распространяется на проектирование устройств местного освещения, поставляемых комплектно со станками, машинами и производственной мебелью.

1.3 Настоящий свод правил не распространяется на освещение подземных выработок, морских и речных портов, аэродромов, железнодорожных станций и их путей, спортивных сооружений, помещений для хранения сельскохозяйственной продукции, размещения растений, животных, птиц, а также на проектирование специального технологического и охранного освещения при применении технических средств охраны.

2. Нормативные ссылки

В настоящем своде правил использованы нормативные ссылки на следующие документы:

ГОСТ 21.607-2014 Система проектной документации для строительства. Правила выполнения рабочей документации наружного электрического освещения

ГОСТ 21.608-2014 Система проектной документации для строительства. Правила выполнения рабочей документации внутреннего электрического освещения

ГОСТ 111-2014 Стекло листовое бесцветное. Технические условия

ГОСТ 5406-84 Эмали НЦ-25. Технические условия

ГОСТ 9754-76 Эмали МЛ-12. Технические условия

ГОСТ 10982-75 Эмаль ЭП-148 белая для холодильников и других электробытовых приборов. Технические условия

Строка. - Исключена. (в ред. Изменения N 1, утв. Приказом Минстроя РФ от 20.11.2019 N 699/пр)

ГОСТ 26824-2018 Здания и сооружения. Методы измерения яркости (в ред. Изменения N 1, утв. Приказом Минстроя РФ от 20.11.2019 N 699/пр)

ГОСТ 27900-88 (МЭК 598-2-22) Светильники для аварийного освещения. Технические требования

ГОСТ 30826-2014 Стекло многослойное. Технические условия

ГОСТ 31364-2014 Стекло с низкоэмиссионным мягким покрытием. Технические условия

ГОСТ 32997-2014 Стекло листовое, окрашенное в массе. Общие технические условия

ГОСТ 33017-2014 Стекло с солнцезащитным или декоративным твердым покрытием. Технические условия

ГОСТ 33086-2014 Стекло с солнцезащитным или декоративным мягким покрытием. Технические условия

ГОСТ 33392-2015 Здания и сооружения. Метод определения показателя дискомфорта при искусственном освещении помещений

ГОСТ 33393-2015 Здания и сооружения. Методы измерения коэффициента пульсации освещенности

ГОСТ EN 410-2014 Стекло и изделия из него. Методы определения оптических характеристик. Определение световых и солнечных характеристик

ГОСТ IEC 60598-2-22-2012 Светильники. Часть 2-22. Частные требования. Светильники для аварийного освещения

Строка. - Исключена. (в ред. Изменения N 1, утв. Приказом Минстроя РФ от 20.11.2019 N 699/пр)

ГОСТ Р 54350-2015 Приборы осветительные. Светотехнические требования и методы испытаний

ГОСТ Р 54815-2011/IEC/PAS 62612:2009 Лампы светодиодные со встроенным устройством управления для общего освещения на напряжения свыше 50 В. Эксплуатационные требования

Строка. - Исключена. (в ред. Изменения N 1, утв. Приказом Минстроя РФ от 20.11.2019 N 699/пр)

ГОСТ Р 55708-2013 Освещение наружное утилитарное. Методы расчета нормируемых параметров

ГОСТ Р МЭК 60598-1-2011 Светильники. Часть 1. Общие требования и методы испытаний

СП 98.13330.2012 "СНиП 2.05.09-90 Трамвайные и троллейбусные линии"

СП 131.13330.2012 "СНиП 23-01-99* Строительная климатология" (с изменением N 2)

СанПиН 2.2.1/2.1.1.1076-01 Гигиенические требования к инсоляции и солнцезащите помещений жилых и общественных зданий и территорий

СанПиН 2.2.1/2.1.1.1278-03 Гигиенические требования к естественному, искусственному и совмещенному освещению жилых и общественных зданий

СанПиН 2.2.4.3359-16 Санитарно-эпидемиологические требования к физическим факторам на рабочих местах

ГОСТ 12.4.026-2015 Система стандартов безопасности труда. Цвета сигнальные, знаки безопасности и разметка сигнальная. Назначение и правила применения. Общие технические требования и характеристики. Методы испытаний (в ред. Изменения N 1, утв. Приказом Минстроя РФ от 20.11.2019 N 699/пр)

ГОСТ 14254-2015 (IEC 60529:2013) Степени защиты, обеспечиваемые оболочками (Код IP) (в ред. Изменения N 1, утв. Приказом Минстроя РФ от 20.11.2019 N 699/пр)

ГОСТ 23166-99 Блоки оконные. Общие технические условия (в ред. Изменения N 1, утв. Приказом Минстроя РФ от 20.11.2019 N 699/пр)

ГОСТ 24940-2016 Здания и сооружения. Методы измерения освещенности (в ред. Изменения N 1, утв. Приказом Минстроя РФ от 20.11.2019 N 699/пр)

ГОСТ Р 56926-2016 Конструкции оконные и балконные различного функционального назначения для жилых зданий. Общие технические условия (в ред. Изменения N 1, утв. Приказом Минстроя РФ от 20.11.2019 N 699/пр)

ГОСТ Р 57795-2017 Здания и сооружения. Методы расчета продолжительности инсоляции (в ред. Изменения N 1, утв. Приказом Минстроя РФ от 20.11.2019 N 699/пр)

СП 89.13330.2016 "СНиП II-35-76 Котельные установки" (в ред. Изменения N 1, утв. Приказом Минстроя РФ от 20.11.2019 N 699/пр)

СП 363.1325800.2017 Покрытия светопрозрачные и фонари зданий и сооружений. Правила проектирования (в ред. Изменения N 1, утв. Приказом Минстроя РФ от 20.11.2019 N 699/пр)

СП 367.1325800.2017 Здания жилые и общественные. Правила проектирования естественного и совмещенного освещения (в ред. Изменения N 1, утв. Приказом Минстроя РФ от 20.11.2019 N 699/пр)

СП 419.1325800.2018 Здания производственные. Правила проектирования естественного и совмещенного освещения (в ред. Изменения N 1, утв. Приказом Минстроя РФ от 20.11.2019 N 699/пр)

СП 426.1325800.2018 Конструкции фасадные светопрозрачные зданий и сооружений. Правила проектирования (в ред. Изменения N 1, утв. Приказом Минстроя РФ от 20.11.2019 N 699/пр)

СП 439.1325800.2018 Здания и сооружения. Правила проектирования аварийного освещения (в ред. Изменения N 1, утв. Приказом Минстроя РФ от 20.11.2019 N 699/пр)

Примечание - При пользовании настоящим сводом правил целесообразно проверить действие ссылочных документов в информационной системе общего пользования - на официальном сайте федерального органа исполнительной власти в сфере стандартизации в сети Интернет или по ежегодному информационному указателю "Национальные стандарты", который опубликован по состоянию на 1 января текущего года, и по выпускам ежемесячного информационного указателя "Национальные стандарты" на текущий год. Если заменен ссылочный документ, на который дана недатированная ссылка, то рекомендуется использовать действующую версию этого документа с учетом всех внесенных в данную версию изменений. Если заменен ссылочный документ, на который дана датированная ссылка, то рекомендуется использовать версию этого документа с указанным выше годом утверждения (принятия). Если после утверждения настоящего свода правил в ссылочный документ, на который дана датированная ссылка, внесено изменение, затрагивающее положение, на которое дана ссылка, то это положение рекомендуется применять без учета данного изменения. Если ссылочный документ отменен без замены, то положение, в котором дана ссылка на него, рекомендуется применять в части, не затрагивающей эту ссылку. Сведения о действии сводов правил целесообразно проверить в Федеральном информационном фонде стандартов.

3. Термины и определения

В настоящем своде правил применены следующие термины с соответствующими определениями:

3.1 аварийное освещение: Освещение, предусматриваемое в случае выхода из строя питания рабочего освещения.

3.2 автодорожный тоннель: Часть дороги для проезда автомобильного транспорта, имеющая перекрытие над проезжей частью, которое препятствует естественному освещению дорожного покрытия и тем самым ухудшает водителю условия видимости дорожной обстановки.

Примечания

1 Понятие тоннеля распространяется и на солнцезащитные экраны, примыкающие к порталам тоннеля.

2 Под понятие тоннеля не подпадает галерея, определяемая как часть дороги, перекрытие которой на всем протяжении имеет одну или обе светопроницаемые стены.

3.3 акцентирующее освещение: Выделение светом отдельных деталей на менее освещенном фоне.

3.4 антипаническое освещение: Вид эвакуационного освещения для предотвращения паники и безопасного подхода к путям эвакуации.

3.5 боковое естественное освещение: Естественное освещение помещения через световые проемы в наружных стенах.

3.6 верхнее естественное освещение: Естественное освещение помещения через фонари, световые проемы в стенах в местах перепада высоты здания.

3.7 внутренняя зона тоннеля: Участок тоннеля, примыкающий к переходной зоне и заканчивающийся у начала выездной зоны, а при ее отсутствии - у выездного портала.

3.8 выездная зона тоннеля: Участок тоннеля длиной, равной расстоянию безопасного торможения, примыкающий к внутренней зоне и заканчивающийся у выездного портала.

3.9 выездной портал тоннеля: Часть строительной конструкции тоннеля, обрамляющая выезд из тоннеля.

3.10 въездная зона тоннеля: Участок тоннеля, включающий в себя пороговую и переходную зоны.

3.11 въездной портал тоннеля: Часть строительной конструкции тоннеля, обрамляющая въезд в тоннель.

Примечание - При наличии солнцезащитного экрана въездной портал соответствует началу перекрытой таким экраном проезжей части.

3.12 геометрический коэффициент естественной освещенности , %: Отношение естественной освещенности, создаваемой в рассматриваемой точке заданной плоскости внутри помещения светом, прошедшим через незаполненный световой проем и исходящим непосредственно от равномерно яркого неба, к одновременно измеренному значению наружной горизонтальной освещенности под открытым полностью небосводом, при этом участие прямого солнечного света в создании той или другой освещенности исключается.

3.13 двухстороннее боковое естественное освещение: Естественное освещение помещения за счет светопроемов, расположенных в различных плоскостях двух стен.

3.14 дежурное освещение: Освещение, используемое в нерабочее время.

3.15 длина тоннеля, м: Расстояние между въездным и выездным порталами, отсчитываемое вдоль центральной линии проезжей части.

3.16 длинный тоннель: Тоннель, который либо имеет длину более 125 м, либо при подъезде к которому водитель, находящийся на расстоянии безопасного торможения перед въездным порталом, видит менее 20% площади рамки выездного портала или вообще ее не видит.

3.17 дорога (в городе): Автомобильная дорога, являющаяся составным элементом городской дорожно-уличной сети или соединяющая город с функционально связанными с ним объектами, но в отличие от улиц прокладываемая по свободным от застройки территориям.

3.18 дополнительное искусственное освещение: Искусственное освещение в системе совмещенного освещения, которое используется в течение рабочего дня в зонах с недостаточным естественным освещением.

3.19 естественное освещение: Освещение помещений светом неба (прямым или отраженным), проникающим через световые проемы в наружных ограждающих конструкциях, а также через световоды.

3.20 заливающее освещение: Общее (равномерное или неравномерное) освещение всего фасада здания или сооружения или его существенной части световыми приборами.

3.20а зенитный фонарь: Фонарь верхнего естественного света с соотношением наименьшей из сторон (или диаметра) входного основания к высоте светопроводной шахты (светопроводного канала) фонаря (расстояние от входного основания до выходного отверстия) . (в ред. Изменения N 1, утв. Приказом Минстроя РФ от 20.11.2019 N 699/пр)

3.21 знак безопасности: Знак, дающий информацию о мерах безопасности (запрещения, предписания или разрешения определенных действий) с помощью комбинации цвета, формы и графических символов или текста.

3.22 знак безопасности с внешней подсветкой: Знак безопасности, освещаемый извне.

3.23 знак безопасности с внутренней подсветкой: Знак безопасности, освещаемый изнутри.

Примечание - Знак безопасности с внутренней подсветкой является световым указателем.

3.24 индекс цветопередачи : Мера соответствия зрительных восприятий цветного объекта, освещенного исследуемым и стандартным источниками света при одинаковых условиях наблюдения.

3.25 интенсивность движения, единиц в час: Число транспортных средств в единицу времени, проходящих через поперечное сечение полотна дороги в часы пик в обоих направлениях.

3.26 комбинированное искусственное освещение: Искусственное освещение, при котором к общему искусственному освещению добавляется местное.

3.27 комбинированное естественное освещение: Сочетание верхнего и бокового естественного освещения.

3.28 коэффициент естественной освещенности (КЕО) e, %: Отношение естественной освещенности, создаваемой в расчетной точке заданной плоскости внутри помещения светом неба (непосредственным или после отражений), к одновременно измеренному значению наружной горизонтальной освещенности, создаваемой светом полностью открытого небосвода; при этом участие прямого солнечного света в создании той или другой освещенности исключается.

3.29 контраст объекта различения с фоном K, относительные единицы: Определяется отношением абсолютной величины разности между яркостью объекта и фона к яркости фона. Контраст объекта различения с фоном считается:

- большим - при K более 0,5 (объект и фон резко отличаются по яркости);

- средним - при K от 0,2 до 0,5 (объект и фон заметно отличаются по яркости);

- малым - при K менее 0,2 (объект и фон мало отличаются по яркости).

3.30 короткий тоннель: Тоннель, который имеет длину не более 125 м и при подъезде к которому водитель, находящийся на расстоянии безопасного торможения перед въездным порталом, может видеть не менее 20% площади рамки выездного портала.

3.31 коэффициент неравномерности яркости неба : Коэффициент, учитывающий неравномерность распределения яркости по небу и определяемый по формуле

, (3.1)

где - угол возвышения солнца над горизонтом, 0° < 90°;

- яркость участка неба;

- средняя яркость неба;

q(0°) = 0,429 - на горизонте.

3.32 коэффициент пульсации освещенности , %: Критерий оценки относительной глубины колебаний освещенности в осветительной установке в результате изменения во времени светового потока источников света при их питании переменным током, выражающийся формулой

, (3.2)

где и - максимальное и минимальное значения освещенности соответственно за период ее колебания, лк;

- среднее значение освещенности за этот же период, лк.

Примечание - Коэффициент пульсации освещенности учитывает пульсацию светового потока до 300 Гц. Пульсация освещенности свыше 300 Гц не оказывает влияния на общую и зрительную работоспособность.

Соблюдение норм коэффициента пульсации освещенности позволяет предотвратить отрицательное влияние фликера, стробоскопического эффекта и снизить зрительное и общее утомление человека.

3.33 коэффициент светового климата , относительные единицы: Коэффициент, учитывающий особенности светового климата района строительства, N - номер группы административных районов.

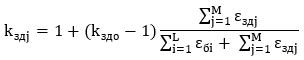
3.34 коэффициент слепящей блескости , относительные единицы: Коэффициент, характеризующий прямую слепящую блескость светильников в осветительной установке в местах производства работ вне зданий, вычисляемый по формуле

, (3.3)

где - суммарная вуалирующая яркость, вызванная осветительной установкой и определяемая суммой вуалирующих яркостей от каждого светильника (), кд/м2. Вуалирующую яркость каждого светильника вычисляют по формуле

, (3.4)

здесь - освещенность на зрачке наблюдателя в плоскости, перпендикулярной линии зрения (2° ниже горизонтали, см. рисунок 3.1), лк;

- угол между линией зрения наблюдателя и направлением падения света на зрачок наблюдателя, градусы;

- эквивалентная вуалирующая яркость фона (окружения), кд/м2.

Допуская отражение фона в основном диффузным, эквивалентную вуалирующую яркость фона вычисляют по формуле

(3.5)

где - средняя горизонтальная освещенность поверхности;

- средний коэффициент отражения окружающих поверхностей; в случаях, когда он не известен, принимают равным 0,15.

1 - линия зрения; 2 - плоскость глаз наблюдателя

Рисунок 3.1

3.35 коэффициент эксплуатации (для естественного освещения) MF, относительные единицы: Коэффициент, равный отношению значения КЕО в заданной точке, создаваемой естественным освещением к концу установленного срока эксплуатации, к значению КЕО в той же точке в начале эксплуатации.

Коэффициент учитывает снижение КЕО в процессе эксплуатации вследствие загрязнения и старения светопрозрачных заполнений в световых проемах, а также снижения отражающих свойств поверхностей помещения:

, (3.6)

где - коэффициент, учитывающий снижение КЕО в процессе эксплуатации вследствие загрязнения и старения светопрозрачных заполнений в световых проемах;

- коэффициент, учитывающий снижение КЕО в процессе эксплуатации вследствие снижения отражающих свойств поверхностей помещения.

Примечание - Коэффициент эксплуатации - величина, обратная ранее применявшемуся коэффициенту запаса для естественного освещения ().

3.36 коэффициент эксплуатации (для искусственного освещения) MF, относительные единицы: Коэффициент, равный отношению освещенности или яркости в заданной точке, создаваемой осветительной установкой в конце установленного срока эксплуатации, к освещенности или яркости в той же точке в начале эксплуатации.

Коэффициент учитывает снижение освещенности или яркости в процессе эксплуатации осветительной установки вследствие спада светового потока, выхода из строя источников света и невосстанавливаемого изменения отражающих и пропускающих свойств оптических элементов осветительных приборов, а также загрязнения поверхностей помещения, наружных стен здания или сооружения, проезжей части дороги или тротуара:

, (3.7)

где - коэффициент, учитывающий спад светового потока источников света;

- коэффициент, учитывающий выход из строя источников света;

- коэффициент, учитывающий загрязнение и невосстанавливаемое изменение отражающих и пропускающих свойств оптических элементов осветительных приборов;

- коэффициент, учитывающий загрязнение отражающих поверхностей помещения или сооружения.

Примечание - Коэффициент эксплуатации обратно пропорционален коэффициенту запаса : ().

3.37 локальное архитектурное освещение: Освещение части здания или сооружения, а также отдельных архитектурных элементов при отсутствии заливающего освещения.

3.37а

маломобильные группы населения; МГН: Люди, испытывающие затруднения при самостоятельном передвижении, получении услуги, необходимой информации или при ориентировании в пространстве. К маломобильным группам населения для целей настоящего свода правил здесь отнесены: инвалиды, люди с ограниченными (временно или постоянно) возможностями здоровья, люди с детскими колясками и т. п.
[СП 59.13330.2016, статья 3.21]

(в ред. Изменения N 1, утв. Приказом Минстроя РФ от 20.11.2019 N 699/пр)

3.38 медиафасад: Светопропускающая рекламная конструкция, размещаемая непосредственно на поверхности стен зданий, строений и сооружений или на металлокаркасе, повторяющем пластику стены (в случае размещения медиафасада на существующем остеклении здания, строения, сооружения), позволяющая демонстрировать информационные материалы. Размер информационного поля медиафасада определяется размером демонстрируемого изображения.

3.39 местное освещение: Освещение, дополнительное к общему, создаваемое светильниками, концентрирующими световой поток непосредственно на рабочих местах.

3.40 облачное небо МКО: Небо, полностью закрытое облаками, распределение яркости по которому определяется стандартом Международной комиссии по освещению (МКО). Отношение яркости небосвода на высоте над горизонтом к яркости в зените определяется формулой

, где (3.8)

La(0°) = 1 (на горизонте).

3.41 общая равномерность распределения яркости дорожного покрытия : Отношение минимального значения яркости дорожного покрытия к среднему:

3.42 общее равномерное искусственное освещение помещений: Освещение, при котором светильники размещаются в верхней зоне помещения и создают равномерное распределение освещенности на рабочих местах.

3.43 общее локализованное искусственное освещение помещений: Освещение, при котором светильники размещаются в верхней зоне помещения непосредственно над оборудованием.

3.44 объединенный показатель дискомфорта UGR, относительные единицы: Критерий оценки дискомфортной блескости, вызывающей неприятные ощущения при неравномерном распределении яркостей в поле зрения, определяемый по формуле

(3.9)

где - яркость блеского источника, кд/м2;

- угловой размер блеского источника, стерадиан;

- индекс позиции блеского источника относительно линии зрения;

- яркость адаптации, кд/м2.

3.45 объект различения: Рассматриваемый предмет, отдельная его часть или дефект, которые требуется различать в процессе работы.

3.46 освещение зон повышенной опасности: Вид эвакуационного освещения для безопасного завершения потенциально опасного рабочего процесса.

3.47 освещение путей эвакуации: Вид эвакуационного освещения для надежного определения и безопасного использования путей эвакуации.

3.48 освещенность E, лк: Отношение светового потока dФ, падающего на элемент поверхности, содержащий рассматриваемую точку, к площади dA этого элемента:

3.49 относительная площадь световых проемов , , %: Отношение площади фонарей или окон к освещаемой площади пола помещения.

3.50 отраженная блескость: Характеристика отражения светового потока от рабочей поверхности в направлении глаз работающего, определяющая снижение видимости вследствие чрезмерного увеличения яркости рабочей поверхности и вуалирующего действия, снижающих контраст между объектом и фоном.

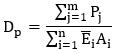
3.51 относительная удельная мощность дорожного освещения , Вт/(м2·лк): Показатель энергоэффективности освещения участка дороги, определяемый отношением мощности установленного осветительного оборудования к площади участка и средней освещенности.

Примечание - Методика расчета показателя приведена в приложении М.

3.52 перекресток: Транспортный узел, в котором две или более улиц или дорог соединяются или пересекаются в одном уровне.

3.53 площадь окон , м2: Суммарная площадь световых проемов (в свету), находящихся в наружных стенах освещаемого помещения.

3.54 площадь фонарей , м2: Суммарная площадь световых проемов (в свету) всех фонарей, находящихся в покрытии над освещаемым помещением или пролетом.

3.55 подъездная зона тоннеля: Участок дороги вне тоннеля длиной, равной расстоянию безопасного торможения, примыкающий к въездному порталу.

3.56 полуцилиндрическая освещенность , лк: Отношение светового потока, падающего на внешнюю поверхность бесконечно малого полуцилиндра с центром в заданной точке, к площади цилиндрической поверхности этого полуцилиндра.

Примечания

1. Если не оговорено противное, то ось полуцилиндра должна располагаться вертикально.

2. Применительно к утилитарному наружному освещению полуцилиндрическую освещенность используют в качестве критерия оценки различения лиц встречных пешеходов и определяют как среднюю плотность светового потока на цилиндрической поверхности бесконечно малого полуцилиндра, расположенного вертикально на продольной линии улицы на высоте 1,5 м и ориентированного внешней нормалью к плоской боковой поверхности полуцилиндра в направлении преимущественного движения пешеходов.

3.57 помещение без естественного света: Помещение, в котором коэффициент естественной освещенности ниже 0,1%.

3.58 помещение с недостаточным естественным светом: Помещение, в котором коэффициент естественной освещенности ниже нормируемого.

3.59 помещение с постоянным пребыванием людей: Помещение, в котором люди находятся большую часть (более 50%) своего рабочего времени в течение суток или более 2 ч непрерывно.

3.60 пороговая зона тоннеля: Участок тоннеля длиной, равной расстоянию безопасного торможения, примыкающий к въездному порталу.

3.61 пороговое приращение яркости TI, %: Критерий, регламентирующий слепящее действие светильников осветительной установки в поле зрения водителя транспортного средства. Характеризует увеличение контраста между объектом и его фоном, при котором видимость объекта при наличии блеского источника света стала бы такой же, как и в его отсутствие. Определяется по формуле

, (3.10) (в ред. Изменения N 1, утв. Приказом Минстроя РФ от 20.11.2019 N 699/пр)

где - средняя яркость дорожного покрытия, кд/м2;

m - коэффициент, равный 1,05 при >5 кд/м2 и 0,8 при 5 кд/м2; (в ред. Изменения N 1, утв. Приказом Минстроя РФ от 20.11.2019 N 699/пр)

k - множитель, равный 950 при > 5 кд/м2 и 650 при <= 5 кд/м2;

- вертикальная освещенность на глазу водителя от i-го светильника, лк;

- угол между направлением на i-й светильник и линией зрения, град;

n - число светильников, попадающих в поле зрения водителя в пределах интервала угла (0° < < 20°).

3.62 предельная равномерность распределения освещенности (яркости) : Отношение минимальной освещенности (яркости) к максимальной:

3.63 продольная равномерность распределения яркости дорожного покрытия : Отношение минимального значения яркости дорожного покрытия к максимальному его значению по оси полосы движения: (в ред. Изменения N 1, утв. Приказом Минстроя РФ от 20.11.2019 N 699/пр)

(в ред. Изменения N 1, утв. Приказом Минстроя РФ от 20.11.2019 N 699/пр)

3.64 проезд: Территория, предназначенная для движения как транспорта, так и пешеходов.

3.65 пути эвакуации: Маршрут для выхода людей из опасной зоны в аварийной ситуации. Начинается от места пребывания людей и заканчивается в безопасной зоне.

3.66 рабочая поверхность: Поверхность, на которой проводится работа, нормируется и измеряется освещенность.

3.67 рабочее освещение: Освещение, обеспечивающее нормируемые световые условия (освещенность, качество освещения) в помещениях и местах производства работ вне зданий.

3.68 равномерность естественного освещения: Отношение минимального значения к среднему значению КЕО в пределах характерного разреза помещения.

3.69 равномерность распределения освещенности (яркости) : Отношение минимального значения освещенности (яркости) к среднему значению освещенности (яркости):

3.70 развязка: Пересечение дорог в разных уровнях со съездами для перехода транспортных средств с одной дороги на другую.

3.71 расстояние безопасного торможения (РБТ), м: Минимальное расстояние, требуемое для надежного приведения транспортного средства, движущегося с расчетной скоростью, в состояние полной остановки.

Примечание - Определяется суммарным временем реагирования водителя на появившееся препятствие для принятия решения и торможения транспортного средства.

3.72 расчетная скорость движения: Максимальная скорость движения одиночного автомобиля, принятая при проектировании дороги.

3.73 расчетное значение КЕО , %: Значение, полученное расчетным путем при оценке естественного или совмещенного освещения помещений:

а) при боковом освещении по формуле

(3.11)

б) при верхнем освещении по формуле

; (3.12) (в ред. Изменения N 1, утв. Приказом Минстроя РФ от 20.11.2019 N 699/пр)

в) при комбинированном (верхнем и боковом) освещении по формуле

(3.13)

где L - число участков небосвода, видимых через световой проем из расчетной точки;

- геометрический КЕО в расчетной точке при боковом освещении, учитывающий прямой свет от i-го участка неба;

- коэффициент светового климата, принимают по таблице 5.1;

- коэффициент неравномерности яркости i-го участка облачного неба МКО;

M - число участков фасадов зданий противостоящей застройки, видимых через световой проем из расчетной точки;

- геометрический КЕО в расчетной точке при боковом освещении, учитывающий свет, отраженный от j-го участка фасадов зданий противостоящей застройки;

- средняя относительная яркость j-го участка фасадов зданий противостоящей застройки;

- коэффициент, учитывающий повышение КЕО при боковом освещении благодаря свету, отраженному от поверхностей помещения и подстилающего слоя, прилегающего к зданию;

- коэффициент, учитывающий изменения внутренней отраженной составляющей КЕО в помещении при наличии противостоящих зданий, определяемый по формуле

(3.14)

здесь - коэффициент, учитывающий изменения внутренней отраженной составляющей КЕО в помещении при полном закрытии небосвода зданиями, видимыми из расчетной точки;

- общий коэффициент светопропускания, определяемый по формуле

(3.15)

где - коэффициент светопропускания материала;

- коэффициент, учитывающий потери света в переплетах светопроема. Размеры светопроема принимаются равными размерам коробки переплета по наружному обмеру;

- коэффициент, учитывающий потери света в несущих конструкциях (при боковом освещении = 1);

- коэффициент, учитывающий потери света в солнцезащитных устройствах;

- коэффициент, учитывающий потери света в защитной сетке, устанавливаемой под фонарями, принимаемый равным 0,9;

MF - коэффициент эксплуатации, определяемый по таблице 4.3;

T - число световых проемов в покрытии;

- геометрический КЕО в расчетной точке при верхнем освещении от i-го проема;

- среднее значение геометрического КЕО при верхнем освещении на линии пересечения условной рабочей поверхности и плоскости характерного вертикального разреза помещения, определяемое из соотношения

(3.16)

здесь N - число расчетных точек;

- коэффициент, учитывающий повышение КЕО при верхнем освещении благодаря свету, отраженному от поверхностей помещения;

- коэффициент, учитывающий тип фонаря.

3.74 резервное освещение: Вид аварийного освещения для продолжения работы в случае отключения рабочего освещения.

3.75 световой климат: Совокупность условий естественного освещения в той или иной местности (освещенность и количество освещения на горизонтальной и различно ориентированных по сторонам горизонта вертикальных поверхностях, создаваемых рассеянным светом неба и прямым светом солнца, продолжительность солнечного сияния и альбедо подстилающей поверхности) за период более десяти лет.

3.76 световод естественного света: Устройство для пропускания естественного света внутрь здания по прямолинейной и (или) непрямолинейной светопроводной шахте (каналу) с соотношением наименьшей стороны (диаметра) входного основания к высоте светопроводной шахты (расстояние от ее входного основания до выходного основания): /<0,1. (в ред. Изменения N 1, утв. Приказом Минстроя РФ от 20.11.2019 N 699/пр)

3.77 световой указатель: Знак безопасности с внутренней подсветкой.

3.78 светодиод: Источник света, основанный на испускании некогерентного излучения в видимом диапазоне длин волн при пропускании электрического тока через полупроводниковый диод.

3.79 селитебная территория: Территория, предназначенная для размещения жилищного фонда, общественных зданий и сооружений, а также отдельных коммунальных и промышленных объектов, не требующих устройства санитарно-защитных зон, для устройства путей внутригородского сообщения, улиц, площадей, парков, садов, бульваров и других мест общего пользования.

3.80 система встречного освещения тоннеля: Освещение тоннеля, при котором свет падает на объекты преимущественно навстречу движению транспортного потока.

Примечание - Для системы встречного освещения используют светильники, распределение силы света которых асимметрично относительно плоскости, перпендикулярной направлению движения транспортного потока, причем максимум силы света направлен навстречу движению транспортного потока.

3.81 система симметричного освещения тоннеля: Освещение тоннеля, при котором свет падает на объекты одинаково как по ходу, так и навстречу движению транспортного потока.

