Постановление Правительства РФ от 14.12.2019 N 1680

"Об утверждении Правил выплаты возмещения гражданам, являющимся членами жилищно-строительного кооператива или иного специализированного потребительского кооператива, который создан в соответствии со статьей 201.10 Федерального закона "О несостоятельности (банкротстве)" и которому были переданы права застройщика на объект незавершенного строительства и земельный участок"
Редакция от 09.04.2021 — Не действует Перейти в действующую
Показать изменения

ПРАВИТЕЛЬСТВО РОССИЙСКОЙ ФЕДЕРАЦИИ

ПОСТАНОВЛЕНИЕ
от 14 декабря 2019 г. N 1680

ОБ УТВЕРЖДЕНИИ ПРАВИЛ ВЫПЛАТЫ ВОЗМЕЩЕНИЯ ГРАЖДАНАМ, ЯВЛЯЮЩИМСЯ ЧЛЕНАМИ ЖИЛИЩНО-СТРОИТЕЛЬНОГО КООПЕРАТИВА ИЛИ ИНОГО СПЕЦИАЛИЗИРОВАННОГО ПОТРЕБИТЕЛЬСКОГО КООПЕРАТИВА, КОТОРЫЙ СОЗДАН В СООТВЕТСТВИИ СО СТАТЬЕЙ 201.10 ФЕДЕРАЛЬНОГО ЗАКОНА "О НЕСОСТОЯТЕЛЬНОСТИ (БАНКРОТСТВЕ)" И КОТОРОМУ БЫЛИ ПЕРЕДАНЫ ПРАВА ЗАСТРОЙЩИКА НА ОБЪЕКТ НЕЗАВЕРШЕННОГО СТРОИТЕЛЬСТВА И ЗЕМЕЛЬНЫЙ УЧАСТОК

(в ред. Постановлений Правительства РФ от 20.10.2020 N 1711, от 09.04.2021 N 566)

В соответствии с частью 5 статьи 13.3 Федерального закона "О публично-правовой компании по защите прав граждан-участников долевого строительства при несостоятельности (банкротстве) застройщиков и о внесении изменений в отдельные законодательные акты Российской Федерации" Правительство Российской Федерации постановляет:

Утвердить прилагаемые Правила выплаты возмещения гражданам, являющимся членами жилищно-строительного кооператива или иного специализированного потребительского кооператива, который создан в соответствии со статьей 201.10 Федерального закона "О несостоятельности (банкротстве)" и которому были переданы права застройщика на объект незавершенного строительства и земельный участок.

Председатель Правительства
Российской Федерации
Д. МЕДВЕДЕВ

УТВЕРЖДЕНЫ
постановлением Правительства
Российской Федерации
от 14 декабря 2019 г. N 1680

ПРАВИЛА ВЫПЛАТЫ ВОЗМЕЩЕНИЯ ГРАЖДАНАМ, ЯВЛЯЮЩИМСЯ ЧЛЕНАМИ ЖИЛИЩНО-СТРОИТЕЛЬНОГО КООПЕРАТИВА ИЛИ ИНОГО СПЕЦИАЛИЗИРОВАННОГО ПОТРЕБИТЕЛЬСКОГО КООПЕРАТИВА, КОТОРЫЙ СОЗДАН В СООТВЕТСТВИИ СО СТАТЬЕЙ 201.10 ФЕДЕРАЛЬНОГО ЗАКОНА "О НЕСОСТОЯТЕЛЬНОСТИ (БАНКРОТСТВЕ)" И КОТОРОМУ БЫЛИ ПЕРЕДАНЫ ПРАВА ЗАСТРОЙЩИКА НА ОБЪЕКТ НЕЗАВЕРШЕННОГО СТРОИТЕЛЬСТВА И ЗЕМЕЛЬНЫЙ УЧАСТОК

(в ред. Постановлений Правительства РФ от 20.10.2020 N 1711, от 09.04.2021 N 566)

1. Настоящие Правила устанавливают порядок выплаты возмещения гражданам, являющимся членами жилищно-строительного кооператива или иного специализированного потребительского кооператива, который создан в соответствии со статьей 201.10 Федерального закона "О несостоятельности (банкротстве)" и которому были переданы права застройщика на объект незавершенного строительства и земельный участок (далее соответственно - возмещение, кооператив), в том числе порядок обращения кооператива для выплаты возмещения, перечень документов, необходимых для выплаты возмещения, и основания принятия публично-правовой компанией "Фонд защиты прав граждан-участников долевого строительства" (далее - Фонд) решения о выплате возмещения гражданину-члену кооператива.

