Свод правил. Мосты и трубы. Актуализированная редакция СНиП 2.05.03-84*. СП 35.13330.2011

(утв. Приказом Минрегиона РФ от 28.12.2010 N 822)
Редакция от 11.11.2019 — Не действует Перейти в действующую
Показать изменения

УТВЕРЖДЕН
Приказом Минрегиона РФ
от 28 декабря 2010 г. N 822

СВОД ПРАВИЛ

МОСТЫ И ТРУБЫ

АКТУАЛИЗИРОВАННАЯ РЕДАКЦИЯ
СНиП 2.05.03-84*

Bridges and culverts

СП 35.13330.2011

(в ред. Изменений N 1, утв. Приказом Минстроя РФ от 03.12.2016 N 879/пр, N 2, утв. Приказом Минстроя РФ от 11.11.2019 N 681/пр)

Дата введения
20 мая 2011 года

Предисловие

Цели и принципы стандартизации в Российской Федерации установлены Федеральным законом от 27 декабря 2002 г. N 184-ФЗ "О техническом регулировании", а правила разработки - Постановлением Правительства Российской Федерации от 19 ноября 2008 г. N 858 "О порядке разработки и утверждения сводов правил".

В связи с утратой силы Постановления Правительства РФ от 19.11.2008 N 858, следует руководствоваться принятым взамен Постановлением Правительства РФ от 01.07.2016 N 624.

Сведения о своде правил

1. Исполнитель - ОАО "ЦНИИС".

2. Внесен Техническим комитетом по стандартизации ТК 465 "Строительство".

3. Подготовлен к утверждению Департаментом архитектуры, строительства и градостроительной политики.

4. Утвержден Приказом Министерства регионального развития Российской Федерации (Минрегион России) от 28 декабря 2010 г. N 822 и введен в действие с 20 мая 2011 г.

5. Зарегистрирован Федеральным агентством по техническому регулированию и метрологии (Росстандарт). Пересмотр СП 35.13330.2010.

Информация об изменениях к настоящему своду правил публикуется в ежегодно издаваемом информационном указателе "Национальные стандарты", а текст изменений и поправок - в ежемесячно издаваемых информационных указателях "Национальные стандарты". В случае пересмотра (замены) или отмены настоящего свода правил соответствующее уведомление будет опубликовано в ежемесячно издаваемом информационном указателе "Национальные стандарты". Соответствующая информация, уведомление и тексты размещаются также в информационной системе общего пользования - на официальном сайте разработчика (Минрегион России) в сети Интернет.

Введение

Настоящий свод правил составлен с целью повышения уровня безопасности людей в зданиях и сооружениях и сохранности материальных ценностей в соответствии с Федеральным законом от 30 декабря 2009 г. N 384-ФЗ "Технический регламент о безопасности зданий и сооружений", повышения уровня гармонизации нормативных требований с европейскими и международными нормативными документами, применения единых методов определения эксплуатационных характеристик и методов оценки. Учитывались также требования Федерального закона от 22 июля 2008 г. N 123-ФЗ "Технический регламент о требованиях пожарной безопасности" и сводов правил системы противопожарной защиты.

Свод правил содержит нормы по проектированию новых и реконструкции существующих мостовых сооружений и труб под насыпями.

Работа выполнена авторским коллективом: ОАО "ЦНИИС" (д-р техн. наук А.А. Цернант; кандидаты техн. наук Ю.В. Новак, Ю.М. Егорушкин, Э.А. Балючик, В.Г. Гребенчук, А.Д. Соколов; д-р техн. наук А.С. Платонов; инженеры Ю.М. Жуков, Р.И. Рубинчик, А.В. Кручинкин) при участии: МАДИ (д-р техн. наук А.И. Васильев), ООО "НПП СК МОСТ" (канд. техн. наук И.Д. Сахарова), ООО "Союздорпроект" (инженер Ф.В. Винокур), ФГУП "РОСДОРНИИ" (д-р техн. наук В.И. Шестериков), ЗАО НПКТБ "Оптимизация" (д-р техн. наук М.Б. Краковский), ОАО "ВНИИЖТ" (канд. техн. наук А.А. Дорошкевич).

Изменение N 1 подготовлено: АО "ЦНИИС" (кандидаты техн. наук Ю.М. Егорушкин - ответственный исполнитель, Н.В. Илюшин, Ю.В. Новак, В.Г. Гребенчук, А.Д. Соколов; инженеры В.В. Одинцов, В.И. Звирь, Р.И. Рубинчик, Н.Ю. Новак, А.А. Гладков); ООО "ИЦ "МиТ" (инженер Ф.В. Винокур); "НПП СК МОСТ" (канд. техн. наук И.Д. Сахарова); ЗАО "Институт ИМИДИС" (д-р техн. наук А.И. Васильев, канд. техн. наук А.С. Бейвель); ОАО "Институт Гипростроймост" (инженер Э.М. Гитман); ЗАО "НИЦ "Мосты" (канд. техн. наук Э.А. Балючик); АО "ВНИИЖТ" (канд. техн. наук А.А. Дорошкевич). (в ред. Изменения N 1, утв. Приказом Минстроя РФ от 03.12.2016 N 879/пр)

Изменение N 2 к настоящему своду правил разработано авторским коллективом: "ЗАО "Институт "ИМИДИС" (канд. техн. наук А.С. Бейвель), ФГУП "ЦАГИ" (канд. техн. наук А.В. Панков), АО "НПО "Стеклопластик" (канд. техн. наук А.Ф. Косолапов), Союзкомпозит (С.Ю. Ветохин, А.В. Гералтовский), ОАО "Композит Сольюшен" (канд. техн. наук В.П. Полиновский). (в ред. Изменения N 2, утв. Приказа Минстроя РФ от 11.11.2019 N 681/пр)

1. Область применения

Настоящий свод правил распространяется на проектирование новых, реконструируемых и подвергаемых капитальному ремонту постоянных мостовых сооружений (далее - мостов) и труб: (в ред. Изменения N 1, утв. Приказом Минстроя РФ от 03.12.2016 N 879/пр)

на автомобильных дорогах, включая внутрихозяйственные дороги сельскохозяйственных и промышленных предприятий, на улицах и дорогах населенных пунктов;

на железных дорогах колеи 1520 мм при движении пассажирских поездов со скоростями до 200 км/ч, линиях метрополитена и трамвая;

на дорогах под совмещенное движение транспортных средств - автомобильных и поездов железных дорог, трамваев и метрополитена;

на пешеходных дорогах.

Данные нормы не распространяются на проектирование:

механизмов разводных пролетов мостов;

мостов и труб на автомобильных дорогах лесозаготовительных и лесохозяйственных организаций, не выходящих на сеть дорог общего пользования и к водным путям; (в ред. Изменения N 1, утв. Приказом Минстроя РФ от 03.12.2016 N 879/пр)

галерей, конструкций для пропуска селей, служебных эстакад;

коммуникационных мостов, не предназначенных для пропуска транспортных средств и пешеходов.

2. Нормативные ссылки

В настоящем своде правил использованы ссылки на нормативные документы, приведенные в Приложении А.

Примечание. При пользовании настоящим сводом правил целесообразно проверить действие ссылочных стандартов и классификаторов в информационной системе общего пользования - на официальном сайте национального органа Российской Федерации по стандартизации в сети Интернет или по ежегодно издаваемому указателю "Национальные стандарты", который опубликован по состоянию на 1 января текущего года, и по соответствующим ежемесячно издаваемым информационным указателям, опубликованным в текущем году. Если ссылочный документ заменен (изменен), то при пользовании настоящим сводом правил следует руководствоваться замененным (измененным) документом. Если ссылочный документ отменен без замены, то положение, в котором дана ссылка на него, применяется в части, не затрагивающей эту ссылку.

3. Термины и определения

В настоящем нормативном документе применены термины и соответствующие определения, приведенные в Приложении Б.

4. Обозначения

Основные буквенные обозначения, принятые в настоящем документе, приведены в Приложении В.

5. Основные положения

Общие указания

5.1. Мосты и трубы следует проектировать капитального типа. При проектировании новых, реконструируемых и подвергаемых капитальному ремонту мостов и труб следует: (в ред. Изменения N 1, утв. Приказом Минстроя РФ от 03.12.2016 N 879/пр)

выполнять требования по обеспечению надежности, долговечности сооружений, а также безопасности и плавности движения транспортных средств, безопасности для пешеходов и охране труда в процессе строительства и эксплуатации; (в ред. Изменения N 1, утв. Приказом Минстроя РФ от 03.12.2016 N 879/пр)

предусматривать возможность попадания маломобильных групп населения на тротуары и пешеходные мосты;

предусматривать безопасный пропуск расчетных (согласно таблице 5.3) паводков и ледохода на водотоках, а также на водных путях - выполнение требований судоходства и лесосплава;

принимать проектные решения, обеспечивающие экономное расходование материалов, экономию топливных и энергетических ресурсов, снижение стоимости и трудоемкости строительства и эксплуатации;

стремиться к применению новых строительных материалов и технологий; (в ред. Изменения N 1, утв. Приказом Минстроя РФ от 03.12.2016 N 879/пр)

предусматривать использование деталей, изделий и материалов, отвечающих требованиям сводов правил; (в ред. Изменения N 1, утв. Приказом Минстроя РФ от 03.12.2016 N 879/пр)

учитывать перспективы развития транспортных средств и дорожной сети, реконструкции имеющихся и строительства новых подземных и наземных коммуникаций, благоустройства и планировки населенных пунктов, освоения земель в сельскохозяйственных целях;

предусматривать меры по охране окружающей среды (в том числе по предотвращению заболачивания, проявления термокарстовых, эрозионных, наледных и других опасных процессов), по поддержанию экологического равновесия и охране рыбных запасов;

предусматривать разработку технологических регламентов, необходимых для реализации принятых конструктивно-технологических решений.

Основные технические решения, принимаемые в проектной документации новых и реконструируемых мостов и труб, следует обосновывать путем сравнения технико-экономических показателей конкурентоспособных вариантов. (в ред. Изменения N 1, утв. Приказом Минстроя РФ от 03.12.2016 N 879/пр)

5.2. Основания и фундаменты, опоры, пролетные строения, опорные части, элементы мостового полотна, эксплуатационные обустройства, а также водопропускные трубы должны удовлетворять проектной долговечности. (в ред. Изменения N 1, утв. Приказом Минстроя РФ от 03.12.2016 N 879/пр)

Минимальные проектные сроки службы и сроки до первого ремонта мостов и водопропускных труб приведены в Приложении 6. (в ред. Изменения N 1, утв. Приказом Минстроя РФ от 03.12.2016 N 879/пр)

Срок службы несущих конструкций сооружения после реконструкции следует определять в техническом задании, но он не может быть меньше 25 лет. (в ред. Изменения N 1, утв. Приказом Минстроя РФ от 03.12.2016 N 879/пр)

Сроки службы при соответствующем технико-экономическом обосновании могут быть изменены в процессе эксплуатации в случаях: (в ред. Изменения N 1, утв. Приказом Минстроя РФ от 03.12.2016 N 879/пр)

- замены конструкций при кардинальном изменении архитектурно-планировочных решений в районе мостового перехода, связанных в том числе с возрастанием интенсивности движения транспортных средств и пешеходов; (в ред. Изменения N 1, утв. Приказом Минстроя РФ от 03.12.2016 N 879/пр)

- замены конструкций вследствие непредвиденных катастрофических повреждений и разрушений; (в ред. Изменения N 1, утв. Приказом Минстроя РФ от 03.12.2016 N 879/пр)

- выполнения мероприятий по усилению и защите несущих конструкций. (в ред. Изменения N 1, утв. Приказом Минстроя РФ от 03.12.2016 N 879/пр)

5.3. При реконструкции мостов и труб следует учитывать их физическое состояние, грузоподъемность конструкций, продолжительность и режим эксплуатации сооружений после реконструкции.

При строительстве вторых путей следует учитывать конструктивные особенности и опыт эксплуатации сооружений на действующем пути.

5.4 При проектировании новых, реконструкции и капитальном ремонте существующих пешеходных мостов могут применяться полимерные композитные материалы (далее - полимерные композиты), в том числе в пролетных строениях пешеходных мостов. (в ред. Изменения N 2, утв. Приказа Минстроя РФ от 11.11.2019 N 681/пр)

Допускается применение полимерных композитов в настилах (плитах) проезжей и прохожей части, пандусах, перилах, лестничных сходах, водоотводных лотках и вспомогательных устройствах пешеходных и автодорожных мостов, а также безбалластных плитах железнодорожных мостов. (в ред. Изменения N 2, утв. Приказа Минстроя РФ от 11.11.2019 N 681/пр)

Водопропускные трубы из полимерных композитов по ГОСТ 33123 могут применяться на периодических и постоянных водотоках, а также при реконструкции всех типов труб. (в ред. Изменения N 2, утв. Приказа Минстроя РФ от 11.11.2019 N 681/пр)

При проектировании пешеходных мостов, а также при реконструкции и усилении мостов (кроме железнодорожных) допускается применять полимерно-композиционные материалы.

Трубы под насыпями и засыпные мосты допускается проектировать с использованием металлических гофрированных элементов.

Не допускается проектировать:

деревянные трубы;

деревянные мосты на путях и дорогах, предназначенных для перевозки горячих грузов (жидкого чугуна, шлака и т.п.).

Деревянные мосты допускается проектировать на автомобильных дорогах IV и V категорий по ГОСТ Р 52398.

Расположение мостов и труб

5.5. Выбор места перехода, положение сооружения в плане и профиле, разбивку мостов на пролеты следует производить с учетом условий трассирования дороги, принятых градостроительно-планировочных решений, а также опасных геологических процессов, русловых, гидрогеологических, экологических, ландшафтных и других местных условий, влияющих на технико-экономические и эксплуатационные показатели соответствующего участка дороги (линии).

При выборе места мостового перехода через судоходные реки по возможности следует:

мост располагать перпендикулярно течению воды (с косиной не более 10°) на прямолинейном участке с устойчивым руслом, в месте с неширокой (малозатопляемой) поймой, удаленном от перекатов на расстоянии не менее 1,5 длины расчетного судового или плотового состава;

середину судоходных пролетов совмещать с осью соответствующего судового хода, учитывая возможные русловые переформирования и смещения за расчетный период службы моста;

обеспечивать взаимопараллельность оси судового хода, направления течения воды и плоскостей опор, обращенных в сторону судоходных пролетов;

отклонение от параллельности судового хода и направления течения реки принимать не более 10°;

не допускать увеличения скорости течения воды в русле при расчетном судоходном уровне, вызванного строительством мостового перехода, свыше 20% при скорости течения воды в естественных условиях до 2 м/с и 10% - при скорости свыше 2,4 м/с (при скорости течения воды в естественных условиях выше 2 м/с до 2,4 м/с процент допускаемого увеличения средней скорости следует определять по интерполяции);

поперечное сечение опор моста в пределах затопления до отметки уровня воды (с учетом влияния подпора и волны) при максимальном расходе наибольшего паводка, как правило, предусматривать обтекаемым.

5.6. Число и размеры водопропускных сооружений на пересечении водотока следует определять на основе гидравлических расчетов, при этом необходимо учитывать последующее влияние сооружения на окружающую среду.

Пропуск вод нескольких водотоков через одно сооружение должен быть обоснован, а при наличии вечномерзлых грунтов, селевого стока, лессовых грунтов и возможности образования наледи - не допускается.

5.7. Железнодорожные мосты с устройством рельсового пути на балласте, малые и средние автодорожные и городские мосты, а также трубы разрешается располагать на участках дороги (улицы) с любым профилем и планом, принятыми для проектируемой дороги (улицы).

Железнодорожные мосты с безбалластной проезжей частью следует располагать на прямых участках пути, горизонтальных площадках или уклонах не круче 4‰. Расположение таких мостов на уклонах круче 4‰, а на железных дорогах предприятий - также на кривых в плане допускается только при технико-экономическом обосновании.

Продольный уклон проезжей части больших мостов должен быть не более, ‰:

30 - для автодорожных мостов;

60 - для городских мостов;

20 - для всех мостов с деревянным настилом;

150 - для мостов в горной местности.

При необходимости расположения мостового сооружения на уклонах более 40‰ следует применять покрытия проезжей части с повышенной шероховатостью и ограждения с повышенной удерживающей способностью.

Примечание. Здесь и далее принято: малые мосты - длиной до 25 м включительно, средние мосты - длиной свыше 25 м до 100 м включительно, большие мосты - длиной свыше 100 м. Автодорожные, в том числе городские, мосты длиной менее 100 м, но пролетами свыше 60 м также относятся к большим мостам.

5.8. Толщину засыпки над звеньями или плитами перекрытия труб (включая пешеходные тоннели), а также над сводами мостов следует принимать не менее указанной в таблице 5.1.

Таблица 5.1

Дороги Толщина засыпки <*>, м, над
железобетонными трубами трубами и мостами из металлических гофрированных элементов сводами мостов
Железные дороги:
общей сети и подъездные пути предприятий 1,0 1,2 0,7
внутренние пути предприятий 0,4 1,0 0,7
Автомобильные дороги общего пользования, дороги и улицы в городах, поселках и сельских населенных пунктах, а также промышленных предприятий 0,5 0,5 <**> 0,5
Внутрихозяйственные автомобильные в сельскохозяйственных предприятиях и организациях, дороги местного значения 0,2 <***> - -
<*> Считая от верха звена (плиты перекрытия) трубы или от верхней точки свода до подошвы рельсов - на железных дорогах и до низа монолитных слоев или сборных плит дорожной одежды - на автомобильных дорогах.
(в ред. Изменения N 1, утв. Приказом Минстроя РФ от 03.12.2016 N 879/пр)
<**> Но не менее 0,8 м от верха звена трубы до поверхности дорожного покрытия.
<***> Но не менее 0,5 м до уровня бровки земляного полотна.
Примечание. Толщину засыпки над железобетонными трубами и пешеходными тоннелями, расположенными в пределах железнодорожных станций, допускается принимать менее 1,0 м.
В обоснованных случаях на улицах и автомобильных дорогах толщину засыпки над трубами и закрытыми лотками допускается принимать менее 0,5 м. Во всех случаях при уменьшенной толщине засыпки должны выполняться содержащиеся в 6.22 указания по учету динамического воздействия временных нагрузок.

(в ред. Изменения N 1, утв. Приказом Минстроя РФ от 03.12.2016 N 879/пр)

Основные требования к конструкциям

5.9. Конструктивные, архитектурные и объемно-планировочные решения мостовых сооружений и труб, применяемые материалы и изделия должны быть технологически целесообразными и исполнимыми при строительстве, текущем содержании в период эксплуатации, при ремонтах и реконструкции.

В проектах железнодорожных мостов и труб следует предусматривать возможность использования их при строительстве вторых путей и замене пролетных строений на эксплуатируемой сети.

При применении в конструкциях сооружений типовых элементов или стандартных деталей необходимо учитывать установленные для них допустимые отклонения формы и геометрических размеров согласно ГОСТ 26607. Для нетиповых элементов и нестандартных изделий при соответствующем обосновании могут быть установлены свои значения допустимых отклонений.

5.10. Основные размеры пролетных строений и опор новых мостовых сооружений, а также массу и размеры элементов сборных конструкций следует назначать с учетом условий изготовления и возможности использования при монтаже и перевозке общестроительных и специализированных кранов и транспортных средств серийного производства.

5.11. Конструкции деформационных устройств (опорных частей, шарниров, деформационных швов, уравнительных приборов, сезонных уравнительных рельсов) и их расположение должны обеспечивать необходимую свободу предусматриваемых взаимных перемещений (линейных, угловых) отдельных частей (элементов) сооружения.

Проектная документация должна содержать указания по установке деформационных устройств с учетом степени готовности сооружения и температуры воздуха (конструкции) во время замыкания конструкции согласно требованиям 6.27.

5.12. На мостовых переходах при необходимости регулирования направления потока и предотвращения подмывов (размывов) следует предусматривать струенаправляющие и берегоукрепительные сооружения.

Струенаправляющие дамбы следует предусматривать при пойменном расходе воды не менее 15% расчетного расхода или при средних расчетных скоростях течения воды под мостом до размыва свыше 1 м/с, а также при соответствующих ситуационных особенностях перехода (прижимных течениях, перекрытиях протоков и т.п.).

Для труб и мостов на основании гидравлических расчетов следует предусматривать углубление, планировку и укрепление русел, устройства, препятствующие накоплению наносов, а также устройства для гашения скоростей протекающей воды на входе и выходе.

При использовании принципа строительства с сохранением вечной мерзлоты возведение струенаправляющих и берегоукрепительных сооружений не должно вызывать изменений бытового режима водотока состояния вечномерзлых грунтов в основании, нарушений условий протекания грунтовых вод, местных застоев воды. (в ред. Изменения N 1, утв. Приказом Минстроя РФ от 03.12.2016 N 879/пр)

5.13. Отверстие (и высоту в свету) труб следует назначать, как правило, не менее, м:

1,0 - при длине трубы (или при расстоянии между смотровыми колодцами в междупутье на станциях) до 20 м;

1,25 - при длине трубы 20 м и более.

Отверстия труб на автомобильных дорогах ниже II категории допускается принимать равными, м:

1,0 - при длине трубы до 30 м;

0,75 - при длине трубы до 15 м;

0,5 - на съездах при устройстве в пределах трубы быстротока (уклон 10‰ и более) и ограждений на входе.

В обоснованных случаях на улицах и дорогах местного значения, а также в районах орошаемого земледелия, в поселках и сельских населенных пунктах на автомобильных дорогах ниже II-с категории допускается применение труб отверстием 0,5 м при длине трубы до 15 м, устройство в пределах трубы быстротока (уклон 10‰ и более) и ограждения на входе.

Отверстия труб на внутрихозяйственных автомобильных дорогах при длине трубы 10 м и менее допускается принимать 0,5 м.

Отверстия труб на железных дорогах общей сети и автомобильных дорогах общего пользования в районах со средней температурой наружного воздуха наиболее холодной пятидневки ниже минус 40 °C (с обеспеченностью 0,92 по СП 131.13330) следует назначать не менее 1,5 м независимо от длины трубы. (в ред. Изменения N 1, утв. Приказом Минстроя РФ от 03.12.2016 N 879/пр)

Отверстия труб и малых мостов допускается увеличивать для использования их в качестве пешеходных переходов, скотопрогонов и для пропуска сельскохозяйственных машин с обеспечением соответствующих габаритов.

5.14. Для водопропускных труб следует, как правило, предусматривать безнапорный режим работы. Допускается предусматривать полунапорный и напорный режимы работы водопропускных труб, располагаемых на железных дорогах общей сети, для пропуска только наибольшего расхода, на всех остальных дорогах - расчетного расхода по 5.25. При этом под оголовками и звеньями следует предусматривать фундаменты, а при необходимости - также противофильтрационные экраны. При напорном режиме следует предусматривать специальные входные оголовки и обеспечивать водонепроницаемость швов между торцами звеньев и секциями фундаментов, надежное укрепление русла, устойчивость насыпи против напора и фильтрации воды.

Для труб, расположенных в районах со средней температурой наружного воздуха наиболее холодной пятидневки ниже минус 40 °C, не допускается предусматривать полунапорный и напорный режимы работы, за исключением случаев расположения труб на скальных грунтах.

5.15. Водопропускные трубы, как правило, следует проектировать с входными и выходными оголовками, форма и размеры которых обеспечивают принятые в расчетах условия протекания воды и устойчивость насыпи, окружающей трубу. (в ред. Изменения N 1, утв. Приказом Минстроя РФ от 03.12.2016 N 879/пр)

Металлические гофрированные трубы допускается проектировать без устройства оголовков. При этом нижняя часть несрезаемой трубы должна выступать из насыпи на уровне ее подошвы не менее чем на 0,2 м, а сечение трубы со срезанным концом должно выступать из тела насыпи не менее чем на 0,5 м.

5.16. Применять трубы не допускается при наличии ледохода и карчехода, а также, как правило, в местах возможного возникновения селей и образования наледи.

В местах возможного образования наледи в виде исключения может быть допущено применение прямоугольных железобетонных труб (шириной не менее 3 м и высотой не менее 2 м) в комплексе с постоянными противоналедными сооружениями.

При этом боковые стенки трубы должны быть массивными бетонными.

Для пропуска селевых потоков следует предусматривать однопролетные мосты отверстиями не менее 4 м или селеспуски с минимальным стеснением потока.

5.17. В проектной документации должны быть предусмотрены мероприятия по защите элементов и частей мостов и труб от повреждений при отсыпке насыпи и укреплении откосов, от засорения и загрязнения, вредных воздействий агрессивных сред, высоких температур, блуждающих токов и т.п.

5.18. Для вновь проектируемых мостов расстояния между соседними главными фермами (балками) следует назначать из условий обеспечения осмотра, текущего содержания.

При раздельных пролетных строениях (под каждый путь или проезжую часть одного направления движения транспортных средств) расстояние в свету следует назначать не менее, м: 1,0 - между смежными главными фермами (балками) и 0,20 - между гранями плит проезжей части.

5.19. В конструктивных решениях, принимаемых для малых железнодорожных мостов с ездой на балласте, должна быть предусмотрена возможность подъема пути при его капитальном ремонте.

Габариты

5.20. Габариты приближения конструкций проектируемых сооружений должны удовлетворять требованиям:

на железных дорогах - ГОСТ 9238;

на линиях метрополитена - ГОСТ 23961;

на автомобильных дорогах общего пользования, внутрихозяйственных дорогах, на дорогах промышленных предприятий, а также на улицах и дорогах в населенных пунктах - ГОСТ Р 52748.

Если в утвержденном проекте планировки территории или в техническом задании на проектирование предусматривается перевод дороги в более высокую категорию, габариты приближения конструкций проектируемых сооружений, а также их грузоподъемность должны соответствовать требованиям, предусмотренным для сооружений на дорогах более высокой категории. (в ред. Изменения N 1, утв. Приказом Минстроя РФ от 03.12.2016 N 879/пр)

5.21. Ширину пешеходных мостов и сооружений тоннельного типа следует определять в зависимости от расчетной перспективной интенсивности движения пешеходов в час пик и принимать не менее, м: 2,25 - для мостов и 3,0 - для тоннелей (в городских условиях соответственно - 3,0 и 4,0).

Высота пешеходных тоннелей и надземных закрытых переходов должна быть не менее 2,30 м в свету.

Среднюю расчетную пропускную способность 1 м ширины следует принимать для пешеходных мостов и тоннелей - 2000 чел./ч, для лестниц - 1500 чел./ч.

Габариты сооружений для пропуска полевых дорог и прогона скота (миграции диких животных) при отсутствии специальных требований следует принимать, м:

а) для полевых дорог: высоту не менее 4,5, ширину - 6,0, но не менее максимальной ширины, увеличенной на 1,0 м, сельскохозяйственных машин, движение которых возможно на дороге;

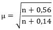
б) для прогона скота: высоту не менее 3,0, ширину - по формуле , где - длина скотопрогона, но не менее 4,0 для автомобильных дорог, для железных дорог - по СП 119.13330. (в ред. Изменения N 1, утв. Приказом Минстроя РФ от 03.12.2016 N 879/пр)

Полевая дорога или дорога для прогона скота, проходящая под пролетом моста или в трубе под насыпью, должна быть укреплена по всей ее ширине и на участках длиной не менее 10,0 м в каждую сторону от сооружения. При необходимости у сооружений устраивают направляющие ограждения.

5.22. Габариты подмостовых судоходных пролетов на внутренних водных путях следует принимать в соответствии с ГОСТ 26775. При строительстве мостов под второй путь или дополнительные полосы движения автотранспорта (при расширении существующих мостовых переходов) подмостовые габариты следует принимать на основании технико-экономических расчетов с учетом подмостовых габаритов существующих мостов.

5.23. Положение элементов моста над уровнями воды и ледохода на несудоходных и несплавных водотоках, а также в несудоходных пролетах мостов на судоходных водных путях следует определять в зависимости от местных условий и принятой схемы моста. Размеры возвышений отдельных элементов моста над соответствующими уровнями воды и ледохода во всех случаях не должны быть менее величин, указанных в таблице 5.2.

Таблица 5.2
 

Часть или элемент моста Возвышение частей или элементов, м
над уровнем воды (с учетом влияния подпора и волны) при максимальных расходах паводков над наивысшим уровнем ледохода
расчетных для мостов наибольших
на железных дорогах общей сети на остальных железных дорогах и на всех автомобильных дорогах
Низ пролетных строений:
а) при глубине подпертой воды 1 м и менее 0,50 0,50 0,25 -
б) то же, свыше 1 м 0,75 0,50 0,25 0,75
в) при наличии на реке заторов льда 1,00 0,75 0,75 1,00
г) при наличии карчехода 1,50 1,00 1,00 -
д) при селевых потоках - 1,00 1,00 -
Верх площадки для установки опорных частей 0,25 0,25 - 0,50
Низ пят арок и сводов 0,25 - - 0,25
Низ продольных схваток и выступающих элементов конструкций в пролетах деревянных мостов 0,25 0,25 - 0,75
Примечания. 1. Для малых мостов наименьшее возвышение низа пролетных строений допускается определять без учета высоты ветровой волны.
2. При наличии явлений, вызывающих более высокие уровни воды вследствие подпора от нижележащих рек, озер или водохранилищ, нагона воды ветром, образования заторов или прохождения паводков по руслам, покрытым льдом, и др., указанные в таблице возвышения следует отсчитывать от этого уровня, вероятность превышения которого устанавливается в соответствии с таблицей 5.3.
3. При определении возвышения верха площадки для установки опорных частей уровень воды необходимо определять с учетом набега потока на опору моста.

Таблица 5.3
 

Железные дороги Автомобильные дороги, городские улицы и дороги
Сооружения Категория дороги Вероятность превышения максимальных расходов паводков, % Сооружения Категория дороги Вероятность превышения максимальных расходов паводков, %
расчетных наибольших
Мосты и трубы I и II (общей сети) 1 0,33 Большие и средние мосты I - III, I-в, I-к, II-к и городские улицы и дороги 1 <3>
То же III и IV (общей сети) 2 1 <1> То же IV, II-в, III-в, III-к, IV-в, IV-к, V, I-с, II-с 2 <3>
" IV и V (подъездные пути) 2 <2> - Малые мосты и трубы I 1 <4>
" Внутренние пути промышленных предприятий 2 - То же II, III, III-п, III-с и городские дороги 2 <4>
" IV, IV-п, V и внутренние хозяйственные дороги 3 <4>
<1> При расчетах отметок бровок земляного полотна, незатопляемых регуляционных сооружений и оградительных дамб русел блуждающих рек для железных дорог III категории вероятность превышения максимального расхода при наибольшем паводке следует принимать 0,33%.
<2> Если по технологическим условиям предприятий перерыв в движении не допускается, вероятность превышения следует принимать равной 1%.
<3> В районах с малоразвитой сетью автомобильных дорог для сооружений, имеющих особо важное народнохозяйственное значение, при технико-экономическом обосновании вероятность превышения допускается принимать 0,33 вместо 1% и 1 вместо 2%.
<4> В районах с развитой сетью автомобильных дорог для автодорожных малых мостов и труб при технико-экономическом обосновании вероятность превышения допускается принимать 2 вместо 1%, 3 вместо 2%, 5 вместо 3%, а для труб на дорогах II-с и III-с категорий - 10%.
Примечания. 1. Степень развития сети автомобильных дорог в районе строительства и народнохозяйственное значение проектируемых сооружений устанавливаются в техническом задании.
2. Классификация дорог вне населенных пунктов принята по СП 34.13330, классификация улиц и дорог в населенных пунктах - по СП 42.13330 и для сельскохозяйственных дорог согласно СП 99.13330.
(в ред. Изменения N 1, утв. Приказом Минстроя РФ от 03.12.2016 N 879/пр)

Возвышение низа пролетных строений над наивысшим уровнем водохранилища у мостов, расположенных в несудоходных и несплавных зонах водохранилища, должно быть не менее 0,75 высоты расчетной ветровой волны с увеличением на 0,25 м.

Наименьшее возвышение низа пролетных строений при наличии наледи необходимо назначать с учетом их высоты.

При одновременном наличии карчехода и наледных явлений возвышения, приведенные в таблице 5.2, следует увеличивать не менее чем на 0,50 м.

Расстояние между промежуточными опорами в свету при наличии карчехода следует назначать с учетом размеров карчей, но не менее 15,0 м, за исключением береговых пролетов мостов с отсыпными устоями.

5.24. Возвышение высшей точки внутренней поверхности трубы в любом поперечном сечении над поверхностью воды в трубе при максимальном расходе расчетного паводка и безнапорном режиме работы должно быть в свету: в круглых и сводчатых трубах высотой до 3,0 м - не менее 1/4 высоты трубы, свыше 3,0 м - не менее 0,75 м, в прямоугольных трубах высотой до 3,0 м - не менее 1/6 высоты трубы, выше 3,0 м - не менее 0,50 м.

Расчет мостов и труб на воздействие водного потока

5.25. Расчет мостов, труб и пойменных насыпей на воздействие водного потока следует производить, как правило, по гидрографам и водомерным графикам расчетных паводков. Кроме того, мосты, трубы и пойменные насыпи на железных дорогах общей сети необходимо рассчитывать по гидрографам и водомерным графикам паводков, условно именуемым наибольшими. При этом вероятности превышения расчетных и наибольших паводков следует принимать одинаковыми с указанными в таблице 5.3 вероятностями превышения максимальных расходов соответствующих паводков.

При отсутствии гидрографов и водомерных графиков паводков, а также в других обоснованных случаях расчет сооружений на воздействие водного потока допускается производить по максимальным расходам и соответствующим им уровням расчетных и наибольших паводков.

В расчетах следует учитывать опыт водопропускной работы близкорасположенных сооружений на том же водотоке, взаимное влияние водопропускных сооружений, а также влияние на проектируемые водопропускные сооружения существующих или намечаемых к строительству гидротехнических и других речных сооружений.

При наличии вблизи мостов и труб инженерных сооружений, зданий и сельскохозяйственных угодий необходимо проверить их безопасность от подтопления вследствие подпора воды перед сооружением.

Для водопропускных сооружений, расположенных вблизи некапитальных плотин, необходимо учитывать возможность прорыва этих плотин. Вопрос об усилении таких плотин или увеличении отверстий сооружений необходимо решать комплексно путем сравнения технико-экономических показателей возможных решений.

5.26. В расчетах следует принимать максимальные расходы паводков того происхождения, при которых для заданного значения вероятности превышения создаются наиболее неблагоприятные условия работы сооружения.

Построение гидрографов и водомерных графиков, определение максимальных расходов при разных паводках и соответствующих им уровней воды рекомендуется производить согласно [17]. (в ред. Изменения N 1, утв. Приказом Минстроя РФ от 03.12.2016 N 879/пр)

5.27. Размеры отверстий малых мостов и труб, укрепление подмостовых русел и конусов следует определять по средним скоростям течения воды, допустимым для грунта русла (в том числе на входе и выходе из сооружения), при этом необходимо соблюдать требования, приведенные в 5.23, 5.24 и 5.34.

Отверстия малых мостов и труб допускается назначать с учетом аккумуляции воды у сооружения. Уменьшение расходов воды в сооружениях вследствие учета аккумуляции возможно не более чем: в 3 раза, если размеры отверстия назначают по ливневому стоку; в 2 раза, если размеры отверстия назначают по снеговому стоку и отсутствуют ледовые и другие явления, уменьшающие размеры отверстия. При этом независимо от вида расчетного стока для труб должны, в зависимости от характера их работы в условиях аккумуляции, выполняться указания, содержащиеся в 5.14 или 5.24, а для малых мостов - требования по положению низа конструкций, содержащиеся в 5.23.

При наличии вечномерзлых грунтов аккумуляция воды у сооружений не допускается.

5.28. Размеры отверстий больших и средних мостов следует определять с учетом подпора, естественной деформации русла, устойчивого уширения подмостового русла (срезки), общего и местного размывов у опор, конусов и регуляционных сооружений. Отверстие моста в свету не должно быть меньше устойчивой ширины русла.

Размеры отверстий городских мостов следует назначать с учетом намечаемого регулирования реки и требований планировки набережных.

5.29. Расчет общего размыва под мостами следует производить на основе решения уравнения баланса наносов на участках русел рек у мостовых переходов при паводках, указанных в 5.25.

Если проход паводков, меньших по величине, чем расчетные (наибольшие), вызывает необратимые изменения в подмостовом русле (что возможно при стеснении потока более чем в 2 раза, на мостовых переходах в условиях подпора, в нижних бьефах плотин, деформации русел в пойменных отверстиях и т.п.), определение общего размыва следует выполнять из условий прохода расчетного (наибольшего) паводка после серии натурных наблюденных паводков одного из многоводных периодов.

Для предварительных расчетов, а также при отсутствии необходимых данных о режиме водотока общий размыв допускается определять по скорости течения, соответствующей балансу наносов.

При морфометрической основе расчета вычисленные максимальные глубины общего размыва следует увеличивать на 15%.

Расчеты мостов на воздействие сейсмических нагрузок следует производить без учета местного размыва русла у опор.

5.30. При построении линии наибольших размывов надлежит учитывать кроме общего размыва местные размывы у опор, влияние регуляционных сооружений и других элементов мостового перехода, возможные естественные переформирования русла и особенности его геологического строения.

5.31. Значение коэффициента общего размыва под мостом следует обосновать технико-экономическим расчетом. При этом надлежит учитывать вид грунтов русла, конструкцию фундаментов опор моста и глубину их заложения, разбивку моста на пролеты, величины подпоров, возможное уширение русла, скорости течения, допустимые для судоходства и миграции рыбы, а также другие местные условия. Величину коэффициента размыва, как правило, следует принимать не более 2.

Для мостов через неглубокие реки и водотоки при соответствующем обосновании можно принимать коэффициенты общего размыва более указанного значения.

5.32. Срезку грунта в пойменной части отверстия моста допускается предусматривать только на равнинных реках. Размеры и конфигурацию срезки следует определять расчетом исходя из условий ее незаносимости в зависимости от частоты затопления поймы и степени стеснения потока мостовым переходом при расчетном уровне высокой воды.

Срезка в русле побочней, отмелей при расчете площади живого сечения под мостом не учитывается.

5.33. Уширение под мостом срезкой грунта следует плавно сопрягать с неуширенными частями русла для обеспечения благоприятных условий подвода потока воды и руслоформирующих наносов в подмостовое сечение. Общая длина срезки (в верховую и низовую стороны от оси перехода) должна быть в 4 - 6 раз больше ее ширины в створе моста. Следует избегать наибольшей ширины в створах голов регуляционных сооружений.

При срезке грунта на пойме необходимо предусматривать удаление пойменного наилка до обнажения несвязных аллювиальных грунтов на всей площади срезки.

5.34. Возвышение бровок земляных сооружений на подходах к большим и средним мостам над уровнями воды при паводках согласно 5.25 (с учетом набега волны на откосы и возможного подпора) следует принимать не менее, м: 0,5 - для земляного полотна, водоразделительных и ограждающих дамб, а также струенаправляющих дамб на реках с блуждающими руслами, 0,25 - для регуляционных сооружений и берм насыпей.

Возвышение бровки земляного полотна на подходах к малым мостам и трубам над уровнями воды при паводках по 5.25 (с учетом подпора и аккумуляции) следует принимать не менее 0,5 м, а для труб при напорном или полунапорном режиме работы - не менее 1,0 м. Кроме того, на автомобильных дорогах при назначении возвышения бровки земляного полотна на подходах к указанным сооружениям следует соблюдать требования по возвышению низа дорожной одежды над уровнем грунтовых и поверхностных вод, установленные СП 34.13330.

В пределах воздействия льда на пойменную насыпь отметка ее бровки должна быть не ниже отметок верха навала льда, а также отметок наивысшего заторного или зажорного льда с учетом полуторной толщины льда.

Расчет несущих конструкций и оснований мостов и труб

5.35. Расчетные схемы и основные предпосылки расчета должны отражать действительные условия работы конструкций мостов и труб при их эксплуатации и строительстве.

При этом должна быть предусмотрена конструктивная схема мостового сооружения, не допускающая возможности прогрессирующего обрушения. Соответствующие проверки следует проводить при учете только постоянных нагрузок и воздействий (при коэффициентах надежности по нагрузке ). Расчетные прочностные и деформационные характеристики материалов следует принимать равными их нормативным значениям. Для металлических мостов в качестве расчетных прочностных характеристик материала следует принимать временные сопротивления (таблица 8.5). Необходимость учета временных нагрузок и воздействий в этих случаях следует предусматривать в задании на проектирование (Приложение 7). (в ред. Изменения N 1, утв. Приказом Минстроя РФ от 03.12.2016 N 879/пр)

При расчете труб под насыпями и мостов из металлических гофрированных элементов следует учитывать их совместную работу с грунтовой обоймой, в том числе выполненной в виде армогрунтовой системы. (в ред. Изменения N 1, утв. Приказом Минстроя РФ от 03.12.2016 N 879/пр)

5.36. Несущие конструкции и основания мостов и труб необходимо рассчитывать на действие постоянных нагрузок и неблагоприятных сочетаний временных нагрузок, указанных в разделе 6. Расчеты следует выполнять по предельным состояниям в соответствии с требованиями ГОСТ 27751.

В расчетах по предельным состояниям первой группы для сооружений повышенного уровня ответственности (ГОСТ 27751) следует учитывать коэффициент надежности по ответственности, равный 1,1.

Величины напряжений (деформаций) конструктивных элементов из полимерных композитов на стадии эксплуатации не должны превышать расчетных сопротивлений (предельных деформаций). (в ред. Изменения N 2, утв. Приказа Минстроя РФ от 11.11.2019 N 681/пр)

5.37. Временные нагрузки от подвижного состава (транспортных средств) железных и автомобильных дорог в случаях, предусмотренных настоящим СП, следует вводить в расчет с соответствующими динамическими коэффициентами.

При одновременном учете действия на сооружение двух или более временных нагрузок расчетные значения этих нагрузок следует умножать на коэффициенты сочетаний, меньше или равные единице.

5.38. Величины напряжений (деформаций), определяемые в элементах конструкций при расчетах сооружений в стадии эксплуатации и при строительстве, а также величины напряжений (деформаций), определяемые расчетами в монтажных элементах или блоках при их изготовлении, транспортировании и монтаже, не должны превышать расчетных сопротивлений (предельных деформаций), установленных в нормах на проектирование соответствующих конструкций мостов и труб.

5.39. За расчетную минимальную температуру следует принимать среднюю температуру наружного воздуха наиболее холодной пятидневки в районе строительства в соответствии с требованиями СП 131.13330 с обеспеченностью: (в ред. Изменения N 1, утв. Приказом Минстроя РФ от 03.12.2016 N 879/пр)

0,92 - для бетонных и железобетонных конструкций;

0,98 - для стальных конструкций, стальных частей сталежелезобетонных конструкций и элементов из полимерно-композиционных материалов.

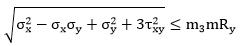
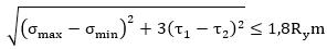
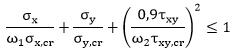
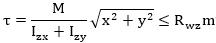
5.40. Устойчивость положения конструкций против опрокидывания следует рассчитывать по формуле

, (5.1)

где - момент опрокидывающих сил относительно оси возможного поворота (опрокидывания) конструкции, проходящей по крайним точкам опирания;

- момент удерживающих сил относительно той же оси;

m - коэффициент условий работы, принимаемый равным:

при проверке конструкций, опирающихся на отдельные опоры:

в стадии строительства - 0,95;

в стадии постоянной эксплуатации - 1,0;

при проверке сечений бетонных конструкций и фундаментов:

на скальных основаниях - 0,9;

на нескальных основаниях - 0,8;

- коэффициент надежности по назначению, принимаемый равным при расчетах:

в стадии строительства - 1,0;

в стадии постоянной эксплуатации - 1,1.

Опрокидывающие силы следует принимать с коэффициентом надежности по нагрузке, единицы.

Удерживающие силы следует принимать с коэффициентом надежности по нагрузке:

для постоянных нагрузок - < 1;

для временной вертикальной подвижной нагрузки от порожнего состава железных дорог, метрополитена и трамвая - = 1;.

В соответствующих случаях, руководствуясь указаниями 11.6, необходимо учитывать уменьшение веса конструкции вследствие взвешивающего действия воды.

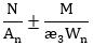
5.41. Устойчивость положения конструкций против сдвига (скольжения) следует рассчитывать по формуле

, (5.2)

где - сдвигающая сила, равная сумме проекций сдвигающих сил на направление возможного сдвига;

- удерживающая сила, равная сумме проекций удерживающих сил на направление возможного сдвига;

m - коэффициент условий работы, принимаемый равным 0,9;

- см. 5.40.

Сдвигающие силы следует принимать с коэффициентами надежности по нагрузке, единицы, а удерживающие силы - с коэффициентами надежности по нагрузке, меньшими единицы.

Примечания.

1. В качестве удерживающей горизонтальной силы, создаваемой грунтом, можно принимать силу, величина которой не превышает активного давления грунта.

2. Силы трения в основании определяют по коэффициентам трения, указанным в 11.14. Коэффициент трения бетонной кладки по кладке следует принимать равным 0,55.

Деформации, перемещения, продольный профиль конструкций

5.42. Для мостов следует обеспечивать плавность движения транспортных средств путем ограничения упругих прогибов пролетных строений от подвижной временной вертикальной нагрузки и назначения для продольного профиля пути или проезжей части соответствующего очертания.

5.43. Вертикальные упругие прогибы пролетных строений, вычисленные при действии подвижной временной вертикальной нагрузки (при = 1 и ), не должны превышать значений, м:

для железнодорожных мостов, определяемых по формуле , но не более ;

для городских и автодорожных мостов (включая мосты на внутрихозяйственных дорогах и дорогах промышленных предприятий), а также для пешеходных мостов с балочными пролетными строениями - , где l - расчетная длина пролета, м.

Указанные значения прогибов допускается увеличивать для балочных деревянных пролетных строений мостов (кроме пешеходных) на 50%.

5.44. Необходимое очертание рельсовому пути и покрытию проезжей части на пролетных строениях мостов следует придавать за счет: строительного подъема пролетных строений; изменения толщины выравнивающего слоя конструкции одежды проезжей части и балластного слоя; рабочей высоты мостовых брусьев.

Строительный подъем балочных пролетных строений железнодорожных мостов, а также стальных, сталежелезобетонных и деревянных балочных пролетных строений автодорожных и городских мостов следует предусматривать по плавной кривой, стрела которой после учета деформаций от постоянной нагрузки равна не менее 40% упругого прогиба пролетного строения от подвижной временной вертикальной нагрузки (при = 1 и ).

Пролетным строениям пешеходных мостов следует задавать строительный подъем, компенсирующий вертикальные деформации пролетного строения от постоянной нагрузки. Коэффициент надежности по нагрузке принимают при этом равным единице. Для гибридных конструкций при поэтапном (стадийном) возведении величина строительного подъема должна быть не менее 0,1% длины пролета. (в ред. Изменения N 2, утв. Приказа Минстроя РФ от 11.11.2019 N 681/пр)

Примечание. Строительный подъем допускается не предусматривать для пролетных строений, прогиб которых от постоянной и подвижной временной вертикальной нагрузок не превышает 1/1600 величины пролета (но не более 1,5 см в железнодорожных мостах с ездой на поперечинах), а также для деревянных мостов с прогонами.

5.45. Строительный подъем и очертание профиля покрытия железобетонных пролетных строений автодорожных и городских мостов следует предусматривать такими, чтобы после проявления деформаций от ползучести и усадки бетона (но не позднее двух лет с момента действия полной постоянной нагрузки) алгебраическая разность сопрягаемых уклонов продольного профиля по осям полос движения в местах сопряжения пролетных строений между собой и с подходами не превышала:

при отсутствии на мосту подвижной временной вертикальной нагрузки - значений, приведенных в таблице 5.4;

при загружении моста подвижной временной вертикальной нагрузкой по осям полос движения - 24‰ для нагрузок АК и НК.

В проектной документации следует указывать продольный профиль проезда на момент устройства одежды проезжей части (с намечаемым улучшением его очертания посредством изменения толщины выравнивающего слоя) и после проявления деформаций от усадки и ползучести бетона.

Примечания.

1. До проявления длительных деформаций алгебраическая разность сопрягаемых уклонов продольного профиля при отсутствии на мосту подвижной временной вертикальной нагрузки может превышать значения, приведенные в таблице 5.4, не более чем в 2 раза.

2. В случаях применения для винтовых и висячих пролетных строений витых канатов необходимо при задании строительного подъема и очертания профиля проезда учитывать возможность деформации ползучести канатов.

Таблица 5.4
 

Расчетные скорости движения одиночных легковых автомобилей на участках дороги, примыкающих к мосту (в соответствии с требованиями СП 34.13330, СП 99.13330), км/ч Алгебраическая разность сопрягаемых уклонов продольного профиля, ‰
150 - 100 8
80 9
70 11
60 13
40 17
Примечания. 1. Если расстояния между местами сопряжения пролетных строений между собой или с подходами превышают 50 м, предельные значения алгебраической разности сопрягаемых уклонов продольного профиля могут быть увеличены в 1,2 раза.
2. В температурно-неразрезных пролетных строениях, объединенных по плите проезжей части, алгебраическую разность сопрягаемых уклонов продольного профиля следует определять без учета влияния соединительной плиты.

(в ред. Изменения N 1, утв. Приказом Минстроя РФ от 03.12.2016 N 879/пр)

5.46. Для пролетных строений внешне статически неопределимых систем в расчетах следует учитывать возможные перемещения верха опор и их осадки.

Горизонтальные и вертикальные перемещения верха опор следует также учитывать при назначении конструкций опорных частей и деформационных швов, размеров подферменных площадок, оголовков опор, ригелей.

5.47. Различные по величине осадки соседних опор не должны вызывать появления в продольном профиле дополнительных углов перелома, превышающих для мостов, ‰:

автодорожных и городских - 2;

железнодорожных - 1.

Предельные продольные и поперечные смещения верха опор железнодорожных мостов с разрезными балочными пролетными строениями с учетом общего размыва русла не должны превышать значения , см, где - длина меньшего примыкающего к опоре пролета, но не менее 25 м.

5.48. Расчетный период собственных поперечных горизонтальных колебаний для балочных разрезных металлических и сталежелезобетонных пролетных строений железнодорожных мостов должен быть (в секундах) не более 0,01l (l - пролет, м) и не превышать 1,5 с.

Для железнодорожных решетчатых пролетных строений с ездой на балласте допускается ограничивать период собственных колебаний величиной 0,013l.

В пролетных строениях пешеходных мостов расчетные периоды собственных колебаний (в незагруженном состоянии) по двум низшим формам (в балочных разрезных системах - по одной низшей форме) не должны быть от 0,45 до 0,60 с - в вертикальной и от 0,9 до 1,2 с - в горизонтальной плоскостях.

Для пролетных строений пешеходных мостов следует при этом учитывать возможность загружения их толпой, создающей нагрузку 0,50 кПа.

На стадии монтажа пролетных строений для консолей, образующихся при навесной сборке или при продольной надвижке, периоды собственных поперечных колебаний в вертикальной и горизонтальной плоскостях не должны превышать 3,0 с, а период собственных крутильных колебаний при этом не должен быть более 2,0 с. Отступления от указанных требований могут быть допущены после проведения соответствующих расчетов или специальных аэродинамических исследований по оценке устойчивости и пространственной жесткости собираемых консолей. При этом необходимо соблюдать требования, содержащиеся в 6.24, по расчету конструкций на воздействие ветра.

Висячие и вантовые мосты, а также стальные балочные мосты с пролетами более 100 м следует проверять на аэродинамическую устойчивость и пространственную жесткость. Для конструкций с динамическими характеристиками, существенно отличающимися от аналогичных характеристик построенных мостов, кроме аналитических расчетов следует проводить соответствующие исследования на моделях.

5.49. Строительный подъем труб при высоте насыпи свыше 12 м следует назначать в соответствии с расчетом ожидаемых осадок от веса грунта насыпи. При расчете осадок труб допускается использовать методику, применяемую при расчете осадок фундаментов.

Трубы под насыпями высотой 12 м и менее следует укладывать со строительным подъемом (по лотку), равным:

1/80h - при фундаментах на песчаных, галечниковых и гравелистых грунтах основания;

1/50h - при фундаментах на глинистых, суглинистых и супесчаных грунтах основания;

1/40h - при грунтовых подушках из песчано-гравийной или песчано-щебеночной смеси; здесь h - высота насыпи.

Отметки лотка входного оголовка (или входного звена) трубы следует назначать так, чтобы они были выше отметок среднего звена трубы как до проявления осадок основания, так и после прекращения этих осадок.

Стабильность проектного положения секций фундаментов и звеньев водопропускных труб в направлении продольной оси сооружений должна быть обеспечена устойчивостью откосов насыпи и прочностью грунтов основания.

Примечание. При устройстве труб на скальных грунтах и на свайных фундаментах строительный подъем назначать не следует.

Верхнее строение пути на железнодорожных мостах

5.50. Путь на железнодорожных мостах может устраиваться на щебеночном балласте или быть безбалластным. (в ред. Изменения N 1, утв. Приказом Минстроя РФ от 03.12.2016 N 879/пр)

На щебеночном балласте путь представляет собой рельсошпальную решетку, объединенную скреплениями и охранными устройствами. Допускается усиление балластного слоя омоноличиванием при помощи полимерного вяжущего материала. (в ред. Изменения N 1, утв. Приказом Минстроя РФ от 03.12.2016 N 879/пр)

При безбалластном пути рельсы при помощи скреплений прикрепляются к железобетонным плитам или плитам из полимерных композитов, деревянным или металлическим поперечинам, к металлическому настилу и к железобетонным блокам (полушпалам), расположенным в гнездах железобетонной плиты, с виброзащитными прокладками. Допускается укладка рельсов с непрерывным опиранием по всей длине и закреплением специальными устройствами. (в ред. Изменения N 2, утв. Приказа Минстроя РФ от 11.11.2019 N 681/пр)

Рельсы на мостах следует укладывать тяжелого типа (не легче типа Р50 и не легче типа рельсов, укладываемых на подходах). (в ред. Изменения N 1, утв. Приказом Минстроя РФ от 03.12.2016 N 879/пр)

На больших мостах, на мостах с разводными пролетами и на подходах к этим сооружениям на протяжении не менее 200 м в каждую сторону следует укладывать рельсы не легче типа Р65. (в ред. Изменения N 1, утв. Приказом Минстроя РФ от 03.12.2016 N 879/пр)

На мостах с мостовым полотном всех типов следует укладывать бесстыковой путь. (в ред. Изменения N 1, утв. Приказом Минстроя РФ от 03.12.2016 N 879/пр)

5.51. Конструкция мостового полотна должна обеспечивать:

возможность прохода колес подвижного состава в случае схода их с рельсов при помощи охранных приспособлений; (в ред. Изменения N 1, утв. Приказом Минстроя РФ от 03.12.2016 N 879/пр)

содержание и ремонт пути с использованием средств механизации.

5.52. Балластное корыто устоев и пролетных строений с ездой на балласте должно обеспечивать размещение балластной призмы типового поперечного профиля, принятого для мостов.

Ширина плеча балластной призмы на мостах должна быть, как правило, не менее 35 см, а на участках обращения скоростных пассажирских поездов (при скоростях от 140 до 200 км/ч) - не менее 40 см. Меньшая ширина, но не менее 25 см, допускается на мостах, расположенных на путях 4-го и 5-го классов. В кривых радиусом менее 600 м ширина плеча балластной призмы со стороны наружной нити менее 35 см не допускается. (в ред. Изменения N 1, утв. Приказом Минстроя РФ от 03.12.2016 N 879/пр)

Ширина плеча балластной призмы может быть уменьшена, если подошвы шпал расположены ниже бортиков балластных корыт не менее чем на 10 см. (в ред. Изменения N 1, утв. Приказом Минстроя РФ от 03.12.2016 N 879/пр)

Толщина балласта под шпалой в подрельсовой зоне должна составлять не менее 40 см и учитываться при определении постоянной нагрузки. В стесненных условиях при ограничении строительной высоты указанный размер может быть уменьшен до 15 см без снижения величины постоянной нагрузки. Конструкция балластного корыта должна предусматривать возможность повышения отметок пути при ремонтах до 0,1 м. (в ред. Изменения N 1, утв. Приказом Минстроя РФ от 03.12.2016 N 879/пр)

5.53. Элементы мостового полотна (включая охранные приспособления, уравнительные приборы или сезонные уравнительные рельсы) следует предусматривать, руководствуясь [1]. (в ред. Изменения N 1, утв. Приказом Минстроя РФ от 03.12.2016 N 879/пр)

5.54 Безбалластное мостовое полотно различных типов по 5.50 должно иметь ширину не менее 3,2 м. При наличии дополнительных охранных устройств, обеспечивающих безопасный пропуск сошедших с рельсов колес подвижного состава, допускается применение плит меньшей шириной, но не менее 2,6 м. (в ред. Изменения N 2, утв. Приказа Минстроя РФ от 11.11.2019 N 681/пр)

5.55. Мостовые брусья (деревянные поперечины) должны соответствовать требованиям ГОСТ 8486, иметь сечение не менее 20 x 24 см и длину 3,25 м.

5.56. Мосты длиной более 25 м, а также все мосты высотой более 3 м, мосты, расположенные в пределах станций, и все путепроводы должны иметь двухсторонние служебные проходы с перилами (высотой не менее 1,10 м), располагаемые вне габаритов приближений строений. (в ред. Изменения N 1, утв. Приказом Минстроя РФ от 03.12.2016 N 879/пр)

В районах со среднесуточной минимальной температурой наружного воздуха минус 40 °C и ниже (с обеспеченностью 0,92) боковые тротуары должны иметь все мосты длиной более 10 м.

На двухпутных и многопутных железнодорожных мостах следует предусматривать служебные проходы (без перил) также и в междупутье.

5.57. Для пути на подходах следует предусматривать меры, препятствующие угону пути с подходов на мост.

Путь на подходах к мостам, путепроводам и эстакадам в пределах городской территории и в застроенных промышленных зонах следует предусматривать бесстыковым с шумопоглощающей конструкцией скреплений и основания за счет укладки специальных матов и, при необходимости, с шумопоглощающими экранами. (в ред. Изменения N 1, утв. Приказом Минстроя РФ от 03.12.2016 N 879/пр)

5.58. На железнодорожных путях общей сети и железных дорогах промышленных предприятий, проходящих под путепроводами и пешеходными мостами с опорами стоечного типа, при расстоянии от оси железнодорожного пути до грани опоры менее 3,0 м необходимо укладывать контруголки, выходящие в каждую сторону за боковые грани путепровода или пешеходного моста не менее чем на 10 м.

Расстояние в свету от головки рельса до вертикальной полки контруголка должно составлять 310 мм. В стесненных условиях допускается уменьшать это расстояние до 245 мм. Контруголок должен быть повернут горизонтальной полкой к рельсу, в стесненных условиях допускается установка контруголков горизонтальной полкой от рельса. При езде на деревянных или металлических поперечинах следует устанавливать охранные уголки на расстоянии 300 - 400 мм в свету от наружной грани головки рельса до вертикальной полки охранного уголка. Горизонтальная полка охранного уголка должна быть повернута к рельсу. (в ред. Изменения N 1, утв. Приказом Минстроя РФ от 03.12.2016 N 879/пр)

В пути на мостах и путепроводах дорог промышленных предприятий при кривых радиусом 500 м и менее следует предусматривать специальные устройства, препятствующие изменению ширины колеи.

Мостовое полотно автодорожных и городских мостов

5.59. Конструкция и геометрические параметры мостового полотна должны отвечать требованиям, установленным для данной дороги или улицы ГОСТ Р 52398, ГОСТ Р 52748, СП 34.13330, СП 42.13330, СП 99.13330. (в ред. Изменения N 1, утв. Приказом Минстроя РФ от 03.12.2016 N 879/пр)

Конструкция и геометрические параметры мостового полотна должны обеспечивать комфортность и безопасность движения пешеходов и транспортных средств со скоростями, соответствующими категории дороги или улицы, на которой расположено мостовое сооружение.

Мостовое полотно должно быть запроектировано в увязке всех его элементов между собой и с несущей конструкцией пролетного строения и обеспечивать ее защиту от негативного воздействия атмосферных осадков и агрессивных сред, образуемых средствами ухода за проезжей частью. (в ред. Изменения N 1, утв. Приказом Минстроя РФ от 03.12.2016 N 879/пр)

На мостовых сооружениях в пределах населенных пунктов следует предусматривать шумозащитные мероприятия в соответствии с СП 51.13330. (в ред. Изменения N 1, утв. Приказом Минстроя РФ от 03.12.2016 N 879/пр)

Конструкция мостового полотна должна обеспечивать возможность механизированной безопасной для службы эксплуатации уборки проезжей части и тротуаров.

5.60. Компоновочное решение мостового полотна зависит от материала пролетного строения, места расположения мостового сооружения, его функционального назначения, вида транспортных средств, обращающихся по нему, наличия пешеходного движения.

При наличии на сооружении трамвайного движения предпочтительно располагать трамвайные пути на необособленном полотне.

Головки рельсов со стороны автопроезда должны располагаться на уровне верха покрытия проезжей части.

Разделительную полосу на мостовом сооружении предусматривают при условии, что она имеется на прилегающих участках дороги и на подходах к сооружению.

Конструкция разделительной полосы на пролетном строении, общем под встречные направления движения, должна воспринимать нагрузку от транспортных средств, обращающихся по мостовому сооружению.

5.61. Тротуары могут быть расположены как с одной, так и с обеих сторон мостового сооружения. При одностороннем расположении тротуара при необходимости должен быть предусмотрен безопасный переход пешеходов с одной стороны сооружения на другую посредством устройства пешеходного тоннеля под насыпью или тротуарного перехода, располагающегося под мостовым сооружением на берме насыпи.

На пролетных строениях, раздельных под направления встречного движения, тротуары устраивают только с одной - наружной стороны.

На транспортных развязках в разных уровнях и мостовых сооружениях, где не предусмотрено пешеходное движение, а также на мостовых сооружениях длиной до 50 м, расположенных за пределами населенных пунктов, тротуары и служебные проходы не устраивают. При этом не допускается уменьшение ширины полосы безопасности. (в ред. Изменения N 1, утв. Приказом Минстроя РФ от 03.12.2016 N 879/пр)

Ширину тротуаров назначают по расчету. Минимальную ширину тротуаров принимают равной 1,0 м, а в городах и населенных пунктах - 1,5 м. При большей ширине тротуаров ее назначают равной 1,5; 2,25 м и далее - кратной 0,75 м. При соответствующем обосновании допускается принимать ширину тротуаров не кратную 0,75 м.

При отсутствии регулярного пешеходного движения (менее 200 чел./сут) устраивают служебные проходы шириной 0,75 м (с одной или с обеих сторон мостового сооружения).

5.62. Тротуары и обособленное трамвайное полотно на мостовом сооружении должны быть отделены от проезжей части ограждающими устройствами барьерного или парапетного типа. Применение тросовых ограждений не допускается.

На деревянных мостах устанавливают колесоотбойный брус высотой не менее 0,25 м.

На разделительной полосе следует предусматривать ограждения в случае, если:

ограждения имеются на разделительной полосе подходов;

на разделительной полосе расположены элементы конструкций мостового сооружения, опоры контактной сети, освещения и т.п.

Конструкцию ограждения, его удерживающую способность, высоту принимают в зависимости от категории дороги или улицы, сложности дорожных условий, наличия или отсутствия на мостовом сооружении тротуаров или служебных проходов в соответствии с ГОСТ Р 52289, ГОСТ Р 52607. (в ред. Изменения N 1, утв. Приказом Минстроя РФ от 03.12.2016 N 879/пр)

На переходных плитах в узлах сопряжения мостового сооружения с насыпями подходов ограждения принимают такой же удерживающей способности, как и на пролетном строении.

Над деформационными швами пролетного строения в ограждении должна быть обеспечена возможность перемещения, соответствующего перемещению в деформационном шве, при сохранении в зоне перекрытия деформационного шва требуемой удерживающей способности ограждения.

При отсутствии на мостовом сооружении тротуаров или служебных проходов ограждение устанавливают на расстоянии не менее 0,4 м от задней поверхности ограждения до кромки плиты проезжей части.

С внешней стороны пролетного строения тротуары и служебные проходы ограждают перилами высотой не менее 1,1 м.

Конструкция перил должна иметь заполнение, исключающее возможность падения пешеходов с мостового сооружения. Расстояния в свету между элементами заполнения не должны превышать 150 мм.

5.63. Опоры контактной сети и освещения следует располагать, как правило, в створе перил (при ширине тротуаров 2,25 м и менее) или в междупутье трамвайных путей при расположении их на обособленном полотне. В других случаях опоры контактной сети и освещения следует защищать от наездов ограждениями.

На городских и пешеходных мостах должно предусматриваться стационарное электрическое освещение.

Необходимость освещения на мостовых сооружениях на автомобильных дорогах регламентируется ГОСТ Р 52766.

5.64. В зависимости от материала плиты проезжей части конструкцию дорожной одежды принимают состоящей из нескольких слоев, каждый из которых имеет свое функциональное назначение.

Все слои дорожной одежды должны иметь сцепление между собой и с плитой проезжей части, а верхний слой покрытия также обладать необходимой шероховатостью.

Дорожная одежда на пролетных строениях с железобетонной плитой проезжей части может быть выполнена:

- многослойной, включающей бетонный выравнивающий слой (при необходимости), гидроизоляцию, двухслойное асфальтобетонное покрытие. При выполнении гидроизоляции из материала, не допускающего укладку на него горячего асфальтобетона, поверх нее следует выполнять бетонный армируемый защитный слой; (в ред. Изменения N 1, утв. Приказом Минстроя РФ от 03.12.2016 N 879/пр)

- двух- или однослойной, включающей асфальтобетонное покрытие или выравнивающий слой особо плотного бетона, выполняющие гидроизолирующие функции, и выравнивающий слой из бетона особо низкой водопроницаемости или только выравнивающий бетонный слой, выполняющий гидроизолирующие функции и функцию покрытия. Покрытие допускается устраивать на пролетных строениях, не имеющих в железобетонной плите проезжей части предварительно напряженной арматуры, и при условии, что действующие в верхних фибрах выравнивающего слоя растягивающие напряжения не превосходят расчетных сопротивлений бетона растяжению . (в ред. Изменения N 1, утв. Приказом Минстроя РФ от 03.12.2016 N 879/пр)

На стальных пролетных строениях конструкцию дорожной одежды следует выполнять с устройством антикоррозионного, защитно-сцепляющего слоев и двухслойного асфальтобетонного покрытия или тонкослойного (двух- или трехслойного) полимерного покрытия. Антикоррозионный слой в конструкции дорожной одежды может отсутствовать при выполнении его функций материалом защитно-сцепляющего слоя. Все конструктивные слои дорожной одежды следует выполнять после подготовки поверхности металла. (в ред. Изменения N 1, утв. Приказом Минстроя РФ от 03.12.2016 N 879/пр)

Конструкции дорожной одежды и ортотропной плиты должны исключать появление трещин в покрытии над главными балками стальных пролетных строений.

5.65. Выравнивающий слой под гидроизоляцию в многослойной конструкции дорожной одежды выполняют на плите проезжей части сборных пролетных строений минимальной толщиной 30 мм из мелкозернистого бетона класса по прочности на сжатие не ниже В25, морозостойкостью F200 - F300 и маркой по водонепроницаемости не ниже W8.

Защитный слой гидроизоляции выполняют толщиной не менее 40 мм из мелкозернистого бетона с водоцементным отношением не выше 0,42, прочностью на сжатие не ниже В30, морозостойкостью F200 - F300 при испытаниях в хлористых слоях, маркой по водонепроницаемости не ниже W8. Защитный слой армируют плоскими сварными сетками по ГОСТ 23279, укладка которых непосредственно на гидроизоляцию не допускается.

Применение для дорожной одежды керамзитобетона не допускается.

5.66. Асфальтобетонное покрытие на проезжей части выполняют двухслойным. На пролетных строениях с железобетонной плитой проезжей части толщину покрытия, укладываемого непосредственно на гидроизоляцию, принимают не менее 110 мм при использовании для покрытия уплотняемых асфальтобетонов. При укладке уплотняемых асфальтобетонов на бетонный защитный слой, устраиваемый поверх гидроизоляции, толщину покрытия принимают не менее 90 мм. (в ред. Изменения N 1, утв. Приказом Минстроя РФ от 03.12.2016 N 879/пр)

Толщина асфальтобетонного покрытия на стальной ортотропной плите зависит от параметров ортотропной плиты (толщины листа, шага продольных ребер) и должна быть не менее 110 мм при применении уплотняемых асфальтобетонов.

Абзац третий. - Исключен. (в ред. Изменения N 1, утв. Приказом Минстроя РФ от 03.12.2016 N 879/пр)

Для устройства покрытия из уплотняемого асфальтобетона применяют горячие асфальтобетонные смеси высокоплотные марки I или типа Б марки I (II марки на мостовых сооружениях дорог ниже III категории) по ГОСТ 9128 - в обоих слоях либо только в нижнем слое покрытия при применении для верхнего слоя щебеночно-мастичной смеси по ГОСТ 31015. Применение на мостовых сооружениях асфальтобетона типа А не допускается. (в ред. Изменения N 1, утв. Приказом Минстроя РФ от 03.12.2016 N 879/пр)

При применении в покрытиях на железобетонной и ортотропной плитах литых асфальтобетонных смесей толщину покрытия принимают не менее 80 мм при устройстве обоих слоев из литого асфальтобетона, 90 мм - при выполнении в покрытии одного слоя из уплотняемого горячего асфальтобетона (или верхнего слоя из ЩМА), другого - из литого асфальтобетона. (в ред. Изменения N 1, утв. Приказом Минстроя РФ от 03.12.2016 N 879/пр)

На мостах с ортотропной плитой литой асфальтобетон предпочтительно применять в верхнем слое. (в ред. Изменения N 1, утв. Приказом Минстроя РФ от 03.12.2016 N 879/пр)

На мостах с ортотропными плитами не допускается применение уплотняемых асфальтобетонов на полимерно-битумном вяжущем.

При уплотнении асфальтобетонных смесей на мостовых сооружениях не допускается включение вибрации на катках.

На широких пролетных строениях, особенно с ортотропной плитой, укладку и уплотнение асфальтобетонных смесей следует предусматривать по симметричной схеме относительно продольной оси пролетного строения. (в ред. Изменения N 1, утв. Приказом Минстроя РФ от 03.12.2016 N 879/пр)

При применении для покрытия проезжей части цементобетона его толщину принимают не менее 120 мм. Покрытие выполняют из бетона с водоцементным отношением не выше 0,42, класса по прочности на сжатие не ниже В30, маркой по водонепроницаемости не ниже W8 и маркой по морозостойкости F300 при испытаниях в хлористых солях.

На пролетных строениях мостовых сооружений дорог IV - V, I-с - III-с категорий допускается в качестве дорожной одежды применять сборные железобетонные плиты толщиной не менее 120 мм поверх цементно-песчаной смеси (1:1) толщиной не менее 50 мм, уложенной непосредственно на гидроизоляцию. Стыки между плитами должны быть загерметизированы битумно-полимерной мастикой.

5.67. На тротуарах покрытие выполняют толщиной 30 - 40 мм из асфальтобетонов типов Г, Д не ниже II марки по ГОСТ 9128 либо из литого асфальтобетона.

5.68. Гидроизоляцию на железобетонной плите проезжей части и защитно-сцепляющий слой на ортотропной плите проектируют исходя из требований обеспечения их эксплуатационной надежности при воздействии обращающихся нагрузок в интервале температуры наружного воздуха от абсолютной максимальной до температуры наиболее холодных суток (по СП 131.13330) с обеспеченностью 0,98. (в ред. Изменения N 1, утв. Приказом Минстроя РФ от 03.12.2016 N 879/пр)

Для гидроизоляции и защитно-сцепляющего слоя применяют мастичные, рулонные битумно-полимерные, полимерные гидроизолирующие материалы, обладающие работоспособностью в интервале указанных температур в районе строительства, необходимыми прочностью, адгезией к основанию, теплостойкостью. Гидроизоляционные материалы должны быть водостойкими, водонепроницаемыми, обладать устойчивостью к действию кислых, щелочных, солевых растворов, микроорганизмов.

5.69. Конструкции деформационных швов должны обеспечивать перемещения пролетных строений в заданном интервале температур, не нарушать плавности движения транспортных средств и исключать попадание воды и грязи на опорные площадки и нижерасположенные части мостового сооружения.

Конструкции деформационных швов следует анкеровать в несущих элементах пролетных строений. Анкеровка конструкций деформационных швов в дорожной одежде не допускается.

В случае анкеровки конструкций деформационных швов в бетонном приливе, выходящем до уровня проезжей части, марка бетона прилива по водонепроницаемости должна быть не менее W8 и по морозостойкости F300 при испытаниях в хлористых солях.

Конструкции швов должны быть рассчитаны на воздействия ударных нагрузок при проходе транспортных средств и обладать устойчивостью против истирания.

При применении конструкций деформационных швов, пропускающих воду (гребенчатого типа, со скользящими листами), под ними следует устраивать поперечные лотки с уклоном не менее 50‰ в одну или в обе стороны относительно оси пролетного строения.

При конструировании деформационных швов следует предусматривать возможность их осмотра. (в ред. Изменения N 1, утв. Приказом Минстроя РФ от 03.12.2016 N 879/пр)

Сопряжение мостов с подходами

5.70. Земляное полотно на протяжении 10 м от задней грани устоев у больших железнодорожных мостов должно быть уширено на 0,5 м с каждой стороны, у автодорожных и городских мостов - иметь ширину не менее расстояния между перилами плюс 0,5 м с каждой стороны. Переход от увеличенной ширины к нормальной следует делать плавным и осуществлять на длине 15 - 25 м.

В местах примыкания насыпи к устоям железнодорожных мостов следует предусматривать меры для удержания балластной призмы от осыпания.

5.71. В сопряжении автодорожных и городских мостов с геомассивами береговых склонов и подходных насыпей следует предусматривать устройство железобетонных переходных плит, опираемых одним концом на прилив на шкафной стенке устоя, другим - на лежень. (в ред. Изменения N 1, утв. Приказом Минстроя РФ от 03.12.2016 N 879/пр)

Переходные плиты укладывают на полную ширину габарита проезжей части и тротуаров. (в ред. Изменения N 1, утв. Приказом Минстроя РФ от 03.12.2016 N 879/пр)

Длину плит следует принимать в зависимости от высоты насыпи и ожидаемых осадок грунта под лежнем в диапазоне от 4 до 8 м. (в ред. Изменения N 1, утв. Приказом Минстроя РФ от 03.12.2016 N 879/пр)

На мостах с устоями (диванного типа), длину переходных плит следует назначать, учитывая необходимость соблюдения принятого профиля проезда при возможной разности осадок опорных площадок плиты, и принимать не менее 2 м. (в ред. Изменения N 1, утв. Приказом Минстроя РФ от 03.12.2016 N 879/пр)

Щебеночная подушка под лежнем должна опираться на дренирующий грунт или на грунт насыпи ниже глубины промерзания. Между щебеночной подушкой и грунтом насыпи следует предусматривать слой разделительного материала, хорошо фильтрующего и не подверженного быстрому заиливанию. При слабых грунтах в основании насыпи лежни переходных плит и устоев диванного типа следует укладывать на армогрунтовое основание. (в ред. Изменения N 1, утв. Приказом Минстроя РФ от 03.12.2016 N 879/пр)

Щебеночную подушку устраивают из фракционного щебня по способу заклинки. Нижний слой толщиной 50 мм втрамбовывают в грунт.

Поверхности переходных плит и лежня должны иметь гидроизоляцию преимущественно обмазочного типа.

Переходные плиты следует выполнять, как правило, сборно-монолитными из бетона класса В30, маркой по водонепроницаемости W6 с морозостойкостью, соответствующей району строительства.

Покрытие проезжей части в пределах переходных плит следует выполнять одновременно с устройством покрытия на мостовом сооружении.

5.72. При сопряжении мостового сооружения с насыпями подходов необходимо выполнять условия: (в ред. Изменения N 1, утв. Приказом Минстроя РФ от 03.12.2016 N 879/пр)

а) после осадки насыпи и конуса примыкающая к насыпи часть устоя должна входить в конус на величину (считая от вершины конуса насыпи на уровне бровки полотна до грани, сопрягаемой с насыпью конструкции) не менее 0,75 м при высоте насыпи до 6 м и не менее 1,00 м при высоте насыпи свыше 6 м;

б) откосы конусов должны проходить ниже подферменной площадки (в плоскости шкафной стенки) или верха боковых стенок, ограждающих шкафную часть, не менее чем на 0,50 м - для железнодорожных и на 0,40 м - для автодорожных и городских мостов. Низ конуса насыпи у необсыпных устоев не должен выходить за переднюю грань устоя. В обсыпных устоях мостов линия пересечения поверхности конуса с передней гранью устоя должна быть расположена выше уровня воды расчетного паводка (без подпора и наката волн) не менее чем на 0,50 м;

в) откосы конусов необсыпных устоев должны иметь уклоны на высоте первых 6 м, считая сверху вниз от бровки насыпи, - не круче 1:1,25, на высоте следующих 6 м - не круче 1:1,50, при высоте насыпи выше 12 м - не менее 1:1,75 в пределах всего конуса или до более пологой его части. Крутизну откосов конусов насыпей следует определять расчетом устойчивости концевого участка насыпи и конуса с захватом грунтов основания; (в ред. Изменения N 1, утв. Приказом Минстроя РФ от 03.12.2016 N 879/пр)

г) откосы конусов обсыпных устоев должны иметь уклоны не круче 1:1,5.

Для устройства более крутых откосов следует применять армогрунтовые системы. (в ред. Изменения N 1, утв. Приказом Минстроя РФ от 03.12.2016 N 879/пр)

Устойчивость концевых участков насыпей и конусов с захватом основания следует проверять по круглоцилиндрическим или иным (обусловленным геологическим строением склона) поверхностям скольжения.

При расположении опор мостов на потенциально оползневых склонах следует предусматривать превентивные конструктивно-технологические мероприятия, исключающие активизацию оползневого процесса. (в ред. Изменения N 1, утв. Приказом Минстроя России от 03.12.2016 N 879/пр)

Для сейсмических районов уклоны откосов конусов следует назначать в соответствии с требованиями СП 14.13330.

Для устройства бесконусных сопряжений мостов с геомассивами береговых склонов и подходных насыпей следует применять устои с раздельными функциями, в которых крайние опоры воспринимают нагрузки только от пролетных строений и переходных плит, а давление грунта воспринимается армогрунтовой системой. (в ред. Изменения N 1, утв. Приказом Минстроя РФ от 03.12.2016 N 879/пр)

5.73. Крайний ряд стоек или свай устоев деревянных мостов должен входить в насыпь не менее чем на 0,50 м, считая от оси стойки до бровки конуса, при этом концы прогонов должны быть защищены от соприкосновения с грунтом.

5.74. Отсыпку конусов, а также насыпей за устоями мостовых сооружений на длину поверху - не менее высоты насыпи за устоем плюс 2,0 м и понизу (в уровне естественной поверхности грунта) - не менее 2,0 м следует предусматривать из песчаного или другого дренирующего грунта с коэффициентом фильтрации (после уплотнения) не менее 2 м/сут. Дренирующую засыпку необходимо уплотнять до коэффициента уплотнения не менее 0,98.

Абзацы второй - третий - Исключены. (в ред. Изменения N 1, утв. Приказом Минстроя РФ от 03.12.2016 N 879/пр)

5.75. Откосы конусов у мостов и путепроводов должны быть укреплены на всю высоту. Типы укреплений откосов и подошв конусов и насыпей в пределах подтопления на подходах к мостам и у труб, а также откосов регуляционных сооружений следует назначать в зависимости от их крутизны, условий ледохода, воздействия волн и течения воды при скоростях, отвечающих максимальным расходам во время паводков: наибольших - для мостов на железных дорогах общей сети и расчетных - для остальных мостов. Отметки верха укреплений должны быть выше уровней воды, отвечающих указанным выше паводкам, с учетом подпора и наката волны на насыпь:

у больших и средних мостов - не менее 0,50 м;

у малых мостов и труб - не менее 0,25 м.

Отвод воды

5.76. Проезжую часть и другие поверхности конструкций (в том числе тротуары), на которые может попадать вода, следует проектировать с поперечным уклоном не менее 20‰, в балластных корытах железнодорожных мостов - не менее 30‰. (в ред. Изменения N 1, утв. Приказом Минстроя РФ от 03.12.2016 N 879/пр)

Продольный уклон поверхности проезжей части на автодорожных и городских мостах следует принимать не менее 5‰ за исключением участков выпуклых вертикальных кривых, расположенных в зоне вершины вертикальной кривой. При продольном уклоне свыше 10‰ допускается уменьшение поперечного уклона при условии, что геометрическая сумма уклонов будет не менее 20‰. (в ред. Изменения N 1, утв. Приказом Минстроя РФ от 03.12.2016 N 879/пр)

5.77. Воду с поверхности проезжей части и тротуаров следует отводить:

при длине сбора воды не более 50 м - по продольному уклону вдоль парапета (цоколя под ограждением или перилами) со сбросом воды поперечными водоотводными лотками, расположенными на конусах;

при длине водосбора более 50 м - сбросом воды по водосточным трубам в местах расположения опор;

при продольных уклонах сооружения 5 - 10‰ - с помощью водоотводных трубок, устанавливаемых с шагом 6 - 12 м;

поперечными лотками, устраиваемыми в разрывах цоколя под перилами с шагом 6 - 12 м;

на железнодорожных пролетных строениях в специальные щели между блоками главных балок (или бортов балластного корыта). (в ред. Изменения N 1, утв. Приказом Минстроя РФ от 03.12.2016 N 879/пр)

Неорганизованный сброс воды с мостового сооружения по всей его длине не допускается. (в ред. Изменения N 1, утв. Приказом Минстроя РФ от 03.12.2016 N 879/пр)

Вода из водоотводящих устройств не должна попадать на нижележащие конструкции, а также на железнодорожные пути, проезжую часть и тротуары автомобильных дорог и улиц, расположенных под мостовыми сооружениями. (в ред. Изменения N 1, утв. Приказом Минстроя РФ от 03.12.2016 N 879/пр)

При сбросе воды с мостового сооружения поперечными лотками в зоне над конусом в их створе на конусе должен быть организован водоприемный лоток, ориентированный в продольном направлении мостового сооружения. (в ред. Изменения N 1, утв. Приказом Минстроя РФ от 03.12.2016 N 879/пр)

Поперечные телескопические лотки на насыпи подходов должны быть организованы, как правило, сразу за открылками устоев. При этом между шкафной стенкой и лотком должен быть организован подвод воды к телескопическому лотку с укреплением обочины от размыва.

Верх водоотводных трубок и дно лотков следует устраивать ниже поверхности, с которой отводится вода, не менее чем на 1 см.

При расположении мостового сооружения на уклоне, на подходах к сооружению с верховой стороны должны быть устроены перехватывающие воду поперечные лотки (один или два с шагом 10 м), перекрытые трапами и отводящие воду в телескопические лотки, расположенные на откосах подходов.

На пролетных строениях автодорожных, городских и пешеходных мостов следует устраивать дренажную систему, включающую продольные дренажные каналы и дренажные трубки, располагаемые с шагом 6 - 12 м. (в ред. Изменения N 1, утв. Приказом Минстроя РФ от 03.12.2016 N 879/пр)

При наличии дренажной системы и уклонах не менее 20‰ водоотводные трубки можно не устанавливать.

Дренажные каналы располагают в толще защитного слоя или нижнего слоя покрытия. Материал дренажного канала должен обладать прочностью, соответствующей давлению колеса автомобиля. Дренажные трубки следует совмещать со створом водоотводных трубок и размещать между ними. (в ред. Изменения N 1, утв. Приказом Минстроя РФ от 03.12.2016 N 879/пр)

Дренажные каналы следует выполнять шириной 100 - 200 мм в поперечном, продольном и диагональном направлениях. Верх дренажных трубок должен находиться в уровне верха гидроизоляции. Продольные дренажные каналы располагают в местах перелома поперечного профиля при встречных уклонах проезжей части и тротуаров, у цоколей под перилами при отсутствии перелома в поперечном профиле. Каналы диагонального направления устраивают на широких пролетных строениях и на пролетных строениях, расположенных на вираже. Поперечные дренажные каналы устраивают у деформационных швов только в пределах ширины тротуаров и полос безопасности. (в ред. Изменения N 1, утв. Приказом Минстроя РФ от 03.12.2016 N 879/пр)

Для предотвращения увлажнения нижних поверхностей железобетонных и бетонных конструкций (консольных плит крайних балок, тротуарных блоков, оголовков опор и др.) на них следует устраивать защитные выступы и слезники.

5.78. Водоотводные трубки должны иметь внутренний диаметр не менее 150 мм.

Трубки для отвода дренажных вод должны иметь диаметр не менее 40 мм.

Водоотводные трубки в балластных корытах железнодорожных мостов следует устраивать из расчета не менее 5 см2 сечения трубки на 1 м2 площади стока.

Расстояния между дренажными трубками на проезжей части автодорожных и городских мостов должны составлять вдоль пролета не более 6 м при продольном уклоне до 5‰ и 12 м - при уклонах от 5 до 10‰. На более крутых уклонах расстояние между трубками может быть увеличено.

Водоотводные и дренажные трубки следует устанавливать после монтажа балок пролетного строения при устройстве конструкции дорожной одежды в пробуренные в плите балок отверстия. Гидроизоляция должна быть заведена в воронку трубки и защемлена водоприемным стаканом. (в ред. Изменения N 1, утв. Приказом Минстроя РФ от 03.12.2016 N 879/пр)

5.79. При необходимости сохранения вечномерзлых грунтов в основаниях устоев следует предусматривать меры, исключающие доступ воды к основанию.

В случае притока поверхностной воды со стороны подходов необходимо предусматривать устройства для отвода ее за пределы земляного полотна.

Эксплуатационные обустройства

5.80. Все части пролетных строений, видимые поверхности опор и труб должны быть доступны для осмотра и ухода, для чего следует устраивать проходы, люки, лестницы, перильные ограждения (высотой не менее 1,10 м), специальные смотровые приспособления, а также, при необходимости, закладные части для подвески временных подмостей. На мостах с балочными пролетными строениями и подвижными опорными частями следует предусматривать условия для выполнения работ по регулированию положения, ремонту или замене опорных частей.

5.81. У каждого конца мостового сооружения или трубы при высоте насыпи свыше 2 м для железнодорожных и свыше 4 м для автодорожных сооружений следует, как правило, устраивать по откосам постоянные лестничные сходы шириной не менее 0,75 м.

5.82. В необходимых случаях (например, при строительстве мостов и труб в опытном порядке, при применении пролетных строений статически неопределимых систем, чувствительных к осадкам, при создании в стальных конструкциях предварительно напряженного состояния и др.) в проектной документации следует предусматривать установку специальных марок или других приспособлений для осуществления контроля за общими деформациями, а также за напряженным состоянием отдельных элементов.

5.83. На железнодорожных мостах и в путепроводах тоннельного типа при их длине свыше 50 м следует предусматривать площадки-убежища в уровне железнодорожного проезда через 50 м с каждой стороны проезда, располагаемые в шахматном порядке. При длине мостового сооружения до 100 м площадки-убежища допускается устраивать по одной с каждой стороны проезда.

На линиях, где предусмотрена скорость движения поездов свыше 120 км/ч, а также в районах со средней температурой наружного воздуха наиболее холодной пятидневки с обеспеченностью 0,98 ниже минус 40 °C расстояние между площадками-убежищами должно быть не более 25 м.

5.84. При строительстве и реконструкции мостовых сооружений и труб должны быть запроектированы и выполнены мероприятия, направленные на обеспечение требуемого уровня пожарной безопасности сооружения в соответствии с ГОСТ 30244, ГОСТ 30247.0 и ГОСТ 30247.1.

Указанные мероприятия должны включать:

обоснованные технические решения по генеральному плану;

обоснование и обеспечение требуемых пределов огнестойкости и классов пожарной опасности применяемых строительных конструкций;

технические решения по предотвращению воспламенения проливов легковоспламеняемых и горючих жидкостей на проезжей части мостовых сооружений, а также в подмостовом пространстве;

технические решения, направленные на обеспечение условий для эффективного тушения пожара;

технические решения по обеспечению пожарной безопасности зданий, сооружений и помещений, размещаемых в подмостовом пространстве;

организационно-технические мероприятия, направленные на предотвращение чрезвычайных ситуаций с угрозой возникновения пожара.

5.85. Функциональное использование подмостового пространства (в пределах горизонтальной проекции моста) должно быть обосновано в проекте сооружения. В составе проекта разрабатываются технологические, санитарно-технические, противопожарные мероприятия и другие разделы, обусловленные спецификой объекта, а также действующим законодательством.

Здания, сооружения и помещения, встраиваемые в подмостовое пространство, а также служебные помещения для размещения механизмов разводных мостов следует проектировать и оборудовать в соответствии с действующими нормативными документами.

Для существующих зданий и сооружений, попадающих в зону подмостового пространства, при проектировании и строительстве мостовых сооружений должны быть разработаны дополнительные противопожарные мероприятия, направленные на обеспечение безопасности при пожаре для находящихся в зданиях и сооружениях подмостового пространства людей, а также на обеспечение пожарной безопасности мостового сооружения.

5.86. Все металлические конструкции мостовых сооружений должны быть заземлены при условии:

расположения на сооружении силовых кабелей;

расположения на расстоянии менее 5 м от контактной сети постоянного тока и менее 10 м от контактной сети переменного тока.

Также должны быть заземлены железобетонные и бетонные конструкции, поддерживающие контактную сеть.

5.87. На путепроводах и пешеходных мостах через пути электрифицированных железных дорог над контактной сетью следует предусматривать устройство ограждающих и предохранительных вертикальных щитов (сеток) высотой 2,0 м. Допускается применение с каждой стороны моста горизонтальных щитов (сеток) длиной не менее 1,5 м.

5.88. Железнодорожные мосты и путепроводы на путях перевозки ковшей с жидким чугуном и горячим шлаком должны иметь вместо перил специальные предохранительные ограждения, высота которых должна быть на 20 см выше верха ковшей. При этом через 50 м с каждой стороны следует предусматривать площадки-убежища, располагающиеся в шахматном порядке.

Конструкции путепроводов, под которыми предполагается проход слитко-, чугуно- или шлаковозных составов, должны иметь специальные экраны, ограничивающие нагрев ограждаемых конструкций до температуры не выше 100 °C.

5.89. На всех мостах не допускается прокладка нефтепроводов, нефтепродуктопроводов и, как правило, линий высоковольтных электропередач (напряжением свыше 1000 В). Кроме того, на мостах не допускается прокладка газопроводов и канализационных трубопроводов, а также водопроводных линий.