Примечание - Для системы симметричного освещения используют светильники, распределение силы света которых симметрично относительно плоскости, перпендикулярной направлению движения транспортного потока.

3.82 система указания путей эвакуации: Система знаков безопасности, позволяющая людям эвакуироваться из места расположения в случае возникновения пожара или чрезвычайной ситуации по установленному пути эвакуации. (в ред. Изменения N 1, утв. Приказом Минстроя РФ от 20.11.2019 N 699/пр)

3.83 совмещенное освещение: Освещение, при котором недостаточное по нормам естественное освещение дополняется искусственным в течение полного рабочего дня.

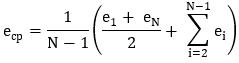
3.84 среднее значение КЕО , %: При верхнем или комбинированном освещении определяется по формуле

(3.17)

где и - значения КЕО при верхнем или комбинированном освещении в первой и последней точках характерного разреза помещения, см. формулы (3.12) и (3.13);

- значения КЕО в остальных точках характерного разреза помещения (i = 2, 3, ..., N - 1).

3.85 средняя освещенность на дорожном покрытии , лк: Освещенность на дорожном покрытии, средневзвешенная по площади заданного участка.

3.86 средняя яркость дорожного покрытия , кд/м2: Яркость сухого дорожного покрытия в направлении глаза наблюдателя, находящегося в стандартных условиях наблюдения на оси полосы движения транспорта, средневзвешенная по площади проезжей части заданного участка.

3.87 средняя яркость дорожного покрытия в переходной зоне тоннеля , кд/м2: Средняя по площади проезжей части яркость сухого дорожного покрытия в направлении глаза наблюдателя, находящегося на оси полосы движения транспорта в переходной зоне тоннеля.

3.88 средняя яркость пороговой зоны тоннеля , кд/м2: Средняя яркость дорожного покрытия в первой половине пороговой зоны тоннеля.

3.89 стандартные условия наблюдения в дорожном освещении: Регламентируемые при расчете яркости дорожного покрытия условия наблюдения водителем транспортного средства, при которых глаз наблюдателя располагается на высоте 1,5 м над дорожным покрытием и удален от расчетной точки на расстояние, при котором линия зрения направлена в расчетную точку под углом (1,0 ± 0,5)° к плоскости дороги.

3.90 стробоскопический эффект: Зрительное восприятие кажущегося изменения, прекращения вращательного движения или периодического колебания объекта, освещаемого светом, изменяющимся с близкой, совпадающей или кратной частотой.

3.90а

темное время суток: Промежуток времени от конца вечерних сумерек до начала утренних сумерек.
[8, пункт 1.2]

(в ред. Изменения N 1, утв. Приказом Минстроя РФ от 20.11.2019 N 699/пр)

3.91 транспортная зона тоннеля: Часть строительного комплекса тоннеля, содержащая непосредственно проезжую часть, заключенную между въездным и выездным порталами.

3.92 тротуар: Пешеходная часть улицы.

3.93 удельная мощность , Вт/м2: Установленная мощность искусственного освещения в помещении, отнесенная к полезной площади.

3.93а указатель выхода: Знак безопасности, предназначенный для обозначения эвакуационного выхода. (в ред. Изменения N 1, утв. Приказом Минстроя РФ от 20.11.2019 N 699/пр)

3.94 улица: Пространство, полностью или частично ограниченное зданиями с одной или обеих сторон, с проезжей частью для транспорта, пешеходными, а при необходимости - и велосипедными дорожками.

3.95 условная рабочая поверхность: Условная горизонтальная поверхность, расположенная на высоте 0,8 м от пола.

3.96 установленная скорость движения: Максимальная проектная скорость движения транспорта.

3.97 утилитарное наружное освещение: Стационарное освещение, предназначенное для обеспечения безопасного и комфортного движения транспортных средств и пешеходов.

3.98 участок дороги со стандартной геометрией проезжей части: Участок дороги или улицы, проезжая часть которого представляет собой плоское прямоугольное полотно длиной, определяемой стандартными условиями наблюдения.

Примечание - Для участков со стандартной геометрией проезжей части нормируются и яркость, и освещенность дорожного покрытия.

3.99 участок дороги с нестандартной геометрией проезжей части: Участок дороги или улицы, имеющей отклонения от стандартной геометрии, например повороты, развилки, въезды и съезды с эстакад, криволинейные (в плане и профиле) участки и др.

Примечание - Для участков с нестандартной геометрией проезжей части нормируется только освещенность дорожного покрытия.

3.100 фликер: Субъективное восприятие колебаний светового потока искусственных источников света по величине и во времени.

3.101 фликер-эффект (в освещении тоннелей): Эффект монотонного мелькания ярких частей светильников и их бликов от корпуса автомобиля, вызывающий раздражение у водителя при определенных интервалах частот и продолжительности мельканий.

3.102 фон: Поверхность, прилегающая непосредственно к объекту различения, на которой он рассматривается.

Фон считается: светлым - при коэффициенте отражения поверхности более 0,4; средним - то же, от 0,2 до 0,4; темным - то же, менее 0,2.

3.103 характерный разрез помещения: Поперечный разрез посредине помещения, плоскость которого перпендикулярна плоскости остекления световых проемов (при боковом освещении) или продольной оси пролетов помещения. В характерный разрез помещения должны попадать участки с наибольшим числом рабочих мест, а также точки рабочей зоны, наиболее удаленные от световых проемов.

3.104 цветовая температура , К: Температура излучателя Планка (черного тела), при которой его излучение имеет ту же цветность, что и излучение рассматриваемого объекта.

3.105 цветопередача: Общее понятие, характеризующее влияние спектрального состава источника света на зрительное восприятие цветных объектов, сознательно или бессознательно сравниваемое с восприятием тех же объектов, освещенных стандартным источником света.

3.106 цилиндрическая освещенность , лк: Отношение светового потока, падающего на боковую поверхность бесконечно малого цилиндра с центром в заданной точке, к площади боковой поверхности этого цилиндра.

3.106а шахтный фонарь: Фонарь верхнего естественного света с соотношением наименьшей из сторон (или диаметра) входного основания к высоте светопроводной шахты (светопроводного канала) фонаря (расстояние от ее входного основания до ее выходного отверстия) , имеющим значение: 0,1/<0,25. (в ред. Изменения N 1, утв. Приказом Минстроя РФ от 20.11.2019 N 699/пр)

Примечания

1 Если не оговорено иное, то ось цилиндра должна быть расположена вертикально.

2 Применительно к внутреннему освещению цилиндрическую освещенность используют в качестве критерия оценки насыщенности помещения светом.

3.107 эвакуационное освещение: Вид аварийного освещения для эвакуации людей или завершения потенциально опасного процесса.

3.108 эвакуационный выход: Выход, предназначенный для эвакуации людей в аварийной ситуации на путь эвакуации, ведущий непосредственно наружу или в безопасную зону.

3.109 эквивалентный размер объекта различения: Размер равнояркого круга на равноярком фоне, имеющего такой же пороговый контраст, что и объект различения при данной яркости фона.

3.110

энергетическая эффективность: Характеристики, отражающие отношение полезного эффекта от использования энергетических ресурсов к затратам энергетических ресурсов, произведенным в целях получения такого эффекта, применительно к продукции, технологическому процессу, юридическому лицу, индивидуальному предпринимателю.
[1, статья 2, пункт 4]

3.111

энергосбережение: Реализация организационных, правовых, технических, технологических, экономических и иных мер, направленных на уменьшение объема используемых энергетических ресурсов при сохранении соответствующего полезного эффекта от их использования (в том числе объема произведенной продукции, выполненных работ, оказанных услуг).
[1, статья 2, пункт 3]

3.112 яркость L, кд/м2: Отношение светового потока , переносимого элементарным пучком лучей, проходящим через заданную точку и распространяющимся в телесном угле , содержащем заданное направление, к произведению площади проходящего через заданную точку сечения этого пучка dA, косинуса угла между нормалью к этому сечению и направлением пучка лучей и телесного угла :

3.113 яркость адаптации в подъездной зоне тоннеля , кд/м2: Средняя яркость в коническом поле зрения, стягиваемом углом 20°, с вершиной в месте расположения глаза подъезжающего к тоннелю водителя и осью, направленной на центр въездного портала тоннеля.

Примечание - Яркость адаптации определяют применительно к водителю, расположенному на РБТ от въездного портала тоннеля в середине соответствующей проезжей части дороги.

4. Общие положения

4.1 В настоящем своде правил для помещений нормируется средняя освещенность на условной рабочей поверхности для любых источников света, кроме оговоренных случаев.

Минимальная освещенность на рабочих местах не должна отличаться от нормируемой средней освещенности в помещении более чем на 10% согласно СанПиН 2.2.4.3359.

Для наружного освещения селитебных территорий в настоящем своде правил нормируются освещенность и яркость дорожных покрытий для любых источников света.

Нормируемые значения освещенности в люксах, отличающиеся на одну ступень, следует принимать по шкале: 0,2; 0,3; 0,5; 1; 2; 3; 4; 5; 6; 7; 10; 15; 20; 30; 40; 50; 75; 100; 150; 200; 300; 400; 500; 600; 750; 1000; 1250; 1500; 2000; 2500; 3000; 3500; 4000; 4500; 5000.

Нормируемые значения яркости поверхности, кд/м2, отличающиеся на одну ступень, следует принимать по шкале; 0,2; 0,3; 0,4; 0,6; 0,8; 1; 2; 3; 5; 8; 10; 12; 15; 20; 25; 30; 50; 75; 100; 125; 150; 200; 400; 500; 750; 1000; 1500; 2000; 2500.

Для естественного освещения в настоящем своде правил приведены значения коэффициента естественной освещенности (КЕО).

4.2 Требования к освещению помещений промышленных предприятий (КЕО, нормируемая освещенность, объединенный показатель дискомфорта и коэффициент пульсации освещенности) следует принимать по таблице 4.1 с учетом требований 7.2.1 и 7.2.2 и по таблице Л.1 приложения Л. (в ред. Изменения N 1, утв. Приказом Минстроя РФ от 20.11.2019 N 699/пр)

4.3 Требования к освещению помещений жилых, общественных и административно-бытовых зданий (КЕО, нормируемая освещенность, цилиндрическая освещенность, объединенный показатель дискомфорта и коэффициент пульсации освещенности) следует принимать по таблице 4.2 и по таблице Л.2 приложения Л. (в ред. Изменения N 1, утв. Приказом Минстроя РФ от 20.11.2019 N 699/пр)

4.4 При проектировании естественного, искусственного и совмещенного освещения для компенсации спада освещенности в процессе эксплуатации следует вводить коэффициент эксплуатации MF, принимаемый по таблице 4.3.

4.5 Требования к инсоляции и солнцезащите помещений выполняются в соответствии с СанПиН 2.2.1/2.1.1.1076.

Методики определения продолжительности инсоляции представлены в ГОСТ Р 57795. (в ред. Изменения N 1, утв. Приказом Минстроя РФ от 20.11.2019 N 699/пр)

4.6 Измерения освещенности, яркости, коэффициента пульсации освещенности осветительной установки осуществляются при приемке в эксплуатацию и контроле в процессе эксплуатации за состоянием освещения по ГОСТ 24940, ГОСТ 26824, ГОСТ 33393. Определение объединенного показателя дискомфорта осуществляется на стадии проектирования осветительной установки по ГОСТ 33392. (в ред. Изменения N 1, утв. Приказом Минстроя РФ от 20.11.2019 N 699/пр)

4.7 При проектировании искусственного и совмещенного освещения следует учитывать данные о профилактическом ультрафиолетовом облучении согласно [5].

Таблица 4.1

Требования к освещению помещений промышленных предприятий

Характеристика зрительной работы Наименьший или эквивалентный размер объекта различения, мм Разряд зрительной работы Подразряд зрительной работы Контраст объекта с фоном Характеристика фона Искусственное освещение Естественное освещение Совмещенное освещение
Освещенность, лк Сочетание нормируемых величин объединенного показателя дискомфорта UGR и коэффициента пульсации КЕО , %
при системе комбинированного освещения при системе общего освещения при верхнем или комбинированном освещении при боковом освещении при верхнем или комбинированном освещении при боковом освещении
Всего В том числе от общего UGR, не более , %, не более
Наивысшей точности Менее 0,15 I а Малый Темный 5000 500 - 19 10 - - 6,0 2,0
б Малый
Средний
Средний
Темный
4000 400 1250 19 10
в Малый
Средний
Большой
Светлый
Средний
Темный
2500 300 750 19 10
г Средний
Большой
"
Светлый
"
Средний
1500 200 500 19 10
Очень высокой точности От 0,15 до 0,30 II а Малый Темный 4000 400 - 22 10 - - 4,2 1,5
б Малый
Средний
Средний
Темный
3000 300 750 22 10
в Малый
Средний
Большой
Светлый
Средний
Темный
2000 200 500 22 10
г Средний Большой
"
Светлый
"
Средний
1000 200 400 22 10
Высокой точности От 0,30 до 0,50 III а Малый Темный 2000 200 500 25 15 - - 3,0 1,2
б Малый
Средний
Средний
Темный
1000 200 400 25 15
в Малый
Средний
Большой
Светлый
Средний
Темный
750 200 300 25 15
г Средний
Большой
"
Светлый
"
Средний
400 200 200 25 15
Средней точности Св. 0,5 до 1,0 IV а Малый Темный 750 200 400 25 20 4,0 1,5 2,4 0,9
б Малый
Средний
Средний
Темный
500 200 300 25 20
в Малый
Средний
Большой
Светлый
Средний
Темный
400 200 200 25 20
г Средний
Большой
"
Светлый
"
Средний
- - 200 25 20
Малой точности Св. 1 до 5 V а Малый Темный 400 200 300 25 20 3,0 1,0 1,8 0,6
б Малый
Средний
Средний
Темный
- - 200 25 20
в Малый
Средний
Большой
Светлый
Средний
Темный
- - 200 25 20
г Средний
Большой
"
Светлый
"
Средний
- - 200 25 20
Грубая (очень малой точности) Более 5 VI - Независимо от характеристик фона и контраста объекта с фоном - - 200 25 20 3,0 1,0 1,8 0,6
Работа со светящимися материалами и изделиями в горячих цехах Более 0,5 VII - То же - - 200 25 20 3,0 1,0 1,8 0,6
Общее наблюдение за ходом производственного процесса:
постоянное;
VIII а Независимо от характеристик фона и контраста объекта с фоном - - 200 28 20 3,0 1,0 1,8 0,6
периодическое при постоянном пребывании людей в помещении; б То же - - 75 28 - 1,0 0,3 0,7 0,2
то же, при периодическом; в " - - 50 - - 0,7 0,2 0,5 0,2
общее наблюдение за инженерными коммуникациями г " - - 20 - - 0,3 0,1 0,2 0,1

Примечания

1. Освещенность следует принимать с учетом 7.2.2 и 7.2.3.

2. Наименьшие размеры объекта различения и соответствующие им разряды зрительной работы установлены при расположении объектов различения на расстоянии не более 0,5 м от глаз работающего. При увеличении этого расстояния разряд зрительной работы следует устанавливать в соответствии с приложением А. Для протяженных объектов различения при определении нормы освещенности принимается эквивалентный размер по приложению Б.

3. Освещенность при работах со светящимися объектами размером 0,5 мм и менее следует выбирать в соответствии с размером объекта различения и относить их к подразряду "в".

4. Коэффициент пульсации указан в графе ", %, не более" для системы общего освещения или для светильников местного освещения при системе комбинированного освещения. от общего освещения в системе комбинированного не должен превышать 20%.

5. Предусматривать систему общего освещения для разрядов I - III, IVa, IVб, IVв, Vа разрешается только при технической невозможности применения системы комбинированного освещения.

6. В районах с температурой наиболее холодной пятидневки по СП 131.13330.2012 минус 28 °C и ниже нормированные значения КЕО при совмещенном освещении следует принимать по таблице 6.1.

7. В помещениях, специально предназначенных для работы или производственного обучения подростков, нормированное значение КЕО повышается на один разряд, но должно быть не менее 1,0%.

Таблица 4.2

Требования к освещению помещений жилых и общественных зданий

Характеристика зрительной работы Наименьший или эквивалентный размер объекта различения, мм Разряд зрительной работы Подразряд зрительной работы Относительная продолжительность зрительной работы при направлении зрения на рабочую поверхность, % Искусственное освещение Естественное освещение
освещенность на рабочей поверхности от системы общего освещения, лк цилиндрическая освещенность, лк объединенный показатель UGR, не более коэффициент пульсации освещенности , %, не более КЕО , %, при
верхнем или комбинированном боковом
Различение объектов при фиксированной и нефиксированной линии зрения:
- очень высокой точности От 0,15 до 0,30 А 1 Не менее 70 500 150 <*> 21
14 <**>
10 4,0 1,5
2 Менее 70 400 100 <*> 21
14 <**>
10 3,5 1,2
- высокой точности От 0,30 до 0,50 Б 1 Не менее 70 300 100 <*> 21
18 <**>
15 3,0 1,0
2 Менее 70 200 75 <*> 24
18 <**>
20
15 <***>
2,5 0,7
- средней точности Более 0,5 В 1 Не менее 70 150 50 <*> 24
18 <**>
20
15 <***>
2,0 0,5
2 Менее 70 100 Не регламентируется 24
18 <**>
20
15 <***>
2,0 0,5
Обзор окружающего пространства при очень кратковременном, эпизодическом различении объектов: Независимо от размера объекта различения Независимо от продолжительности зрительной работы Не регламентируется
- при высокой насыщенности помещений светом Г - 300 100 24 3,0 1,0
- при нормальной насыщенности помещений светом Д - 200 75 25 2,5 0,7
- при низкой насыщенности помещений светом Е - 150 50 25 2,0 0,5
Общее ориентирование в пространстве интерьера: То же Ж То же Не регламентируется
- при большом скоплении людей 1 75
- при малом скоплении людей 2 50
Общее ориентирование в зонах передвижения: " 3 "
- при большом скоплении людей 1 30
- при малом скоплении людей 2 20

Примечания

1. Освещенность следует принимать с учетом 7.3.3 и 7.3.4 настоящего свода правил.

2. Наименьшие размеры объекта различения и соответствующие им разряды зрительной работы устанавливаются при расположении объектов различения на расстоянии не более 0,5 м от работающего при среднем контрасте объекта различения с фоном и светлым фоном. При уменьшении (увеличении) контраста допускается увеличение (уменьшение) освещенности на одну ступень по шкале освещенности в соответствии с 4.1.

3. Связь объединенного показателя дискомфорта UGR с показателем дискомфорта M, нормируемым СанПиН 2.2.1/2.1.1.1278, показана в разделе 3.

<*> Дополнительно регламентируется в случаях специальных архитектурно-художественных требований.

<**> Нормируемое значение объединенного показателя дискомфорта в помещениях при направлении линии зрения вверх под углом 45° и более к горизонту и в помещениях с повышенными требованиями к качеству освещения (спальные комнаты в дошкольных образовательных организациях, санаториях, дисплейные классы в общеобразовательных и профессиональных образовательных организациях и т.п.).

<***> Нормируемое значение коэффициента пульсации Kп для детских, лечебных помещений с повышенными требованиями к качеству освещения.

Таблица 4.3

Коэффициенты эксплуатации для естественного и искусственного освещения

Помещения и территории Примеры помещений Искусственное освещение Естественное освещение
Коэффициент
эксплуатации MF
----------------------------
Число чисток
светильников в год
Коэффициент
эксплуатации MF
---------------------------------
Число чисток остекления
светопроемов в год
Эксплуатационная группа светильников по приложению Д Угол наклона светопропускающего материала к горизонту
1 - 4 5 - 6 7 0° - 15° 16° - 45° 46° - 75° 76° - 90°
1. Производственные помещения с воздушной средой, содержащей в рабочей зоне:
а) св. 5 мг/м3 пыли, дыма, копоти Агломерационные фабрики, цементные заводы и обрубные отделения литейных цехов 0,50
-----
18
0,59
-----
6
0,63
-----
4
0,50
-----
4
0,56
-----
4
0,59
-----
4
0,67
-----
4
б) от 1 до 5 мг/м3 пыли, дыма, копоти Цехи кузнечные, литейные, мартеновские, сборного железобетона 0,56
-----
6
0,63
-----
4
0,63
-----
2
0,56
-----
3
0,63
-----
3
0,67
-----
3
0,71
-----
3
в) менее 1 мг/м3 пыли, дыма, копоти Цехи инструментальные, сборочные, технические, механосборочные, пошивочные 0,67
-----
4
0,71
-----
2
0,71
-----
1
0,63
-----
2
0,67
-----
2
0,71
-----
2
0,77
-----
2
г) значительные концентрации паров, кислот, щелочей, газов, способных при соприкосновении с влагой образовывать слабые растворы кислот, щелочей, а также обладающих большой корродирующей способностью Цехи химических заводов по выработке кислот, щелочей, едких химических реактивов, ядохимикатов, удобрений, цехи гальванических покрытий и различных отраслей промышленности с применением электролиза 0,56
-----
6
0,63
-----
4
0,63
-----
2
0,50
-----
3
0,56
-----
3
0,59
-----
3
0,67
-----
3
2. Производственные помещения с особым режимом по чистоте воздуха при обслуживании светильников:
а) с технического этажа 0,77
-----
4
- - - - - -
б) снизу из помещения 0,71
-----
2
- - - - - -
3. Помещения общественных и жилых зданий:
а) пыльные, жаркие и сырые Горячие цехи предприятий общественного питания, охлаждаемые камеры, помещения для приготовления растворов в прачечных, душевые и т.д. 0,59
-----
2
0,63
-----
2
0,63
-----
2
0,50
-----
3
0,56
-----
3
0,59
-----
3
0,63
-----
3
б) с нормальными условиями среды Кабинеты и рабочие помещения, офисные помещения, жилые комнаты, учебные помещения, лаборатории, читальные залы, залы совещаний, торговые залы и т.д. 0,71
-----
2
0,71
-----
1
0,71
-----
1
0,67
-----
2
0,71
-----
2
0,77
-----
1
0,83
-----
1
4. Территории с воздушной средой, содержащей:
а) большое количество пыли (более 1 мг/м3) Территории металлургических, химических, горнодобывающих предприятий, шахт, рудников, железнодорожных станций и прилегающих к ним улиц и дорог 0,67
-----
4
0,67
-----
4
0,67
-----
4
- - - -
б) малое количество пыли (менее 1 мг/м3) Территории промышленных предприятий, кроме указанных в перечислении а) и общественных зданий 0,67
-----
2
0,67
-----
2
0,67
-----
2
- - - -
5. Населенные пункты Улицы, площади, дороги, территории жилых районов, парки, бульвары, пешеходные тоннели, фасады зданий, памятники 0,63
-----
2
0,67
-----
2
0,67
-----
1
- - - -
транспортные тоннели - 0,59
-----
2
0,59
-----
2
- - - -

Примечания

1. Значения коэффициента эксплуатации, указанные в графе "Естественное освещение", следует умножать на 0,91 - при применении узорчатого стекла, стеклопластика, армированной пленки и матированного стекла, а также при использовании световых проемов для аэрации, на 1,11 - при применении органического стекла.

2. Значения коэффициентов эксплуатации, указанные в графе "1 - 4", следует увеличивать при односменной работе по перечислениям б) и г) пункта 1 - на 0,2; по перечислению в) пункта 1 - на 0,1; при двухсменной работе по перечислениям б) и г) пункта 1 - на 0,15.

3. Значения коэффициента эксплуатации и число чисток для транспортных тоннелей, указанные в графах "5 - 6" и "7", приведены с учетом использования только светильников конструктивно-светотехнической схемы IV таблицы Д.1 приложения Д.

4. Коэффициент эксплуатации при применении световых приборов со светодиодами следует умножать на коэффициент 1,05.

5. Допускается использовать расчетный коэффициент эксплуатации.

5. Естественное освещение

5.1 Помещения с постоянным пребыванием людей должны иметь естественное освещение.

Без естественного освещения допускается проектировать помещения с временным пребыванием людей, помещения, которые определены соответствующими сводами правил и стандартами организаций на проектирование зданий и сооружений, а также помещения, размещение которых разрешено в подвальных этажах зданий и сооружений.

5.2 Естественное освещение подразделяется на боковое, верхнее и комбинированное (верхнее и боковое).

Световоды естественного света допускается применять для естественного освещения помещений только в системе комбинированного освещения в качестве верхнего света.

5.3 При двустороннем боковом освещении помещений любого назначения нормируемое значение КЕО должно быть обеспечено в расчетной точке в центре помещения на пересечении вертикальной плоскости характерного разреза и рабочей поверхности.

В жилых и общественных зданиях при одностороннем боковом освещении нормируемое значение КЕО должно быть обеспечено:

а) в жилых помещениях жилых зданий - в расчетной точке, расположенной на пересечении вертикальной плоскости характерного разреза помещения и плоскости пола на расстоянии 1 м от стены, наиболее удаленной от световых проемов: в одной комнате для 1-, 2- и 3-комнатных квартир и в двух комнатах для 4-комнатных и более квартир.

В остальных жилых помещениях многокомнатных квартир и кухне нормируемое значение КЕО при боковом освещении должно обеспечиваться в расчетной точке, расположенной в центре помещения на плоскости пола;

б) в жилых помещениях общежитий, гостиных и номеров гостиниц - в расчетной точке, расположенной на пересечении вертикальной плоскости характерного разреза помещения и плоскости пола в центре помещения;

в) в групповых и игровых помещениях дошкольных образовательных организаций, изоляторах и комнатах для заболевших детей - в расчетной точке, расположенной на пересечении вертикальной плоскости характерного разреза помещения и плоскости пола на расстоянии 1 м от стены, наиболее удаленной от световых проемов;

г) в учебных и учебно-производственных помещениях общеобразовательных организаций, интернатов, профессиональных образовательных организаций - в расчетной точке, расположенной на пересечении вертикальной плоскости характерного разреза помещения и условной рабочей поверхности на расстоянии 1,2 м от стены, наиболее удаленной от световых проемов;

д) в палатах и спальных комнатах санаториев и домов отдыха и пансионатов - в расчетной точке, расположенной на пересечении вертикальной плоскости характерного разреза помещения и плоскости пола на расстоянии 1 м от стены, наиболее удаленной от световых проемов;

е) в кабинетах врачей, ведущих прием больных, в смотровых, в приемно-смотровых боксах, перевязочных - в расчетной точке, расположенной на пересечении вертикальной плоскости характерного разреза помещения и условной рабочей поверхности в центре помещения;

ж) в остальных помещениях жилых и общественных зданий - в расчетной точке, расположенной в центре помещения на рабочей поверхности.

5.3а В помещениях непрямоугольной формы положение расчетной точки определяется с учетом приведения формы помещения к прямоугольнику. (в ред. Изменения N 1, утв. Приказом Минстроя РФ от 20.11.2019 N 699/пр)

В помещениях небольшой глубины с двумя и более светопроемами плоскость характерного разреза допускается проводить по оси каждого светопроема. Нормируемое значение КЕО в этом случае должна обеспечиваться в расчетной точке на плоскости каждого характерного разреза. (в ред. Изменения N 1, утв. Приказом Минстроя РФ от 20.11.2019 N 699/пр)

5.3б В помещениях общественных зданий за исключением помещений, указанных в 5.3, перечисления в) - е), допускается деление помещений на зоны с достаточным и недостаточным естественным освещением. Глубина зоны с достаточным естественным освещением определяется как двойное расстояние от внутренней поверхности стены со светопроемами до точки с нормируемым значением КЕО. (в ред. Изменения N 1, утв. Приказом Минстроя РФ от 20.11.2019 N 699/пр)

5.4 В производственных помещениях глубиной до 6,0 м при одностороннем боковом освещении нормируется минимальное значение КЕО в точке, расположенной на пересечении вертикальной плоскости характерного разреза помещения и условной рабочей поверхности на расстоянии 1,0 м от стены или линии максимального заглубления зоны, наиболее удаленной от световых проемов.

В крупногабаритных производственных помещениях глубиной более 6,0 м при боковом освещении нормируется минимальное значение КЕО в точке на условной рабочей поверхности, удаленной от световых проемов:

- на 1,5 высоты от пола до верха светопроемов - для зрительных работ разрядов I - IV;

- на 2,0 высоты от пола до верха светопроемов - для зрительных работ разрядов V - VII разрядов;

- на 3,0 высоты от пола до верха светопроемов - для зрительных работ разряда VIII.

5.5 При верхнем или комбинированном естественном освещении помещений любого назначения нормируется среднее значение КЕО в точках, расположенных на пересечении вертикальной плоскости характерного разреза помещения и условной рабочей поверхности (или пола). Первая и последняя точки принимаются на расстоянии 1 м от поверхности стен (перегородок) или осей колонн.

5.6 Разрешается деление помещений на зоны с боковым освещением (зоны, примыкающие к наружным стенам с окнами) и зоны с верхним освещением. Нормирование и расчет естественного освещения в каждой зоне проводятся независимо друг от друга.

5.7 В производственных помещениях со зрительными работами разрядов I - III следует применять совмещенное освещение. Разрешается применение верхнего естественного освещения в крупнопролетных сборочных цехах, в которых работы выполняются в значительной части объема помещения на разных уровнях пола и на различно ориентированных в пространстве рабочих поверхностях. При этом для разрядов I - III применяются нормированные значения КЕО 10%; 7%; 5% соответственно.

5.8 При проектировании естественного освещения определяют расчетные значения КЕО для помещения.

Расчетное значение КЕО должно быть не менее нормируемого значения , приведенного в таблицах 4.1, 4.2 или приложении Л:

(5.1)

Параметры, входящие в формулу расчетного значения КЕО, определены в разделе 3. Расчетное значение КЕО учитывает коэффициент эксплуатации MF и коэффициент светового климата CN.

Коэффициенты эксплуатации принимают по таблице 4.3. Коэффициенты светового климата принимают по таблице 5.1 в зависимости от номера группы обеспеченности естественным светом административных районов и ориентации светопроемов. Районирование территории Российской Федерации по ресурсам светового климата приведено в приложении Е.

5.9 Расчет естественного освещения помещений проводится без учета мебели, оборудования, озеленения и других затеняющих предметов, а также при 100%-ном использовании светопрозрачных заполнений в светопроемах. Расчетные значения КЕО следует округлять до двух знаков после запятой.