2. Под гражданином-членом кооператива в настоящих Правилах понимается являющийся членом кооператива гражданин, требования которого погашены в деле о банкротстве застройщика в связи с передачей кооперативу прав застройщика на объект незавершенного строительства и земельный участок и который имеет в отношении кооператива требования о передаче жилого помещения, машино-места и (или) нежилого помещения, определенного подпунктом 3.1 пункта 1 статьи 201.1 Федерального закона "О несостоятельности (банкротстве)" (далее - нежилое помещение), в многоквартирном доме, жилом доме блокированной застройки, состоящем из 3 и более блоков, здании (сооружении), предназначенном исключительно для размещения машино-мест (далее - объект строительства).

3. Кооператив вправе обратиться в Фонд для выплаты возмещения гражданам-членам кооператива в отношении одного или нескольких объектов строительства, в которых кооператив обязан передать таким гражданам жилые помещения, машино-места и (или) нежилые помещения.

4. Для выплаты возмещения гражданам-членам кооператива кооператив обращается в Фонд с заявлением (далее - заявление кооператива), к которому прилагаются следующие документы и сведения:

а) нотариально заверенная копия решения органа кооператива, уполномоченного в соответствии с уставом кооператива на принятие соответствующего решения, об обращении в Фонд;

б) нотариально заверенная копия устава кооператива;

в) нотариально заверенный реестр членов кооператива;

г) сведения об объекте строительства, в отношении которого кооператив обращается для выплаты возмещения гражданам-членам кооператива, в том числе сведения, идентифицирующие объект строительства;

д) перечень граждан-членов кооператива с указанием размера требований каждого гражданина-члена кооператива, погашенных в связи с передачей кооперативу прав застройщика на объект незавершенного строительства и земельный участок в соответствии с реестром требований участников строительства (реестром требований о передаче жилых помещений);

е) сведения о требованиях граждан-членов кооператива к кооперативу о передаче жилого помещения, машино-места и (или) нежилого помещения в объекте строительства с указанием сведений о каждом жилом помещении, машино-месте и нежилом помещении (в том числе сведений о площади помещения, машино-места), о передаче которых граждане-члены кооператива имеют требования, и соответствующем объекте строительства;

ж) сведения о внесении гражданами-членами кооператива паевых взносов с указанием размера таких взносов и неисполненных обязательств граждан-членов кооперативов по внесению таких взносов (при наличии указанных взносов и (или) обязательств).

5. Заявление кооператива с приложением документов и сведений, предусмотренных пунктом 4 настоящих Правил, направляется в Фонд заказным письмом с уведомлением о вручении либо через единую информационную систему жилищного строительства.

6. Фонд рассматривает заявление кооператива в течение 3 месяцев со дня его поступления.

7. В случае необходимости получения Фондом информации, подтверждающей достоверность представленных кооперативом сведений, у кооператива, граждан-членов кооператива и (или) иных лиц срок рассмотрения заявления кооператива Фондом может быть продлен на срок до одного месяца. О продлении указанного срока Фонд уведомляет кооператив заказным письмом с уведомлением о вручении либо через единую информационную систему жилищного строительства.

8. По результатам рассмотрения заявления кооператива Фонд принимает решение о выплате возмещения либо об отказе в выплате возмещения. Решение об отказе в выплате возмещения принимается Фондом при наличии одного из следующих оснований:

а) кооперативом не представлены документы и (или) сведения, предусмотренные пунктом 4 настоящих Правил;

б) Фондом на основании обращении кооператива, предусмотренного частью 1 статьи 13.3 Федерального закона "О публично-правовой компании по защите прав граждан-участников долевого строительства при несостоятельности (банкротстве) застройщиков и о внесении изменений в отдельные законодательные акты Российской Федерации" принято решение о финансировании мероприятий по завершению строительства объекта строительства, указанного в заявлении кооператива;

в) объект строительства, указанный в заявлении кооператива, введен в эксплуатацию;

г) кооператив признан банкротом и в отношении его открыто конкурсное производство.