При специальном технико-экономическом обосновании на автодорожных, городских и пешеходных мостах допускается прокладка в стальных трубах тепловых сетей, водопроводных линий, напорной канализации и газопроводов с рабочим давлением не более 0,6 МПа.

Во всех случаях должны быть предусмотрены меры по обеспечению сохранности моста, а также непрерывности и безопасности движения по нему в случаях прорывов и повреждений трубопроводов и кабелей. Для этого на больших и средних мостах как правило, а на железнодорожных мостах обязательно линии электропередачи и другие коммуникации должны иметь устройства для выключения этих линий и коммуникаций с обеих сторон моста.

Примечание. В обоснованных случаях на городских и автодорожных мостах, расположенных в населенных пунктах, допускается прокладка кабельных линий высоковольтных электропередач при условии обеспечения безопасности работ по текущему содержанию моста.

Прокладка кабельных маслонаполненных линий и высоковольтных воздушных электропередач по мостам не разрешается.

5.90. Мосты должны иметь приспособления для пропуска линий связи, предусмотренных на данной дороге, и других коммуникаций, разрешенных для данного сооружения, а на железных дорогах (в том числе и на линиях, где электрическая тяга поездов первоначально не предусмотрена) и в городах при троллейбусном и трамвайном движении - также устройства для подвески контактной сети.

Для прокладки труб и кабелей следует, как правило, предусматривать специальные конструктивные элементы (выносные консоли, поперечные диафрагмы, наружные подвески и т.п.), не препятствующие выполнению работ по текущему содержанию и ремонту моста.

Прокладка коммуникаций под тротуарными плитами и на разделительной полосе допускается при защите от повреждений во время эксплуатации как коммуникаций, так и конструкций моста. В случае прокладки коммуникаций в замкнутых полостях блоков под тротуарными плитами необходимо устройство в них гидроизоляции и отверстий для водоотвода.

5.91. Железнодорожные и автодорожные мосты с разводными пролетами, а также мосты с совмещенной проезжей частью (для неодновременного движения рельсовых и безрельсовых транспортных средств) должны быть ограждены с обеих сторон сигналами прикрытия, находящимися на расстоянии не менее 50 м от въездов на них.

Открывание сигналов прикрытия должно быть возможным только при неразведенном положении разводного пролета, а также при незанятом состоянии совмещенного проезда.

Железнодорожные мосты с разводными пролетами, а также однопутные мосты на двухпутных участках дороги должны быть защищены предохранительными (улавливающими) тупиками или устройствами путевого заграждения.

Для больших железнодорожных мостов следует предусматривать устройство заградительной и оповестительной сигнализации, а также контрольно-габаритных устройств.

Судоходные пролеты на мостах через водные пути должны быть оборудованы освещаемой судовой сигнализацией.

5.92. У охраняемых мостов следует предусматривать помещения для службы охраны моста и соответствующие устройства.

Около больших железнодорожных мостов, а также автодорожных и городских мостов длиной свыше 200 м следует предусматривать помещения площадью 16 - 25 м2 для их обслуживания и, кроме того, в обоснованных случаях - помещения для компрессорных.

На больших железнодорожных мостах для механизации работ по текущему содержанию и ремонту следует предусматривать устройство линий подачи сжатого воздуха и воды, а также линий продольного электроснабжения с токоразборными точками.

Авторский надзор, научно-техническое сопровождение и мониторинг

5.93. В целях обеспечения качества проектных и строительно-монтажных работ, а также повышения надежности, долговечности и безопасности мостовых сооружений следует предусматривать авторский надзор, научно-техническое сопровождение проектирования и строительства, а также мониторинг.

5.94. Выполнение авторского надзора производится в соответствии с [15]. (в ред. Изменения N 1, утв. Приказом Минстроя РФ от 03.12.2016 N 879/пр)

К авторскому надзору относятся следующие основные функции:

периодическая проверка соответствия проекту завершенных строительством конструкций;

участие в освидетельствовании и приемке наиболее ответственных конструкций;

корректировка в случае необходимости на месте рабочей документации в рамках своей компетенции.

5.95. Научно-техническое сопровождение проектирования и строительства мостовых сооружений осуществляет уполномоченная заказчиком специализированная организация.

Научно-техническое сопровождение заключается в разработке рекомендаций по использованию в проектах и на стадии строительства инновационных конструкций и технологий, новых материалов, выполнении сложных расчетов, математическом и физическом моделировании и контроле качества работ. (в ред. Изменения N 1, утв. Приказом Минстроя РФ от 03.12.2016 N 879/пр)

5.96. В необходимых случаях в проектах с целью оценки фактической работы мостовых конструкций следует предусматривать мониторинг напряженно-деформированного состояния мостов, т.е. систему длительного контроля за их состоянием и поведением в процессе строительства (реконструкции) и эксплуатации в соответствии с ГОСТ Р 22.1.12.

Мониторинг необходимо организовывать в следующих случаях:

при строительстве и эксплуатации больших и сложных по конструкции мостов;

для металлических и железобетонных конструкций, в которых применено их дополнительное предварительное напряжение (регулирование усилий);

для мостов с внешне статически неопределимыми конструкциями, в которых возможно появление дополнительных усилий, деформаций и осадок из-за геологических, гидрологических, оползневых и сейсмических явлений;

для железобетонных конструкций, в которых возможна большая неопределенность длительных процессов, связанных с ползучестью, усадкой и температурными деформациями (разные возрасты бетона, сочетание сборных и монолитных конструкций и т.п.).

5.97. При приемке в эксплуатацию мосты и трубы следует обследовать и испытывать в соответствии с требованиями СП 79.13330. (в ред. Изменения N 1, утв. Приказом Минстроя РФ от 03.12.2016 N 879/пр)

6. Нагрузки и воздействия

Сочетания нагрузок

6.1. Конструкции мостов и труб следует рассчитывать на нагрузки и воздействия и их сочетания, принимаемые в соответствии с таблицей 6.1.

Таблица 6.1

Номер нагрузки (воздействия) Нагрузки и воздействия Номер нагрузки (воздействия), не учитываемой в сочетании с данной нагрузкой (воздействием)
А. Постоянные
1 Собственный вес конструкций -
2 Воздействие предварительного напряжения (в том числе регулирования усилий) -
3 Давление грунта от веса насыпи -
4 Гидростатическое давление -
5 Воздействие усадки и ползучести бетона -
6 Воздействие осадки грунта -
Б. Временные
От подвижного состава и пешеходов
7 Вертикальные нагрузки 16, 17
8 Давление грунта от подвижного состава 16, 17
9 Горизонтальная поперечная нагрузка от центробежной силы 10, 16, 17
10 Горизонтальные поперечные удары подвижного состава 9, 11, 12, 16 - 18
11 Горизонтальная продольная нагрузка от торможения или силы тяги 10, 13, 14, 16, 17
В. Прочие
12 Ветровая нагрузка 10, 14, 18
13 Ледовая нагрузка 11, 14, 16, 18
14 Нагрузка от навала судов 11 - 13, 15 - 18
15 Температурные климатические воздействия 14, 18
16 Воздействие морозного пучения грунта 7 - 11, 13, 14, 18
17 Строительные нагрузки 7 - 11, 14, 18
18 Сейсмические нагрузки 10, 12 - 17
19 Трение и сопротивление сдвигу в опорных частях 11, 14, 18
Примечания. 1. Расчеты на выносливость производят на сочетания, в которые кроме постоянных нагрузок и воздействий входят временные нагрузки N 7 - 9, при этом вертикальную нагрузку от пешеходов на тротуарах с вертикальной нагрузкой от подвижного состава совместно учитывать не следует.
2. Расчеты по предельным состояниям II группы следует производить только на сочетания нагрузок и воздействий N 1 - 9, 15 и 17. При этом в расчетах железобетонных конструкций по трещиностойкости также надлежит учитывать нагрузку N 11, а при расчете горизонтальных перемещений верха опор - нагрузки N 10, 12 и 13.
3. Для пешеходных мостов закрытого типа следует учитывать снеговую нагрузку согласно СП 20.13330.

6.2. Коэффициенты сочетаний , учитывающие уменьшение вероятности одновременного появления расчетных нагрузок, следует во всех расчетах принимать равными:

а) к постоянным нагрузкам N 1 - 6, к нагрузке N 17 и весу порожнего подвижного состава железных дорог - 1,0;

б) при учете действия только одной из временных нагрузок или группы сопутствующих одна другой нагрузок N 7 - 9 (N 7 - 8, 10) без других нагрузок - 1,0;

в) при учете действия двух или более временных нагрузок (условно считая группу нагрузок N 7 - 9 или N 7 - 8, 10 за одну нагрузку) к одной из временных нагрузок - 0,8, к остальным - 0,7.

Примечания.

1. К нагрузке N 12 во всех случаях сочетания с нагрузкой N 7 в зависимости от вида подвижного состава, образующего нагрузку, коэффициент следует принимать равным:

а) при загружении железнодорожным подвижным составом и поездами метрополитена:

не защищенными от воздействия бокового ветра - 0,5;

защищенными галереями от воздействия бокового ветра - 1,0;

б) при загружении автотранспортными средствами и вагонами трамвая - 0,35.

Для автодорожных и городских мостов в случае действия нескольких временных нагрузок и отсутствия среди них нагрузки N 7 к нагрузке N 12 следует принимать = 0,5.

2. Во всех сочетаниях нагрузок коэффициенты необходимо принимать: к нагрузкам N 7 - 9 - одинаковыми, к нагрузке N 11 - не более чем к нагрузке N 7.

3. При учете нагрузки N 18 совместно с нагрузкой N 7 и ей сопутствующими нагрузками коэффициенты следует принимать к нагрузке N 18 - 0,8, к остальным временным нагрузкам для мостов:

железнодорожных (только с одного пути) - 0,7;

автодорожных и городских - 0,5. (в ред. Изменения N 1, утв. Приказом Минстроя России от 03.12.2016 N 879/пр)

4. Значения коэффициентов для различных комбинаций временных нагрузок и воздействий приведены в Приложении Д.

6.3. Величины нагрузок и воздействий для расчета конструкций по всем группам предельных состояний принимают с коэффициентами надежности по нагрузке (согласно 6.10, 6.23 и 6.32 для соответствующих нормативных нагрузок и воздействий) и динамическими коэффициентами 1 + или 1 + 2/3, указанными в 6.22 согласно таблице 6.2.

Таблица 6.2

Группа предельного состояния Вид расчета Вводимый коэффициент
ко всем нагрузкам и воздействиям, кроме подвижной вертикальной к подвижной вертикальной нагрузке <*>
I а) Все расчеты, кроме перечисленных в "б" - "г" ; 1 +
б) На выносливость = 1 = 1; 1 + 2/3
в) По устойчивости положения <***>
г) На сочетания, включающие сейсмическую нагрузку <**>
II Все расчеты, включая расчеты по образованию и раскрытию трещин в железобетоне = 1 = 1
<*> Во всех неоговоренных случаях (кроме нагрузки от кранов по 6.30) динамический коэффициент следует принимать 1 + = 1.
<**> Для сейсмических нагрузок следует принимать = 1.
<***> К порожнему составу железных дорог и метрополитена следует принимать = 1.

Постоянные нагрузки и воздействия

6.4. Нормативную вертикальную нагрузку от собственного веса конструкций, а также постоянных смотровых приспособлений, опор и проводов линий электрификации и связи, трубопроводов и т.д. следует определять по проектным объемам.

Для балочных пролетных строений нагрузку от собственного веса допускается принимать равномерно распределенной по длине пролета, если величина ее на отдельных участках отклоняется от средней величины не более чем на 10%.

Нормативную нагрузку от веса мостового полотна одного железнодорожного пути следует принимать равной:

при деревянных поперечинах и отсутствии тротуаров - 6,9 кН/м пути;

то же, при двух тротуарах с металлическими консолями и железобетонными плитами настила - 12,7 кН/м пути;

при железобетонных безбалластных плитах без тротуаров - 16,7 кН/м пути;

то же, с двумя тротуарами - 22,6 кН/м пути.

Вес сварных швов, а также выступающих частей высокопрочных болтов с гайками и двумя шайбами допускается принимать в процентах к общему весу металла по таблице 6.3.

Таблица 6.3

Металлическая конструкция Сварные швы, % Выступающие части высокопрочных болтов, гайки и две шайбы, %
Болтосварная 1,0 4,0
Сварная 2,0 -

6.5. Нормативное воздействие предварительного напряжения (в том числе регулирования усилий) в конструкции следует устанавливать по предусмотренному (контролируемому) усилию с учетом нормативных величин потерь, соответствующих рассматриваемой стадии работы.

В железобетонных и сталежелезобетонных конструкциях кроме потерь, связанных с технологией выполнения работ по напряжению и регулированию усилий, следует учитывать также потери, вызываемые усадкой и ползучестью бетона.

6.6. Нормативное давление грунта от веса насыпи на опоры мостов и звенья труб следует определять по формулам, кПа:

а) вертикальное давление:

для опор мостов

; (6.1)

для звеньев труб

; (6.2)

б) горизонтальное (боковое) давление

, (6.3)

где h, - высота засыпки, м, определяемая для устоев мостов по Приложению Е, для звеньев труб - Приложению Ж;

- нормативный удельный вес грунта, кН/м3;

- коэффициент вертикального давления, определяемый для звеньев труб по Приложению Ж;

- коэффициент нормативного бокового давления грунта засыпки береговых опор мостов или звеньев труб, определяемый по формуле

, (6.4)

здесь - нормативный угол внутреннего трения грунта, град.

Значения и следует, как правило, принимать на основании лабораторных исследований образцов грунтов, предназначенных для засыпки сооружения.

При повторном применении проектов для определения нормативного давления грунта допускается принимать удельный вес грунта засыпки = 17,7 кН/м3, нормативные углы внутреннего трения , равными:

для устоев при засыпке песчаным (дренирующим) грунтом - 35°;

для звеньев труб, находящихся в насыпи, - 30°;

для оголовков труб - 25°.

Методика определения равнодействующей нормативного горизонтального (бокового) давления на опоры мостов от собственного веса грунта приведена в Приложении Е.

6.7. Нормативное гидростатическое давление (взвешивающее действие воды) следует определять в соответствии с указаниями раздела 11.

6.8. Нормативное воздействие усадки и ползучести бетона следует принимать в виде относительных деформаций и учитывать при определении перемещений и усилий в конструкциях. Ползучесть бетона определяется только от действия постоянных нагрузок.

Значения нормативных деформаций усадки и ползучести для рассматриваемой стадии работы следует определять по значениям предельных относительных деформаций усадки бетона и удельных деформаций ползучести бетона в соответствии с указаниями разделов 7 и 9.

6.9. Нормативное воздействие от осадки грунта в основании опор мостов следует принимать по результатам расчета осадок фундаментов.

6.10. Коэффициенты надежности по нагрузке для постоянных нагрузок и воздействий, указанных в 6.4 - 6.9, следует принимать по таблице 6.4. При этом на всех загружаемых нагрузкой участках значения для каждой из нагрузок следует принимать одинаковыми во всех случаях, за исключением расчетов по устойчивости положения, в которых для разных загружаемых участков принимается в соответствии с 5.40 и 5.41.

Таблица 6.4

Нагрузки и воздействия Коэффициенты надежности по нагрузке
Все нагрузки и воздействия, кроме указанных ниже в данной таблице 1,1 (0,9)
Вес мостового полотна с ездой на балласте под железную дорогу, а также пути метрополитена и трамвая 1,3 (0,9)
Вес балластного мостового полотна под трамвайные пути на бетонных и железобетонных плитах 1,2 (0,9)
Вес выравнивающего, изоляционного и защитного слоев автодорожных и городских мостов 1,3 (0,9)
Вес покрытия ездового полотна и тротуаров автодорожных и городских мостов, покрытия прохожей части пешеходных мостов 1,5 (0,9)
Вес деревянных конструкций в мостах 1,2 (0,9)
Горизонтальное давление грунта от веса насыпи:
на опоры мостов (включая устои) 1,4 (0,7)
на звенья труб 1,3 (0,8)
Воздействия предварительного напряжения (регулирования усилий) при контроле только по деформациям 1,2 (0,8)
Воздействие усадки и ползучести бетона и предварительного напряжения (регулирования усилий) 1,1 (0,9)
Воздействие осадки грунта 1,5 (0,5)
Примечания. 1. Значения для мостов на внутрихозяйственных автомобильных дорогах следует принимать такими же, как и для мостов на автомобильных дорогах общего назначения.
2. Значения в скобках следует принимать в случаях, когда при этом сочетании нагрузок создается более невыгодное воздействие на элементы конструкции.

Временные нагрузки от подвижного состава и пешеходов

 

6.11. Нормативную временную вертикальную нагрузку от подвижного состава железных дорог (СК) следует принимать (с учетом перспективы развития транспортных средств железных дорог) в виде объемлющих максимальных эквивалентных нагрузок v, кН/м пути, полученных от отдельных групп сосредоточенных грузов весом до 24,5 К (кН) и равномерно распределенной нагрузки интенсивностью 9,81 К (кН/м пути).

Показатель К обозначает класс устанавливаемой нагрузки, который принимается равным:

для капитальных сооружений - 14;

для деревянных мостов - 11.

Для реконструируемых сооружений класс нагрузки СК следует принимать в задании на проектирование, но не менее 11. (в ред. Изменения N 1, утв. Приказом Минстроя РФ от 03.12.2016 N 879/пр)

Таблица интенсивности нормативной нагрузки v и правила загружения указанной нагрузкой линий влияния приведены в Приложении К. При этом приняты обозначения: - длина загружения линии влияния, м; = а / - относительное положение вершины линии влияния; a - проекция наименьшего расстояния от вершины до конца линии влияния, м.

Вес нагрузки, приходящийся на 1 м пути, следует принимать равным значениям v при = а / = 0,5, но не более 19,62 К (кН/м пути).

Временную вертикальную нагрузку от порожнего подвижного состава следует принимать равной 13,7 кН/м пути.

Нормативную нагрузку для расчета мостов и труб на путях железных дорог промышленных предприятий, где предусмотрено обращение особо тяжелого железнодорожного подвижного состава, следует принимать с учетом его веса.

В случаях, указанных ниже, нагрузку СК необходимо вводить в расчеты с коэффициентами 1, которые учитывают наличие в поездах только перспективных локомотивов и вагонов, а также отсутствие тяжелых транспортеров.

Нагрузку СК необходимо принимать в расчетах:

на выносливость;

железобетонных конструкций по раскрытию трещин, по сейсмическим нагрузкам, а также при определении прогибов пролетных строений и перемещений опор - на всех загружаемых путях; при загружениях второго и третьего путей - во всех других случаях.

Величину коэффициента следует определять по таблице 6.5.

Таблица 6.5

Длина загружения лямбда , м Коэффициент
5 и менее 1,00
от 10 до 25 0,85
50 и более 1,00
Примечания. 1. Если кроме коэффициента в расчетах учитывают динамический коэффициент, то их произведение следует принимать не менее единицы.
2. Для промежуточных значений коэффициент следует определять по интерполяции.

6.12. Нормативную временную вертикальную нагрузку от подвижного состава на автомобильных дорогах (общего пользования, внутрихозяйственных сельскохозяйственных организаций и предприятий), на улицах и дорогах городов, поселков и сельских населенных пунктов следует принимать (с учетом перспективы):

а) от автотранспортных средств - в виде полос АК (рисунок 6.1, а), каждая из которых включает одну двухосную тележку с осевой нагрузкой 10 К (кН) и равномерно распределенную нагрузку интенсивностью v (на обе колеи) - К (кН/м), где c - длина, м, соприкасания колеса с покрытием проезжей части.

а)

б)

в)

г)

а - автомобильная нагрузка АК в виде полосы равномерно распределенной нагрузки интенсивностью v и одиночной тележки; б - тяжелая одиночная нагрузка НК; в - поезд метрополитена; г - поезд трамвая

Рисунок 6.1. Схемы нагрузок от подвижного состава для расчета автодорожных и городских мостов

Нагрузкой АК загружаются также трамвайные пути при их расположении на необособленном полотне.

Класс нагрузки К надлежит принимать равным 14 для всех мостов и труб, кроме деревянных и расположенных в рекреационных и природоохранных зонах городов, для которых класс нагрузки следует принимать равным 11.

При реконструкции и капитальном ремонте сооружений класс нагрузки следует принимать в задании на проектирование (не менее 11 при реконструкции); (в ред. Изменения N 1, утв. Приказом Минстроя РФ от 03.12.2016 N 879/пр)

б) от тяжелых одиночных нагрузок НК (рисунок 6.1, б) для мостов и труб, проектируемых:

под нагрузку А14 - в виде четырехосной тележки Н14 с нагрузкой на ось 18 К (кН);

под нагрузку А11 - то же, в виде тележки Н11 с нагрузкой на ось 196 кН;

в) от подвижного состава метрополитена с каждого пути - в виде поезда расчетной длины, состоящего из четырехосных вагонов (рисунок 6.1, в) общим весом каждого загруженного вагона 588 кН. При загружении линий влияния, имеющих два или более участков одного знака, разделяющие их участки другого знака следует загружать порожними вагонами весом каждый 294 кН;

г) от трамваев (при расположении трамвайных путей на самостоятельном огражденном или обособленном полотне) с каждого пути - в виде поездов из четырехосных вагонов (рисунок 6.1, г) общим весом каждого загруженного вагона 294 кН и порожнего - 147 кН; число вагонов в поезде и расстояние между поездами должны соответствовать самому неблагоприятному загружению при следующих ограничениях: число вагонов в одном поезде - не более четырех; расстояния между крайними осями рядом расположенных поездов - не менее 8,5 м.

Загружения моста указанными нагрузками должны создавать в рассчитываемых элементах наибольшие усилия, в установленных нормами местах конструкции - максимальные перемещения (деформации). При этом для нагрузки АК во всех случаях должны быть выполнены условия:

при наличии линий влияния, имеющих три или более участков разных знаков, тележкой загружается участок, дающий для рассматриваемого знака наибольшее значение усилия (перемещения), равномерно распределенной нагрузкой (с необходимыми ее перерывами по длине) загружаются все участки, вызывающие усилие (перемещение) этого знака.

Абзацы четвертый - одиннадцатый. - Исключены. (в ред. Изменения N 1, утв. Приказом Минстроя РФ от 03.12.2016 N 879/пр)

По ширине моста можно располагать любое число полос нагрузки АК при условии, что расстояние от оси крайней полосы до ограждения должно составлять не менее 1,5 м, а расстояние между осями смежных полос - не менее 3 м. Если нагрузка от пешеходов на тротуары создаст неблагоприятное воздействие, ее следует учитывать совместно с нагрузкой АК. (в ред. Изменения N 1, утв. Приказом Минстроя РФ от 03.12.2016 N 879/пр)

При определении в рассматриваемом сечении совместного воздействия нескольких силовых факторов допускается для каждого фактора нагрузку АК устанавливать в самое неблагоприятное положение.

Мосты под пути метрополитена (несовмещенные) при расчетах по предельным состояниям первой группы должны быть проверены на загружение одного из путей поездом, не создающим динамического воздействия, но имеющим длину, превышающую (до 2 раз) длину расчетного поезда. При этом на двухпутных мостах второй путь должен быть загружен поездом расчетной длины.

Тяжелую одиночную нагрузку НК следует располагать вдоль направления движения на любом участке проезжей части моста (в которую не входят полосы безопасности). Ось нагрузки НК должна быть расположена не ближе 1,75 м от кромки проезжей части. Также следует проводить проверку на воздействие сдвоенных нагрузок НК, устанавливаемых на расстоянии 12 м (между последней осью первой и передней осью второй нагрузки), с учетом понижающего коэффициента 0,75.

Примечания.

1. Если на мосту предусмотрена разделительная полоса шириной 3 м и более без ограждений, то при загружении моста временными вертикальными нагрузками следует учитывать возможность использования в перспективе разделительной полосы для движения.

2. Нагрузку НК не учитывают совместно с временной нагрузкой на тротуарах, с сейсмическими нагрузками, а также при расчетах конструкций на выносливость. При расчетах по второму предельному состоянию нагрузка НК принимается с коэффициентом 0,8. Сдвоенную нагрузку НК не следует учитывать в расчетах по второму предельному состоянию. (в ред. Изменения N 1, утв. Приказом Минстроя РФ от 03.12.2016 N 879/пр)

3. При загружении трамвайных путей временной нагрузкой от автотранспортных средств (6.12, а) оси полос нагрузки АК следует совмещать с осями трамвайных путей.

4. Распределение давления в пределах толщины одежды проезжей части следует принимать под углом 45°.

6.13. Нормативную вертикальную нагрузку от подвижного состава на автомобильных дорогах промышленных предприятий, где предусмотрено обращение автомобилей особо большой грузоподъемности и на которые не распространяются ограничения весовых и габаритных параметров автотранспортных средств общего назначения, следует принимать в виде колонн двухосных автомобилей АБ с параметрами, приведенными в таблице 6.6.

Таблица 6.6

Параметр Нагрузки
АБ-51 АБ-74 АБ-151
Нагрузка на ось груженого автомобиля, кН:
заднюю 333 490 990
переднюю 167 235 490
Расстояние между осями (база) автомобиля, м 3,5 4,2 4,5
Габарит по ширине (по колесам задней оси), м 3,5 3,8 5,4
Ширина колеи, м, колес:
задних 2,4 2,5 3,75
передних 2,8 2,8 4,1
Размер площадки контакта задних колес с покрытием проезжей части, м:
по длине 0,4 0,45 0,80
по ширине 1,1 1,30 1,65
Диаметр колеса, м 1,5 1,8 2,5

При проектировании следует рассматривать случаи:

а) по мосту движутся колонны автомобилей, создающие динамическое воздействие;

б) на мосту имеет место вынужденная остановка расчетных автомобилей (динамическое воздействие не возникает).

В случае "а" расстояние между задней и передней осями соседних автомобилей в каждой колонне не должно быть менее, м:

20 - для нагрузок АБ-51 и АБ-74;

26 - для нагрузки АБ-151.

По ширине моста колонны, число которых не должно превышать числа полос движения, следует устанавливать в самое невыгодное положение с соблюдением расстояний, указанных в таблице 6.7.

Таблица 6.7

Расстояние по ширине моста Наименьший размер, м, для нагрузок
АБ-51 АБ-74 АБ-151
От ограждения до края заднего колеса автомобиля:
движущегося 1,0 1,2 1,6
стоящего Вплотную
Между краями задних колес соседних автомобилей:
движущихся 1,9 2,0 2,5
стоящих 0,5 0,7 1,0

В случае "б" мост загружается одной колонной, имеющей не более трех автомобилей. Расстояние между задними и передними осями автомобилей должно быть не менее 8 м - для нагрузок АБ-51 и АБ-74 и не менее 10 м - для нагрузки АБ-151. На остальных полосах устанавливается не более одного автомобиля. По ширине моста колонна и одиночный автомобиль устанавливаются в наиболее невыгодное положение с соблюдением расстояний, указанных в таблице 6.7.

Эквивалентные нагрузки для треугольных линий влияния от одиночных автомобилей нагрузки АБ, а также от стоящих и движущихся колонн этих автомобилей (при установленных минимальных расстояниях между автомобилями) приведены в Приложении Л.

Примечание. Мосты и трубы, расположенные на дорогах промышленных предприятий, где обращаются автомобили с расчетной шириной свыше 2,5 м, а давление задней тележки менее 196 кН, следует проектировать на нагрузки А14 и Н14.

6.14. Во всех расчетах для элементов или отдельных конструкций мостов, воспринимающих временную нагрузку с нескольких путей или полос движения, нагрузку от подвижного состава следует принимать с коэффициентами полосности. (в ред. Изменения N 1, утв. Приказом Минстроя РФ от 03.12.2016 N 879/пр)

С одного пути (где нагрузка приводит к самым неблагоприятным результатам) нагрузку СК следует принимать с коэффициентом полосности = 1,0. С остальных путей нагрузки принимают с коэффициентами полосности , равными для нагрузки СК (одновременно загружается не более трех путей): (в ред. Изменения N 1, утв. Приказом Минстроя РФ от 03.12.2016 N 879/пр)

1,0 - при длине загружения 15 м и менее; (в ред. Изменения N 1, утв. Приказом Минстроя РФ от 03.12.2016 N 879/пр)

0,7 - при длине загружения 25 м и более; (в ред. Изменения N 1, утв. Приказом Минстроя РФ от 03.12.2016 N 879/пр)

для промежуточных значений длин - по интерполяции. (в ред. Изменения N 1, утв. Приказом Минстроя РФ от 03.12.2016 N 879/пр)

Нагрузку АК (тележку и распределенную составляющую) следует учитывать с коэффициентами полосности , , . Для первой по значимости полосы (где нагрузка приводит к самым неблагоприятным результатам) следует принимать = 1,0, для второй полосы по значимости = 0,6, для остальных полос = 0,3. (в ред. Изменения N 1, утв. Приказом Минстроя РФ от 03.12.2016 N 879/пр)

Нагрузку АБ следует учитывать с коэффициентами полосности , . Для первой по значимости колонны (где нагрузка приводит к самым неблагоприятным результатам) следует принимать = 1,0, для второй колонны по значимости = 0,7. (в ред. Изменения N 1, утв. Приказом Минстроя РФ от 03.12.2016 N 879/пр)

Для поездов метрополитена и трамвая коэффициенты полосности принимаются равными 1,0. (в ред. Изменения N 1, утв. Приказом Минстроя РФ от 03.12.2016 N 879/пр)

6.15. При одновременном загружении полос автомобильного движения (совместно с тротуарами) и рельсовых путей (железных дорог, метрополитена или трамвая) временную вертикальную нагрузку, которая оказывает меньшее воздействие (как вертикальное, так и горизонтальное), следует вводить в расчет с дополнительным коэффициентом , определяемым по формулам:

при одновременном загружении железнодорожных путей и полос автомобильного движения

, но не менее 0,80; (6.5) (в ред. Изменения N 1, утв. Приказом Минстроя РФ от 03.12.2016 N 879/пр)

то же, путей метрополитена или трамвая и полос автомобильного движения

, но не менее 0,80, (6.6)

где - длина загружения пролетного строения нагрузкой, оказывающей меньшее воздействие, м.

6.16. Нормативное горизонтальное (боковое) давление грунта на устои мостов (и промежуточные опоры, если они расположены внутри конусов) от подвижного состава, находящегося на призме обрушения, следует принимать с учетом распространения нагрузки в грунте ниже подошвы рельса или верха дорожного покрытия под углом к вертикали arctg1/2 и определять согласно Приложению М.

Примечание. Совместно с сейсмическим воздействием горизонтальное (боковое) давление грунта на устои от подвижного состава, находящегося на призме обрушения, не учитывается.

6.17. Нормативное давление грунта от подвижного состава на звенья (секции) труб, кПа, на соответствующую проекцию внешнего контура трубы следует определять с учетом распределения давления нагрузки в грунте по формулам:

а) вертикальное давление:

от подвижного состава железных дорог

; (6.7)

от транспортных средств автомобильных и городских дорог (кроме нагрузки АК, на которую расчет не производится), а также дорог промышленных предприятий с обращением автомобилей АБ

; (6.8)

б) горизонтальное давление

, (6.9)

где v - интенсивность временной вертикальной нагрузки от подвижного состава железных дорог, принимаемая по таблице К.1 Приложения К для длины загружения = d + h и положения вершины линии влияния = 0,5, но не более 19,6 К, кН/м;

d - диаметр (ширина) звена (секции) по внешнему контуру, м;

h - расстояние от подошвы рельса или верха дорожного покрытия до верха звена при определении вертикального давления или до рассматриваемого горизонта при определении горизонтального (бокового) давления, м;

- коэффициент, определяемый по формуле (6.4);

- линейная нагрузка, кН/м, определяемая по таблице 6.8;

- длина участка распределения, м, определяемая по таблице 6.8.

Таблица 6.8

Параметр Для нагрузок
Н11 Н14 АБ-51 АБ-74 АБ-151
при высоте засыпки <*>
1 и более 1 и более 1,3 и более менее 1,3 1,9 и более менее 1,9 3 и более менее 3
186 233 186 42 186 66 186 93
3 3 3 -0,3 3 -0,15 3 0
<*> В случаях, когда высота засыпки менее 1 м при нагрузках Н11 и Н14, величину давления на рассматриваемую часть трубы следует определять с учетом распределения давления в грунте под углом к вертикали arctg1/2.

6.18. Нормативную горизонтальную поперечную нагрузку от центробежной силы для мостов, расположенных на кривых, следует принимать с каждого пути или полосы движения в виде равномерно распределенной нагрузки интенсивностью или сосредоточенной одиночной силы . Значения и необходимо принимать:

а) от подвижного состава на мостах железных дорог общей сети:

, но не более 0,15v; (6.10)

, но не более 0,15v; (6.11)

где r - радиус кривой, м;

v - вес подвижного состава, кН/м пути, принимаемый в соответствии с 6.11;

б) от подвижного состава на мостах железных дорог промышленных предприятий по формуле

, (6.12)

где - наибольшая скорость, установленная для движения поездов на кривых данного радиуса, км/ч;

в) от поездов метрополитена и трамвая - по формуле

, (6.13)

где u - величина, равная:

для поездов метрополитена - 0,241 (кН·ч2/км2);

для поездов трамвая - 0,143 (кН·ч2/км2);

г) от автомобильной нагрузки АК для всех мостов при радиусах кривых:

250 м и менее - по формуле

; (6.14)

свыше 250 до 600 м - по формуле

, (6.15)

где P - сила, равная 4,5 кН;

M - момент, равный 1100 кН·м.

При радиусах более 600 м не учитывают; во всех случаях величина должна быть не менее и не более 0,5К (кН/м);

д) от нагрузки АБ для мостов на дорогах промышленных предприятий при радиусах кривых 400 м и менее (при расположении мостов на кривых большего радиуса нагрузку от центробежной силы в расчетах не учитывают) - по формуле

, (6.16)

где G - вес одного автомобиля (сумма нагрузок на переднюю и заднюю оси), определяемый по таблице 6.6.

При многопутном (многополосном) движении нагрузки и учитывают с коэффициентами полосности в соответствии с 6.14. (в ред. Изменения N 1, утв. Приказом Минстроя РФ от 03.12.2016 N 879/пр)

Высоту приложения нагрузок и (от головки рельса или верха покрытия проезжей части) следует принимать, м:

2,2 - для подвижного состава железных дорог;

2,0 - для вагонов метрополитена и трамвая;

1,5 - для транспортных средств нагрузки АК;

2,2; 2,5 и 3,1 - для нагрузок соответственно АБ-51, АБ-74 и АБ-151.

Примечание. Центробежные силы от нагрузки Н14 при расчете мостов учитывать не следует.

6.19. Нормативную горизонтальную поперечную нагрузку от ударов подвижного состава независимо от числа путей или полос движения на мосту следует принимать:

а) от подвижного состава рельсовых дорог - в виде равномерно распределенной нагрузки, приложенной в уровне верха головки рельса и равной:

для поездов железных дорог - 0,59К (кН/м);

для поездов метрополитена - 1,96 (кН/м);

для поездов трамвая - 1,47 (кН/м),

где К - класс нагрузки СК;

б) наибольшее из воздействий от автомобильной нагрузки АК - в виде равномерно распределенной нагрузки, равной 0,39К (кН/м), или сосредоточенной силы, равной 5,9К (кН), приложенной в уровне верха покрытия проезжей части, где К - класс нагрузки АК;

в) от нагрузки АБ - в виде сосредоточенной силы, приложенной к пролетному строению в уровне верха проезжей части или к ограждению проезжей части и равной 0,2G, где G - вес одного автомобиля (сумма нагрузок на переднюю и заднюю оси), определяемый по таблице 6.6.

При расчете элементов ограждений проезжей части, а также их прикреплений горизонтальные нагрузки следует принимать:

а) в автодорожных и городских мостах:

для сплошных жестких железобетонных парапетных ограждений - в виде поперечной нагрузки 11,8К (кН), распределенной по длине 1 м и приложенной к ограждению на уровне 2/3 высоты ограждения (от поверхности проезда);

для бордюров - в виде поперечной нагрузки 5,9К (кН), распределенной по длине 0,5 м и приложенной в уровне верха бордюра;

для консольных стоек полужестких металлических барьерных ограждений (при расстоянии между стойками от 2,5 до 3,0 м) - в виде сосредоточенных сил, действующих одновременно в уровне направляющих планок и равных:

поперек проезда - 4,41К (кН);

вдоль проезда - 2,45К (кН),

где К - класс нагрузки АК.

Для металлических барьерных ограждений при непрерывных направляющих планках нагрузку, действующую вдоль моста, допускается распределять на четыре расположенные рядом стойки.

Элементы металлических ограждений барьерного типа, выполняемые в соответствии с ГОСТ 26804 (группы 11 МО и 11 МД), на воздействие горизонтальных нагрузок не рассчитываются.

Крепление узла анкеровки болтов стоек барьерного ограждения должно быть отдельно проверено на действие:

горизонтального усилия, отвечающего срезу болтов прикрепления; (в ред. Изменения N 1, утв. Приказом Минстроя РФ от 03.12.2016 N 879/пр)

момента, возникающего от усилия, соответствующего разрыву рядом расположенных болтов относительно противоположного ребра. (в ред. Изменения N 1, утв. Приказом Минстроя РФ от 03.12.2016 N 879/пр)

Поперечные нагрузки от ударов машин Н14 не учитывают;

б) в мостах на дорогах промышленных предприятий (под нагрузки АБ) - в виде равномерного давления (от указанной в "в" сосредоточенной силы 0,2G), приложенного к верхней части ограждения (парапета или бордюра) на площадках, имеющих размеры по высоте и длине соответственно для нагрузок, см:

АБ-51 . . . . . . . . . . . . . . . . . . . . 20 x 45;
АБ-74 . . . . . . . . . . . . . . . . . . . . 25 x 50;
АБ-151 . . . . . . . . . . . . . . . . . . . . 30 x 60.

Примечание. Нормативную горизонтальную поперечную нагрузку от ударов подвижного состава для мостов на железных дорогах промышленных предприятий в случаях, когда максимальная скорость движения ограничена до 40 км/ч, допускается принимать равной 0,3К (кН/м), а при скоростях движения 80 км/ч и больших - в размерах, предусмотренных для железных дорог общей сети (смотреть 6.19, а).

6.20. Нормативную горизонтальную продольную нагрузку от торможения или сил тяги подвижного состава следует принимать равной:

а) при расчете элементов пролетных строений и опор мостов - % к весу нормативной временной вертикальной подвижной нагрузки:

от железнодорожной нагрузки СК, поездов метрополитена и трамвая - 10;

от равномерно распределенной части нагрузки АК (вес тележек не учитывается) - 50, но не менее 7,8К (кН) и не более 24,5К (кН) с каждой полосы загружения (с умножением на коэффициент полосности по 6.14, б);

от нагрузок АБ-51 и АБ-74 (к весу одного автомобиля) - от 45 (при 20 м) до 60 (при 60 м);

от нагрузки АБ-151 (к весу одного автомобиля) - от 30 (при 25 м) до 40 (при 60 м);

для промежуточных значений величина нагрузки устанавливается по интерполяции;

б) при расчете деформационных швов автодорожных мостов на дорогах:

I - III, I-в, I-к, II-к, II-в, III-в, III-к, IV-в, IV-к категорий и городских мостов - 6,86К (кН);

IV и V категорий, а также внутрихозяйственных - 4,9К (кН);

промышленных предприятий под нагрузку АБ - 50% к весу расчетного автомобиля.

При расчетах в случае "а" высоту приложения горизонтальных продольных нагрузок следует принимать в соответствии с 6.18.

Горизонтальную продольную нагрузку при расчете деформационных швов следует прикладывать в уровне проезда и принимать в виде двух равных сил, удаленных одна от другой на 1,9 м для нагрузки АК и на ширину колеи задних колес для нагрузки АБ, по таблице 6.6.

Продольную нагрузку следует принимать:

при двух железнодорожных путях - с одного пути, а при трех путях и более - с двух путей;

при любом числе полос автомобильного движения на мосту - со всех полос одного направления, а если в перспективе предусматривается перевод движения на одностороннее - со всех полос движения.

Во всех случаях необходимо учитывать коэффициент полосности согласно требованиям 6.14. (в ред. Изменения N 1, утв. Приказом Минстроя РФ от 03.12.2016 N 879/пр)

От транспортных средств, находящихся на призме обрушения грунта у устоев, продольная нагрузка не учитывается.

В мостах с балочными пролетными строениями продольную нагрузку допускается прикладывать в уровне:

проезжей части - при расчете устоев;

центров опорных частей - при расчете промежуточных опор, при этом разрешается не учитывать влияние моментов от переноса нагрузки.

Продольное усилие от торможения или силы тяги, передаваемое на неподвижные опорные части, следует принимать в размере 100% полного продольного усилия, действующего на пролетное строение. При этом не следует учитывать продольное усилие от установленных на той же опоре подвижных опорных частей соседнего пролета, кроме случая расположения в разрезных пролетных строениях неподвижных опорных частей со стороны меньшего из примыкающих к опоре пролета. Усилие на опору в указанном случае надлежит принимать равным сумме продольных усилий, передаваемых через опорные части обоих пролетов, но не более усилия, передаваемого со стороны большего пролета при неподвижном его опирании.

Усилие, передающееся на опору с неподвижных опорных частей неразрезных и температурно-неразрезных пролетных строений, в обоснованных расчетом случаях допускается принимать равным полной продольной нагрузке с пролетного строения за вычетом сил трения в подвижных опорных частях при минимальных коэффициентах трения, но не менее величины, приходящейся на опору при распределении полного продольного усилия между всеми промежуточными опорами пропорционально их жесткости.

Для железнодорожных мостов при определении продольной горизонтальной нагрузки от торможения или сил тяги в случаях применения деревянных опор, а также гибких (из отдельных стоек) стальных и железобетонных опор интенсивность временной подвижной вертикальной нагрузки v допускается принимать равной 9,81К (кН/м).

Примечание. При проектировании в железнодорожных мостах устройств, предназначенных для восприятия продольных нагрузок, следует учитывать полную силу тяги в виде распределенной нагрузки, составляющей к весу нагрузки, %:

при длине загружения 40 м и менее . . . . . . . . 25;
тоже, 100 м и более . . . . . . . . . . . . . . . . . . . . . 10;
при промежуточных значениях . . . . . . . . . . . . по интерполяции.

6.21. Нормативную временную нагрузку для пешеходных мостов и тротуаров (служебных проходов) следует принимать в виде:

1) вертикальной равномерно распределенной нагрузки:

а) на пешеходные мосты - 4,0 кПа;

б) на тротуары автодорожных мостов - при отсутствии нагрузки АК - 4,0 кПа, при учете совместно с нагрузкой АК - 2,0 кПа;

2) равномерно распределенной нагрузки, учитываемой при отсутствии других нагрузок:

а) вертикальной - при расчете только элементов тротуаров железнодорожных мостов и мостов метрополитена с устройством пути на балласте - 10,0 кПа, при расчете элементов тротуаров на прочих мостах - 4,0 кПа;

б) вертикальной и горизонтальной - при расчете перил городских мостов - 1,0 кН/м;

3) сосредоточенных давлений, учитываемых при отсутствии других нагрузок:

а) вертикального - при расчете элементов тротуаров городских мостов - 10,0 кН с площадкой распределения от колеса автомобиля 0,015 м2 (0,15 x 0,10 м), прочих мостов - 3,4 кН;

б) вертикального или горизонтального при расчете перил мостов - 1,27 кН.

При расчете элементов тротуаров мостов на внутрихозяйственных дорогах, а также служебных проходов на мостах автомобильных дорог всех категорий равномерно распределенная нагрузка принимается равной 2,0 кПа. (в ред. Изменения N 1, утв. Приказом Минстроя РФ от 03.12.2016 N 879/пр)

При расчете элементов тротуаров необходимо учитывать также нагрузки от приспособлений, предназначенных для осмотра конструкций моста.

6.22. Динамические коэффициенты 1 + к нагрузкам от подвижного состава железных, автомобильных и городских дорог следует принимать равными:

1) к вертикальным нагрузкам СК и СК , а также к нагрузкам от поездов метрополитена и трамвая:

а) для элементов стальных и сталежелезобетонных пролетных строений, а также элементов стальных опор:

железнодорожных мостов и обособленных мостов под пути метрополитена и трамвая всех систем (кроме основных элементов главных ферм неразрезных пролетных строений) независимо от рода езды (на балласте или поперечинах)

, (6.17)

но не менее 1,15;

основных элементов главных ферм железнодорожных мостов с неразрезными пролетными строениями и совмещенных мостов всех систем под железнодорожную нагрузку (включая поезда метрополитена)

, (6.18)

но не менее 1,15 для железнодорожных и 1,10 для совмещенных мостов;

б) для железобетонных балочных пролетных строений, рамных конструкций (в том числе для сквозных надарочных строений), а также для железобетонных сквозных, тонкостенных и стоечных опор:

железнодорожных и других мостов под рельсовые пути

, (6.19)

но не менее 1,15;

совмещенных мостов - по формуле (6.19), но не менее 1,10; (в ред. Изменения N 1, утв. Приказом Минстроя РФ от 03.12.2016 N 879/пр)

в) для железобетонных звеньев труб и подземных пешеходных переходов:

на железных дорогах и путях метрополитена при общей толщине балласта с засыпкой (считая от подошвы рельса):

0,40 м и менее - по формуле (6.19);

1,00 м и более - 1 + = 1,00;

для промежуточных значений толщины - по интерполяции;

г) для железобетонных и бетонных арок со сплошным надсводным строением, для бетонных опор и звеньев труб, грунтовых оснований и всех фундаментов

;

д) для арок и сводов арочных железобетонных пролетных строений со сквозной надарочной конструкцией железнодорожных мостов

, (6.20)

где f - стрела арки;

l - пролет арки;

ж) для деревянных конструкций железнодорожных мостов

для элементов 1 + = 1,10;

для сопряжений 1 + = 1,20;

2) к автомобильным нагрузкам АК и НК и во всех случаях, кроме оговоренных в перечислениях б) и в): (в ред. Изменения N 1, утв. Приказом Минстроя РФ от 03.12.2016 N 879/пр)

а) к тележкам нагрузки АК для расчета элементов проезжей части - 1,4;
к тележкам нагрузки АК для расчета элементов стальных и сталежелезобетонных мостов - 1,4;
то же, железобетонных мостов - 1,3;
то же, деревянных мостов - 1,0;
к равномерно распределенной нагрузке АК - 1,0;
к нагрузке НК - 1,0;

б) для элементов деформационных швов, расположенных в уровне проезжей части автодорожных и городских мостов, и их анкеровки (к возможным вертикальным и горизонтальным усилиям):

к нагрузке АК 1 + = 2,00;

к нагрузке НК 1 + = 3,00;

в) для бетонных опор, грунтовых оснований, всех фундаментов, железобетонных звеньев труб и подземных пешеходных переходов на автомобильных дорогах (в ред. Изменения N 1, утв. Приказом Минстроя РФ от 03.12.2016 N 879/пр)

;

3) к временной вертикальной нагрузке АБ:

а) для элементов стальных и сталежелезобетонных пролетных строений, а также элементов стальных опор

, (6.21)

но не менее 1,00;

б) для железобетонных балочных пролетных строений, железобетонных сквозных, тонкостенных и стоечных опор, а также звеньев труб при отсутствии засыпки под дорожной одеждой

, (6.22)

но не менее 1,00;

в) для бетонных опор и звеньев труб, грунтовых оснований и всех фундаментов, а при общей толщине засыпки (включая толщину дорожной одежды) не менее 1,0 м - для железобетонных звеньев труб и не менее 0,5 м - для других элементов, перечисленных выше в "б"

;

при толщине засыпки (включая толщину дорожной одежды), менее указанной в "в", значения динамических коэффициентов, перечисленных в "б", принимаются по интерполяции между значениями, принимаемыми по "б" и "в";

г) для деревянных конструкций:

для элементов 1 + = 1,00;

для сопряжений 1 + = 1,20.

Для колонны автомобилей нагрузки АБ - при расчетах на случай согласно 6.13, б

;

4) к вертикальным подвижным нагрузкам для пешеходных мостов и к нагрузкам на тротуарах

;

5) к временным горизонтальным нагрузкам и давлению грунта на опоры от транспортных средств железных и автомобильных дорог

.

Значения (длина загружения) в формулах следует принимать равными:

а) для основных элементов главных ферм (разрезных балок, арок, рам), а также для продольных и поперечных балок при загружении той части линии влияния, которая определяет их участие в работе главных ферм, - длине пролета, если эта длина больше длины линии влияния;

б) для основных элементов главных ферм неразрезных систем - сумме длин загружаемых участков линий влияния (вместе с разделяющими их участками);

в) при расчете на местную нагрузку (при загружении той части линии влияния, которая учитывает воздействие местной нагрузки):

продольных балок и продольных ребер ортотропных плит - длине их пролета;

поперечных балок и поперечных ребер ортотропных плит - суммарной длине продольных балок в примыкающих панелях;

подвесок, стоек и других элементов, работающих только на местную нагрузку, - длине загружения линий влияния;

плит балластового корыта (поперек пути) - условно равной нулю;

железобетонных плит железнодорожного проезда, укладываемых по металлическим балкам, при расчете плиты поперек пути - ширине плиты, при расчете вдоль пути - длине панели продольной балки;

железобетонных плит автодорожного проезда, укладываемых по металлическим балкам, при расчете плит поперек моста - расстоянию между балками, на которые опирается плита;

г) при загружении линий влияния, учитывающих одновременно основную и местные нагрузки, - раздельно для каждой из этих нагрузок;

д) для элементов опор всех типов - равной длине загружения линии влияния опорной реакции, определяемой как сумма длин загружаемых участков (вместе с разделяющими их участками);

е) для звеньев труб и подземных пешеходных переходов - равной ширине звена.

Примечание. В случаях, когда на железных дорогах промышленных предприятий установленная максимальная скорость движения по мосту ограничена ( < 80 км/ч), расчетную величину динамического коэффициента допускается уменьшать, умножая соответствующую динамическую добавку на отношение /80, при этом динамический коэффициент следует принимать не менее 1,10.

6.23. Коэффициенты надежности по нагрузке к временным нагрузкам и воздействиям, приведенным в 6.11 - 6.21, следует принимать равными:

а) для железнодорожных нагрузок СК и СК - по таблице 6.9;

б) для нагрузки от автотранспортных средств АК и НК и их воздействий - по таблице 6.10; (в ред. Изменения N 1, утв. Приказом Минстроя РФ от 03.12.2016 N 879/пр)

в) к нагрузкам от подвижного состава метрополитена и трамвая - по формуле

, но не менее 1,10, (6.23)

где - длина загружения, м, принимаемая по таблице 6.9;

г) к распределенным нагрузкам для пешеходных мостов и тротуаров при расчете:

элементов пешеходных мостов и тротуаров (кроме тротуаров на мостах внутрихозяйственных дорог и служебных проходов), а также перил городских мостов - 1,40;

пролетного строения и опор при учете совместно с другими нагрузками - 1,20;

тротуаров на мостах внутрихозяйственных дорог и служебных проходов на мостах дорог всех категорий - 1,10;

д) к распределенным и сосредоточенным горизонтальным нагрузкам на ограждения проезжей части, а также к сосредоточенным давлениям на тротуары и перила - 1,00;

е) к автомобильным нагрузкам АБ и их воздействиям - в зависимости от удельного веса породы , для перевозки которой строится дорога:

при 17,7 кН/м3 - 1,1;

при = 39,2 кН/м3 - 1,4;

при промежуточных значениях - по интерполяции.

Таблица 6.9

Воздействие Коэффициент надежности по нагрузке при расчете
конструкций мостов в зависимости от длины загружения <*>, м звеньев труб
0 50 150 и более
Вертикальное 1,30 1,15 1,10 1,30
Горизонтальное 1,20 1,10 1,10 1,20
Давление грунта от подвижного состава на призме обрушения 1,20 независимо от длины загружения -
<*> Здесь - длина загружения линии влияния за вычетом длины участков, загруженных порожним составом (при = 1); для промежуточных значений следует принимать по интерполяции.

Таблица 6.10

Вид нагрузки Коэффициент надежности по нагрузке
Тележка нагрузки АК 1,50
Равномерно распределенная часть нагрузки АК 1,25
(в ред. Изменения N 1, утв. Приказом Минстроя РФ от 03.12.2016 N 879/пр)
Нагрузка НК 1,10

Прочие временные нагрузки и воздействия

6.24. Нормативное значение ветровой нагрузки следует определять как сумму нормативных значений средней и пульсационной , составляющих

. (6.24)

Нормативное значение средней составляющей ветровой нагрузки на высоте z над поверхностью воды или земли определяется по формуле

, (6.25)

где - нормативное значение ветрового давления, принимаемое по СП 20.13330 в зависимости от ветрового района, в котором возводится сооружение;

k - коэффициент, учитывающий для открытой местности (типа A) изменение ветрового давления по высоте z, принимаемый по СП 20.13330;

- аэродинамический коэффициент лобового сопротивления конструкций мостов и подвижного состава железных дорог и метрополитена, приведенный в Приложении Н.

Нормативное значение пульсационной составляющей ветровой нагрузки  на высоте z следует определять по указаниям, содержащимся в СП 20.13330

, (6.26)

где - коэффициент динамичности;

L - коэффициент пульсации давления ветра на уровне z;

v - коэффициент пространственной корреляции пульсации давления для расчетной поверхности сооружения.

При определении пульсационной составляющей ветровой нагрузки применительно к конструкциям мостов допускается руководствоваться следующим:

а) произведение коэффициентов vL принимать равным

, но не менее 0,30, (6.27)

где - длина пролета или высота опоры, м;

б) коэффициент динамичности для балочных разрезных конструкций находить в предположении, что рассматриваемая конструкция в горизонтальной плоскости является динамической системой с одной степенью свободы (с низшей частотой собственных колебаний , Гц); его величину определять по графику, приведенному в СП 20.13330, в зависимости от указанного там параметра и логарифмического декремента затухания = 0,3 - для железобетонных и сталежелезобетонных конструкций и = 0,15 - для стальных конструкций.

Коэффициент динамичности принимается равным 1,2, если:

балочное пролетное строение является неразрезным;

для балочного разрезного пролетного строения имеет место условие > , где , Гц, - предельные значения частот собственных колебаний, приведенные в СП 20.13330, при которых в разных ветровых районах допускается не учитывать силы инерции, возникающие при колебаниях по собственной форме.

При расчете конструкций автодорожных и городских мостов воздействие ветра на безрельсовые транспортные средства и трамвай, находящиеся на этих мостах, не учитывается.

Типовые конструкции пролетных строений следует, как правило, проектировать на возможность их применения в V ветровом районе (при расчетной высоте до низа пролетных строений: 20 м - при езде понизу и 15 м - при езде поверху) и предусматривать возможность их усиления при применении в VI и VII ветровых районах.

Нормативную интенсивность полной ветровой поперечной горизонтальной нагрузки при проектировании индивидуальных (нетиповых) конструкций пролетных строений и опор следует принимать не менее 0,59 кПа - при загружении конструкций временной вертикальной нагрузкой и 0,98 кПа - при отсутствии загружения этой нагрузкой.

Горизонтальную поперечную ветровую нагрузку, действующую на отдельные конструкции моста, а также на поезд, находящийся на железнодорожном мосту (мосту метро), следует принимать равной произведению интенсивности ветровой нагрузки на рабочую ветровую поверхность конструкции моста и подвижного состава.

Рабочую ветровую поверхность конструкции моста и подвижного состава следует принимать равной:

для главных ферм сквозных пролетных строений и сквозных опор - площади проекции всех элементов наветренной фермы на плоскость, перпендикулярную направлению ветра, при этом для стальных ферм с треугольной или раскосой решеткой ее допускается принимать в размере 20% площади, ограниченной контурами фермы;

для проезжей части сквозных пролетных строений - боковой поверхности ее балочной клетки, не закрытой поясом главной фермы;

для пролетных строений со сплошными балками и прогонов деревянных мостов - боковой поверхности наветренной главной балки или коробки и наветренного прогона;

для сплошных опор - площади проекции тела опоры от уровня грунта или воды на плоскость, перпендикулярную направлению ветра;

для железнодорожного подвижного состава (в том числе поездов метрополитена) - площади сплошной полосы высотой 3 м с центром давления на высоте 2 м от головки рельса.

Распределение ветровой нагрузки по длине пролета допускается принимать равномерным.

Нормативную интенсивность ветровой нагрузки, учитываемой при строительстве и монтаже, следует определять исходя из возможного в намеченный период значения средней составляющей ветровой нагрузки в данном районе. В зависимости от характера производимых работ при наличии специального обоснования, предусматривающего соответствующее ограничение времени и продолжительности выполнения отдельных этапов работ, нормативная величина средней составляющей ветровой нагрузки для проверки напряжений (но не устойчивости) может быть уменьшена, но должна быть не ниже 0,226 кПа. Для проверки типовых конструкций на стадии строительства и монтажа величину нормативной интенсивности ветровой нагрузки следует принимать по нормам для III ветрового района.

Нормативную горизонтальную продольную ветровую нагрузку для сквозных пролетных строений следует принимать в размере 60%, для пролетных строений со сплошными балками - 20%, соответствующей полной нормативной поперечной ветровой нагрузке. Нормативную горизонтальную продольную нагрузку на опоры мостов выше уровня грунта или межени следует принимать равной поперечной ветровой нагрузке.

Продольная ветровая нагрузка на транспортные средства, находящиеся на мосту, не учитывается.

Усилия от ветровых нагрузок в элементах продольных и поперечных связей между фермами пролетных строений следует, как правило, определять посредством пространственных расчетов.

В случаях устройства в сквозных пролетных строениях двух систем продольных связей допускается поперечное давление ветра на фермы распределять на каждую из них, а давление ветра на проезжую часть и подвижной состав передавать полностью на связи, в плоскости которых расположена езда.

Горизонтальное усилие от продольной ветровой нагрузки, действующей на пролетное строение, следует принимать как передающееся на опоры в уровне центра опорных частей - для мостов с балочными пролетными строениями и в уровне оси ригеля рамы - для мостов рамной конструкции. Распределение усилий между опорами следует принимать таким же, как и горизонтального усилия от торможения, в соответствии с 6.20.

Для вантовых и висячих мостов, а также стальных балочных мостов согласно 5.48 следует проводить проверку на аэродинамическую устойчивость и на резонанс колебаний в направлении, перпендикулярном ветровому потоку. При проверке аэродинамической устойчивости должна определяться критическая скорость ветра, при которой вследствие взаимодействия воздушного потока с сооружением возможно появление флаттера (возникновение опасных изгибно-крутильных колебаний балки жесткости). Критическая скорость, отвечающая возникновению флаттера, найденная по результатам аэродинамических испытаний моделей или определенная расчетом, должна быть больше максимальной скорости ветра, возможного в районе расположения моста, не менее чем в 1,5 раза.

6.25. Нормативную ледовую нагрузку от давления льда на опоры мостов следует принимать в виде сил, определяемых согласно Приложению П.

6.26. Нормативную нагрузку от навала судов на опоры мостов следует принимать в виде сосредоточенной продольной или поперечной силы и ограничивать в зависимости от класса внутреннего водного пути значениями, указанными в таблице 6.11.

Таблица 6.11

Класс внутренних водных путей Нагрузка от навала судов, кН
вдоль оси моста со стороны пролета поперек оси моста со стороны
судоходного несудоходного верховой при наличии течения низовой, при отсутствии течения - и верховой
I 1570 780 1960 1570
II 1130 640 1420 1130
III 1030 540 1275 1030
IV 880 490 1130 880
V 390 245 490 390
VI 245 147 295 245
VII 147 98 245 147

Нагрузка от навала судов должна прикладываться к опоре на высоте 2 м от расчетного судоходного уровня, за исключением случаев, когда опора имеет выступы, фиксирующие уровень действия этой нагрузки, и когда при менее высоком уровне нагрузка вызывает более значительные воздействия.

Для опор, защищенных от навала судов, а также для деревянных опор автодорожных мостов на внутренних водных путях VI и VII классов нагрузку от навала судов допускается не учитывать.

Для однорядных железобетонных свайных опор автодорожных мостов через внутренние водные пути VI и VII классов нагрузку вдоль оси моста допускается учитывать в размере 50%.

6.27. Нормативное температурное климатическое воздействие следует учитывать при расчете перемещений в мостах всех систем при определении усилий во внешне статически неопределимых системах, а также при расчете элементов сталежелезобетонных пролетных строений.

Среднюю по сечению нормативную температуру элементов или их частей допускается принимать равной:

для бетонных, железобетонных и полимерно-композиционных элементов в холодное время года, а также для металлических конструкций в любое время года - нормативной температуре наружного воздуха;

для бетонных и железобетонных элементов в теплое время года - нормативной температуре наружного воздуха за вычетом величины, численно равной 0,2a, но не более 10 °C, где a - толщина элемента или его части, см, включая одежду ездового полотна автодорожных мостов.

Температуру элементов со сложным поперечным сечением следует определять как средневзвешенную по температуре отдельных элементов (стенок, полок и др.).

Нормативные температуры воздуха в теплое и холодное время года следует принимать равными:

а) при разработке типовых проектов, а также проектов для повторного применения на территории страны:

для конструкций, предназначенных для районов с расчетной минимальной температурой воздуха ниже минус 40 °C

; ;

для конструкций, предназначенных для остальных районов,

; ;

б) в других случаях

, (6.28)

где - средняя температура воздуха самого жаркого месяца, принимаемая по СП 131.13330; (в ред. Изменения N 1, утв. Приказом Минстроя РФ от 03.12.2016 N 879/пр)

T - средняя суточная амплитуда температуры воздуха наиболее теплого месяца, принимаемая по СП 131.13330. (в ред. Изменения N 1, утв. Приказом Минстроя РФ от 03.12.2016 N 879/пр)

Нормативную температуру принимают равной расчетной минимальной температуре воздуха в районе строительства в соответствии с 5.39.

Влияние солнечной радиации на температуру элементов следует учитывать в виде дополнительного нагрева на 10 °C освещенного солнцем поверхностного слоя толщиной 15 см (включая одежду ездового полотна).

Температуры замыкания конструкций, если они в проекте не оговорены следует принимать равными, °C:

; (6.29)

. (6.30)

При расчете сталежелезобетонных пролетных строений следует учитывать влияние неравномерного распределения температуры по сечению элементов, вызываемого изменением температуры воздуха и солнечной радиацией.

При расчете перемещений коэффициент линейного расширения следует принимать для стальных и сталежелезобетонных конструкций равным 1,2 и для железобетонных конструкций - 1 .

6.28. Нормативное сопротивление от трения в подвижных опорных частях следует принимать в виде горизонтального продольного реактивного усилия и определять по формуле

, (6.31)

где - нормативная величина коэффициента трения в опорных частях при их перемещении, принимаемая равной средней величине из возможных экстремальных значений:

, (6.32)

- вертикальная составляющая при действии рассматриваемых нагрузок с коэффициентом надежности по нагрузке .

Величины максимальных и минимальных коэффициентов трения следует принимать соответственно равными:

а) при катковых, секторных или валковых опорных частях - 0,040 и 0,010;

б) при качающихся стойках или подвесках - 0,020 и 0 (условно);

в) при тангенциальных и плоских металлических опорных частях - 0,40 и 0,10;

г) при подвижных опорных частях с прокладками из фторопласта совместно с полированными листами из нержавеющей стали - по таблице 6.12 или по данным сертификационных испытаний.

Таблица 6.12

Среднее давление в опорных частях по фторопласту, МПа Коэффициент трения при температуре наиболее холодной пятидневки по СП 131.13330 с обеспеченностью 0,92
минус 10 °C и выше минус 50 °C
9,81 0,085 0,030 0,120 0,045
19,6 0,050 0,015 0,075 0,030
29,4 0,035 0,010 0,060 0,020
Примечания. 1. Коэффициенты трения при промежуточных значениях отрицательных температур и средних давлениях определяются по интерполяции.
2. Для подвижных стаканных опорных частей с прокладками из фторопласта совместно с полированными листами из нержавеющей стали (или с полированной твердохромированной поверхностью) среднее давление на опорную часть от нормативных постоянных нагрузок и воздействий должно быть не менее 10 МПа.

(в ред. Изменения N 1, утв. Приказом Минстроя РФ от 03.12.2016 N 879/пр)

Расчетные усилия от сил трения в подвижных опорных частях балочных пролетных строений в зависимости от вида и характера проводимых расчетов следует принимать в размерах:

, если при рассматриваемом сочетании нагрузок силы трения увеличивают общее воздействие на рассчитываемый элемент конструкции;

, если при рассматриваемом сочетании силы трения уменьшают общее воздействие нагрузок на рассчитываемый элемент конструкции.

Коэффициент надежности по нагрузке к усилиям и не вводится.

Воздействие на конструкции пролетных строений сил трения, возникающих в подвижных опорных частях каткового, секторного и валкового типов при числе опорных частей в поперечном направлении более двух, следует определять с коэффициентом условия работы, равным 1,1.

Опоры (включая фундаменты) и пролетные строения мостов следует проверять на воздействие расчетных сил трения, возникающих от температурных деформаций при действии постоянных нагрузок.

Опорные части и элементы их прикреплений, а также части опор и пролетных строений, примыкающие к опорным частям, должны быть проверены на расчетные силы трения, возникающие от постоянных и временных (без учета динамики) нагрузок.

При установке на промежуточной опоре двух рядов подвижных опорных частей от смежных пролетных строений, а также неподвижных опорных частей в неразрезном и температурно-неразрезном пролетном строении полное продольное усилие, передаваемое с пролетного строения на опору, следует принимать не более разницы сил трения при максимальных и минимальных коэффициентах трения в опорных частях. (в ред. Изменения N 1, утв. Приказом Минстроя РФ от 03.12.2016 N 879/пр)

Величина реактивного продольного усилия , МН, возникающего в резиновых опорных частях вследствие сопротивления их сдвигу, вычисляют по формуле

, (6.33)

где - перемещения в опорных частях, см;

a - суммарная толщина слоев резины, см;

A - площадь резиновой опорной части или нескольких опорных частей в случае расположения их рядом под одним концом балки, м2;

G - статический модуль сдвига резины, значения которого при определении расчетных величин продольных усилий зависят от нормативной температуры окружающей среды и принимаются для употребляемых марок резины по таблице 6.13.

Таблица 6.13

Марка резины Модуль сдвига резины, МПа, при нормативной температуре окружающего воздуха, °C
минус 20 и выше минус 30 минус 40 минус 50 минус 55
НО-68-1 0,90 1,10 1,30 - -
ИРП-1347-1 0,70 0,59 0,70 0,80 1,00
РСМ-3Л 0,90 1,20 1,40 1,40 -
Примечание. Промежуточные значения модуля сдвига принимаются по интерполяции.

Под опорными узлами балок или плит пролетных строений вдоль оси моста необходимо, как правило, устанавливать только одну опорную часть, а поперек оси моста допускается несколько одинаковых опорных частей, изготовленных из резины одной марки.

6.29. Воздействие морозного пучения грунта в пределах слоя сезонного промерзания (оттаивания) для сооружений на вечномерзлых грунтах, а также на пучинистых грунтах, сезонно промерзающих на глубину свыше 2 м, следует принимать в виде приложенных по периметру фундамента (или свай) вертикальных касательных сил. Величины сил морозного пучения следует принимать в соответствии с требованиями СП 25.13330.

6.30. Строительные нагрузки, действующие на конструкцию при монтаже или строительстве (собственный вес, вес подмостей, кранов, работающих людей, инструментов, мелкого оборудования, односторонний распор и др.), а также при изготовлении и транспортировании элементов, следует принимать по проектным данным с учетом предусматриваемых условий производства работ и требований СП 70.13330. (в ред. Изменения N 1, утв. Приказом Минстроя РФ от 03.12.2016 N 879/пр)

При определении нагрузки от крана вес поднимаемых грузов и вес подвижной стрелы следует принимать с динамическими коэффициентами, равными соответственно 1,20 (0,85) при весе до 196 кН и 1,10 - при большем весе. При этом, если отсутствие груза на кране может оказать неблагоприятное влияние на работу рассчитываемой конструкции, кран в расчетах учитывается без груза.

При расчете элементов железобетонных конструкций на воздействие усилий, возникающих при их транспортировании, нагрузку от собственного веса элементов следует вводить в расчет с динамическими коэффициентами, равными при перевозке транспортом:

1,6 - автомобильным;

1,3 - железнодорожным.

Динамические коэффициенты, учитывающие условия транспортирования, допускается принимать в меньших размерах, если это подтверждено опытом, но не ниже 1,3 - при перевозке автотранспортом и не ниже 1,15 - железнодорожным транспортом.

6.31. Сейсмические нагрузки следует принимать в соответствии с требованиями СП 14.13330.

6.32. Коэффициенты надежности по нагрузке к природным и техногенным нагрузкам и воздействиям, приведенным в 6.24 - 6.30, следует принимать по таблице 6.14.

Таблица 6.14

Прочие временные нагрузки и воздействия Коэффициент надежности по нагрузке
Ветровые нагрузки:
при эксплуатации моста 1,4
при строительстве и монтаже 1,0
Ледовая нагрузка 1,2
Нагрузка от навала судов 1,2
Температурные климатические воздействия 1,2
Воздействие морозного пучения грунта 1,3
Воздействие сопротивления от трения в подвижных опорных частях по 6.28
Строительные нагрузки:
собственный вес вспомогательных обустройств 1,1 (0,9)
вес складируемых материалов и воздействие искусственного регулирования во вспомогательных сооружениях 1,3 (0,8)
вес работающих людей, инструментов, мелкого оборудования 1,3 (0,7)
вес кранов, копров и транспортных средств 1,1 (1,0)
усилия от гидравлических домкратов и электрических лебедок при подъеме и передвижке усилия от трения при перемещении пролетных строений и других грузов: 1,3 (1,0)
на салазках 1,3 (1,0)
(в ред. Изменения N 1, утв. Приказом Минстроя РФ от 03.12.2016 N 879/пр)
на катках 1,1 (1,0)
(в ред. Изменения N 1, утв. Приказом Минстроя РФ от 03.12.2016 N 879/пр)
на тележках 1,2 (1,0)
Примечания. 1. Значения , указанные в скобках, принимают в случаях, когда при невыгодном сочетании нагрузок увеличивается их суммарное воздействие на элементы конструкции.
2. Значения к снеговой нагрузке для пешеходных мостов закрытого типа принимают согласно СП 20.13330.

При проверке прочности тела опор в случаях использования их для навесной уравновешенной сборки и навесного бетонирования пролетных строений, а также при проверке прочности анкеров, прикрепляющих в этих случаях пролетное строение к опорам, необходимо к собственному весу собираемых консольных частей пролетного строения, создающих на опоре изгибающие моменты разного знака, вводить коэффициенты надежности по нагрузке с учетом конкретных условий изготовления и монтажа собираемых частей (блоков). При заводской технологии изготовления железобетонных блоков пролетных строений, а также при использовании специальных агрегатов при навесном бетонировании коэффициенты надежности по нагрузке от собственного веса допускается при проверке прочности тела опоры и прикрепляющих анкеров определять по формулам: (в ред. Изменения N 1, утв. Приказом Минстроя РФ от 03.12.2016 N 879/пр)

для одной консоли ; (6.34)
для другой консоли , (6.35)

где z - число блоков или участков бетонирования с каждой стороны.

7 Бетонные, железобетонные, фибробетонные конструкции и конструкции с композитной полимерной арматурой (в ред. Изменения N 2, утв. Приказа Минстроя РФ от 11.11.2019 N 681/пр)

Основные расчетные требования

7.1. Для бетонных и железобетонных мостов и труб необходимо соблюдать указания об обеспечении требуемой надежности конструкций от возникновения предельных состояний двух групп, предусмотренных ГОСТ 27751.

Для этого, наряду с назначением соответствующих материалов и выполнением предусмотренных конструктивных требований, необходимо проведение указанных в настоящих нормах расчетов.

7.2. Для недопущения предельных состояний первой группы элементы конструкций мостов и труб должны быть рассчитаны в соответствии с указаниями настоящего раздела по прочности, устойчивости (формы и положения) и на выносливость, при этом в расчетах на выносливость должны рассматриваться нагрузки и воздействия, возможные на стадии эксплуатации сооружений.

Для недопущения предельных состояний второй группы производятся расчеты, указанные в таблице 7.1.

Таблица 7.1

Расчет Рабочая арматура Стадии работы конструкции
По образованию продольных трещин Ненапрягаемая Эксплуатация
Напрягаемая Все стадии (нормальная эксплуатация, возведение сооружения, предварительное напряжение, хранение, транспортирование)
По образованию трещин, нормальных и наклонных к продольной оси элемента " Все стадии
По раскрытию трещин, нормальных и наклонных к продольной оси элемента Ненапрягаемая и напрягаемая (кроме элементов с напрягаемой арматурой, проектируемых по категории требований по трещиностойкости 2а, см. таблицу 7.24) То же
По закрытию (зажатию) трещин, нормальных к продольной оси элемента Напрягаемая Эксплуатация
По ограничению касательных напряжений Ненапрягаемая и напрягаемая Все стадии
По деформациям (прогибам) пролетных строений в мостах всех назначений и углам перелома профиля проезда в автодорожных мостах То же Эксплуатация

Оценку прочности и трещиностойкости сечений, нормальных к продольной оси изгибаемых и внецентренно сжатых (растянутых) железобетонных элементов допускается выполнять на основе нелинейной деформационной модели, базирующейся на применении:

- уравнений равновесия;

- гипотезы плоских сечений;

- диаграмм деформирования материалов (бетона и арматуры). (в ред. Изменения N 1, утв. Приказа Минстроя РФ от 03.12.2016 N 879/пр)

При расчетах железобетонных элементов с использованием нелинейной деформационной модели в качестве критериев прочности и трещиностойкости следует использовать предельные изгибающие моменты (нормальные силы) по условиям прочности и трещиностойкости. (в ред. Изменения N 1, утв. Приказа Минстроя РФ от 03.12.2016 N 879/пр)

7.3. Расчеты по трещиностойкости совместно с конструктивными и другими требованиями (к водоотводу и гидроизоляции конструкций, морозостойкости и водонепроницаемости бетона) должны обеспечивать коррозионную стойкость железобетонных мостов и труб, а также препятствовать возникновению повреждений в них при совместном воздействии силовых факторов и неблагоприятных влияний внешней среды.

Элементы железобетонных конструкций в зависимости от назначения, условий работы и применяемой арматуры должны удовлетворять соответствующим категориям требований по трещиностойкости, которые предусматривают различную вероятность образования (появления) трещин и предельные расчетные значения ширины их раскрытия по 7.95.

7.4. Усилия в сечениях элементов статически неопределимых конструкций от нагрузок и воздействий при расчетах по предельным состояниям первой и второй групп следует определять с учетом неупругих деформаций бетона и арматуры и наличия трещин.

В конструкциях, методика расчета которых с учетом неупругих свойств бетона не разработана, а также для промежуточных стадий расчета с учетом неупругих свойств бетона усилия в сечениях элементов допускается определять в предположении их линейной упругости.

7.5. Если в процессе изготовления или монтажа конструкции изменяются расчетные схемы или геометрические характеристики сечений, то усилия, напряжения и деформации в конструкции необходимо определять суммированием их для всех предшествующих стадий работы. При этом следует учитывать изменение усилий во времени из-за усадки и ползучести бетона и релаксации напряжений в напрягаемой арматуре.

7.6. В конструкциях с ненапрягаемой арматурой напряжения в бетоне и арматуре следует определять по правилам расчета упругих материалов без учета работы бетона растянутой зоны.

7.7. В предварительно напряженных конструкциях напряжения в бетоне и арматуре в сечениях, нормальных к продольной оси элемента, следует определять по правилам расчета упругих материалов, рассматривая сечение как сплошное. Если бетон омоноличивания напрягаемой арматуры, расположенной в открытых каналах, не имеет сцепления по 7.170 с бетоном основной конструкции, то следует считать, что и напрягаемая арматура, расположенная в канале, не имеет сцепления с бетоном конструкции.

При определении ширины раскрытия трещин в элементах предварительно напряженных конструкций (в том числе и со смешанным армированием) напряжения в арматуре следует определять без учета работы растянутой зоны бетона. Допускается усилия растянутой зоны бетона полностью передавать на арматуру.

Характеристики приведенного сечения во всех случаях необходимо определять с учетом имеющейся в сечении напрягаемой и ненапрягаемой арматуры с учетом 7.48.

Если элементы конструкции выполнены из бетона разных классов, то общую рабочую площадь сечения следует определять с учетом соответствующих им модулей упругости.

В конструкциях, напрягаемых на бетон, на стадии его обжатия в рабочей площади бетона не учитывают площадь закрытых и открытых каналов. При расчете этих конструкций на стадии эксплуатации допускается в расчетной площади сечения бетона учитывать площадь сечения заинъецированных закрытых каналов. Бетон омоноличивания открытых каналов допускается учитывать при условии выполнения требований 7.104, специальных технологических мероприятий в соответствии с 7.170 и установки в бетоне омоноличивания ненапрягаемой арматуры. При этом ширина раскрытия трещин в бетоне омоноличивания не должна превышать размеров, принятых для элементов, проектируемых по категории требований по трещиностойкости 3в.

7.8. В составных по длине (высоте) конструкциях следует производить проверки прочности и трещиностойкости в сечениях, совпадающих со стыками или пересекающих зону стыков.

Стыки должны обеспечивать передачу расчетных усилий без появления повреждений в бетоне омоноличивания и на торцах стыкуемых элементов (блоков).

7.9. Стенки тавровых балок железнодорожных пролетных строений необходимо рассчитывать с учетом возможного на мосту поперечного смещения пути, принимаемого в размере не менее 10 см.

Расчет стенок балок пролетных строений мостов по образованию трещин рекомендуется производить с учетом кручения и изгиба стенок (из их плоскости).

7.10. Предварительное напряжение арматуры характеризуют значения начального (контролируемого) усилия, прикладываемого к концам напрягаемой арматуры через натяжные устройства, и установившегося усилия, равного контролируемому за вычетом потерь, произошедших к рассматриваемому моменту времени. При этом напряжения в арматуре, соответствующие контролируемому усилию, не должны превышать расчетных сопротивлений, указанных в таблице 7.16, с учетом коэффициентов условий работы в соответствии с 7.45.

Для напрягаемых арматурных элементов в проектной документации должны указываться значения контролируемых усилий и соответствующих им удлинений (вытяжек) арматуры с учетом позиции 4 таблицы Р.1 Приложения Р.

Значения удлинений арматуры в общем случае определяются по формуле

, (7.1)

где - напряжения, отвечающие контролируемому усилию и назначаемые с учетом требований 7.14;

- модуль упругости напрягаемой арматуры;

l - расчетная длина арматурного элемента (расстояние от натяжного анкера до точки арматурного элемента с нулевым перемещением).

Остальные обозначения приведены в таблицах Р.1 и Р.2 Приложения Р.

Значение вытяжки допускается корректировать при контроле работ по натяжению напрягаемой арматуры по фактическим значениям модуля упругости арматуры и измеренным коэффициентам трения, а также с учетом конструктивных особенностей натяжного оборудования.

При определении расчетного воздействия, создаваемого усилием напрягаемой арматуры, коэффициенты надежности по нагрузке следует принимать равными:

для целых по длине элементов - (1,0 +/- 0,1);

для составных по длине элементов - по 7.86.

7.11. При расчете предварительно напряженных элементов место передачи на бетон сосредоточенных усилий с напрягаемой арматуры следует принимать в конструкциях:

с внешними (концевыми) и внутренними (каркасно-стержневыми) анкерами - в месте опирания или закрепления анкеров;

с арматурой, не имеющей анкеров (с заанкериванием посредством сцепления арматуры с бетоном), - на расстоянии, равном 2/3 длины зоны передачи напряжений.

Длину зоны передачи на бетон усилий с напрягаемой стержневой арматуры периодического профиля следует принимать при передаче усилия:

плавной - 20d (где d - диаметр стержня);

мгновенной посредством обрезки стержней (допускаемой при диаметрах стержней не более 18 мм) - 25d.

Для элементов конструкций, предназначенных для эксплуатации в районах со средней температурой наружного воздуха наиболее холодной пятидневки ниже минус 40 °C, длину зоны передачи усилий на бетон следует увеличивать на 5d.

Длину зоны передачи на бетон усилий с напрягаемых арматурных канатов класса К7 при отсутствии анкеров следует принимать в размерах, указанных в таблице 7.2; для элементов конструкций, предназначенных для эксплуатации в районах со средней температурой наружного воздуха наиболее холодной пятидневки ниже минус 40 °C, при арматурных канатах класса К7 длину зоны следует принимать более значений, указанных в таблице 7.2:

на 27 см - при диаметре канатов 9 мм;

на 30 см - то же, 12 мм;

на 38 см - то же, 15 мм. (в ред. Изменения N 1, утв. Приказом Минстроя РФ от 03.12.2016 N 879/пр)

Для пучков из четырех канатов К7 длину зоны передачи усилий по таблице 7.2 следует принимать с коэффициентом 1,4.

Указанные значения длин передачи усилий на бетон даны для канатов класса К7 для максимальных значений контролируемых усилий в момент передачи усилия на бетон в соответствии с 7.45. (в ред. Изменения N 1, утв. Приказом Минстроя РФ от 03.12.2016 N 879/пр)

Применение пластически обжатых канатов класса К7О без анкеров не допускается. (в ред. Изменения N 1, утв. Приказом Минстроя РФ от 03.12.2016 N 879/пр)

Таблица 7.2

Класс канатов Диаметр, мм Длина зоны передачи на бетон усилий , см, при передаточной прочности бетона, отвечающей бетону классов по прочности на сжатие
В22,5 В25 В27,5 В30 В35 В40 В45 В50 и более
К7-1500 9 88 85 83 80 75 70 65 60
К7-1500 12 98 95 93 90 87 85 75 70
К7-1400 15 115 110 105 100 95 90 85 80
Примечание. При мгновенной передаче на бетон усилия обжатия (посредством обрезки канатов) начало зоны передачи усилий следует принимать на расстоянии, равном 0,25lrp от торца элемента.

7.12. Армирование зоны передачи на бетон сосредоточенных усилий следует выполнять с учетом напряженно-деформированного состояния этой зоны, определяемого методами теории упругости или другими обоснованными способами расчета на местные напряжения. (в ред. Изменения N 1, утв. Приказом Минстроя РФ от 03.12.2016 N 879/пр)

Передачу усилия с анкеров напрягаемой арматуры на бетон следует выполнять с применением опорных элементов и косвенного армирования бетона анкерной зоны. Конструкция специальных анкерных деталей и косвенного армирования должна входить в комплект применяемой системы предварительного натяжения, надежность которой должна быть подтверждена экспериментальным путем в ходе разработки. Кроме арматуры косвенного армирования следует устанавливать арматуру зоны местного армирования с учетом напряженно-деформированного состояния этой зоны, определяемого методами теории упругости или иными методами. При конструировании зоны передачи усилия на бетон следует учитывать требования по расположению анкеров между собой и относительно граней конструкции с учетом проектируемой передаточной прочности бетона. (в ред. Изменения N 1, утв. Приказом Минстроя РФ от 03.12.2016 N 879/пр)

7.13. Влияние усадки и ползучести бетона следует учитывать при определении:

потерь предварительных напряжений в арматуре;

снижения обжатия бетона в предварительно напряженных конструкциях;

изменений усилий в конструкциях с искусственным регулированием напряжений;

перемещений (деформаций) конструкций от постоянных нагрузок и воздействий;

усилий в статически неопределимых конструкциях;

усилий в сборно-монолитных конструкциях.

Перемещения (деформации) конструкций от временных нагрузок допускается определять без учета усадки и ползучести бетона.

При расчете двухосно- и трехоснообжатых элементов потери напряжений в напрягаемой арматуре и снижение обжатия бетона вследствие его усадки и ползучести допускается определять отдельно по каждому направлению действия усилий.

7.14. Напряжения в элементах предварительно напряженных конструкций следует определять по контролируемому усилию за вычетом:

первых потерь - на стадии обжатия бетона;

первых и вторых потерь - на стадии эксплуатации.

К первым потерям следует относить:

а) в конструкциях с натяжением арматуры на упоры - потери вследствие деформации анкеров, трения арматуры об огибающие приспособления, релаксации напряжений в арматуре (в размере 50% полных), температурного перепада, быстронатекающей ползучести, а также от деформации форм (при натяжении арматуры на формы);

б) в конструкциях с натяжением арматуры на бетон - потери вследствие деформации анкеров, трения арматуры о стенки закрытых и открытых каналов, релаксации напряжений в арматуре (в размере 50% полных).

Ко вторым потерям следует относить:

а) в конструкциях с натяжением арматуры на упоры - потери вследствие усадки и ползучести бетона, релаксации напряжений в арматуре (в размере 50% полных);

б) в конструкциях с натяжением арматуры на бетон - потери вследствие усадки и ползучести бетона, релаксации напряжений в арматуре (в размере 50% полных), смятия под витками спиральной или кольцевой арматуры, навиваемой на бетон, деформации стыков между блоками в составных по длине конструкциях.

Значения отдельных из перечисленных потерь следует определять по Приложению Р с учетом 7.15.

Допускается принимать, что вторые потери от релаксации напряжений в арматуре (в размере 50% полных) происходят равномерно и полностью завершаются в течение одного месяца после обжатия бетона.

Суммарное значение первых и вторых потерь не должно приниматься менее 98 МПа.

7.15. При определении потерь предварительного напряжения в арматуре от усадки и ползучести бетона необходимо руководствоваться следующими указаниями:

а) изменение во времени потерь от усадки и ползучести бетона допускается определять по формуле

, (7.2)

где - конечные (предельные) значения потерь в арматуре от усадки и ползучести бетона, определяемые по Приложению Р или Т;

t - время, отсчитываемое при определении потерь от ползучести - со дня обжатия бетона, от усадки - со дня окончания бетонирования, сут;

e = 2,718 - основание натуральных логарифмов;

б) для конструкций, предназначенных для эксплуатации при влажности воздуха окружающей среды ниже 40%, потери от усадки и ползучести бетона следует увеличивать на 25%, за исключением конструкций, предназначенных для эксплуатации в климатическом подрайоне IVA согласно СП 131.13330 и не защищенных от солнечной радиации, для которых указанные потери увеличиваются на 50%; (в ред. Изменения N 1, утв. Приказом Минстроя РФ от 03.12.2016 N 879/пр)

в) допускается использовать более точные методы для определения потерь и перераспределения усилий от усадки и ползучести бетона с учетом предельных удельных значений деформаций ползучести и усадки бетона, влияния арматуры, возраста и передаточной прочности бетона, постадийного приложения нагрузки и длительности ее воздействия на каждой стадии, скорости развития деформаций во времени, приведенных размеров поперечных сечений, относительной влажности среды и других факторов. Эти методы должны быть обоснованы. При этом нормативные деформации ползучести и усадки бетона следует принимать по 7.32.

7.16. Расчетную длину сжатых элементов железобетонных решетчатых ферм следует принимать по указаниям, относящимся к определению расчетной длины сжатых элементов стальных решетчатых ферм (раздел 8).

Расчетную длину стоек отдельно стоящих рам при жестком соединении стоек с ригелем допускается принимать по таблице 7.3 в зависимости от соотношения жесткости ригеля и стоек .

Таблица 7.3

Отношение пролета ригеля L к высоте стойки H Расчетная длина стойки при отношении жесткости /
0,5 1 5
0,2 1,1H H H
1 1,3H 1,15H H
3 1,5H 1,4H 1,1H
Примечание. При промежуточных значениях отношений L/H и / расчетную длину допускается определять по интерполяции.

При расчете частей или элементов опор на продольный изгиб с использованием методов строительной механики, касающихся определения расчетной (свободной) длины сжатых стержней, допускается учитывать упругое защемление (упругую податливость) концов рассматриваемых элементов вследствие деформативности грунта и наличия в подвижных опорных частях сил трения. Если такие расчеты не производятся, то при применении подвижных опорных частей каткового и секторного типов, а также на фторопластовых прокладках взаимную связанность верха опор учитывать не следует.

В сжатых железобетонных элементах минимальная площадь поперечного сечения продольной арматуры, % к полной площади расчетного сечения бетона, должна быть не менее:

0,20 - в элементах с гибкостью / i 1,7;

0,60 - то же, с гибкостью / i 104;

для промежуточных значений гибкости - по интерполяции ( - расчетная длина элемента);

- радиус инерции поперечного сечения элемента, где - момент инерции бетонного сечения; - площадь бетонного сечения. Если требования по величине минимального армирования не удовлетворяются, то элементы конструкции следует рассчитывать как бетонные.

Гибкость сжатых железобетонных элементов в любом направлении в стадии эксплуатации сооружения не должна быть свыше 120, а на стадии монтажа - 150.

Гибкость / элементов с косвенным армированием не должна превышать при сетках - 55, при спирали - 35, где - радиус инерции части бетонного сечения (ограниченной осями крайних стержней сетки или спиралью).

7.17. Звенья прямоугольных железобетонных труб следует рассчитывать как рамы замкнутого контура с дополнительной проверкой их стенок по схеме с жестко заделанными стойками.

Звенья круглых железобетонных труб допускается рассчитывать только на изгибающие моменты (без учета продольных и поперечных сил), определяемые по Приложению С.

Материалы для бетонных, железобетонных, фибробетонных конструкций и конструкций с композитной полимерной арматурой (в ред. Изменения N 2, утв. Приказа Минстроя РФ от 11.11.2019 N 681/пр)
 

Бетон

 

Общая характеристика

7.18. В конструкциях мостов и труб следует предусматривать применение конструкционного тяжелого бетона со средней плотностью от 2200 до 2500 кг/м3 включительно <1>, соответствующего ГОСТ 26633.

<1> Изложенные в разделе нормы и требования относятся к бетону с указанной плотностью, который далее (без указания плотности) именуется "тяжелый бетон".

Применение бетона с другими признаками и плотностью допускается в опытных конструкциях.

Бетон конструкции по прочности на сжатие характеризуется проектным классом, передаточной и отпускной прочностями. Класс бетона по прочности на сжатие "В" определяется значением (гарантированным с обеспеченностью 0,95) прочности на сжатие, контролируемой на кубах 150 x 150 x 150 мм в установленные сроки.

Проектный класс бетона "В" - прочность бетона конструкции, назначаемая в проекте.

Передаточная прочность бетона - прочность (соответствующая классу) бетона в момент передачи на него усилия в процессе изготовления и монтажа (7.31).

Отпускная прочность бетона - прочность (соответствующая классу) бетона в момент отгрузки (замораживания) его со склада завода-изготовителя.

7.19. Для конструкций мостов и труб следует применять тяжелый бетон классов по прочности на сжатие В20, В22,5, В25, В27,5, В30, В35, В40, В45, В50, В55 и В60. Бетон классов В22,5 и В27,5 следует предусматривать при условии, что это приводит к экономии цемента и не снижает других технико-экономических показателей конструкции. Бетон класса по прочности выше В60 (в том числе получаемый с помощью добавок, повышающих прочность) следует применять по техническим условиям.