Таблица 5.1

Коэффициенты светового климата в зависимости от группы административного района и ориентации световых проемов по сторонам горизонта

Световые проемы Ориентация световых проемов по сторонам горизонта Коэффициент светового климата m
Номер группы административных районов
1 2 3 4 5
В наружных стенах зданий С 1 1,11 0,91 0,83 1,25
СВ-СЗ 1 1,11 0,91 0,83 1,25
З-В 1 1,11 0,91 0,91 1,25
ЮВ-ЮЗ 1 1,18 1,00 0,91 1,25
Ю 1 1,18 1,00 0,91 1,33
В прямоугольных и трапециевидных фонарях С-Ю 1 1,11 0,91 0,83 1,33
СВ-ЮЗ 1 1,11 0,83 0,83 1,43
ЮВ-СЗ
В-З 1 1,11 0,91 0,83 1,43
В фонарях типа "шед" С 1 1,11 0,83 0,83 1,43
В зенитных фонарях - 1 1,11 0,83 0,83 1,33

Примечания

1. С - север; СВ - северо-восток; СЗ - северо-запад; В - восток; З - запад; С-Ю - север-юг; В-З - восток-запад; Ю - юг; ЮВ - юго-восток; ЮЗ - юго-запад.

2. Группы административных районов Российской Федерации по ресурсам светового климата приведены в приложении Е.

Разрешается снижение расчетного значения КЕО по сравнению с нормируемым КЕО не более чем на 10%.

5.10 Расчетное значение средневзвешенного коэффициента отражения внутренних поверхностей помещения при расчетах естественного освещения следует принимать равным в жилых и общественных помещениях - 0,55, а в производственных помещениях - 0,50.

5.11 При расчете естественного освещения помещений в условиях застройки коэффициент отражения строительных и облицовочных материалов для фасадов противостоящих зданий (без остекленных проемов фасада) следует принимать:

- для строящихся зданий - по данным, приведенным в сертификате на отделочный материал фасада, или по данным измерений;

- для существующей застройки - по таблицам Г.2, Г.3 приложения Г. (в ред. Изменения N 1, утв. Приказом Минстроя РФ от 20.11.2019 N 699/пр)

Средневзвешенный коэффициент отражения остекленных проемов фасада с учетом переплетов в расчетах принимается равным 0,2 или расчетному средневзвешенному коэффициенту отражения оконного блока, определенному по формуле (Г.1) приложения Г. (в ред. Изменения N 1, утв. Приказом Минстроя РФ от 20.11.2019 N 699/пр)

Средневзвешенный коэффициент отражения фасада с учетом остекленных проемов следует рассчитывать по формуле

(5.2)

где , - коэффициент отражения материала отделки фасада и коэффициент отражения остекленных проемов фасада с учетом переплетов соответственно;

, - площадь фасада без светопроемов и площадь светопроемов соответственно.

5.12 В общеобразовательных организациях и организациях профессионального и высшего образования следует применять совмещенное освещение, нормы которого приведены в таблице Л.1 приложения Л. (в ред. Изменения N 1, утв. Приказом Минстроя РФ от 20.11.2019 N 699/пр)

5.13 Равномерность естественного освещения производственных и общественных зданий с верхним или комбинированным освещением должна быть не более 1:3. Расчетное значение КЕО при верхнем и комбинированном естественном освещении в любой точке на линии пересечения условной рабочей поверхности и вертикальной плоскости характерного разреза должно быть не менее нормируемого значения КЕО при боковом освещении для зрительных работ соответствующих разрядов.

Равномерность естественного освещения не нормируется для производственных помещений с боковым освещением; производственных помещений, в которых выполняются зрительные работы разрядов VII и VIII при верхнем или верхнем и боковом освещении; вспомогательных помещений и помещений общественных зданий, в которых выполняются зрительные работы разрядов Г и Д.

5.14 Расчет естественного освещения помещений общественных зданий проводят по методике СП 367.1325800, помещений производственных зданий - СП 419.1325800. (в ред. Изменения N 1, утв. Приказом Минстроя РФ от 20.11.2019 N 699/пр)

5.15 Применяемые для бокового естественного освещения оконные и балконные конструкции проектируются с учетом требований ГОСТ 23166 и ГОСТ Р 56926. Фасадные светопрозрачные конструкции проектируются в соответствии с требованиями СП 426.1325800. Светопрозрачные покрытия и фонари для верхнего естественного освещения проектируются в соответствии с требованиями СП 363.1325800. (в ред. Изменения N 1, утв. Приказом Минстроя РФ от 20.11.2019 N 699/пр)

6. Совмещенное освещение

6.1 Совмещенное освещение помещений производственных зданий следует предусматривать:

а) для производственных помещений, в которых выполняются зрительные работы разрядов I - III;

б) для производственных и других помещений в случаях, когда по условиям технологии, организации производства или климата в месте строительства требуются объемно-планировочные решения, которые не позволяют обеспечить нормируемое значение КЕО (многоэтажные здания большой ширины, одноэтажные многопролетные здания с пролетами большой ширины и т.п.), а также в случаях, когда технико-экономическая целесообразность совмещенного освещения по сравнению с естественным подтверждена соответствующими расчетами;

в) в соответствии с нормативными документами по проектированию зданий и сооружений отдельных отраслей промышленности, утвержденными в установленном порядке.

Совмещенное освещение помещений жилых, общественных и административно-бытовых зданий разрешается в случаях, когда это требуется по условиям выбора рациональных объемно-планировочных решений, за исключением жилых комнат домов и общежитий, гостиных и номеров гостиниц, спальных помещений санаториев и домов отдыха, групповых и игровых детских дошкольных учреждений, палат и спальных комнат объектов социального обеспечения (интернатов, пансионатов для престарелых и инвалидов и т.п.).

6.2 Выбор источников света следует проводить в соответствии с требованиями раздела 7.

Применение ламп накаливания разрешается в случаях, когда по условиям технологии, среды или требований оформления интерьера использование других источников света невозможно.

6.3 Нормируемые значения КЕО для производственных помещений должны приниматься как для совмещенного освещения по таблице 4.1 и приложению Л.

Разрешается снижать нормируемые значения КЕО и принимать их в соответствии с таблицей 6.1:

а) в районах с температурой наиболее холодной пятидневки по СП 131.13330 минус 28 °C и ниже;

б) в помещениях с боковым освещением, глубина которых по условиям технологии или выбору рациональных объемно-планировочных решений не позволяет обеспечить нормируемое значение КЕО, указанное в таблице 4.1 для совмещенного освещения;

в) в помещениях, в которых выполняются зрительные работы разрядов I - III.

Таблица 6.1

Наименьшие нормативные значения КЕО для производственных помещений при совмещенном освещении

Разряд зрительных работ Нормативные значение КЕО , %, при совмещенном освещении
при верхнем или комбинированном освещении при боковом освещении
I 3,0 1,2
II 2,5 1,0
III 2,0 0,7
IV 1,5 0,5
V и VII 1,0 0,3
VI 0,7 0,2

6.4 В производственных помещениях при установлении нормируемых значений КЕО в соответствии с 6.3:

а) освещенность от светильников системы общего освещения должна составлять не менее 200 лк;

б) освещенность от светильников общего освещения в системе комбинированного освещения необходимо повышать на одну ступень по шкале освещенности, кроме разрядов Iа, Iб, IIа;

в) коэффициент пульсации для разрядов I - III зрительных работ не должен превышать 10%.

Искусственное освещение при совмещенном освещении помещений следует проектировать также в соответствии с разделом 7.

6.5 Расчетные значения КЕО при совмещенном освещении жилых и общественных зданий должны составлять:

- не менее 87% значений, указанных в приложении Л для учебных и учебно-производственных помещений общеобразовательных и профессиональных образовательных организаций;

- не менее 60% значений, указанных в приложении Л для остальных помещений.

6.6 При совмещенном освещении для помещений общественных зданий с боковым освещением при расчетном значении КЕО, равном или менее 80% нормируемого значения, освещенность от общего искусственного освещения следует повышать на одну ступень по шкале освещенности.

6.7 Требования к совмещенному освещению в зависимости от назначения помещения для жилых и общественных зданий следует принимать по таблице 4.2 и приложению Л.

6.8 При совмещенном освещении нормируемую освещенность в учебных и учебно-производственных помещениях общеобразовательных и профессиональных образовательных организаций следует повышать по шкале освещенности, приведенной в 4.1.

6.9 При совмещенном освещении учебных и учебно-производственных помещений общеобразовательных и профессиональных образовательных организаций следует предусматривать раздельное включение или регулировку светового потока по сигналам от фотометрических датчиков рядов светильников, расположенных параллельно светопроемам.

7. Искусственное освещение

7.1. Общие положения

7.1.1 Искусственное освещение подразделяется на рабочее, аварийное, охранное и дежурное.

Часть светильников рабочего или аварийного освещения может использоваться для дежурного освещения.

Нормируемые характеристики освещения в помещениях и вне зданий обеспечиваются как светильниками рабочего освещения, так и их совместным действием со светильниками аварийного освещения.

Нормируемая освещенность и обеспечивающая ее удельная мощность указываются на рабочих чертежах помещений и рабочих зон.

Состав и правила оформления рабочих чертежей для искусственного освещения помещений зданий и сооружений определены ГОСТ 21.608, а для освещения территорий промышленных предприятий - ГОСТ 21.607.

7.1.2 Искусственное освещение помещений может быть двух систем - общее (равномерное и локализованное) и комбинированное.

Рабочее освещение следует предусматривать для всех помещений зданий, а также для участков открытых пространств, предназначенных для работы, прохода людей и движения транспорта. Для помещений, имеющих зоны с разными условиями естественного освещения и различными режимами работы, необходимо раздельное управление освещением таких зон.

7.1.3 Для общего и местного освещения помещений следует использовать источники света с цветовой температурой от 2400 до 6800 К. Интенсивность ультрафиолетового излучения в диапазоне длин волн 320 - 400 нм не должна превышать 0,03 Вт/м2. Наличие в спектре излучения длин волн менее 320 нм не допускается.

Для искусственного освещения следует использовать энергоэффективные источники света и световые приборы, отдавая предпочтение при равной мощности источникам света с наибольшими световой отдачей и сроком службы, с учетом требований к цветоразличению. Источники света и световые приборы должны отвечать требованиям [4]. (в ред. Изменения N 1, утв. Приказом Минстроя РФ от 20.11.2019 N 699/пр)

Применение ламп накаливания общего назначения для освещения ограничивается [1]. Не допускается применение для освещения ламп накаливания общего назначения мощностью 100 Вт и более.

Рекомендуемая световая отдача световых приборов, используемых для общего искусственного освещения помещений, освещения мест производства вне зданий и наружного утилитарного освещения при минимально допустимых индексах цветопередачи, приведена в таблице 7.1.

Таблица 7.1

Рекомендуемые световые отдачи световых приборов для общего освещения помещений, освещения мест производства вне зданий, наружного освещения территорий

(в ред. Изменения N 1, утв. Приказом Минстроя РФ от 20.11.2019 N 699/пр)

Тип источника света Световая отдача световых приборов (СП), лм/Вт, не менее
Общее освещение общественных помещений
СП со светодиодами:  
- с индексом цветопередачи >85 100
- с индексом цветопередачи 8085 105
СП с люминесцентными источниками света 55
СП с металлогалогенными источниками света 65
Общее освещение производственных помещений
СП со светодиодами:  
- с индексом цветопередачи >80 100
- с индексом цветопередачи 7080 105
СП с люминесцентными источниками света 55
СП с металлогалогенными источниками света 65
СП с натриевыми лампами высокого давления 75
СП с ртутными лампами высокого давления 60
Освещение мест производства работ вне зданий
СП со светодиодами 100
СП с металлогалогенными источниками света 60
СП с люминесцентными источниками света 55
СП с натриевыми лампами высокого давления 75
СП с ртутными лампами высокого давления 60
Наружное освещение территорий
СП со светодиодами 110
СП с металлогалогенными источниками света 60
СП с люминесцентными источниками света 55
СП с натриевыми лампами высокого давления 75
СП с ртутными лампами высокого давления 60
Примечания
1 Световая отдача рассчитывается по ies-файлу на светильник.
2 Для световых приборов с глубокой кривой силы света световая отдача может быть снижена на 20 % (типы кривых силы света см. в таблице 2 и на рисунке 1 ГОСТ Р 54350-2015).
3 Настоящие требования не распространяются на световые приборы местного освещения.

7.1.4 Применяемое для искусственного освещения электрооборудование должно соответствовать требованиям [3], [7].

7.2. Освещение помещений производственных и складских зданий

7.2.1 Выбор источников света по цветовым характеристикам для производственных помещений следует проводить на основании приложения И. Для общего освещения производственных помещений следует использовать светодиоды и энергоэффективные разрядные источники света.

7.2.2 Нормы освещенности, приведенные в таблице 4.1, следует повышать на одну ступень шкалы освещенности в следующих случаях:

а) при зрительных работах разрядов I - IV, если зрительная работа выполняется более половины рабочего дня;

б) при повышенной опасности травматизма, если освещенность от системы общего освещения составляет 200 лк и менее;

в) при специальных повышенных санитарных требованиях (на предприятиях пищевой и химико-фармацевтической промышленности), если освещенность от системы общего освещения 500 лк и менее;

г) при работе или производственном обучении подростков, если освещенность от системы общего освещения 300 лк и менее;

д) при отсутствии в помещении естественного света и постоянном пребывании работающих, если освещенность от системы общего освещения 750 лк и менее;

е) при наблюдении деталей, вращающихся со скоростью, равной или превышающей 500 , или объектов, движущихся со скоростью, равной или превышающей 1,5 м/мин;

ж) при постоянном поиске объектов различения на поверхности размером 0,1 м2 и более;

и) в помещениях, где более половины работающих старше 40 лет.

При наличии одновременно нескольких признаков нормы освещенности следует повышать не более чем на одну ступень.

7.2.3 В помещениях, где выполняются зрительные работы разрядов IV - VI, нормы освещенности следует снижать на одну ступень при кратковременном пребывании людей или при наличии оборудования, не требующего постоянного обслуживания.

7.2.4 При выполнении в помещениях зрительных работ разрядов I - III, IVа, IVб, IVв, Vа следует применять систему комбинированного освещения. Предусматривать систему общего освещения разрешается при технической невозможности устройства местного освещения, что конкретизируется в стандартах организаций.

При наличии в одном помещении рабочих и вспомогательных зон следует предусматривать локализованное общее освещение (при любой системе освещения) рабочих зон и менее интенсивное освещение вспомогательных зон, относя их по освещению зрительных работ к разряду VIIIа.

7.2.5 Освещенность рабочей поверхности, создаваемая светильниками общего освещения в системе комбинированного, должна составлять не менее 10% нормируемой для комбинированного освещения. При этом освещенность от общего освещения должна быть не менее 200 лк. Создавать освещенность от общего освещения в системе комбинированного более 1200 лк разрешается только при наличии обоснований.

В помещениях без естественного света освещенность рабочей поверхности, создаваемую светильниками общего освещения в системе комбинированного, следует повышать на одну ступень.

7.2.6 Предельная равномерность распределения освещенности = / в рабочей зоне помещения без учета проходов не должна быть менее для зрительных работ разрядов I - III - 0,7, для зрительных работ разрядов IV - VII разрядов - 0,6.

Предельную равномерность распределения освещенности допускается снижать до 0,3 в тех случаях, когда по условиям технологии светильники общего освещения допускается устанавливать только на площадках, колоннах или стенах помещения.

7.2.7 В производственных помещениях освещенность проходов и участков, где зрительные работы не проводятся, должна составлять не более 25% нормируемой освещенности, создаваемой светильниками общего освещения, но не менее 100 лк.

7.2.8 В цехах с полностью автоматизированным технологическим процессом следует предусматривать освещение для наблюдения за работой оборудования, а также дополнительно включаемые светильники общего и местного освещения для обеспечения необходимой (в соответствии с таблицей 4.1) освещенности при ремонтно-наладочных работах.

7.2.9 В целях контроля за энергопотреблением устанавливаются требования к максимально допустимой удельной установленной мощности общего искусственного освещения помещений. Удельные установленные мощности общего искусственного освещения в производственных и складских помещениях не должны превышать максимально допустимых значений, приведенных в таблице 7.2.

Таблица 7.2

Максимально допустимые удельные установленные мощности искусственного освещения в производственных помещениях

(в ред. Изменения N 1, утв. Приказом Минстроя РФ от 20.11.2019 N 699/пр)

Освещенность на рабочей поверхности, лк Индекс помещения Удельная установленная мощность, Вт/м2, не более
750 0,6 20
0,8 18
1,25 16
2 и более 14
500 0,6 16
0,8 14
1,25 12
2 и более 10
400 0,6 14
0,8 12
1,25 10
2 и более 8
300 0,6 12
0,8 10
1,25 8
2 и более 6
200 0,6 10
0,8 8
1,25 6
2 и более 4
150 0,6 8
0,8 6
1,25 4
2 и более 3
100 0,6 6
0,8 4
1,25 3
2 и более 2
Примечания    
1 Значения максимальных удельных мощностей искусственного освещения для помещений других размеров и освещенностей определяются интерполяцией.
2 Значения максимальных удельных мощностей искусственного освещения допускается повышать на 20 % в технически обоснованных случаях (наличие крупногабаритного оборудования и пр.).

7.2.10 Объединенный показатель дискомфорта от светильников общего освещения (независимо от системы освещения) не должен превышать значений, указанных в таблице 4.1.

Объединенный показатель дискомфорта не ограничивается для помещений, длина которых не превышает двойной высоты подвеса светильников над полом, а также для помещений с временным пребыванием людей и для площадок, предназначенных для прохода или обслуживания оборудования.

7.2.11 Для местного освещения рабочих мест следует использовать светильники с непросвечивающими отражателями. Светильники должны располагаться таким образом, чтобы их светящие элементы не попадали в поле зрения работающих на освещаемом рабочем месте и на других рабочих местах.

Местное освещение зрительных работ с трехмерными объектами различения следует выполнять:

- при диффузном отражении фона - светильником, отношение наибольшего линейного размера светящей поверхности которого к высоте расположения ее над рабочей поверхностью составляет не более 0,4 при направлении оптической оси в центр рабочей поверхности под углом не менее 30° к вертикали;

- при направленно-рассеянном и смешанном отражении фона - светильником, отношение наименьшего линейного размера светящей поверхности которого к высоте расположения ее над рабочей поверхностью составляет не менее 0,5, а ее яркость - от 2500 до 4000 кд/м2.

7.2.12 Яркость рабочей поверхности не должна превышать значений, указанных в таблице 7.3.

Таблица 7.3

Наибольшая допустимая яркость рабочих поверхностей по условиям отраженной блескости

Площадь рабочей поверхности, м2 Наибольшая допустимая яркость, кд/м2
Менее 0,0001 2000
От 0,0001 до 0,001 1500
" 0,001 " 0,01 1000
" 0,01 " 0,1 750
Более 0,1 500

7.2.13 Коэффициент пульсации освещенности на рабочих поверхностях не должен превышать значений, указанных в таблице 4.1.

Коэффициент пульсации не ограничивается:

- для помещений с периодическим пребыванием людей при отсутствии в них условий для возникновения стробоскопического эффекта;

- при пульсации освещенности частотой свыше 300 Гц, поскольку при данных частотах она не оказывает влияния на общую и зрительную работоспособность.

В помещениях, где возможно возникновение стробоскопического эффекта, коэффициент пульсации освещенности должен быть менее 10% за счет применения источников света со специальными устройствами питания (светодиодов, работающих на постоянном токе, люминесцентных ламп с электронными пускорегулирующими устройствами), а также включения соседних разрядных источников света в три фазы питающего напряжения.

7.3. Освещение помещений общественных, жилых и вспомогательных зданий

7.3.1 Выбор источников света по цветовым характеристикам для общественных, жилых и вспомогательных помещений следует проводить на основании приложения К.

В дошкольных образовательных организациях, а также в основных функциональных помещениях лечебно-профилактических учреждений следует применять люминесцентные (в том числе компактные) лампы и галогенные лампы накаливания. Использование светодиодных источников света в указанных помещениях не разрешается.

В общественных помещениях галогенные лампы накаливания для общего освещения допускается использовать только для обеспечения архитектурно-художественных требований.

7.3.2 В целях контроля за энергопотреблением устанавливаются требования к максимально допустимой удельной установленной мощности общего искусственного освещения помещений общественных зданий разрядов А - В.

Удельные установленные мощности общего искусственного освещения не должны превышать максимально допустимых значений, приведенных в таблице 7.4.

Таблица 7.4

Максимально допустимые удельные установленные мощности искусственного освещения в помещениях общественных зданий

(в ред. Изменения N 1, утв. Приказом Минстроя РФ от 20.11.2019 N 699/пр)

Освещенность на рабочей поверхности, лк Индекс помещения Удельная установленная мощность, Вт/м2, не более
500 0,6 18
0,8 16
1,25 14
2 и более 12
400 0,6 16
0,8 14
1,25 12
2 и более 10
300 0,6 14
0,8 12
1,25 10
2 и более 8
200 0,6 12
0,8 10
1,25 8
2 и более 6
150 0,6 10
0,8 8
1,25 6
2 и более 4
100 0,6 5
0,8 4
1,25 3
2 и более 2
Примечания
1 Значения в настоящей таблице приведены с учетом потребления мощности пускорегулирующих устройств, а также устройств управления освещением.
2 Значения максимальных удельных мощностей искусственного освещения допускается повышать на 20 % в технически обоснованных случаях (наличие крупногабаритного оборудования и пр.).

7.3.3 Нормы освещенности, приведенные в таблице 4.2, следует повышать на одну ступень шкалы освещенности в следующих случаях:

а) при зрительных работах разрядов А - В при специальных повышенных санитарных требованиях (например, в некоторых помещениях общественного питания и торговли);

б) при отсутствии в помещении с постоянным пребыванием людей естественного света;

в) при повышенных требованиях к насыщенности помещения светом для зрительных работ разрядов Г - Е (зрительные и концертные залы, фойе уникальных зданий и т.п.);

г) при применении системы комбинированного освещения административных зданий (кабинеты, рабочие комнаты, читальные залы библиотеки);

д) в помещениях, где более половины работающих старше 40 лет.

7.3.4 В установках декоративно-художественного освещения помещений общественных зданий с разрядами зрительных работ Г - Е разрешается выбор освещенности в соответствии с архитектурными требованиями, при этом для обеспечения возможности свободного ориентирования в помещении наименьшая освещенность условной рабочей поверхности должна быть не менее 100 лк.

7.3.5 В помещениях, где необходимо обеспечить цилиндрическую освещенность, средневзвешенный по поверхности коэффициент отражения стен должен быть не менее 40%, а потолка - не менее 50%.

7.3.6 В помещениях общественных зданий следует применять систему общего освещения. Допускается применение системы комбинированного освещения в помещениях административных зданий, где выполняется зрительная работа разрядов А - В (например, кабинеты, рабочие комнаты, читальные залы библиотек и архивов и т.п.). При этом нормируемая освещенность на рабочей поверхности повышается согласно 7.3.3, а освещенность от общего освещения должна составлять не менее 70% значений по таблице 4.2.

На предприятиях бытового обслуживания в сопутствующих помещениях производственного характера, где выполняются зрительные работы разрядов I - IV (например, помещения ювелирных и граверных работ, ремонта часов, теле- и радиоаппаратуры, калькуляторов и т.д.), следует применять систему комбинированного освещения. Нормируемые освещенности и качественные показатели принимаются по таблице 4.1.

7.3.7 Объединенный показатель дискомфорта, регламентируемый для ограничения слепящего действия в осветительных установках по таблице 4.2, должен обеспечиваться у торцевой стены на центральной оси помещения на высоте 1,2 м от пола. Объединенный показатель дискомфорта не ограничивается для помещений, длина которых не превышает двойной высоты установки светильников над полом.

Коэффициент пульсации освещенности следует принимать по таблице 4.2.

7.3.8 Освещение вестибюлей, лестниц, лифтовых холлов, приквартирных коридоров жилых зданий высотой более трех этажей должно иметь автоматическое или дистанционное управление, обеспечивающее снижение светового потока светильников или ламп в ночное время с таким расчетом, чтобы освещенность вышеуказанных помещений была не ниже норм эвакуационного освещения, а при проходе людей по данным помещениям освещенность должна соответствовать нормам рабочего освещения.

В целях энергосбережения при проектировании рабочего освещения приведенных помещений допускается применение устройств кратковременного включения освещения (УКВО) с выдержкой времени, достаточного для прохода людей по этим помещениям в условиях вышеуказанной освещенности, или использование светильников с датчиками движения (присутствия) и освещенности.

Необходимость применения УКВО или светильников с датчиками движения в сетях рабочего освещения определяется заданием на проектирование.

7.4. Освещение площадок предприятий и мест производства работ вне зданий

7.4.1 Освещенность рабочих поверхностей мест производства работ, расположенных вне зданий, на этажерках вне зданий и под навесом, следует принимать по таблице 7.5.

Удельные мощности искусственного освещения мест производства работ вне зданий не должны превышать максимально допустимых значений, приведенных в таблице 7.5.

Таблица 7.5

Нормы освещения и максимально допустимые удельные установленные мощности освещения мест производства работ вне зданий

(в ред. Изменения N 1, утв. Приказом Минстроя РФ от 20.11.2019 N 699/пр)

Разряд зрительной работы Отношение минимального размера объекта различения к расстоянию от этого объекта до глаз работающего Средняя освещенность в горизонтальной плоскости, лк Равномерность освещенности , относительные единицы, не менее Коэффициент блескости , относительные единицы Коэффициент пульсации освещенности , %, не более Удельная установленная мощность, Вт/м2, не более
IX Менее 0,002 300 0,5 40 10 14
Х От 0,002 до 0,01 200 0,5 45 15 10
XI От 0,01 до 0,02 150 0,4 45 20 8
XII От 0,02 до 0,05 100 0,4 50 20 5
ХIII От 0,05 до 0,1 50 0,4 50 20 3
XIV Свыше 0,1 30 0,25 55 20 2
XV Постоянное наблюдение за ходом производственного процесса 20 0,25 55 - 1
XVI Периодическое наблюдение за ходом производственного процесса 10 0,25 55 - -
XVII Общее наблюдение за инженерными коммуникациями 5 0,25 55 - -
Примечания
1 При опасности травматизма для зрительных работ разрядов XI-XIV освещенность следует принимать по смежному, более высокому разряду.
2 Значения максимальных удельных мощностей искусственного освещения допускается повышать на 20 % в технически обоснованных случаях (наличие крупногабаритного оборудования и пр.).

7.4.2 Средняя освещенность в горизонтальной плоскости площадок предприятий на уровне земли или дорожных покрытий следует принимать по таблице 7.6.

Таблица 7.6

Освещенность территорий предприятий

Освещаемые объекты Наибольшая интенсивность движения в обоих направлениях, ед·ч Средняя освещенность в горизонтальной плоскости, лк
Проезды Св. 50 до 150 20
От 10 до 50 10
Менее 10 5
Пожарные проезды, дороги для хозяйственных нужд - 5
Ступени и площадки лестниц и переходных мостиков - 10
Предзаводские участки, не относящиеся к территории города (площадки перед зданиями, подъезды и проходы к зданиям, стоянки транспорта) - 10
Железнодорожные пути:
- стрелочные горловины - 10
- отдельные стрелочные переводы - 5
- железнодорожное полотно - 5
Переходы и переезды - 10

Примечание - Для автомобильных дорог, являющихся продолжением городских улиц и имеющих аналогичные покрытия проезжей части и интенсивность движения транспорта, необходимо соблюдать нормы средней яркости покрытий проезжей части, приведенные в таблице 7.10.

7.4.3 Наружное освещение должно иметь управление, независимое от управления освещением внутри зданий.

Относительные удельные мощности искусственного освещения улично-дорожной сети не должны превышать максимально допустимых значений, приведенных в таблице 7.10.

Там, где улицы и дороги в промышленных зонах используются только в короткие промежутки времени (ночью), например при сменной работе, для снижения яркости или освещенности дорожного покрытия после снижения интенсивности движения, следует применять осветительные приборы с автоматическими регуляторами светового потока.

7.4.4 Для ограничения слепящего действия установок наружного освещения мест производства работ и территорий промышленных предприятий высота установки осветительных приборов над уровнем земли должна быть:

а) для осветительных приборов с защитным углом менее 15° - не менее указанной в таблице 7.7;

б) для осветительных приборов с защитным углом 15° и более - не менее 3,5 м.

Допускается не ограничивать высоту подвеса осветительных приборов с защитным углом 15° и более (или с рассеивателями из молочного стекла без отражателей) на площадках для прохода людей или обслуживания технологического (или инженерного) оборудования, а также у входа в здание.

Таблица 7.7

Наименьшая высота установки осветительных приборов по условиям ограничения слепящего действия

Светораспределение осветительных приборов Наибольший световой поток ламп в осветительных приборах, установленных на одной опоре, лм Наименьшая высота установки осветительных приборов, м
Полуширокое Менее 6000 7,0
От 6000 до 10000 7,5
Св. 10000 " 20000 8,0
" 20000 " 30000 9,0
" 30000 " 40000 10,0
" 40000     11,5
Широкое Менее 6000 7,5
От 6000 до 10000 8,5
Св. 10000 " 20000 9,5
" 20000 " 30000 10,5
" 30000 " 40000 11,5
" 40000     13,0

7.4.5 Высота установки осветительных приборов рассеянного света должна быть не менее 3 м при световом потоке источника света до 6000 лм и не менее 4 м при световом потоке более 6000 лм.

7.4.6 Отношение осевой силы света , кд, одного прожектора или наклонно расположенного осветительного прибора с типом кривой силы света, аналогичной кривой силы света прожектора, к квадрату высоты установки этих приборов H, м, в зависимости от нормируемой освещенности не должно превышать значений, указанных в таблице 7.8.

Таблица 7.8

Отношение осевой силы света к квадрату высоты установки

Нормируемая освещенность, лк 0,5 1 2 3 5 10 20 30 50
100 150 250 300 400 700 1400 2100 3500

Примечание - При совпадении направлений осевых сил света нескольких световых приборов допустимые значения каждого прибора определяются путем деления табличного значения на число этих световых приборов.

7.5. Освещение селитебных территорий

7.5.1 Освещение улиц, дорог и площадей

7.5.1.1 Классификация улично-дорожной сети городов проводится в соответствии с таблицей 7.9.