9. Если решение об отказе в выплате возмещения принято Фондом по основанию, указанному в подпункте "а" пункта 8 настоящих Правил, кооператив вправе повторно обратиться в Фонд в порядке, установленном настоящими Правилами, в случае устранения основания принятия Фондом указанного решения.

10. Фонд не позднее 3 рабочих дней со дня принятия решения о выплате возмещения размещает на своем официальном сайте в информационно-телекоммуникационной сети "Интернет" сообщение о дате начала приема заявлений граждан-членов кооператива о выплате возмещения, а также о месте, времени, форме и порядке приема заявлений.

11. Граждане-члены кооператива вправе обратиться с заявлением о выплате возмещения в течение 3 лет со дня размещения сообщения, предусмотренного пунктом 10 настоящих Правил.

12. В случае обращения гражданина-члена кооператива с заявлением о выплате возмещения после истечения срока, указанного в пункте 11 настоящих Правил, выплата возмещения может осуществляться при наличии одного из следующих обстоятельств:

а) обращению с заявлением о выплате возмещения препятствовало чрезвычайное и непредотвратимое при указанных условиях обстоятельство (непреодолимая сила);

б) гражданин-член кооператива проходил (проходит) военную службу по призыву или находился (находится) в составе Вооруженных Сил Российской Федерации (других войск, воинских формирований, органов), переведенных на военное положение;

в) причина пропуска указанного срока связана со сроками принятия наследства либо иными уважительными обстоятельствами, связанными с личностью гражданина-члена кооператива (в том числе с его тяжелой болезнью, беспомощным состоянием).

13. При обращении в Фонд за выплатой возмещения гражданин-член кооператива представляет:

а) заявление о выплате возмещения по форме, утвержденной Фондом;

б) документ, удостоверяющий личность, либо его заверенную в установленном порядке копию;

в) заверенную кооперативом копию заявления гражданина-члена кооператива о выходе из кооператива в связи с выплатой возмещения Фондом, содержащего указание на переход к Фонду права требования к кооперативу о выдаче паевого взноса;

г) страховой номер индивидуального лицевого счета заявителя в системе обязательного пенсионного страхования, а также в случае использования для приобретения объекта недвижимости, в отношении которого Фонд выплачивает возмещение, средств материнского (семейного) капитала - страховой номер индивидуального лицевого счета в системе обязательного пенсионного страхования лица, получившего сертификат на материнский (семейный) капитал. (в ред. Постановления Правительства РФ от 20.10.2020 N 1711)

14. При обращении представителя гражданина-члена кооператива с заявлением о выплате возмещения наряду с документами, указанными в пункте 13 настоящих Правил, представляется также нотариально удостоверенная доверенность.

15. Фонд в течение 10 рабочих дней со дня представления гражданином-членом кооператива документов, указанных в пунктах 13 и 14 настоящих Правил, принимает решение о выплате возмещения гражданину-члену кооператива при наличии оснований, предусмотренных пунктом 16 настоящих Правил, а в случае отсутствия таких оснований в указанный срок уведомляет об этом гражданина-члена кооператива, подавшего заявление в Фонд.

16. Решение Фонда о выплате возмещения гражданину-члену кооператива принимается при наличии совокупности следующих оснований:

а) Фондом принято решение в соответствии с настоящими Правилами о выплате возмещения в отношении объекта строительства, в котором кооператив обязан передать гражданину-члену кооператива жилое помещение, машино-место и (или) нежилое помещение;

б) объект строительства, в котором кооператив обязан передать гражданину-члену кооператива жилое помещение, машино-место и (или) нежилое помещение, не введен в эксплуатацию;

в) отсутствует решение арбитражного суда о признании кооператива банкротом и об открытии в отношении его конкурсного производства;

г) гражданином-членом кооператива соблюден срок подачи заявления или гражданином-членом кооператива подтверждены обстоятельства, указанные в пункте 12 настоящих Правил.