В зависимости от вида конструкций, их армирования и условий работы применяемый бетон должен соответствовать требованиям, приведенным в таблице 7.4.

Таблица 7.4

Конструкции, армирование и условия работы Бетон класса по прочности на сжатие, не ниже
1. Бетонные В20
2. Железобетонные с ненапрягаемой арматурой:
а) кроме пролетных строений В25
б) пролетные строения В30
3. Железобетонные предварительно напряженные:
а) без анкеров:
при стержневой арматуре классов:
А600 (А-IV), Ат600 (Ат-IV) В30
А800 (А-V), Ат800 (Ат-V), Ат1000 (Ат-VI) В35
при проволочной арматуре из одиночных проволок и канатов класса К7 В35
б) с анкерами:
при проволочной арматуре из одиночных проволок и из одиночных арматурных канатов класса К7 В35
(в ред. Изменения N 1, утв. Приказом Минстроя РФ от 03.12.2016 N 879/пр)
из пучков арматурных канатов класса К7 и при стальных канатах (со свивкой спиральной двойной и закрытых) В35
4. Блоки облицовки опор на реках с ледоходом при расположении мостов в районах со средней температурой наружного воздуха и наиболее холодной пятидневки, °C:
минус 40 и выше В35
ниже минус 40 В45
Для опор мостов при их расположении в зонах действия приливов и отливов или попеременного замораживания и оттаивания при работе плотин В45
Бетон заполнения внутренних полостей сборно-монолитных опор и свай-оболочек В20
(в ред. Изменения N 1, утв. Приказом Минстроя РФ от 03.12.2016 N 879/пр)

Для омоноличивания напрягаемой арматуры, располагаемой в открытых каналах, следует предусматривать бетон класса по прочности на сжатие не ниже В35.

Инъецирование арматурных каналов в предварительно напряженных конструкциях должно производиться раствором прочностью на 28-й день не ниже 30 МПа.

Для омоноличивания стыков сборных конструкций следует применять бетон класса по прочности на сжатие не ниже принятого для стыкуемых элементов.

7.20. Марки бетона и раствора по морозостойкости F в зависимости от климатических условий зоны строительства, расположения и вида конструкций следует принимать по таблице 7.5.

Таблица 7.5

Климатические условия (характеризуемые среднемесячной температурой наиболее холодного месяца согласно СНиП 23-01, °C) и условия эксплуатации Расположение конструкций и их частей
В надводной, подземной и надземной незатопляемой зонах <1> В зоне переменного уровня воды <2>, <3>
Вид конструкций
железобетонные и тонкостенные бетонные (толщиной менее 0,5 м) бетонные массивные железобетонные и тонкостенные бетонные Бетонные массивные блоки облицовки
кладка тела опор (бетон наружной зоны) кладка заполнения при блоках облицовки (бетон внутренней зоны)
Марка бетона по морозостойкости
Умеренные
минус 10 и выше
F200 F100 F200 F100 F100 -
Суровые
ниже минус 10 до минус 20 включительно
F200 F100 F300 F200 F100 F300
Особо суровые
ниже минус 20
F300 F200 F300 <4> F300 F200 F400 <5>
Зоны воздействия антигололедных солей F300 (в солях)
(в ред. Изменения N 1, утв. Приказом Минстроя РФ от 03.12.2016 N 879/пр)
<1> К надземным незатопляемым зонам в опорах следует относить части, расположенные на 1 м выше поверхности грунта. Для бетона участков опор, расположенных ниже и достигающих половины глубины промерзания грунта, следует предусматривать требования, указанные для конструкций, находящихся в зоне переменного уровня воды.
<2> За верхнюю границу зоны переменного уровня воды следует принимать условный уровень, который на 1 м выше наивысшего уровня ледостава, за нижнюю - уровень на 0,5 м ниже нижней поверхности слоя льда наинизшего ледостава.
<3> Марка бетона по морозостойкости для конструкций, находящихся в зоне действия приливов, по отношению к марке, приведенной в таблице, повышается на 100 циклов.
<4> Железобетонные элементы промежуточных опор железнодорожных и совмещенных мостов на постоянных водотоках в районах с особо суровыми климатическими условиями должны иметь марку бетона по морозостойкости F400.
<5> Бетон блоков облицовки опор больших железнодорожных и совмещенных мостов через реки с ледоходом при толщине льда свыше 1,5 м и расположении моста в районе с особо суровыми климатическими условиями должен иметь марку по морозостойкости F500.
Примечания. 1. К бетону частей конструкций подводных (на 0,5 м ниже поверхности слоя льда наинизшего ледостава), подземных (ниже половины глубины промерзания), а также находящихся в вечномерзлых грунтах, требования по морозостойкости не нормируются. В обсыпных устоях к подземным частям конструкции относятся части тела устоя, расположенные ниже половины глубины промерзания грунта конуса насыпи.
2. Бетон всех элементов водопропускных труб, укрепления русел рек и конусов насыпей, берегоукрепительных и регуляционных сооружений (бетон, находящийся в сезоннооттаивающем слое грунта в районах вечной мерзлоты), всех элементов мостового полотна, включая плиты проезжей части автодорожных мостов без гидроизоляции, а также бетон выравнивающего слоя одежды ездового полотна, выполняющий гидроизолирующие функции, и плиты мостового полотна в железнодорожных пролетных строениях при безбалластной езде должен отвечать требованиям по морозостойкости, предъявляемым к бетону, находящемуся в зоне переменного уровня воды.

7.21. Марки по морозостойкости бетона тела опор и блоков облицовки для мостов, расположенных вблизи плотин гидростанций и водохранилищ, должны устанавливаться в каждом отдельном случае на основе анализа конкретных условий эксплуатации и требований, предъявляемых в этих случаях к бетону речных гидротехнических сооружений.

7.22. В подводных и подземных сооружениях, не подвергающихся электрической и химической коррозии, следует применять бетон с маркой по водонепроницаемости W6. (в ред. Изменения N 1, утв. Приказом Минстроя РФ от 03.12.2016 N 879/пр)

Остальные элементы и части конструкций, в том числе бетонируемые стыки железобетонных мостов и труб и защитный слой одежды ездового полотна, должны проектироваться из бетона, имеющего марку по водонепроницаемости не ниже W8.

В районах со средней температурой наружного воздуха наиболее холодной пятидневки ниже минус 40 °C в железобетонных опорах в зоне переменного уровня воды, в блоках облицовки опор, а также во всех случаях в выравнивающем слое бетона одно- и двухслойной одежды ездового полотна, выполняющем гидроизолирующие функции, должен применяться бетон с маркой по водонепроницаемости не ниже W8.

7.23. В элементах конструкций, предназначенных для эксплуатации в агрессивных средах, включая воздействие агрессивных грунтовых вод, морского климата и морской воды, следует применять бетоны, обладающие стойкостью в соответствии с требованиями СП 28.13330 по составу, классу прочности, морозостойкости, водонепроницаемости, минимальному защитному слою, с учетом срока эксплуатации проектируемых конструкций. (в ред. Изменения N 1, утв. Приказом Минстроя РФ от 03.12.2016 N 879/пр)

Расчетные сопротивления

7.24. Основными нормативными прочностными характеристиками бетона являются значения сопротивления бетона осевому сжатию (призменная прочность) и осевому растяжению , определяемые с обеспеченностью 0,95.

Основные расчетные прочностные характеристики бетона - сопротивление осевому сжатию и осевому растяжению - определяют делением нормативных значений сопротивления бетона на соответствующий коэффициент надежности по материалу и умножением на коэффициент условий работы .

Коэффициент надежности по материалу (бетону) для предельных состояний первой группы принимают равным 1,3 для осевого сжатия и 1,5 для осевого растяжения.

Для предельных состояний второй группы коэффициент надежности по материалу равен 1,0.

Коэффициент условий работы по назначению принимают равным:

0,9 - для предельных состояний первой группы;

1,0 - для предельных состояний второй группы.

Расчетные сопротивления бетона разных классов при расчете конструкций мостов и труб по предельным состояниям первой и второй групп должны приниматься по таблице 7.6.

Таблица 7.6

Вид сопротивления Условное обозначение Расчетное сопротивление, МПа, бетона классов по прочности на сжатие
В20 В22,5 В25 В27,5 В30 В35 В40 В45 В50 В55 В60
При расчетах по предельным состояниям первой группы
Сжатие осевое (призменная прочность) 10,5 11,75 13,0 14,3 15,5 17,5 20,0 22,0 25,0 27,5 30,0
Растяжение осевое 0,85 0,90 0,95 1,05 1,10 1,15 1,25 1,30 1,40 1,45 1,50
При расчетах по предельным состояниям второй группы
Сжатие осевое (призменная прочность) 15,0 16,8 18,5 20,5 22,0 25,5 29,0 32,0 36,0 39,5 43,0
Растяжение осевое 1,40 1,50 1,60 1,70 1,80 1,95 2,10 2,20 2,30 2,40 2,50
Скалывание при изгибе 1,95 2,30 2,50 2,75 2,90 3,25 3,60 3,80 4,15 4,45 4,75
Сжатие осевое (призменная прочность) для расчетов по предотвращению образования в конструкциях продольных трещин:
при предварительном напряжении и монтаже - - 13,7 15,2 16,7 19,6 23,0 26,0 29,9 32,8 36,2
на стадии эксплуатации 8,8 10,3 11,8 13,2 14,6 16,7 19,6 22,0 25,0 27,5 30,0

Расчетные сопротивления бетона на непосредственный срез при расчетах конструкций по предельным состояниям первой группы следует принимать:

для сечений, расположенных в монолитном армированном бетоне, когда не учитывается работа арматуры - = 0,1;

для тех же сечений при учете работы арматуры на срез - по указаниям 7.78;

в местах сопряжения бетона омоноличивания с бетоном сборных элементов при соблюдении требований 7.170 - = 0,05.

Для бетонных конструкций расчетные сопротивления сжатию и необходимо принимать на 10% ниже значений, указанных в таблице 7.6, а для непосредственного среза - = 0,05.

Расчетные сопротивления монолитного бетона класса В20 во внутренних полостях (в ядре) круглых оболочек опор допускается в расчетах повышать на 25%.

7.25. Расчетные сопротивления бетона, приведенные в 7.24 и в таблице 7.6, в соответствующих случаях следует принимать с коэффициентами условий работы согласно таблице 7.7.

Таблица 7.7

Фактор, обусловливающий введение коэффициента условий работы Коэффициент условий работы Расчетное сопротивление бетона, к которому вводится коэффициент Значение коэффициента условий работы
1. Многократно повторяющаяся нагрузка По 7.26
2. Бетонирование в вертикальном положении сжатых элементов с площадью поперечного сечения 0,3 м2 и менее 0,85
3. Влияние двухосного напряженного состояния при поперечном обжатии бетона По 7.27
По 7.27
4. Работа конструкции в районах со средней температурой наружного воздуха наиболее холодной пятидневки ниже минус 40 °C при отсутствии водонасыщения бетона 0,9
5. Попеременное замораживание и оттаивание бетона, находящегося в водонасыщенном состоянии в конструкциях, эксплуатируемых в районах со средней температурой наружного воздуха наиболее холодной пятидневки, °C:
минус 40 и выше 0,9
ниже минус 40 0,8
6. Работа конструкций, не защищенных от солнечной радиации, в климатическом подрайоне IVA согласно СП 131.13330 , 0,85
(в ред. Изменения N 1, утв. Приказом Минстроя РФ от 03.12.2016 N 879/пр)
7. Наличие в составных конструкциях:
бетонируемых стыков По 7.28 и таблице 7.10
клееных стыков По 7.29
швов на растворе в неармированной кладке По 7.30
8. Расчет элементов в стадии эксплуатации по предельным состояниям второй группы:
а) на косой изгиб и косое внецентренное сжатие 1,10
б) на кручение 1,15
в) на скалывание по плоскости сопряжения бетона омоноличивания с бетоном конструкции 0,50

7.26. При многократно повторяющихся нагрузках, действующих на элементы, подлежащие расчету на выносливость, расчетные сопротивления бетона сжатию в расчетах на выносливость следует определять по формуле

, (7.3)

где - коэффициент условий работы;

- расчетное сопротивление бетона осевому сжатию при расчетах по предельным состояниям первой группы (таблица 7.6);

- коэффициент, учитывающий рост прочности бетона во времени и принимаемый по таблице 7.8;

- коэффициент, зависящий от асимметрии цикла повторяющихся напряжений и принимаемый по таблице 7.9.

Таблица 7.8

Класс бетона по прочности на сжатие В27,5 и ниже В30 В35 В40 В45 В50 В55 В60
1,34 1,31 1,28 1,26 1,24 1,22 1,21 1,20

Таблица 7.9

Коэффициент цикла повторяющихся напряжений 0,1 и менее 0,2 0,3 0,4 0,5 0,6 и более
1,00 1,05 1,10 1,15 1,20 1,24
Примечание. Для промежуточных значений , коэффициент следует определять по интерполяции.

7.27. В расчетах предварительно напряженных конструкций при поперечном их обжатии напряжением к расчетным сопротивлениям бетона осевому сжатию , скалыванию при изгибе и непосредственному срезу следует вводить коэффициенты условий работы , равные:

а) для :

= 1,1 - если 0,1 0,2;

= 1,2 - при напряжениях = 0,6, которые представляют собой максимальную величину, учитываемую в расчетах;

б) для и

= 1 + 1,5/ - при 0,98;

= 1 + / - при = 2,94.

Для промежуточных значений коэффициенты условий работы бетона принимают по интерполяции.

7.28. При расчете составных по длине конструкций с бетонируемыми стыками значения коэффициента условий работы , учитывающего разницу в прочности бетона конструкции и материала заполнения стыкового шва на каждой стадии работы стыка, следует принимать в зависимости от толщины шва b и отношения прочности бетона (раствора) в стыке (шве) к прочности бетона в блоках конструкции по таблице 7.10.

Таблица 7.10

Толщина шва, мм Коэффициенты условий работы при отношениях /
0,2 и менее 0,3 0,4 0,5 0,6 0,7 0,8 0,9 1,0
От 20 до 40 0,70 0,76 0,82 0,88 0,94 1,0 1,0 1,0 1,0
70 0,50 0,58 0,65 0,72 0,80 0,85 0,90 0,95 1,0
200 и более 0,20 0,30 0,40 0,50 0,60 0,70 0,80 0,90 1,0

При толщине частей блока менее 120 мм, а также при наличии в теле блока отверстий для пропуска напрягаемой арматуры значения для стыка с толщиной шва от 20 до 40 мм следует принимать, как для шва толщиной 70 мм, для шва толщиной 70 мм - как для шва толщиной 200 мм.

7.29. Составные конструкции по длине пролетных строений с клееными стыками следует проектировать такими, чтобы они были способны нести монтажные нагрузки при неотвержденном клее.

В расчетах составных конструкций по длине с клееными стыками коэффициент условий работы , вводимый к расчетным сопротивлениям бетона блоков и учитывающий снижение прочности конструкции до отверждения клея, следует принимать в зависимости от вида поверхности бетона торцов блоков: при рифленой - 0,90, при гладкой - 0,85.

Для клееных стыков, расстояния между которыми менее наибольшего размера сечения, а также для стыков вставных диафрагм указанные значения следует уменьшать на 0,05.

Для клееных стыков с отвержденным клеем следует принимать = 1.

7.30. При расчете неармированной кладки из бетонных блоков на растворе к расчетным сопротивлениям бетона, принимаемым для бетонных конструкций в соответствии с 7.24, следует вводить коэффициенты условий работы , равные:

0,85 - при классах бетона блоков В20 и В22,5;

0,75 - то же, В25 - В35;

0,70 - то же, В40 и выше.

Толщина горизонтальных швов кладки не должна быть более 1,5 см, а раствор в швах должен иметь прочность в 28-дневном возрасте не ниже прочности бетонных блоков.

7.31. При изготовлении предварительно напряженных конструкций обжатие бетона допускается при его прочности не ниже установленной для проектного класса.

Расчетные сопротивления бетона для назначения передаточной прочности следует определять по таблице 7.6 путем интерполяции значений, относящихся к близким классам бетона.

Прочность бетона к моменту передачи на него полного усилия с напрягаемой арматуры и при монтаже следует назначать, как правило, не менее прочности, соответствующей классу бетона по прочности В25.

Характеристики деформативных свойств

7.32. Основными деформационными характеристиками бетона являются нормативные значения:

предельных деформаций бетона при: осевом сжатии , сжатии при изгибе , осевом растяжении и растяжении при изгибе ;

модуля упругости бетона при сжатии и растяжении ;

модуля сдвига бетона ;

коэффициента поперечных деформаций v;

предельных удельных деформаций ползучести бетона ;

предельных относительных деформаций усадки .

Значения предельных относительных деформаций бетона следует принимать:

в случае осевого сжатия = 0,002;

в случае сжатия с изгибом = 0,0035;

в случае осевого растяжения = 0,0001;

в случае растяжения с изгибом = 0,00015.

Значение модулей упругости бетона при сжатии и растяжении и при твердении бетона конструкций в естественных условиях в случае отсутствия опытных данных следует принимать по таблице 7.11.

Таблица 7.11

Класс бетона по прочности на сжатие В20 В22,5 В25 В27,5 В30 В35 В40 В45 В50 В55 В60
, ГПа 27,0 28,5 30,0 31,5 32,5 34,5 36,0 37,5 39,0 39,5 40,0
(в ред. Изменения N 1, утв. Приказом Минстроя РФ от 03.12.2016 N 879/пр)

Значения модулей упругости , приведенные в таблице 7.11, следует уменьшать:

на 10% - для бетона, подвергнутого тепловлажностной обработке, а также для бетона, работающего в условиях попеременного замораживания и оттаивания;

на 15% - для бетона конструкций, не защищенных от солнечной радиации, в климатическом подрайоне IVA в соответствии с требованиями СНиП 23-01.

Для кладки из бетонных блоков значения модулей деформации E следует принимать для бетона классов:

В20 - В35 - 0,5;

В40 и выше - 0,6.

Приведенный модуль деформации бетона сборно-монолитной опоры в целом определяется как средневзвешенный по значениям модуля деформации бетона кладки из блоков и модуля упругости бетона ядра сечения с учетом пропорциональности их площадей сечения по отношению ко всей площади сечения опоры.

Модуль сдвига бетона следует принимать равным 0,4, коэффициент поперечной деформации (коэффициент Пуассона) - v = 0,2 .

Минимальное значение модуля упругости клеев, используемых в стыках составных конструкций, не должно быть меньше 1500 МПа, а значение коэффициента поперечной деформации v - не более 0,25.

Нормативные значения предельных удельных деформаций ползучести и относительных деформаций усадки следует принимать по таблице 7.12.

Таблица 7.12

Показатель Нормативные значения деформаций ползучести бетона и усадки для бетонов классов прочности на сжатие
В20 В22,5 В25 В27,5 В30 В35 В40 В45 В50 В55 В60
, 115 107 100 92 84 75 67 55 50 41 39
400 400 400 400 400 400 400 365 330 315 300
Примечание. Для бетона, подвергнутого тепловлажностной обработке при температуре 50 °C и выше, значения и следует уменьшать на 10%.
(в ред. Изменения N 1, утв. Приказом Минстроя России от 03.12.2016 N 879/пр)

Учитываемые в расчетах значения предельных удельных деформаций ползучести и деформаций усадки получают путем умножения нормативных значений на коэффициенты, принимаемые в зависимости от передаточной прочности, возраста бетона в момент загружения, модуля удельной поверхности элемента (отношения открытой поверхности элемента к его объему) и относительной влажности воздуха в соответствии с данными таблицы 7.13.

Таблица 7.13

Фактор Поправочные коэффициенты к значениям нормативным предельным деформаций
ползучести усадки
Передаточная прочность бетона на сжатие в долях проектного класса бетона:
0,5 1,7 -
0,6 1,6 -
0,7 1,4 -
0,8 1,25 -
0,9 1,15 -
1,0 1,0 -
Возраст бетона в момент загружения, сут:
28 и менее 1,0 -
60 0,8 -
90 0,7 -
180 0,6 -
360 и более 0,5 -
Модуль удельный поверхности элемента, м-1;
0 0,51 0,22
5 0,65 0,54
10 0,76 0,66
20 0,93 0,92
40 1,11 1,10
60 1,23 1,18
80 и более 1,30 1,22
Относительная влажность воздуха, %:
40 и менее 1,27 1,14
50 1,13 1,08
60 1,00 1,00
70 0,87 0,91
80 0,73 0,79
90 0,60 0,63
100 и более 0,47 0
Примечания. 1. Для промежуточных значений факторов коэффициенты принимают по интерполяции.
2. Влажность принимается как средняя относительная влажность воздуха наиболее жаркого месяца по СП 131.13330, а при расположении конструкции в подрайоне IVA - как среднемесячная влажность, соответствующая времени обжатия бетона. Для типовых конструкций допускается принимать влажность, равную 60%.
(в ред. Изменения N 1, утв. Приказом Минстроя России от 03.12.2016 N 879/пр)

Фибробетон (в ред. Изменения N 2, утв. Приказа Минстроя РФ от 11.11.2019 N 681/пр)

7.32а В бетонных и железобетонных конструкциях допускается применять неметаллическую фибру по ГОСТ 33370 в соответствии с указаниями СП 297.1325800 в качестве нерабочей арматуры для повышения трещиностойкости, ударной прочности, вязкости разрушения, износостойкости, морозостойкости и понижения усадки и ползучести.

Арматура

Стальная арматура (в ред. Изменения N 2, утв. Приказа Минстроя РФ от 11.11.2019 N 681/пр)

7.33. Основным прочностным показателем арматуры является класс арматуры по прочности на растяжение. Класс арматуры отвечает гарантированному (браковочному) значению физического или условного предела текучести, устанавливаемому в соответствии с требованиями государственных стандартов или технических условий на арматуру.

Каждому классу арматуры кроме характеристики по пределу текучести соответствуют также свои значения временного сопротивления разрыву и относительного равномерного удлинения после разрыва.

Для высокопрочной проволоки и арматурных канатов допускается устанавливать класс арматуры по гарантированному (браковочному) значению временного сопротивления. (в ред. Изменения N 1, утв. Приказом Минстроя РФ от 03.12.2016 N 879/пр)

Кроме того, к арматуре предъявляются требования по дополнительным показателям качества, определяемым по соответствующим стандартам:

свариваемость, оцениваемая испытаниями по прочности сварных соединений в зависимости от вида сварки и соединения;

коррозионная стойкость, оцениваемая испытаниями по продолжительности пребывания арматуры в напряженном состоянии в агрессивной среде до разрушения;

пластичность, оцениваемая испытаниями на изгиб (стержни) или перегиб (проволока) до разрушения;

релаксационная стойкость, оцениваемая испытаниями по величине потерь под напряжением за определенный промежуток времени;

усталостная прочность, оцениваемая пределом выносливости при нормированном количестве циклов загружения;

хладостойкость, оцениваемая испытаниями на ударную вязкость или испытаниями на прочность образцов, в том числе и сварных, при воздействии низких отрицательных температур (минус 40 °C, минус 60 °C).

Дополнительные показатели качества арматуры при проектировании железобетонных конструкций мостов и труб устанавливают в соответствии с требованиями расчетов, условий эксплуатации и различных воздействий окружающей среды.

Марки стали для арматуры железобетонных мостов и труб, устанавливаемой по расчету в зависимости от условий работы элементов конструкций и средней температуры наружного воздуха наиболее холодной пятидневки в районе строительства, следует принимать по таблице 7.14 с учетом 7.39, 7.91 и 7.133; при этом знак "плюс" означает возможность применения указанной марки стали в данных условиях.

Таблица 7.14

Вид арматуры Класс прочности арматурной стали Документ, регламентирующий качество арматурной стали Ограничение по пределу текучести , условному пределу текучести , пределу прочности , МПа Марка стали Диаметр, мм Элементы с арматурой, не рассчитываемой на выносливость Элементы с арматурой, рассчитываемой на выносливость
При применении конструкций в районах со средней температурой наружного воздуха наиболее холодной пятидневки, °C
-30 и выше ниже -30 до -40 вкл. ниже -40 -30 и выше ниже -30 до -40 вкл. ниже -40
Стержневая горячекатаная гладкая А240
(А-I)
ГОСТ 5781
ГОСТ 380
235 < < 310
280 < < 500
Ст3сп 6 - 10 + + + + + +
Ст3сп 12 - 40 + + + + + -
Ст3пс 6 - 10 + + + <1>, <2> + + <1> -
Ст3пс 12 - 16 + + <1> - + + <1> -
Ст3пс 18 - 40 + a + <1> - + <1> - -
Ст3кп 6 - 10 + - - - - -
Стержневая горячекатаная периодического профиля А300
(А-II)
295 < < 370
500 < < 570
Ст5сп 10 - 40 + + + <1>, <2>, <3> + + -
Ст5пс 10 - 16 + + <1> - + + <1> -
Ст5пс2 18 - 40 + - - + <1> - -
Ас300
(Ас-II)
10ГТ 10 - 32 + + + + + +
А400
(А-III)
ГОСТ 5781 400 < < 470
600 < < 700
25Г2С 6 - 40 + + + <1> + + <1> + <1>
35ГС 6 - 40 + + <4> - - - -
А600
(А-IV)
ГОСТ 380 Фактические значения , , не должны превышать нормируемых значений более чем на 100 20ХГ2Ц 10 - 22 + + + <5> + + + <5>
А-800
(А-V)
23Х2Г2Т 10 - 32 + + + <5> + + + <5>
Стержневая термически упрочненная периодического профиля Ат600 <6>
(Ат-IV)
ГОСТ 10884 - 28С 10 - 28 + <5> + <5> + <5>, <7> - - -
10ГС2 10 - 18 + <5> + <5> + <5>, <7> - - -
25С2Р 10 - 18 + <5> + <5> + <5>, <7> - - -
Ат800 <6>
(Ат-V)
25С2Р 10 - 28 + <5> + <5> + <5>, <7> - - -
Ат1000 <6>
(Ат-VI)
25С2Р 10 - 16 + <5> + <5> + <5>, <7> - - -
Высокопрочная гладкая проволока В1500 - В1200
(В-II)
ГОСТ 7348 Фактические значения и не должны превышать нормируемых значений более чем на 300 - 3 - 8 + + + <8> + + + <8>
Высокопрочная проволока периодического профиля В1500 - В1200
(Вр-II)
- 3 - 8 + + + <9> + + + <9>
Канаты арматурные К7-1500-
К7-1400
(К7)
ГОСТ 13840 - - 9 - 15 + + + + + +
К7-1670
К7-1770
К7-1860
ГОСТ Р 53772 <12> Фактические значения временного сопротивления не должны превышать нормируемых значений более чем на 50% - 15,2; 15,7 + + + <11> + + <11> + <11>
К7О-1820 - 15,2 + + + <11> + + <11> + <11>
(в ред. Изменения N 1, утв. Приказом Минстроя РФ от 03.12.2016 N 879/пр)
Канаты стальные Спиральные - - - Диаметр проволок
3 мм
и более
+ + - + <10> + <10> -
Двойной свивки ГОСТ 3067 + + - + <10> + <10> -
Закрытые ГОСТ 3090
ГОСТ 7675
ГОСТ 7676
По соответствующему стандарту + + - + <10> + <10> -
(в ред. Изменения N 1, утв. Приказом Минстроя РФ от 03.12.2016 N 879/пр)
<1> Допускается к применению в вязаных каркасах и сетках.
(в ред. Изменения N 1, утв. Приказом Минстроя РФ от 03.12.2016 N 879/пр)
<2> Не допускается к применению для хомутов пролетных строений.
(в ред. Изменения N 1, утв. Приказом Минстроя РФ от 03.12.2016 N 879/пр)
<3> Не допускается к применению, если динамический коэффициент свыше 1,1.
(в ред. Изменения N 1, утв. Приказом Минстроя РФ от 03.12.2016 N 879/пр)
<4> Если динамический коэффициент свыше 1,1, допускается к применению только в вязаных каркасах и сетках.
(в ред. Изменения N 1, утв. Приказом Минстроя РФ от 03.12.2016 N 879/пр)
<5> Только в виде целых стержней мерной длины или стержней с несварными стыками.
(в ред. Изменения N 1, утв. Приказом Минстроя РФ от 03.12.2016 N 879/пр)
<6> Допускается к применению термически упрочненная арматурная сталь только марок С (свариваемая) и К (стойкая к коррозионному растрескиванию).
(в ред. Изменения N 1, утв. Приказом Минстроя РФ от 03.12.2016 N 879/пр)
<7> Допускается к применению при гарантируемой величине равномерного удлинения не менее 2.
(в ред. Изменения N 1, утв. Приказом Минстроя РФ от 03.12.2016 N 879/пр)
<8> Допускается к применению при диаметрах проволок 5 - 8 мм.
(в ред. Изменения N 1, утв. Приказом Минстроя РФ от 03.12.2016 N 879/пр)
<9> Допускается к применению при диаметре проволок 5 мм.
(в ред. Изменения N 1, утв. Приказом Минстроя РФ от 03.12.2016 N 879/пр)
<10> Допускается к применению только в пролетных строениях совмещенных мостов.
(в ред. Изменения N 1, утв. Приказом Минстроя РФ от 03.12.2016 N 879/пр)
<11> Допускается к применению после дополнительных исследований на хладостойкость.
(в ред. Изменения N 1, утв. Приказом Минстроя РФ от 03.12.2016 N 879/пр)
<12> Применение арматурных канатов по ГОСТ Р 53772 допускается при условии обязательного подтверждения всех заявленных физико-механических свойств периодическими (не реже одного раза в год) испытаниями или испытаниями поставляемых партий.
(в ред. Изменения N 1, утв. Приказом Минстроя РФ от 03.12.2016 N 879/пр)

Арматурную сталь класса А300 марки Ст5пс допускается применять в пролетных строениях (исключая хомуты) и в опорах мостов, если диаметр ее стержней не более, мм:

20 - для элементов с арматурой, не рассчитываемой на выносливость;

18 - то же, рассчитываемой на выносливость.

Указанную арматурную сталь при диаметрах 22 мм и более следует применять только в фундаментах и частях опор, расположенных ниже половины глубины промерзания грунта.

Сварные соединения стержневой термически упрочненной арматурной стали, высокопрочной арматурной проволоки, арматурных канатов класса К7 и стальных канатов со свивкой спиральной, двойной и закрытых не допускаются.

К стержневой напрягаемой арматуре, находящейся в пределах тела бетона конструкции, запрещается приварка каких-либо деталей или арматуры.

Применение в качестве рабочей рассчитываемой арматуры арматурных сталей, не предусмотренных в таблице 7.14, в том числе импортных или выпускаемых по техническим условиям, допускается после всестороннего исследования их свойств на прочность, пластичность, свариваемость, коррозионную стойкость, релаксационную стойкость, хладостойкость, стойкость к усталостным разрушениям (работа на выносливость) и т.д.

Допускается применять нестабилизированные (с обычной релаксацией) арматурные канаты К7 по ГОСТ 13840 и стабилизированные (с пониженной релаксацией) канаты К7 по ГОСТ Р 53772. (в ред. Изменения N 1, утв. Приказом Минстроя РФ от 03.12.2016 N 879/пр)

Допускается применение арматурных канатов обычного сечения К7 и пластически обжатых К7О. Канаты также могут применяться в защитной полиэтиленовой оболочке со смазкой и без смазки (моностренды). Применение пластически обжатых арматурных канатов допускается только в конструкциях, работающих без сцепления. (в ред. Изменения N 1, утв. Приказом Минстроя РФ от 03.12.2016 N 879/пр)

Гарантированное временное сопротивление арматурных канатов во всех случаях не должно превышать 1860 МПа, а при использовании для внешнего армирования - 1770 МПа. (в ред. Изменения N 1, утв. Приказом Минстроя РФ от 03.12.2016 N 879/пр)

В качестве арматуры могут быть применены листовой или фасонный прокат, а также композитные материалы на основе стеклянных, углеродных и минеральных волокон. Для дисперсного армирования может применяться фибра из стальной проволоки и стеклянных, углеродных и минеральных волокон. Применение этих материалов допускается на основании разработанных нормативных документов.

Напрягаемая арматура всех видов и классов должна применяться в составе специально разработанных систем предварительного натяжения, включающих: напрягаемые элементы, анкера, опорные элементы, обеспечивающие передачу давления с анкера на бетон, систему косвенного армирования, обеспечивающую восприятие бетоном усилий давления, соединительные муфты, элементы, обеспечивающие возможность натяжения после набора прочности бетоном (каналообразователи, пустотообразователи или изоляцию), оборудование для установки напрягаемых элементов в конструкцию, элементы фиксации армоэлементов конструкции, оборудование для натяжения арматурных элементов и инъектирования каналов после натяжения, а также технологию всех видов работ, связанных с предварительным натяжением, данные для проектирования железобетонных конструкций и методы контроля этапов работ. Элементы системы предварительного натяжения должны быть заводского изготовления и выпускаться серийно. (в ред. Изменения N 1, утв. Приказом Минстроя РФ от 03.12.2016 N 879/пр)

7.34. Для монтажных (подъемных) петель следует предусматривать применение арматурной стали класса А240 марки Ст3сп.

Если проектом предусмотрен монтаж конструкции при среднесуточных температурах наружного воздуха не ниже минус 40 °C, то для монтажных петель допускается применение арматурной стали класса А240 из стали марки Ст3пс.

7.35. В качестве конструктивной арматуры при всех условиях допускается применение арматурной стали классов А240 и А300 марок, указанных в таблице 7.14, а также арматурной проволоки периодического профиля класса Вр.

Стальные изделия

7.36. Для закладных изделий, деформационных швов и прочих расчетных элементов следует применять стальной прокат и другие изделия согласно требованиям раздела 8.

В качестве неизвлекаемых металлических каналообразователей сборных и монолитных конструкций рекомендуется применение герметичных гофрированных труб, изготавливаемых из стальной ленты толщиной не менее 0,25 мм в соответствии с техническими условиями. В тех же конструкциях на кривых малого (ниже рекомендуемого) радиуса, а также на участках в зоне опирания анкеров напрягаемой арматуры допускается применение каналообразователей из стальных труб. Применение оцинкованных каналообразователей, находящихся внутри бетона конструкции, запрещается. (в ред. Изменения N 1, утв. Приказом Минстроя РФ от 03.12.2016 N 879/пр)

Применение неизвлекаемых гофрированных полиэтиленовых каналообразователей допускается только при технико-экономическом обосновании.

Композитная полимерная арматура (в ред. Изменения N 2, утв. Приказа Минстроя РФ от 11.11.2019 N 681/пр)

7.36а Допускается применять композитную полимерную арматуру по ГОСТ 31938 в соответствии с указаниями СП 295.1325800 и требованиями 7.95 - 7.115 по трещиностойкости и деформативности в следующих бетонных и железобетонных конструкциях: оголовки водопропускных труб; мостовые ограждения; плиты мощения откосов.

7.36б Нормативные значения прочностных и деформационных характеристик композитной полимерной арматуры следует принимать с обеспеченностью не менее 0,98.

Расчетные характеристики стальной арматуры (в ред. Изменения N 2, утв. Приказа Минстроя РФ от 11.11.2019 N 681/пр)

7.37. Нормативные значения прочности арматуры гарантируют с обеспеченностью не менее 0,95, нормативные значения деформационных характеристик принимают равными их средним значениям.

Основной прочностной характеристикой стержневой арматуры при растяжении (сжатии) является нормативное значение сопротивления , равное значениям физического предела текучести или условного, соответствующего остаточному удлинению, равному 0,2%.

Для гладкой проволочной арматуры класса В по ГОСТ 7348 и арматурных канатов К7 по ГОСТ 13840 в качестве нормативного значения сопротивления принимаются напряжения, соответствующие 0,95 условного предела текучести; для проволоки периодического профиля класса Вр по ГОСТ 7348 - 0,9 условного предела текучести.

Указанные характеристики определяют по действующим стандартам на арматурные стали.

Расчетные прочностные характеристики арматуры на растяжение (расчетные сопротивления) определяют делением нормативных значений на соответствующий коэффициент надежности по материалу (устанавливаемый в зависимости от вида и класса арматуры, группы предельных состояний) и умножением на коэффициент условий работы по назначению.

Для предельных состояний первой группы коэффициенты надежности по материалу приведены в таблице 7.15; коэффициенты условий работы по назначению принимают равными: для железнодорожных мостов - 0,90, для автодорожных мостов - 0,95. Для предельных состояний второй группы коэффициенты надежности по материалу и коэффициенты условий работы принимают равными 1,0.

Таблица 7.15

Вид, класс и диаметр арматуры Коэффициент надежности по материалу при расчете по предельным состояниям первой группы
1. Ненапрягаемая стержневая:
А240; А300 1,05
Ас300; А400, диаметр 10 - 40 мм 1,07
А400, диаметр 6 - 8 мм 1,10
2. Напрягаемая стержневая:
горячекатаная:
А600 1,20
А800 1,25
термически упрочненная:
Ат800, диаметр 10 - 14 мм 1,15
диаметр 16 - 28 мм 1,25
Ат1000, диаметр 10 - 14 мм 1,20
диаметр 16 мм 1,25
3. Напрягаемая проволочная гладкая В и периодического профиля Вр 1,20
4. Арматурные канаты К7 1,20
5. Стальные канаты со спиральной или двойной свивкой и закрытые 1,25

Расчетные сопротивления растяжению арматурных сталей следует принимать по таблице 7.16.

Таблица 7.16

Класс арматурной стали Диаметр, мм Расчетные сопротивления растяжению при расчетах по предельным состояниям первой группы Rs и , МПа, для мостов и труб
железнодорожных автодорожных и городских
1. Ненапрягаемая стержневая:
а) гладкая А240 6 - 40 200 210
б) периодического профиля:
А300 10 - 40 250 265
А400 6 и 8 320 340
10 - 40 330 350
2. Напрягаемая стержневая:
а) горячекатаная:
А600 <*> 10 - 32 435 465
А800 10 - 32 565 600
б) термически упрочненная:
Ат600 10 - 28 - 465
Ат800 10 - 14 - 645
16 - 28 - 600
Ат1000 10 - 14 - 775
16 - 745
3. Высокопрочная проволока:
а) гладкая:
В1500 3 1120 1180
В1400 4 1060 1120
В1400 5 1000 1055
В1300 6 940 995
В1200 7 885 930
б) периодического профиля:
Вр1500 3 1100 1155
Вр1400 4 1030 1090
Вр1400 5 940 995
Вр1200 6 885 930
4. Арматурные канаты:
(в ред. Изменения N 1, утв. Приказом Минстроя РФ от 03.12.2016 N 879/пр)
а) по ГОСТ 13840
(в ред. Изменения N 1, утв. Приказом Минстроя РФ от 03.12.2016 N 879/пр)
К7-1500 9 1030 1090
(в ред. Изменения N 1, утв. Приказом Минстроя РФ от 03.12.2016 N 879/пр)
К7-1500 12 1000 1055
(в ред. Изменения N 1, утв. Приказом Минстроя РФ от 03.12.2016 N 879/пр)
К7-1400 15 970 1025
(в ред. Изменения N 1, утв. Приказом Минстроя РФ от 03.12.2016 N 879/пр)
б) по ГОСТ Р 53772
(в ред. Изменения N 1, утв. Приказом Минстроя РФ от 03.12.2016 N 879/пр)
К7-1670 15,2 1040 1100
(в ред. Изменения N 1, утв. Приказом Минстроя РФ от 03.12.2016 N 879/пр)
К7-1770 15,2; 15,7 1110 1175
(в ред. Изменения N 1, утв. Приказом Минстроя РФ от 03.12.2016 N 879/пр)
К7-1860 15,2; 15,7 1180 1250
(в ред. Изменения N 1, утв. Приказом Минстроя РФ от 03.12.2016 N 879/пр)
К7О-1820 15,2 1145 1210
(в ред. Изменения N 1, утв. Приказом Минстроя РФ от 03.12.2016 N 879/пр)
5. Стальные канаты: По соответствующим стандартам 0,54 0,57
со спиральной свивкой
с двойной свивкой закрытые
<*> При смешанном армировании стержневую горячекатаную арматуру класса А600 допускается применять в качестве ненапрягаемой арматуры.

Нормативные сопротивления растяжению и принимают равными классу арматуры, за исключением:

- арматурных канатов, для которых оно равно условному пределу текучести;

- стальных канатов, где нормативное сопротивление равно 75% гарантированного временного сопротивления. (в ред. Изменения N 1, утв. Приказом Минстроя РФ от 03.12.2016 N 879/пр)

7.38. Расчетные сопротивления сжатию арматуры , принимают равными расчетным сопротивлениям растяжению , , но не более 400 МПа при действии кратковременной нагрузки и 500 МПа при действии остальных нагрузок - для всех видов арматуры, включая напрягаемую, имеющую сцепление с бетоном, и нулю - для напрягаемой арматуры, не имеющей сцепления.

Коэффициенты условий работы арматуры

7.39. При расчете арматуры на выносливость расчетные сопротивления арматурной стали растяжению для ненапрягаемой и напрягаемой арматуры следует определять по формулам:

; (7.4)

, (7.5)

где , - коэффициенты условий работы арматуры, учитывающие влияние многократно повторяющейся нагрузки;

, - расчетные сопротивления арматурной стали растяжению, принимаемые по таблице 7.16;

, - коэффициенты, зависящие от асимметрии цикла изменения напряжений в арматуре , приведены в таблице 7.17;

- коэффициент, учитывающий влияние на условия работы арматурных элементов наличия сварных стыков или приварки к арматурным элементам других элементов, приведен в таблице 7.18.

Таблица 7.17

Класс (виды или особенности) применяемой арматурной стали Значения коэффициентов и при
-1 -0,5 -0,2 -0,1 0 0,1 0,2 0,3 0,35
Коэффициент
А240 0,48 0,61 0,72 0,77 0,81 0,85 0,89 0,97 1
А300 0,40 0,50 0,60 0,63 0,67 0,70 0,74 0,81 0,83
А300 (Ас-II) - - 0,67 0,71 0,75 0,78 0,82 0,86 0,88
А400 0,32 0,40 0,48 0,51 0,54 0,57 0,59 0,65 0,67
Коэффициент
А600 (без стыков или со стыками, выполненными контактной сваркой с механической зачисткой) - - - - - - - - -
В или пучки из нее - - - - - - - - -
Вр или пучки из нее - - - - - - - - -
Канаты К7 - - - - - - - - -

Окончание таблицы 7.17

Класс (виды или особенности) применяемой арматурной стали Значения коэффициентов и при
0,4 0,5 0,6 0,7 0,75 0,8 0,85 0,9 1
Коэффициент
А240 1 1 1 1 1 1 1 1 1
А300 0,87 0,94 1 1 1 1 1 1 1
А300 (Ас-II) 0,90 0,92 0,94 1 1 1 1 1 1
А400 0,70 0,75 0,81 0,90 0,95 1 1 1 1
Коэффициент
А600 (без стыков или со стыками, выполненными контактной сваркой с механической зачисткой) 0,38 0,49 0,70 0,78 0,85 0,91 0,94 0,96 1
В или пучки из нее - - - - 0,85 0,97 1 1 1
Вр или пучки из нее - - - - 0,78 0,82 0,87 0,91 1
Канаты К7 - - - - 0,78 0,84 0,95 1 1
Примечания. 1. Для стальных канатов со спиральной или двойной свивкой и закрытых при 0,85 коэффициент можно принимать равным единице, а при < 0,85 - устанавливать по 8.58, относящимся к расчету на выносливость канатов висячих, вантовых и предварительно напряженных стальных пролетных строений.
2. Для промежуточных значений коэффициенты и следует определять по интерполяции.

Таблица 7.18

Тип сварного соединения Коэффициент асимметрии цикла Коэффициент для стержневой арматуры диаметром 32 мм и менее для арматурной стали классов
А240 А300 А400 А600
Сварка контактным способом (без продольной зачистки) 0 0,75 0,65 0,60 -
0,2 0,85 0,70 0,65 -
0,4 1 0,80 0,75 0,75
0,7 1 0,90 0,75 0,75
0,8 1 1 0,75 0,80
0,9 1 1 0,85 0,90
Сварка ванным способом на удлиненных накладках-подкладках 0 0,75 0,65 0,60 -
0,2 0,80 0,70 0,65 -
0,4 0,90 0,80 0,75 -
0,7 0,90 0,90 0,75 -
0,8 1 1 0,75 -
0,9 1 1 0,85 -
Контактная точечная сварка перекрещивающихся стержней арматуры и приварка других стержней, сварка на парных смещенных накладках 0 0,65 0,65 0,60 -
0,2 0,70 0,70 0,65 -
0,4 0,75 0,75 0,65 -
0,7 0,90 0,90 0,70 -
0,8 1 1 0,75 -
0,9 1 1 0,85 -
Примечания. 1. Если диаметры стержневой растянутой арматуры свыше 32 мм, то значения следует уменьшить на 5%.
2. Если значения < 0, то значения следует принимать такими же, как при = 0.
3. Для растянутой арматурной стали класса А600, стержни которой имеют сварные стыки, выполненные контактной сваркой с последующей продольной зачисткой, следует принимать = 1.
4. При промежуточных значениях коэффициенты следует определять по интерполяции.
5. Для автодорожных мостов значение следует увеличивать на 35% (но не более 1) для контактной точечной сварки перекрещивающихся стержней арматуры класса А400 из стали 25Г2С диаметром не менее 14 мм в случае разработки технологического регламента, обеспечивающего соответствующее качество сварного соединения.
(в ред. Изменения N 1, утв. Приказом Минстроя РФ от 03.12.2016 N 879/пр)

7.40. При расчете растянутой поперечной арматуры (хомутов и отогнутых стержней) в наклонных сечениях на действие поперечной силы к расчетным сопротивлениям растяжению арматурной стали, указанным в таблице 7.16, вводятся коэффициенты условий работы арматуры:

= 0,8 - для стержневой арматуры;

= 0,7 - для арматуры из высокопрочной проволоки, арматурных канатов К7 и стальных канатов со спиральной и двойной свивкой и закрытых.

Если в сварных каркасах диаметр хомутов из арматурной стали класса А400 менее 1/3 диаметра продольных стержней, то учитываемые в расчете на поперечную силу напряжения в хомутах не должны превышать, МПа:

245 - при диаметре хомутов 6 и 8 мм;

255 - то же, 10 мм и более.

7.41. Для арматурной стали классов А600 и А800 при применении стыков, выполненных контактной сваркой без продольной механической зачистки, и стыков на парных смещенных накладках к расчетным сопротивлениям растяжению, указанным в таблице 7.16, вводится коэффициент условий работы арматуры .

Для арматурной стали классов А240, А300 и А400 при наличии стыков, выполненных контактной сваркой, ванным способом на удлиненных или коротких подкладках, на парных смещенных накладках, расчетные сопротивления растяжению следует принимать такими же, как для арматурной стали, не имеющей стыков.

7.42. При расчете по прочности нормальных сечений в изгибаемых конструкциях для арматурных элементов (отдельных стержней, пучков, канатов), расположенных от растянутой грани изгибаемого элемента на расстоянии более чем 1/5 высоты растянутой зоны сечения, к расчетным сопротивлениям арматурной стали растяжению допускается вводить коэффициенты условий работы арматуры

, (7.6)

где (h - x) - высота растянутой зоны сечения;

a >= 0,2(h - x) - расстояние оси растянутого арматурного элемента от растянутой грани сечения.

7.43. При перегибе стальных канатов со спиральной или двойной свивкой вокруг анкерных полукруглых блоков диаметром D менее 24d (d - диаметр каната) к расчетным сопротивлениям канатов растяжению при расчетах на прочность должны вводиться коэффициенты условий работы канатов , которые при отношениях D/d от 8 до 24 допускается определять по формуле

. (7.7)

При перегибах вокруг блоков диаметром D менее 8d коэффициенты условий работы канатов следует назначать по результатам опытных исследований.

7.44. При расчетах по прочности оцинкованной высокопрочной гладкой проволоки класса В диаметром 5 мм к расчетным сопротивлениям проволоки растяжению по таблице 7.16 следует вводить коэффициенты условий работы арматуры , равные:

0,94 - при оцинковке проволоки по группе С, отвечающей среднеагрессивным условиям среды;

0,88 - то же, по группе Ж, отвечающей жесткоагрессивным условиям среды.

7.45. На всех стадиях работы железобетонной конструкции, на которых арматура не имеет сцепления с бетоном, арматура, не имеющая сцепления с бетоном, должна удовлетворять требованиям по предельным состояниям первой группы, включая требования по расчету на выносливость, и второй группы, предъявляемым в соответствии с разделом 8.

При расчетах на прочность напрягаемых элементов на осевое растяжение на стадии создания в конструкции предварительного напряжения, а также на стадии монтажа до объединения арматуры с бетоном (омоноличивание напрягаемой арматуры) следует применять расчетные сопротивления арматурной стали растяжению с коэффициентами условий работы, равными:

1,10 - для стержневой арматурной стали, а также арматурных элементов из высокопрочной проволоки;

1,05 - для арматурных канатов класса К7, а также стальных канатов со спиральной и двойной свивкой и закрытых.

При этом, если проектом предусмотрен контроль процесса натяжения механическим способом (по манометру) и по вытяжке, коэффициент надежности по нагрузке разрешается принимать равным 1,0.

Для отдельных видов напрягаемой арматуры и конкретных производителей, при соответствующем технико-экономическом обосновании и при условии проведения соответствующих испытаний, регламентируемых 7.33, разрешается применять иные коэффициенты, больше указанных выше, но такие, чтобы расчетные сопротивления на этих стадиях не превышали 80% временного, но не выше нормативного сопротивления растяжению. При этом коэффициент надежности по нагрузке при определении усилий в напрягаемой арматуре принимается равным 1,10 и может быть понижен до значения 1,05 при условии, что проектом предусмотрен двойной контроль и допускаемое отклонение фактических значений усилия и вытяжки от проектных отличается не более 5% для каждого напрягаемого элемента или группы элементов при групповом натяжении.

Расчетные характеристики для стальных изделий

7.46. Для стальных изделий железобетонных мостов и труб, представляющих отдельные их конструктивные детали (опорные части, элементы шарниров и деформационных швов, упорные устройства и т.д.), и для стальных закладных изделий из листового и фасонного проката расчетные сопротивления следует принимать такими же, как для элементов стальных конструкций мостов (см. раздел 8).

Расчетные сопротивления для арматурных стержней, анкеруемых в бетоне, следует принимать в соответствии с указаниями, относящимися к арматуре.

Характеристики деформативных свойств арматуры и отношение модулей упругости

7.47. Предельные значения относительных деформаций растянутой арматуры (при расчетах по предельным деформациям) следует принимать равными:

- для ненапрягаемой арматуры - 0,025;

- для напрягаемой арматуры - 0,015.

Значения модуля упругости арматуры следует принимать по таблице 7.19.

Таблица 7.19

Класс (вид) арматурной стали Модуль упругости, МПа, арматуры
ненапрягаемой напрягаемой
А240, А300 2,1 · -
А400 2,0 · -
А600, А800, А1000 - 1,9 ·
Проволока классов В, Вр - 2,0·
Пучки из параллельных проволок классов В, Вр - 1,9 ·
Арматурные канаты класса К7 - 1,95 ·
Пучки из арматурных канатов класса К7 - 1,95 ·
Стальные канаты:
спиральные и двойной свивки - 1,7 ·
закрытые - 1,6 ·

7.48. Во всех расчетах элементов мостов, производимых по формулам упругого тела, кроме расчетов мостов с ненапрягаемой арматурой на выносливость и на трещиностойкость следует использовать отношения модулей упругости (/ или /), определяемые по значениям модулей, приведенным для арматуры в таблице 7.19 и для бетона в таблице 7.11.

При расчетах элементов мостов с ненапрягаемой арматурой на выносливость и на трещиностойкость, при определении напряжений и геометрических характеристик приведенных сечений площадь арматуры учитывается с коэффициентом отношения модулей упругости n', при котором учитывается виброползучесть бетона. Значения n' следует принимать при бетоне классов:

В20 . . . . . . . . . . . . . . . . 22,5;
В22,5 и В25 . . . . . . . . . 20;
В27,5 . . . . . . . . . . . . . . 17;
В30 и В35 . . . . . . . . . . 15;
В40 и выше . . . . . . . . . 10.

Расчет по предельным состояниям первой группы

Расчет по прочности и устойчивости

Общие указания

7.49. Расчет бетонных и железобетонных элементов мостов и труб следует производить, сопоставляя расчетные усилия от внешних нагрузок с предельными усилиями.

Применение изгибаемых, центрально- и внецентренно растянутых бетонных элементов в конструкциях не допускается.

7.50. Расчетные усилия в статически неопределимых конструкциях следует определять с учетом перераспределения усилий от усадки и ползучести бетона, саморазогрева бетона в процессе твердения, искусственного регулирования и предварительного напряжения. Суммарное расчетное усилие от этих факторов допускается определять умножением на коэффициент надежности по нагрузке 1,1 (или 0,9).

7.51. Предельные усилия в элементах конструкций следует определять в сечениях, нормальных и наклонных к продольной оси элемента.

7.52. При расчете бетонных и железобетонных элементов на воздействие сжимающей продольной силы N за предельное значение усилия необходимо принимать меньшее, полученное из расчетов по прочности и устойчивости. При расчете по прочности следует учитывать случайный эксцентриситет ( - геометрическая длина элемента или ее часть между точками закрепления элемента, принимаемая с учетом требований 7.16).

При расчете по трещиностойкости и деформациям случайный эксцентриситет учитывать не следует.

В элементах статически определимых конструкций эксцентриситет (относительно центра тяжести приведенного сечения) находится как сумма эксцентриситетов, определяемая из статического расчета конструкции и случайного .

Для элементов статически неопределимых конструкций величина эксцентриситета продольной силы относительно центра тяжести приведенного сечения принимается равной эксцентриситету, полученному из статического расчета, но не менее .

7.53. Расчет по прочности и устойчивости сжатых, внецентренно сжатых бетонных и железобетонных элементов прямоугольного, таврового, двутаврового и коробчатого сечений в зависимости от величины эксцентриситета = М / N производится в соответствии с таблицей 7.20.

Таблица 7.20

Вид расчета Конструкции
бетонные железобетонные
Номера настоящих норм, в соответствии с которыми следует выполнять расчеты при эксцентриситетах
<= r > r <= r > r
По прочности 7.68 7.68 7.69, б 7.70
7.54 7.54 - 7.54
По устойчивости 7.66 - 7.69, а -
7.55 - 7.55 -
Примечание. r - ядровое расстояние.

Сжатые элементы с расчетным начальным эксцентриситетом > r следует рассчитывать на внецентренное сжатие.

Влияние прогиба на увеличение расчетного усилия внецентренно сжатого элемента при расчете по недеформируемой схеме следует учитывать путем умножения эксцентриситета на коэффициент , определяемый по 7.54.

При расчете на устойчивость при r коэффициент продольного изгиба следует принимать в соответствии с 7.55.

7.54. Коэффициент , учитывающий влияние прогиба по прочности, определяется по формуле

, (7.8)

где - условная критическая сила, определяемая по формулам:

для бетонных элементов

; (7.9)

для железобетонных элементов

, (7.10)

где - момент инерции площади сечения бетона определяется без учета трещин в бетоне;

- момент инерции площади сечения ненапрягаемой и напрягаемой арматуры.

Моменты инерции определяются относительно осей, проходящих через центр тяжести приведенного сечения.

В формулах (7.9) и (7.10) коэффициентами и учитывается соответственно влияние на прогиб длительного действия нагрузки, предварительного напряжения арматуры и относительной величины эксцентриситета.

Значение коэффициента следует принимать равным

, (7.11)

где M - момент относительно наиболее растянутой или наименее сжатой грани сечения от действия постоянных и временных нагрузок;

- то же, от действия постоянных нагрузок.

Значение коэффициента следует принимать равным / h, но не менее определяемого по формуле

, (7.12)

где - расчетное сопротивление бетона, МПа;

- расчетная длина элемента.

Если моменты (или эксцентриситеты) от полной нагрузки и от постоянной имеют разные знаки, то при абсолютном значении эксцентриситета полной нагрузки 0,1h следует принимать = 1,0, а при > 0,1h = 1,05.

Значение коэффициента , учитывающего влияние предварительного натяжения арматуры на жесткость элемента, следует определять по формуле

, (7.13)

где - предварительное напряжение в бетоне на уровне центра тяжести продольной арматуры с учетом всех потерь согласно Приложению Р;

для кольцевых и круглых сечений h = D.

В формуле (7.13) расчетные сопротивления принимаются без учета коэффициентов условий работы бетона, а значения / h не должны превышать 1,5.

Сжатые железобетонные элементы должны иметь характеристики, при которых обеспечивается условие

. (7.14)

При расчете элементов на внецентренное сжатие из плоскости изгиба, созданного внецентренным приложением нагрузки, необходимо учитывать значение случайного эксцентриситета (7.52).

Для железобетонных элементов, имеющих несмещаемые опоры или опоры, одинаково перемещающиеся при вынужденных деформациях (например, при температурных удлинениях), значения коэффициента следует принимать:

для сечений в средней трети длины элемента - по формуле (7.8);

то же, в пределах крайних третей длины элемента - по интерполяции между значениями, вычисленными для средней трети, и единицей, принимаемой для опорных сечений.

7.55. Коэффициент продольного изгиба при расчетах сжатых ( = 0) и внецентренно сжатых элементов, имеющих относительный эксцентриситет / r 1, следует определять по формуле

, (7.15)

где - коэффициент продольного изгиба, учитывающий воздействие временной нагрузки;

- то же, постоянных нагрузок;

- расчетное продольное усилие от постоянной нагрузки с учетом усилия в напрягаемой арматуре, не имеющей сцепления с бетоном;

- расчетное продольное усилие от временной нагрузки;

N = + - полное расчетное продольное усилие.

Значения коэффициентов и , при вычислении которых учтены также значения случайных эксцентриситетов по 7.52, следует принимать для железобетонных элементов по таблице 7.21, для бетонных элементов - по таблице 7.22.

Таблица 7.21

Характеристики гибкости элемента Коэффициенты продольного изгиба
при относительных эксцентриситетах / r
/ b / d / i 0 0,25 0,50 1,00
4 3,5 14 1
---
1
0,90
-----
0,90
0,81
-----
0,81
0,69
-----
0,69
1
10 8,7 35 1
---
1
0,86
-----
0,86
0,77
-----
0,77
0,65
-----
0,65
0,84
(в ред. Изменения N 1, утв. Приказом Минстроя РФ от 03.12.2016 N 879/пр)
12 10,4 40 0,95
-----
0,95
0,83
-----
0,83
0,74
-----
0,74
0,62
-----
0,62
0,79
14 12,1 48,5 0,90
-----
0,85
0,79
-----
0,74
0,70
-----
0,65
0,58
-----
0,53
0,70
16 13,8 55 0,86
-----
0,78
0,75
-----
0,67
0,66
-----
0,58
0,55
-----
0,47
0,65
18 15,6 62,5 0,82
-----
0,75
0,71
-----
0,64
0,62
-----
0,55
0,51
-----
0,44
0,56
20 17,3 70 0,78
-----
0,70
0,67
-----
0,59
0,57
-----
0,47
0,48
-----
0,40
0,47
22 19,1 75 0,72
-----
0,64
0,60
-----
0,52
0,52
-----
0,44
0,43
-----
0,35
0,41
24 20,8 83 0,67
-----
0,59
0,55
-----
0,47
0,47
-----
0,39
0,38
-----
0,30
0,32
26 22,5 90 0,62
-----
0,53
0,51
-----
0,42
0,44
-----
0,35
0,35
-----
0,26
0,25
28 24,3 97 0,58
-----
0,50
0,49
-----
0,41
0,43
-----
0,35
0,34
-----
0,26
0,20
30 26 105 0,53
-----
0,46
0,45
-----
0,38
0,39
-----
0,32
0,32
-----
0,25
0,16
32 27,7 110 0,48
-----
0,42
0,41
-----
0,35
0,36
-----
0,30
0,31
-----
0,25
0,14
34 29 120 0,43
-----
0,39
0,36
-----
0,32
0,31
-----
0,27
0,25
-----
0,21
0,10
38 33 130 0,38
-----
0,33
0,32
-----
0,28
0,28
-----
0,24
0,24
-----
0,20
0,08
40 34,6 140 0,35
-----
0,32
0,29
-----
0,26
0,25
-----
0,22
0,21
-----
0,18
0,07
43 37,5 150 0,33
-----
0,30
0,28
-----
0,25
0,24
-----
0,21
0,21
-----
0,18
0,06
Примечание. Над чертой приведены значения для железобетонных элементов с ненапрягаемой арматурой и предварительно напряженных элементов при отсутствии на данной стадии их работы сцепления напрягаемой арматуры с бетоном, под чертой - для предварительно напряженных элементов при наличии сцепления напрягаемой арматуры с бетоном.

Таблица 7.22

Характеристики гибкости элемента Коэффициенты продольного изгиба
при относительных эксцентриситетах / r
/ b / i 0 0,25 0,50 1,00
4 14 1 0,86 0,77 0,65 1
6 21 0,98 0,84 0,75 0,63 0,94
8 28 0,95 0,81 0,72 0,60 0,88
10 35 0,92 0,78 0,69 0,57 0,80
12 42 0,88 0,76 0,67 0,55 0,72
14 49 0,85 0,74 0,65 0,53 0,62
16 56 0,79 0,68 0,59 0,48 0,58
18 63 0,74 0,63 0,54 0,43 0,43
20 70 0,67 0,56 0,46 0,37 0,32
22 77 0,63 0,51 0,43 0,34 0,26
24 84 0,58 0,46 0,38 0,29 0,20
26 91 0,49 0,38 0,31 0,22 0,16

В таблицах 7.21 и 7.22 обозначены:

b - сторона прямоугольного сечения, нормальная к направлению перемещения элемента;

d - диаметр круглого сечения элемента;

/ i - гибкость элемента (i - наименьший радиус инерции поперечного сечения);

/ r - относительный эксцентриситет силы N;

- эксцентриситет силы N относительно центра тяжести приведенного сечения;

r = / - ядровое расстояние ( и - момент сопротивления и площадь приведенного сечения).

Расчет по прочности сечений, нормальных к продольной оси элемента

7.56. Предельные усилия в сечениях согласно 7.62 - 7.71 и 7.75 следует определять исходя из следующих предпосылок:

сопротивление бетона растяжению принимается равным нулю;

сопротивление бетона сжатию ограничивается напряжениями, равными и равномерно распределенными в пределах условной сжатой зоны бетона;

растягивающие напряжения в арматуре ограничиваются расчетными сопротивлениями растяжению в ненапрягаемой и напрягаемой арматуре;

сжимающие напряжения в ненапрягаемой арматуре ограничиваются расчетными сопротивлениями сжатию , а в напрягаемой - наибольшими сжимающими напряжениями согласно 7.60.

Допускается производить указанные расчеты по предельным деформациям с использованием диаграмм деформирования бетона и арматуры в соответствии с 7.2. (в ред. Изменения N 1, утв. Приказом Минстроя РФ от 03.12.2016 N 879/пр)

7.57. Если в сжатой зоне расчетного сечения имеются бетоны разных классов, то их площади приводятся пропорционально расчетным сопротивлениям к бетону одного расчетного сопротивления.

7.58. При расчете балок с плитой в сжатой зоне длина свесов плиты, вводимая в расчет, не должна превышать шести ее толщин , считая от начала свеса, и должна быть не более половины расстояния в свету между балками.

Начало свеса принимается от ребра балки или от конца вута, если он имеет уклон 1:3 и более.

При переменной толщине плиты, а также при вутах с уклоном менее 1:3 длина свесов определяется по приведенной толщине плиты, которая находится с учетом площади плиты и вутов.

Площадь свесов растянутых поясов двутавровых сечений при расчете не учитывается.

7.59. Если количество растянутой арматуры по конструктивным соображениям или по расчету по трещиностойкости превышает требуемое по расчету по прочности, то в расчете допускается учитывать не всю арматуру, а только требуемую из расчета по прочности.

7.60. Напрягаемую арматуру, расположенную в сжатой зоне и имеющую сцепление с бетоном, следует вводить в расчет с напряжением

, (7.16)

где - учитываемое расчетом наибольшее сжимающее напряжение в напрягаемой арматуре согласно 7.38;

- расчетное напряжение в напрягаемой арматуре (за вычетом всех потерь) при коэффициенте надежности по нагрузке, равном = 1,1; при принимается = 0.

Площадь поперечного сечения сжатой арматуры вводится в расчет в зависимости от соотношения расчетной высоты сжатой зоны бетона x и расстояния этой арматуры до сжатой грани сечения.

При расчете изгибаемых элементов площадь учитывается полностью, если 2, где - высота сжатой зоны, определенная с учетом сжатой арматуры .

Если без учета сжатой арматуры высота сжатой зоны сечения отвечает условию 2, а при учете сжатой арматуры < 2, то расчет на прочность допускается производить, используя условие

. (7.17)

при < 2 не учитывается.

7.61. Расчет сечений, нормальных к продольной оси элемента, когда внешняя сила действует в плоскости оси симметрии сечения и арматура сосредоточена у перпендикулярных указанной плоскости граней элемента, должен производиться в зависимости от значения относительной высоты сжатой зоны = x / , определяемой из соответствующих условий равновесия. Значение при расчете конструкций, как правило, не должно превышать относительной высоты сжатой зоны бетона , при которой предельное состояние бетона сжатой зоны наступает не ранее достижения в растянутой арматуре напряжения, равного расчетному сопротивлению или с учетом соответствующих коэффициентов условий работы для арматуры.

Значение определяется по формуле

, (7.18)

где = 0,85 - 0,008 - для элементов с обычным армированием;

= 0,85 - 0,008 + 0,9 - для элементов с косвенным армированием;

при этом расчетное сопротивление бетона следует принимать в МПа, а значение - равным 10, но не более 0,15 (где - коэффициент армирования, принимаемый согласно 7.72);

напряжения в арматуре , МПа, следует принимать равными:

- для ненапрягаемой арматуры;

+ 500 - - для напрягаемой арматуры;

расчетное сопротивление напрягаемой арматуры растяжению следует принимать с учетом соответствующих коэффициентов условий работы арматуры, а величину предварительного напряжения в арматуре - с учетом первых и вторых потерь по Приложению Р;

при наличии напрягаемой и ненапрягаемой арматуры напряжение принимается по напрягаемой арматуре;

напряжение является предельным напряжением в арматуре сжатой зоны и должно приниматься равным 500 МПа.

Если при расчете по прочности окажется необходимым и обоснованным сохранение полученного по расчету значения = x / по величине большего граничного значения , то расчет следует производить с использованием нелинейной деформационной модели согласно указаниями СП 63.13330, СП 52-101 [18] и СП 52-102 [19].

Указаниями СП 52-101 [18] и СП 52-102 [19] рекомендуется руководствоваться при расчетах:

железобетонных элементов на косое внецентренное сжатие и косой изгиб;

элементов прямоугольной и непрямоугольной формы с арматурой, произвольно распределенной по сечению; коротких консолей;

конструкций на продавливание и отрыв;

элементов, работающих на изгиб с кручением.

Во всех перечисленных расчетах следует для бетона и арматуры принимать расчетные сопротивления и предельные деформации, установленные в настоящих нормах.

Расчет изгибаемых железобетонных элементов

7.62. Расчет прямоугольных сечений (рисунок 7.1) при = x / следует производить из условия

, (7.19)

при этом высоту сжатой зоны x следует определять по формуле

. (7.20)

Рисунок 7.1. Схема усилий и эпюра напряжений в сечении, нормальном к продольной оси изгибаемого железобетонного элемента, при расчете его по прочности

Здесь и в других формулах допускается высоту принимать от равнодействующих усилий в арматуре и . При отсутствии напрягаемой арматуры = .

Расчет продольного стыка плиты проезжей части ребристых пролетных строений автодорожных и городских мостов на прочность производится с введением к правой части формул (7.19) и (7.20) коэффициентов условий работы, равных 0,8 - для бездиафрагменных и 0,9 - для диафрагменных пролетных строений.

7.63. Расчет тавровых, двутавровых и коробчатых сечений с плитой в сжатой зоне при = x / следует производить в зависимости от положения границы сжатой зоны:

а) если граница сжатой зоны проходит в плите (рисунок 7.2, а), т.е. соблюдается условие

, (7.21)

расчет производится, как для прямоугольного сечения шириной в соответствии с 7.62;

б) если граница сжатой зоны проходит в ребре (рисунок 7.2, б), т.е. условие (7.21) не соблюдается, расчет должен выполняться из условия

, (7.22)

при этом высоту сжатой зоны бетона x следует определять по формуле

. (7.23)

а - при расположении границы сжатой зоны в плите; б - то же, в ребре

Рисунок 7.2. Форма сжатой зоны в сечениях железобетонных элементов с плитой в сжатой зоне

7.64. Расчет изгибаемых элементов кольцевого сечения при соотношении внутреннего и наружного радиусов / 0,5 с арматурой, равномерно распределенной по длине окружности (при числе продольных стержней не менее шести), должен производиться, как для внецентренно сжатых элементов в соответствии с 7.71, принимая значение продольной силы N = 0 и подставляя вместо значение изгибающего момента M.

7.65. Если рабочая напрягаемая арматура в изгибаемых железобетонных элементах автодорожных мостов не имеет сцепления с бетоном, то расчет сечений по прочности производится согласно 7.62 и 7.63, при этом в соответствующие формулы вместо расчетного сопротивления растяжению напрягаемой арматуры вводится значение установившегося (за вычетом всех потерь) предварительного напряжения в арматуре с учетом коэффициентов надежности по нагрузке, которое должно удовлетворять требованиям 8.33. (в ред. Изменения N 1, утв. Приказом Минстроя РФ от 03.12.2016 N 879/пр)

Кроме этого, в составных по длине конструкциях следует дополнительно производить расчет по формулам сопротивления упругих материалов на расчетные нагрузки (с коэффициентом надежности по нагрузке), включая усилие от предварительного напряжения. На всех стадиях работы в стыках, не армированных ненапрягаемой арматурой, не допускаются растягивающие напряжения в зонах, где эти напряжения возникают от внешней нагрузки.

Расчет внецентренно сжатых бетонных элементов

7.66. Внецентренно сжатые бетонные элементы с начальным эксцентриситетом r (3.55) следует рассчитывать по устойчивости, выполняя условие

Официальный источник электронного документа содержит неточность: имеется в виду пункт 7.55.

, (7.24)

где - коэффициент, принимаемый по 7.55;

- площадь сжатого сечения элемента.

7.67. Расчет по прочности внецентренно сжатых бетонных элементов при > r (r - ядровое расстояние по 7.55) производится в зависимости от положения нейтральной оси и значения a, принимаемого по формуле

, (7.25)

где a - расстояние от точки приложения продольной силы N до наиболее сжатой грани сечения с учетом коэффициента , определяемого согласно 7.54;

- расстояние от оси, проходящей через центр тяжести всего сечения, до наиболее сжатой грани;

- начальный эксцентриситет продольной силы N относительно центра тяжести всего сечения.

При этом равнодействующая внешних сил должна находиться в пределах поперечного сечения элемента при соблюдении условия

. (7.26)

7.68. При расчете внецентренно сжатых бетонных элементов таврового, двутаврового и коробчатого сечений с плитой в сжатой зоне (рисунок 7.3) прочность сечения обеспечивается при соблюдении условия

, (7.27)

при этом высота сжатой зоны определяется:

при а > 0,5 (нейтральная ось проходит в пределах ребра)

, (7.28)

при а 0,5 - (нейтральная ось проходит в пределах сжатой плиты) для расчета используются формулы (7.27) и (7.28) с заменой b на .

Рисунок 7.3. Схема усилий и эпюра напряжений в сечении, нормальном к продольной оси внецентренно сжатого бетонного элемента

При расчете внецентренно сжатых элементов прямоугольного сечения прочность обеспечивается при соблюдении условия

, (7.29)

при этом высота сжатой зоны определяется по формуле

. (7.30)

Кроме расчета по прочности в плоскости действия изгибающего момента элемент должен быть проверен расчетом по устойчивости с изгибом из плоскости действия момента (7.55).

Расчет внецентренно сжатых железобетонных элементов

7.69. Внецентренно сжатые железобетонные элементы с расчетным эксцентриситетом r (7.55) следует рассчитывать по устойчивости и прочности исходя из следующих условий:

а) расчет по устойчивости:

при наличии сцепления арматуры с бетоном

; (7.31)

при отсутствии сцепления напрягаемой арматуры с бетоном

; (7.32)

б) расчет по прочности:

при наличии сцепления арматуры с бетоном

; (7.33)

при отсутствии сцепления напрягаемой арматуры с бетоном

. (7.34)

В формулах (7.31) - (7.34):

N - продольное сжимающее усилие от расчетных нагрузок (без учета усилия предварительного напряжения);

- коэффициент продольного изгиба, принимаемый по 7.55;

- расчетное сопротивление бетона сжатию при расчете по прочности, принимаемое по таблице 7.6;

- полная площадь сечения элемента; если площадь сечения арматуры превышает 3%, то заменяют на ( - - );

, - расчетные сопротивления арматуры сжатию, принимаемые по 7.38;

- учитываемое в расчете, согласно 7.60, напряжение в напрягаемой арматуре, расположенной в сжатой зоне;

- установившееся предварительное напряжение в напрягаемой арматуре , согласно 7.60, после проявления всех потерь;

;

;

, - площади сечения соответственно всей ненапрягаемой и напрягаемой арматуры;

- отношение модулей упругости, принимаемое по 7.48.

7.70. Расчет по прочности внецентренно сжатых железобетонных элементов таврового, двутаврового и коробчатого поперечного сечений с плитой в сжатой зоне с эксцентриситетом > r при x > и (рисунки 7.2 и 7.4) следует производить, используя условие

(7.35)

и определять величину по формуле

, (7.36)

где N - продольная сила;

- коэффициент, определяемый по 7.54;

e - расстояние от точки приложения силы N до равнодействующей усилий в растянутой арматуре;

- начальный эксцентриситет продольной силы N относительно центра тяжести всего сечения (с учетом случайного эксцентриситета согласно 7.52);

- сжимающее напряжение в напрягаемой арматуре, расположенной в зоне, сжатой от внешней нагрузки, согласно 7.60.

Рисунок 7.4. Схема усилий и эпюра напряжений в сечении, нормальном к продольной оси внецентренно сжатого железобетонного элемента, при расчете его по прочности

Для прямоугольных сечений в формуле (7.35) принимается = b.

Высоту сжатой зоны бетона x необходимо определять по формуле

. (7.37)

Знаки при усилиях в формуле (7.37) соответствуют расположению силы N вне сечения.

При расчете двутавровых сечений с плитой в растянутой зоне свесы плиты не учитываются. Кроме расчета по прочности в плоскости действия изгибающего момента следует проводить расчет по устойчивости с изгибом из плоскости действия момента.

Учет работы сжатой ненапрягаемой арматуры следует производить по 7.60. Однако если без учета этой арматуры x > 2, а с ее учетом x > 2, то расчет по прочности допускается производить, используя условие

. (7.38)

Расчет на прочность внецентренно сжатых предварительно напряженных элементов при предварительном напряжении заменяется расчетом по образованию продольных трещин под нормативной нагрузкой (7.100) с ограничением сжимающих напряжений в бетоне значениями , соответствующими классу передаточной прочности бетона.

7.71. Расчет внецентренно сжатых железобетонных элементов кольцевого сечения при отношении внутреннего и наружного радиусов / 0,5 с ненапрягаемой арматурой, равномерно распределенной по длине окружности (при числе продольных стержней не менее 6), производится в зависимости от относительной площади сжатой зоны бетона, равной

. (7.39)

В зависимости от значений в расчетах используются приведенные условия:

а) при 0,15 < < 0,60 из условия

; (7.40)

б) при 0,15 из условия

, (7.41)

где

; (7.42)

в) при 0,6 из условия

, (7.43)

где

. (7.44)

В формулах (7.39) - (7.44):

- площадь бетона кольцевого сечения;

- площадь сечения всей продольной арматуры;

, (7.45)

- радиус окружности, проходящей через центры тяжести стержней рассматриваемой арматуры.

Эксцентриситет продольной силы есопределяется с учетом случайного эксцентриситета по 7.52 и прогиба элемента согласно 7.54 и 7.70. (в ред. Изменения N 1, утв. Приказом Минстроя РФ от 03.12.2016 N 879/пр)

7.72. Расчет элементов сплошного сечения с косвенным армированием и с ненапрягаемой продольной арматурой следует производить согласно требованиям 7.69, б и 7.70. В расчет следует вводить часть бетонного сечения, ограниченную крайними стержнями сеток поперечной арматуры или спиралью (считая по ее оси), и подставлять в расчетные формулы вместо приведенную призменную прочность . Гибкость / элементов с косвенным армированием не должна превышать при армировании: сетками - 55, спиралью - 35 (где - радиус инерции, вводимой в расчет части сечения).

Значения следует определять по формулам:

а) при армировании сварными поперечными сетками

, (7.46)

где - расчетное сопротивление растяжению арматуры сеток;

. (7.47)

В формулах (7.46) и (7.47):

, , - соответственно число стержней, площадь поперечного сечения и длина стержней сетки в одном направлении (считая в осях крайних стержней);

, , - то же, в другом направлении;

- площадь сечения бетона, заключенного внутри контура сеток (считая по осям крайних стержней);

s - расстояние между сетками (считая по осям стержней); если устанавливается одна сетка, то величина s принимается равной 7 см;

- коэффициент эффективности косвенного армирования, определяемый по формуле

(7.48)

при . (7.49)

В формуле (7.49) и принимаются в МПа, = .

Площади поперечного сечения стержней сетки на единицу длины в одном и другом направлениях должны различаться не более чем в 1,5 раза;

б) при армировании спиральной или кольцевой арматурой

, (7.50)

где - расчетное сопротивление арматуры спирали;

- эксцентриситет приложения продольной силы (без учета влияния прогиба);

- коэффициент армирования, равный

, (7.51)

- площадь поперечного сечения спиральной арматуры;

- диаметр части сечения внутри спирали;

s - шаг спирали.

При учете влияния прогиба на несущую способность элементов с косвенным армированием следует пользоваться указаниями 7.54, определяя момент инерции для части их сечения, ограниченной крайними стержнями сеток или заключенной внутри спирали. Значение , полученное по формуле (7.9), должно быть умножено на коэффициент = 0,25 + 0,05 / 1 (где равно высоте или диаметру учитываемой части бетонного сечения), а при определении второй член правой части формулы (7.12) заменяется на 0,01 ( / ) , где = (0,1 / - 1) 1. Косвенное армирование учитывается в расчете при условии, что несущая способность элемента, определенная с учетом и , превышает его несущую способность, определенную по полному сечению и с учетом (но без учета косвенной арматуры). Кроме этого, косвенное армирование должно соответствовать конструктивным требованиям 7.153.

7.73. При расчете элементов с косвенным армированием наряду с расчетом по прочности следует производить расчет, обеспечивающий трещиностойкость защитного слоя бетона. Этот расчет следует производить согласно указаниям 7.69, б и 7.70 под эксплуатационной нагрузкой (при ), учитывая всю площадь сечения бетона и принимая вместо и расчетные сопротивления и для предельных состояний второй группы, а также принимая расчетное сопротивление арматуры сжатию равным , но не более 400 МПа.

Расчет центрально-растянутых элементов

7.74. При расчете сечений центрально-растянутых железобетонных элементов все расчетное усилие должно полностью восприниматься арматурой, при этом требуется соблюдение условия

, (7.52)

где N - продольное растягивающее усилие, приложенное центрально.

Расчет внецентренно растянутых элементов

7.75. Расчет сечений внецентренно растянутых железобетонных элементов следует производить в зависимости от положения продольной силы N исходя из следующих условий:

а) если продольная сила N приложена между равнодействующими усилий в соответствующей арматуре (рисунок 7.5, а), причем все сечение растянуто, то в этом случае вся расчетная сила должна быть полностью воспринята арматурой и расчет следует производить, используя условия:

; (7.53)

; (7.54)

б) если продольная сила N приложена за пределами расстояний между равнодействующими усилий в соответствующей арматуре (рисунок 7.5, б) с расположением нейтральной оси в пределах ребра, то прочность сечения следует устанавливать из условия

. (7.55)

а - продольная сила N приложена между равнодействующими усилий в арматуре; б - то же, за пределами расстояния между равнодействующими усилий в арматуре

Рисунок 7.5. Схема усилий и эпюра напряжений в сечении, нормальном к продольной оси внецентренно растянутого железобетонного элемента, при расчете его по прочности

Высоту сжатой зоны бетона x следует определять по формуле

. (7.56)

Если полученное из расчета по формуле (7.56) значение x > , то в условие (7.55) подставляется x = , где определяется согласно указаниям 7.61.

Учет работы сжатой арматуры следует производить согласно 7.60. Однако, если без учета этой арматуры величина x > 2, а с учетом ее x < 2, то расчет по прочности следует производить из условия

. (7.57)

Расчет по прочности сечений, наклонных к продольной оси элемента

7.76. Расчет по прочности наклонных сечений должен производиться с учетом переменности сечения:

на действие поперечной силы между наклонными трещинами согласно 7.77 и по наклонной трещине по 7.78;

на действие изгибающего момента по наклонной трещине для элементов с поперечной арматурой согласно 7.83.

Расчет сечений, наклонных к продольной оси элемента, на действие поперечной силы

7.77. Для железобетонных элементов с поперечной арматурой должно быть соблюдено условие, обеспечивающее прочность по сжатому бетону между наклонными трещинами

. (7.58)

В формуле (7.58):

Q - поперечная сила на расстоянии не ближе от оси опоры;

= 1 , при расположении хомутов нормально к продольной оси 1,3, где = 5 - при хомутах, нормальных к продольной оси элемента;

= 10 - то же, наклонных под углом 45°;

- отношение модулей упругости арматуры и бетона, определяемое согласно 7.48;

, (7.59)

- площадь сечения ветвей хомутов, расположенных в одной плоскости;

- расстояние между хомутами по нормали к ним;

b - толщина стенки (ребра);

- рабочая высота сечения.

Коэффициент определяется по формуле

, (7.60)

где расчетное сопротивление принимается в МПа.

7.78. Расчет наклонных сечений элементов с поперечной арматурой на действие поперечной силы (рисунок 7.6) следует производить из условий:

для элементов с ненапрягаемой арматурой

; (7.61)

для элементов с напрягаемой арматурой при наличии ненапрягаемых хомутов

. (7.62)

а - с ненапрягаемой арматурой; б - с напрягаемой арматурой

Рисунок 7.6. Схема усилий в сечении, наклонном к продольной оси железобетонного элемента, при расчете его по прочности на действие поперечной силы

В формулах (7.61) и (7.62):

Q - максимальное значение поперечной силы от внешней нагрузки, расположенной по одну сторону от рассматриваемого наклонного сечения;

sin , - суммы проекций усилий всей пересекаемой ненапрягаемой (наклонной и нормальной к продольной оси элемента) арматуры при длине проекции сечения c, не превышающей 2;

sin , - то же, в напрягаемой арматуре, имеющей сцепление с бетоном (если напрягаемая арматура не имеет сцепления с бетоном, то значение расчетного сопротивления следует принять равным установившемуся предварительному напряжению в напрягаемой арматуре);

, - расчетные сопротивления ненапрягаемой и напрягаемой арматуры с учетом коэффициентов или , определяемых по 7.40;

- угол наклона стержней (пучков) к продольной оси элемента в месте пересечения наклонного сечения;

- поперечное усилие, передаваемое в расчете на бетон сжатой зоны над концом наклонного сечения и определяемое по формуле

, (7.63)

где b, - толщина стенки (ребра) или ширина сплошной плиты и расчетная высота сечения, пересекающего центр сжатой зоны наклонного сечения;

c - длина проекции невыгоднейшего наклонного сечения на продольную ось элемента, определяемая сравнительными расчетами согласно требованиям 7.79;

m - коэффициент условий работы, равный

, (7.64)

но не менее 1,3 и не более 2,5,

где - расчетное сопротивление бетона скалыванию при изгибе;

- наибольшее скалывающее напряжение от нормативной нагрузки; при 0,25 - проверку на прочность по наклонным сечениям допускается не производить, а при > - сечение должно быть изменено;

- усилие, воспринимаемое горизонтальной арматурой, кгс

, (7.65)

где - площадь горизонтальной напрягаемой и ненапрягаемой арматуры, см2, пересекаемой наклонным сечением под углом , град.

Значение коэффициента K определяется условием

. (7.66)

В сечениях, расположенных между хомутами, при = 90°

. (7.67)

7.79. Невыгоднейшее наклонное сечение и соответствующую ему проекцию на продольную ось элемента следует определять посредством сравнительных расчетов из условия минимума поперечной силы, воспринимаемой бетоном и арматурой. При этом на участках длиной 2 от опорного сечения следует выполнять проверку наклонных сечений с углом наклона к опорному (вертикальному) сечению 45° для конструкций с ненапрягаемой арматурой и 60° - с напрягаемой. При сосредоточенном действии нагрузки вблизи опоры наиболее опасное наклонное сечение имеет направление от нагрузки к опоре.

7.80. При наличии напрягаемых хомутов угол к продольной оси элемента при дополнительной проверке по наклонным сечениям следует определять по формуле

, (7.68)

где - значение главного растягивающего напряжения;

- значение касательного напряжения.

7.81. Для железобетонных элементов без поперечной арматуры должно соблюдаться условие, ограничивающее развитие наклонных трещин

. (7.69)

7.82. При расчете растянутых и внецентренно растянутых элементов при отсутствии в них сжатой зоны вся поперечная сила Q должна восприниматься поперечной арматурой.

При расчете внецентренно растянутых элементов при наличии сжатой зоны значение , вычисленное по формуле (7.63), следует умножить на коэффициент , равный

, (7.70)

но не менее 0,2 (N - продольная растягивающая сила).

Расчет по прочности сечений, наклонных к продольной оси элемента, на действие изгибающих моментов

7.83. Расчет наклонных сечений по изгибающему моменту (рисунок 7.7) следует производить, используя условия:

для элементов с ненапрягаемой арматурой

; (7.71)

для элементов с напрягаемой арматурой при наличии ненапрягаемых хомутов

, (7.72)

где M - момент относительно оси, проходящей через центр сжатой зоны наклонного сечения, от расчетных нагрузок, расположенных по одну сторону от сжатого конца сечения;

, , , , , - расстояния от усилий в ненапрягаемой и напрягаемой арматуре до точки приложения равнодействующей усилий в сжатой зоне бетона в сечении, для которого определяется момент; остальные обозначения приведены в 7.78.

а - с ненапрягаемой арматурой; б - с напрягаемой арматурой

Рисунок 7.7. Схема усилий в сечении, наклонном к продольной оси железобетонного элемента, при расчете его по прочности на действие изгибающего момента

Продольная арматура стенок в расчете не учитывается.

Положение невыгоднейшего наклонного сечения следует определять путем сравнительных расчетов, проводимых, как правило, в местах обрыва или отгибов арматуры и в местах резкого изменения сечения.

7.84. Для наклонных сечений, пересекающих растянутую грань элемента на участках, обеспеченных от образования нормальных трещин от нормативной нагрузки (при < ), расчет на действие момента допускается не производить.

7.85. При расчете по прочности на действие момента напрягаемую поперечную арматуру, не имеющую сцепления с бетоном, следует учитывать так же, как и при расчете на поперечную силу по 7.78.

Расчет стыков на сдвиг

7.86. Клееные или бетонируемые стыки (плоские или с уступом) в изгибаемых составных по длине конструкциях следует рассчитывать на прочность по сдвигу по формуле

, (7.73)

где Q - максимальное сдвигающее усилие от внешних нагрузок и предварительного напряжения в наклонной арматуре, взятых с коэффициентами надежности, соответствующими расчетам по первой группе предельных состояний;

0,45 - расчетное значение коэффициента трения бетона по бетону;

- коэффициент условий работы стыкового шва при сдвиге, определяемый для разных видов стыков по 7.87;

- усилие, воспринимаемое площадью рабочего сечения стыка, соответствующей сжатой части эпюры нормальных напряжений.

При этом коэффициенты надежности к усилиям, возникающим в напрягаемой арматуре (вместо указанных в 6.5 и таблице 6.4), принимаются равными:

= 1 ± 0,1 - при числе напрягаемых пучков (стержней) n <= 10;

- при n > 10.

В рабочее сечение стыка входит сечение стенки (ребра) и продолжение ее в верхней и нижней плитах.

При условии пересечения стыка в пределах стенки наклонными пучками, расположенными в закрытых заинъецированных каналах, в рабочее сечение стыка могут включаться также прилегающие к стенке участки вутов и плиты протяженностью с каждой стороны не более двух толщин плиты (без вутов) или стенки, если она тоньше плиты.

При учете совместной работы на сдвиг клееного стыка и жестких элементов (уступов, шпонок и т.п.), воспринимающих поперечную силу, несущую способность жестких элементов следует принимать с коэффициентом сочетания, равным 0,7. При этом усилие, воспринимаемое жестким элементом, не должно превышать половины величины поперечной силы, действующей на стык.

7.87. Коэффициенты условий работы в формуле (7.73) следует принимать равными:

для клееного плотного тонкого стыка с отвержденным клеем - 1,2;

для бетонируемого стыка без выпусков арматуры - 1,0;

для клееного стыка с неотвержденным клеем - 0,25;

с гладкой поверхностью торцов блоков

то же, с рифленой поверхностью торцов блоков - 0,45.

7.88. В стыках составных по длине пролетных строений не допускаются растягивающие напряжения от расчетных постоянных нагрузок, учитываемых при выполнении расчетов по первой группе предельных состояний.

Расчет на местное сжатие (смятие)

7.89. При расчете на местное сжатие (смятие) элементов без косвенного армирования должно удовлетворяться условие

, (7.74)

где N - продольная сжимающая сила от местной нагрузки;

- коэффициент, принимаемый равным: при равномерном распределении местной нагрузки на площади смятия - 1,00, при неравномерном распределении - 0,75;

- площадь смятия;

- расчетное сопротивление бетона смятию, определяемое по формулам:

; (7.75)

. (7.76)

В формулах (7.75) и (7.76):

- расчетное сопротивление бетона растяжению для бетонных конструкций;

- расчетная площадь, симметричная по отношению к площади смятия в соответствии со схемами, приведенными на рисунке 7.8.