Таблица 7.9

Классификация городской улично-дорожной сети

Категория объекта Класс объекта Основное назначение объекта Транспортная характеристика Расчетная скорость, км/ч Число полос движения в обоих направлениях Пропускная способность, тыс. ед/ч
А. Магистральные дороги и улицы общегородского значения За пределами центра города <*> А1 Транспортные и функциональные оси крупных городов. Выходы на внешние федеральные автомагистрали Все виды транспорта; движение скоростное, непрерывное; пересечения в разных уровнях; наличие центральной разделительной полосы 100 6 - 8 Свыше 10
А2 Основные транспортные каналы города, в том числе имеющие выходы на внешние автомагистрали и скоростные дороги Все виды транспорта; движение непрерывное или регулируемое; пересечение с магистралями в одном или разных уровнях 80 - 100 6 - 8 7 - 9
В центре города А3 Транспортные и функциональные оси исторического центра города. Центральные магистрали, связующие улицы с выходом на магистрали А1 и А2 Все виды транспорта кроме грузового, не связанного с обслуживанием центра; движение регулируемое; пересечение с магистралями в одном уровне; интенсивное пешеходное движение 90 6 - 8 4 - 7
А4 Основные транспортные каналы исторического центра города, обеспечивают внутренние связи центра. Имеют выход на магистральные улицы общегородского и районного значения То же 80 4 - 6 3 - 5
Б. Магистрали и улицы районного значения За пределами центра города Б1 Основные оси районов города. Обеспечивают связи в пределах жилых районов и производственных зон, а также между ними Все виды транспорта; движение регулируемое; пересечения в одном уровне 60 - 70 4 - 6 3 - 5
В центре города Б2 Оси функционально-планировочных зон исторического центра города. Обеспечивают его внутренние связи. Имеют выход на магистральные улицы общегородского и районного значения Все виды транспорта кроме грузового, не связанного с обслуживанием центра; движение регулируемое; пересечения в одном уровне 60 3 - 6 2 - 5
В. Улицы и дороги местного значения Жилая застройка за пределами центра города В1 Транспортные и пешеходные связи в пределах жилых районов и выход на магистрали, за исключением улиц с непрерывным движением транспорта Легковой, специальный и обслуживающий район грузовой транспорт, в отдельных случаях допускается общественный пассажирский транспорт; движение регулируемое; пересечения в одном уровне 60 2 - 4 1,5 - 3
Жилая застройка в центре города В2 Транспортные и пешеходные связи в пределах жилых районов и микрорайонов, выход на магистральные улицы центра Легковой, специальный и обслуживающий район грузовой транспорт; движение регулируемое; пересечения в одном уровне 60 2 - 4 1,5 - 3
В городских промышленных, коммунальных и складских зонах В3 Транспортные связи в пределах производственных и коммунально-складских зон Все виды транспорта; движение регулируемое; пересечения в одном уровне 60 2 - 4 0,5 - 2

<*> Центр города - территория центральной части города, устанавливаемая городскими властями.

7.5.1.2 Для проезжей части участков городских улиц и дорог со стандартной геометрией и асфальтобетонным покрытием нормируют: среднюю яркость дорожного покрытия , общую и продольную равномерности яркости дорожного покрытия, среднюю освещенность дорожного покрытия , равномерность освещенности , пороговое приращение яркости TI согласно таблице 7.10.

7.5.1.3 Для проезжей части участков городских улиц и дорог с нестандартной геометрией или с покрытием, отличным от асфальтобетонного (брусчатка, цементобетонное и др.), или расположенных в северной строительно-климатической зоне азиатской части Российской Федерации либо севернее 66° северной широты европейской части Российской Федерации среднюю освещенность на дорожном покрытии и равномерность освещенности нормируют согласно таблице 7.10.

Слепящее действие, оказываемое осветительной установкой на водителей, регламентируют предельной силой света светильников в направлении водителей согласно 7.5.1.9.

Таблица 7.10

Нормируемые показатели освещения улиц и дорог городских населенных пунктов с регулярным транспортным движением

(в ред. Изменения N 1, утв. Приказом Минстроя РФ от 20.11.2019 N 699/пр)

Класс объекта Средняя яркость дорожного покрытия , кд/м2, не менее Общая равномерность яркости дорожного покрытия , не менее Продольная равномерность яркости дорожного покрытия , не менее Пороговое приращение яркости TI, %, не более Средняя освещенность дорожного покрытия , лк, не менее Равномерность освещенности дорожного покрытия , не менее Коэффициент пульсации освещенности, , %, не более Относительная удельная мощность при нормируемой освещенности, , мВт, не более
А1 2,00 0,40 0,70 10 30,0 0,35 3 <1> 60
А2 1,60 10 20,0 50
А3 1,40 12 20,0 45
А4 1,20 12 20,0 45
Б1 1,20 0,40 0,60 12 20,0 0,35 5 <1> 45
Б2 1,00 15 15,0 53
В1 0,80 0,40 0,50 15 15,0 0,25 5 <1> 50
В2 0,60 0,40 0,50 15 10,0 50
В3 0,40 0,35 0,40 20 6,0 50
<1> Значения приведены для осветительных установок со светодиодными источниками света. Для осветительных установок с разрядными источниками света норма коэффициента пульсации освещенности не применяется.

7.5.1.4 Энергетическую эффективность установки утилитарного наружного освещения оценивают показателем относительной удельной мощности согласно таблице 7.10. Методика определения показателя относительной удельной мощности приведена в приложении М.

7.5.1.5 Средняя яркость покрытия магистральных дорог со скоростным движением за пределами города на основных подъездах к аэропортам, речным и морским портам независимо от интенсивности движения транспорта должна быть не менее 1,6 кд/м2.

7.5.1.6 Допускается по согласованию с администрацией города увеличивать значения средней яркости на 0,20 кд/м2 или средней освещенности на 5,0 лк для улиц, дорог и площадей категорий А (за исключением класса А1) и Б, а также вне города на подъездах к аэропортам, вокзалам, гипер- и супермаркетам.

7.5.1.7 Средняя яркость или средняя освещенность дорожного покрытия дорог и улиц, пересекающихся в одном уровне, должна соответствовать значениям, установленным для основной дороги или улицы, на расстоянии не менее 100 м от линии примыкания.

На съездах и ответвлениях дорог и улиц, пересекающихся в разных уровнях, в границах транспортной развязки значение средней освещенности должно быть не менее 20 лк.

Средняя яркость или средняя освещенность дорожного покрытия улиц местного значения, примыкающих к магистральной дороге или улице, должны быть не менее 1/3 значений или , установленных для соответствующей дороги или улицы, но не ниже нормированного значения для улицы местного значения на расстоянии не менее 100 м от линии примыкания.

7.5.1.8 Высота размещения светильников на улицах, дорогах и площадях с трамвайным и троллейбусным движением следует принимать с учетом высоты подвешивания контактных проводов по СП 98.13330.2012.

7.5.1.9 На улицах, дорогах и в транспортных зонах площадей, для которых нормируют освещенность, ограничивают силу света светильников в установке под углами 80° и 90° от вертикали в направлении водителей предельными значениями , равными 30 и 10 кд соответственно на 1 клм светового потока светильника.

При освещении больших площадей и транспортных развязок светильники, установленные на опорах высотой 20 м и более, должны обеспечивать направление максимума силы света под углом не более 65° от вертикали. Сила света светильника под углами 80°, 85° и 90° от вертикали в направлении водителей не должна превышать предельных значений , равных 50, 30 и 10 кд соответственно на 1 клм его светового потока.

Высота расположения светильника над дорожным покрытием проезжей части верхнего уровня транспортного пересечения должна быть не менее 10 м.

7.5.1.10 Средняя освещенность и равномерность освещенности трамвайных путей, расположенных на проезжей части улиц, должны соответствовать указанным в таблице 7.10. Средняя освещенность на обособленном трамвайном пути должна быть не менее 6 лк, на посадочных площадках - 10 лк.

Допускается не освещать обособленные трамвайные пути на перегонах вне городской застройки.

7.5.1.11 Минимальная высота установки светильников в парапетах мостов и путепроводов не ограничивается при условии обеспечения защитного угла не менее 10° и исключения возможности доступа к лампам и пускорегулирующим аппаратам без применения специального инструмента.

7.5.1.12 При нормируемой средней яркости более 0,80 кд/м2 или средней освещенности более 15 лк для проезжей части городских улиц, дорог и площадей допускается в ночное время снижение этих норм отключением части светильников или понижением их мощности на 30% и 50% при уменьшении интенсивности движения до 1/3 и 1/5 максимального значения соответственно.

Не допускается в ночное время частичное отключение светильников при их установке по одному на опоре.

7.5.1.13 Для надежной ориентации водителей и пешеходов в темное время суток светильники в ряду следует располагать так, чтобы образуемая ими линия однозначно указывала направление дороги или улицы.

7.5.1.14 Средняя освещенность и равномерность освещенности на дорожном покрытии улиц, дорог, проездов и площадей сельских поселений должны соответствовать таблице 7.11.

Таблица 7.11

Нормируемые показатели освещения улиц и дорог сельских поселений

Освещаемые объекты , лк, не менее , не менее
Главные улицы, площади общественных и торговых центров 10,0 0,25
Улицы в жилой застройке:
- основные 6,0
- второстепенные (переулки) 4,0
Поселковые дороги, проезды на территории садовых товариществ и дачных кооперативов 2,0 0,10

7.5.1.15 Средняя освещенность на дорожном покрытии на подъездах к местам заправки транспорта, а также на открытых стоянках автомобилей должна соответствовать таблице 7.12.

Таблица 7.12

Освещение автозаправочных станций и стоянок автомобилей

Освещаемые объекты , лк, не менее
Подъездные пути к объектам сервиса для улиц и дорог:
- категорий А и Б 15,0
- категории В 10,0
Места заправки и слива нефтепродуктов 20,0
Проезжая часть остальной территории автозаправочных станций 10,0
Открытые стоянки автомобилей на улицах всех категорий, а также платные вне улиц, открытые стоянки автомобилей в микрорайонах, проезды между рядами гаражей боксового типа 6,0

7.5.1.16 Осветительные приборы, установленные на территориях автозаправочных станций и стоянок автомобилей, должны иметь силу света в направлении водителей транспортных средств, проезжающих по прилегающим к этим территориям улицам и дорогам, не более 30 кд на 1 клм светового потока этих приборов. Не допускается направлять прожекторы, установленные на крышах и навесах строений или опорах, в сторону проезжей части улицы или дороги.

7.5.2 Освещение пешеходных переходов

7.5.2.1 Освещение наземных пешеходных переходов (в одном уровне с проезжей частью) должно обеспечивать пешеходам возможность видеть препятствия и дефекты дорожного покрытия, а водителям транспортных средств - видеть пешеходов на фоне дорожного покрытия проезжей части. В целях усиления распознаваемости зоны перехода для ее освещения целесообразно использовать светильники с источниками света, имеющими цветность, контрастную по отношению к цветности источников света, применяемых в светильниках для освещения проезжей части улицы.

Примечание - Например, для дороги, освещаемой светильниками с натриевыми лампами высокого давления, на переходе целесообразно использовать светильники с металлогалогенными лампами или светодиодные светильники.

7.5.2.2 На наземных пешеходных переходах улиц и дорог категорий А и Б следует предусматривать повышение средней освещенности не менее чем в 1,5 раза по сравнению с нормой освещенности на пересекаемой проезжей части. Повышения освещенности достигают уменьшением шага опор и установкой дополнительных или более мощных светильников.

Светораспределение светильников и их расположение относительно наземного пешеходного перехода должны обеспечивать видимость пешехода на фоне дорожного покрытия проезжей части и не оказывать слепящего действия на водителей. Светильники следует размещать перед переходом по отношению к направлению транспортного движения. На улицах и дорогах с двусторонним движением светильники устанавливают перед переходом относительно обоих направлений движения.

Для снижения слепимости водителей следует использовать светильники с асимметричным светораспределением (кососветы), ориентируя максимум силы света в сторону перехода.

7.5.2.3 Значения средней освещенности на покрытии подземных и надземных пешеходных переходов приведены в таблице 7.13.

Таблица 7.13

Значения средней освещенности подземных и надземных пешеходных переходов

Освещаемые объекты , лк, не менее
Подземные пешеходные переходы и тоннели:
- проходы 75
- лестницы и пандусы 40
Открытые пешеходные мостики 10
Надземные пешеходные переходы с прозрачными стенами и потолком или застекленными стеновыми проемами:
- проходы 75
- лестничные сходы, съезды и смотровые площадки 50

7.5.2.4 Равномерность освещенности на покрытия подземных и надземных переходов должна быть не менее 0,3.

В подземных и надземных пешеходных переходах используют светильники с защитным углом не менее 15° или с диффузными или призматическими рассеивателями.

7.5.3 Освещение автодорожных тоннелей

7.5.3.1 Транспортные зоны (проезжая часть), служебно-технические и вспомогательные помещения тоннеля должны иметь искусственное рабочее и аварийное освещение, включающее в себя эвакуационное и резервное освещение.

7.5.3.2 В зависимости от характера движения (одностороннее или двустороннее в одной трубе) и интенсивности транспортного потока тоннели подразделяются на три класса по освещению в соответствии с таблицей 7.14.

Таблица 7.14

Классификация тоннелей по освещению

Интенсивность движения на одну полосу, ед./ч Движение
Одностороннее Двустороннее
До 500 включ. От 500 до 1500 включ. Св. 1500 До 100 включ. От 100 до 400 включ. Св. 400
Класс тоннеля 1 2 3 1 2 3

Примечание - При наличии факторов, ухудшающих условия безопасности или комфортности движения в тоннеле (например, боковых въездов и выездов), класс тоннеля может быть повышен на одну ступень, за исключением класса 3.

7.5.3.3 Рабочее освещение транспортной зоны тоннеля должно предусматривать дневной и ночной режимы.

7.5.3.4 Для дневного режима в транспортной зоне следует выделять четыре яркостные зоны тоннеля: пороговую, переходную, внутреннюю и выездную. Кроме того, перед въездным порталом выделяется подъездная зона. Расположение зон тоннеля приведено в приложении Ж.

7.5.3.5 Длину пороговой зоны следует принимать равной РБТ, значения которого в зависимости от расчетной скорости движения транспортного потока должны соответствовать указанным в таблице 7.15.

Таблица 7.15

Расстояние безопасного торможения (РБТ)

Расчетная скорость движения, км/ч 40 <*> 60 80 100 120
РБТ, м 25 55 100 155 220

Примечания

1. При уклоне продольного профиля дорожного полотна в подъездной зоне 10 и более приведенные значения РБТ следует увеличить на 3% при спуске или уменьшить на 2,5% при подъеме на каждые 10 уклона к въездному порталу.

2. Для промежуточных значений расчетной скорости значения РБТ определяют линейным интерполированием с округлением до целого числа.

<*> Используется на боковых въездах в тоннель.

7.5.3.6 Продольное распределение яркости дорожного покрытия в первой половине пороговой зоны тоннеля должно быть постоянным, а во второй половине - линейно спадать, достигая к концу этой зоны 40% значения средней яркости в первой половине пороговой зоны.

Отношение средней яркости дорожного покрытия в первой половине пороговой зоны тоннеля к яркости адаптации , определяемой в соответствии с приложением Ж, должно быть не менее значений, указанных в таблице 7.16.

Таблица 7.16

Нормируемые значения отношения средней яркости дорожного покрытия в первой половине пороговой зоны тоннеля к яркости адаптации

Класс тоннеля , %, при РБТ, м
До 60 включ. 80 100 120 140 Св. 160
1 2,0 2,5 3,0 3,4 3,7 4,0
2 3,0 3,5 4,0 4,4 4,7 5,0
3 4,0 4,5 5,0 5,6 6,3 7,0

Примечания

1. Для боковых въездов в тоннель при РБТ менее 55 м применяют норму = 1,5%.

2. Для промежуточных значений РБТ значения определяют линейным интерполированием с округлением до одного знака после запятой.

В тоннелях, имеющих при въезде участки с открытыми проемами в стенах или солнцезащитные экраны перед въездным порталом, пороговая зона отсчитывается от начала этих участков. В этом случае распределение яркости в пороговой зоне определяется с учетом действия дневного света и должно иметь характер такой же, как и при искусственном освещении.

7.5.3.7 Яркость дорожного покрытия в первой половине пороговой зоны коротких тоннелей относительно нормируемой яркости длинных тоннелей определяется согласно таблице 7.17.

Таблица 7.17

Освещение коротких тоннелей в дневном режиме

Длина тоннеля, м Радиус кривой въездного пути участка в плане, м Относительный уровень освещения в сравнении с нормируемым по таблице 7.14, %
До 25 включ. Любой Освещение не требуется
От 25 до 75 включ. Св. 350
До 350 включ. 50
От 75 до 125 Св. 350
До 350 включ. 100
Св. 125 Любой

7.5.3.8 В переходной зоне тоннеля продольное распределение яркости дорожного покрытия при удалении от пороговой зоны должно носить плавно спадающий характер. Отношение яркости в каждой точке переходной зоны к средней яркости в первой половине пороговой зоны должно быть не менее соответствующих значений стандартной кривой спада относительной яркости в переходной зоне , приведенной в приложении Ж.

Допускается ступенчатый спад относительной яркости , при котором каждая ступень отношения должна быть не ниже стандартной кривой спада относительной яркости переходной зоны, а перепад яркости при переходе от одной ступени к следующей не должен превышать отношения 3:1. Пример ступенчатого спада яркости показан на рисунке Ж.3 приложения Ж.

Конец переходной зоны определяют в месте, где значение яркости переходной зоны тоннеля спадает до троекратного значения средней яркости внутренней зоны тоннеля .

Для дополнительного комфорта водителя в случае ступенчатого спада яркости рекомендуется увеличивать длину переходной зоны на расстояние, проезжаемое транспортным средством с проектной скоростью за время 1 - 2 с.

7.5.3.9 В тоннелях с двусторонним движением в одной трубе пороговую и переходную зоны следует устраивать со стороны каждого портала.

7.5.3.10 Следует предусматривать автоматическое регулирование дневного режима освещения пороговой и переходной зон тоннеля в зависимости от яркости адаптации в подъездной зоне в данный момент времени, обеспечивая при этом нормируемое значение отношения в соответствии с таблицей 7.17.

7.5.3.11 Во внутренней зоне тоннеля нормируемые значения средней яркости дорожного покрытия должны соответствовать данным таблицы 7.18.

Таблица 7.18

Нормируемые значения средней яркости дорожного покрытия внутренней зоны

Класс тоннеля , кд/м2, не менее, при РБТ, м
До 60 включ. 80 100 120 140 Св. 160
1 1,0 1,2 1,4 1,6 1,8 2,0
2 1,5 1,7 2,0 2,5 3,2 4,0
3 2,0 3,0 4,0 4,8 5,4 6,0

Примечание - Для промежуточных значений РБТ значения определяют линейным интерполированием с округлением до одного знака после запятой.

7.5.3.12 Для тоннелей класса 3 следует начиная с РБТ перед выездным порталом устраивать выездную зону, в которой яркость дорожного покрытия выездной зоны тоннеля растет линейно, достигая за 20 м до выездного портала пятикратного значения средней яркости внутренней зоны тоннеля . Для тоннелей классов 1 и 2 выездную зону допускается не устраивать.

7.5.3.13 Ночной режим освещения следует предусматривать независимо от длины тоннеля. При этом средняя яркость дорожного покрытия по всей длине тоннеля должна быть постоянна и не менее средней яркости участков улицы или дороги, примыкающих к въездному и выездному порталам. Средняя яркость дорожного покрытия тоннелей должна быть не менее:

- 0,80 кд/м2 - для тоннелей класса 1;

- 1,00 кд/м2 - для тоннелей класса 2;

- 2,00 кд/м2 - для тоннелей класса 3.

Допускается на участке перед въездным порталом длиной, равной РБТ, повышать среднюю яркость дорожного покрытия не более чем на 30% по сравнению с соответствующей средней яркостью покрытия улицы или дороги, ведущей к тоннелю, не превышая при этом среднюю яркость дорожного покрытия в тоннеле.

При наличии примыкающего к въездному порталу участка, перекрытого солнцезащитным экраном, ночной режим освещения этого участка должен быть аналогичен режиму, принятому для всего тоннеля.

7.5.3.14 Переключение освещения с ночного режима на дневной и обратно следует проводить при повышении или спаде естественной горизонтальной освещенности соответственно вблизи въездного портала до 100 лк.

7.5.3.15 Во всех яркостных зонах отношение средней яркости нижней части стен тоннеля до уровня 2 м над покрытием дороги к средней яркости дорожного покрытия ближайшей к стене полосы движения должно быть не менее 0,25 для тоннелей класса 1 и не менее 0,60 для классов 2 и 3.

7.5.3.16 На участках с постоянной яркостью дорожного покрытия (первая половина пороговой зоны и целиком внутренняя в дневном режиме, а также весь тоннель в ночном режиме) должны быть обеспечены значения показателей общей и продольной равномерности яркости дорожного покрытия в соответствии с таблицей 7.19.

Таблица 7.19

Нормируемые значения показателей равномерности яркости дорожного покрытия

Класс тоннеля , не менее , не менее <*>
1 0,35 0,40
2 0,40 0,50
3 0,40 0,60

<*> Нормируемое значение должно быть обеспечено для каждой полосы движения.

Для тех же участков отношение минимальной яркости к средней на нижней части стены (до 2 м над дорожным покрытием) должно быть не менее 0,35.

7.5.3.17 Пороговое приращение яркости TI за счет слепящего действия светильников для пороговой и внутренней зон тоннеля в дневном режиме и всего тоннеля в ночном режиме не должно превышать 15%.

7.5.3.18 Для предотвращения фликер-эффекта во внутренней зоне в дневном режиме и по всей длине тоннеля в ночном режиме при продолжительности проезда по таким участкам более 20 с с проектной скоростью шаг светильников в ряду должен лежать вне диапазонов значений, приведенных в таблице 7.20.

Таблица 7.20

Интервалы шага светильников, при которых возникает фликер-эффект в тоннеле

Проектная скорость движения, км/ч 60 80 100 120
Диапазон шага светильников, м 1,3 - 6,7 1,7 - 8,9 2,1 - 11 2,6 - 13

7.5.3.19 При использовании светильников с натриевыми лампами расстояние между светильниками и желтыми сигнальными огнями (светофорами) должно быть не менее 1 м по горизонтали в плоскости, перпендикулярной направлению движения.

7.5.3.20 Для рабочего освещения транспортной зоны следует применять специальные тоннельные светильники со светораспределением, соответствующим выбранной системе освещения тоннеля.

Для пороговой и переходной зон целесообразно использовать систему встречного освещения, для внутренней и выездной зон, а также во всем тоннеле в ночном режиме - систему симметричного освещения.

7.5.3.21 Светильники наиболее целесообразно располагать на потолке над проезжей частью в один или несколько рядов в зависимости от ее ширины и нормируемой средней яркости дорожного покрытия и стен. Габариты светильников по высоте не должны выходить за установленные для данного тоннеля пределы. Для тоннелей с числом полос движения не более двух допускается боковое размещение светильников (в верхней части стен или в углах между стеной и потолком). При размещении на стенах высота установки светильников должна быть не менее 4 м относительно покрытия дороги.

7.5.3.22 Аварийное освещение тоннелей следует проектировать в соответствии с 7.7.1 - 7.7.7.

7.5.3.23 При проектировании рабочего и аварийного освещения притоннельных сооружений, служебно-технических и вспомогательных помещений тоннеля (диспетчерские, вентиляционные камеры и др.) следует руководствоваться общими требованиями к освещению производственных помещений.

7.5.4 Освещение пешеходных пространств

7.5.4.1 Освещение пешеходных пространств следует проектировать исходя из нормы средней горизонтальной освещенности и равномерности ее распределения на дорожном покрытии. Основные объекты пешеходных пространств классифицируются и нормируются в соответствии с таблицей 7.21.

Таблица 7.21

Классификация и нормируемые показатели для пешеходных пространств

Класс объекта по освещению Освещаемые объекты Нормируемые показатели
, лк, не менее , не менее
П1 Площадки перед входами культурно-массовых, спортивных, развлекательных и торговых объектов 20,0 0,30
П2 Главные пешеходные улицы исторической части города и основных общественных центров административных округов, непроезжие и предзаводские площади, посадочные площадки общественного транспорта, детские площадки и места отдыха во дворах 10,0 0,30
П3 Пешеходные улицы; главные и вспомогательные входы парков, санаториев, выставок и стадионов 6,0 0,20
П4 Тротуары, отделенные от проезжей части дорог и улиц; основные проезды микрорайонов, подъезды, подходы и центральные аллеи детских, учебных и лечебно-оздоровительных учреждений 4,0 0,20
П5 Второстепенные проезды, дворы и хозяйственные площадки на территориях микрорайонов, боковые аллеи и вспомогательные входы общегородских парков и центральные аллеи парков административных округов 2,0 0,10
П6 Боковые аллеи и вспомогательные входы парков административных округов 1,0 0,10

7.5.4.2 Для пешеходных улиц исторической части города среднее значение полуцилиндрической освещенности должно быть не менее 6,0 лк, а минимальное - 2,0 лк.

7.5.4.3 Средняя освещенность на покрытии тротуара, примыкающего к проезжей части улицы, дороги или площади, должна быть не менее половины средней освещенности на покрытии ближайшей к тротуару полосы движения.

Равномерность освещенности на покрытии тротуара должна быть не менее 0,30.

7.5.4.4 Слепящее действие светильников для освещения пешеходных улиц, парковых зон, скверов, бульваров и т.д. определяет отношение , где - сила света светильника под углом 85° от вертикали, максимальная по всем азимутальным углам, кд; A - площадь проекции светящей поверхности светильника на плоскость, перпендикулярную направлению силы света , м2.

Значение , кд/м, должно быть не более:

- 4000 - при высоте установки светильника до 4,5 м включительно;
- 5500 то же св. 4,5 до 6 м включительно;
- 7000 " " св. 6 м.

7.5.4.5 Средняя освещенность на дорожном покрытии площадок, проездов, проходов между рядами павильонов, палаток, контейнеров и т.п. на территории открытых рынков и торговых ярмарок должна быть не менее 10 лк при минимальной освещенности 2,0 лк.

Допускается снижение средней освещенности до 4,0 лк после закрытия рынка или торговой ярмарки.

7.5.4.6 Отношение вертикальной освещенности на высоте 1,5 м в плоскости, перпендикулярной оси проезда между рядами павильонов, к горизонтальной освещенности на уровне покрытия проезда должно быть не менее 1:2.

7.5.5 Освещение территорий жилых районов

7.5.5.1 Внутри жилых кварталов нормы освещения улиц местного значения должны соответствовать классам по освещению В1 и В2 таблицы 7.10, а проездов и проходов - классам П4 и П5 таблицы 7.21.

Слепящее действие светильников для проездов и пешеходных зон внутри жилых кварталов регламентируется согласно 7.5.1.9 и 7.5.4.4.

7.5.5.2 Вертикальная освещенность на окнах жилых зданий от совместного действия всех видов наружного освещения, включая утилитарное, архитектурное, рекламное и витринное, в зависимости от норм средней яркости или средней освещенности на проезжей части прилегающих улиц не должна превышать значений, приведенных в таблице 7.22.

Таблица 7.22

Нормируемые значения вертикальной освещенности на окнах жилых зданий

Нормируемый показатель освещения проезжей части прилегающей улицы Вертикальная освещенность на окнах жилых зданий Eв, лк, не более
Средняя яркость , кд/м2 Средняя освещенность , лк
0,4 6 7
От 0,6 до 1,0 включ. От 10 до 15 включ. 10
От 1,2 до 2,0 включ. От 20 до 30 включ. 20

7.5.5.3 На пешеходных улицах вне общественного центра, на внутридворовых территориях, а также на любых улицах, прилегающих к спальным корпусам больниц и лечебно-курортных учреждений, вертикальная освещенность на окнах квартир жилых зданий и палат спальных корпусов не должна превышать 5 лк.

7.5.5.4 В целях ограничения засветки окон следует применять светильники с ограниченными значениями силы света в направлении окон или светильники с экранирующими решетками.

7.5.5.5 В проектах наружного освещения необходимо предусматривать освещение подъездов к противопожарным водоисточникам, если они расположены на неосвещенных частях проездов. Средняя горизонтальная освещенность этих подъездов должна быть 2 лк.

7.5.6.6 Над входом в здание или рядом с ним устанавливают светильники, обеспечивающие среднюю освещенность на дорожном покрытии , не менее:

В электронном документе нумерация пунктов соответствует официальному источнику.

- 6,0 лк - на площадке основного входа;

- 4,0 лк - на площадке запасного или технического входа, а также на пешеходной дорожке в пределах 4 м от основного входа в здание.

7.5.6 Наружное архитектурное освещение зданий и сооружений

7.5.6.1 Наружное архитектурное освещение должно обеспечивать в вечернее время хорошую видимость и выразительность наиболее важных объектов и повышать комфортность световой среды города. Установки архитектурного освещения не должны производить слепящее действие на водителей транспорта и пешеходов.

7.5.6.2 Яркость фасадов зданий, сооружений, монументов и элементов ландшафтной архитектуры в зависимости от их значимости, места расположения и преобладающих условий их зрительного восприятия в городе следует принимать по таблице 7.23.

Таблица 7.23

Нормы наружного архитектурного освещения городских объектов

Категория городского пространства Место расположения объекта освещения Освещаемый объект Заливающее освещение, средняя яркость фасада , кд/м2 Заливающее и акцентирующее освещение, средняя яркость акцентируемого светом элемента , кд/м2 Локальное освещение, средняя яркость L, кд/м2
А Площади столичного центра, зоны общегородских доминант Памятники архитектуры национального значения, крупные общественные здания, монументы и доминантные объекты 10 30 10
Магистральные улицы и площади общегородского значения Памятники архитектуры, истории и культуры, здания, сооружения и монументы городского значения 8 25 8
Парки, сады, бульвары, скверы и пешеходные улицы общегородского значения Здания, сооружения, памятники, находящиеся в границах территории достопримечательного места (объекта культурного наследия) [2], монументы и уникальные элементы ландшафта 5 15 5
Б Площади окружных и районных общественных центров Памятники и монументы, здания и сооружения окружного и районного значения 7 20 8
Магистральные улицы и площади окружного и районного значения То же 5 15 5
Парки, сады, скверы, бульвары и пешеходные улицы окружного и районного значения То же и характерные элементы ландшафта 3 10 3
В Улицы и площади, пешеходные дороги местного значения Памятники и монументы, здания и сооружения, находящиеся в границах территории достопримечательного места (объекта культурного наследия) [2] 5 10 3
Сады, скверы, бульвары местного значения То же и характерные элементы ландшафта 3 8 3

Примечания

1. Яркость доминантных объектов, обозреваемых с расстояния более 300 м, допускается увеличить до 50%.