17. Выплата возмещения гражданину-члену кооператива, имеющему требование о передаче жилого помещения, осуществляется в размере, определяемом в соответствии с методикой расчета размера возмещения гражданам, являющимся членами жилищно-строительного кооператива или иного специализированного потребительского кооператива, который создан в соответствии со статьей 201.10 Федерального закона "О несостоятельности (банкротстве)" и которому были переданы права застройщика на объект незавершенного строительства и земельный участок, имеющим требования о передаче жилых помещений, согласно приложению. Выплата возмещения гражданину-члену кооператива по требованиям, предусматривающим передачу машино-места или нежилого помещения, осуществляется в размере цены, уплаченной гражданином-членом кооператива застройщику, а также кооперативу в качестве паевого взноса для завершения строительства в соответствии с подпунктом 3 пункта 8 статьи 201.10 Федерального закона "О несостоятельности (банкротстве)". При расчете размера возмещения учитываются жилые помещения, машино-места и нежилые помещения только в объектах строительства, в отношении которых Фондом принято решение о выплате возмещения. (в ред. Постановления Правительства РФ от 20.10.2020 N 1711)

18. Пункт утратил силу. (в ред. Постановления Правительства РФ от 20.10.2020 N 1711)

19. Выплата возмещения осуществляется в валюте Российской Федерации.

20. Для приема от граждан-членов кооператива заявлений о выплате возмещения и иных необходимых документов и выплаты возмещения Фонд вправе осуществлять привлечение банков-агентов в порядке, установленном Правилами выплаты публично-правовой компанией "Фонд защиты прав граждан-участников долевого строительства" возмещения гражданам-участникам строительства по договорам, предусматривающим передачу жилых помещений, машино-мест и нежилых помещений, утвержденными постановлением Правительства Российской Федерации от 7 октября 2017 г. N 1233 "Об утверждении Правил выплаты публично-правовой компанией "Фонд защиты прав граждан-участников долевого строительства" возмещения гражданам-участникам строительства по договорам, предусматривающим передачу жилых помещений, машиномест и нежилых помещений".

ПРИЛОЖЕНИЕ
к Правилам выплаты возмещения гражданам,
являющимся членами жилищно-строительного
кооператива или иного специализированного
потребительского кооператива, который создан
в соответствии со статьей 20110 Федерального закона
"О несостоятельности (банкротстве)" и которому были
переданы права застройщика на объект
незавершенного строительства и земельный участок

МЕТОДИКА РАСЧЕТА РАЗМЕРА ВОЗМЕЩЕНИЯ ГРАЖДАНАМ, ЯВЛЯЮЩИМСЯ ЧЛЕНАМИ ЖИЛИЩНО-СТРОИТЕЛЬНОГО КООПЕРАТИВА ИЛИ ИНОГО СПЕЦИАЛИЗИРОВАННОГО ПОТРЕБИТЕЛЬСКОГО КООПЕРАТИВА, КОТОРЫЙ СОЗДАН В СООТВЕТСТВИИ СО СТАТЬЕЙ 201.10 ФЕДЕРАЛЬНОГО ЗАКОНА "О НЕСОСТОЯТЕЛЬНОСТИ (БАНКРОТСТВЕ)" И КОТОРОМУ БЫЛИ ПЕРЕДАНЫ ПРАВА ЗАСТРОЙЩИКА НА ОБЪЕКТ НЕЗАВЕРШЕННОГО СТРОИТЕЛЬСТВА И ЗЕМЕЛЬНЫЙ УЧАСТОК, ИМЕЮЩИМ ТРЕБОВАНИЯ О ПЕРЕДАЧЕ ЖИЛЫХ ПОМЕЩЕНИЙ

(в ред. Постановлений Правительства РФ от 20.10.2020 N 1711, от 09.04.2021 N 566)

Расчет размера возмещения гражданам, являющимся членами жилищно-строительного кооператива или иного специализированного потребительского кооператива, который создан в соответствии со статьей 201.10 Федерального закона "О несостоятельности (банкротстве)" и которому были переданы права застройщика на объект незавершенного строительства и земельный участок, имеющим требования о передаче жилого помещения в многоквартирном доме и (или) жилом доме блокированной застройки, состоящем из 3 и более блоков (далее соответственно - возмещение, гражданин-член кооператива, кооператив, жилое помещение, объект строительства), осуществляется в соответствии с частью 2 статьи 13 и частью 6 статьи 13.3 Федерального закона "О публично-правовой компании по защите прав граждан-участников долевого строительства при несостоятельности (банкротстве) застройщиков и о внесении изменений в отдельные законодательные акты Российской Федерации" в следующем порядке:

а) определяется размер возмещения исходя из рыночной стоимости 1 кв. метра равнозначного жилого помещения на первичном рынке () в отношении всех жилых помещений, подлежащих передаче кооперативом гражданину-члену кооператива в одном объекте строительства, по формуле: (в ред. Постановления Правительства РФ от 20.10.2020 N 1711)