Рисунок 7.8. Схемы расположения расчетных площадей в зависимости от положения площадей смятия

7.90. При расчете на местное сжатие (смятие) элементов с косвенным армированием в виде сварных поперечных сеток должно удовлетворяться условие

, (7.77)

где - площадь смятия;

- приведенная прочность бетона осевому сжатию, определяемая по формуле

. (7.78)

В формуле (7.78):

, - в МПа;

; (7.79)

, - соответственно коэффициент эффективности косвенного армирования и коэффициент армирования сечения сетками или спиралями согласно 7.72 [формулы (7.47), (7.48) и (7.51)];

;

- площадь бетона, заключенного внутри контура сеток косвенного армирования, считая по их крайним стержням, при этом должно удовлетворяться условие < ;

- расчетная площадь, симметричная по отношению к площади смятия и принимаемая не более указанной на рисунке 7.8.

Остальные обозначения следует принимать согласно требованиям 7.89.

Бетон конструкции в зоне передачи на него сосредоточенных усилий (рисунок 7.8) должен быть рассчитан на местное сжатие (смятие), а также по трещиностойкости с учетом местных растягивающих напряжений согласно указаниям 7.111.

Расчет на выносливость

7.91. Расчету на выносливость подлежат элементы железнодорожных мостов, мостов под пути метрополитена, совмещенных мостов и плиты проезжей части автодорожных и городских мостов; при толщине засыпки менее 1 м - ригели рам и перекрытия прямоугольных железобетонных труб, включая места их сопряжения со стенками.

На выносливость не рассчитывают:

бетонные опоры;

фундаменты всех видов;

звенья круглых труб;

прямоугольные трубы и их перекрытия при толщине засыпки 1 м и более;

стенки балок пролетных строений;

бетон растянутой зоны;

арматуру, работающую только на сжатие;

продольную арматуру плиты проезжей части автодорожных и городских мостов; (в ред. Изменения N 1, утв. Приказом Минстроя РФ от 03.12.2016 N 879/пр)

железобетонные опоры, в которых коэффициенты асимметрии цикла напряжений превышают в бетоне 0,6, в арматуре - 0,7.

Если при расчете на выносливость железобетонных опор и перекрытий труб напряжения в арматуре не превышают 75% установленных расчетных сопротивлений (с учетом коэффициентов условий работы по 7.26 и 7.39), то дополнительные ограничения по классам арматуры и маркам стали, указанные в 7.33 для арматуры, рассчитываемой на выносливость при средней температуре наружного воздуха наиболее холодной пятидневки ниже минус 40 °C, могут не выполняться.

7.92. Расчет на выносливость элементов (или их частей) предварительно напряженных железобетонных конструкций, отнесенных к категориям требований по трещиностойкости 2а или 2б по 7.95, по сечениям, нормальным к продольной оси, следует производить по приведенным ниже формулам, подставляя абсолютные значения напряжений и принимая сечения элементов без трещин:

а) при расчете арматуры растянутой зоны:

, (7.80)

; (7.81)

б) при расчете бетона сжатой зоны изгибаемых, внецентренно сжатых и внецентренно растянутых элементов:

(7.82) (в ред. Изменения N 1, утв. Приказом Минстроя РФ от 03.12.2016 N 879/пр)

(7.83) (в ред. Изменения N 1, утв. Приказом Минстроя РФ от 03.12.2016 N 879/пр)

(знак напряжений при расчете статически неопределимых конструкций может изменяться на противоположный).

В формулах (7.80) - (7.83):

, - напряжения в напрягаемой арматуре соответственно максимальные и минимальные;

- установившиеся (за вычетом потерь) предварительные напряжения в напрягаемой арматуре растянутой зоны;

- снижение напряжения в напрягаемой арматуре растянутой зоны от упругого обжатия бетона согласно 7.93;

= - напряжения в арматуре от постоянной нагрузки;

= - напряжения в арматуре от временной нагрузки,

где - отношение модулей упругости согласно 7.48;

- коэффициент условий работы арматуры, учитывающий влияние многократно повторяющейся нагрузки согласно 7.39;

- расчетное сопротивление напрягаемой арматуры согласно 7.37;

, - сжимающие напряжения в бетоне соответственно максимальные и минимальные; (в ред. Изменения N 1, утв. Приказом Минстроя РФ от 03.12.2016 N 879/пр)

- установившиеся (за вычетом потерь) предварительные напряжения в бетоне сжатой зоны;

, - напряжения в бетоне от постоянной нагрузки соответственно растянутой и сжатой зон; (в ред. Изменения N 1, утв. Приказом Минстроя РФ от 03.12.2016 N 879/пр)

, - напряжения в бетоне от временной нагрузки соответственно растянутой и сжатой зон; (в ред. Изменения N 1, утв. Приказом Минстроя РФ от 03.12.2016 N 879/пр)

- коэффициент условий работы бетона, учитывающий влияние многократно повторяющейся нагрузки согласно 7.26;

- расчетное сопротивление бетона сжатию согласно 7.24.

Примечание. При расчете как на выносливость, так и на трещиностойкость, при определении напряжений в бетоне с учетом приведенного сечения в формулах напряжения в арматуре, напрягаемой на упоры, принимают без их снижения от упругого обжатия бетона (при условии, если при расчете всю арматуру, имеющую сцепление с бетоном, включают в приведенные характеристики сечения).

7.93. Напряжения в напрягаемой арматуре следует вычислять с учетом снижения от упругого обжатия бетона , которое при одновременном обжатии бетона всей напрягаемой на упоры арматурой необходимо определять по формуле

. (7.84)

При натяжении арматуры на бетон в несколько этапов снижение предварительного напряжения в арматуре, натянутой ранее, следует определять по формуле

. (7.85)

В формулах (7.84) и (7.85):

- отношение модулей упругости согласно 7.48;

- предварительное напряжение в бетоне на уровне центра тяжести напрягаемой арматуры, вызываемое обжатием сечения всей арматуры;

- напряжение в бетоне на уровне центра тяжести арматуры, вызываемое натяжением одного пучка или стержня с учетом потерь, соответствующих данной стадии работы;

- число одинаковых пучков (стержней), натянутых после того пучка (стержня), для которого определяют потери напряжения.

7.94. Расчет на выносливость элементов железобетонных конструкций с ненапрягаемой арматурой производится по формулам сопротивления материалов без учета работы бетона растянутой зоны. Этот расчет допускается производить по формулам, указанным в таблице 7.23.

Таблица 7.23

Характер работы элемента Расчетные формулы
Изгиб в одной из главных плоскостей:
проверка по бетону (7.86)
проверка по арматуре (7.87)
Осевое сжатие в бетоне (7.88)
Внецентренное сжатие:
проверка по бетону (7.89)
проверка по арматуре (7.90)

Формулы таблицы 7.23 могут использоваться для определения по их левым частям значений и при вычислении коэффициентов , приведенных в таблицах 7.9, 7.17 и 7.18.

При расчете по формуле (7.90) следует учитывать также указания 7.91 по расчету на выносливость преимущественно сжатой арматуры при знакопеременных напряжениях.

Аналогичным образом следует выполнять расчет внецентренно растянутых элементов. При расчете центрально растянутых элементов все растягивающее усилие передается на арматуру.

Кроме расчета на выносливость сечения должны быть рассчитаны по прочности.

В формулах (7.86) - (7.90):

M, N - момент и нормальная сила;

- момент инерции приведенного сечения относительно нейтральной оси без учета растянутой зоны бетона с введением отношения n' к площади всей арматуры согласно 7.48;

x' - высота сжатой зоны бетона, определяемая по формулам расчета упругого тела;

, - коэффициенты, учитывающие асимметрию цикла напряжений в бетоне и в ненапрягаемой арматуре (с учетом сварных соединений) согласно 7.26 и 7.39, вводимые к расчетным сопротивлениям соответственно бетона и арматуры ;

, - расстояние от наружной соответственно растянутой и сжатой (или менее растянутой) грани до оси ближайшего ряда арматуры;

- площадь приведенного поперечного сечения элемента с введением отношения n' согласно 7.48 к площади поперечного сечения всей арматуры.

Расчет по предельным состояниям второй группы

 

Расчет по трещиностойкости

7.95. Железобетонные конструкции мостов и труб в зависимости от их вида и назначения, применяемой арматуры и условий работы должны удовлетворять категориям требований по трещиностойкости, приведенным в таблице 7.24. Трещиностойкость характеризуется значениями растягивающих и сжимающих напряжений в бетоне и расчетной шириной раскрытия трещин.

Таблица 7.24

Вид и назначение конструкций, особенности армирования Категория требований по трещиностойкости Предельные значения
растягивающих напряжений в бетоне расчетной ширины раскрытия трещин минимальных сжимающих напряжений при отсутствии временной нагрузки
Обжимаемые стыки предварительно напряженных конструкций мостов всех назначений 0 <1> - Не менее 0,5 МПа
Элементы железнодорожных мостов (кроме стенок балок пролетных строений) армированные напрягаемой проволочной арматурой всех видов.
Элементы автодорожных и городских мостов (кроме стенок балок пролетных строений), армированные напрягаемой высокопрочной проволокой диаметром мм, арматурными канатами класса К7 диаметром 9 мм, а также напрягаемыми стальными канатами (со спиральной и двойной свивкой и закрытыми)
0,4 - -
Элементы железнодорожных мостов (кроме стенок балок пролетных строений), армированные напрягаемой стержневой арматурой.
Элементы автодорожных и городских мостов (кроме стенок балок пролетных строений), армированные напрягаемой высокопрочной проволокой диаметром 4 мм и более, напрягаемыми арматурными канатами класса К7 диаметром 12 и 15 мм.
Сваи мостов всех назначений, армированные напрягаемой стержневой арматурой и напрягаемой высокопрочной проволокой диаметром 4 мм и более, а также напрягаемыми арматурными канатами класса К7
1,4<2> 0,015 <3> Не менее 0,5 МПа
Стенки (ребра) балок предварительно напряженных пролетных строений мостов при расчете на главные напряжения По табл. 7.22 0,015 -
Элементы автодорожных и городских мостов, армированные напрягаемой стержневой арматурой.
Участки элементов (в мостах всех назначений), рассчитываемые на местные напряжения в зоне расположения напрягаемой проволочной арматуры
- 0,020 -
Необжатые бетонируемые стыки, армированные ненапрягаемой арматурой, неразрезных напрягаемых пролетных строений.
Элементы мостов и труб всех назначений с ненапрягаемой арматурой.
Железобетонные элементы мостов всех назначений с напрягаемой арматурой, расположенной вне тела элемента.
Участки элементов (в мостах всех назначений), рассчитываемые на местные напряжения в зоне расположения напрягаемой стержневой арматуры
- 0,030 <4> -
<1> Для стыков составных конструкций, в том числе от постоянных нагрузок, с коэффициентами надежности по нагрузке для предельных состояний первой группы по 7.88.
<2> При смешанном армировании допускается повышать предельные растягивающие напряжения в бетоне согласно указаниям 7.96.
В конструкциях автодорожных и городских мостов с проволочной напрягаемой арматурой при расположении ее в плите проезжей части предельные значения растягивающих напряжений в бетоне в направлении его обжатия не должны быть более 0,8.
<3> При оцинкованной проволоке допускается принимать = 0,2.
<4> Ширина раскрытия трещин не должна превышать, см:
0,020 - в элементах пролетных строений железнодорожных мостов, в верхних плитах проезжей части автодорожных и городских мостов при устройстве на них гидроизоляции, в стойках и сваях всех опор, находящихся вне зоны переменного уровня воды, а также в элементах и частях водопропускных труб;
(в ред. Изменения N 1, утв. Приказом Минстроя РФ от 03.12.2016 N 879/пр)
0,015 - в элементах промежуточных опор мостов в зонах переменного уровня воды;
(в ред. Изменения N 1, утв. Приказом Минстроя РФ от 03.12.2016 N 879/пр)
0,010 - на уровне верхней грани в продольных стыках верхних плит проезжей части автодорожных и городских мостов.
При расположении мостов и труб вблизи плотин гидростанций и водохранилищ в зоне попеременного замораживания и оттаивания (в режиме по ГОСТ 10060) ширина раскрытия трещин в зависимости от числа циклов попеременного замораживания в год должна составлять не более, см:
(в ред. Изменения N 1, утв. Приказом Минстроя РФ от 03.12.2016 N 879/пр)
0,015 - при числе циклов менее 50;
0,010 - то же, 50 и более.

Если конструкция или ее часть не может быть запроектирована в соответствии с требованиями категории трещиностойкости, к которой отнесена, она может быть запроектирована с учетом требований, предъявляемых к более высокой категории трещиностойкости.

Требования по категории трещиностойкости должны назначаться одинаковыми как на стадии эксплуатации, так и на стадии изготовления, транспортирования и монтажа. При этом, если напряженное состояние конструкции сохраняется не более 28 сут, то оно может рассматриваться как кратковременное. Для такого состояния должны быть удовлетворены те же требования, что и при действии временных нагрузок.

Расчеты по определению напряжений в бетоне, образованию трещин и определению ширины их раскрытия должны производиться с учетом потерь предварительного напряжения в арматуре согласно Приложению Р.

Наряду с требованиями, указанными в таблице 7.24, должны выполняться требования по минимальному армированию сечений железобетонных конструкций, которое характеризуется коэффициентом армирования . Для конструкций, арматура которых имеет сцепление с бетоном, в том числе за счет омоноличивания (инъецирования) каналов напрягаемой арматуры, значение = 0,002.

Арматуру, устанавливаемую для обеспечения требований по минимальному армированию, следует рассматривать как рабочую, для которой необходимо обеспечивать все конструктивные требования по расположению, стыковке и защите. Эту арматуру следует учитывать при выполнении всех проверок несущей способности. Она должна иметь гарантированное сцепление с бетоном и быть установлена в растянутой от внешних нагрузок зоне по ее внешнему контуру, а также вдоль плоскостей хомутов, заходящих в растянутую зону. Площадь арматуры вычисляют как произведение требуемого коэффициента минимального армирования на площадь растянутой зоны. Для изгибаемых конструкций пролетных строений границей растянутой зоны следует считать большее из двух значений: половины высоты сечения и расстояния от растянутой арматуры до центра тяжести бетонного сечения.

При проверке достаточности растянутой арматуры, устанавливаемой по требованию обеспечения минимального процента армирования, сравнивают площадь всей арматуры, находящейся в растянутой зоне, приведенной по прочности к арматуре класса А400 с учетом коэффициентов, характеризующих сцепление арматуры с бетоном согласно таблице 7.26. При этом, если расчетное сопротивление растяжению арматуры превышает 400 МПа, то принимают значение 400 МПа. Напрягаемую арматуру, расположенную в закрытых или открытых каналах, в случае если она заинъецирована (омоноличена), совместно с ненапрягаемой арматурой учитывать в составе растянутой арматуры, нормируемой минимальным процентом армирования, не рекомендуется.

В стыках монолитных и сборно-монолитных конструкций минимальный процент армирования должен быть обеспечен по всей площади стыка.

Минимальный процент армирования следует обеспечивать при назначении минимальной площади хомутов для тех случаев, когда их установка обязательна. При ширине ребра, превосходящей высоту сечения, плоскости хомутов следует располагать с шагом, не превышающим значения высоты сечения. В плитных и балочных (ребристых) пролетных строениях, если ширина ребра больше его высоты, поперечную горизонтальную арматуру также назначают исходя из обеспечения минимального процента армирования.

7.96. В автодорожных и городских мостах при применении смешанного армирования предельные растягивающие напряжения в бетоне допускается повышать до 2 при условии, что все усилие от части эпюры растягивающих напряжений, возникающее на той части площади сечения, на которой растягивающие напряжения превышают 1,4, воспринимается только ненапрягаемой арматурой. Кроме этого, при расчете ширины поперечных трещин следует руководствоваться указаниями 7.108 и 7.109.

7.97. В обжатом бетоне конструкций, проектируемых по категории требований по трещиностойкости 2а, при проверке возможности прохода по монтируемой части моста монтажного крана с грузом допускается принимать:

предельные значения нормальных растягивающих напряжений в бетоне - 1,15;

предельные значения расчетной ширины раскрытия трещин - 0,01 см.

При расчете следует учитывать снижение предварительных напряжений в напрягаемой арматуре, соответствующее потерям за год.

7.98. В элементах конструкций, проектируемых по категориям требований по трещиностойкости 2а, 2б и 3б, в зонах бетона, сжатых на стадии эксплуатации под постоянной и временной нагрузками конструкций, не следует допускать при других стадиях работы возникновения растягивающих напряжений, превышающих величину 0,8.

Расчет по образованию трещин

7.99. Трещиностойкость железобетонных конструкций мостов и труб обеспечивается ограничениями возникающих в элементах растягивающих и сжимающих напряжений, а в бетонных конструкциях - сжимающих напряжений.

Предельные значения указанных напряжений принимаются в зависимости от условий, которые необходимо обеспечить:

а) появление (образование) трещин в элементах конструкции недопустимо;

б) появление трещин с ограниченным раскрытием их по ширине допустимо (возможно).

7.100. Образование продольных трещин от нормальных сжимающих напряжений во всех конструкциях и на всех стадиях их работы недопустимо.

Возникающие от действующих нормативных нагрузок и воздействий нормальные сжимающие напряжения в сечениях элементов не должны превышать:

в бетонных и железобетонных конструкциях с ненапрягаемой арматурой - расчетных сопротивлений с учетом 7.48 и 7.97;

в обжимаемой зоне бетона предварительно напряженных конструкций - расчетных сопротивлений (на стадии изготовления и монтажа) и (на стадии постоянной эксплуатации).

Возникающие в бетоне стенок предварительно напряженных балок главные сжимающие напряжения не должны во всех случаях превышать расчетное сопротивление бетона .

7.101. Образование трещин, нормальных к продольной оси элемента (перпендикулярных направлению действия нормальных растягивающих напряжений), не допускается в конструкциях мостов, проектируемых по категории требований по трещиностойкости 2а, за исключением случая проверки на пропуск по мосту монтажного крана. При этом не исключается вероятность образования случайных поперечных трещин.

Для выполнения этих условий нормальные растягивающие напряжения в обжимаемом бетоне не должны превышать значений, указанных в 7.97 и таблице 7.24.

7.102. В конструкциях, проектируемых по категориям требований по трещиностойкости 2б, 3а, 3б и 3в, допускается образование поперечных трещин. При этом возможность образования поперечных трещин в конструкциях, проектируемых по категориям требований по трещиностойкости 2б и 3а, ограничивается двумя показателями, указанными в таблице 7.24, - предельно допустимыми растягивающими напряжениями и расчетной шириной возможного раскрытия поперечных трещин.

Кроме этого, в предварительно напряженных конструкциях, проектируемых по категории требований по трещиностойкости 2б, следует обеспечивать "зажатие" поперечных трещин: предельные значения минимальных сжимающих напряжений в обжимаемом бетоне при отсутствии на мосту временной нагрузки должны быть не менее значений, приведенных в таблице 7.24.

7.103. Главные растягивающие напряжения в бетоне стенок предварительно напряженных балок должны ограничиваться с учетом отношения главных сжимающих напряжений к расчетному сопротивлению бетона сжатию при рассмотрении сечения как сплошного.

Предельные значения главных растягивающих напряжений в зависимости от отношения указанных величин должны приниматься не более приведенных в таблице 7.25.

Таблица 7.25

Предельные значения главных растягивающих напряжений , принимаемых в мостах
железнодорожных автодорожных и городских
<= 0,52 0,68,
но не более 1,75 МПа
0,85,
но не более 2,15 МПа
>= 0,80 0,42 0,53
Примечания. 1. Для промежуточных значений отношений / предельные значения следует определять по интерполяции.
2. Предельные значения главных растягивающих напряжений в бетоне зон, примыкающих к клееным стыкам в составных конструкциях пролетных строений, следует уменьшить на 10%. Длина указанной зоны принимается равной высоте стыка в каждую сторону от стыка.

7.104. Главные сжимающие и главные растягивающие напряжения, указанные в 7.100 и 7.103, следует определять по формуле

, (7.91)

где - нормальное напряжение в бетоне вдоль продольной оси от внешней нагрузки и от усилий в напрягаемой арматуре с учетом потерь;

- нормальное напряжение в бетоне в направлении, нормальном к продольной оси элемента, от напрягаемых хомутов, наклонной арматуры и напряжений от опорной реакции, при этом распределение сжимающих усилий от опорной реакции следует принять под углом 45°;

- касательное напряжение в бетоне стенки (ребра), определяемое по формуле

. (7.92)

В формуле (7.92):

- касательные напряжения от поперечной силы, определяемой от внешней нагрузки и предварительного напряжения;

- то же, от кручения;

, - коэффициенты, учитывающие соответственно воздействие поперечного обжатия бетона и кручения по 7.27;

- расчетное сопротивление бетона скалыванию при изгибе, принимаемое по таблице 7.6.

Проверку главных сжимающих и растягивающих напряжений, а также касательных напряжений рекомендуется выполнять в зоне расположения центра тяжести сечения.

При расчете стенок (ребер) составных по длине балок с бетонными стыками на главные напряжения по формуле (7.91) входящие в формулу касательные напряжения по контакту между поперечно обжатым бетоном стыка и блоками следует ограничивать значениями, приведенными в формуле (7.92), в правую часть которой наряду с коэффициентом необходимо вводить также и коэффициент . При необжатых стыках вместо коэффициента следует вводить коэффициент . Сечение бетона омоноличивания допускается учитывать при расчете по предельным состояниям второй группы, если расчетом обоснована и конструктивно обеспечена передача сдвигающего усилия по контакту бетона омоноличивания с бетоном блоков и если скалывающие напряжения в бетоне по контакту не превышают 0,5 по таблице 7.6. Сечение инъецированного раствора в закрытых каналах допускается учитывать в расчете полностью.

Определение нормальных и касательных напряжений в элементах высотой, изменяющейся по длине пролета, следует выполнять с учетом переменности сечения.

Расчет по раскрытию трещин

7.105. Ширину раскрытия нормальных и наклонных к продольной оси трещин , см, в железобетонных элементах, проектируемых по категориям требований по трещиностойкости 2б, 3а, 3б и 3в, необходимо определять по формуле

, (7.93)

где - растягивающее напряжение, равное для ненапрягаемой арматуры напряжению в наиболее растянутых (крайних) стержнях, для напрягаемой - приращению напряжений после погашения обжатия бетона;

E - модуль упругости соответственно для ненапрягаемой и напрягаемой арматуры, принимаемый по таблице 7.19;

- коэффициент раскрытия трещин, определяемый в зависимости от радиуса армирования (учитывает влияние бетона растянутой зоны, деформации арматуры, ее профиль и условия работы элемента) и принимаемый по 7.109;

- предельное значение расчетной ширины раскрытия трещин, см, принимаемое по таблице 7.24.

7.106. При определении ширины раскрытия трещин по формуле (7.93)при смешанном армировании значение / E с учетом растягивающих напряжений в ненапрягаемой арматуре и приращения напряжений в напрягаемой арматуре после погашения предварительного обжатия бетона до нуля определяется по формуле

, (7.94)

где - коэффициент раскрытия трещин для ненапрягаемой арматуры, принимаемый по 3.109;

Официальный источник электронного документа содержит неточность: имеется в виду пункт 7.109.

- то же, для напрягаемой арматуры по 7.109.

Коэффициент раскрытия трещин при смешанном армировании определяется по формуле

,

где , - площади ненапрягаемой и напрягаемой арматуры.

7.107. Растягивающие напряжения в поперечной и продольной арматуре стенок (ребер) балок допускается определять по формуле

, (7.95)

где - напряжение в предварительно напряженных балках, не имеющих напрягаемых хомутов, принимаемое равным главному растягивающему напряжению на уровне центра тяжести сечения, в балках с ненапрягаемой арматурой - равным касательному напряжению на том же уровне;

- коэффициент армирования стенки стержнями, пересекающими наклонное сечение (между вутами поясов), определяемый как отношение проекции площадей сечения этих стержней на нормаль к наклонному сечению - к площади бетона наклонного сечения;

- коэффициент, учитывающий перераспределение напряжений в зоне образования наклонных трещин и определяемый по формуле

, (7.96)

где - длина, см, предполагаемой наклонной трещины на участке между вутами поясов (в тавровых балках начало наклонного сечения принимается от крайнего в сторону нейтральной оси ряда растянутой арматуры) согласно рисунку 7.9; наклон трещин следует принимать по 7.79.

1 - нормаль; 2 - хомут; 3 - наклонное сечение; 4 - продольная арматура; 5 - касательная к пучку; 6 - вут

Рисунок 7.9. Проекции усилий в поперечной арматуре на нормаль к наклонному сечению

7.108. При определении ширины раскрытия нормальных трещин в растянутой зоне предварительно напряженных элементов следует учитывать всю растянутую арматуру.

При определении ширины трещин в предварительно напряженных сваях допускается учитывать всю арматуру растянутой зоны.

Приращение растягивающего напряжения в напрягаемой арматуре согласно 7.105, возникающее после снижения под временной нагрузкой предварительного сжимающего напряжения в бетоне до нуля, допускается определять по формуле

, (7.97)

где - растягивающее напряжение в бетоне на уровне центра тяжести площади растянутой зоны бетона;

- коэффициент армирования, определяемый как отношение учитываемой в расчете площади поперечного сечения продольной растянутой арматуры к площади всей растянутой зоны бетона (арматура, не имеющая сцепления с бетоном, при вычислении не учитывается).

При смешанном армировании напряжение в бетоне определяется на уровне центра тяжести той части площади растянутой зоны бетона, в пределах которой растягивающие напряжения не превышают 1,4 .

Напряжения в ненапрягаемой арматуре при смешанном армировании допускается определять по формуле

, (7.98)

где - напряжения в бетоне на уровне центра тяжести части площади растянутой зоны бетона, в пределах которой напряжения в бетоне превышают 1,4;

. (7.99)

7.109. Коэффициенты раскрытия трещин следует принимать в зависимости от радиуса армирования , см, равными:

0,35 - для гладкой стержневой арматуры, арматурных пучков из гладкой проволоки и для стальных закрытых канатов;

- для стержневой арматуры периодического профиля, проволок периодического профиля класса Вр, пучков из этой проволоки, канатов класса К7 и пучков из них, стальных канатов со спиральной и двойной свивкой, а также для любой арматуры в стенках.

7.110. При расчете ширины раскрытия нормальных трещин радиус армирования должен определяться по формуле

, (7.100)

где - площадь зоны взаимодействия для нормального сечения, принимаемая ограниченной наружным контуром сечения и радиусом взаимодействия r = 6d;

- коэффициент, учитывающий степень сцепления арматурных элементов с бетоном согласно таблице 7.26;

n - число арматурных элементов с одинаковым номинальным диаметром d;

d - диаметр одного стержня (включая случаи расположения стержней в группах).

Таблица 7.26

Вид армирования конструкции Коэффициент
1 Одиночные стержни (гладкие и периодического профиля), одиночные проволоки периодического профиля или арматурные канаты класса К7 1,00
2 Ряды из двух стержней (без просветов), группами из сдвоенных стержней (с просветами между группами стержней) 0,85
3 То же, из трех стержней (с просветами между группами стержней), стальные канаты со спиральной и двойной свивкой, пучки из арматурных канатов класса К7 0,75
4 Пучки с числом проволок до 24 включительно 0,65
5 Пучки с числом проволок свыше 24 или стальные закрытые канаты 0,50

Для непрямоугольных сечений с арматурой, равномерно распределенной по контуру, радиус взаимодействия принимается r = 3d.

Для пучков и канатов d соответствует наружному контуру арматурного элемента, а r = 5d.

Радиус взаимодействия r следует откладывать от крайнего, ближайшего к нейтральной оси ряда стержня. Если в крайнем ряду установлено менее половины площади поперечного сечения стержней по отношению к площади арматуры в каждом из остальных рядов, то r следует откладывать от предпоследнего ряда с полным числом стержней; в круглых сечениях r следует откладывать от оси наиболее напряженного стержня в сторону нейтральной оси, а при пучках стержней - от оси внутреннего стержня наиболее напряженного пучка.

Зона взаимодействия не должна выходить за нейтральную ось, и ее высота не должна превышать высоты сечения, а в центрально-растянутых элементах принимается равной всей площади сечения. В круглых сечениях площадь зоны взаимодействия и радиус армирования следует определять для наиболее напряженного стержня или пучка.

При расчете ширины наклонных трещин радиус армирования следует определять по формуле

, (7.101)

где - площадь зоны взаимодействия для наклонного сечения, определяемая по формуле

, (7.102)

- длина наклонного сечения стенки по 7.107;

b - толщина стенки;

, , - число наклонных стержней(или пучков) ветвей хомутов и продольных стержней в пределах наклонного сечения;

, , - диаметры соответственно наклонных стержней (или пучков), хомутов и продольных стержней, пересекающих наклонное сечение в пределах стенки;

, , - углы между наклонными стержнями (или пучками), хомутами, продольными стержнями и нормалью к наклонному сечению согласно рисунку 7.9.

7.111. Трещиностойкость элементов от местных напряжений, вызываемых сосредоточенно приложенными силами предварительного напряжения, и изгиб стенок (балок) от местной нагрузки допускается обеспечивать постановкой дополнительной арматуры, воспринимающей передающееся на нее с бетона все растягивающее усилие от местных воздействий в предположении образования трещин на рассматриваемом участке. При этом вычисленная ширина трещин не должна превышать нормированную для категории требований по трещиностойкости 3б или 3в (таблица 7.24). Для участков, где указанные напряжения не превышают 0,4, армирование разрешается осуществлять конструктивно.

При расчете бетона на местное сжатие под анкером усилие, передаваемое последним, следует принимать равным: при натяжении арматуры на бетон - 100%, при натяжении на упоры пучка с внутренним анкером - 30% усилия в арматуре.

Определение прогибов и углов поворота

7.112. Прогибы, углы поворота и продольные перемещения вычисляются по формулам строительной механики в зависимости от кривизны элементов 1 / , а также относительных продольных перемещений, которые определяются исходя из гипотезы плоских сечений для полных (упругих и неупругих) деформаций.

Прогиб f или угол поворота вследствие деформаций изгиба элемента следует определять по формуле

, (7.103)

где - при определении прогиба f - функция изгибающего момента от единичной силы, приложенной по направлению искомого прогиба f, при определении угла поворота - функция изгибающего момента от единичного момента, приложенного по направлению искомого угла поворота;

- кривизна элемента в том же сечении от нагрузки, которой определяется прогиб или угол поворота (знак принимается в соответствии со знаком изгибающего момента в указанном сечении).

В формуле (7.103) суммирование производится по всем участкам (по длине пролета), различающимся законами изменения величин и .

Вычисление прогибов (углов поворота) допускается производить численными приемами, используя выражение

, (7.104)

в котором и - средние величины момента и кривизны на отдельных участках длиной , где изменение указанных параметров имеет плавный характер.

7.113. Кривизну предварительно напряженных элементов, в которых пояса отнесены к категориям требований по трещиностойкости 2а, 2б и 3б, допускается определять как для сплошного сечения по формуле

, (7.105)

где , , - моменты в рассматриваемом сечении, создаваемые соответственно усилием в напрягаемой арматуре, постоянной и временной нагрузками;

, - жесткости сечения при длительном воздействии соответственно усилия в напрягаемой арматуре и постоянной нагрузки;

B - жесткость сплошного сечения при кратковременном действии нагрузок.

Значения перечисленных жесткостей допускается определять по Приложению Т.

Допускается правую часть формулы (7.105) определять другими методами.

Моменты от предварительного напряжения следует вычислять исходя из напряжений в арматуре, соответствующих стадиям работы конструкции: на стадии обжатия - за вычетом первых потерь; на последующих стадиях, в том числе и на стадии эксплуатации, за вычетом также и вторых потерь согласно Приложению Р.

Значения изгибающих моментов при навесном монтаже следует определять с учетом веса монтируемых блоков и других возможных строительных нагрузок. При определении жесткостей и учитывается влияние усилия предварительного напряжения и длительности действия нагрузки.

7.114. Кривизну элементов с ненапрягаемой арматурой, в которых пояса отнесены к категории требований по трещиностойкости 3в, следует определять по формуле

, (7.106)

где - жесткость сечения при действии постоянной нагрузки с учетом образования трещин и ползучести бетона;

- жесткость сплошного сечения при кратковременном действии временной нагрузки с учетом образования трещин.

При вычислении кривизны элементов допускается принимать, что вся постоянная нагрузка действует в бетоне одного возраста, отвечающего приложению наибольшей части этой нагрузки.

Определение кривизны железобетонных элементов с ненапрягаемой арматурой на участках с трещинами (шириной, превышающей 0,015 см) в растянутой зоне допускается производить по указаниям [19]. (в ред. Изменения N 1, утв. Приказом Минстроя РФ от 03.12.2016 N 879/пр)

При вычислении прогибов балок с ненапрягаемой арматурой (если ширина трещин в бетоне не превышает 0,015 см) по формулам сопротивления упругих материалов, а также для расчета перемещений опор, столбов, свай-оболочек (в том числе заполненных бетоном) независимо от определяемой ширины трещин сечения допускается жесткость определять по формуле

, (7.107)

где - момент инерции бетонного сечения. (в ред. Изменения N 1, утв. Приказом Минстроя РФ от 03.12.2016 N 879/пр)

При продолжительном действии нагрузки значение модуля деформации бетона следует определять по формуле

(7.107а)

где - начальный модуль упругости бетона по таблице 7.11;

- нормативное значение деформации ползучести бетона по таблице 7.12. (в ред. Изменения N 1, утв. Приказом Минстроя РФ от 03.12.2016 N 879/пр)

7.115. Расчет перемещений массивных бетонных и железобетонных элементов (опор) от временной и постоянной нагрузок допускается производить с учетом жесткостей, определенных по полным сечениям элементов без учета ползучести и усадки бетона.

Конструктивные требования

7.116. Для бетонных и железобетонных конструкций при обеспечении условий их изготовления, требуемой долговечности и совместной работы арматуры и бетона необходимо выполнять конструктивные требования, изложенные в настоящем разделе.

Минимальные размеры сечения элементов

7.117. Толщины стенок, плит, диафрагм и ребер в железобетонных элементах (кроме реконструируемых сооружений) следует принимать не менее указанных в таблице 7.27.

Таблица 7.27

Элементы и их части Наименьшая толщина, см, для конструкций мостов и труб
железнодорожных автодорожных
1. Вертикальные или наклонные стенки балок:
а) ребристых:
при отсутствии в стенках арматурных пучков 12 <*> 10 <*>
(в ред. Изменения N 1, утв. Приказом Минстроя России от 03.12.2016 N 879/пр)
при наличии в стенках арматурных пучков 15 18
б) коробчатых:
при отсутствии в стенках арматурных пучков 15 12 <*>
(в ред. Изменения N 1, утв. Приказом Минстроя России от 03.12.2016 N 879/пр)
при наличии в стенках арматурных пучков 18 18
2. Плиты:
а) балластного корыта:
между стенками (ребрами) 15 -
на концах консолей 10 -
б) проезжей части:
между стенками (ребрами) - -
при отсутствии в плите арматурных пучков - 18
при наличии в плите арматурных пучков - 20
на концах консолей - 12
в) нижние в коробчатых балках:
при отсутствии в стенках арматурных пучков 15 15
при наличии в стенках арматурных пучков 18 15
г) тротуаров:
монолитные (несъемные) 8 12
сборные (съемные) 6 8
3. Пустотелые блоки плитных пролетных строений:
а) с арматурой из стержней, одиночных арматурных канатов класса К7 и пучков из параллельных высокопрочных проволок:
стенки и верхние плиты 10 12
нижние плиты 12 12
б) струнобетонные:
стенки и верхние плиты - 12
нижние плиты - 12
4. Диафрагмы и ребра жесткости пролетных строений 10 15
5. Стенки звеньев труб под насыпями 10 10 <**>
6. Стенки блоков коробчатого и круглого сечений пустотелых и сборно-монолитных опор:
в зоне переменного уровня воды 30 25
вне зоны переменного уровня воды 15 15
7. Стенки железобетонных полых свай и свай-оболочек при наружном диаметре, м:
0,4 8 8
от 0,6 до 0,8 10 10
" 1,0 " 3,0 12 12
<*> При применении двух арматурных сеток наименьшая толщина стенок принимается равной 15 см.
<**> Для труб диаметром 0,5 и 0,75 м допускается принимать толщину стенок равной 8 см.
Примечание. Минимальные размеры сборных железобетонных элементов, изготавливаемых в существующих на предприятиях ЖБК опалубочных формах, можно принимать менее указанных в таблице при соответствующем обосновании.

Наименьшие диаметры ненапрягаемой арматуры

7.118. Наименьшие диаметры ненапрягаемой арматуры следует принимать по таблице 7.28.

Таблица 7.28

Вид арматуры Наименьший диаметр арматуры, мм
1. Расчетная продольная в элементах мостов (кроме элементов, указанных ниже) и прямоугольных труб 12
2. Расчетная проезжей части (включая тротуары) автодорожных мостов 10
3. Расчетная и конструктивная звеньев круглых труб; конструктивная продольная и поперечная в элементах мостов (кроме плит); хомуты стенок балок и уширений поясов на всей длине 8
4. Проволочная класса Вр для плит укрепления откосов и хомутов арматуры свай (см. 7.35) 5
5. Конструктивная (распределительная) плит; хомуты свай и свай-оболочек; хомуты в пустотелых плитах 6

Распределительная арматура в плитах и хомуты в сваях при продольной арматуре диаметром 28 мм и более должны иметь диаметр не менее четверти диаметра продольных стержней.

Защитный слой бетона

7.119. Толщина защитного слоя бетона от его наружной поверхности до поверхности арматурного элемента или канала (кроме реконструируемых сооружений) должна быть не менее указанной в таблице 7.29.

Таблица 7.29

Вид арматуры и ее расположение Наименьшая толщина защитного слоя бетона, см
1. Ненапрягаемая рабочая арматура:  
верхняя в плите проезжей части автодорожных и городских мостов 3
в ребристых и плитных пролетных строениях, а также в плитах высотой 30 см и более 3
в плитах высотой менее 30 см 2
в звеньях труб и полых сваях-оболочках 2 <*>
в наружных блоках сборных опор 4
у наружных поверхностей монолитных опор:  
а) в ледорезной части опоры 7
б) на остальных участках опоры 5
в) в сваях, колодцах и блоках сборных фундаментов 3
в опорных плитах фундаментов из монолитного железобетона:  
а) при наличии бетонной подготовки 4
б) при отсутствии бетонной подготовки 7
2. Ненапрягаемые хомуты:  
в стенках (ребрах) балок 3
в стойках опор:  
а) вне зоны переменного уровня воды 3
б) в зоне переменного уровня воды 3
3. Ненапрягаемая, устанавливаемая в бетоне омоноличивания напрягаемой арматуры 3
4. Напрягаемая в растянутой зоне сечения:  
а) в виде пучков из высокопрочной проволоки и пучков из канатов класса К7 4 <**>
б) из арматурной стали классов:  
А600 4
А800 5
в) из стальных канатов (спиральных, двойной свивки и закрытых) диаметром d > 40 мм с анкерами на концах d
5. Напрягаемая всех видов в плите проезжей части, защищенной гидроизоляцией 5
6. Напрягаемые хомуты в стенках (ребрах) 3
7. Напрягаемая в струнобетонных конструкциях со стороны:  
растянутой грани 3 <***>
боковых граней 3

<*> Для труб диаметром 3 м и более защитный слой с внутренней стороны 3 см.

<**> Для напрягаемой арматуры, размещаемой в закрытых каналах, защитный слой бетона принимается относительно поверхности канала. Для каналов диаметром 11 см защитный слой следует назначать равным 5 см. При диаметрах каналов свыше 11 см принимаемую толщину защитного слоя следует проверять расчетом на силовые воздействия и давление раствора при инъецировании.

<***> Для элементов толщиной менее 20 см допускается защитный слой уменьшать до 2 см.

Примечание. Минимальные толщины защитного слоя сборных железобетонных элементов, изготавливаемых в существующих на предприятиях ЖБК опалубочных формах, можно принимать менее указанных в таблице при соответствующем обосновании.

7.120. Толщина защитного слоя бетона у концов предварительно напряженных элементов на длине зоны передачи усилий согласно 7.11 должна составлять не менее двух диаметров арматуры.

При применении стержневой напрягаемой арматурной стали классов А800, Ат800 и Ат1000 следует дополнительно на длине зоны передачи усилий по 7.11 устанавливать сетки, спирали диаметром, на 4 см превышающим диаметр стержня, или замкнутые хомуты с шагом не более 5 см.

Минимальные расстояния между арматурными элементами

7.121. Расстояния в свету между отдельными арматурными элементами, а также стенками каналов должны обеспечивать требуемое заполнение бетонной смесью всего объема конструкции. Дополнительно в предварительно напряженных конструкциях эти расстояния должны назначаться с учетом особенности передачи усилий с напрягаемой арматуры на бетон, размещения анкеров, габаритов применяемого натяжного оборудования.

7.122. Расстояние в свету между отдельными продольными рабочими стержнями ненапрягаемой арматуры и пучками арматуры, напрягаемой на упоры, должно приниматься:

а) если стержни занимают при бетонировании горизонтальное или наклонное положение не менее, см, при расположении арматуры:

4 - в один ряд;

5 - в два ряда;

6 - в три ряда или более;

б) если стержни занимают при бетонировании вертикальное положение - 5 см.

При стесненных условиях для размещения арматуры допускается располагать стержни ненапрягаемой арматуры группами (без зазора между стержнями) по два или по три стержня. Расстояние по ширине в свету между группами следует принимать не менее, см:

5 - при двух стержнях в группе;

6 - при трех стержнях в группе.

7.123. При назначении расстояний в свету между арматурными элементами в предварительно напряженных конструкциях следует соблюдать требования, указанные в таблице 7.30.

Таблица 7.30

Назначаемые расстояния в свету Наименьшие размеры расстояний
по абсолютному значению, см в зависимости от диаметра d арматурного элемента или диаметра dc канала
В конструкциях с арматурой, напрягаемой на упоры
1. Между арматурными пучками из параллельных высокопрочных проволок 6 d
2. Между арматурными пучками и наружными поверхностями их внутренних анкеров 4 -
3. Между наружными поверхностями внутренних анкеров арматурных пучков 3 -
4. Между отдельными арматурными канатами класса К7 при расположении их:    
в один ряд 4 -
в два ряда и более 3,5 -
(в ред. Изменения N 1, утв. Приказом Минстроя РФ от 03.12.2016 N 879/пр)
5. Расстояние от торца внутреннего анкера до торца бетона 5  
В конструкциях с арматурой, напрягаемой на бетон
6. Между стенками круглых закрытых каналов при диаметрах каналов, см:    
9 и менее 6 dc - 1
свыше 9 до 11 8 -
" 11 По расчету
7. Между пучками из параллельных высокопрочных проволок, пучками из арматурных канатов класса К7, а также стальными канатами (спиральными, двойной свивки и закрытыми) при расположении их в открытых каналах:    
в один ряд 3 -
в два ряда 4 -
8. Между стенками каналов с одиночными стержнями, напрягаемыми электротермическим способом, при каналах:    
закрытых 10 -
открытых 13 -

При смешанном армировании минимальное расстояние между ненапрягаемым арматурным стержнем и арматурным пучком или стенкой закрытого канала следует принимать не менее 3 см.

Анкеровка ненапрягаемой арматуры

7.124. Арматурные стержни периодического профиля, а также стержни гладкого профиля в сварных сетках и каркасах допускается применять без крюков на концах.

Растянутые рабочие стержни арматуры гладкого профиля, а также гладкие рабочие стержни в вязаных сетках и каркасах должны иметь на концах полукруглые крюки с внутренним диаметром не менее 2,5 диаметра стержня и длиной прямолинейного участка после отгиба не менее трех диаметров стержня.

7.125. Абзац. - Исключен. (в ред. Изменения N 1, утв. Приказом Минстроя РФ от 03.12.2016 N 879/пр)

Гладкие стержни, заводимые посредством отгибов в сжатую зону, следует заканчивать прямыми крюками, имеющими после загиба прямые участки длиной не менее трех диаметров арматуры.

7.126. Начало отгибов продольных растянутых стержней арматуры периодического профиля в изгибаемых элементах или обрыв таких стержней следует располагать за сечением, в котором стержни не учитывают по расчету.

Длина заводки стержня за сечение (длина заделки ) для арматурных сталей класса А300 должна составлять не менее:

25d - при классе бетона B30 и выше;

30d - при классах бетона B20 - B27,5 (d - диаметр стержня).

Для арматурных сталей класса А400 и выше длину заделки следует соответственно увеличивать на 4d. При пучке стержней d определяется как диаметр условного стержня с площадью, равной суммарной площади стержней, образующих пучок.

В целях уменьшения длины заделки разрешается применение анкеров, обеспечивающих передачу усилия с арматурного стержня на бетон. При этом должна быть обеспечена прочность бетона в зоне конструкции, примыкающей к анкеру. (в ред. Изменения N 1, утв. Приказом Минстроя РФ от 03.12.2016 N 879/пр)

7.127. В разрезных балках и на концевых участках неразрезных балок заводимые за ось опорной части растянутые стержни продольной арматуры должны иметь прямые участки длиной не менее 8 диаметров стержня. Кроме того, крайние стержни, примыкающие к боковым поверхностям балки, должны быть отогнуты у торца под углом 90° и продолжены вверх до половины высоты балки.

Необходимо обеспечить расстояние от торца балки до оси опирания, равное не менее 30 см, и до края опорной плиты - не менее 15 см.

Монтажные вертикальные и горизонтальные стержни, используемые для образования объемных каркасов, должны обеспечивать жесткость каркаса как в процессе армирования конструкции, так и в процессе ее бетонирования. (в ред. Изменения N 1, утв. Приказом Минстроя РФ от 03.12.2016 N 879/пр)

7.128. Перегибы растянутых стержней продольной арматуры по очертанию входящих углов, образующихся при переломе поверхности элемента, допускаются при условии устройства анкеров, воспринимающих отрывающие бетон усилия. Стержни продольной арматуры, расположенные вдоль плоскостей, образующих угол перелома, должны быть продолжены за точку их пересечения на длину не менее 30 диаметров арматуры. (в ред. Изменения N 1, утв. Приказом Минстроя РФ от 03.12.2016 N 879/пр)

Анкеровка напрягаемой арматуры

7.129. При применении в конструкциях арматуры из стержней периодического профиля диаметром до 36 мм, напрягаемой на упоры, устройство анкеров на стержнях не требуется.

В элементах с арматурой, рассчитываемой на выносливость, вся арматура (за исключением указанной выше) должна иметь внутренние или наружные (концевые) анкеры.

В элементах, напрягаемых на упоры, с арматурой, не рассчитываемой на выносливость, допускается применять без устройства анкеров (внутренних и наружных) отдельные арматурные канаты или пучки не более чем из 4 канатов класса К7 и отдельные высокопрочные проволоки периодического профиля.

Прочность анкеров, соединительных муфт, опорных конструкций, анкерных зон бетона (армируемых косвенной арматурой) в конструкциях с натяжением на бетон должна составлять не менее 95% прочности арматурных элементов, закрепляемых анкерами. (в ред. Изменения N 1, утв. Приказом Минстроя РФ от 03.12.2016 N 879/пр)

7.130. В изгибаемых элементах следует избегать расположения анкеров арматуры в зонах бетона, где главные растягивающие и сжимающие напряжения составляют - свыше 90% предельных значений, установленных для этих напряжений.

7.131. Наружные (концевые) анкеры на торцевой поверхности балок следует располагать, как правило, равномерно.

7.132. В элементах с натяжением арматуры на бетон зону обетонирования наружных анкеров следует армировать поперечными сетками из стержней периодического профиля диаметром не менее 10 мм. Необходимо принимать меры по обеспечению связи бетона омоноличивания и бетона основной конструкции.

Продольное армирование элементов

7.133. В сварных арматурных каркасах арматура располагается группами, не более трех стержней в каждой. Стержни в группе объединяются между собой сварными односторонними связующими швами. Длина связующих швов между стержнями должна быть не менее 4 диаметров, а их толщина - не более 4 мм. Зазоры между группами стержней образуются постановкой продольных коротышей диаметром не менее 25 мм. Коротыши устанавливаются перед отгибами, не более чем через 2,5 м по длине, вразбежку по отношению друг к другу. Они привариваются к рабочей арматуре односторонними связующими швами толщиной не более 4 мм и длиной не менее двух диаметров рабочей арматуры.

Связующие сварные швы между стержнями в группе располагаются вразбежку по отношению к коротышам и смежным связующим швам так, чтобы расстояние в свету между швами было не менее 40 см в случае, если смежные швы наложены на общий продольный стержень, и 10 см, если связующие швы относятся к разным продольным стержням каркаса. Кроме того, необходимо, чтобы любое поперечное сечение группы стержней пересекало не более одного сварного шва.

Допускается, при соответствующем обосновании, вертикальные стержни сварных сеток в стенках балок приваривать контактной точечной сваркой к арматуре и к продольным коротышам, расположенным между группами стержней. Приварка дуговой электросваркой хомутов к основной арматуре не допускается.

Указания по швам, прикрепляющим к рабочей арматуре, приведены в 7.160.

7.134. В разрезных балках и плитах следует доводить до опоры не менее трети рабочей арматуры, устанавливаемой в середине пролета. При этом в балках необходимо доводить до опоры не менее двух стержней, в плитах - не менее трех стержней на 1 м ширины плиты.

Распределительную арматуру плит следует устанавливать с шагом, не превышающим 25 см.

При смешанном армировании стержни ненапрягаемой арматуры допускается устанавливать попарно, при этом толщина защитного слоя этой арматуры должна соответствовать 7.119, а расстояния между стержнями и пучками - 7.122 и 7.123.

7.135. В неразрезных балках и ригелях многопролетных рамных конструкций часть верхней и нижней рабочей арматуры должна быть непрерывной по длине или иметь стыки, перекрывающие разрывы армирования.

Количество непрерывных арматурных элементов должно составлять:

а) в конструкциях с ненапрягаемой арматурой - не менее 20% нижней и 15% верхней рабочей арматуры;

б) в конструкциях с напрягаемой арматурой - не менее 10% нижней и 5% верхней рабочей арматуры. При этом непрерывность верхних и нижних арматурных элементов допускается обеспечивать напрягаемой, ненапрягаемой или комбинацией напрягаемой и ненапрягаемой арматуры. Причем в последних двух случаях суммарная площадь рабочей арматуры определяется как приведенная по расчетным сопротивлениям.

7.136. Шаг (расстояние между осями) рабочей арматуры плиты в середине пролета и над ее опорами не должен превышать, см:

15 - в плитах балластного корыта железнодорожных мостов;

20 - в плитах проезжей части автодорожных мостов.

Поперечное армирование элементов

7.137. Армирование стенок ненапрягаемых балок на восприятие поперечных сил следует осуществлять наклонными или нормальными к оси балки стержнями (хомутами), а также их комбинацией. Хомуты следует объединять с продольной арматурой стенок в каркасы. (в ред. Изменения N 1, утв. Приказом Минстроя РФ от 03.12.2016 N 879/пр)

7.138. В ненапрягаемых балках устанавливаемые по расчету наклонные стержни следует располагать симметрично относительно продольной оси изгибаемого элемента. Стержни, как правило, должны иметь по отношению к продольной оси элемента угол наклона, близкий к 45° (не более 60° и не менее 30°). При этом на участке балки, где по расчету требуется установка наклонных стержней, любое сечение, перпендикулярное продольной оси балки, должно пересекать не менее одного стержня наклонной арматуры.

7.139. Требуемые по расчету балок дополнительные наклонные стержни должны быть прикреплены к основной продольной рабочей арматуре. Если стержни арматуры изготовлены из стали классов А240, А300 и А400, то прикрепление дополнительных наклонных стержней можно выполнять посредством сварных швов.

7.140. Наклонные стержни арматуры в балках следует отгибать по дуге круга радиусом не менее 10 диаметров арматуры.

Отгибы продольной арматуры у торцов балки (за осью опорной части) допускается выполнять по дуге круга радиусом не менее трех диаметров арматуры.

7.141. Продольную арматуру в стенках ненапрягаемых балок следует устанавливать:

в пределах трети высоты стенки, считая от растянутой грани балки, - с шагом не более 12 диаметров применяемой арматуры (d = 8 - 12 мм);

в пределах остальной части высоты стенки - с шагом не более 20 диаметров арматуры (d = 8 - 10 мм).

7.142. Напрягаемые арматурные элементы, имеющие участки, направление которых не совпадает с направлением продольной оси балки, как правило, следует располагать симметрично относительно продольной оси балки.

7.143. Хомуты в элементах, воспринимающих поперечную силу, устанавливаются по расчету, включая расчет по сечению между хомутами. В стенках толщиной до 50 см, в пределах приопорных участков длиной, равной 1/4 пролета, считая от оси опоры, шаг хомутов принимают не более 15 см.

На среднем участке балки длиной, равной 1/2 пролета, шаг хомутов принимается не более 20 см.

При толщине стенок более 50 см максимальный шаг хомутов допускается увеличивать на 5 см. (в ред. Изменения N 1, утв. Приказом Минстроя РФ от 03.12.2016 N 879/пр)

Допускается применение сдвоенных хомутов из арматуры одного класса и диаметра.

Поперечная арматура, устанавливаемая по расчету, должна иметь надежную заделку по концам, которая обеспечивается заводкой или загибом за продольную арматуру, расположенную у граней железобетонного элемента. (в ред. Изменения N 1, утв. Приказом Минстроя РФ от 03.12.2016 N 879/пр)

7.144. Хомуты в разрезных плитных пролетных строениях следует устанавливать с шагом, не превышающим, см:

15 - на участках, примыкающих к опорным частям и имеющих длину, равную 1/4 пролета;

25 - на среднем участке, имеющем длину, равную 1/2 пролета.

В сплошных плитах балластного корыта железнодорожных мостов и проезжей части автодорожных мостов, имеющих высоту 30 см и менее, хомуты при отсутствии сжатой расчетной арматуры допускается не устанавливать.

Примечание. В плитных пролетных строениях автодорожных и городских мостов допускается не ставить поперечную арматуру в плиты толщиной до 40 см, если касательные напряжения в бетоне не превышают (где - расчетное сопротивление бетона скалыванию при изгибе по таблице 7.6).

7.145. Хомуты в поясах ненапрягаемых элементов должны охватывать ширину пояса не более 50 см и объединять не более пяти растянутых и не более трех сжатых стержней продольной арматуры, расположенной в крайних горизонтальных рядах.

7.146. Уширение поясов должно быть армировано замкнутыми хомутами из арматурных стержней периодического профиля; ветви хомутов должны охватывать весь наружный контур поясов.

7.147. Наибольший шаг замкнутых хомутов или поперечных стержней в сварных сетках обжимаемых поясов напрягаемых балок следует принимать не более 15 см в железнодорожных и 20 см в автодорожных мостах. Шаг хомутов в обжимаемых поясах не должен быть более шага хомутов в стенках балок.

7.148. Хомуты в элементах, рассчитываемых на кручение, а также на кручение совместно с изгибом, сжатием или растяжением, должны быть замкнутыми с перепуском концов:

при хомутах из гладкой арматурной стали - на 30 диаметров;

то же, из арматурной стали периодического профиля - на 20 диаметров.

7.149. В зоне расположения анкеров напрягаемых арматурных элементов под опорными плитами по 7.131 следует устанавливать дополнительную поперечную (косвенную) арматуру по расчету на местные напряжения.

Дополнительную арматуру выполняют из стержней периодического профиля с шагом между ними не более, см:

10 - в сетках;

6 - в спиралях.

7.150. Продольную рабочую арматуру и хомуты в сжатых элементах конструкций следует объединять в каркасы. Шаг хомутов в зависимости от диаметра d стержней продольной арматуры следует принимать не более:

15d - при сварных каркасах;

12d - при вязаных каркасах.

Во всех случаях шаг хомутов следует назначать не более, см:

при насыщении сечения продольной арматурой менее 3% - 40;

то же, в размере 3% и более - 30.

При значительном насыщении сечения продольной арматурой вместо отдельных хомутов рекомендуется принимать непрерывное поперечное армирование спиральными витками, повторяющими очертание поперечного сечения элемента. (в ред. Изменения N 1, утв. Приказом Минстроя РФ от 03.12.2016 N 879/пр)

7.151. Конструкция хомутов сжатых элементов опор с квадратной или прямоугольной формой поперечных сечений должна быть такой, чтобы продольные стержни располагались в местах перегиба хомутов, а ветви хомутов, устанавливаемые вдоль граней элементов, удерживали не более четырех стержней продольной арматуры и имели длину не более 40 см.

Приведенные указания относятся к опорам с размерами граней не более 80 см. При больших размерах граней опор рабочие продольные стержни опор, расположенные на противоположных гранях, допускается не объединять между собой хомутами, пересекающими сечение опоры, а заменять такие хомуты расположенными по периметру цепочками конструктивных хомутов П-образной формы, каждый длиной по 40 см с боковыми анкерующими ветвями длиной не менее 20 см, располагающимися перпендикулярно к основной продольной ветви хомута по направлению внутрь сечения бетона. Концы коротких ветвей, заканчивающиеся полукруглыми крюками, прикрепляются к вертикальным монтажным стержням, устанавливаемым на всю высоту опоры. Хомуты между собой перехлестываются в местах перегиба. Цепочки хомутов, охватывающие опоры по периметру, располагаются по высоте через 40 см.

Для хомутов и монтажных вертикальных стержней следует применять арматуру диаметром не менее 10 мм. Для повышения устойчивости сжатых рабочих стержней опоры, кроме цепочек хомутов, следует предусматривать постановку монтажных связей, соединяющих продольные вертикальные стержни на поперечных гранях опоры. Связи должны состоять из трех стержней диаметром не менее 16 мм и устанавливаться в плане и по высоте не реже чем через 1,6 м.

Во избежание затруднений, возникающих при бетонировании, из-за наличия стержней, пересекающих сечение, связи на каждом уровне допускается устанавливать и закреплять поочередно непосредственно перед укладкой каждого последующего слоя бетона.

7.152. На концевых участках сжатых элементов, передающих нагрузку через торцы без выпусков стержней продольной арматуры, следует устанавливать поперечные сварные сетки в количестве не менее четырех (в сваях - пять). Длину концевых участков, армированных сетками, следует принимать не менее 20 диаметров стержней продольной арматуры, а расстояние между сетками назначать не более 10 см.

7.153. При косвенном армировании сжатых элементов ненапрягаемой арматурой (см. 7.72) применяемые сварные поперечные сетки и спирали должны выполняться из арматурной стали классов А300 и А400 (диаметром не более 14 мм).

Стержни поперечных сеток и витки спирали должны охватывать всю рабочую продольную арматуру элемента.

Размеры ячеек поперечных сеток следует принимать не менее 5,5 см и не более 1/4 меньшей стороны сечения элемента или 10 см. Шаг поперечных сеток по длине элемента следует назначать не менее 6 см и не более 1/3 меньшей стороны сечения элемента или 10 см.

Спирали должны иметь диаметр навивки не менее 20 см. Шаг витков спирали следует назначать не менее 4 см и не более 1/5 диаметра сечения элемента или 10 см.

7.154. В звеньях круглых труб и цилиндрических оболочек при их армировании двойными сетками стержни рабочей арматуры должны быть связаны в радиальном направлении соединительными стержнями-фиксаторами или объединены в каркасы.

Сварные соединения арматуры

7.155. Сварные соединения арматуры должны отвечать требованиям ГОСТ 14098 и ГОСТ 10922. Для применяемых стыков должны указываться категория ответственности и соответствующая им категория требований к контролю качества сварных соединений.

Сварные соединения, несущая способность которых определяется из расчета по первому предельному состоянию, относят к I категории, по второму предельному состоянию - ко II категории, а в остальных случаях соединения - к III категории ответственности и, соответственно, к III категории качества стыков.

Объем контроля для сварных соединений следует определять в соответствии с указаниями СП 70.13330. (в ред. Изменения N 1, утв. Приказом Минстроя РФ от 03.12.2016 N 879/пр)

7.156. Горячекатаная стержневая арматурная сталь классов и марок, указанных в таблице 7.14, как правило, должна соединяться посредством контактной стыковой сварки. (в ред. Изменения N 1, утв. Приказом Минстроя РФ от 03.12.2016 N 879/пр)

Стыкование арматуры контактной сваркой допускается при отношении площадей стыкуемых стержней не более 1,15. В арматурных элементах, рассчитываемых на выносливость, как правило, необходимо устранять в зоне стыков возникшие в результате сварки концентраторы напряжений путем соответствующей механической продольной зачистки. (в ред. Изменения N 1, утв. Приказом Минстроя РФ от 03.12.2016 N 879/пр)

Допускается применять другие эффективные конструктивные решения сварных стыков при условии, что ограниченный предел выносливости этих стыков будет не менее нормативного предела выносливости свариваемых арматурных стержней.

7.157. Сварные сетки, в том числе и по ГОСТ 23279, а также каркасы следует, как правило, предусматривать с применением в пересечениях стержней контактной точечной сварки.

В сварных сетках стыки (тип стыка - К1-Кт) следует располагать в шахматном порядке (не более 50% сварных стыков в расчетном сечении). (в ред. Изменения N 1, утв. Приказом Минстроя РФ от 03.12.2016 N 879/пр)

7.158. При изготовлении из арматурной стали классов А240, А300 и А400 сеток и каркасов, которые в соответствии с указаниями таблицы 7.14 должны выполняться в вязаном варианте, применение сварных соединений для основной арматуры может быть допущено только в местах, где напряжения в стержнях арматуры не превышают 50% установленных расчетных сопротивлений.

7.159. Число стыков в одном расчетном сечении элемента (в пределах участка длиной, равной 15 диаметрам стыкуемых стержней) не должно превышать в элементах, арматура которых рассчитывается на выносливость, 25%, в элементах, арматура которых не рассчитывается на выносливость, - 40% общего количества рабочей арматуры в растянутой зоне сечения.

Сварные стыки арматуры допускается располагать без разбежки в монтажных стыках сборных элементов (без снижения расчетного сопротивления арматуры), а также на участках конструкции, где арматура используется не более чем на 50%.

7.160. Для стыков стержневой горячекатаной арматуры из стали классов А240, А300 и А400 при монтаже конструкций допускается применение ванной сварки на удлиненных стальных накладках (подкладках) длиной не менее 5 диаметров стержней, а также применение стыков с парными смещенными накладками, приваренными односторонними или двусторонними швами суммарной длиной не менее 10 диаметров стыкуемых стержней. Ванную сварку следует применять при диаметре стержней не менее 20 мм.

Для не рассчитываемых на выносливость стыков сжатых стержней допускается также применение ванной сварки на коротких стальных накладках (подкладках) в соответствии с ГОСТ 14098.

Длина односторонних сварных швов, прикрепляющих наклонные стержни арматуры, должна быть не менее 12 диаметров при толщине швов не менее 0,25d и не менее 4 мм; длину двусторонних швов допускается принимать вдвое меньшей.

7.161. Монтажные выпуски арматуры в стыках должны обеспечивать условия для качественного выполнения на монтаже ванно-шовной сварки на удлиненных накладках с плавным выводом продольных сварных швов на стыкуемые стержни.

В вязаных арматурных каркасах конструкций автодорожных и городских мостов для закрепления арматуры в проектном положении при монтаже, транспортировке и бетонировании допускается в пересечениях стержней рабочей арматуры со стержнями конструктивной арматуры устройство вспомогательных сварных соединений при соблюдении следующих условий: сварка может производиться в местах, где прочность рабочей арматуры используется не более чем на 50%, а также где арматура работает только на сжатие.

Стыки ненапрягаемой арматуры внахлестку (без сварки)

7.162. Во внецентренно сжатых, изгибаемых и внецентренно растянутых элементах стержни арматурной стали периодического профиля диаметром до 36 мм и гладкие с полукруглыми крюками допускается стыковать внахлестку.

В центрально-растянутых элементах не допускается стыкование растянутых арматурных стержней внахлестку.

7.163. В стыках арматуры внахлестку длину нахлестки (перепуска) стержней из арматурной стали класса А300 следует принимать не менее:

30d - при классах бетона В20 - В27,5;

25d - при классе бетона В30 и выше, где d - диаметр стыкуемых стержней.

Для арматуры из стали класса А400 длина нахлестки должна быть соответственно увеличена на 4d.

Для арматуры из стали класса А240 длину нахлестки (между внутренними поверхностями полукруглых крюков) следует принимать такой же, как и для арматуры из стали класса А400.

Для стыков, расположенных в сжатой зоне сечения, длину нахлестки допускается принимать на 5d менее установленной выше.

Отдельные сварные сетки, имеющие продольные стержни периодического профиля, следует стыковать внахлестку на длину не менее продольных стержней сетки и не менее 25 см. (в ред. Изменения N 1, утв. Приказом Минстроя РФ от 03.12.2016 N 879/пр)

При расположении стыков стержней рабочей арматуры внахлестку в растянутой зоне сечения, где напряжения в стержнях превышают 75% расчетного сопротивления, в зоне стыка требуется устанавливать спиральную арматуру. Если установка спиральной арматуры не требуется (напряжение в стержнях составляет менее 75% расчетного сопротивления), то расстояние между хомутами в свету в местах стыкования рабочей растянутой арматуры внахлестку следует назначать не более 6 см, а в буронабивных столбах - 12 см. (в ред. Изменения N 1, утв. Приказом Минстроя РФ от 03.12.2016 N 879/пр)

Стыки арматуры внахлестку, как правило, следует располагать вразбежку. При этом площадь сечения рабочих стержней, стыкуемых на длине требуемой нахлестки, должна составлять при стержнях периодического профиля не более 50% общей площади сечения рабочей арматуры, при гладких стержнях - не более 25%.

Допускается стыковать в одном сечении более 50% общей площади сечения рабочей арматуры, при этом длину нахлестки следует увеличивать в два раза.

7.164. Допускается стыковка стержней рабочей арматуры, в том числе разных диаметров, с использованием несварных муфт различной конструкции. Допускается использование муфт заводского изготовления, выпускаемых по техническим условиям, после всестороннего исследования их свойств на прочность, коррозионную стойкость, стойкость к усталостным разрушениям (работа на выносливость) и т.п. Технические условия должны регламентировать в том числе область применения, порядок установки, значения усилий, передаваемых через муфту, долговечность работы соединения, методы контроля выполняемой стыковки и т.п. Срок службы используемых муфт должен быть не менее срока службы стыкуемых элементов.

Стыки элементов сборных конструкций

7.165. В сборных конструкциях, как правило, следует применять стыки:

бетонируемые широкие с расстоянием между торцами объединяемых элементов 10 см и более, с выпуском из элементов стержней рабочей арматуры или стальных закладных деталей;

бетонируемые узкие (обжимаемые) шириной не более 3 см, без выпусков из элементов арматуры, с заполнением стыкового зазора цементным или полимерцементным раствором;

клееные плотные (обжимаемые) с клеевой прослойкой толщиной не более 0,3 см для пролетных строений и не более 0,5 см для опор на основе эпоксидных смол или других долговечных полимерных композиций. Максимальная толщина клиновидных стыков не должна превышать 0,6 см в пролетных строениях и 0,9 см в опорах. (в ред. Изменения N 1, утв. Приказом Минстроя РФ от 03.12.2016 N 879/пр)

Применение сухих стыков (без заполнения швов между блоками клеевым составом, цементным или полимерным раствором) в пролетных строениях не допускается.

7.166. Торцы блоков составных по длине пролетных строений при применении стыков без выпусков арматуры следует армировать дополнительными поперечными сетками из стержней диаметром не менее 6 мм. При устройстве зубчатого стыка или стыка с уступами расчетная арматура зуба и уступа должна иметь диаметр не менее 10 мм.

7.167. В составных по длине (высоте) конструкциях с клееными плотными стыками для обеспечения точного совмещения стыкуемых поверхностей блоков следует, как правило, устраивать фиксаторы, в том числе в виде бетонных шпонок.

7.168. В верхних плитах балок автодорожных, городских и совмещенных мостов, не подвергающихся непосредственному воздействию подвижной железнодорожной нагрузки, допускается применение бетонируемых стыков с выпусками из плит арматуры периодического профиля с прямыми крюками на всю толщину плиты и с взаимным перепуском арматуры внахлестку на длину не менее 15 диаметров стержней и не менее 25 см, а также применение полукруглых петель внахлестку с указанной длиной перепуска петель друг за другом. Кроме этого, допускается применение полукруглых петель с той же длиной их заделки, но с прямой вставкой арматуры между петлями длиной, равной не менее диаметра петли. Диаметр полукруглых петель следует принимать не менее 10 диаметров арматуры.

Дополнительные указания по конструированию предварительно напряженных железобетонных элементов

7.169. Абзац. - Исключен. (в ред. Изменения N 1, утв. Приказом Минстроя РФ от 03.12.2016 N 879/пр)

Для предварительно напряженных монолитных пролетных строений следует, как правило, применять пучки из одного, четырех, семи, двенадцати и девятнадцати арматурных канатов К7 диаметрами 15,2 и 15,7 мм. При соответствующем обосновании могут применяться пучки из большего числа канатов. При этом к расчетному сопротивлению арматуры следует вводить коэффициент условий работы 0,95.

Напрягаемые арматурные элементы следует стыковать специальными устройствами - соединительными муфтами (куплерами). В местах расположения стыков пучков необходимо обеспечивать подвижность соединительных муфт относительно бетона при натяжении арматуры. (в ред. Изменения N 1, утв. Приказом Минстроя РФ от 03.12.2016 N 879/пр)

Абзац. - Исключен. (в ред. Изменения N 1, утв. Приказом Минстроя РФ от 03.12.2016 N 879/пр)

7.170. Предварительно напрягаемые арматурные элементы монолитных пролетных строений (с натяжением на бетон) необходимо располагать в закрытых каналах, размещаемых, как правило, в пределах бетонной части поперечного сечения. После натяжения арматуры каналы следует инъецировать цементно-водным раствором, обеспечивающим защиту арматуры от коррозии и сцепление ее с основной конструкцией.

Параметры каналообразователей рекомендуется назначать в соответствии со значениями, указанными в таблице 7.31.

Таблица 7.31

Число канатов К1400 в пучке по ГОСТ 13840 Максимальное контролируемое усилие в пучке, кН Минимальный радиус перегиба <1, 3, 4>, м Минимальное расстояние от анкера до начала перегиба <1>, м Внутренний диаметр каналообразователя <2>, мм
1 151 2,5 0,80 25 - 30
4 603 2,5 0,80 50 - 60
7 1055 3,0 0,80 60 - 70
12 1808 4,0 1,00 80 - 90
19 2863 5,5 1,20 95 - 110

<1> При другом контролируемом усилии принимать по интерполяции.

<2> При другой площади пучка принимать по интерполяции.

<3> При углах перегиба в пределах одной кривой свыше 90° следует увеличивать в 3 раза, свыше 180° - в 6 раз, промежуточные значения - по интерполяции.

<4> Для каналообразователей из металлических труб или иных стальных огибающих приспособлений допускается уменьшать в 2 раза (с учетом примечания 3).

При устройстве каналов с неизвлекаемыми каналообразователями рекомендуется применять неоцинкованные гибкие стальные рукава и гофрированные трубы. При этом материал заполнения каналов должен исключать увеличение его объема при замораживании, а величина защитного слоя бетона должна быть на 1 см более указанной в таблице 7.29.

Неизвлекаемые каналообразователи из гладких стальных труб допускается применять только на коротких участках в стыках между сборными блоками составных по длине конструкций и в местах перегибов малого радиуса или больших углов перегиба и анкеровки напрягаемой арматуры. Муфты и сопряжения неизвлекаемых каналообразователей допускается изготавливать из полимерных материалов.

Для обеспечения сцепления бетона омоноличивания в открытых каналах с бетоном предварительно напряженного элемента рекомендуется предусматривать:

выпуски из тела бетона предварительно напряженных элементов арматурных стержней или концов хомутов с шагом не более 10 см;

покрытие очищенной поверхности бетона, примыкающей к бетону омоноличивания, и напрягаемой арматуры цементным коллоидным или полимерцементным клеем;

применение для омоноличивания бетона, имеющего водоцементное отношение не более 0,4;

покрытие наружной поверхности бетона омоноличивания противоусадочным пароизолирующим составом.

Закладные изделия

7.171. Закладные изделия из отдельных листов или фасонных профилей с приваренными к ним втавр или внахлестку анкерными стержнями из арматурных сталей класса А300 или А400 диаметром не более 25 мм должны проектироваться в соответствии с требованиями ГОСТ 19292. Сварные соединения должны выполняться в соответствии с требованиями ГОСТ 14098 и ГОСТ 10922.

7.172. Длину растянутых анкеруемых стержней, заделываемых в бетон, следует принимать в зависимости от напряженного состояния бетона в направлении, перпендикулярном анкеруемым стержням. (в ред. Изменения N 1, утв. Приказом Минстроя РФ от 03.12.2016 N 879/пр)

Если от постоянно действующих нагрузок (при коэффициенте надежности по нагрузке, равном 1) в зоне анкерных стержней возникают сжимающие напряжения , наибольшие значения которых отвечают условию

, (7.108)

то длина заделки стержней должна составлять не менее:

при стержнях из арматуры периодического профиля - 12d (d - диаметр стержня);

при стержнях из гладкой арматуры - 20d, но не менее 25 см.

Если напряжения в бетоне в зоне заделки не отвечают приведенному выше условию или характер напряжений не установлен, то длина заделки растянутых арматурных стержней должна приниматься не менее:

при классе арматурной стали А300 - 25d;

то же, А400 - 30d.

Длина заделки растянутых анкерных стержней может быть уменьшена посредством приварки на концах стержней плоских металлических элементов или устройством на концах стержней головок, высаженных горячим способом. При этом диаметр головок должен быть не менее:

при арматуре из стали класса А300 - 2d;

то же, А400 - 3d.

В этих случаях длина заделки анкеруемого стержня определяется расчетом на выкалывание и смятие бетона и принимается не менее 10d.

7.173. Отношение толщины плоского стального элемента закладной детали к диаметру d анкерного стержня этой детали следует принимать равным при сварке:

а) автоматической, втавр под флюсом - не менее:

0,55 - 0,65 - для арматуры класса А300;

0,65 - 0,75 - то же, А400;

б) ручной, втавр под флюсом - не менее 0,75 для всех классов арматуры;

в) ручной, в раззенкованное отверстие - не менее:

0,65 - для арматуры класса А300;

0,75 - то же, А400;

г) дуговой, внахлестку фланговыми швами - не менее 0,3 для арматуры всех классов.

Конструирование опор

7.174. Элементы опор железнодорожных мостов, находящиеся в зонах возможного замерзания воды (свободной или имеющейся в грунте), а также элементы, состоящие из бетонов разных классов по прочности на сжатие, должны иметь сплошное сечение. (в ред. Изменения N 1, утв. Приказом Минстроя РФ от 03.12.2016 N 879/пр)

В опорах автодорожных и городских мостов допускается в указанных зонах применение железобетонных элементов в виде полых свай-оболочек при обеспечении мер (например, дренажных отверстий) против образования в стенках оболочек трещин от силового воздействия замерзающей воды и льда во внутренних полостях оболочек.

7.175. В пределах уровня ледохода телу опоры следует придавать форму с учетом направления воздействия ледохода.

Сопряжение граней опоры следует делать по цилиндрической поверхности радиусом 0,75 м. При надлежащем обосновании этот радиус может быть уменьшен до 0,3 м.

7.176. На реках, расположенных в районах, где среднемесячная температура наружного воздуха наиболее холодного месяца минус 20 °C и ниже, промежуточные опоры (включая и железобетонные) мостов допускается выполнять из бетона без специальной защиты поверхности.

Для русловых опор мостов на реках с интенсивным перемещением речных наносов (количество взвешенных наносов более 1 кг в 1 м3 потока и скорость течения более 2,5 м/с) опоры со стойками из свай-столбов или свай-оболочек следует применять со специальной защитой (металлические оболочки-бандажи, изготовленные из износостойкого бетона и др.) в зонах движения наносов. Массивные опоры могут применяться без дополнительной защиты их поверхностей.

Поверхности промежуточных бетонных, железобетонных опор мостов, расположенных в районах, где среднемесячная температура наружного воздуха наиболее холодного месяца ниже минус 20 °C, а также, как правило, опоры на реках, вскрывающихся при отрицательных среднесуточных температурах наружного воздуха, должны быть облицованы в пределах зоны переменного уровня ледохода. При этом толщина, а также высота облицовочных блоков должны быть не менее 40 см. Армирование облицовочных блоков следует применять в том случае, если это требуется по условиям их транспортирования и заанкеривания на отрывающее воздействие льда.

Ширина заполняемых раствором вертикальных швов должна быть 2,5 +/- 0,5 см, а горизонтальных - 1 +/- 0,5 см.

7.177. При отсутствии бетонных облицовочных блоков должного качества допускается при технико-экономическом обосновании применение для опор облицовки из естественного морозостойкого камня с прочностью на сжатие не ниже 59 МПа, при мощном ледоходе - не ниже 98 МПа. Конструкция облицовки из естественного камня должна обеспечивать возможность ее изготовления индустриальными методами.

7.178. Соединение железобетонных стоек и элементов опор с ригелем (насадкой) допускается осуществлять омоноличиванием арматурных выпусков в нишах или отверстиях. При этом стенки башмаков стаканного типа должны быть армированы из расчета на воздействие продольных и поперечных сил.

Длина арматурных выпусков, заводимых в нишу или отверстие, должна быть не менее 25 диаметров стержней. (в ред. Изменения N 1, утв. Приказом Минстроя РФ от 03.12.2016 N 879/пр)

7.179. Для массивных опор и устоев следует предусматривать устройство железобетонных оголовков толщиной не менее 0,4 м.

Участки элементов (ригелей, насадок и т.п.) в местах передачи на них давления от пролетных строений должны быть армированы дополнительной косвенной арматурой, требуемой по расчету на местное сжатие (смятие). На этих участках, а также под монолитными стыками пролетных строений и на оголовках опор не должно быть мест, где возможен застой попадающей воды.

В местах расположения деформационных швов верхнему слою бетона на опорах следует придавать уклоны (не менее 1:10), обеспечивающие сток воды.

Уклон верха оголовков и ригелей опор должен выполняться одновременно с их бетонированием.

7.180. Нагрузку от опорных частей пролетных строений при наличии уклонов на верхней поверхности массивных опор, а для железнодорожных мостов - во всех случаях следует передавать на железобетонные подферменные площадки. Высота этих площадок должна обеспечивать возвышение их верхней грани над опорой не менее чем на 15 см.

Расстояние от нижних плит опорных частей до боковых граней подферменных площадок или до боковых граней железобетонных элементов (ригелей, насадок и т.п.) должно быть не менее 15 см.

Расстояние от граней подферменных площадок до граней оголовка следует назначать с учетом возможности установки домкратов для подъема концов пролетных строений и принимать не менее, см:

а) вдоль моста:

при пролетах от 15 до 30 м - 15;

" " " 30 " 100 м - 25;

" свыше 100 м - 35;

б) поперек моста:

при закругленной форме оголовка от угла подферменной площадки до ближайшей грани оголовка - не менее указанных в "а";

при прямоугольной форме оголовка не менее, см:

для плитных пролетных строений - 20;

для всех пролетных строений, кроме плитных, при опорных частях:

резиностальных - 20;

плоских и тангенциальных - 30;

катковых и секторных - 50.

7.181. Применение железобетонных конструкций в опорах допускается для мостов, расположенных на суходолах, для путепроводов, виадуков и эстакад, на водотоках - при условии армирования стержневой арматурой и защиты поверхности от возможных механических повреждений. В опорах на водотоках применение напрягаемой проволочной арматуры не допускается.

Железобетонные элементы опор в пределах водотоков надлежит защищать от истирания льдом и перемещающимися донными отложениями, от повреждений при навале судов или плотов, а также от механических повреждений, возможных в случае заторов бревен при молевом способе сплава. В качестве защитных мероприятий рекомендуется применять бетон с повышенной износостойкостью, увеличивать толщину защитного слоя бетона железобетонных элементов, а при особо тяжелых условиях (мощном ледоходе и карчеходе) допускается применять покрытие железобетонных элементов стальными листами. Необходимость защиты или ее способ в каждом отдельном случае в зависимости от конкретных условий водотока предоставляется выбирать проектной организации.

Гидроизоляция конструкций

7.182. Все внутренние поверхности балластных корыт пролетных строений железнодорожных мостов и устоев, в автодорожных мостах - вся ширина пролетного строения (включая тротуары), переходные плиты, а также засыпаемые грунтом поверхности устоев, водопропускных труб (лотков) должны быть защищены изоляцией, препятствующей проникновению воды к защищаемым поверхностям бетона.

7.183. Гидроизоляция должна быть: водонепроницаемой по всей изолируемой поверхности; водо-, био-, тепло-, морозо- и химически стойкой; сплошной и неповреждаемой при возможном образовании на изолируемой поверхности бетона трещин с раскрытием, принятым в нормах проектирования; прочной при длительных воздействиях постоянной и временной нагрузок и возможных деформациях бетона, а для труб - при наличии давления грунта насыпи и гидростатического давления воды; герметичной в местах перекрытия строповочных отверстий и в сопряжениях с бортиками балластных корыт, а также с водоотводными и ограждающими устройствами, конструкциями деформационных швов, тротуарными блоками, карнизами, перилами, столбами и т.п.

7.184. Конструкцию гидроизоляции и применяемые для ее устройства материалы следует принимать исходя из требований обеспечения эксплуатационной надежности гидрозащиты в интервале температуры наружного воздуха в районе строительства (по СП 131.13330) от абсолютной максимальной до средней наиболее холодных суток. (в ред. Изменения N 1, утв. Приказом Минстроя РФ от 03.12.2016 N 879/пр)

При назначении гидроизоляции балластных корыт и проезжей части пролетных строений мостов, устоев, водопропускных труб должны учитываться также другие особенности климатических условий в районе строительства.

7.185. Выравнивающий слой следует выполнять из бетона на мелком заполнителе. Класс бетона по прочности на сжатие следует принимать для мостов не ниже В25 и для труб - не ниже В20.

Если в составе дорожной одежды ездового полотна предусматривается выполнение бетонного защитного слоя, то его следует армировать. Применение плетеных сеток для армирования защитного слоя не допускается.

7.186. Допускается применение других типов гидроизоляции пролетных строений, устоев мостов и водопропускных труб, отвечающих требованиям 7.183 и 7.184.

8. Стальные конструкции

Общие положения

8.1. Тип исполнения стальных пролетных строений, опор и труб в зависимости от значения расчетной минимальной температуры следует назначать в соответствии с таблицей 8.1.

Таблица 8.1

Расчетная минимальная температура, °C Тип исполнения
До минус 40 включительно Обычное
Ниже минус 40 до минус 50 включительно Северное А
Ниже минус 50 Северное Б

8.2. При проектировании стальных конструкций мостов необходимо:

выбирать оптимальные в технико-экономическом отношении схемы, системы и конструкции пролетных строений и опор, рациональные и эффективные сечения элементов, профили проката и марки сталей;

обеспечивать технологичность конструкций при заводском изготовлении и монтаже;

предусматривать унификацию деталей, узлов, соединений, отправочных марок, профилей проката с минимальной номенклатурой и минимальными отходами при раскрое;

применять отправочные марки и укрупненные монтажные блоки максимальной заводской готовности с минимальными объемами работ по образованию соединений на монтаже;

назначать допуски на линейные размеры и геометрическую форму отправочных марок исходя в первую очередь из обеспечения беспрепятственной и нетрудоемкой собираемости конструкций на монтаже;

предусматривать применение наиболее надежных экономичных и нетрудоемких заводских и монтажных соединений: сварных, фрикционных, болтовых, шарнирных и комбинированных (фрикционно-сварных и болтосварных);

обеспечивать возможность осмотра, очистки, окраски и ремонта конструкций; исключать в элементах, узлах и соединениях зоны, в которых возможно скопление воды и других загрязнений;

предусматривать защитные покрытия со стороны грунтовой засыпки для мостовых сооружений из металлических гофрированных элементов; (в ред. Изменения N 1, утв. Приказом Минстроя РФ от 03.12.2016 N 879/пр)

предусматривать дренажные отверстия в местах скопления воды, проветривание внутренних зон и герметизацию полностью замкнутых профилей, элементов и блоков;

указывать в документации КМ: марки сталей и требования к ним в соответствии с действующими нормативными документами; типы и размеры заводских и монтажных сварных соединений, участки сварных швов с полным проплавлением толщины детали; угловые швы с роспусками; способы защиты от коррозии. Документация КМ должна содержать все данные для заказа металлопроката, метизов, деформационных швов, опорных частей, защитных и гидроизоляционных материалов;

не допускать использование восстановленных бывших в употреблении видов металлоконструкций (профилей, балок, листов, труб и др.). (в ред. Изменения N 1, утв. Приказом Минстроя РФ от 03.12.2016 N 879/пр)

8.3. Сечения элементов стальных мостовых конструкций должны быть оптимальными из условий расчета их на прочность, устойчивость, выносливость и деформативность.

При проектировании стальных мостов с пролетами более 100 м следует предусматривать поперечные сечения пролетных строений и конструкции барьерных удерживающих ограждений, обеспечивающие наилучшее обтекание ветровым потоком.

Материалы и полуфабрикаты

8.4. В стальных конструкциях мостов со сварными, фрикционными, болтовыми, комбинированными фрикционно-сварными, фланцевыми и шарнирными соединениями в обычном и северном исполнениях следует применять:

а) для элементов из прокатного металла (сталь в соответствии с таблицей 8.2) допускается применять сталь марок, не указанных в таблице 8.2, в том числе высокопрочных наноструктурированных, после проверки в опытных конструкциях в порядке, предусмотренном законодательством Российской Федерации в области технического регулирования и санитарно-эпидемиологического благополучия населения. Расчетные характеристики в этом случае следует определять в соответствии с 8.8;

б) сварочные материалы для заводских и монтажных цельносварных и комбинированных соединений - по указаниям [2] и [3];

в) высокопрочные болты, гайки и шайбы - по ГОСТ Р 53664; (в ред. Изменения N 1, утв. Приказом Минстроя РФ от 03.12.2016 N 879/пр)

г) стальное литье группы 3, марок 25Л, 30Л, 35Л, 20ГЛ, 20ФЛ, 35ГЛ по ГОСТ 977 - для литых элементов мостовых конструкций, в том числе опорных частей;

д) поковки группы IV по ГОСТ 8479 - для шарниров-болтов, шарниров-осей, катков, валков - следующих категорий прочности и марок сталей:

КП275 из стали марок 40*, 45* по ГОСТ 1050 в нормализованном состоянии;

КП315 из стали марки 40Х* по ГОСТ 4543 в нормализованном состоянии;

КП345 из стали марки 40Х по ГОСТ 4543, закалка плюс отпуск;

КП590, КП640, КП785 из стали марки 40ХН2МА по ГОСТ 4543, закалка плюс отпуск;

е) металлические гофрированные структурные элементы и детали для их соединения. (в ред. Изменения N 1, утв. Приказом Минстроя РФ от 03.12.2016 N 879/пр)

При проектировании несущих стальных конструкций не допускается использовать восстановленные стальные трубы и другие бывшие в употреблении виды металлоконструкций (профилей, балок, листов, полос, свай и др.). (в ред. Изменения N 1, утв. Приказом Минстроя РФ от 03.12.2016 N 879/пр)

8.5. Для подвижных катковых и валковых опорных частей прокладные листы под катки следует изготавливать из высокопрочных легированных сталей марок 40ХН2МА по ГОСТ 4543, 12ХГН2МА по [4], 17ХГН2МФБТ по [5]. Допускается прокатный лист из стали 09Г2С по ГОСТ 19281 с наплавкой рабочих поверхностей проволокой марки Св-20Х13 по ГОСТ 2246.

8.6. Для висячих, вантовых и предварительно напряженных пролетных строений в обычном и северном исполнениях следует применять:

стальные витые канаты с металлическим сердечником, подвергнутые предварительной вытяжке усилием, равным половине установленного государственными стандартами или техническими условиями разрывного усилия каната в целом (или половине агрегатной прочности);

пучки и канаты из параллельных оцинкованных проволок по [6];

листовой, широкополосный универсальный и полосовой прокат из свариваемых сталей классов прочности от 390 до 590 - для цепных висячих и вантовых мостов;

сплав марки ЦАМ9-1,5Л по ГОСТ 21437 - для заливки концов стальных канатов в анкерах;

стали 09Г2С-14 по ГОСТ 19281; 20-Б-Т и 45-Б-Т по ГОСТ 1051 в нормализованном состоянии - для деталей анкеров стальных канатов; (в ред. Изменения N 1, утв. Приказом Минстроя РФ от 03.12.2016 N 879/пр)

листы по ГОСТ 21631* или ленты по ГОСТ 13726 толщиной не менее 1 мм из алюминия марок АД и АД1 по ГОСТ 4784 - для прокладок между стальными канатами, а также между канатами и деталями анкеров, отклоняющих устройств, сжимов, хомутов подвесок. Для исключения электрохимической коррозии контактирующие с алюминием стальные канаты и стальные детали указанных выше устройств должны быть защищены покрытиями из цинка или кадмия толщиной не менее 20 мкм.

8.7. Профили холодногнутые сварные квадратные, прямоугольные и корытные (трапецеидальные) должны соответствовать требованиям ГОСТ 8639 и СП 53-101 [20]. Внутренний радиус гибки должен быть не менее 2,5 толщины листа для основных несущих элементов и не менее 1,2 толщины для вспомогательных конструкций обычного и северного исполнений. Марки сталей для холодногнутых профилей следует принимать по таблице 8.2.