2. При расположении объекта освещения в окружении неосвещенного пространства норму яркости, приведенную в настоящей таблице, допускается уменьшать до 50%.

7.5.6.3 При проектировании установок архитектурного освещения расчетные коэффициенты отражения поверхностей фасадов освещаемых объектов принимаются по данным натурных измерений или по таблице 7.24.

Таблица 7.24

Расчетные характеристики отделочных материалов фасадов зданий, сооружений и монументов, применяемые при проектировании наружного архитектурного освещения

(в ред. Изменения N 1, утв. Приказом Минстроя РФ от 20.11.2019 N 699/пр)

Материалы поверхности или цвет фасада Коэффициент отражения материала поверхности
Белый: белые атмосферостойкие фасадные краски, белый керамогранит и т. п. 0,8 - 0,87
Белый мрамор 0,67 - 0,7
Очень светлый: очень светлые фасадные краски, белый силикатный кирпич, светло-серый бетон, мрамор, белый камень (известняк, доломит, песчаник), бетон и декоративные штукатурки на белом цементе и светлых заполнителях, очень светлый керамогранит, керамическая плитка, ракушечник и т. п. 0,62 - 0,65
Светлый: светлые фасадные краски, мрамор, камень (туф, песчаник, известняк), бетон, светлые цветные штукатурки, керамический кирпич, светлый керамогранит, светлые породы мрамора, блоки, плитка, дерево (доски) и т. п. 0,5 - 0,6
Средне-светлый: серый офактуренный бетон, цветные фасадные краски, светлое дерево, серый силикатный кирпич, цветной керамогранит и т. п. 0,4 - 0,45
Темный: темные фасадные краски, мрамор, гранит, глиняный кирпич, силикатный кирпич, темный керамогранит, декоративные штукатурки и керамические плитки, потемневшее дерево, медь и т. п. 0,28 - 0,33
Очень темный: очень темные краски, мрамор, гранит, керамогранит и т. п. 0,15 - 0,2
Черный: черные краски, камень (мрамор, базальт, гранит), чугун, платинированная бронза, декоративные штукатурки и т. п. 0,12 - 0,15
Примечание - Точные значения коэффициентов отражения света определяют измерениями.

7.5.6.4 При равномерном заливающем освещении фасада отношение максимальной освещенности к минимальной должно быть не более 3:1, а на рельефных и многоцветных фасадах - до 5:1. При этом максимальная освещенность должна создаваться на основных композиционно-пластических элементах.

7.5.6.5 При неравномерном заливающем освещении фасада соотношение максимальной и минимальной освещенности в пределах освещаемой зоны принимается не менее 10:1 и не более 30:1, при этом максимальная освещенность создается на акцентируемом светом элементе.

7.5.6.6 При проектировании световых архитектурных ансамблей по таблице 7.23 выбирается яркость главного фасада доминирующего объекта. Средние яркости освещаемых фасадов соподчиненных объектов единого ансамбля должны быть снижены не менее чем на две ступени по шкале яркости, приведенной в 4.1.

7.5.6.7 Объемные монументы, памятники, малые архитектурные формы, имеющие многосторонний обзор, следует освещать с двух-трех сторон с четко выраженным основным направлением светового потока, определяющим расчетную плоскость, которая композиционно должна быть связана с главным направлением восприятия объекта.

7.5.6.8 В установках архитектурного освещения следует использовать светильники с разрядными источниками света и светодиодами. При локальной подсветке допустимо использование источников хроматического излучения.

7.5.6.9 Для освещения объектов, имеющих "холодные" цветовые оттенки поверхностей, и зеленых насаждений следует применять источники света с цветовой температурой выше 4000 К. Для освещения объектов, окрашенных в "теплые" цвета, применяются источники света с цветовой температурой до 3500 К. При освещении полихромных объектов, в особенности декоративно-изобразительных элементов на фасадах (мозаичные и живописные панно и фризы, изразцы, цветные рельефы и скульптуры, сграффито и т.п.), следует применять источники белого света с общим индексом цветопередачи не менее 80. При художественно-декоративном освещении объектов ландшафтной архитектуры разрешается применение источников цветного света.

7.5.6.10 Приборы архитектурного освещения должны располагаться таким образом, чтобы их выходные отверстия не могли оказаться в поле центрального зрения водителей и пешеходов в главных направлениях движения или экранировались светозащитными устройствами.

7.5.6.11 Коэффициент эксплуатации при проектировании установок архитектурного освещения следует принимать в зависимости от ориентации светового отверстия осветительного прибора и используемого в нем источника света: MF = 0,67, если стекло прибора ориентировано вертикально или в нижнюю полусферу (в пределах угла 90° - 270°) и MF = 0,59 при ориентации стекла в верхнюю полусферу.

7.5.7 Витринное освещение

7.5.7.1 Средняя освещенность в вертикальной плоскости при общем освещении витрины на высоте 1,5 м от уровня тротуара, а также освещенность акцентирующего освещения в сумме с общим не должны превышать значений, приведенных в таблице 7.25.

Таблица 7.25

Категория улицы, площади Средняя освещенность в вертикальной плоскости, лк Суммарная освещенность в вертикальной плоскости (общее и акцентирующее освещение), лк, не более
А 300 1000
Б 200 750
В 100 500

Примечания

1. Площадь акцентирующего освещения должна составлять не более 20% площади витрины.

2. Для витрин, в которых выставлены темные товары, освещенность следует повышать на одну ступень по шкале освещенности, для витрин со светлым товаром освещенность следует снижать на одну ступень.

7.5.7.2 При освещении витрин следует применять осветительные приборы с разрядными источниками света и светодиодами. Источники света выбираются с учетом требований к цветоразличению по таблице 7.26.

Таблица 7.26

Рекомендуемые источники света для освещения витрин

Вид товара Цветовые характеристики источника света
, К
Ткани, галантерея, парфюмерия, игрушки, книги, обувь, головные уборы, меха 2800 - 5000 80 и более
Электротовары, посудохозяйственные, канцтовары, бакалея, хлеб 2800 - 3200 70 "
Мясные, молочные, гастрономические продукты, овощи, фрукты, кондитерские изделия 2800 - 3500 80 "
Рыбные продукты 4000 - 6500 80 "

7.5.7.3 Осветительные приборы должны быть установлены таким образом, чтобы их выходные отверстия или отраженные от выставленных товаров блики не попали в центральное поле зрения водителей и пешеходов, находящихся на расстоянии не менее 1 м от стекла витрины.

7.5.8 Рекламное освещение

7.5.8.1 Наибольшая допустимая средняя яркость и максимально допустимая яркость отдельных участков рекламных и информационных конструкций, в том числе демонстрирующих изображения с помощью электронных носителей, в зависимости от их площади и расположения относительно глаз водителей приведены в таблице 7.27.

Таблица 7.27

Нормы яркости рекламных и информационных конструкций

Расположение рекламной панели или щита Площадь объекта S, м2 Высота установки объекта h <*>, м Яркость рекламной конструкции, кд/м2, при категории улицы
А Б В
средняя наибольшая допустимая максимальная <**> средняя наибольшая допустимая максимальная <**> средняя наибольшая допустимая максимальная <**>
Поперек оси зрения водителя автотранспорта вне проезжей части при площади S объекта, м2, и его высоте h, м, над проезжей частью, в том числе на фасадах зданий, расположенных поперек улицы S <= 2 < 2 <***> 150 1000 125 750 100 500
>= 3,5 250 1500 200 1000
2 < S <= 6 >= 3,5 200 1000 125 750
6 < S <= 12 150 1000 85 750
12 < S <= 75 125 750 75 500
Более 75 >= 3,5 100 300 100 300
Вдоль оси зрения водителя автотранспорта вне проезжей части, на фасадах зданий, расположенных вдоль улицы, на кровле зданий при любой ориентации рекламной конструкции Любая >= 3,5 500 2500 400 2000 300 750

<*> Высота отсчитывается от уровня проезжей части до нижней кромки рекламной конструкции.

<**> Максимальная яркость определяется как габаритная для наиболее ярких участков площадью 0,2 x 0,2 м.

Текст документа соответствует официальному источнику.

7.5.8.2 Суммарная засветка окон жилых помещений жилых зданий и палат лечебных зданий световыми приборами архитектурного, рекламного и наружного освещения не должны быть выше значений средней вертикальной освещенности, указанных в 7.5.5.2.

7.5.8.3 Работа рекламной или информационной конструкции в темное время суток в динамическом режиме возможна, если видимый угловой размер ее проекции на плоскость, перпендикулярную линии зрения из точки, расположенной на расстоянии 1 м от геометрического центра окон жилых помещений жилых зданий, палат лечебных учреждений, палат и спальных комнат объектов социального обеспечения, не превышает 2,5°, либо рекламная конструкция не видна из данной точки.

Примечание - Для прямоугольной рекламной установки принимается эквивалентный угловой размер, равный размеру круга, имеющего одинаковую площадь с проекцией рекламной установки на плоскость, перпендикулярную линии зрения.

Демонстрация рекламных изображений на электронных носителях должна проводиться с использованием технологии статичного изображения, без использования динамических эффектов, содержащих аудиовизуальные произведения (за исключением медиафасадов).

Смена изображения в светлое и темное время суток должна проводиться не чаще одного раза в 5 с, продолжительность смены изображения должна составлять более 2 с и проводиться путем плавного снижения яркости до нулевого значения и последующего плавного повышения яркости.

Демонстрация изображений на медиафасадах в светлое время суток может проводиться с использованием динамических эффектов. В темное время суток демонстрация изображений на медиафасадах с использованием динамических эффектов запрещена.

Смена изображения на медиафасадах в темное время суток должна проводиться не чаще одного раза в 1 мин, продолжительность смены изображения должна составлять более 10 с и проводиться путем плавного снижения яркости до нулевого значения и последующего плавного повышения яркости.

7.6. Аварийное освещение

7.6.1 Аварийное освещение подразделяется на эвакуационное и резервное. Виды аварийного освещения представлены на рисунке 7.1.

Эвакуационное освещение подразделяется на освещение путей эвакуации (включая систему указания путей эвакуации), освещение зон повышенной опасности и антипаническое эвакуационное освещение (рисунок 7.1). (в ред. Изменения N 1, утв. Приказом Минстроя РФ от 20.11.2019 N 699/пр)

(в ред. Изменения N 1, утв. Приказом Минстроя РФ от 20.11.2019 N 699/пр)

    Аварийное освещение      
             
      V      
             
V         V
Эвакуационное освещение         Резервное освещение
             
             
V   V   V
Освещение путей эвакуации   Освещение зон повышенной опасности   Антипаническое эвакуационное освещение
               
V            
Система указания путей эвакуации        

Рисунок 7.1 - Виды аварийного освещения

Аварийное освещение предусматривается на случай нарушения питания основного (рабочего) освещения. Аварийное освещение должно включаться автоматически при пропадании питания основного (рабочего) освещения, а также по сигналам систем пожарной и аварийной сигнализации или вручную, если сигнализации нет или она не сработала.

Аварийное освещение предусматривается на случай нарушения питания рабочего освещения. Аварийное освещение должно включаться автоматически при отключении питания рабочего освещения либо вручную, если автоматика не сработала. (в ред. Изменения N 1, утв. Приказом Минстроя РФ от 20.11.2019 N 699/пр)

Питание аварийного освещения осуществляется в соответствии с требованиями [7]. (в ред. Изменения N 1, утв. Приказом Минстроя РФ от 20.11.2019 N 699/пр)

7.6.2 Для аварийного освещения следует применять:

а) светодиодные источники света;

б) люминесцентные лампы - в помещениях с минимальной температурой воздуха не менее 5 °C и при условии питания ламп во всех режимах напряжением не ниже 90% номинального;

в) разрядные лампы высокого давления при условии их мгновенного или быстрого повторного зажигания как в горячем состоянии после кратковременного отключения, так и в холодном состоянии;

г) лампы накаливания - при невозможности использования других источников света.

Индекс цветопередачи применяемых источников света для аварийного освещения должен быть не менее 40.

7.6.3 Освещение путей эвакуации в помещениях, местах производства работ вне зданий и на технологических площадках промышленных предприятий следует предусматривать по путям эвакуации: (в ред. Изменения N 1, утв. Приказом Минстроя РФ от 20.11.2019 N 699/пр)

- в коридорах и проходах по путям эвакуации;

- в местах изменения (перепада) уровня пола или покрытия;

- в зоне каждого изменения направления пути;

- на пересечении проходов и коридоров;

- на лестничных маршах, при этом каждая ступень должна быть освещена прямым светом;

- перед каждым эвакуационным выходом из помещения, требующего эвакуационного освещения;

- перед пунктом медицинской помощи;

- в местах размещения средств экстренной связи;

- в местах размещения средств пожаротушения;

- в местах размещения плана эвакуации;

- снаружи перед конечным выходом из здания или сооружения; (в ред. Изменения N 1, утв. Приказом Минстроя РФ от 20.11.2019 N 699/пр)

- на технологических площадках и лестницах промышленных предприятий; (в ред. Изменения N 1, утв. Приказом Минстроя РФ от 20.11.2019 N 699/пр)

- в рабочих зонах наружных технологических установок; (в ред. Изменения N 1, утв. Приказом Минстроя РФ от 20.11.2019 N 699/пр)

- на площадках и лестницах обслуживания наружной технологической аппаратуры, резервуаров, сливоналивных эстакадах и лестницах; (в ред. Изменения N 1, утв. Приказом Минстроя РФ от 20.11.2019 N 699/пр)

- на технологических и кабельных эстакадах. (в ред. Изменения N 1, утв. Приказом Минстроя РФ от 20.11.2019 N 699/пр)

Эвакуационное освещение не требуется на участках путей эвакуации расстоянием до 7 м от начальной точки эвакуации до выхода из помещения при условии отсутствия факторов, создающих опасность и затруднения при эвакуации на данных участках, а также при условии прямой видимости выхода из помещения от начальной точки эвакуации, например в офисах, кабинетах, подсобных, кладовых и прочих помещениях при соблюдении вышеуказанных условий. (в ред. Изменения N 1, утв. Приказом Минстроя РФ от 20.11.2019 N 699/пр)

Нормы освещенности, предельная равномерность освещенности, порядок включения и продолжительность работы освещения путей эвакуации приведены в таблице 7.28. Повышенные нормы освещенности путей эвакуации установлены для лестничных маршей в зданиях с постоянным пребыванием маломобильных групп населения (МГН).

Таблица 7.28

Нормы аварийного освещения

Виды и объекты аварийного освещения Нормируемая освещенность на горизонтальной поверхности, лк, не менее Предельная равномерность освещенности /, не менее Продолжительность работы аварийного освещения, ч, не менее Режим включения аварийного освещения
(в ред. Изменения N 1, утв. Приказом Минстроя РФ от 20.11.2019 N 699/пр)
Пути эвакуации шириной до 2 м:
- на полу по оси прохода 1,0 1:40 1,0 Должно обеспечивать 50% нормируемой освещенности через 5 с после нарушения питания рабочего освещения, а 100% нормируемой освещенности - через 10 с
- на полу в полосе шириной не менее 50% ширины прохода, симметрично расположенная относительно центральной линии 0,5 1:40 1,0
- пункт первой помощи, места с противопожарным оборудованием, места размещения плана эвакуации, места включения аварийной сигнализации, перед каждым эвакуационным выходом, снаружи перед каждым конечным выходом из здания 5,0 1:40 1,0
- лестничных маршей в зданиях с постоянным пребыванием МГН и детей дошкольного возраста 5,0 1:40 1,0
Антипаническое освещение - на всей свободной площади пола, за исключением полосы 0,5 м по периметру помещения 0,5 1:40 1,0 Должно обеспечивать 50% нормируемой освещенности через 5 с после нарушения питания рабочего освещения, а 100% нормируемой освещенности - через 10 с
Освещение зон повышенной опасности 10% нормируемой освещенности для общего рабочего освещения, но не менее 15,0 1:10 Определяется временем, при котором существует опасность для людей Должно обеспечивать 100% нормируемой освещенности через 0,5 с после нарушения питания рабочего освещения
Резервное освещение Не менее 30% нормируемой освещенности для общего рабочего освещения 1:40 Постоянная работа до восстановления питания рабочего освещения Должно обеспечивать 50% нормируемой освещенности не более чем через 15 с после нарушения питания рабочего освещения и 100% нормируемой освещенности - не более чем через 60 с, если иное не установлено специальными нормами или соответствующим обоснованием

7.6.4 Антипаническое освещение направлено на предотвращение паники и обеспечение условий для безопасного подхода к путям эвакуации и его следует предусматривать в больших помещениях площадью более 60 м2 при одновременном нахождении в нем 30 и более человек, а также в помещениях с постоянным пребыванием маломобильных групп населения и детей дошкольного возраста. Нормы освещенности, предельная равномерность освещенности, порядок включения и продолжительность работы антипанического освещения приведены в таблице 7.28. (в ред. Изменения N 1, утв. Приказом Минстроя РФ от 20.11.2019 N 699/пр)

7.6.5 Эвакуационное освещение зон повышенной опасности следует предусматривать для безопасного завершения потенциально опасного процесса или ситуации. Нормы освещенности, предельная равномерность освещенности, порядок включения и продолжительность работы эвакуационного освещения приведены в таблице 7.28.

7.6.6 Резервное освещение следует предусматривать, если по условиям технологического процесса или ситуации требуется нормальное продолжение работы при нарушении питания рабочего освещения, а также если связанное с этим нарушение обслуживания оборудования и механизмов может вызвать:

- гибель, травмирование или отравление людей;

- взрыв, пожар, длительное нарушение технологического процесса;

- утечку токсических и радиоактивных веществ в окружающую среду;

- нарушение работы таких объектов, как электрические станции, узлы радио- и телевизионных передач и связи, диспетчерские пункты, насосные установки водоснабжения, канализации и теплофикации, установки вентиляции и кондиционирования воздуха для производственных помещений, в которых недопустимо прекращение работ, и т.п.

Резервное освещение не должно использоваться для целей эвакуационного освещения. Если резервное освещение проектируется так, чтобы быть использованным для целей эвакуационного освещения, то оно должно удовлетворять соответствующим требованиям, установленным выше для эвакуационного освещения.

Необходимость принятия для резервного освещения более высоких норм освещенности определяется технологами в зависимости от условий функционирования данного объекта.

Нормы освещенности, предельная равномерность освещенности, порядок включения резервного освещения приведены в таблице 7.28.

7.6.7 Слепящее действие светильников аварийного освещения ограничивается предельными значениями силы света.

Для горизонтальных путей эвакуации сила света светильников аварийного освещения ограничивается в нижней полусфере в пределах углов от 60° до 90° относительно вертикали и при всех азимутальных углах согласно рисунку 7.2, при которых ее значения не должны превышать предельных значений, приведенных в таблице 7.29.

Для путей эвакуации, расположенных на разных уровнях и в местах производства работ вне зданий, сила света светильников аварийного освещения ограничивается в нижней полусфере, и при любых вертикальных и азимутальных углах ее значения не должны превышать предельных значений, приведенных в таблице 7.29.

1 - зоны, где максимальная сила света не должна превышать значений таблицы 7.29

Рисунок 7.2 - Ограничение слепящего действия на путях эвакуации, расположенных на одном уровне

1 - зона, где максимальная сила света не должна превышать значений таблицы 7.29

Рисунок 7.3 - Ограничение слепящего действия на путях эвакуации, расположенных на разных уровнях

Таблица 7.29

Ограничение силы света светильников аварийного освещения

Высота установки светильников аварийного освещения h, м Сила света светильников аварийного освещения, кд, не более
Освещение путей эвакуации и антипаническое освещение Освещение зон повышенной опасности
h < 2,5 500 1000
2,5 < h < 3,0 900 1800
3,0 < h < 3,5 1600 3200
3,5 < h < 4,0 2500 5000
4,0 < h < 4,5 3500 7000
h > 4,5 5000 10000

7.6.8 Осветительные приборы аварийного освещения предусматриваются либо постоянного действия, включенными одновременно с осветительными приборами рабочего освещения, либо непостоянного действия, автоматически включаемыми при нарушении питания рабочего освещения в данной зоне. В случае применения для рабочего и аварийного освещения светильников с однотипным корпусом светильники аварийного освещения должны быть маркированы буквой "А" красного цвета.

7.6.9 Эвакуационные знаки безопасности устанавливаются в помещениях с одновременным пребыванием более 10 человек и площадью более 60 м2, а также на открытых технологических сооружениях опасных производственных объектов. (в ред. Изменения N 1, утв. Приказом Минстроя РФ от 20.11.2019 N 699/пр)

Эвакуационные знаки безопасности постоянного действия устанавливаются:

- над каждым эвакуационным выходом;

- на путях эвакуации, однозначно указывая направления эвакуации;

- для обозначения поста медицинской помощи;

- для обозначения мест размещения первичных средств пожаротушения;

- для обозначения мест размещения средств экстренной связи и других средств, предназначенных для оповещения о чрезвычайной ситуации.

В дошкольных образовательных организациях, учебных и медицинских учреждениях и зданиях с постоянным пребыванием МГН эвакуационные знаки безопасности устанавливаются независимо от числа находящихся в них людей.

В помещениях, где возможно задымление, эвакуационные знаки безопасности следует располагать на высоте не более 0,5 м от пола. Знаки безопасности с внешней подсветкой не допускаются.

7.6.10 Яркость эвакуационных знаков безопасности в пределах любой части цветной поверхности знаков безопасности во всех направлениях должна быть не менее:

- 2 кд/м2 в отсутствие задымления;

- 10 кд/м2 в условиях задымления.

Предельная равномерность распределения яркости в пределах цветной поверхности знаков безопасности должна быть не менее 1:5.

Отношение яркости сигнального цвета к яркости контрастного цвета должно быть не менее 1:15 и не более 1:5. (в ред. Изменения N 1, утв. Приказом Минстроя РФ от 20.11.2019 N 699/пр)

Высоту эвакуационного знака безопасности определяют согласно приложению В.

Питание эвакуационных знаков безопасности в нормальном режиме должно проводиться от источника, независимого от источника питания рабочего освещения, а в аварийном режиме переключаться на питание от третьего независимого источника (для объектов, относящихся к первой и второй категориям по надежности электроснабжения), например от встроенной в светильник аккумуляторной батареи или от второго независимого источника (для объектов, относящихся к третьей категории по надежности электроснабжения). (в ред. Изменения N 1, утв. Приказом Минстроя РФ от 20.11.2019 N 699/пр)

Продолжительность работы эвакуационных знаков безопасности должна быть не менее 1 ч. (в ред. Изменения N 1, утв. Приказом Минстроя РФ от 20.11.2019 N 699/пр)

7.6.11 Требования к светильникам аварийного освещения должны соответствовать ГОСТ 27900 и ГОСТ IEC 60598-2-22.

Требования к эвакуационным знакам безопасности должны соответствовать ГОСТ 12.4.026. (в ред. Изменения N 1, утв. Приказом Минстроя РФ от 20.11.2019 N 699/пр)

7.6.12 Аварийное освещение котельных предусматривается в соответствии с СП 89.13330. (в ред. Изменения N 1, утв. Приказом Минстроя РФ от 20.11.2019 N 699/пр)

7.6.13 Конкретные требования к аварийному освещению помещений различного назначения приведены в СП 439.1325800. (в ред. Изменения N 1, утв. Приказом Минстроя РФ от 20.11.2019 N 699/пр)

7.7. Аварийное освещение автодорожных тоннелей

7.7.1 В транспортной зоне тоннелей длиной более 125 м должно быть предусмотрено освещение зон повышенной опасности, предназначенное для обеспечения необходимых условий видимости для выезда транспорта из тоннеля при аварийном отключении рабочего освещения.

Освещение обеспечивается частью светильников рабочего освещения, в которых все или часть ламп подключают к источнику, независимому от источника питания рабочего освещения.

Средняя освещенность от аварийного освещения на дорожном покрытии транспортной зоны тоннеля должна быть не менее 10 лк, а минимальная - не менее 2 лк, при этом нормируемая освещенность должна быть обеспечена не более чем через 0,5 с после отключения рабочего освещения.

Светильники для освещения зон повышенной опасности должны иметь степень защиты от воздействия окружающей среды не менее IP 65 по ГОСТ 14254 и класс защиты от поражения электрическим током I или II по ГОСТ Р МЭК 60598-1.

7.7.2 В тоннелях длиной 500 м и более в дополнение к освещению зон повышенной опасности должны быть предусмотрены освещение и обозначение путей эвакуации. Необходимые условия видимости путей эвакуации в транспортной зоне, предназначенных для выхода из тоннеля людей, покинувших транспортные средства в аварийной ситуации, должны быть реализованы с помощью специальных эвакуационных светильников и световых указателей.

7.7.3 Для обозначения путей эвакуации следует использовать статические или динамические световые указатели направления движения людей к ближайшему эвакуационному выходу.

Световые указатели устанавливают на стенах тоннеля, имеющих эвакуационные выходы, на высоте до 1 м над уровнем эвакуационного тротуара (банкетки), с шагом не более 25 м. Ближайшие к эвакуационному выходу указатели должны располагаться с обеих сторон дверного проема эвакуационного выхода на расстоянии не более 2 м.

7.7.4 Статические световые указатели должны быть включены постоянно и показывать направление к ближайшему эвакуационному выходу. Такие указатели могут давать дополнительную информацию о расстоянии до въездного или выездного порталов тоннеля.

Динамические световые указатели должны показывать направление к ближайшему эвакуационному выходу, расположенному вне зоны пожара или задымления в тоннеле. Такие указатели следует устанавливать при длине тоннеля свыше 1000 м.

Для предотвращения слепящего действия на водителя транспортного средства сила света световых указателей направления эвакуации, постоянно работающих в нормальном режиме, не должна превышать 40 кд в направлениях, определяемых согласно приложению Н.

7.7.5 Для обозначения эвакуационных выходов следует использовать световые указатели со знаком безопасности "Выход". Указатели устанавливают над дверными проемами эвакуационных выходов на высоте 2,1 - 2,2 м от уровня пола. Такие указатели должны быть включены постоянно.

Дополнительно целесообразно устанавливать вокруг двери эвакуационного выхода сигнальные огни зеленого цвета, включаемые в аварийной ситуации и работающие в пульсирующем режиме для привлечения внимания эвакуируемых людей. Пример расположения сигнальных огней приведен в приложении П.

Частота пульсации сигнальных огней должна быть в диапазоне от 1 до 2 Гц, а сила света - не менее 150 кд по направлениям, попадающим в поле зрения эвакуируемых людей.

7.7.6 Питание эвакуационных светильников и световых указателей в транспортной зоне тоннеля осуществляется в нормальном режиме от источника, не зависящего от сети рабочего освещения, а в аварийном режиме - от третьего независимого источника, для чего должно быть предусмотрено автоматическое переключение на питание от аккумуляторных батарей или другого предназначенного для этой цели источника. Продолжительность работы эвакуационного освещения в аварийном режиме должна быть достаточной для эвакуации людей из тоннеля, но не менее 1 ч.

Эвакуационные светильники и световые указатели в транспортной зоне тоннеля должны иметь степень защиты от воздействия окружающей среды не менее IP 66 по ГОСТ 14254 и класс защиты от поражения электрическим током I или II по ГОСТ Р МЭК 60598-1.

7.7.7 В притоннельных сооружениях должно быть предусмотрено эвакуационное и резервное освещение. Резервное освещение, предназначенное для продолжения работы как при рабочем освещении, следует устанавливать в технических помещениях с оборудованием, обеспечивающим жизнедеятельность тоннеля, таких как центральный диспетчерский пост, электрощитовые, вентиляционные, насосные и т.п.

При проектировании аварийного освещения притоннельных сооружений, служебно-технических и вспомогательных помещений тоннеля следует руководствоваться общими требованиями к аварийному освещению, изложенными в 7.6.

7.8. Охранное и дежурное освещение

7.8.1 Охранное освещение (при отсутствии специальных технических средств охраны) должно предусматриваться вдоль границ территорий, охраняемых в ночное время. Освещенность должна быть не менее 0,5 лк на уровне земли в горизонтальной плоскости или на уровне 0,5 м от земли на одной стороне вертикальной плоскости, перпендикулярной к линии границы.

При использовании для охраны специальных технических средств освещенность следует принимать по заданию на проектирование.

Для охранного освещения используют любые источники света, за исключением случаев, когда охранное освещение находится в выключенном состоянии и автоматически включается от действия охранной сигнализации или других технических средств. В таких случаях следует применять:

- светодиодные источники света;

- компактные люминесцентные лампы, работающие при отрицательных температурах;

- разрядные лампы высокого давления при условии их мгновенного зажигания и быстрого повторного зажигания как в горячем состоянии, после кратковременного отключения, так и в холодном состоянии быстрого пуска;

- лампы накаливания при невозможности использования других источников света.

7.8.2 Область применения, значения освещенности, равномерность и требования к качеству для дежурного освещения не нормируются.

Приложение А

ОПРЕДЕЛЕНИЕ РАЗРЯДА ЗРИТЕЛЬНЫХ РАБОТ ПРИ РАССТОЯНИИ ОТ ОБЪЕКТОВ РАЗЛИЧЕНИЯ ДО ГЛАЗ РАБОТАЮЩЕГО БОЛЕЕ 0,5 М

(в ред. Изменения N 1, утв. Приказом Минстроя РФ от 20.11.2019 N 699/пр)

А.1 При расстоянии от объекта различения до глаз работающего более 0,5 м разряд зрительных работ по таблице А.1 следует устанавливать с учетом углового размера объекта различения, определяемого отношением минимального размера объекта различения d к расстоянию от этого объекта до глаз работающего l.