,

где:

1, 2, ... n - жилое помещение в объекте строительства, подлежащее передаче гражданину-члену кооператива;

S - общая площадь жилого помещения в объекте строительства, подлежащего передаче гражданину-члену кооператива. Если общая площадь жилого помещения превышает 120 кв. метров, указывается площадь 120 кв. метров;

R - рыночная стоимость 1 кв. метра общей площади жилого помещения, равнозначного по отношению к жилому помещению, подлежащему передаче гражданину-члену кооператива, на первичном рынке. Рыночная стоимость 1 кв. метра определяется в соответствии с отчетом оценщика, привлеченного публично-правовой компанией "Фонд защиты прав граждан-участников долевого строительства" (далее - Фонд), на дату, которая не может быть более чем на 3 месяца ранее даты принятия Фондом решения о выплате возмещения. При этом для целей настоящей методики под равнозначным жилым помещением на первичном рынке понимается жилое помещение, в котором жилая площадь и количество комнат не меньше жилой площади и количества комнат жилого помещения, подлежащего передаче гражданину-члену кооператива по требованию к кооперативу о передаче жилого помещения, а объект строительства с равнозначным жилым помещением находится в границах муниципального образования и на той же стадии строительства, на которой находится объект строительства на дату обращения кооператива в Фонд с заявлением о выплате возмещения; (в ред. Постановления Правительства РФ от 20.10.2020 N 1711)

к - доля гражданина-члена кооператива в праве собственности на жилое помещение, которой он обладал бы после государственной регистрации права собственности (указывается в виде правильной простой дроби);

m - доля исполненных гражданином - членом кооператива обязательств по оплате жилого помещения и (или) по внесению паевых взносов в расчете на жилое помещение, которая определяется в следующем порядке: (в ред. Постановления Правительства РФ от 20.10.2020 N 1711)

при наличии в Фонде сведений, содержащихся в реестре требований участников строительства (реестре требований о передаче жилых помещений), о размере требования гражданина - члена кооператива о передаче жилого помещения в объекте строительства, установленного в деле о банкротстве застройщика на дату передачи кооперативу прав застройщика на объект строительства и земельный участок, по формуле: (в ред. Постановления Правительства РФ от 20.10.2020 N 1711)

, (в ред. Постановления Правительства РФ от 20.10.2020 N 1711)

где: (в ред. Постановления Правительства РФ от 20.10.2020 N 1711)

T - размер требования гражданина - члена кооператива о передаче жилого помещения в объекте строительства, установленного в деле о банкротстве застройщика на дату передачи кооперативу прав застройщика на объект строительства и земельный участок, в соответствии с реестром требований участников строительства (реестром требований о передаче жилых помещений); (в ред. Постановления Правительства РФ от 20.10.2020 N 1711)

- сумма денежных средств, подлежащих внесению гражданином - членом кооператива в качестве паевых взносов, в размере неисполненной части обязательств по оплате жилого помещения на основании подпункта 3 пункта 8 статьи 201.10 Федерального закона "О несостоятельности (банкротстве)" в расчете на жилое помещение; (в ред. Постановления Правительства РФ от 20.10.2020 N 1711)

- сумма денежных средств, фактически внесенных гражданином - членом кооператива в качестве паевых взносов в связи с наличием неисполненных обязательств по оплате жилого помещения на основании подпункта 3 пункта 8 статьи 201.10 Федерального закона "О несостоятельности (банкротстве)" в расчете на жилое помещение; (в ред. Постановления Правительства РФ от 20.10.2020 N 1711)

при отсутствии в Фонде сведений, содержащихся в реестре требований участников строительства (реестре требований о передаче жилых помещений), о размере требования гражданина - члена кооператива о передаче жилого помещения в объекте строительства, установленного в деле о банкротстве застройщика на дату передачи кооперативу прав застройщика на объект строительства и земельный участок, по формуле: (в ред. Постановления Правительства РФ от 20.10.2020 N 1711)

, (в ред. Постановления Правительства РФ от 09.04.2021 N 566)

где: (в ред. Постановления Правительства РФ от 20.10.2020 N 1711)

P - цена договора, предусматривающего передачу жилых помещений в многоквартирном доме и (или) жилом доме блокированной застройки, состоящем из 3 и более блоков, заключенного с застройщиком, права которого на объект строительства и земельный участок переданы кооперативу (далее - договор); (в ред. Постановления Правительства РФ от 20.10.2020 N 1711)