Таблица 8.2

(в ред. Изменения N 1, утв. Приказом Минстроя РФ от 03.12.2016 N 879/пр)

Тип исполнения Сталь несущих элементов сварных пролетных строений, опор, опорных частей и эксплуатационных обустройств, применяемая в заводских и монтажных соединениях
сварных швов железнодорожных и совмещенных мостов, включая стыковые, элементов из листового проката сварных швов и высокопрочных болтов элементов автодорожных, городских и пешеходных мостов и сварных швов и высокопрочных болтов в заводских соединениях и высокопрочных болтов в монтажных соединениях элементов железнодорожных и совмещенных мостов <1>
Толщина проката, мм Марка стали Нормативный документ Вид проката Марка стали Нормативный документ Толщина проката, мм
Обозначение Дополнительные требования Обозначение Дополнительные требования
Любой 16Д <7> ГОСТ 6713 - До 20 вкл.
Обычное 8 - 50 <2> 15ХСНД-2 ГОСТ Р 55374 Листовой 15ХСНД ГОСТ Р 55374 8 - 15
8 - 50 <2> 10ХСНД-2 ГОСТ Р 55374 15ХСНД-2 ГОСТ Р 55374 16 - 50 <2>
8 - 50 <2> 345-14ХГНДЦ-2 ГОСТ Р 55374 Химический состав по [8] 10ХСНД ГОСТ Р 55374 8 - 15
8 - 50 <2> 390-14ХГНДЦ-2 [8] 10ХСНД-2 ГОСТ Р 55374 16 - 50 <2>
15ХСНДА-2 [7] 8 - 50 <2>
10ХСНДА-2 [7] 8 - 50 <2>
345-14ХГНДЦ-2 ГОСТ Р 55374 Химический состав по [8] 8 - 50 <2>
390-14ХГНДЦ-2 [8] 8 - 50 <2>
Фасонный 15ХСНД ГОСТ Р 55374 8 - 32
10ХСНД ГОСТ Р 55374 8 - 15
345-14ХГНДЦ ГОСТ Р 55374 Химический состав по [8] 8 - 20
09Г2СД ГОСТ Р 55374 4 - 20
Северное А 8 - 50 <2> 15ХСНД-3 ГОСТ Р 55374 Химический состав по [8] Листовой 15ХСНД-2 ГОСТ Р 55374 8 - 50 <2>
8 - 50 <2> 10ХСНД-3 ГОСТ Р 55374 10ХСНД-2 ГОСТ Р 55374 8 - 50 <2>
8 - 50 <2> 345-14ХГНДЦ-3 ГОСТ Р 55374 15ХСНДА-3 [7] 8 - 50 <2>
8 - 50 <2> 390-14ХГНДЦ-3 [8] С полистным контролем по 6.4.1 ГОСТ Р 55374 10ХСНДА-3 [7] 8 - 50 <2>
[8] С полистным контролем по 6.4.1 ГОСТ Р 55374 <4> 345-14ХГНДЦ-2 ГОСТ Р 55374 Химический состав по [8] 8 - 50 <2>
390-14ХГНДЦ-2 [8] 8 - 50 <2>
Фасонный 15ХСНД <3> ГОСТ Р 55374 По 5.5, таблица 6 с проверкой ударной вязкости для 2-й категории 8 - 32
10ХСНД <3> ГОСТ Р 55374 То же 8 - 15
09Г2СД <3> ГОСТ Р 55374 " 4 - 20
345-14ХГНДЦ <3> ГОСТ Р 55374 Химический состав по [8]. По 5.5, таблица 6 ГОСТ Р 55374 с проверкой ударной вязкости для 2-й категории 8 - 20
Северное Б 8 - 50 <2> 10ХСНД-3 <6> ГОСТ Р 55374 С полистным контролем по 6.4.1 Листовой 10ХСНД-3 ГОСТ Р 55374 С полистным контролем по 6.4.1 ГОСТ Р 55374 <5> 8 - 50 <2>
Фасонный 15ХСНД <1> ГОСТ Р 55374 По 5.5, таблица 6 с проверкой ударной вязкости для 3-й категории 8 - 32
10ХСНД <3> ГОСТ Р 55374 То же 8 - 15

<1> В плите балластного корыта железнодорожных мостов с монтажными соединениями на высокопрочных болтах обычного и северного исполнений А допускается использовать листовой прокат толщиной не менее 12 мм из двухслойной коррозионно-стойкой стали с основным слоем из низколегированной стали и плакирующим слоем из коррозионно-стойкой стали по ГОСТ 10885.

<2> Для сварных стыковых швов, выполняемых в вертикальном положении, толщину листового проката следует принимать в пределах 12 - 32 мм. При этом листовой прокат следует принимать не ниже 2-й категории.

<3> В конструкциях автодорожных, городских и пешеходных мостов северного исполнения А и Б допускается применять прокатные двутавры, тавры и швеллеры без термообработки при условии выполнения дополнительных требований по ударной вязкости; применение указанных профилей в железнодорожных мостах без термообработки, соответствующей 2-й и 3-й категориям, - не разрешается. В мостах всех назначений допускается применять уголки по ГОСТ 8509 и ГОСТ 8510, сортовой прокат (кроме полосового) и трубы без термообработки - прокат категории 1 по ГОСТ Р 55374 при условии выполнения дополнительных требований по ударной вязкости.

<4> Требование полистного испытания следует предъявлять при расчетной минимальной температуре наружного воздуха минус 45 °C и ниже.

<5> В конструкциях автодорожных, городских и пешеходных мостов требование полистного испытания следует предъявлять при расчетной минимальной температуре наружного воздуха минус 60 °C и ниже и минус 55 °C и ниже - в конструкциях железнодорожных мостов.

<6> Применение монтажных соединений на сварке в железнодорожных мостах следует ограничивать сваркой стыков покрывного листа стальной ортотропной плиты балластного корыта и примыкающих к ней роспусков других элементов и допускается выполнять только при наличии технологического регламента по сварке и указания в проекте об обязательном научно-техническом сопровождении в процессе сварочных работ. Применение монтажных соединений на сварке для других конструктивных элементов не допускается.

<7> В заводских и монтажных соединениях листового проката и стали марки 16Д применение сварных стыковых швов, выполненных в вертикальном положении, не допускается.

Расчетные характеристики материалов и соединений

8.8. Расчетные сопротивления проката для различных видов напряженных состояний необходимо определять по формулам, приведенным в таблице 8.3. Значения коэффициентов надежности по материалу при вычислении расчетных сопротивлений следует принимать по таблице 8.4.

Таблица 8.3

Напряженное состояние Расчетные сопротивления проката
Растяжение, сжатие и изгиб:  
по пределу текучести
по временному сопротивлению
Сдвиг (срез)
Смятие торцевой поверхности при наличии пригонки
Смятие местное в цилиндрических шарнирах (цапфах) при плотном касании
Диаметральное сжатие катков при свободном касании в конструкциях с ограниченной подвижностью:  
при
при
Растяжение в направлении толщины проката t при t до 60 мм

Таблица 8.4

(в ред. Изменения N 1, утв. Приказом Минстроя РФ от 03.12.2016 N 879/пр)

Обозначение нормативного документа (марка стали, или/и значение предела текучести, или/и вид проката) Коэффициент надежности по материалу
ГОСТ 6713 (16Д) 1,09
ГОСТ 535 и ГОСТ 14637 (Ст3сп, Ст3пс, Ст3кп)
ГОСТ 19281 (до 380 МПа)
1,05
ГОСТ 19281 (св. 380 МПа) 1,10
ГОСТ Р 55374 (15ХСНД; 09Г2СД)
ГОСТ Р 55374; [8] (345-14ХГНДЦ)
[7] (15ХСНДА)
1,165
ГОСТ Р 55374 (10ХСНД)
[8] (390-14ХГНДЦ)
[7] (10ХСНДА)
1,125

8.9. Нормативные и расчетные сопротивления проката из сталей, приведенных в таблице 8.2, следует принимать по таблице 8.5.

Таблица 8.5

(в ред. Изменения N 1, утв. Приказом Минстроя РФ от 03.12.2016 N 879/пр)

Марка стали Обозначение нормативного документа Прокат Толщина проката <1>, мм Нормативное сопротивление <2>, МПа Расчетное сопротивление <3>, МПа
по пределу текучести по временному сопротивлению по пределу текучести по временному сопротивлению
16Д ГОСТ 6713 Любой До 20 вкл. 235 370 215 340
15ХСНД ГОСТ Р 55374 Листовой 8 - 50 345 490 295 415
15ХСНД ГОСТ Р 55374 Фасонный 8 - 32 345 490 295 415
345-14ХГНДЦ ГОСТ Р 55374; [8] Листовой 8 - 50 345 490 295 415
345-14ХГНДЦ ГОСТ Р 55374; [8] Фасонный 8 - 20 345 490 295 415
15ХСНДА [7] Листовой 8 - 50 345 490 295 415
09Г2СД ГОСТ Р 55374 Фасонный 4 - 20 325 450 280 385
10ХСНД ГОСТ Р 55374 Листовой 8 - 50 390 530 350 470
10ХСНД ГОСТ Р 55374 Фасонный 8 - 15 390 530 350 470
10ХСНДА [7] Фасонный 8 - 50 390 530 350 470
390-14ХГНДЦ [8] Листовой 8 - 50 390 530 350 470
40Х13 ГОСТ 5632 Круглый До 250 1200 1540 1050 1365

<1> За толщину фасонного проката следует принимать толщину полки.

<2> За нормативные сопротивления приняты минимальные значения предела текучести и временного сопротивления, приведенные в ГОСТ 6713, ГОСТ 19281, ГОСТ 5632 (40Х13), [7] и [8].

<3> Здесь указаны расчетные сопротивления растяжению, сжатию и изгибу и . Остальные расчетные сопротивления определяются по формулам таблицы 8.3.

Примечания

1 Значения расчетных сопротивлений получены делением нормативных сопротивлений на коэффициент надежности по материалу, определяемый по таблице 8.4, и округлением до 5 МПа.

2 Расчетные сопротивления двухслойной коррозионно-стойкой стали по ГОСТ 10885 следует принимать по основному слою.

Расчетные сопротивления отливок из углеродистой и легированной сталей следует принимать по таблице 8.6.

Таблица 8.6

Напряженное состояние Расчетные сопротивления отливок, МПа
обозначение из стали марки
25Л 30Л 35Л 20ГЛ 20ФЛ 35ГЛ
Растяжение, сжатие и изгиб Ry 175 190 205 205 220 220
Сдвиг Rs 105 115 125 123 130 130
Смятие торцевой поверхности (при наличии пригонки) Rp 265 300 315 345 315 345
Смятие местное в цилиндрических шарнирах (цапфах) при плотном касании Rlp 125 145 155 170 155 170
Диаметральное сжатие катков (при свободном касании в конструкциях с ограниченной подвижностью) Rcd 7 7,5 8 9 8 9

Расчетные сопротивления поковок из сталей, приведенных в 8.4, следует принимать по таблице 8.7.

Таблица 8.7

Напряженное состояние Расчетные сопротивления поковок, МПа, для категорий прочности (марок стали)
КП275 (40*, 45*) КП315 (40Х*) КП345 (40Х) КП590 (40Х2НМА) КП640 (40ХН2МА) КП785 (40ХН2МА)
Растяжение, сжатие и изгиб Ry 215 260 280 460 490 605
Сдвиг (срез), Rs 120 145 160 260 285 350
Смятие торцевой поверхности при наличии пригонки Rp 325 395 420 680 730 905
Смятие местное в цилиндрических шарнирах (цапфах) при плотном касании Rlp 160 195 205 340 360 450
Диаметральное сжатие катков при свободном касании в конструкциях с ограниченной подвижностью Rcd 8 10 10 17 19 23

8.10. Расчетные сопротивления сварных соединений для различных видов соединений и напряженных состояний следует определять по формулам, приведенным в таблице 8.8.

Таблица 8.8

Тип сварного соединения Напряженное состояние Расчетные сопротивления
Стыковые Растяжение, сжатие и изгиб:  
по пределу текучести
по временному сопротивлению
Сдвиг
С угловыми швами Срез (условный):  
по металлу шва
по металлу границы сплавления

Примечания.

1. Для швов, выполняемых ручной сваркой, значения следует принимать равными значениям временного сопротивления разрыву металла шва, указанным в ГОСТ 9467.

2. Для швов, выполняемых автоматической или полуавтоматической сваркой, значения следует принимать по СП 16.13330.

3. Значение коэффициента надежности по материалу шва следует принимать равным 1,25.

Расчетные сопротивления стыковых сварных соединений элементов из сталей с разными расчетными сопротивлениями следует принимать как для стыковых соединений из стали с меньшим значением расчетного сопротивления.

Расчетные сопротивления металла швов сварных соединений с угловыми швами следует принимать по СП 16.13330.

8.11. Расчетные сопротивления одноболтовых соединений следует определять по формулам, приведенным в таблице 8.9.

Таблица 8.9

Напряженное состояние Расчетные сопротивления одноболтовых соединений, МПа
срезу и растяжению болтов классов прочности смятию соединяемых элементов из стали с классом прочности до 440 МПа
4.6; 5.6; 6.6 4.8; 5.8 8.8; 10.9
Срез -
Растяжение -
Смятие:
а) болты класса точности A - - -
б) болты классов точности B и C - - -

Расчетные сопротивления срезу и растяжению болтов следует принимать по таблице 8.10.

Таблица 8.10

Напряженное состояние Расчетное сопротивление болтов, МПа, при классе прочности или марке стали
обозначение 4.6 Ст3сп4 09Г2
295-09Г2-4
295-09Г2-6
325-09Г2С-4
325-09Г2С-6
40Х
Срез 145 140 165 175 395
Растяжение 160 155 185 195 495

Расчетные сопротивления смятию элементов, соединяемых болтами, следует определять по СП 16.13330.

8.12. Расчетное сопротивление растяжению фундаментных (анкерных) болтов следует определять по формуле (и принимать по таблице 8.11)

. (8.1)

Таблица 8.11

Диаметр болтов d, мм Расчетные сопротивления, МПа, фундаментных (анкерных) болтов из стали марок
20 09Г2; 295-08Г2-6 325-09Г2С-6 40Х
12 - 20 160 175 185 -
16 - 27 - - - 430
21 - 32 160 175 180 -
30 - - - 370
36 - - - 295
33 - 60 160 - 180 -
42 - - - 255
48 - - - 235
61 - 80 160 - 175 -
81 - 100 160 - 170 -
101 - 160 160 - 170 -
161 - 250 160

8.13. Расчетное сопротивление срезу для сплава ЦАМ 9-1,5Л следует принимать равным 50 МПа.

8.14. Расчетное сопротивление высокопрочных болтов по ГОСТ Р 52643 и ГОСТ Р 52644 растяжению следует определять по формуле

, (8.2)

где - наименьшее временное сопротивление высокопрочных болтов разрыву.

8.15. Значения коэффициента трения по контактным поверхностям элементов во фрикционных соединениях и соответствующих коэффициентов надежности следует принимать по таблице 8.12. Способ обработки контактных поверхностей должен быть указан в чертежах КМ.

Таблица 8.12 (в ред. Изменения N 1, утв. Приказом Минстроя РФ от 03.12.2016 N 879/пр)

Способ подготовки контактных поверхностей во фрикционных соединениях Коэффициент трения Коэффициент надежности при числе болтов в полустыке
2 - 4 5 - 19 20 и более
1 Дробеструйный или пескоструйный двух поверхностей с шероховатостью Rz = 50 - 80 мкм без нанесения фрикционной грунтовки или с последующим нанесением цинконаполненной грунтовки на этилсиликатной основе на обе поверхности толщиной по 60 - 80 мкм 0,58 1,4 1,3 1,2
2 Дробеструйный или дробеметный двух поверхностей без нанесения фрикционной грунтовки или с последующим нанесением грунтовки на этилсиликатной основе на обе поверхности толщиной по 60 - 80 мкм с последующим их газопламенным нагревом (до температуры 250 °C - 300 °C) на кольцевых зонах вблизи отверстий площадью не менее площади шайбы (диаметр 60 мм) 0,60 1,4 1,3 1,2
3 Очистка стальными механизированными щетками двух поверхностей (без эффекта шлифовки) 0,35 2,5 1,8 1,4

8.16. Расчетное сопротивление растяжению высокопрочной стальной проволоки, применяемой в пучках и канатах из параллельно уложенных проволок, следует определять по формуле

, (8.3)

где - наименьшее временное сопротивление проволоки разрыву по государственным стандартам или техническим условиям.

8.17. При определении расчетного сопротивления стального витого каната с металлическим сердечником принимается значение разрывного усилия каната в целом, установленное государственным стандартом или техническими условиями на канаты (а при его отсутствии в нормах - значение агрегатной прочности витого каната), и коэффициент надежности .

8.18. Модуль упругости или модуль сдвига прокатной стали, стального литья, пучков и канатов из параллельно уложенных проволок следует принимать по таблице 8.13.

Таблица 8.13

Полуфабрикаты Модуль упругости E или модуль сдвига G, МПа
1. Прокатная сталь и стальное литье
2. То же
3. Пучки и канаты из параллельно уложенных оцинкованных проволок

Модуль упругости стальных оцинкованных витых канатов с металлическим сердечником, подвергнутых предварительной вытяжке усилием, равным половине разрывного усилия каната в целом, следует принимать по таблице 8.14.

Таблица 8.14

Канаты Кратность свивки Модуль упругости E, МПа
Одинарной свивки по ГОСТ 3064 и закрытые несущие по ГОСТ 18899 и [9] 6
8
10
11
12
14
16

Учет условий работы и назначения конструкций

8.19. При расчете стальных конструкций и соединений мостов надлежит учитывать:

коэффициент надежности для элементов конструкций, рассчитываемых по прочности с использованием расчетных сопротивлений ;

коэффициент условий работы m, принимаемый по таблицам 8.15 и 8.36 и подразделам настоящих норм, а для канатов в зоне отгибов на отклоняющих устройствах, хомутов, стяжек, сжимов и анкеров - по Приложению У.

Таблица 8.15

Область применения Коэффициент условий работы m
1. Элементы и их соединения в пролетных строениях и опорах железнодорожных и пешеходных мостов при расчете на стадии эксплуатации 0,9
2. То же, при расчете на нагрузки, возникающие при изготовлении, транспортировке и монтаже 1,0
3. Элементы и их соединения в пролетных строениях и опорах автодорожных и городских мостов при расчете на эксплуатационные нагрузки, а также на нагрузки, возникающие при изготовлении, транспортировке и монтаже 1,0
4. Канаты гибких несущих элементов в вантовых и висячих мостах 0,8
5. Канаты напрягаемых элементов предварительно напряженных конструкций 0,9
6. Растянутые и сжатые элементы из одиночных профилей, прикрепленных одной полкой (или стенкой):
неравнополочный уголок, прикрепленный меньшей полкой 0,7
неравнополочный уголок, прикрепленный большей полкой 0,8
равнополочный уголок 0,75
прокатный или составной швеллер, прикрепленный стенкой, или тавр, прикрепленный полкой 0,9
7. Элементы и их сварные соединения в пролетных строениях и опорах северного "Б" исполнения 0,85
8. В случаях, не оговоренных в позициях 1 - 7 1,0

Примечания

1 В случае использования в расчетах коэффициента надежности по ответственности не менее 1,1 коэффициент условий работы по позиции 1 следует принимать равным 1,0.

(ред. Изменения N 1, утв. Приказом Минстроя РФ от 03.12.2016 N 879/пр)

2 Значение коэффициента условий работы по позициям 1, 2 и 3 в соответствующих случаях применяют совместно с коэффициентами по позициям 4 - 7. Коэффициент условий работы по позиции 7 в соответствующих случаях применяют совместно с коэффициентами по позициям 4 - 6.

(ред. Изменения N 1, утв. Приказом Минстроя РФ от 03.12.2016 N 879/пр)

Расчеты

Общие положения

8.20. Расчетную схему конструкции следует принимать в соответствии с ее проектной геометрической схемой, при этом строительный подъем и деформации под нагрузкой допускается не учитывать (кроме пилонов вантово-балочных мостов).

Усилия в элементах и перемещения стальных мостовых конструкций определяются из условия их работы с сечениями брутто.

Геометрическую нелинейность, вызванную перемещением элементов конструкций, следует учитывать при расчете систем, в которых ее учет вызывает изменение усилий и перемещений более чем на 5%. При выполнении расчетов с учетом геометрической нелинейности следует определять изменения в направлении действия сил, связанные с общими деформациями системы (следящий эффект). (в ред. Изменения N 1, утв. Приказом Минстроя РФ от 03.12.2016 N 879/пр)

При определении усилий в элементах конструкций соединения сварные и фрикционные на высокопрочных болтах допускается рассматривать как неподатливые.

При расчете вантовых и висячих мостов с гибкими несущими элементами из витых канатов с металлическим сердечником - одинарной свивки и закрытых несущих, подвергнутых предварительной вытяжке согласно 8.6, - надлежит учитывать их продольную и поперечную ползучесть в соответствии с указаниями 8.34 и 8.35.

8.21. Жесткие соединения элементов в узлах решетчатых ферм допускается принимать при расчете шарнирными, если при таком допущении конструкция сохраняет свою неизменяемость, при этом для главных ферм отношение высоты сечения к длине элементов не должно, как правило, превышать 1:15.

Дополнительные напряжения в поясах ферм от деформации подвесок следует учитывать независимо от отношения высоты сечения к длине элемента пояса.

Учет жесткости узлов в решетчатых фермах допускается осуществлять приближенными методами, при этом допускается определение осевых усилий выполнять по шарнирной расчетной схеме.

8.22. За ось элемента пролетных строений принимается линия, соединяющая центры тяжести его сечений. При определении положения центра тяжести сечения его ослабление отверстиями болтовых соединений не учитывается, а ослабление перфораций учитывается и принимается постоянным по всей длине элемента. При смещении оси элемента сквозных ферм относительно линии, соединяющей центры узлов, эксцентриситет следует учитывать в расчете, если он превосходит:

для П-образных, коробчатых, двухшвеллерных и двутавровых элементов - 1,5% высоты сечения;

для тавровых и Н-образных элементов - 0,7% высоты сечения.

Изгибающие моменты от смещения осей элементов распределяются между всеми сходящимися в узле элементами пропорционально их жесткости и обратно пропорционально длине. При этом каждый изгибающий момент следует принимать равным произведению эксцентриситета на максимальное значение усилия в данном элементе в основной расчетной схеме.

В элементах связей из уголков с болтовыми соединениями, центрированных по рискам, ближайшим к обушку, допускается возникающий при этом эксцентриситет не учитывать.

8.23. Распределение временной нагрузки в элементах многобалочных пролетных строений со сплошными главными балками, объединенными жесткими поперечными связями, при отношении длины пролета к ширине свыше 4 допускается определять по теории тонкостенных стержней, принимая при этом гипотезу о недеформируемости контура поперечного сечения балки. В остальных случаях следует учитывать деформации контура поперечного сечения.

8.24. При проектировании необходимо обеспечивать пространственную неизменяемость, прочность, общую и местную устойчивость пролетных строений и опор в целом, блоков, отдельных элементов, их частей, деталей и соединений под воздействием нагрузок, возникающих при изготовлении, транспортировании и монтаже, под воздействием эксплуатационных нагрузок, и выносливость.

Для элементов, ослабленных отверстиями под обычные болты, при расчетах на прочность и выносливость следует принимать сечения нетто, на устойчивость и жесткость - сечения брутто.

При расчетах элементов с фрикционными соединениями на высокопрочных болтах на выносливость, устойчивость и жесткость следует принимать сечения брутто, при расчетах по прочности - сечения нетто с учетом того, что половина усилия, приходящегося на данный болт, в рассматриваемом сечении уже передана силами трения.

Геометрические характеристики сечения нетто элементов конструкций следует находить, определяя наиболее невыгодное ослабление.

Расчеты по прочности

Центрально-растянутые и центрально-сжатые элементы

8.25. Расчет по прочности элементов, подверженных центральному растяжению или сжатию силой N, следует выполнять по формуле

. (8.4)

Здесь и в 8.26 - 8.32 m - коэффициент условий работы, принимаемый по таблице 8.15.

Изгибаемые элементы

8.26. Расчет по прочности элементов, изгибаемых в одной из главных плоскостей, следует выполнять по формуле

, (8.5)

где - коэффициент, учитывающий ограниченное развитие пластических деформаций в сечении и определяемый по формулам (8.6) и (8.7) при условии выполнения требований 8.32;

- здесь и далее в расчетах по прочности минимальный момент сопротивления сечения нетто, определяемый с учетом эффективной ширины пояса .

При одновременном действии в сечении момента M и поперечной силы Q коэффициент следует определять по формулам:

при

; (8.6)

при

при , (8.7)

где - коэффициент, принимаемый у двутавровых, коробчатых и тавровых сечений - по таблице 8.16, для кольцевых сечений - 1,15, для прямоугольных сплошных и Н-образных - 1,25;

- среднее касательное напряжение в стенке балки;

; ; - для коробчатых сечений;

- для двутавровых сечений,

здесь - предельная поперечная сила, определяемая по формуле

, (8.8)

причем принимается по формуле (8.27).

Таблица 8.16

Значения коэффициента при отношении площадей , равном
0,01 0,1 0,2 0,3 0,4 0,5 0,6 0,7 0,8 0,9 1,0
0 1,243 1,248 1,253 1,258 1,264 1,269 1,274 1,279 1,283 1,267 1,243
0,1 1,187 1,191 1,195 1,199 1,202 1,206 1,209 1,212 1,214 1,160 -
0,2 1,152 1,155 1,158 1,162 1,165 1,168 1,170 1,172 1,150 - -
0,3 1,128 1,131 1,133 1,136 1,139 1,142 1,144 1,145 1,097 - -
0,4 1,110 1,113 1,115 1,118 1,120 1,123 1,125 1,126 1,069 - -
0,5 1,097 1,099 1,102 1,104 1,106 1,109 1,110 1,106 1,061 - -
0,6 1,087 1,089 1,091 1,093 1,095 1,097 1,099 1,079 - - -
0,7 1,078 1,080 1,082 1,084 1,086 1,088 1,090 1,055 - - -
0,8 1,071 1,073 1,075 1,077 1,079 1,081 1,082 1,044 - - -
0,9 1,065 1,067 1,069 1,071 1,073 1,074 1,076 1,036 - - -
1,0 1,060 1,062 1,064 1,066 1,067 1,069 1,071 1,031 - - -
2,0 1,035 1,036 1,037 1,038 1,039 1,040 1,019 - - - -
3,0 1,024 1,025 1,026 1,027 1,028 1,029 1,017 - - - -
4,0 1,019 1,019 1,020 1,021 1,021 1,022 1,015 - - - -
5,0 1,015 1,015 1,016 1,017 1,018 1,018 - - - - -

Примечания.

1. Для коробчатых сечений площадь следует принимать равной сумме площадей стенок.

2. Для таврового сечения площадь .

Эффективную ширину пояса при вычислении следует определять по формуле

, (8.9)

где - коэффициент приведения неравномерно распределенных напряжений на ширине участков пояса к условным равномерно распределенным напряжениям по всей эффективной ширине пояса , принимаемый по таблице 8.17;

- ширина участка пояса, заключенная в рассматриваемом сечении между двумя точками с максимальными напряжениями (тогда ) или между такой точкой и краем пояса , при этом должны выполняться условия b >= 0,04l и (в противном случае );

l - длина пролета разрезной балки или расстояние между точками нулевых моментов в неразрезной балке.

Таблица 8.17

1,0 1 0,25 0,65
0,7 1 0,20 0,60
0,5 0,85 0,10 0,52
0,33 0,72 0 0,43

Обозначения, принятые в таблице 8.17:

, - максимальное и минимальное напряжения на данном участке пояса шириной , определяемые расчетом пространственной конструкции в упругой стадии.

Примечание. При наличии вырезов в ортотропных плитах для пропуска тела пилона, обрывов плиты в отсеках многосекционного коробчатого сечения, при других нарушениях регулярности конструкции, а также в сечениях, где приложены сосредоточенные силы, значения коэффициента ню следует определять по расчету.

8.27. Расчет по прочности элементов, изгибаемых в двух главных плоскостях, следует выполнять:

с двутавровыми и коробчатыми сечениями с двумя осями симметрии - по формуле

; (8.10)

с сечениями других типов - по формуле

, (8.11)

где , - коэффициенты, определяемые по формулам (8.6) и (8.7) как независимые величины для случаев изгиба относительно осей x и y;

, - коэффициенты, определяемые:

для двутавровых сечений с двумя осями симметрии - по формулам:

; (8.12)

; (8.13)

для коробчатых сечений с двумя осями симметрии - по формулам:

; (8.14)

, (8.15)

где

; (8.16)

. (8.17)

Элементы, подверженные действию осевой силы с изгибом

8.28. Расчет по прочности внецентренно сжатых, сжато-изгибаемых, внецентренно растянутых и растянуто-изгибаемых элементов при изгибе в одной из главных плоскостей следует выполнять по формуле

, (8.18)

где M - приведенный изгибающий момент;

- коэффициент;

- коэффициент, определяемый по формулам (8.6) и (8.7).

Приведенный изгибающий момент M при гибкости элементов для сечений, находящихся в пределах двух средних четвертей длины шарнирно-опертого стержня и всей длины стержня, защемленного по концам, следует определять по формуле

, (8.19)

где - момент, действующий в проверяемом сечении;

N - продольная сила, действующая в проверяемом сечении со своим знаком ("плюс" - растяжение);

- эйлерова критическая сила в плоскости действия момента, вычисленная для соответствующих закреплений стержня;

при допускается принимать .

Коэффициент следует определять:

для элементов двутаврового, коробчатого и таврового сечений с одной осью симметрии по таблице 8.18 - в случае если напряжения в меньшем поясе (с площадью ) от момента и продольной силы одинаковых знаков, и по таблице 8.19 - в случае если напряжения в меньшем поясе от момента и продольной силы разных знаков;

для элементов сплошного прямоугольного и Н-образного сечений - по формуле

; (8.20)

для элементов кольцевого сечения - по формуле

, (8.21)

где

Таблица 8.18

Значения коэффициента при
0,05 0,2 0,4 0,6 0,8 0,95
При
0,5 1 2 0,5 1 2 0,5 1 2 0,5 1 2 0,5 1 2 0,5 1 2
0 1 1 1 1 1 1 1 1 1 1 1 1 1 1 1 1 1 1
0,5 0,53 0,55 0,57 0,63 0,68 0,78 0,77 0,85 0,92 0,89 0,93 0,96 0,96 0,98 0,99 0,99 0,99 0,997
1 0,067 0,09 0,14 0,26 0,36 0,56 0,53 0,70 0,83 0,78 0,87 0,93 0,92 0,95 0,97 0,98 0,99 0,994

Примечания.

1. .

2. Силу N следует принимать со знаком "плюс".

3. Промежуточные значения коэффициента пси определяются линейной интерполяцией.

Таблица 8.19

Значения коэффициента при
-0,05 -0,2 -0,4 -0,6 -0,8 -0,95
При
0,5 1 2 0,5 1 2 0,5 1 2 0,5 1 2 0,5 1 2 0,5 1 2
0 0,9 0,9 0,9 0,6 0,6 0,6 0,2 0,2 0,2 -0,2 -0,2 -0,2 -0,6 -0,6 -0,6 -0,9 -0,9 -0,9
0,5 0,42 0,40 0,38 0,17 0,12 0,02 -0,17 -0,25 -0,32 -0,49 -0,53 -0,56 -0,76 -0,78 -0,79 -0,94 -0,94 -0,95
1 -0,07 -0,09 -0,14 -0,27 -0,36 -0,56 -0,53 -0,70 -0,83 -0,78 -0,87 -0,93 -0,92 -0,95 -0,97 -0,98 -0,99 -0,99

Примечания.

1. .

2. Силу N следует принимать со знаком "минус".

3. Промежуточные значения коэффициента пси определяются линейной интерполяцией.

Для других сечений, а также при других закреплениях концов элементов расчет по прочности следует производить по формуле

. (8.22)

В формулах (8.20) - (8.22) обозначения те же, что и в формуле (8.18).

8.29. Расчет по прочности внецентренно сжатых, сжато-изгибаемых, внецентренно растянутых и растянуто-изгибаемых элементов при изгибе в двух главных плоскостях следует выполнять:

для элементов двутаврового, коробчатого и таврового сечений с одной осью симметрии, а также для элементов сплошного прямоугольного и кольцевого сечений - по формуле

, (8.23)

где

,(8.24)

, - приведенные изгибающие моменты по 8.28;

, , - коэффициенты, принимаемые по 8.28 и 8.26, причем

;

для других сечений, а также при других закреплениях концов элементов расчет по прочности следует производить по формуле

. (8.25)

В основных случаях, когда приведенных данных для определения и недостаточно, расчет на прочность производят по формуле (8.25), принимая .

8.30. Значения касательных напряжений в сечениях стенки изгибаемых элементов при должны удовлетворять условию

, (8.26)

где

; (8.27)

, - значения минимального и максимального касательных напряжений в сечении стенки, вычисленные в предположении упругой работы.

При наличии ослабления стенки отверстиями болтовых соединений вместо t в формулу (8.26) следует подставлять значение

, (8.28)

здесь a - шаг болтов; d - диаметр отверстий.

8.31. Для стенок балок, рассчитываемых в 8.26 - 8.29, должно выполняться условие

, , (8.29)

где - нормальные (положительные при сжатии) напряжения в проверяемой точке (x, y) срединной плоскости стенки, параллельные оси балки;

- такие же напряжения, перпендикулярные оси балки, определяемые согласно Приложению X;

- коэффициент, равный 1,15 при и 1,10 при ; (в ред. Изменения N 1, утв. Приказом Минстроя РФ от 03.12.2016 N 879/пр)

- касательное напряжение в проверяемой точке стенки балки.

8.32. Элементы, воспринимающие усилия разных знаков, после проверки прочности с учетом допущения развития ограниченных пластических формаций должны быть проверены также по формуле

, (8.30)

где , - соответственно расчетные максимальные и минимальные (со своими знаками) нормальные напряжения в проверяемой точке, вычисленные в предположении упругой работы материала;

, - касательные напряжения в проверяемой точке (с учетом их знаков), вычисленные соответственно от тех же нагрузок, что и .

При невыполнении указанного условия расчет по прочности следует выполнить на наибольшие усилия для упругой стадии работы.

Расчет на прочность и ползучесть стальных канатов

8.33. Расчет по прочности стальных канатов гибких несущих элементов в вантовых и висячих мостах, а также напрягаемых элементов предварительно напряженных конструкций следует выполнять по формуле

, (8.31)

где - расчетное сопротивление канатов;

m - коэффициент условий работы, принимаемый по таблице 8.15;

- коэффициент условий работы, определяемый по Приложению У.

Расчетное сопротивление для канатов и пучков из параллельно уложенных высокопрочных проволок определяется по формуле (8.3), для канатов одинарной свивки и закрытых несущих - по формулам

или , (8.32)

где - значение разрывного усилия каната в целом, указанное в государственном стандарте или технических условиях;

согласно 8.17;

- сумма разрывных усилий всех проволок в канате;

k - коэффициент агрегатной прочности витого каната, определяемый по таблице 8.20.

Таблица 8.20

Канат Коэффициент k при кратности свивки
6 8 10 12 14 16
Одинарной свивки 0,89 0,93 0,96 0,97 0,98 0,99
Закрытый несущий 0,87 0,91 0,94 0,95 0,96 0,97

8.34. Продольную ползучесть стальных оцинкованных витых канатов с металлическим сердечником - одинарной свивки и закрытых несущих, подвергнутых предварительной вытяжке, следует определять по формуле

, (8.33)

где - напряжение в канате от усилия, подсчитанного от воздействия нормативных постоянных нагрузок и 1/3 нормативной временной нагрузки;

- нормативное сопротивление каната;

e - основание натуральных логарифмов.

8.35. Поперечную ползучесть канатов, указанных в 8.34, следует определять по формуле

. (8.34)

Расчеты по устойчивости

8.36. Расчет при плоской форме потери устойчивости сплошностенчатых элементов замкнутого и открытого сечений, подверженных центральному сжатию, сжатию с изгибом и внецентренному сжатию при изгибе в плоскости наибольшей гибкости, следует выполнять по формуле

, (8.35)

где - коэффициент продольного изгиба, определяемый по таблицам Ф.1 - Ф.3 Приложения Ф в зависимости от гибкости элемента и приведенного относительного эксцентриситета ;

m - здесь и в 8.38 - 8.41 - коэффициент условий работы, принимаемый по таблице 8.15.

Гибкость элемента следует определять по формуле

, (8.36)

где - расчетная длина;

i - радиус инерции сечения относительно оси, перпендикулярной плоскости наибольшей гибкости (плоскости изгиба).

Приведенный относительный эксцентриситет следует определять по формуле

, (8.37)

где - коэффициент влияния формы сечения, определяемый по Приложению Ф;

= e/ - относительный эксцентриситет плоскости изгиба, принимаемый при центральном сжатии равным нулю;

e - действительный эксцентриситет силы N при внецентренном сжатии и расчетный эксцентриситет при сжатии с изгибом;

- ядровое расстояние.

Расчетный эксцентриситет e в плоскости изгиба при сжатии с изгибом следует определять по формуле

, (8.38)

где N, M - расчетные значения продольной силы и изгибающего момента.

Ядровое расстояние по направлению эксцентриситета следует определять по формуле

, (8.39)

где - момент сопротивления сечения брутто, вычисляемый для наиболее сжатого волокна.

Расчетные значения продольной силы N и изгибающего момента M в элементе следует принимать для одного и того же сочетания нагрузок из расчета системы по недеформированной схеме в предположении упругих деформаций стали.

При этом значения M следует принимать равными:

для элементов постоянного сечения рамных систем - наибольшему моменту в пределах длины элемента;

для элементов с одним защемленным, а другим свободным концом - моменту в заделке, но не менее момента в сечении, отстоящем на треть длины элемента от заделки;

для сжатых поясов ферм, воспринимающих внеузловую нагрузку, - наибольшему моменту в пределах средней трети длины панели пояса, определяемому из расчета пояса как упругой неразрезной балки;

для сжатых стержней с шарнирно опертыми концами и сечениями, имеющими одну ось симметрии, совпадающую с плоскостью изгиба, - моменту, определяемому по формулам таблицы 8.21.

Таблица 8.21

Относительный эксцентриситет, соответствующий Расчетные значения M при условной гибкости стержня

Обозначения, принятые в таблице 8.21:

- наибольший изгибающий момент в пределах длины стержня;

- наибольший изгибающий момент в пределах средней трети длины стержня, но не менее 0,5;

- относительный эксцентриситет, определяемый по формуле

;

- условная гибкость, определяемая по формуле ,

где - коэффициент, принимаемый по таблице Ф.4 Приложения Ф.

Примечание. Во всех случаях следует принимать .

Для сжатых стержней с шарнирно-опертыми концами и сечениями, имеющими две оси симметрии, расчетные значения приведенных относительных эксцентриситетов следует определять по СП 16.13330, принимая при этом равным и равным , определяемому по формуле

, (8.40)

где - больший из изгибающих моментов, приложенных на шарнирно-опертых концах сжатого стержня указанного типа.

8.37. Расчет при плоской форме потери устойчивости сквозных элементов замкнутого сечения, ветви которых соединены планками или перфорированными листами, при центральном сжатии, сжатии с изгибом и внецентренном сжатии следует выполнять:

элемента в целом в плоскости действия изгибающего момента или предполагаемого (при центральном сжатии) изгиба, перпендикулярной плоскости планок или перфорированных листов, - по формуле (8.35);

элемента в целом в плоскости действия изгибающего момента или предполагаемого (при центральном сжатии) изгиба, параллельной плоскости планок или перфорированных листов, - по формуле (8.35) с определением коэффициента продольного изгиба по таблицам Ф.1 - Ф.3 Приложения Ф в зависимости от приведенной гибкости ;

отдельных ветвей - по формуле (8.35) в зависимости от гибкости ветви .

Гибкость ветви следует определять по формуле (8.36), принимая за расчетную длину расстояние между приваренными планками (в свету) или расстояние между центрами крайних болтов соседних планок, или равное 0,8 длины отверстия в перфорированном листе и за i - радиус инерции сечения ветви относительно собственной оси, перпендикулярной плоскости планок или перфорированных листов.

Приведенную гибкость сквозного элемента в плоскости соединительных планок и перфорированных листов следует определять по формуле

, (8.41)

где - гибкость элемента в плоскости соединительных планок или перфорированных листов, определяемая по формуле (8.36);

- гибкость ветви.

При подсчете площади сечения, момента инерции и радиуса инерции элемента следует принимать эквивалентную толщину , определяя ее:

для перфорированных листов шириной b, длиной l и толщиной t - по формуле

, (8.42)

где A = bl - площадь листа до образования перфораций;

- суммарная площадь всех перфораций на поверхности листа;

для соединительных планок толщиной t - по формуле

, (8.43)

где - сумма длины всех планок элемента (вдоль элемента);

l - длина элемента.

Сквозные элементы из деталей, соединенных вплотную или через прокладки, следует рассчитывать как сплошные, если наибольшие расстояния между болтами, приваренными планками (в свету), или между центрами крайних болтов соседних планок не превышают:

для сжатых элементов - 40i;

для растянутых элементов - 80i.

Здесь радиус инерции i уголка или швеллера следует принимать для составных тавровых или двутавровых сечений относительно оси, параллельной плоскости расположения прокладок, для крестовых сечений - минимальный. При этом в пределах длины сжатого элемента должно быть не менее двух прокладок.

8.38. Расчет при изгибно-крутильной форме потери устойчивости сплошностенчатых элементов открытого сечения с моментами инерции , подверженных центральному сжатию силой N, следует выполнять по формуле

, (8.44)

где - коэффициент продольного изгиба, определяемый по таблицам Ф.1 - Ф.3Приложения Ф при и

. (8.45)

8.39. Расчет на изгибно-крутильную устойчивость сплошностенчатых элементов замкнутого и открытого сечений с моментами инерции , подверженных сжатию с изгибом и внецентренному сжатию в плоскости наименьшей гибкости, совпадающей с плоскостью симметрии и осью y, следует выполнять по формуле

, (8.46)

где e - действительный эксцентриситет силы N при внецентренном сжатии и расчетный эксцентриситет e = M/N при сжатии с изгибом;

- момент сопротивления сечения брутто, вычисляемый для наиболее сжатого волокна;

- коэффициент продольного изгиба, определяемый по таблицам Ф.1 - Ф.3Приложения Ф при и

. (8.47)

8.40. Расчет при изгибно-крутильной форме потери устойчивости сплошностенчатых элементов замкнутого и открытого сечений, подверженных сжатию с изгибом и внецентренному сжатию в двух плоскостях, следует выполнять по формуле

, (8.48)

где , - действительные эксцентриситеты по направлению осей y и x при внецентренном сжатии и расчетные эксцентриситеты при сжатии с изгибом;

, - координаты наиболее сжатой точки сечения от совместного действия , и N;

- коэффициент продольного изгиба, определяемый по таблицам Ф.1 - Ф.3Приложения Ф при и

. (8.49)

Кроме того, должен быть выполнен расчет по формуле (8.35) в предположении плоской формы потери устойчивости в плоскости оси y с эксцентриситетом (при ) и в плоскости оси x с эксцентриситетом (при ).

8.41. Расчет при изгибно-крутильной форме потери устойчивости сплошностенчатых балок, изгибаемых в одной плоскости, следует выполнять по формуле

, (8.50)

где M - наибольший расчетный изгибающий момент в пределах расчетной длины сжатого пояса балки;

- момент сопротивления сечения балки для крайнего волокна сжатого пояса;

- коэффициент, определяемый по формулам:

при ; (8.51)

при , (8.52)

здесь - коэффициент, определяемый по формулам (8.6) и (8.7);

- коэффициент продольного изгиба, определяемый по таблицам Ф.1 - Ф.3Приложения Ф при и гибкости из плоскости стенки

. (8.53)

8.42. Расчет при изгибно-крутильной форме потери устойчивости сплошностенчатых балок, изгибаемых в двух плоскостях, следует выполнять по формуле (8.50), при этом коэффициент следует принимать по таблицам Ф.1 - Ф.3 Приложения Ф при .

Здесь - коэффициент, принимаемый по Приложению Ф;

- относительный эксцентриситет, определяемый по формуле

, (8.54)

где - наибольшее напряжение в точке на боковой кромке сжатого пояса от изгибающего момента в горизонтальной плоскости в сечении, находящемся в пределах средней трети незакрепленной длины сжатого пояса балки;

- напряжение в сжатом поясе балки от вертикальной нагрузки в том же сечении.

8.43. Проверка общей устойчивости разрезной балки и сжатой зоны пояса неразрезной балки не выполняется в случае, если сжатый пояс объединен с железобетонной или стальной плитой.

Расчет по устойчивости полок и стенок элементов, не подкрепленных ребрами жесткости

8.44. Расчет по устойчивости полок и стенок прокатных и составных сварных центрально- и внецентренно сжатых, а также сжато-изгибаемых и изгибаемых элементов постоянного поперечного сечения, не подкрепленных ребрами жесткости (рисунок 8.1), следует выполнять по теории призматических складчатых оболочек.

Рисунок 8.1. Схемы расчетных сечений элементов, не подкрепленных ребрами жесткости

8.45. Устойчивость полок и стенок элементов, не подкрепленных ребрами жесткости, при среднем касательном напряжении, не превышающем , допускается обеспечивать назначением отношения высоты стенки (h, ) или ширины полки (, ) к толщине (t, , , ) не более (здесь - коэффициент, - приведенное критическое напряжение).

Коэффициент следует определять:

для пластинок шириной , h, опертых по одной стороне (рисунок 8.1, б - е), - по формуле

; (8.55)

для пластинок шириной , , опертых по двум сторонам (рисунок 8.1, а, б, г), - по формуле

. (8.56)

В формулах (8.55) и (8.56):

- коэффициент защемления пластинки, определяемый по формулам таблицы 8.22;

- коэффициент, определяемый (для сечений брутто) по формуле

, (8.57)

где , - максимальное и минимальное продольные нормальные напряжения по продольным границам пластинки, положительные при сжатии, определяемые по формулам (8.4) - (8.25) при невыгодном для устойчивости пластинки загружении, при этом коэффициенты , , , , , следует принимать равными 1,0.

Таблица 8.22

Тип сечения элемента Коэффициент защемления пластинки
стенка полка - для углового сечения при
1 0,667 0,5
Коробчатое (рисунок 4.1, а)
Двутавровое (рисунок 4.1, б)
Тавровое (рисунок 4.1, в)
Швеллерное (рисунок 4.1, г)
Угловое для полки высотой h (рисунок 4.1, д) -
Крестовое (рисунок 4.1, е)

Официальный источник электронного документа содержит неточность: имеется ввиду рисунок 8.1.

Обозначения, принятые в таблице 8.22:

; ; ; ; ; .

Примечания.

1. При отрицательном значении знаменателя в формулах таблицы 8.22, а также при равенстве его нулю следует принимать .

2. Для углового сечения с отношением , не указанным в таблице 8.22, значение следует определять по интерполяции, при этом для значение следует принимать равным 100.

Приведенное критическое напряжение для пластинки следует определять по формулам таблицы 8.23 в зависимости от критических напряжений , за которые следует принимать действующие напряжения (здесь m - коэффициент условий работы, принимаемый по таблице 8.15).

Таблица 8.23

Класс прочности стали Значения , МПа Формулы для определения или его значения, МПа
С235 До 176
Свыше 176 до 205
Свыше 205 385
С325 - С345 До 186
Свыше 186 до 284
Свыше 284 524
С390 До 206
Свыше 206 до 343
Свыше 343 591

Расчет по устойчивости полок и стенок элементов, подкрепленных ребрами жесткости

8.46. Расчет по устойчивости полок и стенок элементов, подкрепленных ребрами жесткости, следует выполнять по теории призматических складчатых оболочек, укрепленных поперечными диафрагмами.

Допускается выполнять расчет по устойчивости пластинок, полок и стенок указанных элементов согласно Приложению Х.

8.47. Устойчивость пластинок ортотропных плит допускается обеспечивать назначением отношения их толщины к ширине в соответствии с 8.45, при этом:

для полосовых продольных ребер коэффициент следует определять по формуле (8.55) при коэффициенте защемления и свесе полки тавра (рисунок 8.2, а), равном при или при ;

для участка листа ортотропной плиты между соседними продольными полосовыми ребрами коэффициент следует определять по формуле (8.56) при коэффициенте защемления , высоте стенки , равной расстоянию между продольными ребрами, и свесе полки , равном высоте продольного ребра (рисунок 8.2, б), но не более ; здесь и - коэффициенты, определяемые по 8.55.

Рисунок 8.2. Схемы расчетных сечений пластинок ортотропных плит. Расчетные длины

8.48. Расчетные длины элементов главных ферм, за исключением элементов перекрестной решетки, следует принимать по таблице 8.24.

Таблица 8.24

Направление продольного изгиба Расчетная длина
поясов опорных раскосов и опорных стоек <*> прочих элементов решетки
1. В плоскости фермы l l 0,8l
2. В направлении, перпендикулярном плоскости фермы (из плоскости фермы)

<*> Расчетную длину опорных раскосов и опорных стоек у промежуточных опор неразрезных пролетных строений принимают как для прочих элементов решетки.

Обозначения, принятые в таблице 8.24:

l - геометрическая длина элемента (расстояние между центрами узлов) в плоскости фермы;

- расстояние между узлами, закрепленными от смещения из плоскости фермы.

8.49. Расчетную длину элемента, по длине которого действуют разные сжимающие усилия и (причем ), из плоскости фермы (с треугольной решеткой со шпренгелем или полураскосной и т.д.) следует вычислять по формуле

, (8.58)

- расстояние между узлами, закрепленными от смещения из плоскости фермы.

Расчет по устойчивости в этом случае следует выполнять на усилие .

Применение формулы (8.58) допускается при растягивающей силе , в этом случае значение следует принимать со знаком "минус", а .

8.50. Расчетные длины элементов перекрестной решетки главной фермы следует принимать:

в плоскости фермы - равными 0,8l, где l - расстояние от центра узла фермы до точки их пересечения;

из плоскости фермы:

для сжатых элементов - по таблице 8.25;

для растянутых элементов - равными полной геометрической длине элемента (, где см. таблицу 8.24).

Таблица 8.25

Конструкция узла пересечения элементов решетки Расчетная длина из плоскости фермы при поддерживающем элементе
растянутом неработающем сжатом
Оба элемента не прерываются l
Поддерживающий элемент прерывается и перекрывается фасонкой:
рассматриваемый элемент не прерывается
рассматриваемый элемент прерывается и перекрывается фасонкой - -

8.51. При проверке общей устойчивости балки расчетную длину сжатого пояса следует принимать равной:

расстоянию между узлами фермы продольных связей - при наличии продольных связей в зоне верхних и нижних поясов и поперечных связей в опорных сечениях;

расстоянию между фермами поперечных связей - при наличии продольных связей только в зоне растянутых поясов, при этом фермы поперечных связей должны быть центрированы с узлами продольных связей, а гибкость поясов указанных ферм не должна превышать 100;

пролету балки - при отсутствии в пролете продольных и поперечных связей;

расстоянию от конца консоли до ближайшей плоскости поперечных связей за опорным сечением консоли - при монтаже пролетного строения внавес или продольной надвижкой.

8.52. Расчетную длину сжатого пояса главной балки или фермы "открытого" пролетного строения, не имеющего продольных связей по этому поясу, следует определять, как правило, из расчета по устойчивости стержня на упругих опорах, сжатого переменной по длине продольной силой.

Допускается определять указанную расчетную длину по формуле

, (8.59)

где l - длина пояса, равная расчетному пролету для балок и ферм с параллельными поясами, полной длине пояса для балок с криволинейным верхним поясом и ферм с полигональным верхним поясом;

- коэффициент расчетной длины.

Коэффициент расчетной длины для поясов балок и ферм с параллельными поясами, а также для фермы с полигональным или балки с криволинейным верхним поясом следует определять по таблице 8.26, при этом наибольшее перемещение следует принимать для рамы, расположенной посредине пролета.

Таблица 8.26

Коэффициент Коэффициент
0 0,696 150 0,268
5 0,524 200 0,246
10 0,443 300 0,225
15 0,396 500 0,204
30 0,353 1000 0,174
60 0,321 Св. 1000
100 0,290  

Обозначения, принятые в таблице 8.26:

где d - расстояние между рамами, закрепляющими пояс от поперечных горизонтальных перемещений;

- наибольшее горизонтальное перемещение узла-рамы (исключая опорные рамы) от силы F = 1;

- среднее (по длине пролета) значение момента инерции сжатого пояса балки (фермы) относительно вертикальной оси.

Примечания.

1. Если полученная по данным таблицы 8.26 расчетная длина , то ее определяют из расчета по устойчивости стержня на упругих опорах.

2. Для промежуточных значений коэффициент определяют по линейной интерполяции.

8.53. Расчет арок по устойчивости выполняется с учетом совместной работы арок и элементов проезжей части и поддерживающих ее элементов.

При проверке общей устойчивости арки сплошного постоянного сечения допускается определять расчетную длину в ее плоскости по формуле

, (8.60)

где l - длина пролета арки;

- коэффициент (здесь f - стрела подъема арки);

- коэффициент, принимаемый по таблице 8.27.

Таблица 8.27

Тип арки Коэффициент
1. Двухшарнирная, с ездой понизу с гибкой затяжкой <*>, соединенной с аркой подвесками
2. Бесшарнирная
3. Трехшарнирная Меньшее из и
4. Двухшарнирная с неразрезной балкой жесткости, соединенной с аркой стойками

<*> При отношении жесткостей затяжки и арки, большем 0,8, расчетная длина арки определяется как для двухшарнирной арки с неразрезной балкой жесткости, соединенной с аркой стойками.

Обозначения, принятые в таблице 8.27:

, - коэффициенты, принимаемые по таблице 8.28;

- см. формулу (8.60);

,

здесь и - моменты инерции сечений соответственно балки жесткости и арки.

Таблица 8.28

Коэффициенты Коэффициенты
0,1 28,5 22,5 0,5 36,8 44,0
0,2 45,4 39,6 0,6 30,5 -
0,3 46,5 47,3 0,8 20,0 -
0,4 43,9 49,2 1,0 14,1 -

Примечание. Для промежуточных значений коэффициенты и определяют по линейной интерполяции.

Значение для двухшарнирной арки переменного сечения при изменении ее момента инерции в пределах +/- 10% среднего его значения по длине пролета допускается определять по поз. 4 таблицы 8.27, принимая при этом в четверти пролета.

Во всех случаях расчетная длина арки в ее плоскости должна быть не менее расстояния между узлами прикрепления стоек или подвесок.

8.54. Расчетную длину элементов продольных и поперечных связей с любой решеткой, кроме крестовой, следует принимать равной:

в плоскости связей - расстоянию между центрами прикреплений элементов связей к главным фермам или балкам, а также балкам проезжей части;

из плоскости связей - расстоянию между точками пересечения оси элемента связей с осями крайних рядов болтов прикрепления фасонок связей к главным фермам или балкам, а также балкам проезжей части.

Расчетную длину перекрещивающихся элементов связей следует принимать:

в плоскости связей - равной расстоянию от центра прикрепления элемента связей к главной ферме или балке, а также балке проезжей части - до точки пересечения осей связей;

из плоскости связей: для растянутых элементов - равной ; для сжатых элементов - по таблице 8.25, принимая при этом за l расстояние от точки пересечения оси элемента связей с осью крайнего ряда болтов прикрепления фасонок связей до точки пересечения осей элементов связей, за - расстояние .

Для элементов связей с любой решеткой, кроме крестовой, из одиночных уголков расчетную длину следует принимать равной расстоянию l между крайними болтами прикреплений их концов. При крестовой решетке связей . Радиус инерции сечений следует принимать минимальным ().

8.55. В сплошностенчатых балках расчетную длину опорных стоек, состоящих из одного или нескольких опорных ребер жесткости и примыкающих к ним участков стенки, следует определять по формуле

, (8.61)

где - коэффициент расчетной длины;

- длина опорной стойки балки, равная расстоянию от верха домкратной балки до верхнего пояса или до ближайшего узла поперечных связей.

Коэффициент расчетной длины опорной стойки следует определять по формуле

, (8.62)

здесь

,

где - момент инерции сечения опорной стойки относительно оси, совпадающей с плоскостью стенки;

, - соответственно момент инерции сечения и длина распорки поперечных связей; в "открытых" пролетных строениях в формуле (8.62) следует принимать n = 0.

При определении площади, момента инерции и радиуса инерции опорной стойки с одним ребром жесткости в состав ее сечения следует включать кроме опорного ребра жесткости примыкающие к нему участки стенки шириной (здесь t - толщина сечения, - коэффициент, принимаемый по таблице 8.29).

Таблица 8.29

Класс прочности стали Значение коэффициента
С235 14
С325 - С345 12
С390 11,5

При определении площади, момента инерции и радиуса инерции опорной стойки с несколькими ребрами жесткости при расстояниях между ними (здесь - коэффициент, принимаемый по таблице 8.30) в состав ее сечения следует включать все указанные ребра жесткости, участки стенки между ними, а также примыкающие с внешней стороны к крайним ребрам жесткости участки стенки шириной , где следует принимать по таблице 8.29.

Таблица 8.30

Класс прочности стали Значение коэффициента
С235 44
С325 - С345 38
С390 36

Предельная гибкость стержневых элементов

8.56. Гибкость стержневых элементов не должна превышать значений, приведенных в таблице 8.31.

Таблица 8.31

Элементы конструкций Предельная гибкость стержневых элементов мостов
железнодорожных и пешеходных автодорожных и городских
Сжатые и сжато-растянутые элементы главных ферм; стойки опор; растянутые элементы поясов главных ферм 100 120
Растянутые элементы главных ферм, кроме поясов; элементы, служащие для уменьшения расчетной длины lef 150 150
Сжатые элементы продольных связей главных ферм и продольных балок, а также тормозных связей 130 150
То же, растянутые 130 180
Элементы поперечных связей:
на опоре 130 150
в пролете 150 150
Пояса ферм поперечных связей, в уровне которых отсутствуют продольные связи, или плита, объединенная с поясами главных балок для совместной работы 100 100
Ветви составного сжатого или сжато-растянутого элемента 40 40
То же, растянутого 50 50

Расчет на выносливость элементов стальных конструкций и их соединений

8.57. Расчет на выносливость элементов стальных конструкций и их соединений (кроме канатов) следует выполнять по формулам:

; (8.63)

, (8.64)

где - абсолютное наибольшее нормальное напряжение (растягивающее - положительное);

- абсолютное наибольшее скалывающее напряжение при расчете угловых швов на срез (его направление принимается за положительное);

- коэффициент;

m - коэффициент условий работы, принимаемый по таблице 8.15.

Напряжения и следует определять соответственно по формулам таблицы 8.32 и формулам (8.85) - (8.96)от нагрузок, указанных в 6.1 - 6.3.

Таблица 8.32

Напряженное состояние Формулы для определения
Растяжение или сжатие
Изгиб в одной из главных плоскостей
Растяжение или сжатие с изгибом в одной из главных плоскостей
Изгиб в двух главных плоскостях
Растяжение или сжатие с изгибом в двух главных плоскостях

Обозначения, принятые в таблице 8.32:

M, , - приведенные изгибающие моменты в рассматриваемом сечении, определяемые согласно 8.28;

- коэффициент, принимаемый равным 1,05.

Примечание. При расчете элементов с фрикционными соединениями на высокопрочных болтах в формулы таблицы 8.32 подставляются характеристики сечения брутто.

Коэффициент следует определять по формуле

, (8.65)

где - коэффициент, равный 1,0 для железнодорожных и пешеходных и 0,7 - для автодорожных и городских мостов;

- коэффициент, зависящий от длины загружения линии влияния при определении ; (в ред. Изменения N 1, утв. Приказом Минстроя РФ от 03.12.2016 N 879/пр)

, - коэффициенты, учитывающие марку стали и нестационарность режима нагруженности;

- эффективный коэффициент концентрации напряжений, принимаемый по таблице Ц.1 Приложения Ц;

- коэффициент асимметрии цикла переменных напряжений.

Коэффициент следует определять по формулам:

; (8.66)

, (8.67)

где , , , - наименьшие и наибольшие по абсолютной величине значения напряжений со своими знаками, определяемые в том же сечении, по тем же формулам, что и и ; при этом следует принимать .

В формуле (8.65) верхние знаки в скобках следует принимать при расчете по формуле (8.63), если , и всегда - при расчете по формуле (8.64).

Коэффициенты и следует принимать по таблице 8.33.

Таблица 8.33

Классы прочности стали Значения коэффициентов
С235 0,64 0,20
С325 - С345 0,72 0,24
С390 0,81 0,20

При вычислении коэффициентов для сварных швов принимаются те же значения коэффициентов и , что и для металла элемента.

Коэффициент следует принимать равным:

при ;

при ,

где значения и следует принимать по таблице 8.34.

Таблица 8.34

Эффективный коэффициент концентрации напряжений Значения коэффициентов ню и кси для классов прочности стали
С235 С325 - С390
1,0 1,45 0,0205 1,65 0,0295
1,1 1,48 0,0218 1,69 0,0315
1,2 1,51 0,0232 1,74 0,0335
1,3 1,54 0,0245 1,79 0,0355
1,4 1,57 0,0258 1,83 0,0375
1,5 1,60 0,0271 1,87 0,0395
1,6 1,63 0,0285 1,91 0,0415
1,7 1,66 0,0298 1,96 0,0436
1,8 1,69 0,0311 2,00 0,0455
1,9 1,71 0,0325 2,04 0,0475
2,0 1,74 0,0338 2,09 0,0495
2,2 1,80 0,0364 2,18 0,0536
2,3 1,83 0,0377 2,23 0,0556
2,4 1,86 0,0390 2,27 0,0576
2,5 1,89 0,0404 2,31 0,0596
2,6 1,92 0,0417 2,36 0,0616
2,7 1,95 0,0430 2,40 0,0636
3,1 2,07 0,0483 2,57 0,0716
3,2 2,10 0,0496 2,62 0,0737
3,4 2,15 0,0523 2,71 0,0777
3,5 - - 2,75 0,0797
3,7 - - 2,84 0,0837
4,4 - - 3,15 0,0977

8.58. Расчет канатов на выносливость следует выполнять по формуле

, (8.69)

где - коэффициент условий работы каната при расчете на выносливость, равный: для гибких несущих элементов вантовых и висячих мостов без индивидуального регулирования усилий в канатах - 0,83;

для напрягаемых элементов предварительно напряженных конструкций и гибких несущих элементов вантовых и висячих мостов при индивидуальном регулировании усилий в канатах, в том числе по величине стрелы прогиба при монтаже канатов, - 1,0;

- расчетное сопротивление канатов, определяемое по 8.33;

- коэффициент, учитывающий переменность напряжений и определяемый по формуле

, (8.70)

где , , - коэффициенты, принимаемые согласно 8.57;

- эффективный коэффициент концентрации напряжений, значения которого принимаются по таблице Ц.2 Приложения Ц;

m - коэффициент условий работы, принимаемый по таблице 8.15.

Особенности расчета несущих элементов и соединений

Элементы главных ферм

8.59. В расчетах элементов и соединений решетчатых главных ферм по прочности при отношении высоты сечения к длине элемента свыше 1/15 следует учитывать изгибающие моменты от жесткости узлов. Это требование относится и к расчетам на выносливость элементов решетчатых главных ферм с узловыми соединениями на высокопрочных болтах; при сварных узловых соединениях расчет на выносливость следует выполнять с учетом изгибающих моментов от жесткости узлов независимо от величины отношения высоты сечения к длине элементов.

Расчет по прочности решетчатых главных ферм, имеющих в уровне проезда пояс, работающий на совместное действие осевых усилий и изгиба от внеузлового приложения нагрузки, следует выполнять с учетом жесткости узлов указанного пояса независимо от отношения высоты сечения к длине панели. Учет жесткости остальных узлов следует выполнять, как указано выше.

Во всех указанных случаях в расчетах по прочности изгибающие моменты от жесткости узлов следует уменьшать на 20%.

Изгибающие моменты от примыкания связей или горизонтальных диафрагм с эксцентриситетом и от неполной (с учетом 8.22) центровки элементов ферм следует учитывать полностью. Это требование распространяется и на учет изгибающих моментов, возникающих в горизонтальных и наклонных элементах решетчатых главных ферм и связей от их собственного веса. При этом допускается принимать эти изгибающие моменты распределенными по параболе с ординатами посредине длины элемента и на концах его, равными 0,6 момента для свободно опертого элемента.

8.60. В расчетах по устойчивости элементов решетчатых главных ферм изгибающие моменты от жесткости узлов, воздействий связей и поперечных балок допускается не учитывать.

Элементы решетчатых ферм, имеющие замкнутое коробчатое сечение с отношением размеров сторон не более двух, допускается рассчитывать на устойчивость по плоским изгибным формам относительно горизонтальной и вертикальной осей сечения.

8.61. Стойки, распорки, стяжки, связи и другие элементы пролетного строения, используемые для уменьшения свободной длины сжатых элементов, следует рассчитывать на сжатие и растяжение силой, равной 3% продольного усилия в сжатом элементе.

8.62. В арочных мостах с передачей распора на опоры продольные связи между арками следует рассчитывать как элементы балочной фермы, защемленной по концам.

В разрезных балочных пролетных строениях ветровая ферма, образованная поясами главных ферм и продольными связями, принимается разрезной балочной, подвижно-опертой в своей плоскости на порталы или опорные части. В арках и при полигональном очертании поясов ферм допускается определение усилий в поясах ветровой фермы как для плоской фермы с делением полученных результатов на косинус угла наклона данного элемента к горизонтали.

В неразрезных балочных пролетных строениях с ездой понизу ветровые фермы, образованные поясами главных ферм и продольными связями, следует рассчитывать как неразрезные балочные, считая верхнюю подвижно-опертой на упругие опоры - порталы на концевых опорах и на каждой промежуточной опоре главных ферм, а нижнюю опертой на жесткие опоры - опорные части.

8.63. Элементы главных ферм и связей на изгиб от воздействия ветра допускается не рассчитывать.

Опорные порталы следует рассчитывать на воздействие реакций соответствующей ветровой фермы, при этом в нижних поясах балочных пролетных строений следует учитывать горизонтальные составляющие продольных усилий в ногах наклонных опорных порталов.

8.64. Пояса главных ферм и элементы решетки, примыкающие к опорному узлу, следует рассчитывать на осевую силу и изгибающий момент от передаваемых с эксцентриситетом на неподвижную опорную часть продольных сил торможения или тяги, а также на изгибающий момент от эксцентриситета реакции однокатковой опорной части относительно центра опорного узла.

Распределение изгибающих моментов между элементами опорного узла следует принимать согласно 8.22.

8.65. Поперечные подкрепления, образуемые в пролетных строениях коробчатого и П-образного сечений решетчатыми или сплошностенчатыми диафрагмами, а также поперечными ребрами и листами ортотропных плит и стенок балок, должны быть проверены на прочность, устойчивость и выносливость на усилия, определяемые, как правило, пространственным расчетом пролетных строений.

Допускается рассчитывать поперечные подкрепления как рамы или балки, конфигурация которых соответствует поперечнику пролетного строения, а в состав сечения кроме поперечных ребер или диафрагм - решетчатых или сплошностенчатых - входит лист общей шириной, равной 0,2 расстояния между соседними стенками главных балок, но не более расстояния между поперечными подкреплениями.

Поперечные подкрепления в опорных сечениях имеют жесткие опоры в месте расположения опорных частей. Эти подкрепления следует рассчитывать на опорные реакции, местную вертикальную нагрузку и распределенные по контуру поперечного сечения в листах стенок и ортотропных плит касательные напряжения от изгиба и кручения примыкающих к данной опоре пролетов.

Поперечные подкрепления, расположенные в пролете, в том числе в местах приложения сосредоточенных сил (например, усилий от вант), следует рассчитывать с учетом всех внешних сил и касательных напряжений в листах стенок и ортотропных плит от изгиба и кручения.

8.66. В расчетах на прочность и выносливость прямолинейных железнодорожных пролетных строений, расположенных на кривых участках пути радиусом менее 1000 м, следует учитывать усилия, возникающие при кручении пролетного строения как пространственной конструкции.

8.67. При многостадийном возведении конструкции прочность сечений на промежуточных стадиях монтажа следует проверять по формулам (8.4) - (8.25), принимая при этом коэффициенты , , , , , равными 1,0.

8.68. Продольные деформации вант пролетных строений вантовых систем следует определять, принимая приведенный модуль упругости, вычисляемый по формуле

, (8.71)

где E - модуль упругости каната, принимаемый по таблицам 8.13 и 8.14;

- плотность материала каната;

g - ускорение силы тяжести;

l - горизонтальная проекция ванты;

A - площадь поперечного сечения каната;

, - соответственно начальное и конечное значения усилия в ванте - до и после приложения нагрузки, на которую выполняется расчет.

Усилия в вантах следует определять последовательными приближениями.

8.69. Пилоны вантовых и висячих мостов должны быть проверены по прочности и устойчивости на основе деформационных расчетов.

Гибкость пилона при проверке общей устойчивости следует определять с учетом переменной жесткости, условий его закрепления и нагружения на фундаментах и в узлах примыкания ригелей, кабелей и вант.

Для пилонов вантово-балочных мостов следует учитывать следящий эффект от усилий в вантах.

8.70. Конструкции с предварительным напряжением или регулированием должны быть проверены расчетом по прочности и устойчивости на всех этапах выполнения предварительного напряжения или регулирования. При этом следует принимать коэффициенты условий работы по 8.19, коэффициенты надежности по нагрузке (более или менее 1,0) - согласно указаниям раздела 6 и вычисленные для каждого этапа напряжения суммировать. При расчетах следует учитывать в соответствии с Приложением Рпотери напряжений от релаксации, трения и податливости анкеров напрягаемых элементов.

Элементы проезжей части

8.71. Продольные балки проезжей части пролетных строений, не имеющих разрывов продольных балок (специальных узлов с продольно-подвижным опиранием их примыкающих один к другому концов), следует рассчитывать по прочности, по упругой стадии работы с учетом дополнительных усилий от их совместной работы с поясами главных ферм, при этом уменьшение усилий в поясах главных ферм допускается учитывать только при включении проезжей части в совместную работу с ними специальными горизонтальными диафрагмами.

8.72. При включении проезжей части в совместную работу с решетчатыми главными фермами в расчетах всех болтосварных пролетных строений независимо от порядка их монтажа уменьшение усилий в поясах главных ферм следует учитывать только по отношению к воздействию временной вертикальной нагрузки.

Учет деформации поясов при определении усилий в проезжей части следует выполнять:

от всех нагрузок - при включении проезжей части в совместную работу с главными фермами одновременно с их монтажом;

только от временной вертикальной нагрузки - при включении проезжей части в совместную работу с главными фермами после передачи постоянной нагрузки на главные фермы.

8.73. Усилия в элементах проезжей части от совместной работы с главными фермами следует определять в предположении, что в горизонтальной плоскости имеют место следующие закрепления: продольные балки к поперечным прикреплены шарнирно; пояс поперечной балки, расположенный в уровне связей, прикреплен к поясам главных ферм жестко, а другой ее пояс - шарнирно.

Расчет по прочности сечений поперечных балок с учетом изгибающих моментов в горизонтальной плоскости, возникающих от совместной работы элементов проезжей части с поясами главных ферм, следует выполнять по формулам (8.10) - (8.17), принимая уменьшенными на 20%.

В расчетах по прочности элементов проезжей части с плитным безбалластным полотном необходимо учитывать усилия в них от включения плит в совместную работу с продольными балками.

8.74. Усилия в продольных балках с накладками ("рыбками") по верхнему поясу или по обоим поясам в сопряжении с поперечными балками следует определять с учетом неразрезности балок и упругой податливости опор. Распределение осевого усилия и изгибающего момента между прикреплениями поясов и стенки продольной балки следует осуществлять с учетом их податливости.

8.75. Продольные балки решетчатых пролетных строений с проезжей частью, не включенной в совместную работу с главными фермами, допускается, независимо от конструктивного оформления прикрепления их поясов в месте примыкания к поперечным балкам, рассчитывать по прочности как разрезные. При этом детали прикрепления поясов и стенки балок к поперечным балкам следует рассчитывать на 0,6 момента в середине пролета разрезной балки с распределением его согласно 8.74. При расчете указанных продольных балок на выносливость изгибающие моменты следует определять по линиям влияния неразрезной балки на упругоподатливых опорах.

8.76. Поперечные балки решетчатых пролетных строений следует рассчитывать как элементы рам, образованных поперечной балкой и примыкающими к узловым фасонкам элементами главных ферм.

Опорные сечения поперечных балок, подвесок, стоек (а при отсутствии подвесок или стоек - и раскосов главных ферм) следует проверять на изгибающие моменты, возникающие в элементах рам, образованных указанными элементами, вследствие изгиба поперечных балок под воздействием вертикальных нагрузок.

Изгибающие моменты в элементах замкнутых поперечных рам для однопутных пролетных строений железнодорожных мостов допускается определять по формулам:

опорный изгибающий момент в поперечной балке

; (8.72)

изгибающий момент в подвеске или стойке:

у края прикрепления поперечной балки

; (8.73)

в уровне центра ближайшего к поперечной балке узла поперечных связей, а при их отсутствии - центра противоположного пояса главной фермы

. (8.74)

В формулах (8.72) и (8.73):

F - опорная реакция поперечной балки;

a - расстояние между осью сечения пояса главной фермы и осью сечения продольной балки;

B - расстояние между осями поясов главных ферм;

- длина панели главной фермы (расстояние между поперечными балками);

H - расчетная длина подвески или стойки из плоскости фермы;

- момент инерции сечения брутто поперечной балки в середине ее длины;

- момент инерции сечения брутто подвески или стойки относительно оси, параллельной плоскости главной фермы;

- момент инерции чистого кручения пояса фермы, примыкающего к поперечной балке.

8.77. В открытых пролетных строениях с ездой понизу поперечные рамы следует рассчитывать на условные горизонтальные силы, приложенные на уровне центра тяжести сечения пояса и равные 2% продольного усилия в сжатом поясе балки или фермы.

8.78. Усилия в элементах проезжей части со стальными ортотропными плитами автодорожных, городских, совмещенных и пешеходных мостов следует определять, применяя пространственные расчетные схемы с дискретным расположением поперечных ребер и учитывая совместную работу плит с главными фермами (балками).

Расчет элементов ортотропной плиты по прочности и устойчивости следует выполнять по Приложению Ш, на выносливость - по специальной методике.

Элементы связей

8.79. Усилия в элементах продольных связей с крестовой, ромбической и треугольной решетками от деформации поясов главных ферм или балок следует определять от вертикальной нагрузки, которая воздействует после включения их в работу.

Усилия в элементах продольных связей, не соединенных с продольными балками или соединенных при наличии разрывов в них по 8.71, допускается определять по формулам:

в раскосе крестовой решетки, когда распоркой связей является поперечная изгибаемая балка

; (8.75)

в других раскосах крестовой решетки

; (8.76)

в раскосе ромбической решетки

; (8.77)

в раскосе треугольной решетки

; (8.78)

в распорке связей с любой решеткой

. (8.79)

В формулах (8.75) - (8.79):

, - усилия соответственно в раскосе и распорке связей;

, - усилия в раскосе соответственно с левой и правой сторон от распорки;

- нормальное напряжение в поясе главной фермы;

- средние (вычисленные с учетом неравномерности распределения изгибающих моментов по длине балки) напряжения в нижнем поясе поперечной балки;

, - площадь сечения соответственно раскоса и распорки связей; в случае когда распоркой является поперечная изгибаемая балка, в формулах (8.75) - (8.78)следует принимать ;

I - момент инерции пояса главной фермы относительно вертикальной оси;

- угол между раскосом связей и поясом главной фермы.

В формулах (8.75) - (8.78) при определении усилий в элементах связей балок со сплошной стенкой вместо следует принимать напряжение в стенке главной балки, вычисленное по площади брутто на уровне расположения плоскостей связей. В формуле (8.75) вместо следует принимать среднее напряжение в стенке поперечной балки на уровне расположения плоскости связей, вычисленное так же, как и .

Усилия в элементах продольных связей с полураскосной решеткой от вертикальной нагрузки допускается не учитывать.

8.80. Уменьшение усилий в поясах главных ферм за счет включения продольных связей в совместную работу в цельносварных пролетных строениях следует учитывать от всей нагрузки, действующей после постановки и закрепления продольных связей, а в болтосварных пролетных строениях - только от временной вертикальной нагрузки.

8.81. Расчет на прочность и выносливость поясов главных ферм с ромбической и треугольной решетками связей, а также крестовой с распорками разной жесткости следует выполнять с учетом возникающих в поясах изгибающих моментов от деформации элементов связей и от деформации поперечных балок проезжей части независимо от вида связей.

Изгибающие моменты в поясе, действующие в плоскости связей с треугольной и ромбической решетками, следует определять по формуле

, (8.80)

где - усилие в распорке связей;

- расстояние между центрами узлов прикрепления элементов к поясу.

Расчет соединений

8.82. Сварные, фрикционные на цилиндрических высокопрочных болтах, болтовые на конических высокопрочных болтах, комбинированные болто-фрикционно-сварные, фланцевые на высокопрочных цилиндрических и конических болтах, а также шарнирные соединения в стальных мостовых конструкциях необходимо рассчитывать на передачу всех усилий, действующих в элементах конструкций, с учетом ослабления сечений отверстиями.

При неравномерном распределении усилий и возможной перегрузке отдельных зон и деталей прикреплений следует вводить коэффициенты условий работы, указанные в таблицах 8.15 и 8.36.

При расчете прикрепления элемента к узлу с одиночной фасонкой допускается не учитывать изгибающие моменты в плоскости, перпендикулярной плоскости фасонки.

Распределение продольного усилия, проходящего через центр тяжести соединения, следует принимать равномерным между болтами или сварными швами прикрепления.

При реконструкции и усилении клепаных пролетных строений расчеты заклепочных соединений надлежит выполнять по указаниям [10]. Дефектные заклепки следует заменять на высокопрочные болты М22 с усилием натяжения не более 177 кН.

8.83. Расчетную высоту сечения сварных швов следует принимать:

для стыковых швов:

деталей, свариваемых с полным проплавлением, - ;

деталей, свариваемых с неполным проплавлением, - ;

для угловых швов:

по металлу шва - ;

по металлу границы сплавления - ,

где - наименьшая из толщин свариваемых деталей;

- наименьшая толщина сечения стыкового шва при сварке деталей с неполным проплавлением;

- наименьший из катетов углового шва;

, - коэффициенты расчетных сечений угловых швов, принимаемые по таблице 8.35.

Таблица 8.35

Вид сварки при диаметре сварочной проволоки d, мм Положение шва Коэффициенты расчетных сечений угловых швов
обозначения при катетах швов , мм
3 - 8 9 - 12 14 - 16 18 и более
Автоматическая под флюсом при
d = 2 - 5
В лодочку 1,1 0,8
1,15 1,0
Нижнее 1,1 0,9 0,8
1,15 1,05 1,0
Полуавтоматическая под флюсом при
d = 1,4 - 2
В лодочку 1,0 0,9 0,8
1,1 1,0
Нижнее 1,0 0,85 0,8
1,05 1,0
Автоматическая и полуавтоматическая в смеси газов при
d = 1,2 - 2 проволоками сплошного сечения и металлопорошковыми в смеси газов
В лодочку 0,95 0,85 0,75
1,05 1,0
Нижнее, горизонтальное, вертикальное 0,9 0,8 0,7
1,0
Ручная, полуавтоматическая порошковой самозащитной проволокой В лодочку, нижнее, горизонтальное, вертикальное, потолочное 0,8 0,7
1,0
Полуавтоматическая проволоками сплошного сечения
d = 1,2 - 2 и металлопорошковыми проволоками в смеси газов
Потолочное 0,7
1,0

Примечание. Значения коэффициентов соответствуют режимам сварки, предусмотренным в [2] и [3].

8.84. Расчет по прочности сварных стыковых соединений следует выполнять:

при сварке деталей из сталей различного уровня прочности, а также при сварке материалами, для которых (в этих случаях должно быть указано в проекте);

при наличии выкружек или ослаблений в зоне стыка, когда

(8.81)

или

, (8.82)

, (8.83)

где - полная длина стыкового шва;

b, t - ширина и толщина стыкуемых деталей;

- площадь нетто ослабленного (например, отверстиями) сечения шва;

A - площадь брутто (или нетто) сечения стыкуемых деталей в зоне стыка.

8.85. Расчет по прочности сварных стыковых соединений в случае центрального растяжения или сжатия следует выполнять по формуле

, (8.84)

где m - коэффициент условий работы, принимаемый по таблице 8.15.

Расчет по прочности сварных стыковых соединений в случае изгиба в одной или двух главных плоскостях, а также действия осевой силы с изгибом в одной или двух главных плоскостях следует выполнять по формулам (8.5) - (8.25), в которых геометрические параметры и коэффициенты , , , , , следует вычислять для сечения стыкового соединения, принимаемого согласно 8.84, а в правой части вместо и подставлять соответственно величины и .

8.86. Прочность сварных соединений с угловыми швами при действии продольных или поперечных сил следует проверять на срез (условный) по двум сечениям (рисунок 8.3):

по металлу шва (сечение 0-1)

; (8.85)

по металлу границы сплавления (сечение 0-2)

, (8.86)

где - полная длина шва;

, - расчетная высота сечения шва;

m - коэффициент условий работы, принимаемый по таблице 8.15.

Рисунок 8.3. Схема расчетных сечений сварного углового шва при расчете на срез

8.87. Расчет по прочности сварных соединений с угловыми швами при действии момента в плоскости, перпендикулярной плоскости расположения швов (рисунок 8.4, а), следует выполнять для двух сечений по формулам:

по металлу шва

; (8.87)

по металлу границы сплавления

. (8.88)

В формулах (8.87) и (8.88):

- момент сопротивления расчетного сечения по металлу шва;

- то же, по металлу границы сплавления.

8.88. Расчет по прочности сварных соединений с угловыми швами при действии момента в плоскости расположения этих швов (рисунок 8.4, б)следует выполнять для двух сечений по формулам:

по металлу шва

; (8.89)

по металлу границы сплавления

, (8.90)

где , - моменты инерции расчетного сечения по металлу шва относительно его главных осей;

, - то же, по металлу границы сплавления;

x, y - координаты точки шва, наиболее удаленной от центра тяжести расчетного сечения швов относительно главных осей этого сечения.

а - перпендикулярной;
б - параллельной плоскости расположения швов

Рисунок 8.4. Расположение сварных соединений с угловыми швами при действии момента в плоскости

8.89. Прочность сварных стыковых соединений при одновременном действии в одном и том же сечении нормальных и касательных напряжений следует проверять по формуле (8.29), в которой следует принимать: и - нормальные напряжения в сварном соединении по двум взаимно перпендикулярным направлениям; - касательное напряжение в сварном соединении; .

8.90. При расчете по прочности сварных соединений с угловыми швами при одновременном действии продольной и поперечной сил и момента должны быть выполнены условия:

; (8.91)

, (8.92)

где , - напряжения в расчетном сечении соответственно по металлу шва и по металлу границы сплавления, равные геометрическим суммам напряжений, вызываемых продольной и поперечной силами и моментом.

8.91. Расчет по прочности сварных соединений угловыми швами прикрепления листов пояса между собой и к стенке изгибаемых балок следует выполнять по формулам:

при отсутствии местного давления:

по металлу шва

; (8.93)

по металлу границы сплавления

, (8.94)

где n - число угловых швов;

при воздействии на пояс местного давления:

по металлу шва

; (8.95)

по металлу границы сплавления

, (8.96)

где q - давление от подвижной вертикальной нагрузки, определяемое по 6.11 - 6.13 и Приложению К.

8.92. Сварные швы, соединяющие отдельные листовые детали сечения составных сплошностенчатых сжатых элементов, следует рассчитывать на условную поперечную силу, принимаемую постоянной по всей длине элемента и определяемую по формуле

, (8.97)

где W - момент сопротивления сечения элемента брутто в проверяемой плоскости (ослабление листовых деталей перфорациями допускается не учитывать);

l - длина составного элемента;

- коэффициент продольного изгиба при расчете по устойчивости элемента в проверяемой плоскости.

Те же сварные швы в сжато-изогнутых составных элементах следует рассчитывать на поперечную силу , равную сумме поперечных сил - условной , определяемой по формуле (8.97), и фактической.

Если в сечении составного элемента имеются две параллельно расположенные листовые детали и более, то прикрепление каждой из них следует рассчитывать на поперечную силу , определяемую по формуле

, (8.98)

где - толщина прикрепляемой листовой детали;

n - число параллельно расположенных листовых деталей.

8.93. При прикреплении к узлам главных ферм составных сплошностенчатых элементов, отдельные части сечения которых непосредственно не прикрепляются к узловым фасонкам, сварные швы присоединения не прикрепляемой части сечения к прикрепляемой следует рассчитывать на передачу приходящегося на нее усилия, принимая при этом коэффициенты условий работы m равными:

m = 0,8 - при отношении площади прикрепляемой части сечения ко всей площади сечения элемента A до 0,6;

m = 0,9 - при отношении свыше 0,6 до 0,8;

m = 1,0 - при отношении свыше 0,8.

Расчетную длину сварного шва при этом следует принимать равной длине перекрытия элемента узловой фасонкой фермы.

8.94. В соединениях на цилиндрических болтах класса точности A и на конических высокопрочных болтах расчетное усилие , которое может быть воспринято одним болтом в многоболтовом соединении, следует определять по формулам:

на срез болта

; (8.99)

на смятие соединяемых элементов

; (8.100)

на растяжение

, (8.101)

где , , - расчетные сопротивления металла болтов на срез, смятие и растяжение;

d - диаметр рабочего тела болта (или отверстия);

- площадь рабочего сечения тела болта;

- площадь сечения болта нетто по резьбе согласно ГОСТ Р 52643;

- наименьшая суммарная толщина элементов, сминаемых в одном направлении;

- число расчетных срезов одного болта;

- коэффициент условий работы соединения, который следует принимать по таблице 8.36.

8.95. Число n болтов в соединении при действии продольной силы N, проходящей через центр тяжести соединения, следует определять по формуле

, (8.102)

где - меньшее из значений расчетного усилия для одного болта, вычисленных по формулам (8.99) и (8.100);

, m - коэффициенты условий работы, принимаемые соответственно по таблицам 8.36 и 8.15.

8.96. При действии в плоскости соединения изгибающего момента распределение усилий на болты следует принимать пропорционально расстояниям от центра тяжести соединения до рассматриваемого болта.

8.97. Болты, работающие на срез от одновременного действия продольной силы и момента, следует проверять на усилие, определяемое как равнодействующее усилий, найденных отдельно от продольной силы и момента.

8.98. Болты, работающие одновременно на срез и растяжение, допускается проверять отдельно на срез и на растяжение.

8.99. Болты, соединяющие стенки и пояса составных балок, следует рассчитывать по формулам:

при отсутствии местного давления

; (8.103)

при воздействии на пояс местного давления q

, (8.104)

где a - шаг поясных болтов;

- меньшее из значений расчетного усилия для одного болта, определяемых по 8.94;

S - статический момент брутто пояса балки относительно нейтральной оси;

I - момент инерции сечения брутто балки относительно нейтральной оси;

m - коэффициент условий работы, определяемый по таблице 8.15.

8.100. В фрикционных и комбинированных фрикционно-сварных соединениях расчетное усилие , которое может быть воспринято каждой поверхностью трения соединяемых элементов, стянутых одним высокопрочным болтом (одним болтоконтактом), следует определять по формуле

, (8.105)

где P - усилие натяжения высокопрочного болта;

- коэффициент трения, принимаемый по таблице 8.12;

- коэффициент надежности, принимаемый по таблице 8.12.

Усилие натяжения P высокопрочного болта следует определять по формуле

, (8.106)

где - расчетное сопротивление высокопрочного болта растяжению, определяемое по формуле (8.2);

- коэффициент условий работы высокопрочных болтов при контроле натяжения по крутящему моменту, равный 0,95.

8.101. Число n высокопрочных болтов в соединении при действии продольной силы N, проходящей через центр тяжести соединения, следует определять по формуле

, (8.107)

где m - коэффициент условий работы, принимаемый по таблице 8.15;

- расчетное усилие на один болтоконтакт, определяемое по формуле (8.105);

- число контактов в соединении.

8.102. При действии в плоскости соединения изгибающего момента или продольной силы с изгибающим моментом усилие, приходящееся на рассматриваемый высокопрочный болт, следует определять согласно указаниям 8.96 и 8.97.

8.103. Высокопрочные болты, соединяющие стенки и пояса составных балок, следует рассчитывать по формулам:

при отсутствии местного давления

; (8.108)

при воздействии на пояс местного давления q

, (8.109)

где - число контактов в соединении;

- расчетное усилие, воспринимаемое одним болтоконтактом и определяемое по формуле (8.105);

остальные обозначения те же, что и в 8.99.

8.104. В случае если совместная работа проезжей части и поясов главных ферм обеспечивается специальными горизонтальными диафрагмами, расчет прикрепления продольных балок к поперечным следует выполнять на поперечную силу и момент с учетом требований 8.74; при этом усилия в болтах, прикрепляющих вертикальные уголки к стенке поперечной балки, необходимо определять как для фланцевых соединений.

Расчет болтовых и фрикционных соединений прикреплений балок проезжей части пролетных строений с решетчатыми главными фермами допускается выполнять только на поперечную силу, вводя дополнительный коэффициент условий работы согласно таблице 8.36.

Таблица 8.36

Характеристика прикрепления и места расположения болтов Особенности конструкции узла Коэффициент условий работы mb
Во всех пролетных строениях
Вертикальные уголки прикрепления поперечной балки к узлу решетчатой главной фермы:
болты в полках уголков, прикрепляемых к ферме Конструкция не способна воспринимать опорный момент 0,85
Конструкция способна воспринимать опорный момент 0,9
то же, к поперечной балке Независимо от конструкции 0,9
Совместная работа проезжей части и поясов главных ферм не обеспечивается
Вертикальные уголки прикрепления продольной балки к поперечной:
болты в полках уголков, прикрепляемых к поперечной балке Конструкция не способна воспринимать опорный момент 0,7
Конструкция способна воспринимать опорный момент 0,9
то же, к продольной балке Независимо от конструкции 0,9

8.105. Расчет по прочности стыковых накладок растянутых элементов ферм и поясов сплошных балок следует выполнять с введением для накладок коэффициента условий работы m = 0,9.

8.106. Листы узловых фасонок следует проверять на прочность прикрепления растянутых и сжатых элементов по контуру, соединяющему центры отверстий периферийных болтов прикрепления указанных элементов, по формуле

, (8.110)

где N - продольное усилие в элементе;

t - толщина узловой фасонки;

m - коэффициент условий работы, принимаемый по таблице 8.15;

- длина i-го участка проверяемого контура узловой фасонки;

- угол между направлением i-го участка проверяемого контура и осью элемента , рад.

8.107. Прочность узловых болтов-шарниров допускается проверять в предположении работы болта на изгиб как свободно лежащей балки, нагруженной сосредоточенными силами по оси пакетов, соприкасающихся с болтом, принимая расчетные сопротивления по таблице 8.3.

8.108. Для фланцевых соединений следует применять высокопрочные цилиндрические или конические болты с предварительным напряжением их на усилие

,

где P - расчетное усилие натяжения высокопрочного болта, принимаемое по 8.100.

Расчет соединительных планок и перфорированных листов

8.109. Соединительные планки или перфорированные листы сквозных сжатых элементов следует рассчитывать на условную поперечную силу , принимаемую постоянной по всей длине стержня и определяемую по формуле

, (8.111)

где N - продольное усилие сжатия в элементе;

- коэффициент продольного изгиба при проверке устойчивости элемента в плоскости соединительных планок или перфорированных листов, принимаемый по таблицам Ф.1 - Ф.3 Приложения Ф в зависимости от приведенного относительного эксцентриситета ;

- коэффициент, определяемый по формуле , но не более 0,017; здесь - гибкость элемента в плоскости соединительных планок или перфорированных листов.

Соединительные планки и перфорированные листы сквозных сжато-изогнутых элементов следует рассчитывать на поперечную силу, равную сумме фактической поперечной силы при изгибе и условной , определяемой по формуле (8.111).