Таблица А.1

Разряды зрительных работ при больших расстояниях от объектов различения до глаз работающего

Разряд зрительной работы Пределы отношения d/l
I Менее 0,0003
II От 0,0003 до 0,0006
III Св. 0,0006 " 0,001
IV " 0,001 " 0,002
V " 0,002 " 0,01
VI " 0,01    

Приложение Б

ОПРЕДЕЛЕНИЕ РАЗРЯДА ЗРИТЕЛЬНЫХ РАБОТ ДЛЯ ПРОТЯЖЕННЫХ ОБЪЕКТОВ РАЗЛИЧЕНИЯ

(в ред. Изменения N 1, утв. Приказом Минстроя РФ от 20.11.2019 N 699/пр)

Б.1 Для протяженных объектов различения, имеющих длину b > 2a, где a - ширина объекта, разряд зрительных работ определяется по эквивалентному размеру объекта различения. В остальных случаях разряд зрительных работ определяется по минимальному размеру объекта различения.

При расстояниях от глаза до объекта различения, меньших 500 мм, эквивалентный размер определяется по номограмме, приведенной на рисунке Б.1.

При расстояниях от глаза до объекта различения, больших 500 мм, эквивалентный размер определяется по номограмме, приведенной на рисунке Б.2.

Б.2 Преобразование линейных размеров объекта различения (в миллиметрах) в угловые (в угловых минутах) при использовании номограммы, приведенной на рисунке Б.2, осуществляется по формуле

(Б.1)

где x - размер объекта, мм;

l - расстояние от глаз до объекта, мм.

Преобразование полученного по номограмме эквивалентного размера из угловых размеров (в угловых минутах) в линейные (в миллиметрах) осуществляется по формуле

(Б.2)

Рисунок Б.1 - Номограмма для определения эквивалентного размера протяженных объектов различения при расстояниях от глаза до объекта до 500 мм

Рисунок Б.2 - Номограмма для определения эквивалентного размера протяженных объектов различения при расстояниях от глаза до объекта более 500 мм

Приложение В

ОПРЕДЕЛЕНИЕ РАССТОЯНИЯ РАСПОЗНАВАНИЯ ЭВАКУАЦИОННЫХ ЗНАКОВ БЕЗОПАСНОСТИ

(в ред. Изменения N 1, утв. Приказом Минстроя РФ от 20.11.2019 N 699/пр)

В.1 Вертикальный размер поля пиктограммы эвакуационного знака безопасности в зависимости от расстояния распознавания знака определяется по формуле

где l - расстояние распознавания;

h - минимальная высота знака;

Z - коэффициент, равный 100 для знаков, освещенных извне, и 200 для знаков, освещенных изнутри.

Рисунок В.1 - Определение расстояния распознавания знака безопасности

Приложение Г
(справочное)

КОЭФФИЦИЕНТЫ ОТРАЖЕНИЯ И СВЕТОПРОПУСКАНИЯ СТРОИТЕЛЬНЫХ СТЕКОЛ И КОЭФФИЦИЕНТЫ ОТРАЖЕНИЯ ФАСАДНЫХ И ВНУТРЕННИХ ОТДЕЛОЧНЫХ МАТЕРИАЛОВ <1>

(в ред. Изменения N 1, утв. Приказом Минстроя РФ от 20.11.2019 N 699/пр)

Таблица Г.1

Коэффициенты отражения и пропускания строительных стекол <1>

(в ред. Изменения N 1, утв. Приказом Минстроя РФ от 20.11.2019 N 699/пр)

Тип стекла, номинальная толщина Коэффициент пропускания света, относительные единицы Коэффициент отражения света, относительные единицы
стороной с покрытием стороной без покрытия
Стекло листовое бесцветное <2>
Флоат-стекло бесцветное, 4 - 12 мм 0,87 - 0,91 - 0,08
Стекло многослойное бесцветное <3>
Флоат-стекло, 6,38 - 17,52 мм 0,84 - 0,89 - 0,08
Стекла с покрытиями
Стекла с низкоэмиссионными мягкими покрытиями (толщиной 4 мм) <4> 0,76 - 0,90 0,04 - 0,14 0,05 - 0,18
Стекла с солнцезащитным мягким покрытием, для применения в стеклопакете (толщиной 6 мм) <5> 0,08 - 0,67 0,10 - 0,51 0,10 - 0,43
Стекла с солнцезащитным твердым покрытием, для применения в стеклопакете и моноостеклении (толщиной 6 мм) <6> 0,08 - 0,70 0,10 - 0,51 0,05 - 0,41
Стекло листовое, окрашенное в массе (толщиной 6 мм) <7> 0,35 - 0,73 - 0,05 - 0,07
Стекла с мультифункциональными мягкими покрытиями (толщиной 6 мм) <5> 0,16 - 0,88 0,03 - 0,37 0,05 - 0,47

<1> В настоящей таблице приведены характеристики одинарных листовых стекол на основе обзора данных ведущих производителей строительных стекол, представленных на российском рынке. Характеристики остекления (стеклопакетов, двойных ниток остекления и т.п.) рассчитываются по ГОСТ EN 410. Для получения характеристик конкретного остекления необходимо использовать данные производителей либо провести измерения в лаборатории.

<2> По ГОСТ 111.

<3> По ГОСТ 30826.

<4> По ГОСТ 31364.

<5> По ГОСТ 33086.

<6> По ГОСТ 33017.

<7> По ГОСТ 32997.

Приведенный коэффициент отражения света для оконного блока в целом определяется по формуле

(Г.1)

где - приведенный коэффициент отражения света стекла для оконного блока в целом, доли единицы или %;

- коэффициент отражения с наружной стороны остекления (светопрозрачной частью оконного блока), доли единицы или %;

- площадь остекления, м2;

- коэффициент отражения света материала непрозрачных частей оконного блока (рамы и переплета), доли единицы или %;

- непрозрачных частей оконного блока (рамы и переплета), м2.

Коэффициенты отражения окрашиваемых поверхностей фасадных и внутренних материалов и отделочных материалов приведены в таблицах Г.2 и Г.З соответственно. (в ред. Изменения N 1, утв. Приказом Минстроя РФ от 20.11.2019 N 699/пр)

Таблица Г.2

Коэффициенты отражения окрашиваемых фасадных и внутренних поверхностей помещений

(в ред. Изменения N 1, утв. Приказом Минстроя РФ от 20.11.2019 N 699/пр)

Цвета окрашиваемых поверхностей и отделочных материалов Коэффициент отражения, отн. ед.
Белый 0,85 - 0,87
Белый полуматовый 0,78 - 0,82
Слоновая кость 0,73 - 0,75
Кремово-белый 0,55 - 0,72
Салатовый (желто-зеленый) 0,54 - 0,70
Светло-розовый 0,49 - 0,69
Светло-бежевый 0,55 - 0,62
Светло-желтый 0,55 - 0,70
Светло-красный 0,54 - 0,56
Светло-серый 0,53 - 0,60
Серый 0,30 - 0,36
Черный 0,12 - 0,15
Примечание - Точные значения коэффициентов отражения света определяют измерениями.

Таблица Г.3

Коэффициенты отражения фасадных отделочных материалов

(в ред. Изменения N 1, утв. Приказом Минстроя РФ от 20.11.2019 N 699/пр)

Наименование Интегральный коэффициент отражения света , отн. ед.
Лицевой кирпич
Кирпич фасадный белый 0,70 - 0,72
Кирпич фасадный "слоновая кость" 0,58 - 0,60
Кирпич фасадный светло-соломенный 0,52 - 0,54
Кирпич фасадный соломенный 0,43 - 0,52
Кирпич фасадный желтый 0,33 - 0,35
Кирпич фасадный красный 0,30 - 0,32
Кирпич фасадный коричневый 0,13 - 0,18
Керамогранит
Керамогранит белый 0,80 - 0,87
Керамогранит "слоновая кость" 0,64 - 0,67
Керамогранит светло-серый 0,55 - 0,60
Керамогранит светло-зеленый 0,40 - 0,42
Керамогранит светло-коричневый 0,35 - 0,39
Керамогранит коричневый 0,18 - 0,20
Керамогранит черный 0,12 - 0,15
Примечание - Точные значения коэффициентов отражения света определяют измерениями.

Приложение Д

ЭКСПЛУАТАЦИОННЫЕ ГРУППЫ СВЕТИЛЬНИКОВ

(в ред. Изменения N 1, утв. Приказом Минстроя РФ от 20.11.2019 N 699/пр)

Таблица Д.1

Эксплуатационные группы светильников

Конструктивно-светотехнические схемы светильников I II III IV V VI VII
С разрядными источниками света (КЛЛ, НЛВД, МГЛ) и светодиодами А
С люминесцентными лампами и светодиодами Б1
Б2 - -
Группа твердости светотехнических материалов (покрытий) Т СТ М Т СТ М Т СТ М Т СТ Т СТ Т СТ Т
Эксплуатационная группа светильников 5 4 3 6 5 4 2 2 1 7 6 5 4 6 5 7

Примечание - Принятые сокращения: КЛЛ - компактная люминесцентная лампа; НЛВД - натриевая лампа высокого давления; МГЛ - металлогалогенная лампа.

Таблица Д.2

Группы твердости светотехнических материалов

Вид материала или покрытия Материалы (или покрытия) отражателей или рассеивателей
отражающие свет пропускающие свет
Т - твердые Покрытие силикатной эмалью Силикатное стекло
СТ - средней твердости Эпоксидно-порошковое покрытие
Покрытие нитроэмалью НЦ-25 по ГОСТ 5406
Эмалевое покрытие МЛ-12 по ГОСТ 9754
Альзак-алюминий, защищенный слоем жидкого стекла
Поликарбонат
Полиметилметакрилат
Поливинилхлоридная жесткая пленка
М - мягкое Эмалевое покрытие МЛ-242 по ГОСТ 10982
Эмалевое покрытие АК-11022
Покрытие акриловой эмалью
Алюминий, распыленный в вакууме, с защитой лаком
Полиэтилен высокого давления
Полистирол

Приложение Е

ГРУППЫ АДМИНИСТРАТИВНЫХ РАЙОНОВ ПО РЕСУРСАМ СВЕТОВОГО КЛИМАТА

(в ред. Изменения N 1, утв. Приказом Минстроя РФ от 20.11.2019 N 699/пр)

Таблица Е.1

Номер группы административных районов N Административный район
1 Владимирская, Калужская области, Камчатский край, Кемеровская область, Красноярский край (севернее 63° с.ш.), Курганская, Московская области, г. Москва, Нижегородская, Новосибирская области, Пермский край, Рязанская область, Республика Башкортостан, Республика Марий Эл, Республика Мордовия, Республика Татарстан (Татарстан), Республика Саха (Якутия) (севернее 63° с.ш.), Свердловская, Смоленская, Тульская, Тюменская области, Удмуртская Республика, Хабаровский край (севернее 55° с.ш.), Челябинская область, Чувашская Республика - Чувашия, Чукотский автономный округ
(в ред. Изменения N 1, утв. Приказом Минстроя РФ от 20.11.2019 N 699/пр)
2 Белгородская, Брянская, Волгоградская, Воронежская области, Еврейская автономная область, Забайкальский край, Кабардино-Балкарская Республика, Красноярский край (южнее 63° с.ш.), Иркутская, Курская, Липецкая, Магаданская, Оренбургская, Орловская, Пензенская области, Алтайский край, Республика Бурятия, Республика Ингушетия, Республика Коми, Республика Саха (Якутия) (южнее 63° с.ш.), Республика Северная Осетия - Алания, Республика Тыва, Республика Хакасия, Омская, Самарская, Саратовская, Сахалинская, Тамбовская, Томская, Ульяновская области, Хабаровский край (южнее 55° с.ш.), Ханты- Мансийский автономный округ - Югра, Чеченская Республика
(в ред. Изменения N 1, утв. Приказом Минстроя РФ от 20.11.2019 N 699/пр)
3 Вологодская, Ивановская, Калининградская, Кировская, Костромская, Ленинградская области, Ненецкий автономный округ, Новгородская, Псковская области, Республика Карелия, г. Санкт-Петербург, Тверская область, Ямало-Ненецкий автономный округ, Ярославская область
4 Архангельская, Мурманская области
5 Астраханская, Амурская области, Карачаево-Черкесская Республика, Краснодарский край, Приморский край, Республика Адыгея, Республика Дагестан, Республика Калмыкия, Республика Крым, Ростовская область, г. Севастополь, Ставропольский край

Примечание - Административные районы Российской Федерации объединены в группы по ресурсам светового климата по критерию суммарного количества освещенности, поступающей в помещение в течение года.

Приложение Ж

ЯРКОСТНЫЕ ЗОНЫ ТОННЕЛЯ В ДНЕВНОМ РЕЖИМЕ ОСВЕЩЕНИЯ

(в ред. Изменения N 1, утв. Приказом Минстроя РФ от 20.11.2019 N 699/пр)

Ж.1 В дневном режиме для облегчения зрительной адаптации водителей при въезде в тоннель должен быть обеспечен плавный переход от естественного освещения к существенно более низкому искусственному освещению основной части тоннеля, а также обратный переход при выезде из него. С этой целью в тоннеле выделяют четыре яркостные зоны: пороговую, переходную, внутреннюю и выездную, а перед въездным порталом - подъездную зону в соответствии с рисунком Ж.1. Яркостный режим и длину каждой зоны назначают с учетом проектной скорости и интенсивности движения транспорта, длины тоннеля, его кривизны в плане и профиле, ориентации въездного портала относительно сторон света и условий его обзора.

Рисунок Ж.1 - Яркостные зоны тоннеля в дневном режиме

Примечание - Пунктирным кругом помечено 20-градусное поле адаптации.

Рисунок Ж.2 - Вид на въездной портал с расстояния безопасного торможения

Ж.2 Значение яркости адаптации в подъездной зоне тоннеля определяется для условий, наихудших с точки зрения переадаптации, то есть для яркого солнечного дня. Для существующего тоннеля (например, при его реконструкции) значение может быть получено путем фотометрирования въездного портала при указанных условиях с помощью яркомера, имеющего 20-градусное поле измерения.

Ж.3 При отсутствии экспериментальных исходных данных для нахождения значения следует пользоваться формулой

, (Ж.1)

где , и - доли площади небосвода, дорожного полотна и окружения портала соответственно в поле адаптации;

, и - их средние яркости, ориентировочные значения которых приведены в таблице Ж.1 в зависимости от ориентации въездного портала относительно сторон света.

Таблица Ж.1

Яркость участков поля адаптации

Направление движения при въезде Значения яркости участков поля адаптации, ккд/м2
небосвода дорожного полотна окружения портала
На север 6 3 8
На восток или запад 12 4 6
На юг 16 5 4

Примечание - Для промежуточных направлений значения яркостей соответствующих поверхностей в поле адаптации определяются путем интерполирования табличных значений.

Ж.4 Кривая продольного спада яркости дорожного покрытия переходной зоны , выраженная в процентах относительно средней яркости дорожного покрытия первой половины пороговой зоны , показанная на рисунке Ж.3, описывается формулой

, (Ж.2)

где d - расстояние вглубь тоннеля от начала переходной зоны, м;

v - скорость движения, км/ч.

Примечание - Пунктиром показан пример ступенчатой аппроксимации данной кривой.

Рисунок Ж.3 - Кривая спада яркости дорожного покрытия в переходной зоне

Приложение И

РЕКОМЕНДУЕМЫЕ ИСТОЧНИКИ СВЕТА ДЛЯ ПРОИЗВОДСТВЕННЫХ ПОМЕЩЕНИЙ

(в ред. Изменения N 1, утв. Приказом Минстроя РФ от 20.11.2019 N 699/пр)

Таблица И.1

Рекомендуемые источники света при системе общего освещения

Характеристика зрительной работы по требованиям к цветоразличению Освещенность, лк Индекс цветопередачи источников света Диапазон цветовой температуры источников света , К Рекомендуемые источники света
Контроль цвета с очень высокими требованиями к цветоразличению, качество цветопередачи отличное (контроль готовой продукции на швейных фабриках, тканей на текстильных фабриках, сортировка кожи, подбор красок для цветной печати и т.п.) 300 и более 90 - 100 5000 - 6500 СД; ЛЛ типов: ЛДЦ, 950 <*>, 965 <*>
Сопоставление цветов с высокими требованиями к цветоразличению, качество цветопередачи отличное (ткачество, швейное производство, цветная печать и т.п.) 300 и более 85 - 89 3000 - 6500 СД; ЛЛ типов: ЛТБЦЦ, ЛДЦ, 930 <*>, 940 <*>, 950 <*>, 965 <*>
Различение цветных объектов при невысоких требованиях к цветоразличению, качество цветопередачи хорошее (сборка радиоаппаратуры, прядение, намотка проводов и т.п.) 500 и более 80 - 84 4000 - 6000 СД; ЛЛ типов: ЛЕЦ, 840 <*>, 865 <*>, МГЛ
От 300 до 500 80 - 84 3500 - 5500 СД; ЛЛ типов: ЛЕЦ, 840 <*>, 865 <*>, МГЛ
От 200 до 300 80 - 84 2700 - 4500 СД; ЛЛ типов: ЛТБЦ, 827 <*>, 830 <*>, МГЛ, КЛЛ
Менее 200 80 - 84 2700 - 3500 СД; ЛЛ типов: ЛТБЦ, 827 <*>, 830 <*>, МГЛ, НЛВД + МГЛ, КЛЛ
Требования к цветопередаче отсутствуют, качество цветопередачи стандартное (механическая обработка металлов, пластмасс, сборка машин и инструмента и т.п.) 500 и более 70 - 79 4000 - 6500 СД; ЛЛ типов: ЛД, 740 <*>, 765 <*>, МГЛ
От 300 до 500 70 - 79 3500 - 5000 СД; ЛЛ типов: ЛХБ, 740 <*>, 765 <*>, МГЛ, НЛВД + МГЛ
От 200 до 300 50 - 69 2600 - 4500 СД; ЛЛ типов: ЛБ, 735 <*>, МГЛ, НЛВД + МГЛ
Менее 200 50 - 59 2400 - 3500 СД; ЛЛ типов: ЛТБ, ЛБ, 730 <*>, 735 <*>, НЛВД, КЛЛ

Примечания

1. Принятые сокращения: КЛЛ - компактные люминесцентные лампы; ЛБ - лампы белого света; ЛД - лампы дневного света; ЛДЦ - лампы дневного света с улучшенной цветопередачей; ЛЕЦ - лампы естественного света с улучшенной цветопередачей; ЛЛ - люминесцентные лампы; ЛТБ - лампы тепло-белого света; ЛТБЦ - лампы тепло-белого света с улучшенной цветопередачей; ЛТБЦЦ - лампы тепло-белого света с высококачественной цветопередачей; ЛХБ - лампы холодно-белого света; МГЛ - металлогалогенные лампы; НЛВД - натриевые лампы высокого давления; СД - светодиоды.

2. Прямое излучение ярких светодиодных источников света не должно попадать в поле зрения находящихся в помещении.

<*> Приведено обозначение по ГОСТ Р 54815, в котором первая цифра определяет индекс цветопередачи (в десятках ), а две последние - цветовую температуру (в сотнях кельвинов). Например, 765 означает = 70, = 6500 К.

Таблица И.2

Рекомендуемые источники света при системе комбинированного освещения

Характеристика зрительной работы по требованиям к цветоразличению Освещенность от общего освещения при системе комбинированного освещения, лк Индекс цветопередачи источников света Диапазон цветовой температуры источников света , К Рекомендуемые источники света
общего местного общего местного общего местного
Контроль цвета с очень высокими требованиями к цветоразличению, качество цветопередачи отличное (контроль готовой продукции на швейных фабриках, тканей на текстильных фабриках, сортировка кожи, подбор красок для цветной печати и т.п.) 300 и более 85 - 89 90 - 100 5000 - 6500 5000 - 6500 СД; ЛЛ типов: ЛТБЦЦ, ЛДЦ, 930 <*>; 940 <*>; 950 <*>, 965 <*> СД; ЛЛ типов: ЛДЦ, 950 <*>, 965 <*>
Сопоставление цветов с высокими требованиями к цветоразличению, качество цветопередачи отличное (ткачество, швейное производство, цветная печать и т.п.) 300 и более 70 - 79 85 - 89 3000 - 6500 3000 - 6500 СД; ЛЛ типов: ЛЕЦ, 840 <*>, 865 <*>, МГЛ СД; ЛЛ типов: ЛТБЦЦ, ЛДЦ, 930 <*>, 940 <*>, 950 <*>, 965 <*>
Различение цветных объектов при невысоких требованиях к цветоразличению, качество цветопередачи хорошее (сборка радиоаппаратуры, прядение, намотка проводов и т.п.) 500 и более 50 - 69 80 - 84 2700 - 4500 4000 - 6000 СД; ЛЛ типов: ЛБ, 730 <*>, МГЛ СД; ЛЛ типов: ЛЕЦ, 840 <*>, 865 <*>, МГЛ
От 300 до 500 50 - 69 80 - 84 2600 - 4500 3500 - 5500 СД; ЛЛ типов: ЛБ, 730 <*>, МГЛ СД; ЛЛ типов: ЛЕЦ, 840 <*>, 865 <*>, МГЛ
От 200 до 300 50 - 69 80 - 84 2700 - 4500 2700 - 4500 СД; ЛЛ типов: ЛБ, 730 <*>, МГЛ, КЛЛ СД; ЛЛ типов: ЛТБЦ, 827 <*>, 330 <*>, МГЛ, КЛЛ
Менее 200 50 - 59 80 - 84 2600 - 4500 2700 - 3500 СД; ЛЛ типов: ЛБ, 730 <*>, МГЛ, КЛЛ СД; ЛЛ типов: ЛТБ, ЛБ, 730 <*>, 735 <*>, МГЛ, КЛЛ
Требования к цветопередаче отсутствуют, качество цветопередачи стандартное (механическая обработка металлов, пластмасс, сборка машин и инструмента и т.п.) 500 и более 50 - 69 70 - 79 2700 - 4500 4000 - 6500 СД; ЛЛ типов: ЛБ, 730 <*>, МГЛ, КЛЛ СД; ЛЛ типов: ЛД, 740 <*>, 765 <*>, МГЛ
От 300 до 500 50 - 69 70 - 79 2600 - 4500 3500 - 5000 СД; ЛЛ типов: ЛБ, 730 <*>, МГЛ, КЛЛ СД; ЛЛ типов: ЛХБ, 740 <*>, 765 <*>, МГЛ
От 200 до 300 50 - 69 50 - 69 2700 - 4500 2600 - 4500 СД; ЛЛ типов: ЛБ, 730 <*>, МГЛ, КЛЛ СД; ЛЛ типов: ЛБ, 735 <*>, МГЛ
Менее 200 50 - 59 50 - 69 2600 - 4500 2400 - 3500 СД; ЛЛ типов: ЛБ, 730 <*>, МГЛ, НЛВД + МГЛ, КЛЛ СД; ЛЛ типов: ЛТБ, ЛБ, 730 <*>, 735 <*>, КЛЛ

Примечания

1. Принятые сокращения: КЛЛ - компактные люминесцентные лампы; ЛБ - лампы белого света; ЛД - лампы дневного света; ЛДЦ - лампы дневного света с улучшенной цветопередачей; ЛЕЦ - лампы естественного света с улучшенной цветопередачей; ЛЛ - люминесцентные лампы; ЛТБ - лампы тепло-белого света; ЛТБЦ - лампы тепло-белого света с улучшенной цветопередачей; ЛТБЦЦ - лампы тепло-белого света с высококачественной цветопередачей; ЛХБ - лампы холодно-белого света; МГЛ - металлогалогенные лампы; НЛВД - натриевые лампы высокого давления; СД - светодиоды.

2. Прямое излучение ярких светодиодных источников света не должно попадать в поле зрения находящихся в помещении.

<*> Приведено обозначение по ГОСТ Р 54815, в котором первая цифра определяет индекс цветопередачи (в десятках ), а две последние - цветовую температуру (в сотнях кельвинов). Например, 765 означает = 70, = 6500 К.

Приложение К

(в ред. Изменения N 1, утв. Приказом Минстроя РФ от 20.11.2019 N 699/пр)

Таблица К.1

Рекомендуемые источники света для общего освещения общественных зданий и общедомовых помещений жилых зданий

Требования к освещению Характеристика зрительной работы по требованиям к цветоразличению Освещенность, лк Индекс цветопередач и источников света Диапазон цветовой температуры источников света , К Рекомендуемые источники света для общего освещения
Обеспечение зрительного комфорта в помещениях при выполнении зрительных работ разрядов А - В Сопоставление цветов с очень высокими требованиями к цветоразличению и выбор цвета (магазины по продаже одежды и тканей, косметики и т.п.) От 300 до 500 90 - 95 5000 - 6500 СД; ЛЛ типов: ЛДЦ, 950 <*>, 965 <*>
Сопоставление цветов с высокими требованиями к цветоразличению (кабинеты рисования, обслуживающих видов труда, закройные отделения в ателье, залы заседаний федерального значения, химические лаборатории, выставочные залы, макетные и т.п.) От 200 до 500 85 - 89 3000 - 6500 СД; ЛЛ типов: ЛТБЦЦ, ЛДЦ, 930 <*>, 940 <*>, 950 <*>, 965 <*>
Различение цветных объектов при невысоких требованиях к цветоразличению (комнаты кружков учебных заведений, универсамы, торговые залы магазинов, ателье химической чистки одежды, обеденные залы, крытые бассейны, спортзалы) От 300 до 500 80 - 84 3500 - 5500 СД; ЛЛ типов: ЛЕЦ, 840 <*>, 865 <*>, МГЛ
От 150 до 300 80 - 84 2700 - 4500 СД; ЛЛ типов: ЛТБЦ, 827 <*>, 830 <*>, МГЛ, КЛЛ
Менее 150 70 - 79 3500 - 5000 СД; ЛЛ типов: ЛД, 740 <*>, 765 <*>, МГЛ, КЛЛ
Обеспечение психоэмоционального комфорта в помещении с разрядами зрительных работ разрядов Г - Ж Требования к цветопередаче отсутствуют (кабинеты, рабочие комнаты, конструкторские, чертежные бюро, читательские каталоги, архивы, книгохранилища и т.п.) От 300 до 500 80 - 84 2700 - 4500 СД; ЛЛ типов: ЛТБЦ, 827 <*>, 830 <*>, МГЛ
От 150 до 300 70 - 79 3500 - 5000 СД; ЛЛ типов: ЛХБ, 740 <*>, 765 <*>, МГЛ, КЛЛ
Менее 150 50 - 69 2400 - 3500 СД; ЛЛ типов: ЛТБ, ЛБ, 730 <*>, 735 <*>, НЛВД, КЛЛ
Различение цветных объектов при невысоких требованиях к цветоразличению (концертные залы, зрительные залы театров, клубов, актовые залы, вестибюли и т.п.) От 300 до 500 80 - 84 3500 - 5500 СД; ЛЛ типов: ЛЕЦ, 840 <*>, 865 <*>, МГЛ
От 150 до 300 80 - 84 2700 - 4500 СД; ЛЛ типов: ЛТБЦ, 827 <*>, 830 <*>, МГЛ, КЛЛ
Менее 150 70 - 79 3500 - 5000 СД; ЛЛ типов: ЛХБ, 740 <*>, 765 <*>, МГЛ, КЛЛ
Требования к цветопередаче отсутствуют (зрительные залы кинотеатров, лифтовые холлы, коридоры, проходы, переходы и т.п.) Менее 150 50 - 59 2400 - 3500 СД; ЛЛ типов: ЛТБ, ЛБ, 730 <*>, 735 <*>, КЛЛ

Примечания

1. Принятые сокращения: КЛЛ - компактные люминесцентные лампы; ЛБ - лампы белого света; ЛД - лампы дневного света; ЛДЦ - лампы дневного света с улучшенной цветопередачей; ЛЕЦ - лампы естественного света с улучшенной цветопередачей; ЛЛ - люминесцентные лампы; ЛТБ - лампы тепло-белого света; ЛТБЦ - лампы тепло-белого света с улучшенной цветопередачей; ЛТБЦЦ - лампы тепло-белого света с высококачественной цветопередачей; ЛХБ - лампы холодно-белого света; МГЛ - металлогалогенные лампы; НЛВД - натриевые лампы высокого давления; СД - светодиоды.

2. Прямое излучение ярких светодиодных источников света не должно попадать в поле зрения находящихся в помещении.

<*> Приведено обозначение по ГОСТ Р 54815, в котором первая цифра определяет индекс цветопередачи (в десятках ), а две последние - цветовую температуру (в сотнях кельвинов). Например, 765 означает = 70, = 6500 К.