- сумма денежных средств, фактически уплаченных гражданином - членом кооператива застройщику, права которого на объект строительства и земельный участок переданы кооперативу, в счет цены договора; (в ред. Постановления Правительства РФ от 20.10.2020 N 1711)

- сумма денежных средств, фактически внесенных гражданином - членом кооператива в качестве паевых взносов в связи с наличием неисполненных обязательств по оплате жилого помещения на основании подпункта 3 пункта 8 статьи 201.10 Федерального закона "О несостоятельности (банкротстве)" в расчете на жилое помещение; (в ред. Постановления Правительства РФ от 20.10.2020 N 1711)

k - доля гражданина - члена кооператива в праве собственности на жилое помещение, которой он обладал бы после государственной регистрации права собственности (указывается в виде правильной простой дроби); (в ред. Постановления Правительства РФ от 09.04.2021 N 566)

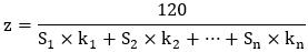
z - корректирующий коэффициент выплаты, определяемый по формуле:

.

В случае если сумма общих площадей жилых помещений в объекте строительства, подлежащих передаче гражданину-члену кооператива, не превышает 120 кв. метров, корректирующий коэффициент равен 1;

б) определяется размер возмещения исходя из размера паевых взносов гражданина - члена кооператива () применительно ко всем жилым помещениям в данном объекте строительства, сведения о которых были включены в реестр требований участников строительства (реестр требований о передаче жилых помещений) в деле о банкротстве застройщика, от которого кооперативу передан объект строительства и в отношении которых гражданин - член кооператива имеет требование к кооперативу, по формуле: (в ред. Постановления Правительства РФ от 20.10.2020 N 1711)

, (в ред. Постановления Правительства РФ от 20.10.2020 N 1711)

где: (в ред. Постановления Правительства РФ от 20.10.2020 N 1711)

1, 2, ... n - соответствующее жилое помещение в объекте строительства, подлежащее передаче гражданину - члену кооператива; (в ред. Постановления Правительства РФ от 20.10.2020 N 1711)

S - общая площадь жилого помещения в объекте строительства, подлежащего передаче гражданину - члену кооператива. Если общая площадь соответствующего жилого помещения превышает 120 кв. метров, значение принимается равным 120 кв. метрам; (в ред. Постановления Правительства РФ от 20.10.2020 N 1711)

D - стоимость 1 кв. метра общей площади жилого помещения в объекте строительства, подлежащего передаче гражданину - члену кооператива по требованию к кооперативу, исходя из размера паевых взносов гражданина - члена кооператива, внесенных при создании кооператива, определяемая по формуле: (в ред. Постановления Правительства РФ от 20.10.2020 N 1711)

, (в ред. Постановления Правительства РФ от 09.04.2021 N 566)

где: (в ред. Постановления Правительства РФ от 20.10.2020 N 1711)

T - размер требования гражданина о передаче жилого помещения в объекте строительства, погашенного в связи с передачей кооперативу прав застройщика на объект строительства и земельный участок в деле о банкротстве застройщика в соответствии с реестром требований участников строительства (реестром требований о передаче жилых помещений); (в ред. Постановления Правительства РФ от 20.10.2020 N 1711)

- сумма денежных средств, подлежащих внесению гражданином - членом кооператива в качестве паевых взносов, в размере неисполненной части обязательств по оплате жилого помещения на основании подпункта 3 пункта 8 статьи 201.10 Федерального закона "О несостоятельности (банкротстве)" в расчете на жилое помещение (без учета фактически внесенных денежных средств); (в ред. Постановления Правительства РФ от 20.10.2020 N 1711)

- общая площадь соответствующего жилого помещения в объекте строительства, подлежащего передаче гражданину - члену кооператива; (в ред. Постановления Правительства РФ от 20.10.2020 N 1711)

k - доля гражданина - члена кооператива в праве собственности на жилое помещение, которой он обладал бы после государственной регистрации права собственности (указывается в виде правильной простой дроби); (в ред. Постановления Правительства РФ от 20.10.2020 N 1711)

m - доля исполненного гражданином - членом кооператива обязательства по внесению паевых взносов в расчете на жилое помещение, определяемая по формуле: (в ред. Постановления Правительства РФ от 20.10.2020 N 1711)