При расположении соединительных элементов в нескольких параллельных плоскостях, перпендикулярных оси, относительно которой выполняется проверка устойчивости, поперечную силу Q следует распределять:

при соединительных планках или перфорированных листах, а также в случае их сочетания - поровну между всеми плоскостями планок и перфорированных листов;

при сплошном листе (пакете) и соединительных планках или перфорированных листах - на сплошной лист (пакет) принимать часть поперечной силы, равную и определяемую по формуле

, (8.112)

где - площадь сечения брутто сквозного элемента, равная ; здесь b и определяются по 8.37;

- часть сечения элемента, работающая вместе со сплошным листом и равная (здесь - площадь сечения сплошного листа; - толщина вертикального листа или пакета; - коэффициент, принимаемый по 8.55).

Соединительные планки и перфорированные листы в промежутках между отверстиями перфорации следует рассчитывать на приходящуюся на них часть поперечной силы Q как элементы безраскосных ферм.

Расчет опорных частей

8.110. Элементы опорных частей (катки, балансиры, плиты), как правило, следует рассчитывать как конструкции на упругом основании.

Допускается определять усилия в верхних балансирах всех опорных частей, в нижних балансирах - неподвижных опорных частей в предположении равномерного распределения нагрузки по площади опирания.

8.111. При расчете опорных частей должны быть учтены указания 6.20 и 6.28, а для подвижных опорных частей следует учитывать также эксцентриситеты передачи давления, равные продольным перемещениям катков, секторов и балансиров от нормативных нагрузок и воздействий.

Продольные перемещения подвижных опорных частей следует определять от постоянной нагрузки, временной вертикальной нагрузки с динамическим коэффициентом, деформации опор и их оснований, а также от температуры, указанной в 6.27. При этом для пролетных строений с отношением расстояния между фермами к пролету свыше 1:15 следует учитывать воздействие на неподвижные опорные части нагрузок, возникающих от перепада температуры поясов главных ферм в размере 15 °C.

Заделку анкерного болта следует рассчитывать в соответствии с указаниями [18] с введением при этом коэффициента условий работы m = 0,7. (в ред. Изменения N 1, утв. Приказом Минстроя РФ от 03.12.2016 N 879/пр)

8.112. Расчет на смятие в цилиндрических шарнирах (цапфах) балансирных опорных частей (при центральном угле касания поверхностей, равном или большем 90°) следует выполнять по формуле

. (8.113)

Расчет на диаметральное сжатие катков следует выполнять по формуле

. (8.114)

В формулах (8.113) и (8.114):

F - давление на опорную часть;

- давление на один наиболее нагруженный каток;

r - радиус кривизны поверхности катка или шарнира;

l - длина катка или шарнира;

m - коэффициент условий работы, принимаемый по таблице 8.15;

, - расчетные сопротивления соответственно местному смятию при плотном касании и диаметральному сжатию катков при свободном касании, принимаемые согласно требованиям таблицы 8.7.

Конструирование

Общие положения

8.113. Для стальных конструкций мостов необходимо:

учитывать возможности технологического и кранового оборудования заводов - изготовителей стальных конструкций, а также подъемно-транспортного и монтажного оборудования строительных организаций;

разделять конструкции на отправочные элементы из условий выполнения максимального объема работ на заводах-изготовителях с учетом грузоподъемности и габаритов транспортных средств;

предусматривать связи, обеспечивающие в процессе транспортирования, монтажа и эксплуатации устойчивость и пространственную неизменяемость конструкции в целом, ее частей и элементов;

осуществлять унификацию монтажных блоков и элементов, а также узлов и расположения болтовых отверстий;

обеспечивать удобство сборки и выполнения монтажных соединений, предусматривая монтажные крепления элементов, устройство стремянок, подмостей и т.д.;

осуществлять унификацию применяемого проката по профилям и длинам с учетом требования об использовании металла с минимальными отходами и потерями;

учитывать допуски проката и допуски заводского изготовления;

предусматривать в проектах на стадии КМ надежную защиту конструкций от коррозии с учетом агрессивности природно-климатической среды и загрязненности атмосферы промышленными предприятиями, действующими в зоне эксплуатации мостов.

8.114. При проектировании стальных конструкций следует исключать стесненное расположение привариваемых деталей, резкие изменения сечения элементов, образование конструктивных "надрезов" в виде обрывов фасонок и ребер жесткости или вырезов в них, примыкающих под углом к поверхности напряженных частей сечения (поясов и стенки балок, листов составных элементов и т.д.).

Для повышения выносливости и хладостойкости конструкций, а также снижения отрицательного влияния остаточных деформаций и напряжений от сварки следует предусматривать мероприятия конструктивного и технологического характера (оптимальный порядок сборки и сварки элементов; роспуск швов; предварительный выгиб и местный подогрев; нагрев отдельных зон после сварки; полное проплавление и выкружки на концах обрываемых деталей, подходящие по касательной к поверхности оставшейся части сечения; механическую обработку зон концентрации напряжений и др.).

В конструкциях северного исполнения следует исключать обрыв отдельных частей сечения по длине элемента в целом (или монтажного блока, если в стыках блоков применены фрикционные соединения).

Защита от коррозии конструкций должна предусматриваться в соответствии с ГОСТ 9.401.

8.115. В железнодорожных мостах пролетные строения с раздельными балками и продольные балки проезжей части должны иметь продольные связи по верхним и нижним поясам. Прикрепление продольных связей к стенкам балок в железнодорожных мостах не допускается.

"Открытые" пролетные строения, по 8.52, и "открытая" проезжая часть в железнодорожных мостах допускаются только при наличии технико-экономического обоснования и при условии закрепления свободных поясов жесткими рамами в плоскостях поперечных балок, а в проезжей части - поперечными связями.

При наличии элементов, жестко связывающих пояса балок или ферм (например, железобетонной или стальной плиты), допускается не устраивать продольных связей в соответствующей плоскости, если они не требуются по условиям монтажа.

В арочных пролетных строениях продольные связи следует устраивать в плоскости одного из поясов арок и в плоскости проезжей части, если она не имеет плиты; при решетчатых арках следует предусматривать поперечные связи между ними и продольные связи по обоим поясам.

8.116. Продольные связи следует центрировать в плане с поясами главных ферм, при этом эксцентриситеты в прикреплении из плоскости связей должны быть минимальными.

8.117. В железнодорожных мостах при наличии балочной клетки и мостовом полотне с поперечинами или железобетонными плитами безбалластного мостового полотна расстояние между осями продольных балок следует назначать 1,70 м; между осями сплошностенчатых главных балок при отсутствии балочной клетки - от 1,70 до 2,00 м. При большем расстоянии между осями главных балок (ферм) следует предусматривать устройство железобетонной или стальной плиты.

8.118. В железнодорожных мостах пролетные строения с раздельными двутавровыми балками и продольные балки проезжей части должны иметь поперечные связи, располагаемые на расстояниях, не превышающих двух высот балок.

8.119. Для снижения напряжений в поперечных балках проезжей части от деформации поясов главных ферм следует, как правило, включать проезжую часть в совместную работу с главными фермами.

В пролетных строениях с проезжей частью, не включенной в совместную работу с главными фермами, следует предусматривать тормозные связи.

8.120. Прикрепление балок проезжей части с помощью торцевых листов, приваренных к стенке и поясам балки, не допускается.

В пролетных строениях железнодорожных мостов прикрепление стенок продольных и поперечных балок следует осуществлять, как правило, с помощью вертикальных уголков и фрикционных соединений.

В пролетных строениях всех мостов следует, как правило, обеспечивать неразрезность продольных балок на всем протяжении, а при наличии разрывов в проезжей части - на участках между ними.

8.121. Для повышения аэродинамической устойчивости пролетных строений висячих и вантовых мостов следует увеличивать их крутильную жесткость за счет постановки продольных и поперечных связей по раздельным главным балкам или применения балки жесткости замкнутого коробчатого сечения и придания ей обтекаемой формы.

Сечения элементов

8.122. Наименьшая толщина деталей элементов пролетных строений и опор принимается по расчету на прочность, устойчивость, выносливость, жесткость и колебания, но не менее указанной в таблице 8.37.

Допускается следующая наибольшая толщина проката, мм:

в пакетах деталей, стягиваемых обычными болтами, - 20;

в сварных элементах из углеродистой и низколегированной сталей - 60;

в стыковых накладках и узловых фасонных листах при применении фрикционных соединений - 20;

в соединениях на конических высокопрочных болтах - 25.

Таблица 8.37

Детали конструкции Наименьшая толщина или сечение деталей конструкции, мм
в железнодорожных мостах и трубах под железную дорогу в автодорожных, городских и пешеходных мостах и трубах под автомобильную дорогу
1. Металлические гофрированные элементы для труб и мостов обычного исполнения 3,5 2,5
(в ред. Изменения N 1, утв. Приказом Минстроя РФ от 03.12.2016 N 879/пр)
2. Металлические гофрированные элементы для труб и мостов северного исполнения 4 4
(в ред. Изменения N 1, утв. Приказом Минстроя РФ от 03.12.2016 N 879/пр)
3. Листовые детали (за исключением деталей, указанных в поз. 4 - 11) 10 10
4. Узловые фасонки главных ферм 12 10
5. Вертикальные стенки сварных изгибаемых главных балок 12 12
6. Узловые фасонки связей 10 8
7. Накладки в стыках ребер ортотропной плиты и планки 8 8
8. Прокладки 4 4
9. Горизонтальные опорные листы 20 20
10. Листы настила ортотропных плит 14 14
11. Ребра ортотропных и ребристых плит 12 12
12. Трапециевидные ребра 6 6
13. Уголки в основных элементах главных ферм и проезжей части 100 x 100 x 10 100 x 100 x 10
14. Уголки фланцевых прикреплений продольных и поперечных балок 100 x 100 x 12 100 x 100 x 12
15. Уголки в элементах связей 80 x 80 x 8 80 x 80 x 8

8.123. Для уменьшения числа соединительных сварных швов сечения составных элементов решетчатых ферм следует предусматривать из минимального числа деталей.

8.124. В решетчатых главных фермах материал элементов коробчатого и Н-образного сечений должен быть сконцентрирован в листах, расположенных в плоскости фермы.

Пояса, сжатые элементы ферм и опор следует, как правило, предусматривать коробчатого сечения.

8.125. В составных элементах решетчатых ферм отношение расчетной ширины b к толщине t листов не должно превышать следующих величин:

у вертикальных и горизонтальных листов коробчатых элементов - 60;

у горизонтальных листов Н-образных элементов - 45;

у листов со свободными (неокаймленными) свесами - 20;

у листов со свесами, окаймленными уголками или ребрами, - 30.

За расчетную ширину b листа следует принимать:

а) при обеих закрепленных продольных кромках:

для элементов с болтовыми соединениями - расстояние между ближайшими рисками болтов, присоединяющих данный лист к перпендикулярным ему листам или соединительным связям;

для сварных и прокатных элементов - расстояние между осями указанных листов:

б) при закреплении одной продольной кромки:

для элементов с болтовыми соединениями - расстояние от свободного края листа до ближайшей риски болтов;

для сварных и прокатных элементов - расстояние от свободного края листа до оси ближайшего листа, расположенного перпендикулярно данному.

8.126. В сжатых элементах Н-образного сечения толщина горизонтального листа должна составлять от толщины соединяемых листов не менее:

- в элементах с болтовыми соединениями;

- в сварных и прокатных элементах при и 0,5 .

8.127. При конструировании узлов ферм следует обеспечивать местную устойчивость сжатых зон узловых фасонок в соответствии с 8.55, при необходимости подкрепляя свободные кромки окаймляющими уголками или ребрами.

8.128. Двутавровые сварные балки следует предусматривать из одного вертикального и двух горизонтальных листов, а коробчатые - из двух вертикальных и двух непосредственно соединенных с ними поясными швами горизонтальных листов.

Если требуемая толщина пояса сварной балки превосходит 60, 50 и 40 мм (соответственно в конструкциях обычного, северного А и Б исполнений), допускается применение в поясах пакетов из двух листов.

Изменение сечения пояса следует осуществлять в зоне расположения его стыков, предусматривая скосы по ширине или по толщине, а при необходимости - то и другое одновременно с уклоном 1:8 для растянутого пояса и 1:4 - для сжатого.

В поясах из двух листов следует применять листы, отличающиеся по ширине не менее чем на 100 мм. В автодорожных и городских мостах допускается применение в поясах балок пакетов из листов одинаковой ширины, соединенных сварными швами, наложенными по соприкасающимся кромкам, с разделкой последних на требуемую по расчету глубину.

8.129. Наружный лист пакета пояса, обрываемый в пролете балки с учетом указаний 8.114, следует продолжить за место его теоретического обрыва на длину, обеспечивающую прикрепление 50% площади сечения листа. При этом следует предусматривать: толщину этого листа на конце - 10 мм; симметричные скосы по ширине (со сведением на нет) - с уклоном 1:4; скос по толщине - с уклоном 1:8 для растянутого пояса и 1:4 - для сжатого. Для косых швов на конце листа следует предусматривать отношение катетов 1:2 (меньший катет - по вертикали) и механическую обработку для получения плавных (радиусом не менее 5 мм) переходов к основному металлу непрерываемого листа пояса.

8.130. В железнодорожных мостах при мостовом полотне с деревянными поперечинами или железобетонными плитами безбалластного мостового полотна, а также при широких верхних поясах следует обеспечивать, как правило, центрированную передачу давления поперечин или плит на стенки главных или продольных балок путем устройства верхних поясов в виде двухлистового пакета с шириной верхнего листа 200 мм; при этом под нагрузкой должно быть исключено касание поперечинами элементов продольных и поперечных связей.

Ребра жесткости сплошных изгибаемых балок

8.131. В опорных сечениях, в местах передачи сосредоточенных сил (кроме мест опирания мостовых поперечин), расположения поперечных связей в сплошных изгибаемых балках должны быть предусмотрены поперечные ребра жесткости из полос, уголков или тавров.

Промежуточные поперечные, а также продольные ребра жесткости следует предусматривать в соответствии с расчетом местной устойчивости стенок для стадий изготовления, транспортирования, монтажа и эксплуатации.

При отсутствии местного давления продольные ребра жесткости следует располагать на расстояниях от сжатого пояса:

при одном ребре - ;

при двух или трех ребрах: первое ребро - ; второе ребро - ; третье ребро следует располагать, как правило, в растянутой зоне стенки.

Расчетную высоту стенки следует принимать в соответствии с Приложением Х.

В балках со стенкой, укрепленной только поперечными ребрами, ширина их выступающей части должна быть для парного симметричного ребра не менее , для одностороннего ребра - не менее ; толщина ребра должна быть не менее .

При укреплении стенки поперечными и продольными ребрами жесткости моменты инерции их сечений должны удовлетворять нормам таблицы 8.38 для поперечных ребер и таблицы 8.39 - для продольного (при одном продольном) ребра.

Таблица 8.38

для поперечных ребер
0,75 0,80
0,62 1,44
0,50 2,8
0,40 4,6
0,33 6,6

Обозначения, принятые в таблице 8.38:

- момент инерции поперечного ребра;

- расчетная высота стенки, принимаемая по Приложению Х;

- толщина стенки балки;

,

где a - расстояние между осями поперечных ребер жесткости.

Таблица 8.39

Необходимый момент инерции сечения продольного ребра Предельные значения
минимальные максимальные, учитываемые в расчете
0,20
0,25
0,30 - -

Обозначения, принятые в таблице 8.39:

- расстояние от оси продольного ребра жесткости до оси ближайшего пояса в сварных балках или до крайней риски поясных уголков в балках с болтовыми соединениями;

a, - см. обозначения в таблице 8.38;

- момент инерции сечения продольного ребра;

- толщина стенки балки.

Примечание. При вычислении для промежуточных значений допускается линейная интерполяция.

8.132. В железнодорожных мостах поперечные ребра жесткости следует приваривать к стенке, поясам балки и к продольным ребрам жесткости по всему контуру примыкания без вырезов для пропуска сварных швов; сварные швы прикрепления ребер накладываются поверх пропускаемых под ребром. На поясах балки свободный край ребра следует не доводить до кромки, обеспечивая замыкание сварного шва вокруг торца ребра так, чтобы от кромки до сварного шва оставалось не менее 30 мм.

В автодорожных мостах в ребрах жесткости, приваренных к стенке балки, в местах их примыкания к поясам балки, к ребрам жесткости другого направления и к фасонкам связей необходимо предусматривать скругленные вырезы радиусом не менее 50 мм.

8.133. В сварных балках концы промежуточных поперечных ребер жесткости, прикрепленные фрикционными соединениями, должны плотно примыкать к поясным листам балок. Для обеспечения этого допускается во всех мостах постановка на концах ребер специальных переходных деталей, в железнодорожных мостах допускается применение уголковых ребер жесткости, прикрепленных к стенке и поясам с помощью фрикционных соединений, а в автодорожных, городских и пешеходных - приварка ребер к поясам. При этом торцы поперечных ребер жесткости, к которым прикрепляются поперечные ребра ортотропной плиты автодорожной проезжей части, должны быть приварены к поясам балки независимо от типа исполнения конструкций и знака напряжений в поясе и с учетом требований 8.168.

Допускается устройство обрывов промежуточных поперечных ребер жесткости на стенке вблизи поясов с оформлением зоны обрыва ребра в соответствии с требованиями 8.165.

В местах передачи сосредоточенных сил следует предусматривать пригонку торцов ребер жесткости к листу пояса балки.

Концы промежуточных поперечных ребер жесткости сварных балок должны, как правило, плотно примыкать к поясным листам балок. Для обеспечения этого допускается во всех мостах постановка на концах ребер специальных переходных деталей, в железнодорожных мостах допускается применение уголковых ребер жесткости, прикрепленных к стенке с помощью фрикционных соединений, а в автодорожных, городских и пешеходных - приварка ребер к поясам. При этом торцы поперечных ребер жесткости, к которым прикрепляются поперечные ребра ортотропной плиты автодорожной проезжей части, должны быть приварены к поясам балки независимо от типа исполнения конструкций и знака напряжений в поясе и с учетом требований 8.168. Допускается устройство обрывов промежуточных поперечных ребер жесткости на стенке вблизи поясов с оформлением зоны обрыва ребра в соответствии с требованиями 8.165. В железнодорожных мостах приварка поперечных ребер к поясам должна производиться в соответствии с требованиями 8.132.

8.134. Продольные ребра жесткости в сварных балках следует применять лишь в тех случаях, когда обеспечение местной устойчивости за счет постановки одних поперечных ребер жесткости и изменения толщины стенки оказывается нецелесообразным.

В железнодорожных мостах в сварных балках продольные ребра жесткости следует применять всегда в сочетании с поперечными, при этом предусматривая их постановку и в растянутой зоне симметрично ребру в сжатой зоне, уменьшая свободную поверхность листа стенки.

8.135. Привариваемые к стенке или полке балки ребра жесткости, параллельные заводским или монтажным сварным стыковым швам стенки или полки, должны быть удалены от них на расстояние не менее в конструкциях обычного исполнения и - северного исполнения.

Перо или обушок уголка, используемый в виде ребра жесткости и прикрепляемый к стенке болтами, от стыкового сварного шва стенки должны быть удалены на расстояние не менее .

8.136. Ребра жесткости должны быть прикреплены сплошными двусторонними швами.

Ребра жесткости и швы, прикрепляющие их к стенке, в местах пересечения стыковых швов стенки прерывать не допускается.

В пролетных строениях всех назначений и исполнений в местах пересечения ребер жесткости необходимо пропускать непрерывными продольные ребра и их швы, а поперечные ребра (кроме опорных) прерывать и прикреплять к ним угловыми швами; эти швы в растянутой зоне стенки должны иметь отношение катетов 1:2 (больший катет - на продольном ребре) и плавный переход к основному металлу.

При обрыве продольных ребер жесткости у болтового поперечного стыка стенки оформление зоны обрыва ребра должно отвечать требованиям 8.165.

Предварительно напряженные пролетные строения

8.137. В неразрезных балках постоянной высоты затяжки следует размещать в зонах максимальных положительных и отрицательных моментов.

Сечение предварительно напряженных балок со сплошной стенкой должно быть несимметричным с более развитым сжатым поясом.

8.138. Для предварительно напряженных балок необходимо предусматривать присоединение затяжки к поясу по длине балки не менее чем в четырех точках таким образом, чтобы при работе под нагрузкой обеспечивалось совместное их перемещение в боковом направлении и независимое в продольном направлении.

8.139. Прикрепление ребер жесткости или кронштейнов, поддерживающих затяжки, должно быть предусмотрено с учетом сил трения, возникающих при натяжении затяжек.

8.140. Концы затяжек должны закрепляться на специальных выносных жестких элементах - упорах. Элементы балок в местах прикрепления упоров следует усилить на воздействие сосредоточенных нагрузок.

8.141. Для обеспечения устойчивости обжимаемых элементов ферм затяжки соединяются со стержнями с помощью диафрагм. Расстояния между точками закрепления следует принимать из условия устойчивости стержня свободной длины, соответствующей длине этих участков.

Сварные, фрикционные и болтовые соединения

8.142. В тех случаях, когда прикрепление с эксцентриситетом неизбежно, в цельносварной конструкции при одностенчатых сечениях элементов прикрепление их следует осуществлять по всему контуру соединения.

8.143. При применении сложных прокатных профилей (швеллеров, тавров и двутавров, в том числе с параллельными гранями полок) устройство с помощью сварки поперечных стыков и прикреплений к узлам не допускается.

8.144. В конструкциях автодорожных, городских и пешеходных мостов обычного и северного исполнений допускается применение сварки продольными непрерывными швами цельных (без стыков по длине) тавров и двутавров (в том числе разных номеров) между собой и с листом, прикрепляемым по всей длине встык или втавр к стенке профиля или двумя угловыми швами к кромкам полки профиля.

8.145. Применение электрозаклепок в железнодорожных мостах не допускается, а в автодорожных, городских и пешеходных мостах допускается только для нерабочих соединений.

8.146. Угловые швы необходимо применять, как правило, с вогнутым очертанием их поверхности и плавным переходом к основному металлу.

Лобовые швы, как правило, следует предусматривать неравнобокими с большим катетом, направленным вдоль усилия, при этом рекомендуется отношение большего катета к меньшему принимать равным 2.

8.147. Размеры угловых сварных швов следует назначать возможно меньшими из расчета по прочности и выносливости с учетом при этом указанных ниже технологических требований.

Продольные соединительные угловые швы коробчатых, тавровых и Н-образных элементов для сталей и толщин проката, указанных в таблице 8.2, должны иметь расчетную высоту сечения не менее 4 мм, а швы, прикрепляющие ребра жесткости к стенке балки, а также продольные ребра ортотропной плиты к покрывающему листу, - не менее 3 мм.

Длина углового лобового или флангового шва должна быть не менее 60 мм и не менее шестикратного размера катета шва.

8.148. Конструкция стыковых швов должна обеспечивать возможность полного проплавления расчетной толщины стыкуемых деталей и плавных переходов к основному металлу.

8.149. При расположении стыка поперек усилия в элементе толщина стыкового шва не должна быть меньше толщины свариваемых листов.

8.150. В сварных балках и составных элементах, сечения которых образуются с помощью соединительных швов, полное проплавление тавровых и угловых соединений не требуется, если свариваемые детали обрываются в одном сечении. При наличии обрыва не в одном сечении на длине 100 мм от обрыва необходимо предусматривать полное проплавление таврового или углового соединения свариваемых деталей.

В соединениях, работающих на отрыв, обеспечение полного проплавления обязательно.

Применение узлов с работой на отрыв деталей пакета, образованного с помощью нахлесточных угловых сварных швов, не допускается.

В угловых соединениях составных замкнутых герметичных элементов, образованных односторонними угловыми швами, глубина провара должна быть не менее 4 мм при толщине более тонкого листа до 16 мм и не менее 5 мм при толщине более тонкого листа свыше 16 мм.

Для соединения отдельных деталей и прикрепления элементов конструкций прерывистые швы не применяются.

8.151. В конструкциях с фрикционными соединениями должна быть обеспечена возможность свободной постановки высокопрочных болтов, плотного стягивания пакета болтами и закручивания гаек с применением динамометрических ключей и гайковертов.

8.152. В соединениях прокатных профилей с непараллельными поверхностями полок должны применяться клиновидные шайбы.

8.153. Номинальные диаметры отверстий под высокопрочные болты во фрикционных соединениях приведены в таблице 8.40.

Таблица 8.40

Группа соединений Номинальный диаметр отверстий, мм, во фрикционных соединениях при диаметре болтов, мм
22 24 27
Стыки и прикрепления основных несущих элементов и связей, определяющие проектное положение конструкций 23 - 25 25 - 28 28 - 30
Прикрепления: связей, не определяющих проектного положения конструкций; стыковых накладок (рыбок) поясов продольных балок; тормозных связей и горизонтальных диафрагм проезжей части 23 - 28 25 - 30 28 - 33

8.154. Соединения следует предусматривать с возможно более компактным расположением высокопрочных и обычных болтов по нормам таблицы 8.41.

Таблица 8.41

Характеристика расстояний Норма
1. Расстояния между центрами болтов:
а) минимальное в любом направлении 2,5d <*>
б) максимальное в любом направлении в крайних рядах при растяжении и сжатии:
в листах 7d или 16t
в уголках <**> 160 мм
в) максимальное в средних рядах:
поперек усилия при растяжении и сжатии 24t
вдоль усилия при растяжении 24t
то же, при сжатии 16t
2. Расстояния от центра болта до края элемента:
а) минимальное вдоль усилия, поперек усилия и по диагонали при кромках после механической обработки, машинной газокислородной, плазменной и лазерной резки 1,5d
б) максимальное 8t или 120 мм

Обозначения, принятые в таблице 8.41:

d - номинальный диаметр болта;

t - толщина наиболее тонкой детали, расположенной снаружи пакета

<*> Для обычных болтов назначают 3,0d.

<**> При двухрядном расположении норма относится к ряду у пера.

8.155. Число высокопрочных болтов должно быть не менее двух:

в прикреплениях связей главных ферм и проезжей части;

в каждом продольном ряду прикрепления или стыковой накладки (считая от оси стыка).

В прикреплении стержня на обычных болтах число болтов в продольном ряду должно быть не менее: при одном ряде - 3; при двух рядах и более - 2; в выступающей полке уголкового коротыша - 5.

В стыках и прикреплениях растянутых и сжато-растянутых элементов число болтов в двух первых поперечных рядах (считая от сечения элемента или накладки с полным усилием) следует принимать одинаковым. Число болтов в последующих рядах должно увеличиваться постепенно. В стыках и прикреплениях уголков с двухрядным расположением болтов первый болт должен быть расположен у обушка.

Число рядов болтов вдоль усилия (при выполнении требований 8.106) должно быть минимальным.

В продольных и поперечных стыках стенок балок допускается располагать болты с каждой стороны стыка в один ряд.

8.156. Диаметр болтов, поставленных в уголках основных элементов, не должен, как правило, быть более 1/4 ширины полки уголка.

Допускается в элементах связей, ребрах жесткости, диафрагмах и т.д. ставить болты диаметром 22 мм в полке уголка шириной 80 мм и диаметром 24 мм в полке шириной 90 мм.

Во фрикционных соединениях с большим числом высокопрочных болтов их диаметр следует назначать возможно большим. В соединениях, где диаметр отверстия превышает номинальный диаметр болта свыше 3 мм, следует устанавливать в высокопрочных болтах шайбы толщиной 6 мм. (в ред. Изменения N 1, утв. Приказом Минстроя РФ от 03.12.2016 N 879/пр)

8.157. Полную длину высокопрочных болтов следует назначать из условия, чтобы после затяжки гайки оставалось не менее одного полного витка резьбы.

8.158. Стыки вертикальной стенки балки при болтовых соединениях должны быть перекрыты накладками по всей высоте.

Стыковые накладки поясных уголков допускается применять в виде плоских листов.

8.159. Непосредственно прикрепленная площадь элементов сквозных главных ферм в узлах и стыках должна составлять не менее 50% всей рабочей площади элемента. При непрямом перекрытии площади сечения следует уменьшать эксцентриситет в прикреплении накладок и увеличивать их длину.

Детали конструкции

8.160. В конструкции не должно быть соприкасающихся несоединенных частей, а также щелей, зазоров, пазух и корыт. В местах возможного скопления влаги следует устраивать дренажные отверстия диаметром не менее 50 мм.

Стальные канаты и пучки высокопрочной проволоки, их анкеры, места соединения и примыкания должны быть надежно защищены от коррозии.

8.161. У растянутых элементов симметричного сечения, снабженных отверстиями для соединения их узловыми болтами-шарнирами, площадь нетто разреза, проходящего через болтовое отверстие, должна быть не менее 140%, а разреза от торца элемента до болтового отверстия - не менее 100% расчетного сечения элемента.

8.162. Ветви сжатых составных стержней с болтовыми соединениями, а также сжато-изогнутые сварные элементы в местах воздействия сосредоточенных сил должны быть подкреплены поперечными диафрагмами.

В сварных коробчатых и Н-образных элементах ферм диафрагмы рекомендуется приваривать или прикреплять на болтах только к вертикальным листам с зазором между диафрагмами и горизонтальными листами не менее 50 мм.

8.163. Непосредственная приварка вспомогательных деталей (кронштейнов, элементов перил и тротуаров, навигационных знаков и сигналов и т.д.) к элементам главных балок и балок проезжей части, а также к элементам решетчатых главных ферм не допускается. Приваривать эти детали допускается только к поперечным ребрам жесткости: в железнодорожных пролетных строениях северного исполнения указанные детали следует крепить на болтах.

Распорки и диагонали продольных связей, распорки поперечных связей не допускается приваривать непосредственно к поясам балок пролетных строений всех назначений.

В железнодорожных пролетных строениях не допускается также приварка элементов продольных и поперечных связей к ребрам жесткости и фасонкам связей, прокладок - к основным элементам, а в конструкциях северного исполнения - и противоугонных уголков к поясам балок.

8.164. Для обеспечения плавных (радиусом не менее 15 мм) переходов от металла шва к основному металлу в растянутых и сжато-растянутых на стадии эксплуатации поперечных стыках деталей и элементов железнодорожных пролетных строений должна предусматриваться механическая обработка; это требование распространяется на концевые участки поперечных стыковых швов стенки балок на протяжении 40% высоты растянутой зоны, но не менее 200 мм, считая от растянутого пояса.

8.165. Для автодорожных, городских и пешеходных пролетных строений при прикреплении горизонтальных фасонок продольных связей непосредственно встык к поясам сплошных балок необходимо предусматривать полное проплавление всей толщины фасонки и возможность его неразрушающего контроля.

Необходимо также предусматривать на концах фасонки выкружки и механическую обработку их вместе с концами швов для получения плавных переходов (радиусом не менее 60 мм) к поясу.

8.166. Для автодорожных, городских и пешеходных пролетных строений при крестовой и полураскосной системах продольных связей, расположенных в уровне, смещенном относительно поясов, для фасонок, привариваемых к стенке втавр, необходимо предусматривать мероприятия по снижению концентрации напряжений, указанные в 8.165. При этом для обеспечения устойчивости и устранения колебаний пояса относительно стенки должны быть поставлены на стенке балки поперечные ребра жесткости в плоскости каждого узла связей.

В случае, если указанные фасонки пересекаются с поперечными ребрами жесткости, фасонки и их швы следует устраивать непрерывными; приварку элементов поперечного ребра жесткости к фасонке надлежит осуществлять угловыми швами с отношением катетов 1:2 (больший катет - на фасонке) и плавным переходом к основному металлу фасонки.

8.167. В цельносварных автодорожных, городских и пешеходных пролетных строениях элементы связей, присоединяемые внахлестку к фасонкам, следует прикреплять двумя фланговыми и двумя лобовыми швами согласно 8.142; элементы связей из парных уголков, симметрично расположенных относительно фасонки, допускается прикреплять двумя фланговыми и одним лобовым (торцевым) швами.

Расстояния между швами прикреплений элементов связей и швами, прикрепляющими фасонки к стенке балки, а также к поперечным ребрам жесткости, должны быть не менее 60 мм.

8.168. В случае приварки вертикальных диафрагм, ребер жесткости и фасонок к растянутому поясу в пролете поперечные швы, прикрепляющие указанные элементы, следует предусматривать с отношением катетов 1:2 (больший катет - на поясе) и плавным переходом к основному металлу.

8.169. В конструкциях обычного исполнения противоугонные уголки допускается приваривать к верхнему поясу сварных балок продольными и поперечными угловыми швами. При этом для поперечных швов необходимо предусматривать мероприятия по снижению концентрации напряжений, указанные в 8.168, а также механическую обработку для получения плавных переходов (радиусом не менее 5 мм) к основному металлу.

8.170. В конструкциях деталей, изменяющих направление стального каната (отклоняющих устройств, оголовков пилонов и др.) или проволоки в канате (анкерных устройств), а также обжимающих канат (сжимов, хомутов подвесок и т.д.), следует применять желоба криволинейного поперечного сечения со скруглениями у торцов (в месте выхода каната) и укороченными (по сравнению с основанием) прижимными накладками, прокладки из алюминия (в соответствии с 8.4) или другого мягкого материала. При этом, для исключения электрохимической коррозии контактирующие с алюминием стальные канаты и стальные детали указанных выше устройств, должны быть защищены покрытиями из кадмия или цинка толщиной не менее 20 мкм.

Конструкция планок и перфорированных листов

8.171. В сварных коробчатых и Н-образных элементах главных ферм железнодорожных мостов допускается применение только сплошных или перфорированных горизонтальных листов. Соединительные планки допускаются только в элементах связей железнодорожных мостов и в тех элементах автодорожных, городских и пешеходных мостов, для которых при расчете по выносливости соединение планок с основными частями сечения возможно осуществить без специальных мер по снижению концентрации напряжений.

8.172. Длина промежуточных планок должна быть не менее 0,75a, где a - расстояние между рядами болтов (или сварными швами) прикрепления планки.

Концевые планки в сжатых и сжато-растянутых элементах следует делать в 1,7 раза длиннее промежуточных, а в растянутых - в 1,3 раза. Концевые планки следует располагать возможно ближе к узлу.

В сварных коробчатых и Н-образных элементах допускается выход перфорации на торец элемента.

8.173. Число болтов для прикрепления одной стороны планки должно быть не менее:

для элементов, работающих на временную нагрузку, - 4;

для элементов, работающих только на постоянную нагрузку, - 3;

для нерабочих элементов - 2.

Особенности конструкции болтосварных пролетных строений

8.174. В болтосварных пролетных строениях северного исполнения допускается применение стыковых, а в конструкциях обычного исполнения - также и накладных компенсаторов ослабления сечения элементов болтовыми отверстиями.

На концах стыковых компенсаторов ослабления (у стыка) необходимо предусматривать скосы и механическую обработку соединений в соответствии с указаниями 8.128 и 8.164.

В накладных компенсаторах ослабления следует предусматривать скосы по ширине с уклоном 1:1. Для косых швов следует принимать отношение катетов 1:2. Для обеспечения плавных (радиусом не менее 5 мм) переходов от шва к основному металлу необходимо предусматривать обработку косых швов на конце компенсатора. Косые швы и участки продольных швов до первого ряда отверстий должны обеспечивать полное прикрепление площади компенсатора. Ширина компенсатора из стали марок Ст3, 15ХСНД и 10ХСНД должна быть соответственно не более 44 и 38 его толщин. При большей требуемой ширине необходимо применять два раздельных компенсатора, расстояние между их швами должно быть не менее 60 мм. Расстояние от центра болта до края компенсатора должно быть не менее удвоенного диаметра отверстия под болт.

8.175. Для решетчатых болтосварных ферм автодорожных, городских и пешеходных пролетных строений обычного исполнения допускается применение узловых фасонок-вставок и фасонок-приставок, соединяемых с поясами с помощью сварки.

Узловые фасонки-вставки и фасонки-приставки должны иметь плавные переходы (радиусом не менее 250 мм) к поясу. Расстояние от стыка пояса и фасонки-вставки до начала выкружки в ней должно приниматься не менее 70 мм. Для стыковых швов фасонок-вставок растянутого и сжато-растянутого поясов должна предусматриваться механическая обработка, отвечающая требованиям 8.164.

У фасонок-приставок надлежит предусматривать полное проплавление всей толщины и возможность его неразрушающего контроля, а также механическую обработку концов фасонок.

8.176. Поясные листы продольных и поперечных балок могут иметь длину, меньшую, чем длина стенки, при условии устройства на углах стенки прямоугольных скругленных (радиусом 15 мм) вырезов, вертикальная грань которых совпадает с торцом обрываемого поясного листа.

Подобные вырезы должны иметь также фасонки, привариваемые к верхнему поясу поперечной балки для увеличения высоты ее стенки в зоне прикрепления к главным фермам. Конструкция сопряжения конца фасонки с поясом поперечной балки должна отвечать требованиям 8.165 и 8.166.

При необходимости устройства обрыва пояса двутавровой балки без образования вышеуказанного выреза в стенке необходимо предусматривать следующее: пояс к месту обрыва должен быть скошен по толщине до 6 мм с уклоном 1:8 и по ширине до 32 мм с уклоном 1:4; прикрепление к стенке балки на протяжении скошенной части пояса должно иметь полное проплавление. Следует предусматривать также механическую обработку конца пояса для получения плавных переходов (радиусом не менее 60 мм) к стенке (в обеих плоскостях).

Конструкция ортотропной плиты проезжей части

8.177. В автодорожных, городских пешеходных и железнодорожных мостах конструкцию ортотропной плиты следует предусматривать одноярусной, состоящей из листа настила, подкрепленного продольными и поперечными ребрами, вертикальные стенки которых приварены к листу настила двусторонними угловыми швами.

Монтажные блоки ортотропной плиты должны быть ориентированы длинной стороной вдоль оси моста.

8.178. Толщину листа настила в автодорожных и городских мостах следует принимать не менее 14 мм и не менее значения, полученного по формуле

, (8.115)

где a - расстояние между продольными ребрами;

P - максимальное давление на лист от сосредоточенной нагрузки, определяемое с учетом его распределения конструкцией полотна;

или 15,6 - значения коэффициента, принимаемые для конструкций ортотропных плит с продольными ребрами соответственно полосового и фасонного профилей.

В железнодорожных мостах толщину листа настила в следует принимать не менее 14 мм, а расстояние между осями стенок продольных ребер не более 400 мм.

8.179. В автодорожных, городских и пешеходных мостах монтажные стыки листа настила верхней ортотропной плиты следует, как правило, предусматривать сварными.

В нижних ортотропных плитах при обосновании расчетом допускается применение монтажных продольных сварных стыков горизонтального листа с неполным заполнением разделки.

В железнодорожных мостах монтажные стыки листа настила верхней или нижней ортотропной плиты следует, как правило, предусматривать на фрикционных соединениях, допускаются монтажные продольные сварные стыки горизонтального листа.

Присоединение листов настила ортотропных плит проезжей части к поясам главных балок или ферм сварными швами внахлестку не допускается.

8.180. В ортотропных плитах следует применять продольные ребра трапецеидально-коробчатого и открытого сечений из полос. Допускаются ребра из неравнобоких уголков и сварных тавров.

8.181. Монтажные стыки продольных ребер верхних ортотропных плит следует предусматривать, как правило, фрикционными с выполнением отверстий в заводских условиях.

Монтажные стыки продольных ребер нижних ортотропных плит в автодорожных, городских и пешеходных мостах следует предусматривать, как правило, сварными.

Применение сварных монтажных стыков ортотропной плиты с не приваренными к листу настила вставками продольных ребер и обрывом ребер в зоне монтажного стыка блоков пролетного строения не допускается.

Монтажные стыки продольных ребер нижних ортотропных плит в железнодорожных мостах следует предусматривать, как правило, фрикционными.

8.182. Монтажные стыки стенки и пояса поперечных ребер таврового сечения следует, как правило, предусматривать фрикционными на высокопрочных болтах с выполнением отверстий на полный диаметр в заводских условиях.

8.183. В автодорожных, городских и пешеходных мостах продольные ребра следует пропускать сквозь вырезы в стенках поперечных балок и приваривать на заводе угловыми швами к вертикальным граням выреза в стенке или в опорной пластинке (Приложение Ц, таблица Ц.1, пункт 17, а, б). Приварка торцов продольных ребер к стенкам поперечных ребер в автодорожных, городских, пешеходных мостах не допускается. (в ред. Изменения N 1, утв. Приказом Минстроя РФ от 03.12.2016 N 879/пр)

8.184. Прикрепление поперечных ребер верхней ортотропной плиты к ребрам жесткости или специальным фасонкам главных балок, как правило, следует осуществлять фрикционным на высокопрочных болтах.

В конструкциях с ортотропной плитой проезжей части анкеровку стоек ограждающих устройств следует выполнять в плоскости поперечных балок.

8.185. В железнодорожных пролетных строениях допускается применять двухъярусные ортотропные плиты с прикреплением продольных ребер к верхней полке поперечных балок на фрикционных высокопрочных болтах и установкой поперечных ребер жесткости на стенку поперечной балки по оси стенки продольного ребра.

Конструкция опорных частей

8.186. Балочные пролетные строения пролетом свыше 25 м должны иметь подвижные опорные части.

Допускается (в сейсмических районах - рекомендуется) применение опорных частей с использованием полимерных материалов.

8.187. При расстоянии между центрами опорных частей, расположенных на одной опоре, свыше 15 м следует обеспечивать поперечную подвижность одной из опорных частей путем устройства всесторонне подвижных опорных частей или другим способом.

В железнодорожных мостах нижние балансиры неподвижных опорных частей и плиты подвижных опорных частей должны быть закреплены на опорах анкерными болтами.

В случае несоблюдения условий, содержащихся в 5.40, концы пролетных строений должны быть прикреплены к опорам анкерными болтами по расчету.

8.188. Конструкция опорных частей должна обеспечивать распределение нагрузки по всей площади опирания узла пролетного строения и опирания на опору.

8.189. Опорные части следует применять, как правило, литые с шарнирами свободного касания, стаканные, шаровые, сегментные. Допускается применять подвижные однокатковые опорные части из высокопрочной стали, а также с наплавкой на поверхность катка и плиты из материалов высокой твердости и других типов при соответствующем обосновании.

В подвижных опорных частях не должно быть более четырех катков.

Катки должны быть соединены между собой боковыми стяжками, гарантирующими совместность перемещения и не препятствующими перекатке и очистке, и оснащены устройствами от боковых сдвигов и продольного угона, а также защищены футлярами. При применении цилиндрических катков, имеющих две плоские грани, должна быть исключена возможность их опрокидывания и заклинивания.

9. Сталежелезобетонные конструкции

Общие положения

9.1. Нормы настоящего раздела необходимо соблюдать для пролетных строений, в которых железобетонная плита объединена со стальными главными балками, фермами или балками проезжей части для совместной работы.

9.2. Для железнодорожных мостов следует применять сталежелезобетонные пролетные строения со сплошной стенкой балочно-разрезной системы с ездой поверху.

9.3. Требования к качеству и расчетные характеристики материалов сталежелезобетонных конструкций, а также не предусмотренные в настоящем разделе указания по расчету и конструированию следует принимать согласно разделам 5 - 8.

Расчеты

Основные положения

9.4. Расчеты следует выполнять в соответствии с СП 159.1325800, как правило, исходя из гипотезы плоских сечений, без учета податливости швов объединения стальной и железобетонной частей. Податливость швов объединения необходимо учитывать для балок пролетом менее 8 м и решетчатых ферм с панелями менее 8 м. (в ред. Изменения N 1, утв. Приказом Минстроя РФ от 03.12.2016 N 879/пр)

9.5. В расчетах сталежелезобетонных конструкций следует применять коэффициент приведения , здесь - модуль упругости конструкционного металла стальной части, - модуль упругости бетона при сжатии и растяжении, определяемый по 7.32.

9.6. Состав расчетов и виды учитываемых в них неупругих деформаций следует принимать по таблице 9.1. Как правило, неупругие деформации надлежит также учитывать при определении усилий в элементах статически неопределимых систем. Допускается приближенный учет неупругих деформаций бетона с использованием при этом условных модулей упругости по Приложениям Щ и Э.

Таблица 9.1

Нагрузки и воздействия Неупругие деформации, учитываемые в расчетах
по прочности и устойчивости на выносливость по трещиностойкости вертикальной и горизонтальной жесткости ординат строительного подъема (для конструкций со сборной плитой)
статически определимых пролетных строений железнодорожных мостов пролетных строений автодорожных, городских и пешеходных мостов по образованию трещин по раскрытию трещин
Постоянные kr, us vkr, us kr, us kr, us kr, us - kr, us, cr
(в ред. Изменения N 1, утв. Приказом Минстроя РФ от 03.12.2016 N 879/пр)
Временные вертикальные cr, pl vkr, us cr wud cr cr cr
(в ред. Изменения N 1, утв. Приказом Минстроя РФ от 03.12.2016 N 879/пр)
Температурные и усадочные cr, pl - - wud cr - -
Временные поперечные горизонтальные pl - - - - cr -
(в ред. Изменения N 1, утв. Приказом Минстроя РФ от 03.12.2016 N 879/пр)
При транспортировании, монтаже, предварительном напряжении и регулировании wud - - wud cr - wud

Обозначения, принятые в таблице 9.1:

kr - ползучесть бетона;

us - обжатие поперечных швов сборной железобетонной плиты;

vkr - виброползучесть бетона;

cr - поперечные трещины в железобетоне (от всей совокупности действующих нагрузок);

pl - ограниченные пластические деформации стали и бетона (от всей совокупности действующих нагрузок и только при проверке сечения);

wud - без учета неупругих деформаций;

тире (-) обозначает, что расчет не производится.

Расчеты сталежелезобетонных пролетных строений следует выполнять с учетом: последовательности бетонирования (монтажа) плиты проезжей части, усадки и ползучести бетона, трещинообразования, саморазогрева бетона в процессе твердения, температурных перепадов между стальной и железобетонной частями поперечного сечения. (в ред. Изменения N 1, утв. Приказом Минстроя РФ от 03.12.2016 N 879/пр)

Оценку сопротивляемости нормальных к продольной оси моста сечений изгибаемых сталежелезобетонных балок наступлению предельных состояний, а также расчеты на воздействие усадки и саморазогрева бетона в процессе твердения допускается выполнять с использованием нелинейной деформационной модели. (в ред. Изменения N 1, утв. Приказом Минстроя РФ от 03.12.2016 N 879/пр)

9.7. Ползучесть бетона необходимо учитывать при определении усилий и моментов от постоянных нагрузок и воздействий, если наибольшие напряжения в бетоне от них превосходят , где - расчетное сопротивление бетона сжатию по 7.24.

При определении влияния ползучести бетона на сталежелезобетонную конструкцию следует, как правило, учитывать изгибную жесткость железобетонной части конструкции .

Ползучесть бетона допускается учитывать приближенно по Приложению Щ, если ; здесь - изгибная жесткость стальной части конструкции.

Потери натяжения напрягаемой арматуры от ползучести бетона, а также дополнительные деформации от обжатия поперечных швов сборной железобетонной плиты следует определять по Приложению Щ.

9.8. Расчет на выносливость зон железнодорожных мостов, в которых временная нагрузка увеличивает сжимающие напряжения в бетоне, следует выполнять с учетом виброползучести бетона по Приложению Щ.

9.9. При расчетах на усадку бетона разгружающее влияние усадки не учитывается.

Предельную относительную деформацию усадки бетона следует принимать равной для монолитной плиты и для сборной плиты.

Допускается уравновешенные в пределах поперечного сечения напряжения от усадки бетона определять по Приложению Э.

Ползучесть бетона от усадочных напряжений допускается учитывать путем применения в расчетах условного модуля упругости бетона .

9.10. В расчетах на температурные воздействия следует учитывать разность температуры железобетонной и стальной частей сечения. Разность температуры следует определять, как правило, на основании теплофизических расчетов.

Расчеты на температурные воздействия допускается выполнять, принимая распределение температуры в сечении неизменным по длине сталежелезобетонного пролетного строения и исходя из следующих нормативных наибольших значений разности температуры железобетонной плиты и стальной конструкции:

а) для пролетных строений со стальными балками со сплошной стенкой при езде поверху (рисунок 9.1, а):

в случае когда температура стали выше, чем железобетона, и балка подвергается нагреву от воздействия солнечных лучей при наклоне их к горизонту 30° и более, - 30 °C;

в случае когда температура стали выше, чем железобетона, но балка не подвергается нагреву от воздействия солнечных лучей, - 15 °C;

в случае когда температура стали ниже, чем железобетона, - минус 15 °C;

б) для пролетных строений с решетчатыми главными фермами при езде поверху:

в случае когда температура стальных элементов фермы выше, чем железобетона, независимо от условий освещения солнцем, - 15 °C;

в случае когда температура стальных элементов фермы ниже, чем железобетона, - минус 10 °C;

в) для пролетных строений с главными балками со сплошной стенкой или с решетчатыми главными фермами и расположенной между ними железобетонной плитой с ездой понизу или посредине:

в случае когда температура стали выше, чем железобетона, - 20 °C;

в случае когда температура стали ниже, чем железобетона, - минус 15 °C;

г) для пролетных строений железнодорожных мостов с безбалластной плитой в проезжей части и в пролетных строениях автодорожных и городских мостов с ездой поверху без (до) устройства на железобетонной плите проезжей части одежды ездового полотна в случае, когда температура железобетона выше, чем стали, - 20 °C.

а - схема поперечного сечения; б - криволинейная эпюра разности температуры по высоте стальной части сечения; в - криволинейная эпюра разности температуры для верхней части сечения балки

Рисунок 9.1. Поперечное сечение сталежелезобетонной конструкции и расчетные эпюры разности температуры

Определение усилий и напряжений от температурных воздействий следует выполнять:

по "а" - с принятием по высоте стальной части сечения криволинейной эпюры разности температуры (рисунок 9.1, б) с ординатой в i-й точке

, (9.1)

где , - по рисунку 9.1, а, см;

по "б" и "в" - с принятием прямоугольной эпюры разности температуры по всей высоте стальной части сечения;

по "г" - с принятием криволинейной эпюры разности температуры по рисунку 9.1, в, с ординатой в i-й точке

, (9.2)

где - по рисунку 9.1, в, см.

В пролетных строениях с ездой поверху стальную часть коробчатого сечения допускается условно разделять на балки двутаврового сечения и при этом учитывать разность температуры по рисунку 9.1, б. Допускается уравновешенные в пределах поперечных сечений напряжения от изменений температуры определять по Приложению Э.

9.11. Сжатую железобетонную плиту следует рассчитывать по прочности, трещиностойкости, а в железнодорожных мостах - и на выносливость.

Влияние развития ограниченных пластических деформаций бетона и стали на распределение усилий в статически неопределимых конструкциях допускается не учитывать.

9.12. Растянутую железобетонную плиту следует рассчитывать по прочности и трещиностойкости. Категории требований по трещиностойкости следует принимать согласно 7.95.

Жесткость при растяжении железобетонной плиты с учетом образовавшихся трещин определяется выражением ; здесь , - модуль упругости и площадь сечения продольной арматуры плиты, - коэффициент, учитывающий частичное вовлечение бетона между трещинами в работу на растяжение и принимаемый по таблице 9.2.

Таблица 9.2

Арматура Значения коэффициента для
железнодорожных мостов при расчете автодорожных и городских мостов при расчетах по прочности и трещиностойкости
по прочности по трещиностойкости
Гладкая, пучки высокопрочной проволоки, стальные канаты 1,00 1,00 0,70
Периодического профиля 1,00 0,75 0,50

В статически неопределимых системах усилия следует определять с учетом влияния наличия поперечных трещин в железобетонной плите.

Для сборной необжатой железобетонной плиты, у которой продольная арматура не стыкуется, жесткость при растяжении следует принимать равной нулю.

9.13. Расчеты плиты проезжей части на местный изгиб и совместную работу с главными балками допускается выполнять независимо один от другого, при этом суммировать усилия и деформации следует только в случае работы плиты на местный изгиб в продольном направлении.

9.14. Расчет поперечного сечения следует выполнять по стадиям, число которых определяется количеством частей сечения, последовательно включаемых в работу.

Для каждой части сечения действующие напряжения следует определять суммированием их по стадиям работы.

9.15. Учитываемую в составе сечения расчетную ширину железобетонной плиты следует определять как сумму расчетных величин свесов плиты в обе стороны от оси стальной конструкции (рисунок 9.2). Расчетное значение свеса плиты следует, как правило, определять пространственным расчетом; допускается принимать ее значение в соответствии с таблицей 9.3.

Рисунок 9.2. Схема для определения расчетной ширины железобетонной плиты, учитываемой в составе сечения

Таблица 9.3

Положение свеса плиты относительно стальной части, его обозначение Параметр плиты l Расчетная величина свеса плиты
Свес в сторону соседнего стального элемента b Св. 4B B/2
Менее 4B a + 6tsl,
но не более B/2 и не менее l/8
Свес в сторону консоли bc Св. 12C C
Менее 12C a + 6tsl,c,
но не более C и не менее l/12

Обозначения, принятые в таблице 9.3:

a - половина ширины железобетонного ребра или вута, а при их отсутствии - половина ширины контакта железобетонной плиты и стального пояса;

tsl, tsl,c - средняя толщина железобетонной плиты соответственно в пролете и на консоли (за вычетом ребра или вута);

l - параметр плиты, равный:

длине пролета - для главных балок или ферм;

длине панели - для продольных балок проезжей части;

расстоянию между главными фермами или ширине железобетонной плиты поперек моста, если она меньше этого расстояния, - для поперечных балок проезжей части;

B - расстояние между осями стальных конструкций, равноценных по жесткости (см. рисунок 9.2);

C - конструктивный консольный свес плиты от оси стальной конструкции (см. рисунок 9.2).

9.16. Площадь железобетонной плиты , а в расчетах на кручение - также ее толщину и ширину ребра или вута следует принимать поделенными на коэффициент приведения согласно 9.5. При учете неупругих деформаций допускается использовать коэффициенты приведения, найденные по условным модулям упругости бетона, определяемым по Приложениям Щ и Э.

Площадь продольной арматуры, имеющей сцепление с бетоном, следует принимать поделенной на коэффициент приведения , где - модуль упругости ненапрягаемой или напрягаемой арматуры, принимаемый по таблице 7.19.

Подливку, одежду ездового полотна и верхнее строение железнодорожного пути в составе расчетного поперечного сечения учитывать не следует.

9.17. Центры тяжести стального и приведенного сечений следует определять по сечению брутто.

Ослабление сечений болтовыми отверстиями учитывается согласно 8.24.

9.18. Прочность и устойчивость стальных балок при монтаже проверяют согласно 8.41, 8.42 и 8.51.

Прочность и трещиностойкость конструкций и их элементов при предварительном напряжении, транспортировании и монтаже следует проверять в предположении упругой работы стали и бетона. Проверку следует осуществлять без учета ползучести, усадки бетона и обжатия поперечных швов, но с учетом влияния потерь предварительного напряжения согласно разделу 7.

Расчет конструкций

Расчет по прочности

9.19. Расчет сталежелезобетонной балки на воздействие положительного изгибающего момента (вызывающего в верхнем поясе сжатие) следует выполнять по формулам таблицы 9.4 по одному из расчетных случаев А, Б или В (рисунок 9.3) в зависимости от величины напряжения в бетоне на уровне центра тяжести железобетонной плиты и напряжения в продольной арматуре , отвечающего деформации бетона при напряжении .

Таблица 9.4

Критерии и проверки Формулы для критериев и проверок прочности в расчетных случаях
А Б В
Критерии:
соотношения жесткостей
- -
напряжения в бетоне
(сжатие +, растяжение -)
напряжения в расчетной продольной арматуре
(сжатие +, растяжение -)
Проверки:
железобетона
(сжатие +, растяжение -)
- -
стального верхнего пояса
(сжатие +, растяжение -)
стального нижнего пояса
(сжатие +, растяжение -)

Обозначения, принятые в таблице 9.4:

- полный изгибающий момент (принимают так же, как и и с соответствующим знаком);

- изгибающий момент первой стадии работы (нагрузку воспринимает стальная часть конструкции);

- изгибающий момент второй стадии работы (нагрузку воспринимает сталежелезобетонная конструкция), определяемый для статически неопределимых систем с учетом ползучести бетона, обжатия поперечных швов, образования поперечных трещин в растянутых зонах железобетонной плиты, а также усадки бетона и изменений температуры;

, - уравновешенные в поперечном сталежелезобетонном сечении напряжения, возникающие на уровне центра тяжести поперечного сечения бетона от его ползучести, обжатия поперечных швов сборной плиты, усадки бетона и изменений температуры (за исключением случая, когда температура железобетонной плиты согласно 9.10, г выше, чем стали, и расчеты проводятся по формулам таблиц 9.4 - 9.6) соответственно в бетоне и в продольной арматуре;

- площадь нетто поперечного сечения стальной балки;

, , , , - площади элементов поперечного сечения соответственно стальных нижнего и верхнего поясов, стальной вертикальной стенки, бетона плиты, продольной ненапрягаемой арматуры плиты;

; ; - моменты сопротивления;

- условный момент сопротивления на уровне центра тяжести сечения бетона;

, - моменты инерции нетто соответственно сталежелезобетонного поперечного сечения балки, приведенного к стали, и поперечного сечения стальной балки;

, , , - расстояние согласно рисунку 9.3;

- коэффициент приведения, принимаемый по 9.16;

- коэффициент приведения, принимаемый по 9.5;

- предельная (для сталежелезобетонных конструкций) относительная деформация бетона в уровне центра тяжести его поперечного сечения;

, , - расчетные сопротивления соответственно материала стальной конструкции согласно 8.8 и 8.9, бетона сжатию согласно 7.24, ненапрягаемой продольной арматуры согласно 7.37;

- поправочный коэффициент к моменту сопротивления при расчете прочности стальной балки на совместное действие изгибающего момента и осевой силы;

- поправочный коэффициент к моменту сопротивления при проверке стального верхнего пояса, принимаемый не менее 1,0;

- коэффициент, принимаемый по 8.26;

- коэффициент, принимаемый по таблице 9.5;

m - коэффициент условий работы стальной конструкции, принимаемый по 8.19;

- коэффициент условий работы бетона, принимаемый по 7.25;

- коэффициент условий работы арматуры, принимаемый по 7.39 - 7.45;

- коэффициент условий работы верхнего стального пояса, учитывающий его разгрузку прилегающим недонапряженным бетоном и принимаемый не более 1,2;

k - коэффициент, учитывающий увеличение относительных деформаций бетона при развитии пластических деформаций; при этом k = 1, если ; в случае если , k определяют интерполяцией между предельными значениями k = 1,0 и .

Рисунок 9.3. Усилия, напряжения и деформации в сталежелезобетонном поперечном сечении, воспринимающем положительный изгибающий момент

Таблица 9.5

Значения коэффициента при , равном
0 0,05 0,10 0,15 0,20 0,25 0,30 0,35
0 1,0
---
1,0
1,0
----
0,98
1,0
----
0,94
1,0
----
0,90
1,0
----
0,87
1,0
----
0,81
0,99
----
0,75
0,98
----
0,67
0,2 1,0
---
1,0
1,0
----
0,97
1,0
----
0,92
1,02
----
0,87
1,03
----
0,80
1,04
----
0,70
1,05
----
0,57
1,06
----
0,38
0,4 1,0
---
1,0
1,04
----
0,90
1,08
----
0,8
1,12
----
0,67
1,14
----
0,52
1,16
----
0,34
1,19
----
0,53
1,20
----
0,68
0,6 1,0
---
1,0
1,10
----
0,84
1,19
----
0,64
1,28
----
0,40
1,35
----
0,56
1,40
----
0,75
1,44
----
0,95
1,46
----
1,13
0,8 1,0
---
1,0
1,20
----
0,61
1,39
----
0,51
1,55
----
0,84
1,70
----
1,12
1,83
----
1,36
1,93
----
1,60
1,98
----
1,86
1,0 1,0
---
1,0
1,29
----
1,29
1,63
----
1,63
2,04
----
2,04
2,47
----
2,47
2,86
----
2,86
3,20
----
3,20
3,38
----
3,38

Окончание таблицы 9.5

Значения коэффициента при , равном
0,40 0,45 0,50 0,55 0,60 0,65 0,70
0 0,96
----
0,58
0,95
----
0,45
0,92
----
0,28
0,88
----
0,52
0,83
----
0,68
0,75
----
0,76
0,63
----
0,82
0,2 1,07
----
0,49
1,06
----
0,61
1,05
----
0,72
1,02
----
0,82
0,99
----
0,91
0,90
----
0,99
0,75
----
1,05
0,4 1,21
----
0,84
1,20
----
0,98
1,18
----
1,12
1,16
----
1,22
1,13
----
1,30
1,09
----
1,38
1,04
----
1,42
0,6 1,47
----
1,30
1,46
----
1,45
1,45
----
1,58
1,42
----
1,69
1,39
----
1,76
1,35
----
1,84
1,30
----
1,90
0,8 2,00
----
2,08
2,02
----
2,29
2,01
----
2,47
1,99
----
2,52
1,97
----
2,50
1,91
----
2,46
1,84
----
2,38
1,0 3,49
----
3,49
3,56
----
3,56
3,57
----
3,57
3,53
----
3,53
3,43
----
3,43
3,29
----
3,29
3,05
----
3,05

Таблица 9.6

Критерии и проверки Формулы для критериев и проверок прочности в расчетных случаях
Г Д
Критерии:
соотношения жесткостей
-
напряжений в бетоне (сжатие +, растяжение -)
Проверки:
напряжения в продольной арматуре железобетона (растяжение +, сжатие -)
-
стального верхнего пояса (растяжение +, сжатие -)
стального нижнего пояса (растяжение +, сжатие -)

Обозначения, принятые в таблице 9.6:

M; ; ; ; ; ; ; ; ; ; ; ; ; ; ; ; ; ; ; ; m; ; - см. обозначения к таблице 9.4;

; ; - соответственно площадь, момент сопротивления и момент инерции поперечного сечения нетто стальной конструкции балки, работающей совместно с продольной арматурой площадью (приведенной к материалу стальной конструкции);

; ; ; - расстояния по рисунку 5.4;

Официальный источник электронного документа содержит неточность: имеется ввиду рисунок 8.1.

- поправочный коэффициент, принимаемый не менее 1,0;

- коэффициент условий работы верхнего стального пояса, принимаемый не более 1,2.

Обозначения, принятые в таблицах 9.4 - 9.6:

- в случаях А и Г;

- в случае Б при проверке нижнего пояса;

- в случае Б при проверке верхнего пояса, а также в случае В;

- в случае Д при проверке верхнего пояса;

, но не более - в случае Д при проверке нижнего пояса.

Примечания.

1. Случаи А, Б и В следует принимать по 9.19 (рисунок 9.3), Г и Д - по 9.21 (рисунок 9.4).

2. Здесь - меньший по площади пояс стальной балки.

3. Над чертой даны значения для случая, когда напряжения от момента и осевой силы суммируются в меньшем по площади поясе стальной балки; под чертой - для случая, когда напряжения от момента и осевой силы суммируются в большем по площади поясе стальной балки.

4. Нормальную силу N следует принимать растягивающей стальную балку при сжимающих напряжениях в железобетонной плите и сжимающей стальную балку при растягивающих напряжениях в железобетонной плите и арматуре (в формулы силу N в обоих случаях необходимо подставлять со знаком "плюс").

9.20. При расположении нейтральной оси сечения в пределах высоты железобетонной плиты и напряжениях в растянутой части плиты, превосходящих по 7.24 и 7.25, в состав сечения следует включать только сжатую часть бетона. Проверку прочности сечения следует выполнять с учетом неравномерного распределения напряжений по высоте железобетонной плиты.

9.21. Расчет сталежелезобетонной балки на воздействие отрицательного изгибающего момента (вызывающего в верхнем поясе растяжение) следует выполнять по формулам таблицы 9.6 по одному из расчетных случаев Г или Д (рисунок 9.4) в зависимости от величины напряжения в бетоне на уровне центра тяжести железобетонной плиты.

Рисунок 9.4. Усилия и напряжения в сталежелезобетонном поперечном сечении, воспринимающем отрицательный изгибающий момент

9.22. Расчет по прочности более сложных сечений (например, напрягаемых высокопрочной арматурой, двухплитных, при совместном действии изгибающего момента и внешней осевой силы) следует выполнять с учетом их напряженного состояния и конструктивных особенностей в соответствии с 9.19 - 9.21.

Для сечения с высокопрочной арматурой усилия предварительного напряжения следует учитывать на стадии натяжения арматуры как внешнюю нагрузку. На последующих стадиях работы при определении разгружающих усилий N высокопрочную арматуру следует учитывать с бетоном и ненапрягаемой продольной арматурой, при этом необходимо дополнительно выполнить проверку прочности высокопрочной арматуры. В случае Д высокопрочную арматуру следует проверять с учетом увеличения усилия в ней при ограниченном развитии пластических деформаций в стальной конструкции.

При действии на сечение наряду с изгибающими моментами M также внешних осевых усилий следует учитывать дополнительные изгибающие моменты, возникающие от изменения положения центра тяжести рассматриваемой части сечения.

9.23. Расчет по прочности сечений с железобетонной плитой, работающей на местный изгиб в продольном направлении, следует выполнять по расчетным случаям А, Б, В, Г и Д, при этом плиту в случаях Б, В и Д необходимо рассчитывать по предельному равновесию как внецентренно сжатый или внецентренно растянутый железобетонный стержень в соответствии с 7.69, 7.70, 7.72, 7.73, 7.75 и 9.13, а в расчете всего сечения следует учитывать разгрузку стальной его части равнодействующей сжимающих или растягивающих продольных сил, воспринимаемых плитой.

Расчет на выносливость

9.24. Расчет на выносливость следует выполнять: для стальной и железобетонной частей конструкции, а также для конструкций объединения железобетона со сталью железнодорожных мостов; только для стальной части конструкции, прикреплений конструкций объединения и плиты проезжей части автодорожных, городских и пешеходных мостов. При этом высокопрочную арматуру, имеющую сцепление с бетоном, следует относить к железобетонной части, а не имеющую сцепления - к стальной.

В расчетах на выносливость следует учитывать неупругие деформации бетона согласно 9.6 - 9.8 и Приложению Щ.

Температурные воздействия, усадку бетона и горизонтальные нагрузки в расчетах на выносливость допускается не учитывать.

В состав сечения при определении следует включать ту часть бетона, в которой при рассматриваемом загружении отсутствует растяжение.

Проверку выносливости следует выполнять с учетом требований, изложенных в 7.91 - 7.94 и 8.57.

9.25. Расчет на выносливость сталежелезобетонной балки железнодорожного моста с ненапрягаемой арматурой в железобетонной части сечения следует выполнять по формулам:

; (9.3)

; (9.4)

, (9.5)

где - изгибающий момент первой стадии работы от нагрузок, учитываемых в расчетах на выносливость;

- изгибающий момент второй стадии работы от нагрузок, учитываемых в расчетах на выносливость, включая изгибающие моменты от виброползучести бетона; (в ред. Изменения N 1, утв. Приказом Минстроя РФ от 03.12.2016 N 879/пр)

- момент сопротивления нетто сталежелезобетонного сечения для фибры i (bf, s1, s2), определенный при коэффициенте приведения бетона к стали ;

- условный модуль упругости бетона с учетом его виброползучести по Приложению Щ;

- коэффициент условий работы бетона под многократно повторяющейся нагрузкой согласно 7.26;

остальные обозначения соответствуют принятым в 7.94, 8.57, 9.19 и на рисунке 9.3.

При наличии концентраторов напряжений на стенке балки следует проверить выносливость и этих точек сечения с подстановкой в формулы (9.4) и (9.5) соответствующих значений моментов сопротивления и коэффициента .

Расчет по трещиностойкости

9.26. Расчет железобетонных плит по трещиностойкости при совместной работе со стальными конструкциями следует выполнять в соответствии с требованиями 7.95 - 7.111 и 9.12. При этом в расчетах по образованию трещин предельные значения растягивающих и сжимающих напряжений в бетоне следует сопоставлять с напряжениями в крайней фибре бетона упруго работающего сталежелезобетонного сечения, вычисленными от эксплуатационных нагрузок с учетом на стадии эксплуатации неупругих деформаций согласно 9.6.

В расчетах по раскрытию трещин напряжения в крайнем ряду продольной арматуры следует вычислять с учетом увеличения ее площади согласно 9.12 и потерь напряжения от неупругих деформаций. При ненапрягаемой продольной арматуре и работе сечения по двум стадиям растягивающее напряжение следует вычислять по формуле

, (9.6)

где - изгибающий момент второй стадии работы от эксплуатационных нагрузок, определяемый для статически неопределимых систем с учетом ползучести бетона, обжатия поперечных швов, образования поперечных трещин в растянутых зонах железобетонной плиты, а также усадки бетона и изменения температуры; остальные обозначения пояснены в соответствии с 9.12, 9.19, 9.21 и на рисунке 9.4.

9.27. Раскрытие трещин (при двух стадиях работы) в растянутой сборной железобетонной плите, у которой ненапрягаемая арматура в поперечных швах не состыкована, следует определять по формуле

, (9.7)

где - растягивающее напряжение в стальном верхнем поясе от нагрузок и воздействий второй стадии работы в предположении, что железобетонная плита в растянутой зоне отсутствует;

- расстояние между конструкциями объединения у поперечных швов, при отсутствии конструкций объединения - длина блока плиты;

, - расстояния согласно рисунку 9.4;

- предельная ширина раскрытия трещин в поперечном шве, имеющем арматуру для передачи поперечной силы; при отсутствии в шве арматуры следует вычислять в предположении, что поперечная сила через шов не передается.

При устройстве клеевых швов трещиностойкость железобетонной плиты в железнодорожных мостах следует проверять по категории требований по трещиностойкости 2а; при проверке трещиностойкости железобетонной плиты в автодорожных, городских и пешеходных мостах величина растягивающих напряжений не должна превышать (по таблице 7.6).

При использовании клееных стыков в предварительно напряженной железобетонной плите ее трещиностойкость следует принимать по 7.95.

Расчет объединения железобетонной плиты со стальной конструкцией

9.28. Конструкции объединения следует рассчитывать на сдвигающие усилия в объединительном шве от поперечных сил и продольное сдвигающее усилие , возникающее от температурных воздействий и усадки бетона, анкеровки высокопрочной арматуры, воздействия примыкающей ванты или раскоса и т.д.

Конструкции объединения, расположенные на концевых участках железобетонной плиты, следует рассчитывать, кроме того, на отрывающие усилия, в том числе возникающие от температурных воздействий и усадки бетона.

9.29. Сдвигающее усилие по шву объединения железобетонной плиты и стальной конструкции следует определять по формуле

, (9.8)

где , - напряжения в центре тяжести поперечного сечения бетона соответственно в правом и левом сечениях расчетного участка плиты длиной ;

, - напряжения в продольной арматуре соответственно в тех же сечениях;

, - согласно 9.19 и 9.12.

Если растягивающие напряжения в железобетонной плите превышают , сдвигающие усилия следует определять в предположении наличия в плите трещин и вычислять напряжения в арматуре с учетом продольной жесткости плиты согласно 9.12.

Полное концевое сдвигающее усилие следует определять, принимая на конце и назначая длину концевого расчетного участка равной

, (9.9)

где H - расчетная высота поперечного сечения сталежелезобетонного элемента;

- согласно 9.15.

Распределение сдвигающих усилий между железобетонной плитой и стальной конструкцией в сложных случаях воздействий допускается принимать согласно Приложению Ю.

9.30. Концевые, отрывающие железобетонную плиту от стальной конструкции усилия , следует определять по формуле

, (9.10)

где - расстояние от центра тяжести поперечного сечения бетона до верхней фибры стальной конструкции;

, H, - согласно 9.29.

Отрывающее усилие следует принимать приложенным на расстоянии от конца плиты (рисунок Ю.1 Приложения Ю).

9.31. Расчеты конструкции объединения стальной части с железобетонной плитой следует выполнять:

а) при жестких упорах - полагая прямоугольной эпюру сжимающих напряжений, передаваемых расчетной сминающей поверхностью упора;

б) при вертикальных гибких упорах - исходя из условий работы упора на изгиб со смятием бетона согласно Приложению Я;

в) при наклонных анкерах - исходя из условий работы анкера на сочетание растяжения и изгиба со смятием бетона согласно Приложению Я;

г) при закладных деталях плиты, объединенных со стальными поясами высокопрочными болтами, - исходя из расчета фрикционных соединений на высокопрочных болтах согласно 8.100 и 8.101;

д) при объединительных швах на высокопрочных болтах, обжимающих железобетон, - исходя из условий работы объединения на трение по контактным поверхностям шва согласно Приложению 1 настоящего свода правил;

е) при болтоклеевых объединительных швах - в соответствии с "г" или "д", но с учетом сил сцепления от склеивания;

ж) при гребенчатых упорах на действие расчетных сдвигающих и отрывающих усилий с учетом равномерного распределения по длине пролетного строения.

9.32. Расчет конструкции объединения на жестких упорах надлежит выполнять по следующим формулам:

в железнодорожных мостах:

по прочности

; (9.11)

на выносливость

; (9.12)

в автодорожных, городских и пешеходных мостах - по прочности

, (9.13)

где , - сдвигающие усилия, приходящиеся на один упор, соответственно при расчете по прочности или выносливости;

- площадь поверхности смятия бетона упором; при цилиндрических и дугообразных упорах - площадь их диаметрального сечения;

- согласно 9.25.

При сборной железобетонной плите и расположении упоров в окнах расчетное сопротивление следует принимать по классу бетона блоков, а толщину подливки не включать в площадь смятия. При расположении упоров в продольных швах плиты площадь смятия следует учитывать полностью, а расчетные сопротивления принимать по классу бетона замоноличивания швов.

Если жесткие упоры расположены в железобетонном ребре или вуте, предельные значения величин и следует уменьшать, умножая правые части приведенных формул на 0,9 при и на 0,7 при , где - ширина площади смятия бетона упором, - ширина ребра или вута на уровне центра тяжести расчетной площади смятия бетона упором.

Расчет соединений с непрерывными гребенчатыми упорами выполняется в соответствии с [11].

9.33. Прикрепления конструкций объединения к стальной части следует рассчитывать согласно 8.82 - 8.102.

Расчеты прикрепления жесткого упора к стальной части конструкции следует выполнять с учетом момента от сдвигающей силы.

9.34. При одновременном использовании в конструкции объединения жестких упоров и наклонных анкеров допускается учитывать их совместную работу, полагая полное сопротивление объединительного шва равным сумме сопротивлений упоров и анкеров.

Проверка жесткости, определение строительного подъема и расчет по горизонтальным нагрузкам

9.35. Вертикальные прогибы от действующих нагрузок, а также перемещения при определении периодов колебаний следует вычислять, принимая жесткость сталежелезобетонной балки с учетом трещинообразования. (в ред. Изменения N 1, утв. Приказом Минстроя РФ от 03.12.2016 N 879/пр)

При определении периодов свободных горизонтальных колебаний прогиб железобетонной плиты в горизонтальной плоскости допускается определять с введением в состав сечения защитного слоя, подготовки под гидроизоляцию, бортов балластного корыта и железобетонных тротуаров.

При расчете строительного подъема пролетных строений с монолитной плитой проезжей части следует учитывать последовательность бетонирования плиты, усадку и ползучесть бетона, возможные перепады температуры между стальной и железобетонной частями сооружения, а также саморазогрев бетона в процессе твердения.

9.36. В однопутных железнодорожных пролетных строениях железобетонная плита должна быть проверена по прочности в горизонтальной плоскости как сжато-изогнутый (или растянуто-изогнутый) железобетонный элемент, находящийся под действием осевого усилия от совместной работы со стальной конструкцией и изгибающего момента от горизонтальных нагрузок. Температурные воздействия и усадку бетона при этом допускается не учитывать.

Если бетон плиты от действия вертикальных нагрузок и усилий предварительного напряжения оказывается в пластическом состоянии и не воспринимает горизонтальный изгибающий момент, последний должен быть воспринят стальной частью конструкции. При этом полные относительные деформации в бетоне с учетом горизонтального изгибающего момента не должны превышать 0,0016.

Конструирование

9.37. Железобетонную плиту следует объединять со стальными главными балками и фермами по всей их длине. Требуемая степень трещиностойкости должна быть обеспечена продольным армированием или предварительным напряжением.

9.38. Толщина железобетонной плиты проезжей части должна быть не менее указанной в 7.117. Толщина железобетонной плиты тротуарной консоли, учитываемой в составе рабочего сечения, должна быть не менее 12 см.

9.39. Объединение сборной железобетонной плиты со стальной конструкцией следует осуществлять, как правило, с применением фрикционных, болтоклеевых или сварных соединений.

Допускается объединение упорами и анкерами, замоноличиваемыми в окнах и швах сборной железобетонной плиты. Зазоры между упором и конструкцией блока плиты должны быть не менее 5 и 3 см соответственно вдоль и поперек пролетного строения.

Устройство упоров и анкеров в полостях и пазах, закрытых сверху, а также трудно омоноличиваемых, не допускается.

При устройстве прерывистых объединительных швов должна быть обеспечена прочность железобетонной плиты при работе на местный изгиб между участками опирания, при этом высота зазора между плитой и поясом должна быть достаточной для окраски пояса.

9.40. Размещение конструкций объединения должно удовлетворять следующим требованиям:

расстояние в свету между жесткими упорами и анкерами не должно превышать восьмикратной средней толщины плиты, определяемой делением площади плиты, включенной в работу, на ее расчетную ширину, при этом площадь плиты следует принимать с учетом площади ребра или вута;

расстояние в свету между жесткими упорами должно быть не менее 3,5-кратной высоты расчетной площади смятия бетона упором;

расстояние в свету между анкерами должно быть не менее , где - диаметр стержня анкера.

Минимальные расстояния для размещения высокопрочных болтов, обжимающих железобетонную плиту, следует принимать по таблице 9.7.

Таблица 9.7

Нормируемый размер Минимально допустимое расстояние, мм, при диаметре болтов, мм
22 24
От центра отверстия до края железобетонного элемента 100 120
Между центрами отверстий по всем направлениям 140 160

9.41. Конструкция жестких упоров должна обеспечивать равномерные деформации бетона по площади смятия и не приводить к раскалыванию бетона, например, из-за наличия углов.

При выпуклой форме поверхности, передающей давление с упора на бетон (цилиндрических упорах и др.), зону местного сжатия бетона упором необходимо армировать.

9.42. Анкеры следует устраивать, как правило, в виде петель, расположенных под углом 45° к направлению сдвигающих усилий.

Допускается применение одиночных арматурных анкеров.

В закладных деталях петлевые арматурные анкеры следует, как правило, применять в сочетании с жесткими упорами.

9.43. При применении высокопрочных болтов для объединения сборной железобетонной плиты со стальными поясами необходимо:

отверстия под высокопрочные болты назначать увеличенных диаметров, обеспечивающих постановку болтов с учетом допусков, установленных нормами изготовления и монтажа;

обеспечить возможность устранения неплотностей за счет деформирования стальных листов при стягивании, применения податливых прокладок или других мер.

9.44. Железобетонная плита должна быть заанкерена против отрыва ее от стальной части. При жестких упорах, не обеспечивающих заанкеривания железобетонной плиты, следует применять дополнительные меры против ее отрыва.

Если в объединении с наклонными анкерами сдвигающая сила может менять направление действия, необходимы постановка наклонных анкеров встречных направлений или сочетание наклонных анкеров с вертикальными.

9.45. Поперечные стыки блоков сборной железобетонной плиты рекомендуется устраивать с применением:

склеивания торцевых поверхностей с обжатием стыков усилием, создающим давление на торец не менее 0,5 МПа;

сварки арматурных выпусков и последующего замоноличивания шва бетоном.

9.46. При сборной железобетонной плите, объединенной на всей длине блока, между стальным верхним поясом и железобетонным блоком должен быть предусмотрен слой бетона или раствора, предохраняющий верхний пояс от коррозии. При толщине слоя раствора или бетона 5 см и более его следует армировать.

9.47. Объединение стальных балок с монолитной железобетонной плитой следует выполнять посредством: непрерывных гребенчатых упоров из стальных полос, привариваемых к верхним поясам стальных балок; гибких стержневых упоров из арматуры периодического профиля; гибких штыревых упоров.

10. Деревянные конструкции

Общие указания

10.1. В деревянных железнодорожных мостах и элементах всех мостов с клеевыми соединениями следует применять элементы заводского изготовления. (в ред. Изменения N 1, утв. Приказом Минстроя РФ от 03.12.2016 N 879/пр)

Железнодорожные деревянные мосты следует применять балочно-эстакадного типа с пролетными строениями в виде прогонов или простых (несоставных) пакетов.

В автодорожных деревянных мостах следует применять деревянные, деревожелезобетонные и деревометалложелезобетонные пролетные строения с клееными несущими балками и железобетонной плитой проезжей части, включенной в работу на общее действие постоянных и временных нагрузок. (в ред. Изменения N 1, утв. Приказом Минстроя РФ от 03.12.2016 N 879/пр)

10.2. Для деревянных мостов следует предусматривать специальные меры по защите древесины от гниения, в необходимых случаях - и от возгорания.

10.3. Конструкции деревянных мостов должны обеспечивать доступность всех частей для осмотра и очистки, устранения неплотностей, возникших в соединениях, посредством подтяжки болтов и тяжей, а также допускать возможность простого ремонта отдельных элементов, на железных дорогах - замену капитальными мостами или трубами.

Применяемые в конструкциях узлы, стыки и соединения должны обеспечивать равномерное распределение усилий между отдельными элементами и частями сооружения.

Особое внимание следует уделять обеспечению условий для проветривания отдельных частей конструкции.

10.4. В балочных эстакадных мостах на однорядных опорах для восприятия горизонтальных сил следует устраивать, как правило, каждую пятую опору двухрядной или многорядной.

10.5. Деревянные опоры должны быть надежно защищены от воздействия льда и плывущих предметов с помощью обшивок, обстроек и ледорезов.

Материалы

10.6. Для деревянных конструкций мостов следует применять древесину сосны, ели, лиственницы, пихты, удовлетворяющую требованиям ГОСТ 9463 и ГОСТ 8486.

Растянутые и изгибаемые элементы пролетных строений и мостовые брусья должны выполняться из древесины 1-го сорта. Остальные элементы конструкций мостов могут быть выполнены из древесины 2-го сорта.

В крайних зонах (в пределах 1/6 высоты от кромок балок, но не менее двух досок) клееных балок прямоугольного сечения следует применять пиломатериалы 1-го сорта, в остальных зонах допускается применять пиломатериалы 2-го сорта.

Для железнодорожных мостов общей сети применение ели и пихты допускается в отдельных случаях при технико-экономическом обосновании.

Для изготовления мелких деталей соединений (подушек, шпонок и т.п.) следует применять отборную древесину твердых лиственных пород (дуба, ясеня, бука и граба), удовлетворяющую требованиям ГОСТ 9462, - для круглого леса лиственных пород и ГОСТ 2695 - для пиломатериалов лиственных пород.

Допускается для опорных брусьев и насадок в опорах мостов применение круглого леса и брусьев из древесины твердых лиственных пород - дуба, бука, ясеня, граба по ГОСТ 9462 и ГОСТ 2695.

Смешение разных пород древесины в одном несущем элементе не допускается.

10.7. Прочностные характеристики (нормативное и временное сопротивление) древесины, применяемой для изготовления элементов деревянных мостов, должны соответствовать требованиям, указанным для сортовой древесины в СП 64.13330.

Лабораторные испытания образцов древесины по прочности следует проводить при сооружении мостов с деревянными фермами и во всех случаях - при наличии признаков пониженной прочности древесины. Древесина считается пригодной, если полученная при испытаниях прочность не ниже нормативных сопротивлений. Прочность древесины круглых лесоматериалов и брусьев допускается оценивать визуально по соответствующим требованиям, приведенным в государственных стандартах, упомянутых в 10.6 настоящего документа.

10.8. Влажность применяемой древесины должна быть не более, %: бревен - 25, пиломатериалов - 20, пиломатериалов для клееных конструкций, а также мелких деталей и соединений - 12.

В малых автодорожных <1> и городских мостах для верхнего настила, поперечин и колесоотбойных брусьев допускается применять древесину с влажностью до 40%.

<1> При отсутствии дополнительных указаний к автодорожным деревянным мостам здесь и далее относятся также деревянные мосты на внутрихозяйственных автомобильных дорогах в сельскохозяйственных предприятиях и организациях.

Влажность древесины для свай и других элементов, целиком расположенных ниже уровня низких вод, не ограничивается. При изготовлении деревянных конструкций в условиях стройплощадки допускается применять для несущих элементов древесину с влажностью до 25%, а для вспомогательных элементов - с влажностью до 40% при условии ее защиты от гниения.

10.9. Для стальных и железобетонных элементов деревожелезобетонных и деревометалложелезобетонных пролетных строений следует применять полосовую, фасонную, листовую и арматурные стали, нагели, винты, глухари и бетон, удовлетворяющие требованиям разделов 7 и 8. (в ред. Изменения N 1, утв. Приказом Минстроя РФ от 03.12.2016 N 879/пр)

Гвозди следует применять по ГОСТ 4028, а стальные дюбели - по [12]. В обоснованных случаях допускается использовать гвозди винтовые стальные по [13].

10.10. Для склеивания элементов конструкций следует применять клеи, обладающие необходимой прочностью, водостойкостью, биостойкостью и долговечностью: фенольные, резорциновые и фенольно-резорциновые, которые в зависимости от условий эксплуатации должны соответствовать требованиям СП 64.13330.

Для склеивания древесины с металлом следует применять эпоксидные клеи.

Расчетные характеристики материалов и соединений

10.11. Расчетные сопротивления древесины сосны 1-го сорта в зависимости от ее влажности следует принимать по таблице 10.1.

Таблица 10.1

Напряженное состояние и характеристика элементов Обозначение Расчетные сопротивления, МПа, при влажности, %
25 и менее свыше 25
1. Изгиб:    
а) элементов из бревен естественной коничности   17,7 15,2
б) элементов из брусьев и окантованных бревен   15,7 13,7
в) досок настила и др.   13,7 11,8
2. Растяжение вдоль волокон 11,8 9,8
3. Сжатие и смятие вдоль волокон , 14,7 11,8
4. Сжатие и смятие всей поверхности поперек волокон 1,77 1,47
5. Смятие местное поперек волокон:    
а) в лобовых врубках (при длине площади смятия до 15 см)   3,1 2,5
б) под шайбами при углах смятия от 90° до 60°   3,9 3,3
6. Скалывание (наибольшее) вдоль волокон при изгибе 2,35 2,15
7. Скалывание (среднее по площадке) в соединениях на врубках, учитываемое в пределах длины не более 10 глубин врезки и двух толщин брутто элемента:      
а) вдоль волокон 1,57 1,47
б) поперек волокон 0,78 0,69

Примечания.

1. Расчетное сопротивление древесины смятию и скалыванию под углом к направлению волокон следует определять по формуле

,

где , - расчетные сопротивления смятию или скалыванию соответственно при и .

2. Расчетное сопротивление местному смятию поперек волокон (за исключением случаев, указанных в позиции 5 настоящей таблицы) на части длины элемента при длине незагружаемых участков не менее площади смятия и не менее толщины элемента следует определять по формуле

,

где - длина площадки смятия вдоль волокон древесины, см.

3. Если в расчетных сечениях элементов имеются ослабления врубками или врезками, то соответствующие расчетные сопротивления следует умножать на коэффициенты условий работы, равные для элементов:

0,80 - растянутых;

0,85 - изгибаемых из брусьев;

0,90 - изгибаемых из бревен.

Для древесины сосны 2-го сорта расчетные сопротивления должны приниматься менее установленных для 1-го сорта:

на 30% - при растяжении вдоль волокон;

на 10% - при всех других напряженных состояниях.

10.12. Расчетные сопротивления клееной древесины сосны при толщине склеиваемых досок 33 мм и высоте элементов 50 см и менее следует принимать по таблице 10.2.

Таблица 10.2

Напряженное состояние Обозначение Расчетное сопротивление, МПа
1. Изгиб бруса Rdb 17,7
2. Растяжение вдоль волокон Rdt 12,7
3. Сжатие вдоль волокон Rds 15,7
4. Смятие вдоль волокон Rdqs 14,7
5. Сжатие и смятие всей поверхности поперек волокон Rdcq, Rdq 1,96
6. Смятие местное поперек волокон:    
а) в опорных плоскостях конструкции Rdq 2,50
б) под шайбами при углах смятия от 90° до 60° Rdqp 4,31
7. Скалывание наибольшее вдоль волокон
по клеевым швам при изгибе
Rdaf 1,47
8. Скалывание поперек волокон по клеевым швам Rdsf 0,78

В случаях применения досок (слоев) толщиной, отличной от 33 мм, расчетные сопротивления изгибу, сжатию и скалыванию вдоль волокон следует умножать на коэффициенты условий работы, равные:

1,10 - при толщине 19 мм и менее;

1,05 - то же, 26 мм;

0,95 - то же, 43 мм.

При высоте клееных элементов свыше 50 см расчетные сопротивления изгибу и сжатию вдоль волокон следует умножать на коэффициенты условий работы, приведенные в таблице 10.3.

Таблица 10.3

Высота сечения, см Коэффициент условий работы
50 и менее 1,00
60 0,96
70 0,93
80 0,90
100 0,85
120 и более 0,80

10.13. Расчетное сопротивление древесины сосны скалыванию вдоль волокон в клеештыревых соединениях - вклеенных стальных арматурных стержнях, работающих на выдергивание или продавливание (рисунок 10.1), в зависимости от глубины заделки штырей l следует принимать по таблице 10.4.

1 - стыкуемые блоки; 2 - стык блоков; 3 - отверстия для штырей; 4 - вклеенные в отверстия штыри

Рисунок 10.1. Клеештыревой стык

Таблица 10.4

Глубина заделки штыря l, см Расчетное сопротивление скалыванию , МПа
15 2,94
20 2,75
25 2,55
30 2,45
35 2,26
40 2,16
45 2,01
50 1,91
55 1,77

Примечания.

1. Расчетное сопротивление скалыванию при вклеивании штыря под углом к направлению волокон следует определять по формуле

.

2. Рекомендуется применять клеештыревые соединения, работающие поперек и под углом к направлению волокон.

3. Изготовление клеештыревых соединений допускается только на заводах, имеющих соответствующее технологическое оборудование.

10.14. Для древесины других пород расчетные сопротивления, приведенные в таблицах 10.1, 10.2 и 10.4, следует умножать на коэффициент перехода по таблице 10.5.

Таблица 10.5

Порода дерева Коэффициент перехода для расчетных сопротивлений
растяжению, изгибу, сжатию и смятию вдоль волокон сжатию и смятию поперек волокон скалыванию
Ель 1,0 1,0 1,0
Лиственница 1,2 1,2 1,0 <*>
Пихта 0,8 0,8 0,8
Дуб 1,3 2,0 1,3
Ясень, граб 1,3 2,0 1,6
Бук 1,1 1,6 1,3

<*> Для клееных конструкций - 0,9.