Приложение Л

НОРМАТИВНЫЕ ПОКАЗАТЕЛИ ОСВЕЩЕНИЯ ОСНОВНЫХ ПОМЕЩЕНИЙ ОБЩЕСТВЕННЫХ, ЖИЛЫХ И ВСПОМОГАТЕЛЬНЫХ ЗДАНИЙ, ПОМЕЩЕНИЙ И СООРУЖЕНИЙ ОБЪЕКТОВ ОБЩЕПРОМЫШЛЕННОГО НАЗНАЧЕНИЯ

(в ред. Изменения N 1, утв. Приказом Минстроя РФ от 20.11.2019 N 699/пр)

Таблица Л.1

Нормативные показатели освещения основных помещений общественных, жилых и вспомогательных зданий

Помещения Плоскость (Г - горизонтальная, В - вертикальная) нормирования освещенности и КЕО, высота плоскости над полом, м Разряд и подразряд зрительной работы Искусственное освещение Естественное освещение Совмещенное освещение
Освещенность рабочих поверхностей, лк Цилиндрическая освещенность, лк Объединенный показатель дискомфорта UGR, не более Коэффициент пульсации освещенности, %, не более Индекс цветопередачи источников света КЕО , % КЕО , %
при комбинированном освещении при общем освещении при верхнем или комбинированном освещении при боковом освещении при верхнем или комбинированном освещении при боковом освещении
Административные здания (министерства, ведомства, комитеты, префектуры, муниципалитеты, управления, конструкторские и проектные организации, научно-исследовательские учреждения и т.п.)
1 Кабинеты и рабочие комнаты, офисы, представительства Г-0,8 Б-1 400/200 300 - 21 15 80 3,0 1,0 1,8 0,6
2 Проектные залы и комнаты, конструкторские, чертежные бюро Г-0,8 А-1 600/400 500 - 21 10 80 4,0 1,5 2,4 0,9
3 Помещения для посетителей, экспедиции Г-0,8 Б-1 400/200 300 - 21 15 80 - - - -
4 Читальные залы Г-0,8 А-2 500/300 400 150 21 15 80 3,5 1,2 2,1 0,7
5 Читательские каталоги, помещения фонда открытого доступа В-1,0 - на фронте карточек, на стеллажах Б-2 - 200 - 19 20 80 2,5 0,7 1,5 0,4
6 Книгохранилища и архивы В-1,0 - на стеллажах В-2 - 100 - - - 80 - - - -
7 Помещения для ксерокопирования Г-0,8 Б-1 - 300 - 21 15 80 - - - -
8 Переплетно-брошюровочные помещения Г-0,8 Б-1 - 300 - 21 15 80 3,0 1,0 1,8 0,6
9 Макетные, столярные и ремонтные мастерские Г-0,8 - на верстаках и рабочих столах IIIв 750/200 300 - 21 15 80 - - 3,0 1,2
10 Компьютерные залы В-1,2 - на экране дисплея Б-2 - 200 - - - - - - - -
Г-0,8 - на рабочих столах А-2 500/300 400 - 14 5 80 3,5 1,2 2,1 0,7
11 Конференц-залы, залы заседаний Г-0,8 Д - 200 75 24 20 80 - - - -
12 Рекреации, кулуары, фойе Г-0,0 - на полу Е - 150 50 - - 80 - - - -
13 Лаборатории: органической и неорганической химии, термические, физические, спектрографические, стилометрические, фотометрические, микроскопные, рентгеноструктурного анализа, механические и радиоизмерительные, электронных устройств, препараторские Г-0,8 А-2 500/300 400 - 21 10 80 3,5 1,2 2,1 0,7
14 Аналитические лаборатории Г-0,8 А-1 600/400 500 - 21 10 80 4,0 1,5 2,4 0,9
Весовые, термостатные Г-0,8 Б-1 400/400 300 - 21 15 80 3,0 1,0 1,8 0,6
Фотокомнаты, дистилляторные Г-0,8 Б-2 - 200 - 24 20 80 - - - -
Архивы проб, хранение реактивов В-1 В-2 - 100 - 24 20 80 - - - -
Моечные лабораторной посуды Г-0,8 Б-1 - 300 - 21 15 80 3,0 1,0 1,8 0,6
Банковские и страховые учреждения
15 Операционные залы, кредитные группы, кассовые залы, помещения пересчета денег Г-0,8 - на рабочих столах А-2 500/300 400 - 14 10 80 3,5 1,2 2,1 0,7
16 Помещения отдела инкассации, инкассаторные Г-0,8 Б-1 - 300 - 21 15 80 - - - -
17 Депозитарии, предкладовые, кладовые ценностей Г-0,8 Б-2 - 200 - 24 20 80 - - - -
18 Серверные, помещения межбанковских электронных расчетов, помещения аппаратуры криптозащиты Г-0,8 А-2 - 400 - 21 10 80 - - - -
19 Помещения вводно-кабельного оборудования Г-0,8 Б-2 - 200 - 24 20 80 - - - -
20 Помещения алфавитно-цифровых печатающих устройств, кабины персонализации Г-0,8 - на рабочих столах А-2 500/300 400 - 21 10 80 3,5 1,2 2,1 0,7
21 Комнаты изготовления, обработки и хранения идентификационных карт, помещения процессингового центра по пластиковым карточкам Г-0,8 А-2 - 400 - 21 10 80 - - 2,1 0,7
22 Помещения обслуживания физических лиц Г-0,8 Б-1 - 300 - 21 15 80 - - - -
23 Помещения сейфовой Г-0,8 В-1 - 150 - 24 20 80 - - - -
24 Смотровые коридоры Г-0,8 Ж - 100 - - - - - - - -
Общеобразовательные организации и организации профессионального и высшего образования
(в ред. Приказа Минстроя РФ от 20.11.2019 N 699/пр)
25 Классные комнаты, аудитории, учебные кабинеты, лаборатории общеобразовательных организаций, интернатов, профессиональных образовательных организаций В - на середине доски А-1 - 500 - - 10 80 - - - -
Г-0,8 - на рабочих столах и партах А-2 - 400 - 21 10 80 4,0 <1> 1,5 <1> 2,1 <1> 1,3 <1>
26 Аудитории, учебные кабинеты, лаборатории техникумов и высших учебных заведений Г-0,8 А-2 - 400 - 21 10 80 3,5 1,2 2,1 0,7
27 Кабинеты информатики и вычислительной техники В - на экране дисплея - - 200 - - - 80 - - - -
Г-0,8 - на рабочих столах и партах А-2 500/300 400 - 14 10 80 3,5 1,2 2,1 0,7
28 Кабинеты технического черчения и рисования В - на доске А-1 - 500 - - 10 80 - - - -
Г-0,8 - на рабочих столах и партах А-1 - 500 - 21 10 80 4,0 1,5 2,1 1,3
29 Лаборантские при учебных кабинетах Г-0,8 А-2 500/300 400 - 14 10 80 3,5 1,2 2,1 0,7
30 Мастерские по обработке металлов и древесины Г-0,8 - на верстаках и рабочих столах IIIб 1000/200 300 - 21 15 80 - - 3,0 1,2
31 Кабинеты обслуживающих видов труда Г-0,8 - на рабочих столах А-2 - 400 - 21 10 80 4,0 <1> 1,5 <1> 2,1 <1> 1,3 <1>
32 Инструментальные комнаты мастера-инструктора Г-0,8 Б-1 - 300 - 21 15 80 - - 1,8 0,6
33 Спортивные залы Г-0,0 - на полу Б-2 - 200 - 24 20 80 2,5 0,7 1,5 0,4
В - на уровне 2,0 м от пола с обеих сторон на продольной оси помещения - - 75 <**> - - - - - - - -
34 Снарядные инвентарные, хозяйственные кладовые Г-0,8 Ж-2 - 50 - - - - - - - -
35 Крытые бассейны Г - на поверхности воды Г - 300 - 24 20 80 2,0 0,5 1,2 0,3
36 Актовые залы, киноаудитории Г-0,0 - на полу Д - 200 75 25 - 80 - - - -
37 Эстрады актовых залов В-1,5 Г - 300 - - - 80 - - - -
38 Кабинеты и комнаты преподавателей, медицинские кабинеты Г-0,8 Б-1 - 300 - 21 15 80 3,0 1,0 1,8 0,6
39 Рекреации Г-0,0 - на полу Е - 200 - 25 - 80 2,0 0,5 1,2 0,3
Учреждения досугового назначения
40 Залы многоцелевого назначения Г-0,8 А-2 - 400 100 21 10 80 - - - -
41 Зрительные залы театров, концертные залы Г-0,8 Г - 300 100 24 - 80 - - - -
42 Зрительные залы клубов, клуб-гостиные, помещения для досуговых занятий, собраний, фойе театров Г-0,8 Д - 200 75 25 - 80 - - - -
43 Помещения игровых автоматов, настольных игр Г-0,8 Б-1 - 300 - 21 15 80 - - - -
В-1,5 - 150 - - - - - - - -
44 Биллиардные Г-0,8 Б-1 - 300 - 21 20 80 - - - -
45 Залы компьютерных игр Г-0,8 - экран; Б-2 - 200 - - - 80 - - - -
В-1,2 - 400
46 Видеокомплексы (видеозал, видеокафе) Г-0,8 Е - 150 - 25 - 80 - - - -
47 Выставочные залы Г-0,8 Г - 300 100 25 - 80 - - - -
48 Зрительные залы кинотеатров Г-0,8 Ж-1 - 100 - 25 - 80 - - - -
49 Фойе кинотеатров, клубов Г-0,0 - на полу Е - 150 50 25 - 80 - - - -
50 Комнаты кружков, музыкальные классы Г-0,8 Б-1 - 300 - 24 15 80 3,0 1,0 1,8 0,6
51 Кино-, звуко- и светоаппаратные Г-0,8 В-1 - 150 - 24 20 80 - - - -
Дошкольные образовательные организации (ДОО)
52 Раздевальные Г-0,0 - на полу Б-1 - 300 - 21 15 80 - - - -
53 Групповые, игральные Г-0,0 - на полу А-2 - 400 - 14 10 80 4,0 <1> 1,5 <1> - -
54 Комнаты музыкальных и гимнастических занятий Г-0,0 - на полу А-2 - 400 - 14 10 80 4,0 <1> 1,5 <1> - -
55 Столовые Г-0,0 - на полу А-2 - 400 - 14 10 80 4,0 <1> 1,5 <1> 2,4 <1> 0,9 <1>
56 Спальные Г-0,0 - на полу В-1 - 150 - 18 15 80 2,0 0,5 - -
57 Изоляторы, комнаты для заболевших детей Г-0,0 - на полу Б-2 - 200 - 18 15 80 2,0 <1> 0,5 <1> - -
58 Медицинские кабинеты Г-0,8 Б-1 - 500 - 21 10 90 4,0 1,5 2,4 0,9
Санатории, дома отдыха, пансионаты
59 Палаты, спальные комнаты Г-0,0 - на полу В-1 - 150 - 18 15 80 2,0 0,5 - -
60 Детские палаты, палаты матери и ребенка Г-0,0 - на полу Б-2 - 200 - 21 15 80 2,0 0,5 - -
61 Кабинеты врачей Г-0,8 Б-1 - 300 - 21 15 80 3,0 1,0 1,8 0,6
62 Кабинеты врачей-педиатров Г-0,8 Б-1 - 300 - 21 15 80 4,0 <1> 1,5 <1> 2,4 <1> 0,9 <1>
63 Классные комнаты детских санаториев Г-0,8 А-1 - 500 - 14 10 80 4,0 1,5 - -
В-2,5 - - 500 - - 10 80 - - - -
Физкультурно-оздоровительные учреждения
64 Залы спортивных игр Г-0,0 - на полу Б-1 - 300 - 24 20 80 3,0 1,0 1,8 0,6
В-2,0 - с обеих сторон на продольной оси помещения - - 150 - - - - - - - -
65 Залы бассейнов Г - поверхность воды Б-1 - 300 - 24 20 80 2,0 0,5 1,2 0,3
66 Залы аэробики, гимнастики, борьбы Г-0,0 - на полу Б-2 - 300 - 24 20 80 2,5 0,7 1,5 0,4
67 Кегельбаны Г-0,0 - на полу Б-2 - 200 - 24 20 - - - -
Предприятия общественного питания
68 Обеденные залы ресторанов, столовых Г-0,8 Б-2 - 200 - 24 20 80 - - - -
69 Раздаточные Г-0,8 Б-1 - 300 - 24 19 80 - - - -
70 Горячие цехи, холодные и заготовительные цехи Г-0,8 Б-1 - 300 - 21 19 85 - - 1,2 0,3
71 Доготовочные цехи Г-0,8 Б-2 - 200 - 24 20 80 - - - -
72 Моечные кухонной и столовой посуды, помещения для резки хлеба Г-0,8 Б-2 - 200 - 24 20 80 - - - -
73 Кондитерские цехи, помещения для мучных изделий Г-0,8 Б-1 - 300 - 21 20 85 - - 1,8 0,6
74 Помещения для изготовления шоколада и конфет Г-0,8 А-2 - 400 - 21 20 85 - - 1,8 0,6
75 Помещения для производства мороженого, напитков Г-0,8 Б-1 - 300 21 20 85 - - 1,8 0,6
76 Помещения для подготовки продуктов, упаковки готовой продукции, комплектации заказов Г-0,8 Б-1 - 300 - 21 20 80 - - - -
77 Загрузочные, кладовые Г-0,8 В-2 - 100 - - - - - - - -
Магазины
78 Торговые залы супермаркетов Г-0,8 А-1 - 500 - 21 10 85 - - - -
79 Торговые залы магазинов без самообслуживания: продовольственных, книжных, готового платья, белья, обуви, тканей, меховых изделий, головных уборов, парфюмерных, галантерейных, ювелирных, электро-, радиотоваров, игрушек и канцелярских товаров Г-0,8 Б-1 - 300 100 21 15 85 - - - -
80 Торговые залы продовольственных магазинов с самообслуживанием Г-0,8 А-2 - 400 100 21 10 85 - - - -
81 Торговые залы магазинов: посудных, мебельных, спортивных товаров, стройматериалов, электробытовых, машин, игрушек и канцелярских товаров Г-0,8 Б-1 - 300 100 21 15 85 - - - -
82 Примерочные кабины В-1,5 Б-1 - 300 - - 15 80 - - - -
83 Залы демонстрации новых товаров Г-0,8 Б-1 - 300 - 24 - 80 - - - -
84 Помещения отделов заказов, бюро обслуживания Г-0,8 Б-1 - 300 - 24 20 80 - - - -
85 Помещения главных касс Г-0,8 Б-1 - 300 - 21 15 80 - - - -
86 Помещения для подготовки товаров к продаже:
а) разрубочные, фасовочные, комплектовочные отдела заказов Г-0,8 Б-1 - 300 100 21 15 80 - - - -
б) помещения нарезки тканей, гладильные, мастерские магазинов радио-, электротоваров Г-0,8 А-2 - 400 - 21 15 80 - - - -
87 Мастерские подгонки готового платья Г-0,8 А-2 500/300 400 100 21 10 80 - - 2,1 0,7
88 Рекламно-декорационные мастерские, мастерские ремонта оборудования и инвентаря, помещения бракеров Г-0,8 Б-1 400/200 300 - 21 15 85 - - 1,8 0,6
Предприятия бытового обслуживания населения
89 Бани:
а) ожидальные-остывочные Г-0,8 Е - 150 - 25 - 80 - - - -
б) раздевальные, моечные, душевые, парильные Г-0,0 - на полу Ж-1 - 100 - - - 80 - - - -
в) бассейны Г-0,0 - на полу В-2 - 100 - - 80 - - - -
90 Парикмахерские: мужской и женский залы Г-0,8 А-2 500/300 400 - 21 10 85 - - 1,8 0,6
91 Косметические кабинеты Г-0,8 А-1 600/400 500 - 21 10 85 - - 1,8 0,6
92 Фотографии:
а) салоны приема и выдачи заказов Г-0,8 Б-1 - 300 - 24 20 80 - - - -
б) съемочные залы фотоателье Г-0,8 В-2 - 100 - - 20 80 - - - -
93 Фотолаборатории Г-0,8 А-2 - 400 - 21 15 90 - - - -
В-1,2 - на экране дисплея Б-2 - 200 - - - - - - - -
94 Прачечные:
а) отделения приема и выдачи белья:
- прием с меткой, учет, выдача
Г-0,8 Б-2 - 300 - 24 20 80 - - - -
- хранение белья В-1,0 Е - 75 - - - 80 - - - -
б) стиральные отделения:
- стирка, приготовление растворов,
Г-0,0 - на полу VI - 200 - 21 20 80 - - - -
- хранение стиральных материалов Г-0,8 VIIIв - 50 - - - - - - - -
в) сушильно-гладильные отделения Г-0,8 IVа - 300 - 21 20 80 - - - -
г) отделения разборки и упаковки белья Г-0,8 - 300 - 21 20 80 - - - -
д) отделения починки белья Г-0,8 IIа <2> 2000/750 500 - 21 20 80 - - 2,1 0,7
95 Прачечные с самообслуживанием Г-0,0 - на полу Б-2 - 200 - 24 20 80 - - - -
96 Ателье химической чистки одежды:
а) салоны приема и выдачи одежды Г-0,8 Б-1 - 300 - 24 20 85 - - 1,5 0,4
б) помещения химической чистки Г-0,8 VI - 200 - 21 20 80 - - - -
в) отделения выведения пятен Г-0,8 IIIа 2000/750 500 - 21 20 85 - - - -
г) помещения для хранения химикатов Г-0,8 VIIIв - 50 - - - - - - - -
97 Ателье изготовления и ремонта одежды и трикотажных изделий:
а) пошивочные цехи Г-0,8 - на рабочих столах IIа <2> 2000/750 750 - 21 20 85 - - 4,2 1,5
б) закройные отделения Г-0,8 - на рабочих столах IIб - 750 - 21 10 85 - - 4,2 1,5
в) отделения ремонта одежды Г-0,8 IIа <2> 2000/750 750 - 21 20 85 - - 4,2 1,5
г) отделения подготовки прикладных материалов Г-0,8 IVа - 300 - 24 20 85 - - 2,4 0,9
д) отделения ручной и машинной вязки Г-0,8 IIв - 500 - 21 20 85 - - 4,2 1,5
е) утюжные, декатировочные Г-0,8 IVа - 300 - 21 20 85 - - 2,4 0,9
98 Пункты проката:
а) помещения для посетителей Г-0,8 Б-1 - 300 - 24 20 80 - - 1,5 0,4
б) кладовые Г-0,8 В-2 - 100 - - - - - - - -
99 Ремонтные мастерские:
а) изготовление и ремонт головных уборов, скорняжные работы Г-0,8 IIa 2000/750 <2> 750 - 21 20 85 - - 4,2 1,5
б) ремонт обуви, галантереи, металлоизделий, изделий из пластмассы, бытовых электроприборов Г-0,8 IIIа 2000/750 <2> - - 24 20 85 - - 3,0 1,2
в) ремонт часов, ювелирные и граверные работы Г-0,8 IIб 3000/300 - - 21 20 85 - - 4,2 1,5
г) ремонт фото-, кино-, радио- и телеаппаратуры Г-0,8 IIв 2000/200 - - 21 20 80 - - 4,2 1,5
100 Студия звукозаписи:
а) помещения для записи и прослушивания Г-0,8 Б-2 - 200 - 24 20 80 - - - -
б) фонотеки Г-0,8 Б-2 - 200 - - - - - - - -
Гостиницы
101 Бюро обслуживания Г-0,8 Б-1 - 300 - 24 20 80 - - - -
102 Помещения дежурного и обслуживающего персонала Г-0,8 Б-1 - 300 - 24 20 80 - - 1,5 0,4
103 Гостиные, номера Г-0,0 Б-2 - 200 - - 20 80 2,0 0,5 1,5 0,4
Организации, осуществляющие медицинскую деятельность
Приемные и палатные отделения
(в ред. Изменения N 1, утв. Приказом Минстроя РФ от 20.11.2019 N 699/пр)
104 Отсеки краткосрочного наблюдения Г-0,0 В-2 - 100 - 18 15 80 - - - -
(в ред. Изменения N 1, утв. Приказом Минстроя РФ от 20.11.2019 N 699/пр)
105 Палаты отделений для взрослых Г-0,0 В-2 - 100 - 18 15 80 2,0 0,5 - -
(в ред. Изменения N 1, утв. Приказом Минстроя РФ от 20.11.2019 N 699/пр)
106 Палаты: детских отделений; для новорожденных; интенсивной терапии; послеоперационные, палаты матери и ребенка Г-0,0 Б-2 - 200 - 18 15 80 3,0 1,0 - -
(в ред. Изменения N 1, утв. Приказом Минстроя РФ от 20.11.2019 N 699/пр)
107 Классные комнаты детских стационаров/отделений Г-0,8 А-1 - 500 - 14 10 80 4,0 1,5 - -
108 Игровые комнаты Г-0,0 А-2 - 400 - 14 10 80 4,0 <1> 1,5 <1> - -
109 Помещения приема пищи Г-0,8 Б-2 - 200 - 24 20 80 - - - -
110 Процедурные, смотровые Г-0,8 А-1 - 500 - 21 20 80 4,0 1,5 2,4 0,9
(в ред. Изменения N 1, утв. Приказом Минстроя РФ от 20.11.2019 N 699/пр)
111 Посты медсестер Г-0,8 Б-1 - 300 - 21 15 80 - - 1,5 0,4
112 Комнаты (зоны) дневного пребывания Г-0,8 Б-2   200   24 20 80 2,5 0,7 1,5 0,4
(в ред. Изменения N 1, утв. Приказом Минстроя РФ от 20.11.2019 N 699/пр)
113 Помещения хранения переносной аппаратуры Г-0,0 VIIIб - 75 - - - 80 - - - -
114 Коридоры медицинских учреждений Г-0,8 Е - 150 - 25 - 80 - - - -
115 Веранды Г-0,8 В-2 - 100 - - 15 80 - - - -
Лечебные отделения
(в ред. Изменения N 1, утв. Приказом Минстроя РФ от 20.11.2019 N 699/пр)
116 Операционные, реанимационный зал, манипуляционные Г-0,8 А-1 - 500 - 21 10 - - - - -
(в ред. Изменения N 1, утв. Приказом Минстроя РФ от 20.11.2019 N 699/пр)
117 Родовые палаты, диализные залы, перевязочные Г-0,8 А-1 - 500 - 21 10 - 4,0 1,5 2,4 0,9
(в ред. Изменения N 1, утв. Приказом Минстроя РФ от 20.11.2019 N 699/пр)
118 Предоперационные, предреанимационные, протокольные Г-0,8 Б-1 - 300 - 21 15 - - - - -
(в ред. Изменения N 1, утв. Приказом Минстроя РФ от 20.11.2019 N 699/пр)
119 Монтажные аппаратов искусственного кровообращения, искусственной почки, подготовки инфузионных систем и т. п. Г-0,8 А-2 - 400 - 21 10 - - - - -
(в ред. Изменения N 1, утв. Приказом Минстроя РФ от 20.11.2019 N 699/пр)
120 Помещения хранения и подготовки крови к переливанию Г-0,8 Б-2 - 200 - 21 20 - - - - -
(в ред. Изменения N 1, утв. Приказом Минстроя РФ от 20.11.2019 N 699/пр)
121 Помещения хранения и приготовления гипса Г-0,8 VIIIб - 75 - - - - - - - -
Отделения консультативного приема, кабинеты диагностики и лечения
122 Регистратуры, диспетчерские Г-0,8 А-1 - 200 - 24 20 80 - - - -
123 Кабинеты хирургов, акушеров, гинекологов, травматологов, педиатров, инфекционистов, дерматологов, аллергологов, стоматологов; смотровые Г-0,8 А-1 - 500 - 21 10 85 4,0 1,5 2,4 0,9
124 Кабинеты приема врачей других специальностей (кроме приведенных выше), фельдшеров Г-0,8 Б-1 - 300 - 21 15 85 3,0 1,0 1,8 0,6
125 Темные комнаты офтальмологов Г-0,8 З - 20 - - 10 80 - - - -
126 Кабинеты функциональной диагностики, физиотерапии Г-0,8 Б-1 - 300 - 21 15 80 - - 1,8 0,6
127 Процедурные эндоскопических кабинетов Г-0,8 Б-1 - 300 - 21 15 80 - - - -
128 Комнаты управления кабинетов лучевой терапии и диагностики, архивы, технические помещения Г-0,8 Б-1   300   21 - 80 - - -  
(в ред. Изменения N 1, утв. Приказом Минстроя РФ от 20.11.2019 N 699/пр)
129 Процедурные рентген- терапевтических, рентгенодиагностических кабинетов, компьютерной томографии, флюорографии, введения радиофармацевтических препаратов Г-0,8 А-2   400 <3>   21 10 80        
(в ред. Изменения N 1, утв. Приказом Минстроя РФ от 20.11.2019 N 699/пр)
130 Помещения бальнеотерапии, душевые залы Г-0,8 Б-2 - 200 - 24 20 80 - - - -
131 Помещения трудотерапии Г-0,8 Б-1 - 300 - 21 15 80 3,0 1,0 1,8 0,6
132 Помещения для лечения сном, фотарии Г-0,8 Ж-2 - 50 - - - 80 - - - -
133 Кабинеты массажа, лечебной физкультуры, тренажерные залы Г-0,8 Б-2 - 200 - 24 20 80 - - - -
134 Помещения подготовки парафина, озокерита, обработки прокладок, стирки и сушки простыней, холстов, брезентов, регенерации грязи Г-0,8 VIIIб - 75 - - - - - - - -
Лаборатории медицинских учреждений
135 Помещения приема, выдачи и регистрации анализов, весовые, помещения подготовки питательных сред, помещения для окраски проб, центрифужные, микроскопические Г-0,8 Б-2 - 200 - 21 10 80 - - - -
(в ред. Изменения N 1, утв. Приказом Минстроя РФ от 20.11.2019 N 699/пр)
136а Лаборантские для исследований (общеклинические, гематологические, биохимические, серологические, микробиологические и т. п.) Г-0,8 А-1 - 500 - 21 10 85 4,0 1,5 2,4 0,9
(в ред. Изменения N 1, утв. Приказом Минстроя РФ от 20.11.2019 N 699/пр)
136б Боксы микробиологические, лаборантские эмбриологические, лаборатории клеточных технологий Г-0,8 А-1 - 500 - 21 10 85 - - - -
(в ред. Изменения N 1, утв. Приказом Минстроя РФ от 20.11.2019 N 699/пр)
137 Препараторские, помещения подготовки результатов исследований Г-0,8 Б-1 - 300 - 21 15 80 3,0 1,0 1,8 0,6
(в ред. Изменения N 1, утв. Приказом Минстроя РФ от 20.11.2019 N 699/пр)
138 Моечные, стерилизационные лабораторной посуды, термостатные Г-0,8 Б-1 - 200 - 24 20 80 - - - -
(в ред. Изменения N 1, утв. Приказом Минстроя РФ от 20.11.2019 N 699/пр)
139 Кабинеты с кабинами зондирования и взятия желудочного сока Г-0,8 Б-1 - 300 - 24 20 80 - - 1,5 0,4
140 Стеклодувные Г-0,8 VII - 200 - 21 20 80 3,0 1,0 1,8 0,6
141 Помещения зубных техников, гипсовые, полимеризационые Г-0,8 IIв 2000/200 500 - 21 10 85 - - 4,2 1,5
Стерилизационные помещения и дезинфекционные помещения
142 Стерилизационные-автоклавные, помещения приема и хранения материалов Г-0,8 IVг - 200 - 21 20 80 - - - -
143 Помещения подготовки инструмента Г-0,8 IVг - 200 - 21 20 80 - - - -
144 Помещения ремонта и заточки инструмента Г-0,8 IIIв - 300 - 21 15 80 - - - -
145 Помещения дезинфекционных камер Г-0,8 Ж-1 - 75 - - - 80 - - - -
Патологоанатомическое отделение
146 Секционные Г-0,8 А-2 - 400 - 21 10 80 3,5 1,2 2,1 0,7
147 Предсекционные, фиксационные Г-0,8 Б-1 - 300 - 24 20 80 - - - -
Помещения пищеблоков
148 Раздаточные Г-0,8 Б-1 - 300 - 24 20 80 - - - -
149 Горячие, холодные, доготовочные, заготовочные цехи Г-0,8 Б-2 - 200 - 24 20 85 - - - -
150 Моечные посуды Г-0,8 Б-2 - 200 - 24 20 80 - - - -
151 Загрузочные, кладовые Г-0,8 Ж-1 - 75 - - - 80 - - - -
Аптеки
152 Площади для посетителей в зале обслуживания Г-0,8 Б-2 - 200 - 24 20 80 - - - -
153 Рецептурные отделы, отделы ручной продажи, оптики, готовых лекарственных средств Г-0,8 Б-1 - 300 - 21 15 80 - - - -
154 Ассистентские, асептические, аналитические, фасовочные, заготовочные концентратов и полуфабрикатов, контрольно-маркировочные Г-0,8 А-1 600/400 500   21 10 85     2,4 0,9
(в ред. Изменения N 1, утв. Приказом Минстроя РФ от 20.11.2019 N 699/пр)
155 Моечные Г-0,8 Б-2 - 200 - 21 20 80 - - - -
156 Помещения хранения лекарственных и перевязочных средств, посуды Г-0,8 В-2 - 100 - - - 80 - - - -
157 Помещение хранения кислот, дезинфекционных средств, горючих и легковоспламеняющихся жидкостей Г-0,8 Ж-1 - 75 - - - 80 - - - -
158 Кладовые тары Г-0,8 Ж-2 - 50 - - - 80 - - - -
Центры гигиены и эпидемиологии
159 Диспетчерские, помещения хранения и выдачи готовых приманок, фасовочные, выдачи дезинфекционных средств и бактерийных препаратов Г-0,8 Б-2 - 200 - 24 20 80 2,5 0,7 1,5 0,4
160 Помещения хранения биологических, лечебных, диагностических препаратов, реактивов, дезинфицирующих средств, кислот Г-0,8 В-2 - 100 - 24 20 80 - - - -
161 Помещения хранения дезинфекционной аппаратуры, инвентаря, белья Г-0,8 В-2 - 100 - - - 80 - - - -
162 Комнаты гельминтологов, энтомологов, вирусологов, бактериологов, лаборантские, химические, биохимические лаборатории, серологические, боксы, препараторские Г-0,8 А-2 - 400 - 21 10 80 3,5 1,2 2,1 0,7
163 Радиологические, радиохимические, помещения спектроскопии и полярографии, лаборатории акустики, вибрации, электромагнитных полей, физиологии труда, средоварочные с боксами, термитные Г-0,8 Б-1 - 300 - 21 15 80 3,0 1,0 1,8 0,6
164 Моечные Г-0,8 Б-1 - 300 - 21 20 80 3,0 1,0 1,8 0,6
165 Помещения взятия проб Г-0,8 Б-1 - 300 - 21 15 80 3,0 1,0 1,8 0,6
166 Боксы серологических исследований особо опасных инфекций Г-0,8 А-1 - 500 - 21 10 80 4,0 1,5 2,4 0,9
167 Комнаты зоопаразитологов Г-0,8 Б-1 300 21 15 80 3,0 1,0 1,8 0,6
168 Биопробные, помещения хранения питательных сред Г-0,8 Б-2 - 200 - 24 20 80 2,5 0,7 1,5 0,4
169 Помещения дезинфекционных камер, стерильные цехи Г-0,8 Б-1 - 300 - 21 20 80 - - - -
170 Помещения сжигания трупов животных и отходов Г-0,8 VIIIб - 75 - - - 80 - - - -
Виварии
171 Виварии. Помещения для содержания животных Г-0,8 А-2 - 400 - 21 10 80 3,5 1,2 2,1 0,7
Станции скорой и неотложной медицинской помощи
172 Диспетчерские Г-0,8 Б-1 - 300 - 21 15 80 3,0 1,0 1,8 0,6
173 Помещения радиопоста Г-0,8 Б-1 - 300 - 24 20 80 - - 1,5 0,4
174 Помещения хранения ящиков выездных бригад В-1,0 - стеллажи VIIIб - 75 - - - 80 - - - -
175 Помещения текущего запаса медикаментов Г-0,8 В-2 - 100 - 24 20 80 - - - -
176 Комнаты выездных бригад Г-0,8 Б-2 - 200 24 20 80 2,5 0,7 1,5 0,4
Молочные кухни, раздаточные пункты
177 Помещения фильтрации и разлива Г-0,8 Б-1 - 300 - 21 15 80 3,0 1,0 1,8 0,6
178 Остывочные Г-0,8 В-2 - 100 - 24 20 80 - - - -
179 Помещения приготовления и фасовки продуктов Г-0,8 Б-1 - 300 - 21 15 80 3,0 1,0 1,8 0,6
180 Помещения приема и хранения посуды, раздаточные Г-0,8 Б-2 - 200 - 24 20 80 - - - -
Вокзалы
181 Залы ожидания Г-0,8 Б-1 - 300 - 24 20 80 - - - -
182 Операционные залы, отделения связи, операторские, диспетчерские Г-0,8 Б-1 - 300 - 21 15 80 3,0 1,0 1,8 0,6
183 Вычислительные центры Г-0,8 А-2 500/300 400 - 14 5 80 3,0 1,0 1,8 0,6
184 Кассовые залы, билетные багажные кассы Г-0,8 Б-1 - 300 - 21 15 80 - - - -
185 Распределительные залы, вестибюли Г-0,0 - на полу Е - 150 - 25 - 80 - - - 0,4 <2>
186 Комнаты матери и ребенка, длительного пребывания пассажиров Г-0,8 Б-2 - 200 - 24 20 80 2,5 0,7 1,5 0,4
Жилые дома
187 Жилые комнаты Г-0,0 - на полу В-1 - 150 - - - - 2,0 0,5 - -
188 Кухни Г-0,0 - на полу В-1 - 150 - - - - 2,0 0,5 1,2 0,3
189 Коридоры, ванные, уборные Г-0,0 - на полу Ж-2 - 50 - - - - - - - -
190 Общедомовые помещения:
а) помещения консьержа Г-0,0 - на полу В-1 - 150 - 24 20 80 - - - -
б) вестибюли Г-0,0 - на полу З-1 - 30 - - - 80 - - - -
в) поэтажные коридоры и лифтовые холлы Г-0,0 - на полу З-2 - 20 - - - 80 - - - -
г) лестницы и лестничные площадки Г-0,0 - пол, площадки, ступени З-2 - 20 - - - 80 - - - 0,1 <2>
Вспомогательные здания и помещения
191 Санитарно-бытовые помещения:
а) умывальные, уборные, курительные Г-0,0 Ж-1 - 75 - - - 80 - - - -
б) душевые, гардеробные, помещения для сушки, обеспыливания и обеззараживания одежды и обуви, помещения для обогревания работающих Г-0,0 Ж-2 - 50 - - - 80 - - - -
192 Здравпункты:
а) ожидальные Г-0,8 Б-2 - 200 - 24 20 80 - - 1,5 0,4
б) регистратуры, комнаты дежурного персонала Г-0,8 Б-2 - 200 - 24 20 80 - 0,7 1,5 0,4
в) кабинеты врачей, перевязочные Г-0,8 Б-1 - 300 - 21 15 90 3,0 1,0 1,8 0,6
г) процедурные кабинеты Г-0,8 А-1 - 500 - 21 10 90 4,0 1,5 2,4 0,9
Прочие помещения производственных, вспомогательных и общественных зданий
193 Вестибюли и гардеробные уличной одежды:
а) в вузах, общеобразовательных организациях, общежитиях, гостиницах, театрах, клубах, при входах в крупные промышленные предприятия и общественные здания Г-0,0 - на полу Е - 150 - 24 - 80 - - - 0,4 <2>
б) в прочих промышленных, вспомогательных и общественных зданиях Г-0,0 - на полу Ж-1 - 75 - - - 80 - - - -
в) в жилых зданиях Г-0,0 - на полу З-1 - 30 - - - 80 - - - -
194 Лестницы:
а) главные лестничные клетки общественных, производственных и вспомогательных зданий, тамбуры Г-0,0 - пол, площадки, ступени В-2 - 100 - - - 80 - - - 0,2 <2>
б) лестничные клетки жилых зданий Г-0,0 - на полу З-2 - 20 - - - 80 - - - 0,1 <2>
в) остальные лестничные клетки Г-0,0 - на полу Ж-2 - 50 - - - 80 - - - 0,1 <2>
195 Лифтовые холлы:
а) в общественных, производственных и вспомогательных зданиях Г-0,0 - на полу Ж-1 - 100 - - - 80 - - - -
б) в жилых зданиях Г-0,0 - на полу З-2 - 20 - - - 80 - - - -
196 Коридоры и проходы:
а) главные коридоры и проходы Г-0,0 - на полу Ж-1 - 100 - - - 80 - - - 0,1 <2>
б) поэтажные коридоры жилых зданий Г-0,0 - на полу З-2 - 20 - - - 80 - - - -
в) остальные коридоры Г-0,0 - на полу Ж-2 - 50 - - - 80 - - - -
197 Машинные отделения лифтов и помещения для фреоновых установок Г-0,8 З-1 - 30 - - - - - - - 0,1 <2>
198 Чердаки Г-0,0 - на полу З-2 - 20 - - - - - - - 0,1 <2>