, (в ред. Постановления Правительства РФ от 20.10.2020 N 1711)

где: (в ред. Постановления Правительства РФ от 20.10.2020 N 1711)

T - размер требования гражданина о передаче жилого помещения в объекте строительства, погашенного в связи с передачей кооперативу прав застройщика на объект незавершенного строительства и земельный участок в деле о банкротстве застройщика в соответствии с реестром требований участников строительства (реестром требований о передаче жилых помещений); (в ред. Постановления Правительства РФ от 20.10.2020 N 1711)

- сумма денежных средств, фактически внесенных гражданином - членом кооператива в качестве паевых взносов в связи с наличием неисполненных обязательств по оплате жилого помещения на основании подпункта 3 пункта 8 статьи 201.10 Федерального закона "О несостоятельности (банкротстве)" в расчете на жилое помещение; (в ред. Постановления Правительства РФ от 20.10.2020 N 1711)

E - стоимость 1 кв. метра общей площади жилого помещения в объекте строительства, подлежащего передаче гражданину - члену кооператива по требованию к кооперативу, исходя из размера паевых взносов, подлежащих внесению гражданином - членом кооператива в соответствии с уставом кооператива для завершения строительства объекта строительства на основании подпункта 3 пункта 8 статьи 201.10 Федерального закона "О несостоятельности (банкротстве)", определяемая по формуле: (в ред. Постановления Правительства РФ от 20.10.2020 N 1711)

, (в ред. Постановления Правительства РФ от 09.04.2021 N 566)

где: (в ред. Постановления Правительства РФ от 20.10.2020 N 1711)

- сумма денежных средств, подлежащих внесению гражданином - членом кооператива в соответствии с уставом кооператива для завершения строительства объекта строительства на основании подпункта 3 пункта 8 статьи 201.10 Федерального закона "О несостоятельности (банкротстве)" в расчете на жилое помещение (с учетом фактически внесенных денежных средств); (в ред. Постановления Правительства РФ от 20.10.2020 N 1711)

- общая площадь соответствующего жилого помещения в объекте строительства, подлежащего передаче гражданину - члену кооператива; (в ред. Постановления Правительства РФ от 20.10.2020 N 1711)

k - доля гражданина - члена кооператива в праве собственности на жилое помещение, которой он обладал бы после государственной регистрации права собственности (указывается в виде правильной простой дроби); (в ред. Постановления Правительства РФ от 09.04.2021 N 566)

о - доля исполненного гражданином - членом кооператива обязательства по внесению паевых взносов в соответствии с уставом кооператива для завершения строительства объекта строительства на основании подпункта 3 пункта 8 статьи 201.10 Федерального закона "О несостоятельности (банкротстве)" в расчете на жилое помещение, определяемая по формуле: (в ред. Постановления Правительства РФ от 20.10.2020 N 1711)

(в ред. Постановления Правительства РФ от 20.10.2020 N 1711)

- сумма денежных средств, фактически внесенных гражданином - членом кооператива в соответствии с уставом кооператива для завершения строительства на основании подпункта 3 пункта 8 статьи 201.10 Федерального закона "О несостоятельности (банкротстве)" в отношении жилого помещения; (в ред. Постановления Правительства РФ от 20.10.2020 N 1711)

- сумма денежных средств, подлежащих внесению гражданином - членом кооператива в соответствии с уставом кооператива для завершения строительства объекта строительства на основании подпункта 3 пункта 8 статьи 201.10 Федерального закона "О несостоятельности (банкротстве)" в расчете на жилое помещение (с учетом фактически внесенных денежных средств);

z - корректирующий коэффициент выплаты, определяемый по формуле:

. (в ред. Постановления Правительства РФ от 20.10.2020 N 1711)

В случае если сумма общих площадей жилых помещений в объекте строительства, подлежащих передаче гражданину - члену кооператива, не превышает 120 кв. метров, корректирующий коэффициент равен 1; (в ред. Постановления Правительства РФ от 20.10.2020 N 1711)

в) итоговый размер возмещения гражданину-члену кооператива принимается равным максимальному значению размера возмещения гражданину-члену кооператива из значений, полученных в результате расчета возмещения исходя из рыночной стоимости 1 кв. метра равнозначного жилого помещения на первичном рынке () и исходя из размера паевых взносов гражданина-члена кооператива ().