10.15. Модули упругости древесины для всех пород при сжатии и растяжении вдоль волокон, а также при изгибе следует принимать, МПа:

для обычной древесины при определении деформаций: от постоянных нагрузок - 8340, от временных нагрузок - 9810;

для клееной древесины при определении деформаций от любых нагрузок - 9810.

Модуль упругости древесины при сжатии поперек волокон следует принимать равным 392 МПа.

Модуль сдвига древесины вдоль волокон следует принимать равным 1140 МПа. (в ред. Изменения N 1, утв. Приказом Минстроя РФ от 03.12.2016 N 879/пр)

10.16. Расчетные сопротивления и модули упругости для стальных элементов деревянных мостов следует принимать согласно разделам 7 и 8.

10.17. Расчетная несущая способность стального сквозного цилиндрического нагеля, дюбеля или гвоздя в соединениях элементов из сосны при направлении усилий, передаваемых нагелем вдоль волокон, а гвоздем и дюбелем - под любым углом, приведена в таблице 10.6.

Таблица 10.6

Соединение Напряженное состояние Расчетная несущая способность стального нагеля, дюбеля или гвоздя на один срез, кН
Симметричные Смятие в средних элементах
Смятие в крайних элементах
Несимметричные Смятие во всех элементах равной толщины, а также в более толстых элементах односрезных соединений
Смятие в более тонких крайних элементах
Симметричные и несимметричные Изгиб нагеля , но не более
Изгиб гвоздя (ГОСТ 4028) , но не более
Изгиб дюбеля [12] , но не более
Изгиб винтового гвоздя [13]

Обозначения, принятые в таблице 10.6:

d - диаметр нагеля или гвоздя, см;

t1 - толщина средних элементов, а также равных и более толстых элементов односрезных соединений, см;

t2 - толщина крайних элементов, а также более тонких элементов односрезных соединений, см;

t3 - глубина забивки гвоздя или дюбеля в крайний элемент односрезного соединения, см.

Примечания.

1. Рабочую несущую способность нагеля в рассматриваемом шве следует принимать равной меньшему из всех значений, полученных по формулам настоящей таблицы.

2. Диаметр нагеля d следует назначать из условия наиболее полного использования его несущей способности по изгибу.

3. Расчет нагельных соединений на скалывание древесины можно не производить, если выполняется условие расстановки нагелей в соответствии с требованиями настоящих норм.

4. Нагельные соединения со стальными накладками на болтах, глухих цилиндрических нагелях, гвоздях и дюбелях допускается применять в тех случаях, когда обеспечена необходимая плотность их постановки.

5. Расчетную несущую способность дюбелей и гвоздей в соединениях со стальными накладками следует определять с умножением на коэффициенты:

1,0 - для пристреленных дюбелей;

0,8 - для забитых в предварительно рассверленные отверстия.

Расчетную несущую способность стального нагеля в соединениях элементов из древесины других пород определяют по таблице 10.6 умножением на соответствующий коэффициент, по таблице 10.5 - при расчете на смятие древесины в нагельном гнезде и на корень квадратный из этого коэффициента - при расчете на изгиб нагеля. При направлении передаваемого нагелем усилия под углом к волокнам древесины его расчетную несущую способность следует определять с учетом коэффициента по указаниям СП 64.13330.

10.18. Расчетную несущую способность вклеиваемого штыря на выдергивание или продавливание , кН, в клеештыревых соединениях растянутых и сжатых элементов следует определять по формуле

, (10.1)

где m - коэффициент условий работы, принимаемый равным при диаметрах отверстий, см:

2,4 и менее - 1,00;

2,6 и 2,8 - 0,95;

3 и более - 0,90;

- диаметр отверстия под штырь, м (см);

- длина заделки штыря, м (см);

- расчетное сопротивление древесины скалыванию в клеештыревом соединении, принимаемое по таблице 10.4, МПа.

10.19. Расчетную несущую способность продольных призматических шпонок (колодок) следует определять по смятию и скалыванию, причем расчетные сопротивления скалыванию следует принимать с коэффициентом условий работы .

Расчеты

Определение усилий и моментов

10.20. При расчете конструкций мостов допускается:

усилия в элементах и соединениях определять, предполагая упругую работу материала;

пространственную конструкцию расчленять на отдельные плоские системы и рассчитывать их на прочность без учета податливости элементов;

узловые соединения элементов сквозных конструкций принимать при расчетах как шарнирные;

считать, что укосины, диагональные связи и раскосы не участвуют в восприятии вертикальных усилий, передаваемых насадками на стойки однорядных и башенных опор;

не учитывать напряжения и деформации от изменения температуры, а также возникающие при усушке и разбухании древесины;

действие сил трения учитывать только в случаях, когда трение ухудшает условия работы конструкции или соединения (коэффициент трения дерева по дереву в этих случаях допускается принимать равным 0,6);

изменение температуры среды учитывать при определении возникающей при этом дополнительной сдвигающей силы на контакте дерева с бетоном, а также дерева с металлом в балках деревожелезобетонных и деревометалложелезобетонных пролетных строений. (в ред. Изменения N 1, утв. Приказом Минстроя РФ от 03.12.2016 N 879/пр)

10.21. Прогоны балочных мостов, элементы нижнего настила (доски, накатник и т.п.), поперечины, продольные и поперечные балки проезжей части автодорожных и городских мостов следует рассчитывать как разрезные.

Деревоплиту, опирающуюся на поперечные прогоны, допускается рассчитывать как балку на двух опорах шириной b, равной:

а) для клееной деревоплиты

; (10.2)

б) для гвоздевой деревоплиты:

при расстоянии между гвоздями 25 см и менее

; (10.3)

при расстоянии между гвоздями свыше 25 см

. (10.4)

В формулах (10.2) - (10.4):

a - размер ската колеса в направлении поперек досок;

t - толщина покрытия;

- толщина одной доски;

l - расчетный пролет плиты.

При определении давления на прогон следует учитывать упругое распределение нагрузки поперечинами при условии их фактической неразрезности.

При определении давления на поперечины допускается учитывать распределение нагрузки, если стыки настила расположены вразбежку (в одном сечении не более 30% всех стыков).

10.22. При наличии подбалок усилия в прогонах допускается определять при уменьшенном пролете, но не более чем на 10%.

10.23. При определении усилий в тяжах собственный вес фермы допускается принимать распределенным поровну на верхние и нижние узлы.

10.24. Ветровые связи пролетных строений, расположенные в уровне проезжей части, следует рассчитывать на ветровую нагрузку, приходящуюся на пояс фермы, проезжую часть и перила, и на горизонтальные поперечные воздействия от временной нагрузки.

Расчетная длина сжатых элементов и гибкость элементов

10.25. При расчете по устойчивости прямолинейных элементов, загруженных продольными силами, расчетную длину следует принимать в зависимости от вида закрепления концов в соответствии с указаниями СП 64.13330.

10.26. Расчетную длину элементов пролетных строений и опор при расчете по устойчивости необходимо принимать равной:

а) для сжатых поясов ферм:

в плоскости фермы - расстоянию между узлами;

из плоскости фермы - расстоянию между узлами горизонтальных связей;

б) для раскосов в фермах Гау-Журавского:

в плоскости фермы - половине полной длины раскоса;

из плоскости фермы - полной длине раскоса;

в) для сжатых досок в дощатых фермах со сплошной стенкой - шестикратной ширине досок;

г) для стоек башенных опор - расстоянию между узлами связей;

д) для свай при отсутствии дополнительных поперечных связей:

при закреплении свайных насадок (ростверков) от смещений в горизонтальной плоскости посредством забивки наклонных свай и при полной заделке свай в грунт - 0,7l;

при закреплении свайных насадок (ростверков) от смещений в горизонтальной плоскости и неполной (шарнирной) заделке свай в грунт (наличие сроста свай) - l;

при отсутствии закрепления насадок (ростверков) от смещений в горизонтальной плоскости и обеспечении полной заделки свай в грунт - 2l,

где l - теоретическая длина свай, принимаемая равной расстоянию от головы сваи (низа ростверка или насадки) до сечения ее заделки (или шарнира) в грунт с учетом размыва.

10.27. Расчетную гибкость следует принимать равной:

а) для элементов цельного сечения (в обеих плоскостях) и стержней составных (в плоскости, нормальной к плоскости соединительных связей между ветвями) - отношению расчетной длины к соответствующему радиусу инерции поперечного сечения брутто элемента;

б) для элементов составных (в плоскости соединительных связей между ветвями) - приведенной гибкости :

, (10.5)

где , - гибкость соответственно всего элемента и его ветви;

- коэффициент приведенной гибкости, определяемый по формуле

(10.6)

здесь - расчетная длина элемента, м;

a - размер поперечного сечения элемента в плоскости изгиба, см;

- число швов между ветвями элемента;

- число срезов связей в одном шве на 1 м элемента;

d - коэффициент податливости соединений, определяемый по таблице 10.7;

b - полная ширина сечения элемента, см.

Примечания.

1. Гибкость и определяется по расчетной длине элемента и расстоянию между связями как для цельных элементов.

2. При расчетной длине ветви , не превышающей семикратной ее толщины, допускается принимать .

Таблица 10.7

Вид связей Значение коэффициента податливости соединений при сжатии
центральном с изгибом
Стальные нагели:    
Гвозди и дюбели

Обозначения, принятые в таблице 10.7:

t - толщина наиболее тонкого из соединяемых элементов, см;

d - диаметр гвоздя, дюбеля или нагеля, см.

10.28. При определении коэффициентов приведенной гибкости составных элементов необходимо соблюдать условия:

а) гвозди и дюбели с защемлением конца менее 4d не должны учитываться;

б) при соединении ветвей с помощью шпонок или колодок следует принимать ;

в) если в швах применяются нагели двух диаметров ( и ), то расчетное число срезов связей в шве n определяется по формуле

, (10.7)

где , - число срезов и коэффициент податливости, соответствующие нагелям диаметром ;

, - число срезов и коэффициент податливости, соответствующие нагелям диаметром .

10.29. Коэффициент понижения несущей способности центрально-сжатых элементов следует определять в зависимости от их расчетной гибкости по формулам:

при ; (10.8)

при . (10.9)

Расчет элементов конструкций

10.30. Расчет элементов деревянных конструкций мостов по прочности и устойчивости следует выполнять по формулам таблицы 10.8.

Таблица 10.8

Работа элемента Формула для расчета
На прочность по нормальным напряжениям
Растяжение вдоль волокон (10.10)
Сжатие вдоль волокон (10.11)
Изгиб в одной из главных плоскостей (10.12)
Косой изгиб (10.13)
Растяжение с изгибом в одной из главных плоскостей (10.14)
Сжатие с изгибом в одной из главных плоскостей (10.15)
Сжатие (смятие) поперек волокон (10.16)
На прочность по касательным напряжениям
Изгиб (10.17)
На устойчивость
Центральное сжатие (10.18)

Обозначения, принятые в таблице 10.8:

, , - расчетные значения соответственно осевого усилия, изгибающего момента, поперечной силы;

, - расчетное сопротивление (индекс соответствует виду напряженного состояния);

, - площади поперечного сечения соответственно нетто и брутто;

- статический момент брутто части сечения относительно нейтральной оси;

- момент сопротивления ослабленного сечения, принимаемый для составных стержней с учетом коэффициента условий работы согласно 10.33;

, - моменты инерции сечения нетто соответственно относительно осей x и y;

- момент инерции сечения брутто;

x, y - расстояния от главных осей x и y до наиболее удаленных точек сечения;

b - ширина сечения;

- коэффициент понижения несущей способности при проверке устойчивости центрально-сжатых элементов согласно 10.29;

- площадь смятия;

- расчетная площадь поперечного сечения при проверке по устойчивости, принимаемая равной:

- при ослаблении сечения на 25% и менее;

- то же, свыше 25%;

- коэффициент, учитывающий влияние дополнительного момента от нормальной силы при деформации элемента и определяемый по формуле

,

где - расчетная гибкость элемента в плоскости изгиба.

Примечания.

1. При несимметричных ослаблениях, выходящих на кромку, центрально-сжатые элементы необходимо рассчитывать как внецентренно сжатые.

2. Расчет по устойчивости внецентренно сжатого элемента в плоскости, перпендикулярной плоскости изгиба, а также в плоскости изгиба при напряжениях , не превышающих 10% напряжений , допускается выполнять по формуле (10.11) без учета изгибающего момента.

3. При расчете сжатых элементов с клеештыревыми стыками ослабление сечения отверстиями под штыри не учитывается, если сечение полностью сжато.

4. При проверке прочности сечения растянутых элементов в зоне клеештыревого стыка следует учитывать концентрацию напряжения в сечении, умножая площадь сечения на коэффициент условий работы, равный 0,9.

10.31. В составных внецентренно сжатых элементах на прокладках расчет по устойчивости наиболее напряженной ветви при ее расчетной длине, превышающей в семь раз толщину ветви, следует производить исходя из условия

, (10.19)

где - коэффициент понижения несущей способности для отдельной ветви;

, - площадь и момент сопротивления брутто поперечного сечения ветви;

- коэффициент, определяемый согласно 10.30.

10.32. Расчет элементов из бревен следует производить с учетом сбега в размере 1,0 см на 1 м длины бревна.

Площадь сечения определяется при условном совмещении в рассматриваемом сечении всех ослаблений, расположенных на участке длиной 20 см. При этом относительное ослабление площади сечения брутто не должно превышать 0,4 - при несимметричном и 0,5 - при симметричном ослаблении.

Ослабления, создаваемые в сжатых элементах нагелями, допускается учитывать без совмещения близлежащих ослаблений. Ослабления сжатых элементов, создаваемые гвоздями, поставленными без предварительного просверливания гнезд, допускается не учитывать.

В качестве площади следует принимать также рабочую площадь, определяемую в предположении ступенчатого разрыва (с учетом площадок скалывания между соседними ослаблениями), если он дает более неблагоприятные результаты.

10.33. Расчет по прочности изгибаемых составных балок на призматических продольных шпонках (колодках) следует производить с учетом коэффициента сплошности, равного для балок:

0,85 - двухъярусных;

0,80 - трехъярусных.

Прогибы для указанных составных балок, найденные без учета податливости соединений, должны быть увеличены на 30%.

10.34. Расчет многослойных элементов клееных конструкций по прочности и устойчивости допускается производить без учета податливости швов. Влияние податливости швов на прогибы клееных балок допускается учитывать увеличением прогибов на 20%.

10.35. При отсутствии местного прогиба и наличии накладок и прокладок в стыках поясов сквозных ферм, выполненных с пригонкой торцов, допускается через торцы передавать полное расчетное усилие, если стык расположен в узле фермы, и половину расчетного усилия, если стыки расположены вне узла фермы.

10.36. Дощатую ферму допускается рассчитывать как сплошную балку, в которой изгибающие моменты воспринимаются поясами, а поперечные силы - раскосами решетки или стенки с распределением поровну на все пересекаемые раскосы.

К площади сечения пояса нетто следует вводить коэффициенты, равные: 1,0 - для доски, ближайшей к стенке, 0,8 - для следующей и 0,6 - для третьей. Прогибы дощатых ферм с параллельными поясами, рассчитанные без учета податливости соединений, следует увеличивать на 30%.

Опорные стойки ферм рассчитываются на передачу полного опорного давления от примыкающих элементов решетки.

10.37. При расчете ряжей следует принимать, что они опираются на 2/3 своей площади. Коэффициент трения по грунту необходимо принимать согласно требованиям 11.14.

10.38. Расчет устойчивости положения опор против опрокидывания должен производиться: относительно сроста наружной коренной сваи - при опорах без боковых укосин или наклонных свай; относительно нижней точки опоры боковой укосины или наклонной сваи (в уровне нижних горизонтальных поперечных связей) при опорах с боковыми укосинами и наклонными сваями.

Расчет соединений

10.39. Расчет на смятие и скалывание соединений элементов, работающих на осевые силы, следует производить без учета работы стальных скреплений по формулам:

на смятие

; (10.20)

на скалывание

, (10.21)

где , - площади смятия и скалывания;

- коэффициент условий работы древесины на смятие поперек волокон, равный:

для соединения лежней и насадок в сопряжении со стойками или сваями при эксплуатации элементов конструкции выше горизонта воды - 1,2;

при соприкасающихся с грунтом или находящихся в грунте - 0,85;

постоянно увлажняемых и находящихся в воде - 0,75;

- коэффициент условий работы на скалывание, равный:

в лобовых врубках:

1,0 - при врубках с одним зубом;

0,8 и 1,15 - при врубках с двумя зубьями, соответственно по первому от торца и второму зубу;

в элементах, соединяемых на продольных шпонках, - 0,7.

Силы трения в соединениях при расчетах на смятие и скалывание не учитываются, если они не вызывают дополнительных напряжений.

Расчетную несущую способность площадок местного смятия древесины поперек волокон (за исключением лобовых врубок, гнезд и нагелей) допускается повышать за счет усиления их металлическими скреплениями (гвоздями, дюбелями, шурупами, глухарями), работающими совместно со смятием древесины.

Размещение на площади местного смятия металлических скреплений, работающих на вдавливание, следует производить в соответствии с требованиями таблицы 10.10.

Расчет соединений с площадками местного смятия поперек волокон, усиленными скреплениями, следует производить по формуле

, (10.22)

где - число скреплений на площадке местного смятия;

- расчетная несущая способность вдавливанию одного скрепления (гвоздя, дюбеля, шурупа, глухаря), кН, внедренного в древесину поперек волокон, определяемая по формуле

, (10.23)

где - расчетное сопротивление вдавливанию на единицу поверхности расчетного контакта скрепления с древесиной, принимаемое равным:

для гвоздей и дюбелей, независимо от влажности древесины - 0,3 МПа;

для винтового гвоздя [13] при воздушно-сухой древесине - 0,6 МПа;

для шурупов, глухарей - по таблице 10.1 для соответствующей влажности древесины;

- диаметр стержня скрепления, м (см);

- расчетная длина контакта скрепления с древесиной, м (см);

- расчетное сопротивление местному смятию поперек волокон, которое допускается определять по таблице 10.1;

- диаметр шляпки скрепления, м (см).

Правая часть формулы (10.22) не должна превышать значение .

10.40. Расчет лобовых врубок с двумя зубьями на скалывание следует выполнять: по плоскости скалывания первого от торца зуба - на усилие, приходящееся на его площадь смятия; по плоскости скалывания второго от торца зуба - на полную силу.

10.41. Расчетная длина скалывания в элементах, соединяемых наклонными колодками, должна приниматься равной

. (10.24)

Распор одной колодки S для определения усилий в стяжных болтах следует вычислять по формуле

. (10.25)

В формулах (10.24) и (10.25):

Q - расчетная сдвигающая сила на одну колодку без учета податливости соединения;

a - расстояние между колодками в свету;

z - плечо сил скалывания колодки;

- длина колодки.

10.42. Связи в прикреплениях поясов двутавровых дощато-гвоздевых балок к сплошной перекрестной стенке следует рассчитывать на сдвигающее усилие, возникающее между поясом и стенкой. При этом несущую способность гвоздей в прикреплении следует принимать с коэффициентом условий работы, равным 0,8 при расчетной толщине стенки, равной суммарной толщине ее досок.

Расчетную длину защемления в древесине конца гвоздя допускается определять по формуле

, (10.26)

где d - диаметр гвоздя;

- расчетное сопротивление стали гвоздя растяжению и изгибу по пределу текучести, МПа, принимаемое по настоящего СП;

- расчетное сопротивление древесины смятию вдоль волокон, МПа.

При определении расчетной длины защемления конца гвоздя не следует учитывать заостренную часть длиной 1,5d. Кроме того, из его длины следует вычитать по 2 мм на каждый шов между соединяемыми элементами. При свободном выходе гвоздя из пакета его длину следует уменьшать на 1,5d.

10.43. Клеештыревые соединения, расположенные в сжатых элементах и в сжатой зоне изгибаемых элементов, допускается рассчитывать в предположении, что 70% усилия передается через торцы стыкуемых элементов, а оставшаяся часть усилия воспринимается штырями.

Клеештыревые соединения, расположенные в растянутой зоне изгибаемых элементов и в растянутых элементах, следует рассчитывать в предположении, что усилия, приходящиеся на отдельные участки площади сечения соединяемых элементов, полностью воспринимаются штырями; работа клеевого шва между торцами стыкуемых элементов на растяжение не учитывается.

На воздействие поперечных сил зону клеештыревого стыка изгибаемых элементов следует рассчитывать как целое сечение.

Конструирование

Основные требования

10.44. Соединения следует применять простые, с минимальным числом врубок и устраивать так, чтобы в них не застаивалась вода.

В составных элементах для проветривания следует предусматривать зазоры не менее 4 см между брусьями и не менее 2 см между бревнами. В конструкциях, не допускающих устройства зазоров, должны быть приняты меры против непосредственного увлажнения атмосферными осадками. Устройство закрытых стыков (накладки со всех сторон) в надводной части деревянных конструкций не допускается. В клееных пролетных строениях следует предусматривать меры, препятствующие попаданию на них солнечных лучей.

10.45. Соединение пиломатериалов по длине осуществляется с помощью зубчатых соединений по ГОСТ 16483.10.

10.46. После антисептирования элементов не допускается какая-либо их обработка, кроме сверления отверстий для установки скрепляющих изделий.

Просверленные отверстия в антисептированной древесине перед установкой скрепляющих изделий необходимо обильно смазать каменноугольным маслом в соответствии с ГОСТ 2770.

10.47. Для обеспечения поперечной жесткости пролетного строения с клееными и дощато-гвоздевыми главными балками необходимо устанавливать в опорных сечениях и в пролете через 4 - 6 м поперечные связи, а при дощато-гвоздевых балках - и продольные связи в плоскости верхних поясов балок.

10.48. Главные балки пролетных строений длиной 15 м и более следует, как правило, устанавливать на резиновые опорные части. Взамен опорных частей под балками допускается укладывать мауэрлатные брусья из антисептированной древесины с устройством прокладок из рубероида.

10.49. Деревоплита проезжей части должна быть связана с главными балками креплениями, обеспечивающими ее проектное положение без включения ее в совместную работу с главными балками на общее действие нагрузки. Железобетонная плита проезжей части в деревожелезобетонных и деревометалложелезобетонных пролетных строениях должна быть связана с главными балками креплениями, обеспечивающими ее включение в совместную работу с ними на общее действие постоянной и временных нагрузок. (в ред. Изменения N 1, утв. Приказом Минстроя РФ от 03.12.2016 N 879/пр)

10.50. При конструировании проезжей части клееных пролетных строений автодорожных и городских мостов необходимо предусматривать продольные и поперечные уклоны, обеспечивающие быстрый сток воды с проезжей части.

При длине моста до 50 м и его одностороннем уклоне не менее 1%, а также при длине моста 100 м и уклонах от середины в каждую сторону не менее 1% водоотвод допускается обеспечивать за счет продольного стока воды.

10.51. Проезжая часть клееных пролетных строений должна защищать нижележащие конструкции от попадания осадков и прямого солнечного освещения. (в ред. Изменения N 1, утв. Приказом Минстроя РФ от 03.12.2016 N 879/пр)

10.52. Для улучшения условий проветривания зазор между торцами главных балок в автодорожных и городских мостах следует назначать не менее 10 см, высоту опорных частей - не менее 5 см. В средней части длины пролетного строения между главными балками и плитой проезжей части с шагом 50 см необходимо устраивать отверстия-продухи 4 x 8 см. (в ред. Изменения N 1, утв. Приказом Минстроя РФ от 03.12.2016 N 879/пр)

10.53. В качестве покрытия на клееных мостах с дощатой плитой следует назначать тройную поверхностную обработку или предусматривать укладку слоя асфальтобетона.

10.54. В пролетных строениях с ездой поверху жесткую и скрепленную с фермами проезжую часть следует использовать в качестве верхних связей.

10.55. В изгибаемых элементах в сечениях с наибольшими изгибающими моментами необходимо избегать ослабления подрезками крайних растянутых волокон. В опорных сечениях элементов при условии обеспечения прочности древесины на отрыв поперек волокон допускается подрезка не более чем на 1/3 высоты элемента.

Наименьшие размеры элементов и допускаемые их гибкости

10.56. В поперечном сечении деревянные части и металлические изделия должны иметь размеры не менее приведенных в таблице 10.9.

Таблица 10.9

Деревянные части и металлические изделия Нормируемый размер поперечного сечения, см Наименьшее значение нормируемого размера для мостов, см
железнодорожных автодорожных и городских
1. Брусья и доски:      
для основных элементов Большая сторона 18 16
для связей, стыковых накладок, перил и других дополнительных элементов То же 10 8
2. Доски Толщина 4 4 <*>
3. Бревна в тонком конце:      
для основных элементов Диаметр 22 18 <**>
для свай   22 22
для накатника   - 14
4. Пластины Радиус круга 9 9
5. Болты:      
рабочие и стяжные Диаметр x 19 19
конструктивные   16 16
6. Штыри в клеештыревых стыках То же - 12
7. Стальные тяжи " 25 22
8. Стальные нагели " 22 12
9. Гвозди и дюбели " 4 4
10. Стальные накладки Толщинах x 8 8
11. Шайбы То же 6 6
12. Зубчатые шипы Длина - 3,2

<*> Толщина досок для клееных конструкций после обработки не должна превышать 3,3 см - для главных балок и 4,3 см - для остальных элементов.

<**> Бревна диаметром в тонком конце менее 18 см допускается применять только для настила проезжей части и неответственных элементов (второстепенных связей, схваток и т.д.).

10.57. Гибкость деревянных элементов в конструкциях не должна превышать:

а) для поясов, раскосов, стоек опор и свай:

сжатых - 100;

растянутых - 150;

б) для связей:

сжатых - 150;

растянутых - 200.

Стыки и соединения

10.58. Стыки растянутых и сжатых элементов в фермах следует, как правило, располагать вне узла (в панели), при этом стыки сжатых элементов следует располагать вблизи узлов, закрепленных от выходов из плоскости фермы.

Стыки клееных неразрезных балок следует располагать в зоне минимальных моментов.

10.59. Соединяемые элементы должны быть стянуты болтами, а при необходимости - хомутами. Болты должны иметь стальные шайбы с обоих концов.

10.60. Стыки растянутых и растянуто-изогнутых поясов ферм рекомендуется перекрывать деревянными накладками на сквозных цилиндрических стальных нагелях или выполнять клеештыревыми.

Следует избегать применения соединений с гребенчатыми накладками.

Стыки сжатых элементов поясов, выполненные в торец, должны быть перекрыты накладками, а при необходимости усилены вклеенными стальными штырями (клеештыревой стык).

Стыки поясов дощато-гвоздевых ферм следует перекрывать накладками на стальных нагелях.

10.61. Наименьшие расстояния между болтами, нагелями, гвоздями, дюбелями, шурупами, глухарями и штырями при их рядовой расстановке должны приниматься по таблице 10.10.

Таблица 10.10

Наименование расстояния Значения наименьших расстояний, выраженные в расчетных диаметрах, для
болтов и сквозных нагелей глухих нагелей штырей гвоздей и дюбелей шурупов и глухарей
1. Между осями скрепления:          
вдоль волокон 6 7 - 15 <*> или 25 <**> 10
поперек волокон 3 3,5 3 4 5
2. От оси крайнего скрепления до края элемента:          
вдоль волокон 6 7 - 15 <*> или 25 <**> 10
поперек волокон 2,5 3 2 4 3,5

<*> При толщине пробиваемого элемента не менее 10d (где d - диаметр гвоздя или дюбеля).

<**> При толщине пробиваемого элемента, равной 4d. Для элементов, не пробиваемых сквозными гвоздями или дюбелями, независимо от толщины принимается расстояние между осями гвоздей или дюбелей вдоль волокон не менее 15d.

Примечания.

1. Расстояние между осями штырей в клеештыревом соединении дано для случая их расположения вдоль волокон. При расположении штырей поперек волокон или под углом к ним расстояние между штырями должно назначаться исходя из работы узлового соединения, но не менее приведенного.

2. Наименьшее расстояние между гвоздями или дюбелями при промежуточных значениях толщины элемента следует определять по интерполяции.

3. Наименьшее расстояние между нагелями (штырями) при длине просверливаемых для них отверстий, превышающих 10d, должно быть увеличено на 5% избыточной (более 10d) длины отверстия.

10.62. При соединении на гвоздях и дюбелях элементов из древесины лиственных и других твердых пород, а также во всех случаях применения гвоздей диаметром d свыше 6 мм должно предусматриваться предварительное просверливание гнезд диаметром 0,8 - 0,9d.

10.63. Нагели, дюбели, шурупы, глухари и гвозди не следует располагать по оси досок или брусьев.

Шахматная расстановка просверленных гнезд в нагельных соединениях не рекомендуется.

Гвозди в поясах ферм следует располагать вертикальными рядами.

10.64. При встречной несквозной забивке гвоздей и дюбелей концы их могут быть перепущены один за другой на 1/3 толщины средней доски без увеличения расстояния между гвоздями и дюбелями.

10.65. Стяжные болты в стыках с нагельными соединениями следует применять, как правило, одного диаметра с нагелями. Число болтов должно быть не более 20% числа нагелей и не менее четырех на каждую половину накладки.

10.66. В качестве штырей в клеештыревом соединении следует применять горячекатаную стержневую арматуру периодического профиля диаметром 12 - 26 мм из стали класса А300.

Диаметры отверстий под штыри следует назначать увеличенными по сравнению с диаметрами штырей: при диаметре штыря 12 мм - на 2 мм, 14 - 18 мм - на 3 мм, 20 - 22 мм - на 4 мм, при штырях диаметром свыше 22 мм - на 5 мм.

Глубину заделки штыря в древесину рекомендуется принимать равной 15 - 20 диаметрам штыря.

10.67. В сжатых и растянутых элементах штыри следует располагать равномерно по сечению. Число штырей должно быть не менее четырех.

В растянутой и сжатой зонах изгибаемых элементов штыри необходимо располагать таким образом, чтобы каждый штырь передавал усилие с тяготеющего к нему участка древесины. Число стержней в каждой из зон должно быть не менее четырех.

Диаметры отверстий под глухари в древесине следует назначать уменьшенными на 25% - 30% по сравнению с диаметрами глухарей. (в ред. Изменения N 1, утв. Приказом Минстроя РФ от 03.12.2016 N 879/пр)

Глубину заделки глухарей и винтов в древесину следует принимать равной 10 - 15 их диаметров. (в ред. Изменения N 1, утв. Приказом Минстроя РФ от 03.12.2016 N 879/пр)

10.68. Глубина врубок и врезок в соединениях должна быть не менее, см: в брусьях (и окантованных бревнах) - 2, в бревнах - 3.

Глубина врубок и врезок должна быть не более:

а) при соединениях на шпонках и колодках:

в брусьях - 1/5 толщины бруса;

в бревнах - 1/4 диаметра бревна;

б) при соединениях на врубках:

в опорных узлах - 1/3 толщины элемента;

в промежуточных узлах сквозных ферм - 1/4 толщины элемента.

Длина плоскости скалывания в соединениях должна назначаться не менее четырех глубин врезки и не менее 20 см.

10.69. Соединения элементов на врубках следует осуществлять, как правило, в виде лобовых врубок с одним зубом или непосредственного лобового упора примыкающих сжатых элементов.

В соединениях на лобовых врубках с двумя зубьями, глубина врубки зуба должна быть более глубины первого зуба не менее чем на 2 см. Применение лобовых врубок с тремя зубьями не допускается. Соединения на щековых врубках не рекомендуются.

Рабочую плоскость смятия, как правило, следует располагать перпендикулярно оси примыкающего сжатого элемента.

10.70. Деревянные призматические шпонки (или колодки) допускается применять только продольные или наклонные, волокна которых параллельны или близки к направлению сдвигающей силы.

Расстояние между шпонками (колодками) в свету во всех случаях должно быть не менее длины шпонки (колодки). Отношение длины шпонки l к глубине врезки a должно быть не менее 5.

При сплачивании элементов с зазором должно соблюдаться условие

. (10.27)

Зазор при сплачивании бревен диаметром d наклонными шпонками (колодками) должен быть не более:

0,4 - 0,5d - при двухъярусных балках;

0,25d - при трехъярусных балках.

Элементы пролетных строений и опор

10.71. Проезжую часть деревянных мостов следует устраивать с применением железобетонных плит, клееных деревоплит, дощато-гвоздевых плит или с двойным дощатым настилом. (в ред. Изменения N 1, утв. Приказом Минстроя РФ от 03.12.2016 N 879/пр)

Доски дна балластного корыта и настила под противопожарный слой щебня железнодорожных мостов и элементы нижнего настила проезжей части автодорожных и городских мостов следует укладывать с зазором 2 - 3 см.

Верхний настил проезжей части автодорожных и городских мостов рекомендуется делать продольным. Толщина досок настила должна быть не менее 5 см.

10.72. Брусья или бревна прогонов должны быть связаны между собой и закреплены на опорах от продольных и поперечных перемещений. Концы разбросных прогонов выпускают за ось насадок опор (или опорных брусьев) не менее чем на 30 см.

Прогоны под балластным корытом железнодорожных мостов следует укладывать с промежутками 15 - 20 см.

10.73. Усилия от поперечных балок на пояса ферм должны передаваться центрированно через подушки, перекрывающие все ветви пояса.

10.74. В местах лобового упора раскосов и стоек при отсутствии наружных соединений должны быть поставлены потайные штыри, в местах пересечения раскосов - болты и прокладки.

10.75. Число ветвей стальных тяжей в решетчатых фермах должно быть не более двух.

На концах тяжей должны предусматриваться контргайки, длина нарезки должна обеспечивать возможность необходимого натяжения тяжей гайками при строительстве и эксплуатации.

Подгаечники должны быть общими для всех тяжей одного узла.

10.76. В каждом ярусе пояса дощатых ферм с одной стороны стенки должно быть не более трех досок, включая стыковую накладку.

В одном сечении каждого яруса пояса допускается стыковать не более двух досок.

Каждая доска должна быть продолжена за теоретическое место обрыва на длину не менее половины длины накладки. Замена стыкуемых досок одного яруса досками другого яруса, вступающими в работу, не допускается.

10.77. Устойчивость стенок дощатых ферм должна быть обеспечена постановкой вертикальных брусьев на расстояниях не более 3 м и не более высоты фермы. Брусья должны обжимать стенку и пояса фермы.

10.78. В каждом пересечении досок сплошной стенки должен быть поставлен гвоздь диаметром не менее 4,5 мм. Длина гвоздей должна превышать толщину стенки не менее чем на 3 см. Концы гвоздей должны быть загнуты.

10.79. Жесткость и устойчивость свайных и рамных опор в поперечном и продольном направлениях должны быть обеспечены постановкой наклонных свай, горизонтальных и диагональных связей в виде раскосов (крестов), подкосов (укосин), тяжей и т.п. Наклонные сваи или укосины следует ставить при высоте опор (от грунта до верха насадки), превышающей расстояние между осями крайних свай или стоек.

Применение подводных тяжей и ряжевых оболочек для железнодорожных мостов не рекомендуется.

10.80. Стыки свай следует, как правило, располагать в грунте на 2 м ниже уровня возможного размыва. При расположении их выше уровня размыва в местах стыков должны быть поставлены связи.

Стыки сжатых элементов опор (стоек, свай) следует выполнять в торец (стыки одиночных свай - с постановкой штыря) и перекрывать металлическими накладками на болтах.

Если стык свай расположен выше уровня грунта, допускается применение деревянных накладок на нагелях.

В пакетных сваях стыки отдельных брусьев или бревен следует располагать вразбежку.

10.81. Ряжевые опоры следует устраивать в случаях, если забивка свай невозможна.

10.82. Ширину ряжа (вдоль моста) следует назначать не менее 1/3 его высоты и не менее 2 м. Высота ряжа назначается с запасом 5% на осадку и усушку.

Верх ряжа должен возвышаться над наивысшим уровнем ледохода не менее чем на 0,5 м и не менее чем на 0,25 м над высоким горизонтом воды.

10.83. На суходолах и реках со слабым течением ряжи рекомендуется устраивать прямоугольными в плане. При скорости течения 1,5 м/с и более следует применять ряжи заостренной обтекаемой формы.

Ряжи, подверженные действию льда, следует совмещать с ледорезами. В этом случае с верховой стороны ряжа необходимо устраивать вертикальное режущее ребро. При сильном ледоходе режущее ребро следует устраивать наклонным согласно указаниям 10.86.

10.84. Между наружными стенками ряжа необходимо устраивать поперечные и продольные перегородки (внутренние стены). Размеры сторон ячеек, образуемых внутренними стенками, не должны превышать 2 м.

В углах наружных стен ряжа, а также в местах примыкания перегородок должны устанавливаться вертикальные брусья или окантованные бревна-сжимы с овальными по высоте прорезями для болтов в каждом четвертом венце. В поперечном направлении наружные стены ряжа должны соединяться стальными тяжами, пропускаемыми через сжимы.

10.85. Ледорезы должны быть установлены перед каждой речной опорой, подверженной ударам льда, на расстоянии от опоры вверх по течению реки 2 - 8 м в зависимости от скорости течения. На реках с мощным ледоходом (при толщине льда свыше 50 см и скорости ледохода свыше 1,5 м/с) на расстоянии 30 - 50 м от основных ледорезов следует предусматривать более мощные аванпостовые ледорезы в одну линию с опорами и основными ледорезами, но в количестве вдвое меньшем. Ледорезы должны быть загружены камнем.

10.86. Рабочая ширина ледореза на уровне самого высокого ледохода должна быть не менее ширины защищаемой опоры в том же уровне.

Уклон режущего ребра ледореза должен быть не круче 1:15. Верх ножа ледореза должен возвышаться над наивысшим уровнем ледохода не менее чем на 1,0 м, низ ножа следует располагать не менее чем на 0,75 м ниже уровня самого низкого ледохода.

10.87. При наличии размываемых грунтов следует предусматривать укрепление дна реки вокруг опор и ледорезов фашинными тюфяками и каменной отсыпкой.

11. Основания и фундаменты

Общие положения

11.1. Основания и фундаменты мостов и труб следует проектировать в соответствии с требованиями СП 22.13330, СП 24.13330, [16], СП 14.13330 с учетом требований настоящего раздела. (в ред. Изменения N 1, утв. Приказом Минстроя РФ от 03.12.2016 N 879/пр)

11.2. Классификацию грунтов оснований необходимо производить в соответствии с ГОСТ 25100.

11.3. Значения физическо-механических характеристик грунтов, необходимые для вычисления расчетных сопротивлений оснований под подошвой фундаментов мелкого заложения или фундаментов из опускных колодцев, следует определять согласно требованиям СП 22.13330 и Приложения 2 настоящего свода правил.

11.4. Трубы под насыпями следует укладывать на фундаменты или на уплотненные грунтовые подушки. Фундаменты обязательны для звеньев и оголовков труб незамкнутого поперечного сечения и рекомендуются для оголовков труб любой конструкции. (в ред. Изменения N 1, утв. Приказом Минстроя РФ от 03.12.2016 N 879/пр)

Нормативные и расчетные значения характеристик физико-механических свойств материалов, используемых для фундаментов, должны удовлетворять требованиям разделов 7, 8 и 10.

Расчеты

11.5. Основания и фундаменты мостов и труб следует рассчитывать по двум группам предельных состояний:

по первой группе - по несущей способности оснований, устойчивости фундаментов против опрокидывания и сдвига, устойчивости фундаментов при воздействии сил морозного пучения грунтов, прочности и устойчивости конструкций фундаментов;

по второй группе - по деформациям оснований и фундаментов (осадкам, кренам, горизонтальным перемещениям) и трещиностойкости железобетонных конструкций фундаментов.

11.6. Взвешивающее действие воды на грунты и части сооружения, расположенные ниже уровня поверхностных или подземных вод, необходимо учитывать в расчетах по несущей способности оснований и по устойчивости положения фундаментов, если фундаменты заложены в песках, супесях, илах. При заложении фундаментов в суглинках, глинах и скальных грунтах взвешивающее действие воды требуется учитывать в случаях, когда оно создает более неблагоприятные расчетные условия. Уровень воды принимается невыгоднейший: наинизший или наивысший.

11.7. Для оснований из нескальных грунтов под фундаментами мелкого заложения, рассчитываемыми без учета заделки в грунт, положение равнодействующей расчетных нагрузок (по отношению к центру тяжести площади подошвы фундаментов), характеризуемое относительным эксцентриситетом, должно быть ограничено значениями, указанными в таблице 11.1.

Таблица 11.1

Расположение мостов Наибольший относительный эксцентриситет <*> для
промежуточных опор при действии устоев при действии
только постоянных нагрузок постоянных и временных нагрузок в наиболее невыгодном сочетании только постоянных нагрузок постоянных и временных нагрузок в наиболее невыгодном сочетании
На железных дорогах общей сети и промышленных предприятий, на обособленных путях метрополитена 0,1 1,0 0,5 0,6
На автомобильных дорогах, включая дороги промышленных предприятий и внутрихозяйственные, на улицах и дорогах городов, поселков и сельских населенных пунктов: 0,1 1,0 0,8
большие и средние 1,0
малые 1,2
<*> Эксцентриситет и радиус ядра сечения фундамента r (у его подошвы) определяют по формулам:

и ,

где M - момент сил, действующих относительно главной центральной оси подошвы фундамента;
N - равнодействующая вертикальных сил;
W - момент сопротивления подошвы фундамента для менее напряженного ребра;
A - площадь подошвы фундамента.

Проверку положения равнодействующей нагрузок в уровне подошвы фундаментов устоев при высоте подходной насыпи свыше 12 м следует производить с учетом вертикального давления от веса примыкающей части насыпи для фундаментов мелкого заложения и от 10 м и свыше - для фундаментов глубокого заложения (сваи, буровые столбы). В этом случае относительный эксцентриситет в сторону пролета должен составлять не более чем 20% значений, указанных в таблице 11.1. (в ред. Изменения N 1, утв. Приказом Минстроя РФ от 03.12.2016 N 879/пр)

Если относительный эксцентриситет свыше единицы, максимальное давление подошвы фундамента на основание следует определять исходя из треугольной формы эпюры, построенной в пределах сжимаемой части основания.

При расчете устоев с фундаментами глубокого заложения (сваи, буровые столбы) следует учитывать дополнительное горизонтальное давление грунта основания на фундаменты от веса подходной насыпи, определяемые методами теории упругости для линейно-деформируемого полупространства. (в ред. Изменения N 1, утв. Приказом Минстроя РФ от 03.12.2016 N 879/пр)

11.8. Несущая способность основания под подошвой фундаментов мелкого заложения или фундаментов из опускных колодцев при раздельном расчете опор на временные нагрузки, действующие вдоль и поперек моста, должна удовлетворять условиям

и , (11.1)

где p, - соответственно среднее и максимальное давления подошвы фундамента на основание, кПа;

R - расчетное сопротивление основания из нескальных или скальных грунтов осевому сжатию, кПа, определяемое согласно Приложению 2;

- коэффициент надежности по назначению сооружения, принимаемый равным 1,4;

- коэффициент условий работы, принимаемый равным: 1,0 - при определении несущей способности нескальных оснований в случаях действия временных нагрузок N 7 - 9; 1,2 - при определении несущей способности скальных оснований во всех случаях и нескальных оснований в случаях действия (кроме временных нагрузок N 7 - 9) одной или нескольких временных нагрузок N 10 - 15 и N 17.

11.9. В расчетах по несущей способности оснований фундаментов мелкого заложения и фундаментов из опускных колодцев возникающие в грунте под их подошвой напряжения от нагрузок N 10 - 14 (согласно 6.1 с учетом соответствующих коэффициентов сочетаний согласно 6.2) следует определять отдельно вдоль и поперек оси моста, а наиболее неблагоприятные из них суммировать с напряжениями от постоянных и временных вертикальных нагрузок. В свайных фундаментах усилия, которые возникают в сваях от указанных выше нагрузок, действующих вдоль и поперек оси моста, необходимо суммировать.

11.10. В расчетах (по грунту и материалу) конструкций свайных фундаментов и фундаментов из опускных колодцев (за исключением расчетов несущей способности оснований) за расчетную поверхность грунта следует принимать: для фундаментов устоев - естественную поверхность грунта; для фундаментов промежуточных опор - поверхность грунта у опор на уровне срезки (планировки) или местного размыва, определяемого согласно указаниям 5.25 - 5.30 при расчетном и наибольшем расходах для расчетов на действие соответственно расчетных (крайних) и эксплуатационных нагрузок.

Для устоев и береговых промежуточных опор со свайными фундаментами, ростверки которых расположены над грунтом, а сваи погружены сквозь отсыпанную или намытую часть насыпи, расчетную поверхность грунта допускается принимать с учетом заделки свай в этой части насыпи.

11.11. Несущую способность одиночной сваи в немерзлых грунтах при действии осевого сжимающего или выдергивающего усилия следует определять согласно СП 24.13330, в мерзлых грунтах - согласно СП 25.13330 и СП 32-101 [16].

11.12. Несущую способность основания в уровне низа свай требуется проверять как для условного фундамента согласно Приложению 3.

Указанная проверка не требуется для:

однорядных фундаментов в любых грунтовых условиях;

многорядных свайных фундаментов, сваи которых работают как стойки (при опирании их на скальные грунты, крупнообломочные грунты с песчаным заполнителем, глинистые грунты твердой консистенции и мерзлые грунты, используемые по принципу 1).

11.13. Если под несущим слоем грунта, воспринимающим давление подошвы фундамента или нижних концов свай, залегает слой менее прочного немерзлого или оттаивающего вечномерзлого грунта, необходимо проверить несущую способность этого слоя согласно Приложению 4.

11.14. Расчет по устойчивости фундаментов мелкого заложения на немерзлых или оттаивающих вечномерзлых грунтах против опрокидывания или плоского сдвига (скольжения) необходимо производить согласно разделу 5, приняв в расчете на сдвиг следующие значения коэффициентов трения кладки о поверхность:

скальных грунтов с омыливающейся поверхностью (глинистые известняки, сланцы и т.п.) и глин:

а) во влажном состоянии 0,25;  
б) в сухом состоянии 0,30;  
суглинков и супесей 0,30;  
песков 0,40;  
гравийных и галечниковых грунтов 0,50;  
скальных грунтов с неомыливающейся поверхностью 0,60.  

11.15. Расчет по устойчивости фундаментов на немерзлых или оттаивающих вечномерзлых грунтах против глубокого сдвига (смещения совместно с грунтом по наиболее неблагоприятной поверхности скольжения) следует выполнять для промежуточных опор, расположенных на косогорах, и для устоев при насыпях высотой свыше 12 м - во всех случаях, при насыпях высотой от 6 до 12 м - в случаях расположения в основании фундаментов слоя немерзлого или оттаивающего глинистого грунта или прослойки водонасыщенного песка, подстилаемого глинистым грунтом.

11.16. Осадку и крен фундаментов мелкого заложения следует рассчитывать на немерзлых грунтах согласно СП 22.13330, на вечномерзлых грунтах - согласно СП 25.13330 и СП 32-101 [16]. (в ред. Изменения N 1, утв. Приказом Минстроя РФ от 03.12.2016 N 879/пр)

В расчете осадки устоев при высоте насыпи свыше 12 м необходимо учитывать дополнительное вертикальное давление на основание от веса примыкающей части подходной насыпи, определяемое согласно Приложению 5.

11.17. Осадку фундамента из свай или из опускного колодца следует определять в соответствии с указаниями 11.16, рассматривая такой фундамент как условный в форме прямоугольного параллелепипеда размерами, принимаемыми согласно Приложению 3.

Осадку свайного фундамента допускается принимать равной осадке одиночной сваи по данным статических испытаний ее в тех же грунтах при соблюдении одного из следующих условий:

а) сваи работают как стойки;

б) число продольных рядов свай не более трех.

11.18. При определении осадок фундаментов в соответствии с 11.16 и 11.17 за расчетную поверхность грунта допускается принимать его естественную поверхность (без учета срезки или возможности размыва).

Осадки фундаментов на немерзлых грунтах допускается не определять:

при опирании фундаментов на скальные, крупнообломочные грунты с песчаным заполнителем и твердые глины (при коэффициенте пористости ) - для всех мостов;

при опирании фундаментов на прочие грунты - для мостов внешне статически определимых систем пролетом до 55 м на железных и до 105 м на автомобильных дорогах.

11.19. Напряжение в бетоне ростверка от давления торца свай, как правило, не должно превышать расчетное сопротивление бетона ростверка по нормам для осевого сжатия в расчетах по прочности.

Если напряжение превышает расчетное сопротивление бетона ростверка, следует применить бетон более высокого класса или предусмотреть укладку арматурных сеток из стержней диаметром 12 мм над каждой сваей (одной сетки, если напряжения превышают расчетное сопротивление бетона ростверка до 20%, или двух сеток, если напряжения превышают расчетное сопротивление бетона на 20 - 30%).

Конструирование

11.20. Фундаменты мостов и труб следует закладывать в грунт на глубине, определяемой расчетами несущей способности оснований и фундаментов согласно 11.5 - 11.18 и принимаемой не менее значений, требуемых СП 22.13330, СП 25.13330 и СП 32-101 [16] для фундаментов мелкого заложения, СП 24.13330, СП 25.13330 и СП 32-101 [16] для свай и ростверков. Минимальные расстояния между сваями в плане следует назначать согласно СП 24.13330 и СП 25.13330.

Глубина заложения фундаментов, вычисленная в соответствии с СП 22.13330, должна быть не менее расчетной глубины промерзания грунта, все фундаменты (за исключением фундаментов или грунтовых подушек для звеньев средней части одноочковых труб отверстием до 2 м) следует заглублять не менее чем на 0,25 м ниже расчетной глубины промерзания грунта. При этом за расчетную глубину промерзания принимается ее нормативное значение. (в ред. Изменения N 1, утв. Приказом Минстроя РФ от 03.12.2016 N 879/пр)

В случаях, когда глубина заложения фундаментов по требованиям СП 22.13330 не зависит от расчетной глубины промерзания грунта, соответствующие грунты должны залегать не менее чем на 1 м ниже нормативной глубины промерзания грунта. (в ред. Изменения N 1, утв. Приказом Минстроя РФ от 03.12.2016 N 879/пр)

Глубину заложения фундаментов и грунтовых подушек под звенья средней части труб диаметром 2 м и более следует назначать с учетом уменьшения глубины промерзания грунта в направлении к оси насыпи. (в ред. Изменения N 1, утв. Приказом Минстроя РФ от 03.12.2016 N 879/пр)

В пределах водотоков фундаменты мостов должны быть заложены в грунт ниже уровня местного размыва, определяемого согласно указаниям 5.25 - 5.30 при расчетном и наибольшем расходах воды, на глубине, требуемой по расчету на действие соответственно расчетной (крайней) и эксплуатационной нагрузок.

11.21. Размеры в плане ростверка свайных фундаментов следует принимать исходя из расстояний между осями свай по СП 24.13330 с учетом установленных допусков на точность заглубления свай в грунт, а также из необходимости обеспечения между сваями и вертикальными гранями ростверка расстояния в свету не менее 25 см, при сваях-оболочках диаметром свыше 2 м - не менее 10 см.

Тампонажный слой бетона, уложенного подводным способом, запрещается использовать в качестве рабочей (несущей) части ростверка.

11.22. Сваи должны быть заделаны в ростверк (выше слоя бетона, уложенного подводным способом) на длину, определяемую расчетом и принимаемую не менее половины периметра призматических свай, и 1,2 м - для свай диаметром 0,6 м и более.

Допускается заделка свай в ростверке с помощью выпусков стержней продольной арматуры длиной, определяемой расчетом, но не менее 30 диаметров стержней при арматуре периодического профиля и 40 диаметров стержней при гладкой арматуре. При этом сваи должны быть заведены в ростверк не менее чем на 10 см.

11.23. Железобетонный ростверк необходимо армировать по расчету согласно указаниям раздела 7.

Бетонный ростверк следует армировать конструктивно в его нижней части (в промежутках между сваями). Площадь поперечного сечения стержней арматуры вдоль и поперек оси моста необходимо принимать не менее 10 см2 на 1 м ростверка.

11.24. Прочность раствора, применяемого для заделки свай или свай-столбов в скважинах, пробуренных в скальных грунтах, должна быть не ниже 9,8 МПа, в остальных грунтах - не ниже 4,9 МПа.

11.25. На обрезе фундамента при его расположении в пределах колебаний уровней воды и льда следует предусматривать устройство фаски размером не менее 0,3 x 0,3 м, а фундаменту придавать обтекаемую форму.

11.26. При необходимости устройства уступов фундамента размеры их должны быть обоснованы расчетом, а поверхности, соединяющие внутренние ребра уступов бетонного фундамента, не должны отклоняться от вертикали на угол свыше 30°.

Наклон к вертикали боковых граней опускного колодца (или отношение суммарной ширины уступов колодца к глубине заложения), как правило, не должен превышать 1:20. Наклон более указанного допускается при условии принятия мер, обеспечивающих погружение колодцев с заданной точностью.

11.27. Фундаменты или грунтовые подушки звеньев средней части одноочковых труб отверстием до 2 м допускается закладывать без учета глубины промерзания грунта. (в ред. Изменения N 1, утв. Приказом Минстроя РФ от 03.12.2016 N 879/пр)

12 Конструкции из полимерных композитов (в ред. Изменения N 2, утв. Приказа Минстроя РФ от 11.11.2019 N 681/пр)

Общие положения

12.1 Конструктивные элементы из полимерных композитов для мостовых сооружений (далее - конструктивные элементы из полимерных композитов), изготовляемые методом инфузии (вакуумной инфузии), должны соответствовать ГОСТ Р 54928 и ГОСТ 33119, а изготовляемые из полимерных композитных пултрузионных профилей (методом пултрузии) - ГОСТ 33119.

Секции настилов и настилы из полимерных композитов должны соответствовать ГОСТ 33376.

Водопропускные трубы из полимерных композитов должны соответствовать требованиям ГОСТ 33123.

12.2 Конструктивные элементы из полимерных композитов должны быть пригодны для эксплуатации в условиях расчетных температур воздуха, определяемых по СП 131.13330 в холодный (для наиболее холодной пятидневки) и в теплый период года с обеспеченностью 0,98 при температуре до плюс 60°С, а также в географических районах с сейсмичностью до 9 баллов.

Материалы

12.3 Конструктивные элементы из полимерных композитов должны изготовляться с применением термореактивных смол, содержащих армирующие наполнители из стекловолокна, базальтоволокна, углеволокна или их различных комбинаций.

12.4 Материалы для изготовления конструктивных элементов из полимерных композитов должны соответствовать требованиям:

- ГОСТ Р 54928 и ГОСТ 33119 - для пролетных строений и других несущих конструкций;

- ГОСТ 33376 - для настилов пролетных строений;

- ГОСТ 33123 - для водопропускных труб;

- ГОСТ 33344 - для пултрузионных профилей;

- ГОСТ 33119 - для прочих конструктивных элементов.

Расчетные характеристики полимерных композитов

12.5 Значения расчетных сопротивлений или деформационных характеристик полимерного композита конструктивных элементов R, МПа, вычисляют по формуле

, (12.1)

где - средние значения сопротивлений или деформационных характеристик полимерного композита, МПа;

- нормативные значения сопротивлений или деформационных характеристик полимерного композита, МПа. Нормативные значения сопротивлений полимерного композита принимают с обеспеченностью 0,98. Для конструктивных элементов из полимерных композитов нормативные значения деформационных характеристик полимерного композита принимают равными их средним значениям;

- коэффициент вариации (в долях единицы), характеризующий экспериментальный разброс свойств. При отсутствии экспериментальных данных допускается принимать не менее 0,13;

- коэффициент надежности по материалу, учитывающий неопределенность свойств полимерного композита, связанную с методом изготовления и возможным несоответствием свойств полимерного композита в конструктивных элементах свойствам, полученным при испытаниях образцов. Принимается по ГОСТ Р 54928;

- обобщенный коэффициент (коэффициент пересчета), учитывающий снижение физико-механических характеристик полимерного композита в процессе эксплуатации конструктивных элементов путем применения частных (поправочных) коэффициентов .

Обобщенный коэффициент (коэффициент пересчета), учитывающий снижение физико-механических характеристик полимерного композита в процессе эксплуатации конструктивных элементов вычисляют по формуле

, (12.2)

где - коэффициент, учитывающий влияние температуры;

- коэффициент, учитывающий влияние увлажнения конструкций;

- коэффициент, учитывающий влияние ползучести для постоянных нагрузок;

- коэффициент, учитывающий влияние усталости;

- коэффициент, учитывающий влияние переменных циклов замораживания - оттаивания (морозостойкость);

- коэффициент, учитывающий влияние старения полимерного композита за время эксплуатации.

12.6 Значения частных (поправочных) коэффициентов следует назначать по ГОСТ 33119.

12.7 Допускается принимать значения коэффициентов надежности по материалу и частных (поправочных) коэффициентов по результатам испытаний образцов полимерных композитов со статистической обеспеченностью значений 0,98.

12.8 Минимальные значения нормативных сопротивлений или деформационных характеристик стеклокомпозитных материалов для мостовых конструктивных элементов следует принимать в соответствии с таблицами 12.1 - 12.4 и (или) по нормативным документам на конструкционные полимерные композиты или технической документации производителей.

Таблица 12.1

Сопротивления стеклокомпозитных пултрузионных профилей

Вид напряженного состояния Направление армирования Минимальные значения нормативных сопротивлений, МПа
Растяжение Базовое 184
Поперечное 38
Сжатие Базовое 151
Поперечное 55
Изгиб Базовое 184
Поперечное 77
Скалывание при расчете соединений Базовое 29
Поперечное 19
Сдвиг 21

Таблица 12.2

Деформационные характеристики стеклокомпозитных пултрузионных профилей

Деформационные характеристики Минимальные средние значения
Модуль упругости при растяжении профилей с толщиной стенки более 10 мм в базовом направлении, МПа 28 000
Модуль упругости при растяжении профилей с толщиной стенки менее 10 мм в базовом направлении, МПа 23 000
Модуль упругости при растяжении в поперечном направлении, МПа 8 500
Коэффициент Пуассона в направлении 0°-90° (базовое - поперечное) 0,23
Модуль сдвига, МПа 3 000

Таблица 12.3

Сопротивления многослойных стеклокомпозитов (ламинатов), изготовляемых методом вакуумной инфузии

Вид напряженного состояния Направление армирования Минимальные значения нормативных сопротивлений, МПа
Растяжение 0° (ось Х) 450
90° (ось Y) 45
Сжатие 0° (ось X) 270
90° (ось Y) 70
Межслоевой сдвиг 0°-90° (XY) 55

Таблица 12.4

Деформационные характеристики стеклокомпозитов (ламинатов), изготовляемых методом вакуумной инфузии

Деформационные характеристики Направление армирования Минимальные средние значения
Модуль упругости при растяжении, МПа 0° (осъ Х) 29 000
90° (ось Y) 6 000
Межслоевой сдвиг, МПа 0°-90° (XY) 5 000
Коэффициент Пуассона 0°-90° (XY) 0,28

На рисунке 12.1 приведен пример строения ламината конструктивных элементов мостов, изготовляемого методом вакуумной инфузии (указанный ламинат состоит из ламелей, в которых реализовано следующее чередование направлений армирующих волокон: 0°, +45°, -45°, 90°).

Рисунок 12.1. Пример строения ламината конструктивных элементов

(в ред. Изменения N 2, утв. Приказа Минстроя РФ от 11.11.2019 N 681/пр)

12.9 Значения коэффициентов линейного теплового расширения полимерных композитов следует принимать в соответствии с нормативными документами на конструкционные полимерные композиты или технической документацией производителей.

Расчеты конструктивных элементов

Общие положения

12.10 Для конструктивных элементов из полимерных композитов определяющим является требование по обеспечению деформативности конструкций. Деформации, в том числе прогибы пролетных строений, должны быть рассчитаны с использованием значения модуля упругости в конце срока службы конструкции с учетом ГОСТ Р 54928.

12.11 Расчет конструктивных элементов из полимерных композитов следует проводить в предположении их линейно-упругой работы аналитически или с использованием компьютерных программ по методу конечных элементов (с использованием пространственных конечно-элементных моделей), позволяющему учитывать анизотропность свойств полимерного композита.

12.12 При определении усилий и перемещений в конструктивных элементах из полимерных композитов площадь сечения элементов принимается брутто.

12.13 Строительный подъем, компенсирующий вертикальные деформации пролетного строения от постоянной нагрузки, коэффициент надежности по нагрузке, вертикальные упругие прогибы пролетных строений, расчетные периоды собственных колебаний в пролетных строениях пешеходных мостов принимаются по соответствующим разделам настоящего свода правил.

Расчеты по предельным состояниям

12.14 Расчеты по предельным состояниям конструктивных элементов из полимерных композитов должны проводиться с учетом положений ГОСТ 27751:

- по ГОСТ Р 54928 и ГОСТ 33119 - для пролетных строений и других несущих конструкций;

- по ГОСТ 33376 - для настилов пролетных строений;

- по ГОСТ 33123 - для водопропускных труб.

12.15 При определении деформаций конструктивных элементов из полимерных композитов вследствие изгиба следует учитывать сдвиг слоев материала.

12.16 В расчетах сечений конструктивных элементов из полимерных композитов на прочность, ослабленных отверстиями под болты, площадь сечения элемента принимается нетто, при расчете сечений на устойчивость и жесткость - брутто.

Расчет болтовых соединений

12.17 Расчет болтовых соединений выполняется в соответствии с разделом 8, а также с учетом положений СП 16.13330.

12.18 Расчет многоболтовых соединений проводится из учета равномерного распределения усилий на все болты, при этом силы трения, возникающие в болтовых соединениях по боковым поверхностям конструктивных элементов из полимерных композитов в стыке, в расчетах не учитываются.

12.19 Внешний диаметр шайбы должен быть не меньше удвоенного диаметра болта.

12.20 Не допускается контакт резьбы болта и материала полимерного композита.

12.21 Соединения конструктивных элементов из полимерных композитов с опорами мостовых сооружений с использованием анкерных болтов следует проектировать с учетом положений СП 43.13330.

Конструктивные требования

12.22 Конструктивные элементы из полимерных композитов должны быть защищены от воздействия климатических факторов (ультрафиолетового излучения, влажности и др.), в том числе путем нанесения защитного покрытия.

12.23 Рабочие поверхности конструктивных элементов из полимерных композитов, служащие для передвижения транспортных средств и (или) пешеходов, должны быть защищены износостойким противоскользящим покрытием.

12.24 Защитные покрытия должны наноситься преимущественно в заводских условиях. Допускается нанесение износостойких противоскользящих покрытий непосредственно на строительной площадке после установки конструктивных элементов из полимерных композитов.

12.25 В связи с пониженной массой пролетных строений из полимерных композитов узлы их опирания на опоры мостового сооружения должны предотвращать отрыв пролетного строения от опор под действием сейсмических, ветровых и других сдвигающих пролетное строение нагрузок.

12.26 Пролетные строения и лестничные сходы из полимерных композитов должны содержать элементы (в том числе закладные детали), обеспечивающие крепление перил, светопрозрачных галерей и других обустройств, необходимых для обеспечения нормальной эксплуатации пролетного строения из полимерного композита.

12.27 В болтовых соединениях конструктивных элементов из полимерных композитов могут быть применены стали в соответствии с разделом 8, ГОСТ 33119, а также нормативным документом, устанавливающим правила проектирования строительных конструкций из полимерных композитных пултрузионных профилей, при этом следует предусмотреть отсутствие контакта резьбы болта с полимерным композитом, в том числе путем использования защитных втулок.

Приложение А
(обязательное)

ПЕРЕЧЕНЬ НОРМАТИВНЫХ ДОКУМЕНТОВ

(в ред. Изменения N 2, утв. Приказа Минстроя РФ от 11.11.2019 N 681/пр)

ГОСТ 9.401-91*. ЕСЗКС. Покрытия лакокрасочные. Общие требования и методы ускоренных испытаний на стойкость к воздействию климатических факторов

ГОСТ 380-2005. Сталь углеродистая обыкновенного качества. Марки

ГОСТ 535-2005. Прокат сортовой и фасонный из стали углеродистой обыкновенного качества. Общие технические условия

ГОСТ 977-88. Отливки стальные. Общие технические условия

ГОСТ 1050-2013. Металлопродукция из нелегированных конструкционных качественных и специальных сталей. Общие технические условия (в ред. Изменения N 1, утв. Приказом Минстроя РФ от 03.12.2016 N 879/пр)

ГОСТ 1051-73. Прокат калиброванный. Общие технические условия (в ред. Изменения N 1, утв. Приказом Минстроя РФ от 03.12.2016 N 879/пр)

ГОСТ 2246-70*. Проволока стальная сварочная. Технические условия

ГОСТ 2695-83*. Пиломатериалы лиственных пород. Технические условия

ГОСТ 2770-74*. Масло каменноугольное для пропитки древесины. Технические условия

ГОСТ 3064-80. Канат одинарной свивки типа ТК конструкции 1 x 37 (1 + 6 + 12 + 18). Сортамент

ГОСТ 3067-88*. Канат стальной двойной свивки типа ТК конструкции 6 x 19 (1 + 6 + 12) + 1 x 19 (1 + 6 + 12). Сортамент

ГОСТ 3090-73*. Канаты стальные. Канат закрытый несущий с одним слоем зетобразной проволоки и сердечником типа ТК. Сортамент (в ред. Изменения N 1, утв. Приказом Минстроя РФ от 03.12.2016 N 879/пр)

ГОСТ 4028-63*. Гвозди строительные. Конструкция и размеры

ГОСТ 4543-71*. Прокат из легированной конструкционной стали. Технические условия

ГОСТ 4784-97*. Алюминий и сплавы алюминиевые деформируемые. Марки

ГОСТ 5632-72*. Стали высоколегированные и сплавы коррозионно-стойкие, жаростойкие и жаропрочные. Марки

ГОСТ 5781-82*. Сталь горячекатаная для армирования железобетонных конструкций. Технические условия

ГОСТ 6713-91. Прокат низколегированный конструкционный для мостостроения. Технические условия

ГОСТ 7348-81*. Проволока из углеродистой стали для армирования предварительно напряженных железобетонных конструкций. Технические условия (в ред. Изменения N 1, утв. Приказом Минстроя РФ от 03.12.2016 N 879/пр)

ГОСТ 7675-73*. Канаты стальные. Канат закрытый несущий с одним слоем клиновидной и одним слоем зетобразной проволоки и сердечником типа ТК. Сортамент (в ред. Изменения N 1, утв. Приказом Минстроя РФ от 03.12.2016 N 879/пр)

ГОСТ 7676-73*. Канаты стальные. Канат закрытый несущий с двумя слоями клиновидной и одним слоем зетобразной проволоки и сердечником типа ТК. Сортамент (в ред. Изменения N 1, утв. Приказом Минстроя РФ от 03.12.2016 N 879/пр)

ГОСТ 8479-70*. Поковки из конструкционной углеродистой и легированной стали. Общие технические условия (в ред. Изменения N 1, утв. Приказом Минстроя РФ от 03.12.2016 N 879/пр)

ГОСТ 8486-86. Пиломатериалы хвойных пород. Технические условия

ГОСТ 8509-93. Уголки стальные горячекатаные равнополочные. Сортамент

ГОСТ 8510-86. Уголки стальные горячекатаные неравнополочные. Сортамент

ГОСТ 8639-82*. Трубы стальные квадратные. Сортамент

ГОСТ 9128-2013. Смеси асфальтобетонные, полимерасфальтобетонные, асфальтобетон, полимерасфальтобетон для автомобильных дорог и аэродромов. Технические условия (в ред. Изменения N 1, утв. Приказом Минстроя РФ от 03.12.2016 N 879/пр)

ГОСТ 9238-2013. Габариты железнодорожного подвижного состава и приближения строений (в ред. Изменения N 1, утв. Приказом Минстроя РФ от 03.12.2016 N 879/пр)

ГОСТ 9462-88*. Лесоматериалы круглые лиственных пород. Технические условия

ГОСТ 9463-88. Лесоматериалы круглые хвойных пород. Технические условия

ГОСТ 9467-75*. Электроды покрытые металлические для ручной дуговой сварки конструкционных и теплоустойчивых сталей. Типы

ГОСТ 10060-2012. Бетоны. Методы определения морозостойкости (в ред. Изменения N 1, утв. Приказом Минстроя РФ от 03.12.2016 N 879/пр)

Строка. - Исключена. (в ред. Изменения N 1, утв. Приказом Минстроя РФ от 03.12.2016 N 879/пр)

Строка. - Исключена. (в ред. Изменения N 1, утв. Приказом Минстроя РФ от 03.12.2016 N 879/пр)

Строка. - Исключена. (в ред. Изменения N 1, утв. Приказом Минстроя РФ от 03.12.2016 N 879/пр)

ГОСТ 10884-94. Сталь арматурная термомеханически упрочненная для железобетонных конструкций. Технические условия

ГОСТ 10885-85*. Сталь листовая горячекатаная двухслойная коррозионно-стойкая. Технические условия

ГОСТ 10922-2012. Арматурные и закладные изделия, их сварные вязаные и механические соединения для железобетонных конструкций. Общие технические условия (в ред. Изменения N 1, утв. Приказом Минстроя РФ от 03.12.2016 N 879/пр)

ГОСТ 13726-97*. Ленты из алюминия и алюминиевых сплавов. Технические условия

ГОСТ 13840-68*. Канаты стальные арматурные 1 x 7. Технические условия

ГОСТ 14098-2014. Соединения сварные арматуры и закладных изделий железобетонных конструкций. Типы, конструкции и размеры (в ред. Изменения N 1, утв. Приказом Минстроя РФ от 03.12.2016 N 879/пр)

ГОСТ 14637-89*. Прокат толстолистовой из углеродистой стали обыкновенного качества. Технические условия

ГОСТ 16483.10-73*. Древесина. Методы определения предела прочности при сжатии вдоль волокон

ГОСТ 18899-73. Канаты стальные. Канаты закрытые несущие. Технические условия

ГОСТ 19281-2014. Прокат повышенной прочности. Общие технические условия (в ред. Изменения N 1, утв. Приказом Минстроя РФ от 03.12.2016 N 879/пр)

ГОСТ 19292-73. Соединения сварные элементов закладных деталей сборных железобетонных конструкций

ГОСТ 21437-95. Сплавы цинкованные антифрикционные. Марки, технические требования и методы испытаний

ГОСТ 21631-76*. Листы из алюминия и алюминиевых сплавов. Технические условия

ГОСТ 23279-2012. Сетки арматурные сварные для железобетонных конструкций и изделий. Общие технические условия (в ред. Изменения N 1, утв. Приказом Минстроя РФ от 03.12.2016 N 879/пр)

ГОСТ 23961-80. Метрополитены. Габаритные приближения строений, оборудования и подвижного состава (в ред. Изменения N 1, утв. Приказом Минстроя РФ от 03.12.2016 N 879/пр)

ГОСТ 25100-2011. Грунты. Классификация (в ред. Изменения N 1, утв. Приказом Минстроя РФ от 03.12.2016 N 879/пр)

ГОСТ 26607-85. Система обеспечения точности геометрических параметров в строительстве. Функциональные допуски

ГОСТ 26633-2015. Бетоны тяжелые и мелкозернистые. Технические условия (в ред. Изменения N 1, утв. Приказом Минстроя РФ от 03.12.2016 N 879/пр)

ГОСТ 26775-97. Габариты подмостовые судоходных пролетов мостов на внутренних водных путях. Нормы и технические требования

ГОСТ 26804-2012. Ограждения дорожные металлические барьерного типа. Технические условия (в ред. Изменения N 1, утв. Приказом Минстроя РФ от 03.12.2016 N 879/пр)

ГОСТ 27751-2014. Надежность строительных конструкций и оснований. Основные положения (в ред. Изменения N 1, утв. Приказом Минстроя РФ от 03.12.2016 N 879/пр)

ГОСТ 30244-94. Материалы строительные. Методы испытаний на горючесть

ГОСТ 30247.0-94. Конструкции строительные. Методы испытаний на огнестойкость. Общие требования

ГОСТ 30247.1-94. Конструкции строительные. Методы испытаний на огнестойкость. Несущие и ограждающие конструкции

ГОСТ 31015-2002. Смеси асфальтобетонные и асфальтобетон щебеночно-мастичные. Технические условия

ГОСТ Р 22.1.12-2005. Безопасность в чрезвычайных ситуациях. Структурированная система мониторинга и управления инженерными системами зданий и сооружений. Общие требования

ГОСТ Р 52289-2004. Технические средства организации дорожного движения. Правила применения дорожных знаков, разметки, светофоров, дорожных ограждений и направляющих устройств

ГОСТ Р 52398-2005. Классификация автомобильных дорог. Основные параметры и требования

ГОСТ Р 52399-2005. Геометрические элементы автомобильных дорог

Строка. - Исключена. (в ред. Изменения N 1, утв. Приказом Минстроя РФ от 03.12.2016 N 879/пр)

ГОСТ Р 52607-2006. Технические средства организации дорожного движения. Ограждения дорожные удерживающие боковые для автомобилей. Общие технические требования

ГОСТ Р 52643-2006. Болты и гайки высокопрочные и шайбы для металлических конструкций. Общие технические условия

ГОСТ Р 52644-2006. Болты высокопрочные с шестигранной головкой с увеличенным размером под ключ для металлических конструкций. Технические условия

ГОСТ Р 52645-2006. Гайки высокопрочные шестигранные с увеличенным размером под ключ для металлических конструкций. Технические условия

ГОСТ Р 52646-2006. Шайбы к высокопрочным болтам для металлических конструкций. Технические условия

ГОСТ Р 52748-2007. Дороги автомобильные общего пользования. Нормативные нагрузки, расчетные схемы нагружения и габариты приближения (в ред. Изменения N 1, утв. Приказом Минстроя РФ от 03.12.2016 N 879/пр)

ГОСТ Р 52766-2007. Дороги автомобильные общего пользования. Элементы обустройства. Общие требования (в ред. Изменения N 1, утв. Приказом Минстроя РФ от 03.12.2016 N 879/пр)

ГОСТ Р 53664-2009. Болты высокопрочные цилиндрические и конические для мостостроения, гайки и шайбы к ним. Технические условия (в ред. Изменения N 1, утв. Приказом Минстроя РФ от 03.12.2016 N 879/пр)

ГОСТ Р 53772-2010. Канаты стальные арматурные семипроволочные стабилизированные. Технические условия (в ред. Изменения N 1,N 1, утв. Приказом Минстроя РФ от 03.12.2016 N 879/пр)

ГОСТ Р 55374-2012. Прокат из стали конструкционной легированной для мостостроения. Общие технические условия (в ред. Изменения N 1 утв. Приказом Минстроя РФ от 03.12.2016 N 879/пр)

СП 20.13330.2011 "СНиП 2.01.07-85*. Нагрузки и воздействия"

СП 22.13330.2011 "СНиП 2.02.01-83*. Основания зданий и сооружений"

СП 24.13330.2011 "СНиП 2.02.03-85. Свайные фундаменты"

СП 25.13330.2012 "СНиП 2.02.04-88. Основания и фундаменты на вечномерзлых грунтах" (в ред. Изменения N 1, утв. Приказом Минстроя РФ от 03.12.2016 N 879/пр)

СП 28.13330.2012 "СНиП 2.03.11-85. Защита строительных конструкций от коррозии" (с изменением N 1) (в ред. Изменения N 1, утв. Приказом Минстроя РФ от 03.12.2016 N 879/пр)

СП 34.13330.2012 "СНиП 2.05.02-85*. Автомобильные дороги" (в ред. Изменения N 1, утв. Приказом Минстроя РФ от 03.12.2016 N 879/пр)

СП 37.13330.2012 "СНиП 2.05.07-91*. Промышленный транспорт" (в ред. Изменения N 1, утв. Приказом Минстроя РФ от 03.12.2016 N 879/пр)

СП 51.13330.2011 "СНиП 23-03-2003 Защита от шума" (в ред. Изменения N 1, утв. Приказом Минстроя РФ от 03.12.2016 N 879/пр)

СП 79.13330.2012 "СНиП 3.06.07-86 Мосты и трубы. Правила обследований и испытаний" (в ред. Изменения N 1, утв. Приказом Минстроя РФ от 03.12.2016 N 879/пр)

СП 98.13330.2012 "СНиП 2.05.09-90 Трамвайные и троллейбусные линии" (в ред. Изменения N 1, утв. Приказом Минстроя РФ от 03.12.2016 N 879/пр)

СП 159.1325800.2014 "Сталежелезобетонные пролетные строения автодорожных мостов. Правила расчета" (в ред. Изменения N 1, утв. Приказом Минстроя РФ от 03.12.2016 N 879/пр)

СП 99.13330.2011. Внутрихозяйственные автомобильные дороги в колхозах, совхозах и других сельскохозяйственных предприятиях и организациях (в ред. Изменения N 1, утв. Приказом Минстроя РФ от 03.12.2016 N 879/пр)

СП 38.13330.2012. Нагрузки и воздействия на гидротехнические сооружения (волновые, ледовые и от судов) (в ред. Изменения N 1, утв. Приказом Минстроя РФ от 03.12.2016 N 879/пр)

СП 42.13330.2011 "СНиП 2.07.01-89*. Градостроительство. Планировка и застройка городских и сельских поселений"

СП 70.13330.2012. Несущие и ограждающие конструкции (в ред. Изменения N 1, утв. Приказом Минстроя РФ от 03.12.2016 N 879/пр)

СП 14.13330.2014 "СНиП II-7-81*. Строительство в сейсмических районах" (с изменением N 1) (в ред. Изменения N 1, утв. Приказом Минстроя РФ от 03.12.2016 N 879/пр)

СП 16.13330.2011 "СНиП II-23-81*. Стальные конструкции" (с изменением N 1) (в ред. Изменения N 1, утв. Приказом Минстроя РФ от 03.12.2016 N 879/пр)

СП 64.13330.2011 "СНиП II-25-80. Деревянные конструкции"

Строка. - Исключена. (в ред. Изменения N 1, утв. Приказом Минстроя РФ от 03.12.2016 N 879/пр)

СП 131.13330.2012. Строительная климатология (в ред. Изменения N 1, утв. Приказом Минстроя РФ от 03.12.2016 N 879/пр)

СП 119.13330.2012. Железные дороги колеи 1520 мм (в ред. Изменения N 1, утв. Приказом Минстроя РФ от 03.12.2016 N 879/пр)

Строка. - Исключена. (в ред. Изменения N 1, утв. Приказом Минстроя РФ от 03.12.2016 N 879/пр)

ГОСТ 27751-2014 Надежность строительных конструкций и оснований. Основные положения (в ред. Изменения N 2, утв. Приказа Минстроя РФ от 11.11.2019 N 681/пр)

ГОСТ 31938-2012 Арматура композитная полимерная для армирования бетонных конструкций. Общие технические условия (в ред. Изменения N 2, утв. Приказа Минстроя РФ от 11.11.2019 N 681/пр)

ГОСТ 32794-2014 Композиты полимерные. Термины и определения" (в ред. Изменения N 2, утв. Приказа Минстроя РФ от 11.11.2019 N 681/пр)

ГОСТ 33119-2014 Конструкции полимерные композитные для пешеходных мостов и путепроводов. Технические условия (в ред. Изменения N 2, утв. Приказа Минстроя РФ от 11.11.2019 N 681/пр)

ГОСТ 33123-2014 Трубы водопропускные из полимерных композитов. Технические условия (в ред. Изменения N 2, утв. Приказа Минстроя РФ от 11.11.2019 N 681/пр)

ГОСТ 33344-2015 Профили пултрузионные конструкционные из полимерных композитов. Общие технические условия (в ред. Изменения N 2, утв. Приказа Минстроя РФ от 11.11.2019 N 681/пр)

ГОСТ 33370-2015 Волокна химические штапельные для армирования строительных материалов и конструкций. Общие технические условия (в ред. Изменения N 2, утв. Приказа Минстроя РФ от 11.11.2019 N 681/пр)

ГОСТ 33376-2015 Секции настилов композитные полимерные для пешеходных и автодорожных мостов и путепроводов. Общие технические условия (в ред. Изменения N 2, утв. Приказа Минстроя РФ от 11.11.2019 N 681/пр)

ГОСТ Р 54928-2012 Пешеходные мосты и путепроводы из полимерных композитов. Технические условия (в ред. Изменения N 2, утв. Приказа Минстроя РФ от 11.11.2019 N 681/пр)

СП 16.13330.2017 "СНиП II-23-81 Стальные конструкции" (с изменением N 1) (в ред. Изменения N 2, утв. Приказа Минстроя РФ от 11.11.2019 N 681/пр)

СП 43.13330.2012 "СНиП 2.09.03-85 Сооружения промышленных предприятий" (с изменениями N 1, N 2) (в ред. Изменения N 2, утв. Приказа Минстроя РФ от 11.11.2019 N 681/пр)

СП 131.13330.2018 "СНиП 23-01-99* Строительная климатология" (в ред. Изменения N 2, утв. Приказа Минстроя РФ от 11.11.2019 N 681/пр)

СП 295.1325800.2017 Конструкции бетонные, армированные полимерной композитной арматурой. Правила проектирования (в ред. Изменения N 2, утв. Приказа Минстроя РФ от 11.11.2019 N 681/пр)

СП 297.1325800.2017 Конструкции фибробетонные с неметаллической фиброй. Правила проектирования (с изменением N 1) (в ред. Изменения N 2, утв. Приказа Минстроя РФ от 11.11.2019 N 681/пр)

Приложение Б
(обязательное)

ТЕРМИНЫ И ОПРЕДЕЛЕНИЯ

(в ред. Изменения N 2, утв. Приказа Минстроя РФ от 11.11.2019 N 681/пр)

В настоящем своде правил применены термины по ГОСТ 32794, а также следующие термины с соответствующими определениями (в ред. Изменения N 2, утв. Приказа Минстроя РФ от 11.11.2019 N 681/пр)

армогрунт: Композиционный материал, состоящий из слоев уплотненного грунта и армирующих элементов различного вида, укладываемых между слоями грунта и работающих на растяжение; (в ред. Изменения N 1, утв. Приказом Минстроя РФ от 03.12.2016 N 879/пр)

армогрунтовая система: Система, состоящая из грунта основания, уплотняемых слоев грунта насыпи и армирующих элементов в виде металлических стержней, полос, арматурных каркасов или геосинтетических тканей, решеток, сеток, закладываемых между слоями грунта насыпи с определенным вертикальным шагом, и облицовок различных конструкций; (в ред. Изменения N 1, утв. Приказом Минстроя РФ от 03.12.2016 N 879/пр)

базовое направление армирования полимерного композитного пултрузионного профиля (базовое направление): Нормаль к поперечному сечению профиля; (в ред. Изменения N 2, утв. Приказа Минстроя РФ от 11.11.2019 N 681/пр)

балка жесткости: Несущий балочный элемент моста, обеспечивающий необходимую жесткость пролетного строения;

вант: Гибкий несущий элемент моста вантово-балочной системы, передающий усилия с балки жесткости на пилон;

выносливость: Способность материала, конструкции, соединения сопротивляться в заданных пределах усталостному разрушению под воздействием циклического изменения временной нагрузки;

габарит приближения строений: Предельное поперечное перпендикулярное оси дороги или пути очертание, внутрь которого, помимо подвижного состава, не должны заходить никакие части сооружений и устройств, а также лежащие около пути материалы, запасные части и оборудование, за исключением частей устройств, предназначаемых для непосредственного взаимодействия с подвижным составом: вагонных замедлителей и подвагонных толкателей в рабочем состоянии, контактных проводов с деталями крепления, хоботов гидравлических колонок при наборе воды и др., при условии, что положение этих устройств во внутригабаритном пространстве увязано с частями подвижного состава, с которыми они могут соприкасаться, и что они не могут вызвать соприкосновения с другими элементами подвижного состава;

геомассив: Ограниченная часть геосреды, влияющая на сооружения посредством гидрогеологических и геодинамических процессов (разломы, карсты, оползни);

грузоподъемность сооружения: Характеристика, соответствующая наибольшему классу эксплуатационной нагрузки заданной структуры, при которой исчерпывается несущая способность конструкции;

длина моста: Расстояние, измеренное по оси моста, между точками пересечения линий, соединяющих концы открылков устоев (или других конструктивных элементов) с осью сооружения;

живучесть: Обеспеченность от прогрессирующего разрушения; (в ред. Изменения N 1, утв. Приказом Минстроя РФ от 03.12.2016 N 879/пр)

коррозия материала: Разрушение материала вследствие химического или электрохимического взаимодействия с агрессивной коррозионной средой. Для процесса коррозии следует применять термин "коррозионный процесс", а для результата процесса - термин "коррозионное разрушение";

ламель: Монослой многослойного полимерного композита, армированный одним видом армирующего наполнителя - ровингом, кордной тканью, тканью, мультиаксиальной тканью или матом.
Примечание - В зависимости от вида армирующего наполнителя ламель является однонаправленно-, двунаправленно-, многонаправленно- или хаотично-армированной.
[ГОСТ Р 54928-2012, статья 3.1.22]
(в ред. Изменения N 2, утв. Приказа Минстроя РФ от 11.11.2019 N 681/пр)

ламинат: Многослойный полимерный композит, состоящий из нескольких ламелей одинаковой или различной толщины.
[ГОСТ Р 54928-2012, статья 3.1.23]
(в ред. Изменения N 2, утв. Приказа Минстроя РФ от 11.11.2019 N 681/пр)

линия влияния: График, ординаты которого выражают значения усилий или перемещений в данной точке системы в зависимости от положения перемещаемой силы;

металлический гофрированный элемент: Стальной лист волнистого профиля, изогнутый по кривой очертания сооружения (трубы или моста) и защищенный от коррозии; (в ред. Изменения N 1, утв. Приказом Минстроя РФ от 03.12.2016 N 879/пр)

морозостойкость бетона: Способность сохранять физико-механические свойства при многократном переменном замораживании и оттаивании;

мост: Наиболее распространенное и обобщенное понятие мостового сооружения;

мостовое сооружение из металлических гофрированных элементов: Засыпной мост в виде арки (бесшарнирной или с шарнирами), имеющий опоры и работающий совместно с грунтовой обоймой. Применяется для пропуска водотока, транспорта, пешеходов, скотопрогонов, миграции животных; (в ред. Изменения N 1, утв. Приказом Минстроя РФ от 03.12.2016 N 879/пр)

мостовой переход: Комплекс сооружений, включающий мост, участки подходов в пойме реки, регуляционные и другие укрепления;

мостовое сооружение: Искусственное сооружение над препятствиями для пропуска транспорта и пешеходов, а также водотоков, селей, скота, коммуникаций различного назначения - порознь или в различных комбинациях; (в ред. Изменения N 1, утв. Приказом Минстроя РФ от 03.12.2016 N 879/пр)

ограждение мостовое: Конструктивный элемент мостового полотна, устанавливаемый на границах габарита приближения строений, предназначенный для предотвращения съезда транспортных средств за его пределы и исправления траектории движения автомобиля при наезде на ограждение. Ограждение может быть бетонное, железобетонное и металлическое. По конструкции различают барьерное ограждение, состоящее из стоек и горизонтального бруса или профильной стальной ленты либо трубы (труб), установленных на стойках на некотором уровне над верхом покрытия, и парапетное ограждение, выполненное в виде железобетонной стенки;

перила моста: Ограждающее устройство на тротуарах с внешней стороны моста;

пилон: Несущий элемент конструкции, опора висячего или вантового моста в виде башни-стойки или портала, служащий для опирания кабеля, цепи или системы вант. Различают жесткие и качающиеся пилоны;

полимерный композит: Композит, матрица которого образована из термореактивных полимеров; (в ред. Изменения N 2, утв. Приказа Минстроя РФ от 11.11.2019 N 681/пр)

полимерный композитный пултрузионный профиль (пултрузионный профиль): Линейное профильное изделие из полимерного композита, изготовляемое методом пултрузии и имеющее, как правило, постоянное поперечное сечение; (в ред. Изменения N 2, утв. Приказа Минстроя РФ от 11.11.2019 N 681/пр)

полоса разделительная: Конструктивно выделенный элемент проезжей части, разделяющий смежные направления и не предназначенный для движения или остановки безрельсовых транспортных средств;

путепровод: Разновидность мостового сооружения над железными или автомобильными дорогами;

расчетная схема сооружения: Условная схема со всеми исходными параметрами, необходимая для расчета с целью определения напряженно-деформированного состояния сооружения;

ростверк: Конструкция верхней части свайного фундамента в виде плиты или насадки, объединяющая сваи в одну устойчивую систему и служащая для передачи нагрузки на сваю;

сейсмостойкость: Способность зданий и сооружений противостоять сейсмическим воздействиям без потери эксплуатационных качеств;

сопряжение с подходами: Конструктивное выполнение узла примыкания мостового сооружения к насыпи подхода за устоем;

сплошность бетона: Показатель качества укладки, характеризующий непрерывность материала и отсутствие аномальных зон (шлам, пустоты);

срок службы: Календарная продолжительность от начала эксплуатации мостового сооружения или ее возобновления после реконструкции или ремонта до перехода в предельное состояние;

строительный подъем: Выгиб пролетного строения или его конструктивных элементов (главных и продольных балок) по форме, противоположный прогибу от постоянной и определенной части временной нагрузки с целью обеспечения плавности езды транспортных средств;

трещиностойкость: Способность материала конструкции сопротивляться образованию или развитию до заданных пределов в нем трещин под действием нагрузок, технологических и климатических воздействий;

усталость: Процесс постепенного накопления повреждений материала под действием переменных напряжений, приводящих к изменению свойств, образованию и развитию трещин и разрушению;

устой (опора береговая): Крайняя опора моста в сопряжении его с геомассивом берегового склона и подходной насыпи, воспринимающая нагрузки от пролетного строения и переходной плиты и давления грунта геомассива берегового склона и насыпи; (в ред. Изменения N 1, утв. Приказом Минстроя РФ от 03.12.2016 N 879/пр)

устой диванного типа: Береговая опора в виде уголкового блока (дивана), опирающаяся горизонтальной полкой на грунт насыпи; (в ред. Изменения N 1, утв. Приказом Минстроя РФ от 03.12.2016 N 879/пр)

устой с раздельными функциями: Крайняя опора моста, воспринимающая только нагрузки от пролетного строения и переходной плиты. При этом давление грунта воспринимается армогрунтовой системой, полностью изолирующей опору от взаимодействия с грунтом насыпи; (в ред. Изменения N 1, утв. Приказом Минстроя РФ от 03.12.2016 N 879/пр)

хладостойкость: Способность материалов, элементов, конструкций и их соединений сопротивляться хрупким разрушениям при низких температурах окружающей среды;

ширина моста: Расстояние между перилами в свету;

шов деформационный: Зазор между торцами пролетных строений либо торцом пролетного строения и шкафной стенкой устоя или головной частью опоры. Различают: закрытый, в котором зазор закрыт покрытием, уложенным без разрыва; заполненный, в котором зазор выполнен герметизирующим материалом (например, жгутом из пористой резины или мастикой), деформирующимся при перемещениях (покрытие выполнено с разрывом) пролетного строения; перекрытый, в котором зазор между сопрягаемыми элементами в уровне верха проезжей части перекрыт скользящим листом или резиновыми компенсаторами.