Примечания

1. Наличие нормируемых значений освещенности в графах "Освещенность рабочих поверхностей, лк, при комбинированном освещении" и "Освещенность рабочих поверхностей, лк, при общем освещении" указывает на возможность применения одной из этих систем.

2. При дробном обозначении освещенности, приведенной в графе "Освещенность рабочих поверхностей, лк, при комбинированном освещении", в числителе указана норма освещенности от общего и местного освещения на рабочем месте, а в знаменателе - освещенность от общего освещения по помещению.

3. Прочерки в таблице означают отсутствие предъявляемых требований.

<1> Нормированные значения КЕО повышены в помещениях, специально предназначенных для пребывания детей и подростков.

<2> Нормированные значения установлены экспериментально при отраслевом нормировании.

<3> Необходимо предусмотреть ступенчатое снижение освещенности до 50 лк во время исследования. (в ред. Изменения N 1, утв. Приказом Минстроя РФ от 20.11.2019 N 699/пр)

Таблица Л.2

Нормативные показатели естественного, искусственного и совмещенного освещения помещений и сооружений объектов общепромышленного назначения

Помещения Плоскость (Г - горизонтальная, В - вертикальная) нормирования освещенности и КЕО, высота плоскости над полом, м Разряд и подразряд зрительной работы Искусственное освещение Естественное освещение Совмещенное освещение
Освещенность рабочих поверхностей, лк Объединенный показатель дискомфорта UGR, не более Коэффициент пульсации освещенности, %, не более КЕО , % КЕО , %
при комбинированном освещении при общем освещении при верхнем или комбинированном освещении при боковом освещении при верхнем или комбинированном освещении при боковом освещении
1 2 3 4 5 6 7 8 9 10 11
Стоянки, площадки хранения подвижного состава, депо
1 Открытые стоянки, площадки для хранения подвижного состава вне улиц:
а) без подогрева Г-0,0 - покрытие XVI <1> - 10 - - - - - -
б) с подогревом Г-0,0 - покрытие XV - 20 - - - - - -
2 Помещения для закрытого хранения подвижного состава
а) транспортных предприятий (депо, закрытые стоянки подвижного состава) Г-0,0 - на полу VIIIб <2> - 75 28 - - - - -
б) помещения для хранения автомобилей в гаражах, автостоянках и паркингах для индивидуального транспорта Г-0,0 - на полу VIIIв - 50 - - - - - -
Автозаправочные станции, топливозаправочные пункты
3 Зона топливораздаточных колонок:
а) в помещениях или под навесом Г-0,0 - на полу VIIIб - 75 28 - - - - -
В-1,5 - табло колонок - 50 - - - - - -
б) вне зданий Г-0,0 - покрытие XIII - 50 - - - - - -
В-1,5 - табло колонок - 30 - - - - - -
4 Зона технологических колодцев Г-0,0 - крышка колодца XV - 20 - - - - - -
Станции технического обслуживания транспорта, транспортные предприятия
5 Осмотровые канавы:
а) в помещении Г - днище машины Vб <3> - 200 - 20 - - - -
б) вне зданий Г - днище машины - 200 - 20 - - - -
6 Участки (посты) мойки и уборки подвижного состава:
а) в помещении Г-0,0 - на полу VI - 200 25 20 - - 1,8 0,6
б) вне зданий Г-0,0 - покрытие XV - 20 - - - - - -
7 Участки диагностирования:
а) легковых автомобилей Г-0,8 IIIв - 300 25 15 - - 3,0 1,2
б) грузовых автомобилей, автобусов, трамваев, троллейбусов Г-0,8 IVв - 200 25 20 - - 2,4 0,9
8 Участки технического обслуживания (ТО-1, ТО-2) и текущего ремонта:
а) легковых автомобилей Г-0,8 IVв - 200 25 20 - - 2,4 0,9
б) грузовых автомобилей, автобусов, трамваев, троллейбусов Г-0,8 - 200 25 20 - - 1,8 0,6
9 Подъемники Г - днище машины Vб <3> - 200 - 20 - - - -
10 Агрегатные участки:
а) легковых автомобилей Г-0,8 IIIв 750 300 25 15 - - 3,0 1,2
б) грузовых автомобилей, автобусов, трамваев и троллейбусов Г-0,8 IVв 500 200 25 20 - - 2,4 0,9
11 Мойка агрегатов, узлов, деталей Г - место загрузки и выгрузки VI - 200 25 20 - - - -
12 Участки монтажа и ремонта шин, вулканизационные участки Г-0,8 - 300 25 20 3,0 1,0 1,8 0,6
13 Кузнечно-рессорные участки Г-0,8 VII - 200 25 20 3,0 1,0 1,3 0,6
14 Сварочно-жестяницкие участки Г-0,8 IVв - 200 25 20 4,0 1,5 2,4 0,9
15 Медницкие участки Г-0,8 - на верстаке IVб 500 - 25 20 4,0 1,5 2,4 0,9
16 Обойные участки Г-0,8 IVа 750 400 25 20 4,0 1,5 2,4 0,9
17 Кузовные участки Г-0,8 IVв - 200 25 20 4,0 1,5 2,4 0,9
18 Окрасочные участки:
а) легковых автомобилей Г-0,8 IIIб - 400 25 15 - - 3,0 1,2
б) грузовых автомобилей, автобусов, трамваев и троллейбусов Г-0,8 IVб - 300 25 20 4,0 1,5 2,4 0,9
19 Краскоприготовительные участки Г-0,8 IIIб 1000 400 25 15 - - 3,0 1,2
20 Деревообрабатывающие участки Г-0,8; IIIв - 300 25 15 - - 3,0 1,2
Г - зона обработки, разметочная плита IIIв 750 300 25 15 - - - -
21 Участки ремонта электрооборудования и приборов питания Г-0,8 IIIб 1000 400 25 15 - - 3,0 1,2
22 Таксометровые участки Г-0,8 IIв 2000 - 22 10 - - 4,2 1,5
23 Слесарно-механические участки Г-0,8 IIв - 500 22 10 - - 4,2 1,5
24 Металлорежущие станки:
а) заточные, зубообрабатывающие, координатно-расточные, резьбонакатные, резьботокарные, резьбошлифовальные, токарные, токарно-затыловочные, фрезерные Г - зона обработки IIв 2000 - 22 10 - - - -
б) внутришлифовальные, круглошлифовальные, плоскошлифовальные, поперечно-строгальные, токарно-винтовые, токарно-карусельные, токарно-револьверные Г - зона обработки 1500 - 19 10 - - - -
в) продольно-строгальные, лоботокарные, сверлильные Г - зона обработки IIг 1000 - 22 10 - - - -
г) долбильные, протяжные, обрезные Г - зона обработки IIIв 750 - 25 15 - - - -
25 Помещения сушки автомобилей и автобусов Г-0,0 - на полу VI - 200 25 20 - - - -
26 Помещение зарядных устройств аккумуляторных батарей Г-0,8 VI - 200 25 20 - - - -
27 Ремонт аккумуляторов Г-0,8 IVб - 300 25 20 - - - -
Электропомещения
28 Помещения распределительных устройств, диспетчерские, операторные (электрощитовые):
а) с постоянным дежурством персонала Г-0,8 IVг <2> - 200 25 20 4,0 1,5 2,4 0,9
Г - стол оператора IIIв 750 300 25 15 - - - -
Г, В-1,5 - пульт управления, шкала приборов IVг - 200 25 20 - - - -
В-1,5 - задняя сторона щита VIIIв - 50 - - - - - -
б) с периодическим пребыванием людей Г-0,8 - 200 25 20 - - - -
Г, В-1,5 - пульт управления, шкала приборов IVг - 200 - 20 - - - -
В-1,5 - задняя сторона щита VIIIв - 50 - - - - - -
29 Пульты, щиты управления:
а) в помещениях:
- с измерительной аппаратурой Г-0,8
В-1,5 - шкала приборов
IVг <2> - 200 - 20 - - - -
- без измерительной аппаратуры Г-0,8;
В-1,5 - рычаги, рукоятки
VI - 200 - 20 - - - -
б) вне зданий В-1,5 - рычаги, рукоятки XII - 100 - - - - - -
30 Отдельно стоящие приборы контроля:
а) в помещениях:
- с постоянным наблюдением Г-0,8; В - шкала приборов IVг - 200 25 20 - - - -
- с периодическим наблюдением Г, В - шкала приборов IVг - 200 25 20 - - - -
б) вне зданий Г, В - шкала приборов XII - 100 - - - - - -
31 Помещения и камеры трансформаторов, реакторов, статических конденсаторов, аккумуляторов В-1,5 VIIIб - 75 28 - - - - -
32 Электромашинные помещения:
а) с постоянным дежурством персонала Г-0,8;
В-1,5 - на щитах
IVг - 200 25 20 4,0 1,5 2,4 0,9
б) с периодическим пребыванием людей Г-0,8;
В-1,5 - на щитах
IVг - 200 25 20 - - - -
33 Кабельные подвалы, кабельные этажи Г-0,0 - на полу VIIIв - 50 - - - - - -
34 Этажи шин В - на шинах VIIIв - 50 - - - - -
35 Кабельные шахты Г-0,0 - на полу VIIIг - 20 - - - - - -
36 Электрощитовые в жилых и общественных зданиях Г-0,8;
В-1,5 - на щитах
VIIIб - 75 28 - - - - -
Помещения инженерных сетей и прочие технические помещения
37 Машинные залы насосных, воздуходувные:
а) с постоянным дежурством персонала Г-0,8 VIIIа <2> - 200 28 20 3,0 1,0 0,5 0,3
В - шкала приборов контроля IVг - 200 - 20 - - - -
Г-0,8 - стол машиниста IIIг 400 200 25 15 - - - -
б) без постоянного дежурства персонала Г-0,8 - 200 25 20 - - - -
В - шкала приборов контроля IVг - 200 - 20 - - - -
38 Запорная и регулирующая арматура:
а) в помещениях В - на топках, задвижках, вентилях, клапанах, рычагах, затворах, петлях бункеров и т.п. VIIIб - 75 - - - - - -
б) вне зданий То же XIV - 30 - - - - - -
39 Площадки и лестницы котлов, экономайзеров, проходы за котлами Г-0,0 - на полу VIIIв - 50 - - - - - -
40 Помещения топливоподачи Г-0,8 VI - 200 25 20 - - - -
41 Помещения дымососов, вентиляторов, бункерное отделение Г, В-0,8 VI - 200 25 20 - - - -
42 Конденсационные, помещения химводоочистки, бойлерные, деаэраторные, зольные помещения Г-0,0 - на полу VIIIб - 75 - - - - - -
43 Генераторные Г-0,0 - на полу VIIIв - 50 - - 1,0 0,3 0,5 0,2
44 Надбункерные помещения Г-0,8 VIIIв - 50 - - - - - -
45 Помещения для кондиционеров, тепловые пункты Г-0,8 VI <2> - 200 25 20 - - - -
46 Компрессорные (блоки, станции, помещения, залы):
а) с постоянным дежурством персонала Г-0,8 VI <2> - 200 25 20 4,0 1,5 2,4 0,9
В - на шкалах приборов, щите управления IVг - 200 - 20 - - - -
Г-0,8 - на столе машиниста IIIг 400 200 - 15 - - - -
б) без постоянного дежурства персонала Г-0,8 - - 200 25 20 - - - -
В - на шкалах приборов, щите управления IVг - 200 - 20 - - - -
47 Вентиляционные помещения и установки:
а) камеры вентиляторов Г-0,8 VIIIв - 50 - - - - - -
б) отсеки для калориферов и фильтров Г-0,8 VIIIг - 20 - - - - - -
48 Галереи и тоннели токопроводов, транспортеров, конвейеров; тоннели: кабельные, теплофикационные, масляные, пульповодов, водопроводные Г-0,0 - на полу VIIIг - 20 - - - - - -
49 Насосные подземные Г-0,8 VIIIв - 50 - - - - - -
50 Водонапорные башни Г-0,0 - на полу площадок и лестниц VIIIв - 50 - - - - - -
51 Помещения воздуходувок и компрессоров, решеток-дробилок, барабанных сеток и микрофильтров Г-0,8 VI - 200 25 20 - - - -
52 Помещения приготовления реагентов Г-0,8 VIIIа - 200 28 20 - - 1,8 0,6
53 Углевальные, фтораторные, хлордозаторные, аммонизаторные, озонаторные Г-0,8 VIIIа - 200 28 20 - - - -
54 Фильтровальные залы:
а) верхние площадки Г-0,0 - на полу VIIIа - 200 28 20 - - 1,8 0,6
б) нижние и промежуточные площадки В-1,0 - шкафы управления, задвижки, вентили VIIIб - 75 - - - - - -
55 Песколовки, биофильтры, преаэраторы, аэротенки, отстойники и другие сооружения очистки сточной воды:
а) в зданиях Поверхность сооружения VIIIг - 20 - - - - - -
б) вне зданий Поверхность сооружения XVII - 5 - - - - - -
56 Площадки механизмов, шкафов управления, распределительных камер, проходные площадки:
а) в зданиях Г-0,8 VIIIб - 75 - - - - - -
б) вне зданий Г-0,8 XV - 20 - - - - - -
57 Помещения вакуум-фильтров, центрифуг, фильтр-прессов Г-0,8 VI - 200 - - - - 1,8 0,6
58 Площадки гидроциклонов Г-0,8 VIIIа - 200 - - - - - -
59 Помещения сушки осадка (барабанные сушила) Г-0,8 VI - 200 - - - - 1,8 0,6
60 Камеры переключения метантенками В-1,0 VIIIб - 75 - - - - - -
61 Электролизерные Г-0,8 VIIIа - 200 - - - - 1,8 0,6
Склады
62 Склады, кладовые масел, лакокрасочных материалов:
а) с розливом на складе Г-0,0 - на полу VIIIб - 75 - - - - - -
б) без розлива на складе Г-0,0 - на полу VIIIв - 50 - - - - - -
63 Склады, кладовые химикатов, кислот, щелочей и т.п. Г-0,0 - на полу VIIIв - 50 - - - - - -
64 Склады, кладовые: металла; запчастей; ремонтного фонда; готовой продукции деталей, ожидающих ремонта, инструментальные Г-0,0 - на полу VIIIб - 75 - - - - - -
65 Склады со стеллажным хранением:
а) экспедиции приема и выдачи груза Г-0,8 IVв 400 200 25 20 4,0 1,5 2,4 0,9
б) транспортно-распределительные системы Г-0,0 - на полу IVв - 200 25 20 - - - -
в) зоны хранилищ: Г-0,0 - на полу VIIIв - 50 - - - - - -
- на ячейках и валах В VIIIб - 75 - - - - - -
- на стрелках В IVб - 300 25 20 - - - -
66 Склады, кладовые, открытые площадки под навесом Г-0,0 - на полу VIIIв - 50 - - - - - -
67 Склады громоздких предметов и сыпучих материалов (песка, цемента и др.) Г-0,0 - на полу VIIIб - 75 - - - - - -
68 Грузоподъемные механизмы (кран-балки, тельферы, мостовые краны и т.п.)
а) в помещении Г, В - пульт управления VIIIв - 50 - - - - - -
В - крюк крана; Г - площадки приема и подачи оборудования и деталей VIIIв - 50 - - - - - -
б) вне зданий Г, В - пульт управления XIII - 50 - - - - - -
В - крюк крана XV - 20 - - - - - -
Г - площадки приема и подачи оборудования, материалов, деталей XV - 20 - - - - - -
69 Сливо-наливные эстакады Г - пол площадки XV - 20 - - - - - -
Г - горловина цистерны XV - 20 - - - - - -
70 Помещения сортировки и комплектации грузов Г-0,8 IVб - 300 - - - - - -
71 Завозные кладовые Г-0,0 - на полу VIIIв - 50 - - - - - -
72 Рампы:
а) в здании Г-0,0 - на полу VIIIв - 50 - - - - - -
б) вне здания Г-0,0 - на полу XV - 20 - - - - - -
73 Дебаркадеры Г-0,0 - на полу VIIIб - 75 - - - - - -
Пожарные депо
74 Зоны стоянки подвижного состава Г-0,0 VIIIб - 75 28 - 3,0 1,0 0,7 0,2
75 Посты технического обслуживания Г-0,0 - 200 25 20 3,0 1,0 1,8 0,6
76 Аппаратные Г-0,8 IIIв 750 300 25 15 - - 3,0 1,2
77 Пункты связи Г-0,8 IIIб 1000 400 25 15 - - 3,0 1,2
78 Помещения зарядки регенеративных патронов Г-0,8 VI - 200 25 20 3,0 1,0 1,8 0,6
79 Помещения сушки рукавов Г-0,8 VIIIв - 50 - - - - - -
80 Помещения мойки рукавов Г-0,8 VI - 200 25 20 - - - -
Районные управления по эксплуатации зданий
81 Диспетчерские пункты Г-0,8 VIIIа - 200 2,8 20 - - 1,8 0,6
В-1,5 - пульты, щиты - 100 - - - - - -
Котельные
(в ред. Изменения N 1, утв. Приказом Минстроя РФ от 20.11.2019 N 699/пр)
82 Помещения котлов:                    
а) фронт котлов и бункерное отделение В - на топках, затворах VI - 100 <4> - - - - - -
б) помещение дымососов и дутьевых вентиляторов Г-0,8 VI - 100 <4> - - - - - -
в) площадки и лестницы котлов и экономайзеров Г-0,0 - на полу - - 50 - - - - - -
(в ред. Изменения N 1, утв. Приказом Минстроя РФ от 20.11.2019 N 699/пр)
83 Зольное помещение Г-0,0 - на полу VIIIб - 75 - - - - - -
(в ред. Изменения N 1, утв. Приказом Минстроя РФ от 20.11.2019 N 699/пр)
84 Мазутонасосная Г-0,8 VI - 100 <4> - - - - - -
(в ред. Изменения N 1, утв. Приказом Минстроя РФ от 20.11.2019 N 699/пр)
85 Угле- и торфоподача:                    
а) помещение дробильного отделения Г-0,8 VI - 100 <4> - - - - - -
б) узлы пересыпки Г-0,8 VIIIa - 200 - - - - - -
в) вагоноопрокидыватели Г-0,8 VIIIa - 200 - - - - - -
г) конвейеры в галереях Г-0,8 VIIIa - 200 - - - - - -
д) конвейеры в цехе (надбункерное отделение) Г - на ленте VIIIa - 200 - - - - - -
(в ред. Изменения N 1, утв. Приказом Минстроя РФ от 20.11.2019 N 699/пр)
86 Химводоочистка:                    
а) помещение предочистки Г-0,8 VIIIa - 200 - - - - - -
б) помещение фильтров В-1,5 VIIIa - 200 - - - - - -
в) помещение электродиализной установки Г-0,8 VIIIa - 200 - - - - - -
г) помещение под баками-нейтрализаторами Г-0,0 - на полу VIIIг - 20 - - - - - -
(в ред. Изменения N 1, утв. Приказом Минстроя РФ от 20.11.2019 N 699/пр)
87 Отдельно стоящие приборы, водомерные и маслоуказательные стекла, требующие постоянного наблюдения В - на приборах IVв 750 - - - - - - -
(в ред. Изменения N 1, утв. Приказом Минстроя РФ от 20.11.2019 N 699/пр)
88 Отдельно стоящие приборы, наблюдение за которыми осуществляется эпизодически В - на приборах IVг 200 - - - - - - -
(в ред. Изменения N 1, утв. Приказом Минстроя РФ от 20.11.2019 N 699/пр)

Примечания

1. Наличие нормируемых значений освещенности в графах "Освещенность рабочих поверхностей, лк, при комбинированном освещении" и "Освещенность рабочих поверхностей, лк, при общем освещении" указывает на возможность применения одной из этих систем. Предпочтительным является применение совмещенного освещения и системы комбинированного искусственного освещения.

2. Прочерки в таблице означают отсутствие предъявляемых требований.

<1> Отношение вертикальной освещенности к горизонтальной на уровне 1,0 м от покрытия должно быть не менее 1:1,5 по периметру ограждения стоянки.

<2> Предусмотреть розетки для переносного освещения.

<3> Норма дана с учетом переносного освещения.

<4> Освещенность понижена из-за кратковременного пребывания людей в помещении. (в ред. Изменения N 1, утв. Приказом Минстроя РФ от 20.11.2019 N 699/пр)

Приложение М

ОПРЕДЕЛЕНИЕ ПОКАЗАТЕЛЯ ОТНОСИТЕЛЬНОЙ УДЕЛЬНОЙ МОЩНОСТИ УСТАНОВКИ УТИЛИТАРНОГО НАРУЖНОГО ОСВЕЩЕНИЯ

(в ред. Изменения N 1, утв. Приказом Минстроя РФ от 20.11.2019 N 699/пр)

М.1 Относительную удельную мощность , Вт·, определяют для расчетного поля освещенности, выбираемого в соответствии с ГОСТ Р 55708, и рассчитывают по формуле

(М.1)

где - мощность j-го светильника, отнесенного к выбранному расчетному полю, Вт;

m - число светильников, отнесенных к выбранному расчетному полю;

- расчетное значение средней освещенности на поверхности i-го элемента учетного поля, лк;

- площадь i-го элемента расчетного поля, м2;

n - число элементов расчетного поля, учитываемых в расчете.

Примечание - При определении величины используют величину средней освещенности независимо от того, какая величина - средняя яркость или средняя освещенность - была выбрана в качестве основной при проектировании освещения данного объекта.

Для участка дороги или улицы со стандартной геометрией величина m равна суммарному числу светильников, установленных на одной опоре (для односторонней или центральной схемы расположения опор) или двух опорах (для двусторонней или шахматной схемы расположения опор).

Для участка улично-дорожной сети с нестандартной геометрией величина m равна суммарному числу светильников, освещающих такой участок.

В качестве примера на рисунке М.1 показан участок улицы, содержащий двухполосную проезжую часть и два тротуара, отделенные от нее полосами газона. Светильники расположены по односторонней схеме (справа по ходу движения транспорта) и установлены по два на каждой опоре: один направлен на проезжую часть, другой - на ближний тротуар. Между двумя соседними опорами выделено расчетное поле, содержащее три элемента (проезжую часть, левый и правый тротуары) с нанесенными расчетными точками, по которым определяют значения средней освещенности каждого элемента.

, и - элементы расчетного поля: проезжая часть, левый и правый тротуары улицы соответственно; и - светильники, направленные на проезжую часть и правый тротуар соответственно; l - полосы газона; "x" - расчетные точки на расчетном поле

Рисунок М.1 - Пример участка улицы для определения показателя

Для приведенного на рисунке М.1 примера показатель Dp рассчитывают по формуле

 

(М.2)

где и - мощности соответствующих светильников, Вт;

, и - расчетные значения средней освещенности на поверхности проезжей части, левого и правого тротуаров соответственно, лк;

, и - площади соответствующих элементов расчетного поля, м2.

Приложение Н

ОПРЕДЕЛЕНИЕ НАПРАВЛЕНИЙ ОГРАНИЧЕНИЯ СИЛЫ СВЕТА УКАЗАТЕЛЕЙ В АВТОДОРОЖНОМ ТОННЕЛЕ

(в ред. Изменения N 1, утв. Приказом Минстроя РФ от 20.11.2019 N 699/пр)

Направления, по которым ограничивается сила света световых эвакуационных указателей, лежат внутри конуса с раскрытием 2 x 15° относительно линии зрения водителя в пределах шага расстановки эвакуационных указателей. На рисунке Н.1 показаны (в плане) области ограничения силы света I указателей направления эвакуации.

Рисунок Н.1

Приложение П

ПРИМЕР РАСПОЛОЖЕНИЯ СИГНАЛЬНЫХ ОГНЕЙ В АВТОДОРОЖНОМ ТОННЕЛЕ

(в ред. Изменения N 1, утв. Приказом Минстроя РФ от 20.11.2019 N 699/пр)

Пример расположения сигнальных огней относительно эвакуационного выхода показан на рисунке П.1.

Рисунок П.1

БИБЛИОГРАФИЯ

(в ред. Изменения N 1, утв. Приказом Минстроя РФ от 20.11.2019 N 699/пр)

[1] Федеральный закон от 23 ноября 2009 г. N 261-ФЗ "Об энергосбережении и о повышении энергетической эффективности и о внесении изменений в отдельные законодательные акты Российской Федерации"

[2] Федеральный закон от 25 июня 2002 г. N 73-ФЗ "Об объектах культурного наследия (памятниках истории и культуры) народов Российской Федерации"

[3] Федеральный закон от 22 июля 2008 года N 123-ФЗ "Технический регламент о требованиях пожарной безопасности"

[4] Постановление Правительства Российской Федерации от 10 ноября 2017 г. N 1356 "Об утверждении требований к осветительным устройствам и электрическим лампам, используемым в цепях переменного тока в целях освещения" (в ред. Изменения N 1, утв. Приказом Минстроя РФ от 20.11.2019 N 699/пр)

[5] МУ 5046-89 Профилактическое ультрафиолетовое облучение людей (с применением искусственных источников ультрафиолетового излучения)

[6] ссылка исключена. (в ред. Изменения N 1, утв. Приказом Минстроя РФ от 20.11.2019 N 699/пр)

[7] ПУЭ Правила устройства электроустановок (6-е, 7-е изд.) (в ред. Изменения N 1, утв. Приказом Минстроя РФ от 20.11.2019 N 699/пр)

[8] ПДД РФ Правила дорожного движения Российской Федерации (утверждены постановлением Совета Министров - Правительства Российской Федерации от 23 октября 1993 г. N 1090) (в ред. Изменения N 1, утв. Приказом Минстроя РФ от 20.11.2019 N 699/пр)