Приложение В
(справочное)

ОБОЗНАЧЕНИЯ

(в ред. Изменения N 2, утв. Приказа Минстроя РФ от 11.11.2019 N 681/пр)

В разделе 5 "Основные положения"

- момент опрокидывающих сил;

- момент удерживающих сил;

- сдвигающая сила;

- удерживающая сила;

l - расчетный пролет;

h - высота;

- динамический коэффициент;

m - коэффициент условий работы;

- коэффициент надежности по назначению;

- коэффициент надежности по нагрузке.

В разделе 6 "Нагрузки и воздействия"

A - площадь;

P - сосредоточенная вертикальная нагрузка;

- сосредоточенная горизонтальная поперечная сила;

M - момент силы;

G - модуль сдвига;

- сила сопротивления вследствие трения;

- величина реактивного сопротивления резиновых опорных частей;

T - период;

p - интенсивность временной вертикальной нагрузки от пешеходов;

- вертикальное давление от веса насыпи;

v - интенсивность эквивалентной нагрузки от вертикального воздействия временной подвижной нагрузки;

- интенсивность горизонтальной распределенной нагрузки;

- линейная нагрузка при определении давления на звенья труб;

u - величина, определяющая интенсивность горизонтальной распределенной нагрузки;

- интенсивность скоростного напора ветра;

- нормативный удельный вес грунта;

- удельный вес перевозимой породы;

- наибольшая установленная скорость;

- длина загружения линии влияния;

- проекция наименьшего расстояния от вершины до конца линии влияния;

a - суммарная толщина слоев резины в опорных частях;

h, - высота засыпки труб;

d - диаметр;

r - радиус;

- перемещение в опорных частях;

f - стрела арки;

c - длина соприкасания колес нагрузки с проезжей частью;

- нормативный угол внутреннего трения грунта;

- предельная относительная деформация усадки бетона;

- удельная деформация ползучести бетона;

t - температура;

- максимальная положительная температура;

- наименьшая отрицательная температура;

- температура замыкания;

- отклонение температуры;

z - число устанавливаемых блоков;

- коэффициент линейного расширения;

- коэффициент сочетания нагрузок;

- коэффициент надежности по нагрузке;

- коэффициент вертикального давления для звеньев труб;

, - динамические коэффициенты;

- коэффициент нормативного бокового давления;

- аэродинамический коэффициент лобового сопротивления конструкции действию ветра;

- коэффициент, учитывающий изменение скоростного напора ветра в зависимости от высоты;

- коэффициент, учитывающий отсутствие обращения особо тяжелого железнодорожного подвижного состава;

- коэффициент, учитывающий воздействие временной нагрузки с первого (главного) пути (полосы); (в ред. Изменения N 1, утв. Приказом Минстроя РФ от 03.12.2016 N 879/пр)

- коэффициент, учитывающий воздействие временной нагрузки со второго (по значимости) пути (полосы); (в ред. Изменения N 1, утв. Приказом Минстроя РФ от 03.12.2016 N 879/пр)

- коэффициент, учитывающий воздействие временной нагрузки с третьей и последующих полос движения; (в ред. Изменения N 1, утв. Приказом Минстроя РФ от 03.12.2016 N 879/пр)

- нормативная величина коэффициента трения;

, - максимальная и минимальная величины коэффициента трения.

В разделе 7 "Бетонные, железобетонные, фибробетонные конструкции и конструкции с композитной полимерной арматурой (в ред. Изменения N 2, утв. Приказа Минстроя РФ от 11.11.2019 N 681/пр)

Характеристики материалов

Нормативные сопротивления бетона

- осевому сжатию;

- осевому растяжению.

Расчетные сопротивления бетона

При расчете по предельным состояниям первой группы:

- осевому сжатию;

- осевому растяжению;

- непосредственному срезу.

При расчете по предельным состояниям второй группы:

- осевому сжатию;

- осевому растяжению при расчете предварительно напряженных элементов по образованию трещин;

- осевому сжатию при расчете на стойкость против образования продольных микротрещин (mc) при предварительном напряжении, транспортировании и монтаже;

- осевому сжатию при расчете под эксплуатационной нагрузкой по формулам сопротивления упругих материалов (расчет на совместное воздействие силовых факторов и неблагоприятных влияний внешней среды);

- скалыванию при изгибе.

Нормативные сопротивления арматуры растяжению

- ненапрягаемой;

- напрягаемой.

Расчетные сопротивления арматуры растяжению

- ненапрягаемой;

- напрягаемой;

- ненапрягаемой - сжатию;

- напрягаемой, расположенной в сжатой зоне.

Отношение модулей упругости

- принимаемые при расчете по прочности, а при напрягаемой арматуре также и при расчете на выносливость;

n' - то же, принимаемые при расчете на выносливость и трещиностойкость для элементов с ненапрягаемой арматурой.

Геометрические характеристики

- площадь сечения сжатой зоны бетона;

- площадь сечения всего бетона;

- площадь приведенного сечения элемента;

- момент инерции приведенного сечения элемента относительно его центра тяжести;

- момент сопротивления приведенного сечения элемента для крайнего растянутого волокна;

, - площадь сечения ненапрягаемой растянутой и сжатой продольной арматуры;

, - то же, напрягаемой арматуры;

- коэффициент армирования, определяемый как отношение площади сечения растянутой продольной арматуры к площади поперечного сечения без учета сжатых и растянутых свесов поясов;

b - ширина прямоугольного сечения, ширина стенки (ребра) таврового, двутаврового и коробчатого сечений;

- ширина пояса таврового, двутаврового и коробчатого сечений в сжатой зоне;

h - высота сечения;

- приведенная (включая вуты) высота сжатого пояса таврового, двутаврового и коробчатого сечений;

- рабочая высота сечения;

x - высота сжатой зоны бетона;

, - расстояние от центра тяжести растянутой соответственно ненапрягаемой и напрягаемой продольной арматуры до ближайшей грани сечения;

, - то же, для сжатой арматуры;

- эксцентриситет продольной силы N относительно центра тяжести приведенного сечения;

- коэффициент, учитывающий влияние поперечного изгиба при внецентренном сжатии (вводится к значению ), принимаемый согласно 3.54;

- расчетное (с учетом коэффициента , вводимого к значению ) расстояние от продольной силы N до центра тяжести растянутой арматуры внецентренно сжатого сечения;

e, e' - расстояние от оси приложения продольной силы N до центра тяжести соответственно растянутой и сжатой арматуры внецентренно растянутого сечения;

i - радиус инерции поперечного сечения;

r - ядровое расстояние;

d - диаметр круглого элемента, номинальный диаметр арматурных стержней.

Напряжения в бетоне

- растягивающее (с учетом потерь) напряжение в бетоне растянутой зоны предварительно напряженного элемента под временной нагрузкой;

, - главные растягивающие и главные сжимающие напряжения;

, - нормальные напряжения в бетоне соответственно вдоль продольной оси и в направлении, нормальном к ней;

- касательные напряжения в бетоне.

Напряжения в арматуре

- напряжение в ненапрягаемой растянутой арматуре под нагрузкой;

- суммарное напряжение в напрягаемой арматуре растянутой зоны под нагрузкой;

- вводимое в расчет остаточное напряжение в напрягаемой арматуре, расположенной в сжатой зоне () ;

- расчетное напряжение (за вычетом всех потерь) в напрягаемой арматуре, расположенной в сжатой зоне.

В разделе 8 "Стальные конструкции"

A - площадь сечения брутто;

- площадь сечения болта нетто;

- площадь сечения нетто;

- площадь сечения полки (пояса);

- площадь сечения стенки;

- площадь сечения по металлу углового шва;

- площадь сечения по металлу границы сплавления;

E - модуль упругости;

F - сила;

G - модуль сдвига;

- момент инерции сечения ребра;

- момент инерции сечения продольного ребра;

- момент инерции кручения балки;

, - моменты инерции сечения брутто относительно осей соответственно x - x и y - y, здесь и далее ось x - x - горизонтальная, ось y - y - вертикальная;

, - то же, сечения нетто;

M - момент, изгибающий момент;

- критический изгибающий момент в пределах расчетной длины сжатого пояса балки, определяемый по теории тонкостенных упругих стержней для заданных условий закрепления и нагружения балки;

, - моменты относительно осей соответственно x - x и y - y;

N - продольная сила;

- критическая нормальная сила, определяемая по теории тонкостенных упругих стержней для заданных условий закрепления и нагружения элементов;

Q - поперечная сила, сила сдвига;

- условная поперечная сила для соединительных элементов;

- условная поперечная сила, приходящаяся на систему планок, расположенных в одной плоскости;

- расчетное сопротивление растяжению фундаментных (анкерных) болтов;

- расчетное сопротивление растяжению высокопрочных болтов;

- расчетное сопротивление смятию болтовых соединений;

- расчетное сопротивление болтов срезу;

- расчетное сопротивление болтов растяжению;

- нормативное сопротивление стали болтов, принимаемое равным временному сопротивлению по государственным стандартам и техническим условиям на болты;

- расчетное сопротивление диаметральному сжатию катков (при свободном касании в конструкциях с ограниченной подвижностью);

- расчетное сопротивление растяжению высокопрочной проволоки или каната;

- расчетное сопротивление местному смятию в цилиндрических шарнирах (цапфах) при плотном касании;

- расчетное сопротивление стали смятию торцевой поверхности (при наличии пригонки);

- расчетное сопротивление стали сдвигу;

- расчетное сопротивление стали растяжению в направлении толщины проката;

- расчетное сопротивление стали растяжению, сжатию, изгибу по временному сопротивлению;

- временное сопротивление стали разрыву, принимаемое равным минимальному значению по государственным стандартам и техническим условиям на сталь;

- расчетное сопротивление угловых швов срезу (условному) по металлу шва;

- расчетное сопротивление стыковых сварных соединений сжатию, растяжению, изгибу по временному сопротивлению;

- нормативное сопротивление металла шва по временному сопротивлению;

- расчетное сопротивление стыковых сварных соединений сдвигу;

- расчетное сопротивление стыковых сварных соединений сжатию, растяжению и изгибу по пределу текучести;

- расчетное сопротивление угловых швов срезу (условному) по металлу границы сплавления;

- расчетное сопротивление стали растяжению, сжатию, изгибу по пределу текучести;

- предел текучести стали, принимаемый равным значению предела текучести по государственным стандартам и техническим условиям на сталь;

S - статический момент сдвигаемой части сечения брутто относительно нейтральной оси;

, - минимальные моменты сопротивления сечения брутто относительно осей соответственно x - x и y - y;

, - минимальные моменты сопротивления сечения нетто относительно осей соответственно x - x и y - y;

b - ширина;

- расчетная ширина;

- ширина полки (пояса);

- ширина выступающей части ребра, свеса;

e - эксцентриситет силы;

- относительный эксцентриситет ();

- приведенный относительный эксцентриситет ();

h - высота;

- расчетная высота стенки (расстояние между осями поясов);

i - радиус инерции сечения;

- наименьший радиус инерции сечения;

, - радиусы инерции сечения относительно осей соответственно x - x и y - y;

- катет углового шва;

l - длина, пролет;

- длина распорки;

- длина раскоса;

- расчетная, условная длина;

- длина панели (расстояние между узлами решетчатой конструкции);

- длина планки;

- длина сварного шва;

, - расчетные длины элемента в плоскостях, перпендикулярных осям соответственно x - x и y - y;

m - коэффициент условий работы;

- коэффициент условий работы соединения;

r - радиус;

t - толщина;

- толщина полки (пояса);

- толщина стенки;

, - коэффициенты для расчета углового шва соответственно по металлу шва и по металлу границы сплавления;

- коэффициент надежности по назначению;

- коэффициент надежности по материалу;

- коэффициент надежности в расчетах по временному сопротивлению;

- коэффициент влияния формы сечения;

- гибкость ();

, - расчетные гибкости элемента в плоскостях, перпендикулярных осям соответственно x - x и y - y;

v - коэффициент поперечной деформации стали (Пуассона);

, - нормальные напряжения, параллельные осям соответственно x - x и y - y;

- касательное напряжение;

- коэффициент продольного изгиба.

В разделе 9 "Сталежелезобетонные конструкции"

- коэффициент приведения i-го материала сечения;

, - модуль упругости i-го материала сечения с указанием j-го вида арматуры;

, - момент инерции сечения или его частей с указанием принадлежности к j-му расчету;

- момент сопротивления i-й фибры j-й части сечения;

, - площадь сечения или его элементов;

- расстояние i-го элемента сечения до j-го центра тяжести;

b, - ширина элемента или его i-й части;

, - толщина i-го элемента сечения с указанием местоположения j;

, - эксплуатационная и расчетная максимальная разность температуры;

M, , - изгибающий момент i-й стадии работы для j-го расчетного случая;

N, , - нормальная сила от внешнего воздействия или замены i-й части сечения с указанием j-го напряженного состояния материалов, составляющих заменяемую часть;

, - сдвигающее усилие, возникающее от i-го вида усилия или воздействия, с указанием местоположения j (в отдельных случаях с указанием j-го вида расчета);

- интенсивность сдвигающих усилий на i-м участке пролетного строения от j-го усилия;

- расчетное сопротивление i-го материала сечения;

- расчетное сопротивление бетона осевому растяжению;

- расчетное сопротивление бетона осевому растяжению при расчете предварительно напряженных элементов по образованию трещин;

, , - напряжения в i-м материале сечения с указанием самоуравновешенных напряжений по сечению i или местоположения проверяемой фибры j;

, - деформации i-го материала сечения или от i-го воздействия с указанием j-го положения по сечению;

p - характеристика цикла;

, - поправочные коэффициенты к действующим усилиям;

k - поправочный коэффициент к величине деформации бетона;

- коэффициент, учитывающий работу бетона при наличии трещин;

m, - коэффициент условий работы i-го материала или элемента сечения;

- характерные точки сечения.

В разделе 10 "Деревянные конструкции"

- расчетное значение осевого усилия;

- расчетное значение изгибающего момента;

- расчетное значение поперечной силы;

- расчетное значение несущей способности вклеенного штыря на выдергивание или продавливание.

Расчетные сопротивления древесины

- при изгибе;

- растяжению вдоль волокон;

- сжатию вдоль волокон;

- то же, в клееных конструкциях;

- смятию вдоль волокон;

- сжатию и смятию всей поверхности поперек волокон;

- то же, в клееных конструкциях;

- местному смятию поперек волокон;

- то же, на части длины элемента;

- скалыванию вдоль волокон при изгибе;

- скалыванию (непосредственному) вдоль волокон;

- скалыванию поперек волокон;

- смятию и скалыванию под углом к направлению волокон;

- скалыванию по клеевым швам вдоль волокон при изгибе;

- скалыванию по клеевому шву вдоль волокон в клеештыревых соединениях;

- скалыванию по клеевому шву в клеештыревых соединениях при вклеивании штырей под углом к направлению волокон.

Расчетные площади

- поперечного сечения брутто;

- поперечного сечения нетто;

- поперечного сечения при проверке на устойчивость;

- скалывания;

- смятия.

Другие характеристики

- статический момент брутто части сечения относительно нейтральной оси;

- момент сопротивления ослабленного сечения;

, - моменты инерции сечения нетто соответственно относительно осей x - x и y - y;

x, y - расстояния от главных осей соответственно x - x и y - y до наиболее удаленных точек сечения;

l - расчетный пролет плиты;

l - теоретическая длина сваи;

l - длина штопки;

- расстояние между связями ветвей в составных элементах;

- длина колодки в составных элементах;

- расчетная длина элемента при проверке устойчивости;

- длина площадки смятия древесины вдоль волокон;

- расчетная длина скалывания в соединениях на колодках;

- длина заделки скрепления;

a - размер ската колеса или гусеницы в направлении поперек дороги;

a - расстояние между колодками в свету;

a - глубина врезки;

b - ширина балки;

b - полная ширина сечения составного элемента;

z - плечо сил, скалывающих колодку;

d - диаметр;

- диаметр отверстия под штырь;

- зазор при сплачивании бревен;

- толщина одной доски;

t - толщина наиболее тонкого из соединяемых элементов;

- толщина средних соединяемых элементов;

- толщина крайних соединяемых элементов;

t - толщина дорожного покрытия;

- гибкость элемента;

- гибкость ветви составного элемента;

- приведенная гибкость составного элемента;

N - число срезов в начальном соединении;

- число срезов связей в одном шве;

- число швов между ветвями элементов;

M - коэффициент условий работы;

- то же, на смятие поперек волокон;

- то же, на скалывание вдоль волокон;

Ф - коэффициент продольного изгиба;

- коэффициент приведения гибкости;

- коэффициент податливости соединения;

- коэффициент, учитывающий влияние на устойчивость дополнительного момента от нормальной силы.

В разделе 11 "Основания и фундаменты"

Характеристика грунтов

e - коэффициент пористости;

- показатель текучести;

- число пластичности;

- удельный вес;

Ф - угол внутреннего трения;

- предел прочности на одноосное сжатие образцов скальных грунтов;

- предел прочности на одноосное сжатие образцов глинистого грунта природной влажности.

Нагрузки, давления, сопротивления

F - сила, расчетное значение силы;

M - момент сил;

N - сила, нормальная к подошве фундамента;

p, - среднее и максимальное давления подошвы фундамента на грунт;

R - расчетное сопротивление грунта;

- табличное значение условного сопротивления грунта.

Геометрические характеристики

B - ширина (меньшая сторона или диаметр) подошвы фундамента;

a - длина подошвы фундамента;

A - площадь подошвы фундамента;

d - глубина заложения фундамента;

- глубина воды;

h - толщина слоя грунта или высота насыпи;

- эксцентриситет равнодействующей нагрузок относительно центральной оси подошвы фундамента;

r - радиус ядра сечения фундамента у его подошвы;

W - момент сопротивления подошвы фундамента для менее нагруженного ребра;

z - расстояние от подошвы фундамента.

Коэффициенты

- надежности по грунту;

- надежности по назначению сооружения;

- условий работы.

Приложение Г
(обязательное)

ГАБАРИТЫ ПРИБЛИЖЕНИЯ КОНСТРУКЦИЙ МОСТОВЫХ СООРУЖЕНИЙ НА АВТОМОБИЛЬНЫХ ДОРОГАХ ОБЩЕГО ПОЛЬЗОВАНИЯ, ВНУТРИХОЗЯЙСТВЕННЫХ АВТОМОБИЛЬНЫХ ДОРОГАХ, В СЕЛЬСКОХОЗЯЙСТВЕННЫХ ПРЕДПРИЯТИЯХ, НА ВНУТРЕННИХ АВТОМОБИЛЬНЫХ ДОРОГАХ ПРОМЫШЛЕННЫХ ПРЕДПРИЯТИЙ, А ТАКЖЕ НА УЛИЦАХ И ДОРОГАХ В ГОРОДАХ, ПОСЕЛКАХ И СЕЛЬСКИХ НАСЕЛЕННЫХ ПУНКТАХ

Г.1. Настоящее приложение устанавливает габариты приближения конструкций мостов - предельные поперечные очертания (в плоскости, перпендикулярной продольной оси проезжей части), внутрь которых не должны заходить какие-либо элементы сооружения или расположенных на нем устройств.

Примечание. Габариты условно обозначают буквой Г и числом (после тире), равным расстоянию между ограждениями.

Г.2. Схемы габаритов приближения конструкций на автодорожных и городских мостах при отсутствии трамвайного движения приведены на рисунке Г.1, при этом левая половина каждой схемы относится к случаю примыкания тротуаров к ограждениям, правая - к случаю раздельного размещения тротуаров.

а)

б)

в)

а - при отсутствии разделительной полосы;

б - с разделительной полосой без ограждений;

в - с разделительной полосой при наличии ограждений

Рисунок Г.1. Схемы габаритов приближения конструкций на автодорожных и городских мостах

Обозначения, принятые на схемах габаритов:

nb - общая ширина проезжей части или ширина проезжей части для движения одного направления;

n - число полос движения и b - ширина каждой полосы движения принимаются:

для мостов на дорогах общего пользования - по таблице Г.1 настоящего приложения, по СП 34.13330, ГОСТ Р 52398, ГОСТ Р 52399 и ГОСТ Р 52748;

на внутрихозяйственных дорогах - по таблице Г.1 настоящего приложения;

на дорогах промышленных предприятий - по СП 37.13330;

на улицах и дорогах в городах, поселках и сельских населенных пунктах - по СП 42.13330;

h - габарит по высоте (расстояние от поверхности проезда до верхней линии очертания габарита), принимаемый для мостов (обозначение категорий дорог приведено в таблице Г.1):

на автомобильных дорогах общего пользования и дорогах I - III категорий, внутрихозяйственных автомобильных дорогах и на улицах и дорогах в городах, поселках и сельских населенных пунктах - не менее 5 м;

на автомобильных дорогах IV и V категорий и на внутрихозяйственных автомобильных дорогах - не менее 4,5 м;

на автомобильных дорогах промышленных предприятий с обращением автомобилей особо большой грузоподъемности III-п и IV-п категорий - не менее высоты намеченных к обращению транспортных средств плюс 1 м, но не менее 5 м;

П - полосы безопасности (предохранительные полосы);

С - разделительные полосы (при многополосном движении в каждом направлении), ширина которых равна расстоянию между кромками проезжих частей разного направления движения;

ЗП - защитные полосы, ширину которых, как правило, следует принимать равной 0,5 м, для деревянных мостов с ездой понизу - 0,25 м;

Г - расстояние между ограждениями проезда, в которое входит и ширина разделительной полосы, не имеющей ограждений;

T - ширина тротуаров по 5.61;

a - высота ограждений проездов в соответствии с 5.62;

- габарит по высоте на тротуарах, принимаемый не менее 2,5 м.

Таблица Г.1

Расположение моста Категория дороги или улицы Общее число полос движения Ширина расчетного автомобиля d, м Габарит Ширина, м
полос безопасности П проезжей части nb
Автомобильные дороги общего пользования, подъездные и внутренние автомобильные дороги промышленных предприятий (без обращения автомобилей особо большой грузоподъемности) 8 2,5 Г - (17,0 + С + 17,0) ------------------------
2(Г - 19,0)
2,0 15,0 x 2
IА, IБ, IВ 6 Г - (13,25 + С + 13,25) --------------------------
2(Г - 15,25)
11,25 x 2
4 Г - (9,5 + С + 9,5)
----------------------
2(Г - 11,5)
7,5 x 2
II 4 Г - (9,0 + С <*> + 9,0)
--------------------------
2(Г - 11,0)
2,0 7,0 x 2
2 Г - 11,5 7,5
III
IV
2 Г - 10 1,5 7,0
Г - 8 <**> 1,0 6,0
V 1 Г - 6,5 <***> 1,0 4,5
Г - 4,5 0,5 3,5
(в ред. Изменения N 1, утв. Приказом Минстроя РФ от 03.12.2016 N 879/пр)
Автомобильные внутрихозяйственные дороги в сельскохозяйственных предприятиях и организациях I-с 2 2,5 Г - 8 <**> 1,0 6,0
II-с 1 Г - 6,5 <***> 1,0 4,5
Г - 4,5 0,5 3,5
III-с 1 Г - 4,5 0,5 3,5
Улицы и дороги в городах, поселках и сельских населенных пунктах Магистральные дороги скоростного движения и улицы общегородского значения непрерывного движения 8 2,5 Г - (16,5 + С + 16,5) -----------------------
2(Г - 18)
1,5 15 x 2
6 Г - (12,75 + С + 12,75) -------------------------
2(Г - 14,25)
11,25 x 2
4 Г - (9,0 + С + 9,0)
--------------------
2(Г - 10,5)
7,5 x 2
Магистральные дороги и улицы общегородского значения регулируемого движения 8 2,5 Г - (15,0 + С + 15,0) -----------------------
2(Г - 16)
1,0 14 x 2
6 Г - (11,5 + С + 11,5) -----------------------
2(Г - 12,5)
10,5 x 2
4 Г - (8,0 + С + 8,0)
--------------------
2(Г - 9)
7 x 2
2 Г - 9 7
(в ред. Изменения N 1, утв. Приказом Минстроя РФ от 03.12.2016 N 879/пр)
Улицы и дороги в городах, поселках и сельских населенных пунктах Магистральные транспортно-пешеходные улицы районного значения, улицы и дороги научно-производственных, промышленных и коммунально-складских районов, поселковые дороги и главные улицы
4 2,5 Г - 16 1,0 14
Г - (8,0 + С + 8,0)
--------------------
2(Г - 9)
7 x 2
2 Г - 9 7
Магистральные пешеходно-транспортные улицы районного значения
2 Г - 10 8
Улицы и дороги в жилой застройке местного значения, парковые дороги 2 Г - 8 6
<*> Наличие разделительной полосы определяется проектом организации движения и ГОСТ Р 52398.
<**> Для деревянных мостов (кроме мостов из клееной древесины) допускается применять габарит Г - 7.
<***> То же, габарит Г - 6.
Примечания. 1. В графе "Габарит" над чертой указаны габариты мостов при отсутствии ограждений на разделительной полосе, под чертой - при наличии ограждений или при раздельных пролетных строениях под каждое направление движения.
В графе "Категория дороги или улицы" на внутренних дорогах промышленных предприятий без обращения автомобилей особо большой грузоподъемности соответствующие категории дорог согласно СП 37.13330 имеют индекс "в" (внутренние) и индекс "к" (карьерные), с обращением автомобилей особо большой грузоподъемности (ширина автомобиля более 2,5 м) следует принимать индекс "п", а для сельскохозяйственных дорог согласно СП 99.13330 - индекс "с".
(в ред. Изменения N 1, утв. Приказом Минстроя РФ от 03.12.2016 N 879/пр)
2. В не предусмотренных таблицей Г.1 случаях (в частности, для мостов на дорогах промышленных предприятий с обращением автомобилей особо большей грузоподъемности) габариты мостов по ширине следует устанавливать по формулам:

.

3. Ширину полос безопасности П следует принимать в зависимости от установленных для дороги расчетных скоростей движения (используя данные, приведенные в таблице Г.1).
Для мостов на дорогах промышленных предприятий (в том числе и с обращением автомобилей особо большой грузоподъемности) размер полос безопасности следует принимать П = 1,50 м.
4. На лесовозных и хозяйственных дорогах лесозаготовительных предприятий, выходящих на есть дорог общего пользования, габарит мостов (в том числе деревянных) на дорогах IV категории следует принимать равным Г - 8 при ширине проезжей части 6,5 м и полосах безопасности 0,75 м.
5. Если в данном регионе эксплуатируются (являются расчетными) сельскохозяйственные машины, имеющие габариты, превышающие указанные в таблице Г.1, то габариты мостов в этом регионе следует назначать увеличенными в зависимости от дорожного просвета (возвышения над дорожной одеждой) частей, выступающих за наружную поверхность шин колес или гусениц машины.
В случаях, когда дорожный просвет выступающих частей менее 0,35 м (для деревянных мостов - менее 0,30 м), габарит моста следует назначать на 1 м шире габарита машины в транспортном положении.
В случаях, когда дорожный просвет выступающих частей 0,35 м и более (для деревянных мостов - 0,30 м и более), габарит моста следует назначать на 1,5 м шире расстояния между наружными поверхностями шин колес или гусениц сельскохозяйственной машины.

Г.3. Габариты по ширине мостов, расположенных на автомобильных дорогах общего пользования, внутрихозяйственных дорогах в сельскохозяйственных предприятиях и организациях, дорогах промышленных предприятий, а также на улицах и дорогах в городах, поселках и сельских населенных пунктах, при отсутствии трамвайного движения следует принимать по таблице Г.1.

Г.4. Схемы габаритов приближения конструкций для городских мостов с трамвайным движением следует принимать согласно рисунку Г.2 (обозначения - по пункту Г.2 настоящего приложения) и данным таблицы Г.1.

а)

б)

а)

б)

а - на обособленном полотне; б - на общем полотне;

I - трамвайные пути расположены на оси моста;

II - трамвайные пути смещены относительно оси моста

Рисунок Г.2. Схемы габаритов приближения конструкций на городских мостах с трамвайным движением

Габарит по ширине мостов, предназначенных только под трамвайное движение (два пути), следует принимать не менее 9,0 м.

Г.5. На совмещенных мостах при расположении двухполосной проезжей части автомобильной дороги по одной полосе с каждой стороны железнодорожных путей или путей метрополитена габарит по ширине на каждой полосе движения должен быть не менее 5,5 м.

Г.6. Полосы безопасности шириной меньшей, чем указано в таблице Г.1, допускается при соответствующем технико-экономическом обосновании назначать:

для мостов длиной свыше 100 м на дорогах I - III и III-п категорий и длиной свыше 50 м на дорогах IV и IV-п категорий, если мосты расположены на расстоянии свыше 100 км от крупнейших городов и свыше 50 км от других городов, а расчетная интенсивность движения транспортных средств снижается в 2 раза и более по сравнению с пригородными участками указанных дорог;

в случае расположения мостов на участках дорог с уменьшенной шириной обочины;

при переустройстве мостов;

на путепроводах - при наличии переходно-скоростных полос (со стороны этих полос);

на мостах с дополнительной полосой движения на подъеме (со стороны этой полосы).

При этом ширина полос безопасности должна быть не менее: 1,0 м на мостах дорог I - III и III-п категорий и 0,75 м на мостах дорог IV и IV-п категорий.

Примечание. При назначении полос безопасности шириной меньшей, чем указано в таблице Г.1, следует предусматривать установку дорожных знаков, регулирующих режим движения транспортных средств.

Г.7. При расположении мостов на кривых в плане проезжая часть должна быть уширена в зависимости от категории дорог в соответствии с требованиями СП 34.13330, СП 37.13330 или СП 42.13330.

Проезжую часть автодорожных мостов допускается уширять за счет уменьшения полос безопасности при условии соблюдения ее размеров по Г.6 или увеличения габаритов приближения конструкций.

Г.8. Ширина разделительной полосы на мосту должна быть такой же, как на дороге или улице.

На больших мостах при соответствующих технико-экономических обоснованиях ширину разделительной полосы допускается уменьшать, но принимать не менее чем 2,0 м плюс ширина ограждения.

Г.9. Габариты приближения конструкций под путепроводами через автомобильные дороги при отсутствии пешеходного движения должны соответствовать рисунку Г.3.

а) б)

а - высота ограждений; б - бровка земляного полотна определяется конструкцией ограждающих устройств;

I - при отсутствии ограждений на пересекаемых дорогах;

II - при наличии опор на разделительной полосе и ограждений на дороге;

а) - категорий I - III; III-п и IV-п;

б) - категорий IV и V

Рисунок Г.3. Схемы габаритов приближения конструкций под путепроводами

При расположении опор на разделительной полосе расстояние от кромки проезжей части до грани опоры должно быть, не менее, м:

на дорогах I категории 2,0 для парапетных ограждений и 2,25 для барьерных ограждений (в том числе полоса безопасности 1,5 м);

на городских дорогах 1,5 для парапетных ограждений и и улицах 1,75 для барьерных ограждений (в том числе полоса безопасности 1,0 м).

Габариты по высоте под путепроводами через городские улицы и дороги следует принимать:

при отсутствии трамвайных путей - по Г.2;

при наличии трамвайных путей - по рисунку Г.2;

при наличии троллейбусного движения - по рисунку Г.2 и СП 98.13330. (в ред. Изменения N 1, утв. Приказом Минстроя РФ от 03.12.2016 N 879/пр)

Габариты по высоте под путепроводами через дороги III-п и IV-п категорий следует принимать по Г.2 настоящего приложения.

Г.10. При пересечении городских скоростных дорог и улиц опоры всех видов следует располагать на расстоянии не менее 1,0 м от ограждения (бордюра).

Стенки (устои) городских путепроводов тоннельного типа следует располагать на границах габаритов приближения конструкций под путепроводами согласно рисунку Г.3.

Г.11. Значения основных параметров ограждений и порядок их размещения следует принимать по ГОСТ Р 52289, ГОСТ Р 52607. (в ред. Изменения N 1, утв. Приказом Минстроя РФ от 03.12.2016 N 879/пр)

Приложение Д
(справочное)

КОЭФФИЦИЕНТ СОЧЕТАНИЙ ДЛЯ ВРЕМЕННЫХ НАГРУЗОК И ВОЗДЕЙСТВИЙ

Номера нагрузок (воздействий), наиболее неблагоприятных для данного расчета Номера комбинаций нагрузок (воздействий), действующих одновременно или порознь с наиболее неблагоприятными Коэффициент при различных комбинациях временных нагрузок и воздействий
N 7 (временные вертикальные нагрузки) N 8 (давление грунта от подвижного состава) N 9 (центробежная сила) N 10 (поперечные удары подвижного состава) N 11 (торможение или сила тяги) N 12 (ветровая нагрузка) N 13 (ледовая нагрузка) N 14 (нагрузка от навала судов) N 15 (температурные климатические воздействия) N 16 (воздействие морозного пучения грунта) N 17 (строительные нагрузки) N 18 (сейсмические нагрузки) N 19 (трение или сопротивление сдвигу в опорных частях)
7 и 8 9 1 1 1 - - - - - - - - - -
10 1 1 - 1 - - - - - - - - -
9, 11, 12, 15 0,8 0,8 0,8 - 0,7 0,50
----
0,25
- - 0,7 - - - -
9, 13, 15 и S 0,8 0,8 0,8 - - 0,50
----
0,25
0,7 - 0,7 - - - 0,7
10, 13, 15 и S 0,8 0,8 - 0,7 - - 0,7 - 0,7 - - - 0,7
10, 14 0,8 0,8 - 0,7 - - - 0,7 - - - - -
11, 12, 15 0,8 0,8 - - 0,7 0,50
----
0,25
- - 0,7 - - - -
12, 13, 15 0,8 0,8 - - - 0,50
----
0,25
- - 0,7 - - - -
9 11, 12, 15 0,50
----
0,25
12, 13, 15 и S 0,50
----
0,25
14 -
10 7, 8, 13, 15 и S 0,7 0,7 - 0,8 - - 0,7 - 0,7 - - - 0,7
7, 8, 14 0,7 0,7 - 0,8 - - - 0,7 - - - - -
11 7 - 9, 12, 15 0,8 0,8 0,8 - 0,8 0,50
----
0,25
- - 0,7 - - - -
12 <*> 7 - 9 0,7 0,7 0,7 - - 0,50
-----
0,25
- - - - - - -
7, 8, 11, 15 0,7 0,7 - - 0,7 0,50
-----
0,25
- - 0,7 - - - -
7 - 9, 13, 15 и 19 0,7 0,7 0,7 - - 0,50
-----
0,25
0,7 - 0,7 - - - 0,7
13, 15, 17 и 19 - - - - - 0,80
-----
0,50
0,7 - 0,7 - 1 - 0,7
15 - 17 и 19 - - - - - 0,80
-----
0,50
- - 0,7 0,7 1 - 0,7
(в ред. Изменения N 1, утв. Приказом Минстроя РФ от 03.12.2016 N 879/пр)
13 - - - - - - - 1 - - - - - -
7 - 9, 12, 15 и 19 0,7 0,7 0,7 - - 0,70
-----
0,50
0,8 - 0,7 - - - 0,7
7, 8, 10, 15 и 19 0,7 0,7 - 0,7 - - 0,8 - 0,7 - - - 0,7
12, 15, 17 и 19 - - - - - 0,70
-----
0,50
0,8 - 0,7 - 1 - 0,7
(в ред. Изменения N 1, утв. Приказом Минстроя РФ от 03.12.2016 N 879/пр)
14 - - - - - - - - 1 - - - - -
7 - 9 0,7 0,7 0,7 - - - - 0,8 - - - - -
7, 8, 10 0,7 0,7 - 0,7 - - - 0,8 - - - - -
15 - - - - - - - - - 1 - - - -
7 - 9, 11, 12 0,7 0,7 0,7 - 0,7 0,50
----
0,25
- - 0,8 - - - -
7 - 9, 12, 13 и S 0,7 0,7 0,7 - - 0,50
----
0,25
0,7 - 0,8 - - - 0,7
7, 8, 10, 13 и S 0,7 0,7 - 0,7 - - 0,7 - 0,8 - - - 0,7
12, 13, 17 и S - - - - - 0,7
---
0,5
0,7 - 0,8 - 1 - 0,7
12, 16, 17 и S - - - - - 0,7
---
0,5
- - 0,8 0,7 1 - 0,7
16 - - - - - - - - - - 1 - - -
12, 15, 17 и S - - - - - 0,7
---
0,5
- - 0,7 0,8 1 - 0,7
17 - - - - - - - - - - - 1 - -
12, 13, 15 и S - - - - - 0,7
---
0,5
0,7 - 0,7 - 1 - 0,7
12, 15, 16 и S - - - - - 0,7
---
0,5
- - 0,7 0,7 1 - 0,7
18 <**> 7 - 9, 11 и 19 - - - - - - - - - - - 1 -
0,7
----
0,5
0,7
----
0,5
0,7
----
-
- 0,7
----
-
- - - - - - 0,8 0,7
(в ред. Изменения N 1, утв. Приказом Минстроя РФ от 03.12.2016 N 879/пр)
19 - - - - - - - - - - - - - 1
7 - 9, 12, 13, 15 0,7 0,7 0,7 - - 0,50
----
0,25
0,7 - 0,7 - - - 0,8
7, 8, 10, 13, 15 0,7 0,7 - 0,7 - - 0,7 - 0,7 - - - 0,8
12, 13, 15, 17 - - - - - 0,7
---
0,5
0,7 - 0,7 - - - 0,8
12, 15 - 17 - - - - - 0,7
---
0,5
- - 0,7 0,7 1 - 0,8
<*> См. примечание 1 к 6.2.
<**> См. примечание 3 к 6.2.
Примечание. Над чертой указаны коэффициенты сочетаний, принимаемые при проектировании железнодорожных мостов и мостов метрополитена, под чертой - автодорожных и городских.

Приложение Е
(обязательное)

МЕТОДИКА ОПРЕДЕЛЕНИЯ РАВНОДЕЙСТВУЮЩЕЙ НОРМАТИВНОГО ГОРИЗОНТАЛЬНОГО (БОКОВОГО) ДАВЛЕНИЯ ОТ СОБСТВЕННОГО ВЕСА ГРУНТА НА ОПОРЫ МОСТОВ

Е.1. Равнодействующую нормативного горизонтального (бокового) давления на опоры мостов от собственного веса насыпного грунта, а также грунта, лежащего ниже естественной поверхности земли при глубине заложения подошвы фундамента 3 м и менее (рисунок Е.1, а), следует определять по формуле

, (Е.1)

где - нормативное горизонтальное (боковое) давление грунта на уровне нижней поверхности рассматриваемого слоя, принимаемое согласно 6.6;

- высота засыпки, считая от подошвы рельсов или верха дорожного покрытия, м;

b - приведенная (средняя по высоте ) ширина опоры в плоскости задних граней, на которую распределяется горизонтальное (боковое) давление грунта, м.

а)

б)

1 - первый слой; 2 - второй слой; 3 - третий слой; а - при глубине заложения подошвы фундамента 3 м и менее; б - то же, свыше 3 м

Рисунок Е.1. Схема эпюр давления грунта на опоры моста для определения равнодействующей нормативного горизонтального (бокового) давления на опоры

Плечо равнодействующей от подошвы фундамента следует принимать равным .

Для массивных (в том числе с обратными стенками) и пустотелых (с продольными проемами) устоев, если ширина проема равна или менее двойной ширины обратной стенки , а также для сплошных (без проемов) фундаментов ширину b следует принимать равной расстоянию между внешними гранями конструкций.

Для пустотелых (с продольными проемами) устоев или для раздельных (с проемами) фундаментов, если , ширину b следует принимать равной удвоенной суммарной ширине стенок или раздельных фундаментов.

Для свайных или стоечных устоев, если суммарная ширина свай (стоек) равна или более половины всей ширины, за ширину b следует принимать расстояние между внешними гранями свай (стоек); если суммарная ширина свай (стоек) менее половины всей ширины опоры, то за ширину b следует принимать для каждой сваи (стойки) двойную ее ширину.

Примечания.

1. Величины и при определении давления на всю высоту допускается принимать как для дренирующего грунта засыпки.2. Для свай, забитых в ранее возведенную (уплотненную) насыпь, горизонтальное (боковое) давление учитывать не следует.

3. Горизонтальное (боковое) давление грунта на опоры моста со стороны пролета следует учитывать, если в проекте сооружения предусматриваются мероприятия, гарантирующие стабильность воздействия этого грунта при строительстве и эксплуатации моста.

4. Наклон задней грани устоя и силы трения между грунтом засыпки и этой гранью при определении силы учитывать не следует.

Е.2. При глубине заложения подошвы фундамента свыше 3 м, равнодействующую нормативного горизонтального (бокового) давления каждого i-го (снизу) слоя грунта, расположенного ниже естественной поверхности земли, следует определять по формуле

, (Е.2)

где - удельный вес грунта рассматриваемого слоя;

- толщина рассматриваемого слоя;

- коэффициент нормативного горизонтального (бокового) давления грунта для i-го слоя, равный

, (Е.3)

- нормативное значение угла внутреннего трения слоя грунта;

- приведенная к удельному весу грунта засыпки общая толщина слоев грунта, лежащих выше верхней поверхности рассматриваемого слоя.

Например, для нижнего (первого) слоя приведенная на рисунке Е.1, б толщина составляет

, (Е.4)

Плечо равнодействующей давления i-го слоя от нижней поверхности рассматриваемого слоя следует принимать равным

, (Е.5)

Приложение Ж
(обязательное)

МЕТОДИКА ОПРЕДЕЛЕНИЯ КОЭФФИЦИЕНТА ВЕРТИКАЛЬНОГО ДАВЛЕНИЯ ГРУНТА ПРИ РАСЧЕТЕ ЗВЕНЬЕВ (СЕКЦИЙ) ТРУБ

Ж.1. Коэффициент вертикального давления грунта для железобетонных и бетонных звеньев (секций) труб следует определять по формулам:

; (Ж.1)
, (Ж.2)

где - нормативный угол внутреннего трения грунта засыпки трубы;

- коэффициент нормативного горизонтального (бокового) давления грунта засыпки, определяемый по формуле (6.4) в 6.6;

d - диаметр (ширина) звена (секции) по внешнему контуру, м;

h - высота засыпки при определении вертикального давления по формуле (6.2) в 6.6, считая от подошвы рельсов или верха дорожного покрытия до верха звена (секции), м; при определении горизонтального (бокового) давления по формуле (6.3) в 6.6 высоту засыпки следует принимать до середины высоты звеньев (секций) трубы;

a - расстояние от основания насыпи до верха звена (секции) трубы, м;

s - коэффициент, принимаемый равным при фундаментах:

1,2 - неподатливых (на скальном основании или на сваях-стойках);

1,1 - малоподатливых (на висячих сваях);

1,0 - массивных мелкого заложения и грунтовых (нескальных) основаниях.

Если B > h/d, то следует принимать B = h/d.

Коэффициент вертикального давления грунта для многоочковых круглых водопропускных труб допускается вычислять по формуле

, (Ж.3)

где , но не более 1 (здесь l - расстояние в свету между очками труб).

При подсыпке насыпей, в которых со временем произошло естественное уплотнение грунта засыпки и физическое состояние конструкций трубы является удовлетворительным, допускается при определении нормативного давления на трубу от собственного веса грунта принимать независимо от податливости основания безразмерный коэффициент C равным 1.

Ж.2. При расчете гибких (из гофрированного металла и др.) звеньев (секций) труб и при определении давления на грунтовые (нескальные) основания коэффициент следует принимать равным единице.

Приложение К
(обязательное)

НОРМАТИВНАЯ ВРЕМЕННАЯ ВЕРТИКАЛЬНАЯ НАГРУЗКА СК ОТ ЖЕЛЕЗНОДОРОЖНОГО ПОДВИЖНОГО СОСТАВА И ПРАВИЛА ЗАГРУЖЕНИЯ ЕЮ ЛИНИЙ ВЛИЯНИЯ

К.1. Величины нормативных эквивалентных нагрузок v для загружения однозначных и отдельных участков двузначных линий влияния приведены в таблице К.1.

Таблица К.1

Длина загружения , м Интенсивность эквивалентной нагрузки v, кН/м пути, при
К = 1 К = 14
= 0 = 0,5 = 0 = 0,5
1 49,03 49,03 686,5 686,5
1,5 39,15 34,25 548,1 479,5
2 30,55 26,73 427,7 374,2
3 24,16 21,14 338,3 296,0
4 21,69 18,99 303,7 265,8
5 20,37 17,82 285,2 249,5
6 19,50 17,06 272,9 238,8
7 18,84 16,48 263,7 230,7
8 18,32 16,02 256,4 224,4
9 17,87 15,63 250,2 218,9
10 17,47 15,28 244,5 214,0
12 16,78 14,68 234,9 205,5
14 16,19 14,16 226,6 198,3
16 15,66 13,71 219,3 191,8
18 15,19 13,30 212,7 186,0
20 14,76 12,92 206,6 180,8
25 13,85 12,12 193,9 169,7
30 13,10 11,46 183,4 160,5
35 12,50 10,94 175,0 153,2
40 12,01 10,51 168,2 147,2
45 11,61 10,16 162,6 142,2
50 11,29 9,875 158,0 138,3
60 10,80 9,807 151,1 137,3
70 10,47 9,807 146,6 137,3
80 10,26 9,807 143,6 137,3
90 10,10 9,807 141,4 137,3
100 10,00 9,807 140,0 137,3
110 9,944 9,807 139,3 137,3
120 9,895 9,807 138,6 137,3
130 9,865 9,807 138,1 137,3
140 9,846 9,807 137,9 137,3
150 и более 9,807 9,807 137,3 137,3
Примечания. 1. Эквивалентные нагрузки при значениях параметров 1,5 l 50 м ( = 0 и = 0,5) и > 50 м ( = 0) получены по формуле

,

где e = 2,718... - основание натуральных логарифмов.
2. Для промежуточных значений длин загружения и промежуточных положений вершин линий влияния , величину нагрузки ню следует определять по интерполяции.
3. Для определения массы поезда на мосту используется эквивалентная нагрузка для = 0,5.

В случаях, оговоренных ниже, при загружении линий влияния следует применять нагрузки - равномерную 9,81К кН/м пути и от порожнего подвижного состава, указанные в 6.11.

К.2. При расчете элементов мостов следует учитывать передачу и распределение давления элементами верхнего строения пути, при этом эквивалентную нагрузку v необходимо принимать:

а) при определении местного давления, передаваемого мостовыми поперечинами, а также металлическими скреплениями (с резиновыми прокладками) при укладке рельсов по железобетонной плите, - равной 24,5К кН/м пути, для расчета по устойчивости стенки балки - не более 19,62К кН/м пути;

б) при определении местного давления, передаваемого плитой балластного корыта (во всех случаях), а также при определении усилий для расчета плиты поперек пути - равной 19,62К кН/м пути, вдоль пути - не более 19,62К кН/м пути.

Примечания.

1. При устройстве пути на балласте значение v 19,62 при 25 м следует принимать (в том числе для расчета опор, если балластный слой непрерывен) соответствующим = 0,5 независимо от положения вершин линий влияния.

2. Величину нагрузки для расчета плиты балластного корыта следует принимать равной v/b, кПа, где b - ширина распределения нагрузки, м, принимаемая равной 2,7 + h или 2,7 + 2h (в зависимости от того, что является более неблагоприятным при расчете отдельных сечений плиты), но не более ширины балластного корыта;

h - расстояние от подошвы шпал до верха плиты, м.

К.3. При криволинейном, зубчатом (близком к треугольному) и четырехугольном очертаниях однозначные линии влияния и отдельно загруженные участки двузначных линий влияния при коэффициенте искаженности < 1,10 (отношение площади треугольной линии влияния к площади рассматриваемой линии влияния при одинаковых длинах линий влияния и при одинаковых их наибольших ординатах) загружаются эквивалентной нагрузкой v согласно К.2 настоящего приложения.

К.4. При криволинейном очертании однозначные линии влияния и отдельно загружаемые участки двузначных линий влияния при коэффициенте искаженности 1,10 и длине 2 м загружаются согласно К.2 настоящего приложения с учетом следующих указаний:

а) при 1,10 1,40 (за исключением случая устройства пути на балласте и < 50 м) с увеличением интенсивности эквивалентной нагрузки на величину, %, равную е ( - 1), где e - коэффициент, определяемый по рисунку К.1.

Рисунок К.1. Коэффициент e в зависимости от и (длина загружения , м, указана на графике)

При устройстве пути на балласте и < 50 м величину v следует принимать по таблице К.1, причем для 10 м независимо от положения вершин линий влияния - по графе, соответствующей = 0,5;

б) при > 1,40 следует суммировать от загружения частей линии влияния.

Включающая вершину часть линии влияния длиной и площадью (рисунок К.2), ограниченная ординатами и , загружается на максимум (в соответствии с и ); остальная часть линии влияния А - загружается нагрузкой 9,81К кН/м пути.

Рисунок К.2. Часть линии влияния длиной , включая ее вершину

При этом суммарную величину усилия следует принимать не менее v ( + ), где v определяется в соответствии с и всей линии влияния.

Длину (см. рисунок К.2) следует назначать с учетом расчетной схемы конструкции.

К.5. Усилия (рассматриваемого знака) по линиям влияния, состоящим из нескольких участков, следует определять суммированием результатов загружения отдельных, рядом расположенных участков всей или части линии влияния.

В соответствии с очертанием линий влияния и значениями величин с и для участков следует загружать:

два участка рассматриваемого знака, расположенные рядом или разделенные участком иного знака, при общей длине этих (двух или трех) участков менее 80 м;

один участок рассматриваемого знака при длине 80 м и более;

остальные участки того же знака - нагрузкой 9,81K кН/м пути.

Разделяющие участки иного знака следует загружать нагрузкой 13,73 кН/м пути, а при наличии таких участков длиной до 20 м один из них не загружают.

Примеры некоторых загружений приведены на рисунках К.3 и К.4.

Рисунок К.3. Схема загружения участков линии влияния при > 80 м

Рисунок К.4. Схема загружения пролета одновременно с призмой обрушения или пролета с устоем при расчете массивных устоев мостов с разрезными балочными пролетными строениями

К.6. При расчете массивных устоев мостов с разрезными балочными пролетными строениями загружение пролета одновременно с призмой обрушения или пролета с устоем следует производить в соответствии с рисунком К.4 и таблицей К.2.

Таблица К.2

Схема загружения (по рисунку К.4) Загружаемая часть моста Длина загружаемого участка, м Ограничение Принимаемое положение вершины линии влияния Эквивалентная нагрузка v, кН/м пути
а Пролет 0 <*>
Устой - 0
Призма обрушения 0,5 19,62K
То же 0
- 0
- = 9,81K
" - = 9,81K
- 0
0,5
в Пролет 0
Устой 0,5 19,62K
То же 0
- = 9,81К
" < 25 м - = 9,81К
0,5
<*> При устройстве езды на балласте при < 25 м следует принимать = 0,5 (К.2).

Длину загружения призмы обрушения следует принимать равной половине высоты от подошвы шпал до рассматриваемого сечения опоры.

Коэффициент надежности по нагрузке следует принимать, руководствуясь приведенной длиной загружения, равной сумме длин участков, на которых в каждом случае размещается временная нагрузка.

К.7. При загружении пролетных строений, расположенных на кривых, величину нагрузки v следует принимать с коэффициентом, отражающим влияние смещения центра тяжести подвижного состава, причем расчет следует осуществлять дважды:

а) с учетом центробежной силы и динамического коэффициента, но без учета силовых факторов, возникающих вследствие возвышения наружного рельса;

б) без учета центробежной силы и динамического коэффициента, но с учетом силовых факторов, возникающих вследствие возвышения наружного рельса.

К.8. При расчете на выносливость максимальное и минимальное усилия (напряжения) по линиям влияния, указанным в К.5, определяются невыгоднейшим из загружений, возникающих от подвижного состава, и состоящим из нагрузки СК (которой загружается только один участок) и нагрузки 9,81К кН/м пути. Загружение ведется последовательно по участкам линии влияния - отдельно справа налево и слева направо (рисунок К.5). При симметричной линии влияния производится загружение в одном направлении.

Рисунок К.5. Схема загружения участков линии влияния для определения максимальных и минимальных усилий (напряжений) при расчете на выносливость

Приложение Л
(справочное)

ЭКВИВАЛЕНТНЫЕ НАГРУЗКИ ОТ ОДИНОЧНЫХ АВТОМОБИЛЕЙ, СТОЯЩИХ И ДВИЖУЩИХСЯ КОЛОНН АВТОМОБИЛЕЙ НАГРУЗКИ АБ

Длина загружения , м Эквивалентные нагрузки от нагрузок АБ при разных положениях вершин треугольных линий влияния, кН/м
АБ-51 АБ-74 АБ-151
= 0,5 = 0,25 = 0 = 0,5 = 0,25 = 0 = 0,5 = 0,25 = 0
А. Одиночный автомобиль
4 166,7 166,7 177,1 245,2 245,2 245,2 495,2 495,2 495,2
5 133,4 137,8 153,4 196,1 196,1 211,2 396,2 396,2 415,8
6 111,1 123,5 134,3 163,5 168,7 187,0 330,2 330,2 371,0
7 95,2 111,1 119,1 140,1 153,6 167,0 283,0 303,0 333,0
8 88,6 100,7 106,8 122,6 140,2 150,5 247,6 278,3 301,3
9 82,4 91,9 96,7 112,5 128,8 136,9 220,1 256,4 274,6
10 76,7 84,4 88,4 105,6 118,8 125,3 207,9 237,3 252,0
12 67,2 72,6 75,2 93,5 102,7 107,2 185,5 205,9 216,1
15 56,3 59,7 61,5 79,2 85,0 88,0 158,2 171,3 177,8
18 48,3 50,8 52,0 68,4 72,5 74,5 137,3 146,4 150,9
24 37,7 38,9 39,6 53,6 55,9 57,1 108,1 113,2 115,7
30 30,8 31,6 32,1 44,0 45,4 46,2 88,9 92,2 93,8
33 28,1 28,8 29,2 40,3 41,6 42,2 81,7 84,3 85,7
36 26,0 26,6 26,9 37,3 38,2 38,8 75,4 77,8 78,8
48 19,8 20,2 20,3 28,5 29,1 29,4 57,9 59,1 59,8
66 14,6 14,8 14,9 21,1 21,4 21,6 42,9 43,5 43,8
Б. Колонна стоящих автомобилей
10 76,7 84,4 88,4 105,6 118,8 125,3 207,9 237,3 252,0
12 67,2 72,6 77,6 93,5 102,7 107,2 185,5 205,9 216,1
15 56,3 59,7 71,9 79,2 85,0 100,2 158,2 171,3 182,2
18 50,4 56,3 68,5 71,3 77,8 94,4 137,3 146,4 172,3
24 44,6 51,3 60,5 60,1 70,8 83,4 114,9 129,3 156,9
30 46,3 47,7 57,8 63,5 66,3 79,5 102,0 120,7 142,1
33 46,6 47,3 56,0 63,3 64,5 77,8 107,9 116,4 139,3
36 46,1 46,7 54,0 63,3 64,2 75,4 108,9 113,8 137,2
48 41,6 41,9 46,0 58,3 58,8 65,1 106,7 108,0 123,5
66 34,3 34,5 36,8 48,8 49,1 52,5 93,2 93,8 102,0
В. Колонна движущихся автомобилей
18 48,3 50,8 52,0 68,4 72,5 74,5 137,3 146,4 151,0
24 37,7 38,9 40,2 53,6 55,9 57,1 108,1 113,2 115,8
30 30,8 31,6 38,0 44,0 45,4 53,3 88,9 92,3 93,8
33 28,1 29,9 36,9 40,3 42,3 52,1 81,7 84,4 90,2
36 26,0 29,0 35,6 37,3 41,1 50,5 75,4 77,8 88,1
48 21,6 26,8 30,8 30,2 37,9 43,5 57,9 66,2 80,3
66 23,3 23,5 28,4 32,9 33,1 40,4 50,5 59,4 69,3
Примечание. Промежуточные значения эквивалентных нагрузок следует определять по интерполяции.

Приложение М
(обязательное)

МЕТОДИКА ОПРЕДЕЛЕНИЯ ГОРИЗОНТАЛЬНОГО (БОКОВОГО) ДАВЛЕНИЯ ГРУНТА НА БЕРЕГОВЫЕ ОПОРЫ (УСТОИ) ОТ ТРАНСПОРТНЫХ СРЕДСТВ ЖЕЛЕЗНЫХ И АВТОМОБИЛЬНЫХ ДОРОГ

При расположении на призме обрушения подвижного состава железных дорог

М.1. Горизонтальное (боковое) давление, кН, следует определять по формулам:

а) для однопутных устоев при симметричной (относительно оси устоя) нагрузке (рисунок М.1, а)

; (М.1)

б) для многопутных устоев при несимметричной (относительно оси устоя) нагрузке (рисунок М.1, б)

. (М.2)

а)

б)

в)

а - при расположении на призме обрушения подвижного состава железных дорог для однопутных устоев при симметричной (относительно оси устоя) нагрузке; б - то же, для многопутных устоев при несимметричной (относительно оси устоя) нагрузке; в - при расположении на призме обрушения автомобильной нагрузки и стенки перпендикулярно направлению движения (c - длина соприкасания вдоль оси моста колес с покрытием проезжей части, угол - наклон к вертикальной плоскости скольжения грунта за устоем)

Рисунок М.1. Схема загружения для определения горизонтального (бокового) давления грунта на береговые опоры (устои)

Если = h, то принимается = .

Плечи сил , , и , считая от рассматриваемого сечения (на рисунке М.1 - подошвы фундамента), следует определять по формулам:

; (М.3)
; (М.4)
;
, (М.5)

где - давление распределенной на длине шпал (2,70 м) временной вертикальной нагрузки, кПа;

v - равномерно распределенная нагрузка, кН/м, от подвижного состава на призме обрушения (по Приложению К);

, - высоты, в пределах которых площадь давления имеет переменную ширину, м;

b - ширина однопутного устоя или удвоенное наименьшее расстояние от вертикальной оси нагрузки до ближайшей боковой грани устоя при несимметричном загружении, м;

= 2,70 + - удвоенное расстояние от оси пути до точки пересечения линии распространения нагрузки с боковой удаленной от пути гранью, м, но не более удвоенного наибольшего расстояния от оси пути до боковой грани устоя;

- коэффициент нормативного горизонтального (бокового) давления грунта засыпки по 6.6.

Значения коэффициентов , , и , , в зависимости от соответствующих высот h, , следует принимать по таблице М.1.

Примечание. Для многопутного устоя общее давление от временной нагрузки следует определять как сумму давлений, получаемых по формуле (М.2) для каждого из путей в отдельности при соответствующих значениях b, , h, , .

Таблица М.1

h, , , , , ,
1 0,85 0,53
2 0,75 0,55
3 0,67 0,56
4 0,61 0,58
5 0,57 0,59
6 0,53 0,60
7 0,49 0,60
8 0,46 0,61
9 0,44 0,62
10 0,42 0,62
11 0,40 0,63
12 0,38 0,64
13 0,37 0,64
14 0,35 0,64
15 0,34 0,65
16 0,33 0,65
17 0,32 0,66
18 0,31 0,66
19 0,30 0,66
20 0,29 0,67
21 0,28 0,67
22 0,27 0,67
23 0,27 0,67
24 0,26 0,68
25 0,25 0,68
26 0,25 0,68
27 0,24 0,68
28 0,23 0,69
29 0,23 0,69
30 0,22 0,69

При расположении на призме обрушения колесной автомобильной нагрузки

М.2. При отсутствии переходных плит от насыпи на устой давление от транспортных средств автомобильных дорог на призме обрушения следует принимать распределенным на площадки опирания:

а) в случае расположения стенки перпендикулярно направлению движения давление от каждого ряда колес распределяется на площадки опирания размером c x b, где c - длина соприкасания вдоль оси моста колес рассматриваемых нагрузок с покрытием проезжей части (рисунок М.1, в), принимаемая, м:

для колес тележек нагрузки АК - 0,2;

то же, автомобилей нагрузки АБ - по таблице 6.6 в 6.13;

для колесной нагрузки НК - 3,8;

b - ширина, равная расстоянию между внешними гранями колес (для тележек нагрузки АК, автомобилей нагрузки АБ, колесной нагрузки НК).

В случаях, когда сосредоточенное давление распределяется в стороны вдоль рассчитываемой стенки (например, устои с откосными крыльями), его учитывают с коэффициентом , зависящим от отношения b/h по таблице М.2, где h - высота приложения нагрузки (рисунок М.1, в). (в ред. Изменения N 1, утв. Приказом Минстроя РФ от 03.12.2016 N 879/пр)

Таблица М.2

b/h
0,10 0,327
0,12 0,360
0,14 0,89
0,16 0,414
0,18 0,437
0,20 0,459
0,25 0,505
0,30 0,544
0,35 0,576
0,40 0,602
0,50 0,668
0,60 0,681
0,70 0,710
0,80 0,735
0,90 0,754
1,00 0,772
1,20 0,810
1,50 0,840
2,00 0,875
3,00 0,900
4,00 0,950
Свыше 4,00 1,000

В устоях с обратными стенками, расположенными параллельно оси моста, коэффициент не учитывается;

б) в случае расположения стенки параллельно оси моста давление от каждого ряда колес вдоль моста распределяется на площадки опирания размером a x d, где a - длина, принимаемая для нагрузок, м:

;

, но не более базы автомобиля;

НК - 3,8;

h, c - по М.2, а;

d - ширина колеса рассматриваемых нагрузок.

Во всех случаях длина a не должна превышать длины рассчитываемого участка стенки.

М.3. При наличии переходных плит (от насыпи на устой) опирание на грунт (вдоль оси моста) следует учитывать на половине длины плиты со стороны насыпи, при этом давление следует принимать только от части подвижной нагрузки, расположенной на этой половине, и считать его приложенным посередине длины опирания.

Приложение Н
(обязательное)

АЭРОДИНАМИЧЕСКИЕ КОЭФФИЦИЕНТЫ

Части или элементы пролетных строений и опор мостов Значения аэродинамического коэффициента лобового сопротивления
1. Главные фермы сквозных пролетных строений балочной и арочной систем:  
а) железнодорожных с ездой:  
понизу при наличии на них поезда 2,15
при отсутствии поезда 2,55
поверху при расстоянии между осями ферм от 2 до 4 м соответственно 2,15 - 2,45
б) автодорожных 2,80
2. Балочная клетка и мостовое полотно проезжей части пролетных строений:  
а) железнодорожных 1,85
б) автодорожных 1,60
3. Пролетные строения со сплошными балками:  
а) железнодорожные:  
однопутные с ездой поверху 1,90
два однопутных с ездой поверху, установленные на общих опорах двухпутного моста 2,10
однопутные в виде замкнутой коробки 1,50
однопутные с ездой понизу 2,25
двухпутные с ездой понизу 2,45
б) автодорожные с ездой поверху:  
с плоскими главными балками 1,70
с одной коробчатой балкой 1,50
с двумя коробчатыми балками 1,75
4. Прогоны деревянных мостов 1,95
5. Железнодорожный подвижной состав, находящийся на пролетном строении с ездой:  
а) понизу 1,50
б) поверху 1,80
6. Каменные, бетонные и железобетонные опоры мостов:  
а) поперек моста:  
при прямоугольном сечении 2,10
то же, но с обтекателями в носовой и кормовой частях 1,75
при круглом сечении 1,40
в виде двух круглых столбов 1,80
б) вдоль моста при прямоугольном сечении 2,10
7. Деревянные сквозные опоры мостов:  
а) башенного типа:  
поперек моста 3,20
вдоль моста 2,40
б) однорядные и сдвоенные:  
поперек моста 2,50
вдоль моста 1,50
8. Стальные опоры:  
а) однорядные:  
поперек моста 2,50
вдоль моста 1,80
б) башенные сквозные при числе плоскостей (поперек направления ветра) от 2 до 4 2,10 - 3,00
9. Перильные ограждения:  
а) в мостах с ездой поверху для плоскостей:  
не защищенных от ветра 1,4
закрытых от ветра подвижным составом 0,8
б) в мостах с ездой понизу:  
с наветренной стороны, не закрытой элементами сквозных ферм 1,4
то же, закрытой элементами сквозных ферм 1,1
то же, закрытой элементами сквозных ферм и подвижным составом 0,6

Приложение П
(обязательное)

НОРМАТИВНАЯ ЛЕДОВАЯ НАГРУЗКА

П.1. Нагрузку от льда на опоры мостов следует определять на основе исходных данных по ледовой обстановке в районе расположения сооружения для периода с наибольшими ледовыми воздействиями, при этом период натурных наблюдений должен быть не менее пяти лет.

Пределы прочности льда следует определять по опытным данным.

При отсутствии опытных данных допускается принимать:

для I района страны:

а) предел прочности льда на раздробление (с учетом местного смятия) :

в начальной стадии ледохода (при первой подвижке) - 735 кПа;

при наивысшем уровне ледохода - 441 кПа;

б) предел прочности льда на изгиб - 70% соответствующих значений прочности льда на раздробление (по "а");

для остальных районов страны - по формулам:

; (П.1)

, (П.2)

где n - порядковый номер района страны;

- климатический коэффициент для данного района страны.

Границы районов и климатические коэффициенты, соответствующие районам, следует принимать по таблице П.1. При этом для рек, вскрывающихся при отрицательной температуре, климатический коэффициент следует принимать не менее 2.

Таблица П.1

Номер района Граница района Климатический коэффициент
I Южнее линии Выборг - Смоленск - Камышин - Актюбинск - Балхаш 1
II Южнее линии Архангельск - Киров - Уфа - Кустанай - Караганда - Усть-Каменогорск 1,25
III Южнее линии Воркута - Ханты-Мансийск - Красноярск - Улан-Удэ - Николаевск-на-Амуре 1,75
IV Севернее линии Воркута - Ханты-Мансийск - Красноярск - Улан-Удэ - Николаевск-на-Амуре 2

На промерзающих до дна реках, если ледоход начинается после прохода по льду весенних вод, предел прочности льда на раздробление следует принимать по фактическим данным (с учетом ослабления льда вследствие его протаивания), но не менее величин, установленных для ледохода при наивысшем уровне.

П.2. Равнодействующую ледовой нагрузки необходимо прикладывать в точке, расположенной ниже расчетного уровня воды на 0,3t, где t - расчетная толщина льда, м, принимаемая равной 0,8 максимальной за зимний период толщины льда обеспеченностью 1%.

П.3. Нагрузку от движущихся ледяных полей на опоры мостов с вертикальной передней гранью необходимо принимать по наименьшему значению из определяемых по формулам:

при прорезании опорой льда

, кН; (П.3)

при остановке ледяного поля опорой

, кН, (П.4)

где , - коэффициенты формы, определяемые по таблице П.2;

- сопротивление льда раздроблению для районов строительства, кПа;

b - ширина опоры на уровне действия льда, м;

t - толщина льда, м;

v - скорость движения ледяного поля, м/с, определяемая по данным натурных наблюдений, а при их отсутствии принимаемая равной скорости течения воды;

A - площадь ледяного поля, м2, устанавливаемая по натурным наблюдениям в месте перехода или вблизи от него.

Таблица П.2

Коэффициент Коэффициент формы для опор с носовой частью, имеющей в плане форму
многоугольника прямоугольника треугольника с углом заострения в плане, град
45 60 75 90 120 150
0,90 1,00 0,54 0,59 0,64 0,69 0,77 1,00
2,4 2,7 0,2 0,5 0,8 1,0 1,3 2,7

При отсутствии натурных данных площадь ледяного поля допускается принимать , где l - величина пролета, м, а при уклонах участков водной поверхности i 0,007

, (П.5)

где - предел прочности льда на изгиб в районе строительства, кПа.

П.4. При движении ледяного поля под углом к оси моста нагрузку ото льда на вертикальную грань опоры необходимо уменьшать путем умножения ее на .

П.5. Давление льда на опору, имеющую в зоне действия льда наклонную поверхность, следует определять:

а) горизонтальную составляющую , кН, - по наименьшей из величин, полученных по формуле (П.3) настоящего приложения и по формуле

; (П.6)

б) вертикальную составляющую , кН, - по формуле

, (П.7)

где - коэффициент, принимаемый равным 0,2 b/t, но не менее 1;

- угол наклона к горизонту режущего ребра опоры;

, b, t - принимаются по П.1 - П.3.

П.6. При сложной ледовой обстановке в районе проектируемого мостового перехода в необходимых случаях следует учитывать нагрузки от:

остановившегося при навале на опору ледяного поля, когда кроме течения воды происходит воздействие на поле ветра;

давления зажорных масс;

примерзшего к опоре (сваям или свайным кустам) ледяного покрова при колебаниях уровня воды;

ледяного покрова при его температурном расширении и наличии с одной стороны опоры поддерживаемой майны льда на податливые (гибкие) опоры.

Указанные нагрузки следует определять по СП 38.13330. (в ред. Изменения N 1, утв. Приказом Минстроя РФ от 03.12.2016 N 879/пр)

П.7. При расположении в одном створе вдоль течения реки двух опор кругового или близкого к нему очертания (рисунок П.1) давление от прорезания льда при его первой подвижке на низовую (вторую) по течению реки опору допускается принимать в размере ,

здесь - коэффициент уменьшения давления на низовую (вторую) опору, зависящий от отношения /D ( - расстояние между осями опор, D - диаметр опор);

- давление от прорезания льда на верховую (первую) по течению опору (по П.3).

Рисунок П.1. Схема расположения в одном створе вдоль течения реки двух опор кругового очертания

Значения коэффициента следует принимать по таблице П.3.

Таблица П.3

/D 1,0 1,1 1,2 1,3 1,4 1,5 1,6 1,7 1,8
0,200 0,204 0,212 0,230 0,280 0,398 0,472 0,542 0,608

Окончание таблицы П.3

/D 1,9 2,0 2,1 2,2 2,3 2,4 2,5 2,6 и более
0,671 0,730 0,785 0,836 0,884 0,928 0,968 1,000

Приложение Р
(обязательное)

ПОТЕРИ ПРЕДВАРИТЕЛЬНОГО НАПРЯЖЕНИЯ АРМАТУРЫ

Таблица Р.1

Фактор, вызывающий потери предварительного напряжения Значение потерь предварительного напряжения, МПа
1. Релаксация напряжений арматуры:
а) при механическом способе натяжения арматуры:
проволочной
стержневой
б) при электротермическом и электротермомеханическом способах натяжения стержневой арматуры
Здесь принимается без учета потерь.
Если вычисленные значения потерь от релаксации напряжений оказываются отрицательными, их следует принимать равными нулю.
Проявление потерь от релаксации во времени следует учитывать в соответствии с 7.14.
Примечание. Формулы для определения потерь даны для нестабилизированной арматуры, для стабилизированной арматуры (с пониженной релаксацией) значения, полученные по вышеприведенным формулам, допускается уменьшать в два раза
2. Температурный перепад при натяжении на упоры (разность температуры натянутой арматуры в зоне нагрева и устройства, воспринимающего усилие натяжения при прогреве бетона) Для бетона классов В25 - В40 - 1,25t;
то же, класса В45 и выше - 1,00 t,
где t - разность между температурой нагреваемой арматуры и неподвижных упоров (вне зоны нагрева), воспринимающих усилие натяжения, °C.
Расчетное значение t при отсутствии точных данных следует принимать равным 65°C.
Потери от температурного перепада не учитываются, если температура стенда равна температуре нагреваемой арматуры или если в процессе термообработки производится подтяжка напрягаемой арматуры на величину, компенсирующую потери от температурного перепада
3. Деформация анкеров, расположенных у натяжных устройств, при натяжении:  
а) на упоры l/l
где l - сжатие опрессованных шайб, смятие высаженных головок и т.п., принимаемое равным 2 мм на каждый анкер
б) на бетон ,

где - обжатие шайб под анкерами и обмятие бетона под шайбами, равное 0,5 мм на каждый шов, но не менее 2 мм на каждый анкер, за который производится натяжение;
- деформация арматурного элемента относительно анкера, принимаемая равной: для анкера стаканного типа, в котором проволока закрепляется с помощью сплава, бетона, конусного закрепления, высаженных головок, - 2 мм на анкер; для напрягаемых хомутов - 1 мм на анкер; для конусных анкеров пучков из арматурных канатов класса К7 - 8 мм на анкер; для стержневых хомутов с плотно завинчивающимися гайками с шайбой или парных коротышей - общую величину потерь всех видов в таких хомутах допускается учитывать в размере 98 МПа;
l - длина участка пучка (на котором происходят потери напряжений от данного фактора), уменьшенная в два раза, мм;
- модуль упругости напрягаемой арматуры
4. Трение арматуры:
а) о стенки закрытых и открытых каналов при натяжении арматуры на бетон ,

где - принимается без учета потерь;
e - основание натуральных логарифмов;
, - коэффициенты, определяемые по таблице Р.2 настоящего приложения;
x - длина участка от натяжного устройства до расчетного сечения, м;
- суммарный угол поворота оси арматуры, рад
б) об огибающие приспособления ,

где - принимается без учета потерь;
e - основание натуральных логарифмов;
- коэффициент, принимаемый равным 0,25;
- суммарный угол поворота оси арматуры, рад.
При применении промежуточных отклоняющих упорных устройств, раздельных для каждого арматурного элемента и имеющих перемещение (за счет поворота) вдоль стенда, потери от трения об упорные устройства допускается не учитывать
5. Деформация стальной формы при изготовлении предварительно напряженных железобетонных конструкций с натяжением на упоры ,

где - коэффициент, который при натяжении арматуры домкратом определяется по формуле
;
l - сближение упоров на линии действия усилия предварительного напряжения, определяемое из расчета деформаций формы;
l - расстояние между наружными гранями упоров;
n - число групп арматурных элементов, натягиваемых не одновременно;
- модуль упругости стали форм.
При отсутствии данных о технологии изготовления и конструкции форм потери от деформации форм следует принимать равными 30 МПа
6. Быстронатекающая ползучесть при натяжении на упоры для бетона:
а) естественного твердения при ;
при ,

где - определяется на уровне центров тяжести соответствующей продольной арматуры с учетом потерь по поз. 1 - 5 настоящей таблицы.
б) подвергнутого тепловой обработке (при температуре 50°C и более) Потери вычисляются по формулам поз. 6а настоящей таблицы с умножением полученного результата на коэффициент, равный 0,85
(в ред. Изменения N 1, утв. Приказом Минстроя РФ от 03.12.2016 N 879/пр)
7. Усадка бетона при натяжении: Бетон классов по прочности на сжатие
а) на упоры: В35 и ниже В40 В45 и выше
бетон естественного твердения 40 50 60
бетон с тепловой обработкой 35 40 50
б) на бетон независимо от условий твердения 30 35 40
Проявление потерь от усадки во времени следует учитывать в соответствии с 7.15
8. Ползучесть бетона при ;
при ,

где - то же, что и в поз. 6 настоящей таблицы, но с учетом потерь по поз. 1 - 6;
- передаточная прочность;
- коэффициент, принимаемый равным для бетона:
естественного твердения - 1,0;
подвергнутого тепловой обработке при атмосферном давлении - 0,85.
Проявление потерь от ползучести во времени следует учитывать в соответствии с 7.15
9. Смятие под витками спиральной или кольцевой арматуры, наматываемой на бетон (при диаметре конструкции до 3 м)
10. Деформация обжатия стыков между блоками (для конструкций, состоящих из блоков) ,
где n - число швов конструкции и оснастки по длине натягиваемой арматуры;
l - обжатие стыка, принимаемое равным для стыков:
заполненных бетоном - 0,3 мм;
клееных после отверждения клея - 0,0;
l - длина участка пучка (на котором
происходят потери напряжений от данного фактора), уменьшенная в два раза, мм.
Допускается определение деформации стыков иными способами на основании опытных данных
Примечание. Каждому виду потерь предварительного напряжения арматуры в соответствии с номерами позиций присваивать обозначения от до .

Таблица Р.2

Поверхность канала Коэффициенты для определения потерь от трения арматуры
при арматуре в виде
пучков из высокопрочной проволоки, арматурных канатов класса К7, стальных канатов и гладких стержней стержней периодического профиля
Гладкая металлическая 0,003 0,35 0,40
Бетонная, образованная с помощью жесткого каналообразователя (или полиэтиленовых труб) 0,005 0,55 0,65
Гофрированные металлические неизвлекаемые:
новые 0,0016 0,20 -
подверженные коррозии 0,003 0,30 -

Приложение С
(обязательное)

РАСЧЕТ ЖЕСТКИХ ЗВЕНЬЕВ КРУГЛЫХ ЖЕЛЕЗОБЕТОННЫХ ТРУБ

Жесткие звенья круглых железобетонных труб допускается рассчитывать на изгибающие моменты (без учета нормальных и поперечных сил), расчетные значения которых следует определять по формуле

, (С.1)

где - средний радиус звена, м;

p - расчетное давление на звено, принимаемое равным:

для железнодорожных труб

(С.2) (в ред. Изменения N 1, утв. Приказом Минстроя РФ от 03.12.2016 N 879/пр)

для автодорожных труб

(С.3) (в ред. Изменения N 1, утв. Приказом Минстроя РФ от 03.12.2016 N 879/пр)

где и - коэффициенты надежности к постоянной и временной нагрузкам, принимаемые в соответствии с 6.3; (в ред. Изменения N 1, утв. Приказом Минстроя РФ от 03.12.2016 N 879/пр)

- нормативное вертикальное давление грунта насыпи, принимаемое по 6.6;

- нормативное вертикальное давление от временной вертикальной нагрузки, принимаемое по 6.17;

, (С.4)

где - нормативный угол внутреннего трения грунта засыпки, град; (в ред. Изменения N 1, утв. Приказом Минстроя РФ от 03.12.2016 N 879/пр)

- коэффициент, принимаемый в зависимости от условий опирания звена на фундамент или грунтовую (профилированную) уплотненную подушку согласно таблице С.1.

Таблица С.1

Звено Условие опирания Коэффициент
Круглое На грунтовую (профилированную) уплотненную подушку при 90° 0,25
На фундамент (бетонный, железобетонный) через бетонную подушку при 120° 0,22
Круглое с плоской пятой На фундамент (бетонный, железобетонный) или на грунтовую уплотненную подушку 0,22

Приложение Т
(обязательное)

ОПРЕДЕЛЕНИЕ ЖЕСТКОСТЕЙ СЕЧЕНИЙ ЖЕЛЕЗОБЕТОННЫХ ЭЛЕМЕНТОВ ДЛЯ РАСЧЕТА ПРОГИБОВ И УГЛОВ ПОВОРОТА С УЧЕТОМ ПОЛЗУЧЕСТИ БЕТОНА

Т.1. Жесткость сечения предварительно напряженного элемента (целого по длине) при длительном воздействии усилия предварительного напряжения или постоянной нагрузки , приложенных в моменты времени , рекомендуется определять по формуле

, (Т.1)

где - жесткость приведенного сплошного сечения элемента;

k - коэффициент, учитывающий влияние неупругих деформаций бетона при кратковременном приложении нагрузки и принимаемый равным 0,85;

- приведенная величина предельной характеристики ползучести бетона.

При определении прогибов и углов поворота от действия временной нагрузки или кратковременного действия постоянной нагрузки (в том числе кратковременного выгиба от усилия предварительного напряжения) в формуле (Т.1) значение следует принимать равным нулю, а жесткость B* заменить на B.

Т.2. Величины рекомендуется вычислять по формулам:

при определении жесткости

; (Т.2)

при определении жесткости

, (Т.3)

где - функция, учитывающая влияние предварительного напряжения (обжатия) бетона под постоянной нагрузкой на предельную (при ) величину изменения предварительного напряжения арматуры по Т.3.

Т.3. Определение компонентов для вычисления приведенной характеристики ползучести бетона :

- функция, учитывающая влияние предварительного напряжения (обжатия) бетона под постоянной нагрузкой на предельную (при ) величину изменения предварительного напряжения арматуры и определяемая по формуле

, (Т.4)

где ; ; ;

- характеристика бетонной части сечения;

, - площадь и момент инерции бетонной части сечения относительно центра тяжести сечения;

y - расстояние от центра тяжести бетонной части сечения до центра тяжести рассматриваемой напрягаемой арматуры;

- отношение модулей упругости арматуры и бетона, принимаемое по 7.48;

- коэффициент армирования напрягаемой арматурой [при площади поперечного сечения следует принимать ];

, - расчетное сопротивление бетона осевому сжатию по таблице 7.6 при расчете по предельным состояниям второй группы и значение модуля упругости бетона, МПа, по таблице 7.11 (к началу данной стадии), соответствующее передаточной прочности бетона ;

- относительный уровень напряжений в бетоне в начале данной стадии ;

- характеристика линейной ползучести бетона, проявившаяся на протяжении рассматриваемой стадии (за время );

- удельная деформация ползучести бетона, соответствующая заданному периоду выдержки под нагрузкой, ее рекомендуется определять по формулам:

при

; (Т.5)

при

, (Т.6)

где - время, отсчитываемое с момента приложения нагрузки, сут;

- параметр, характеризующий скорость развития во времени деформации ползучести бетона и принимаемый по таблице Т.1.

Таблица Т.1

Приведенные характеристики поперечного сечения элемента, см (отношение площади поперечного сечения элемента к его периметру) 2,5 5,0 7,5 10,0 12,5 15,0 20,0 и более
Параметры, характеризующие скорость развития во времени деформации ползучести , сут 55 80 110 135 165 190 250

Для конструкций, эксплуатируемых в климатическом подрайоне IVA, согласно СП 131.13330 значение для летнего времени года (август) следует снижать на 35%, а для зимнего (февраль) - увеличивать на 10%, для остальных месяцев - принимать по линейной интерполяции; (в ред. Изменения N 1, утв. Приказом Минстроя РФ от 03.12.2016 N 879/пр)

- предельные значения удельных деформаций ползучести бетона, принимаемые в соответствии с 7.32.

Приложение У
(обязательное)

КОЭФФИЦИЕНТЫ УСЛОВИЙ РАБОТЫ КАНАТОВ

У.1. Величину коэффициента условий работы следует принимать:

, (У.1)

где D = 2R;

R - радиус кривой, по которой отгибается на отклоняющем устройстве канат одинарной свивки из проволоки диаметром d с временным сопротивлением 1470 - 1765 МПа; при этом должно соблюдаться условие D/d 580 и ;

при отгибе закрытых несущих канатов на отклоняющем устройстве по круговой кривой диаметром D, мм, и соблюдении условий:

; ,
; ,

где - диаметр каната, мм.

При действии на растянутый закрытый несущий канат поперечной нагрузки q через плоские стальные накладки следует принимать по таблице У.1.

Таблица У.1

q, МН/м 1 2 4,9 9,8 14,7 19,6
Коэффициент 1 0,99 0,98 0,96 0,93 0,85

У.2. Величину коэффициента условий работы при закреплении канатов в концевых анкерах следует принимать:

при заливке конца каната в конической или цилиндрической полости корпуса сплавом цветных металлов на длине не менее 5 диаметров каната - = 0,95;

при заливке конца каната в конической полости корпуса эпоксидным компаундом на длине не менее 4 диаметров каната - = 1;

при клиновых анкерах, применении алюминиевых прокладок и заполнении пустот эпоксидным компаундом - = 1;

в анкере со сплющиванием концов круглых проволок, защемлением их в анкерной плите и заполнением пустот эпоксидным компаундом с наполнителем из стальной дроби - = 1.

Приложение Ф
(обязательное)

КОЭФФИЦИЕНТЫ ДЛЯ РАСЧЕТА ПО УСТОЙЧИВОСТИ СТЕРЖНЕЙ И БАЛОК

Таблица Ф.1

Гибкость , ,, Коэффициенты , , для расчета по устойчивости стержней и балок из стали с классом прочности С235 по ГОСТ 6713 и ГОСТ 14637, ГОСТ 535 при приведенном относительном эксцентриситете
0 0,10 0,25 0,50 0,75 1,00 1,50 2,00 2,50 3,00 3,50 4,00 5,00
0 0,93 0,85 0,79 0,68 0,60 (0,58) 0,52 (0,50) 0,43 (0,41) 0,35 0,30 0,27 0,24 0,21 0,17
10 0,92 0,84 0,78 0,68 (0,67) 0,60 (0,57) 0,52 (0,50) 0,42 (0,40) 0,35 0,30 0,26 0,23 0,21 0,17
20 0,90 0,83 0,77 (0,76) 0,67 (0,66) 0,58 (0,56) 0,50 (0,49) 0,41 (0,40) 0,34 0,29 0,26 0,23 0,21 0,17
30 0,88 0,81 0,76 (0,73) 0,65 (0,63) 0,56 (0,54) 0,49 (0,47) 0,40 (0,39) 0,33 0,29 0,25 0,22 0,21 0,17
40 0,85 0,79 (0,77) 0,73 (0,70) 0,63 (0,61) 0,54 (0,52) 0,47 (0,45) 0,39 (0,38) 0,32 0,28 0,24 0,22 0,20 0,17
50 0,85 (0,80) 0,76 (0,73) 0,70 (0,65) 0,60 (0,57) 0,51 (0,49) 0,45 (0,43) 0,37 (0,36) 0,31 0,27 0,24 0,22 0,20 0,16
60 0,78 (0,73) 0,72 (0,66) 0,66 (0,60) 0,57 (0,53) 0,49 (0,46) 0,43 (0,41) 0,35 (0,34) 0,30 0,26 0,23 0,21 0,19 0,16
70 0,74 (0,66) 0,67 (0,60) 0,62 (0,54) 0,54 (0,48) 0,46 (0,42) 0,41 (0,38) 0,34 (0,32) 0,29 0,25 0,22 0,20 0,19 0,16
80 0,69 (0,60) 0,62 (0,54) 0,57 (0,49) 0,50 (0,43) 0,43 (0,39) 0,38 (0,36) 0,32 (0,31) 0,28 0,24 0,22 0,20 0,19 0,15
90 0,63 (0,54) 0,56 (0,49) 0,51 (0,44) 0,45 (0,40) 0,40 (0,36) 0,36 (0,33) 0,30 (0,28) 0,26 0,23 0,21 0,19 0,18 0,15
100 0,56 (0,49) 0,49 (0,44) 0,45 (0,40) 0,41 (0,37) 0,37 (0,33) 0,33 (0,30) 0,29 (0,26) 0,25 0,22 0,20 0,19 0,17 0,14
110 0,49 (0,44) 0,43 (0,40) 0,41 (0,37) 0,37 (0,34) 0,34 (0,31) 0,31 (0,29) 0,27 (0,25) 0,24 0,21 0,19 0,18 0,16 0,14
120 0,43 (0,41) 0,39 (0,37) 0,37 (0,34) 0,34 (0,31) 0,31 (0,28) 0,29 (0,27) 0,25 (0,23) 0,22 0,20 0,18 0,17 0,15 0,13
130 0,38 (0,37) 0,35 (0,34) 0,33 (0,31) 0,31 (0,29) 0,29 (0,27) 0,26 (0,25) 0,23 (0,22) 0,21 0,19 0,17 0,16 0,14 0,13
140 0,34 0,31 0,30 (0,29) 0,28 (0,27) 0,26 (0,25) 0,24 (0,23) 0,21 0,20 0,18 0,16 0,15 0,14 0,12
150 0,31 0,28 0,27 0,25 0,23 0,22 0,20 0,18 0,16 0,15 0,14 0,13 0,12
160 0,28 0,26 0,24 0,23 0,22 0,21 0,19 0,17 0,15 0,14 0,14 0,12 0,11
170 0,25 0,24 0,22 0,21 0,20 0,19 0,17 0,16 0,15 0,14 0,13 0,12 0,11
180 0,23 0,21 0,20 0,19 0,19 0,18 0,16 0,15 0,14 0,13 0,12 0,11 0,10
190 0,21 0,20 0,19 0,18 0,17 0,17 0,15 0,14 0,13 0,12 0,12 0,11 0,10
200 0,19 0,19 0,18 0,18 0,17 0,16 0,15 0,14 0,13 0,12 0,11 0,11 0,10
Примечание. Для прокатных двутавров с параллельными гранями полок и сварных элементов двутаврового и H-образного сечений коэффициенты , , по настоящему приложению применяются при собственных остаточных сжимающих напряжениях на кромках полок не более 49 МПа. Для элементов указанного типа с собственными остаточными сжимающими напряжениями на кромках полок свыше 49 МПа при расчете по устойчивости в плоскости полок принимаются коэффициенты , , , указанные в скобках.

Таблица Ф.2

Гибкость , ,, Коэффициенты , , для расчета по устойчивости стержней и балок из стали с классами прочности С325 - С345 по ГОСТ 6713 и ГОСТ 19281 при приведенном относительном эксцентриситете
0 0,10 0,25 0,50 0,75 1,00 1,50 2,00 2,50 3,00 3,50 4,00 5,00
0 0,93 0,86 0,78 0,69 0,62 0,54 0,44 0,34 0,28 0,24 0,22 0,20 0,17
10 0,92 0,84 0,77 0,68 0,60 0,52 0,43 0,34 0,28 0,24 0,22 0,20 0,17
20 0,90 0,83 0,76 0,66 0,58 0,51 0,41 0,33 0,28 0,24 0,22 0,20 0,17
30 0,88 0,81 0,73 0,63 0,56 (0,55) 0,49 (0,48) 0,40 (0,39) 0,32 0,27 0,24 0,21 0,19 0,16
40 0,85 (0,84) 0,77 (0,76) 0,69 (0,68) 0,59 (0,58) 0,52 (0,51) 0,46 (0,45) 0,38 (0,37) 0,31 0,26 0,23 0,21 0,19 0,16
50 0,80 (0,78) 0,72 (0,70) 0,64 (0,62) 0,54 (0,52) 0,48 (0,46) 0,43 (0,42) 0,36 (0,35) 0,30 0,25 0,22 0,21 0,19 0,16
60 0,74 (0,71) 0,66 (0,63) 0,58 (0,56) 0,48 (0,46) 0,43 (0,41) 0,39 (0,38) 0,33 (0,32) 0,28 0,25 0,22 0,20 0,18 0,15
70 0,67 (0,63) 0,58 (0,55) 0,51 (0,49) 0,43 (0,41) 0,39 (0,37) 0,35 (0,34) 0,32 (0,31) 0,27 0,23 0,21 0,20 0,18 0,15
80 0,58 (0,53) 0,50 (0,46) 0,45 (0,42) 0,38 (0,35) 0,35 (0,33) 0,32 (0,31) 0,30 (0,29) 0,25 0,22 0,20 0,18 0,17 0,14
90 0,48 (0,43) 0,43 (0,39) 0,40 (0,37) 0,34 (0,31) 0,31 (0,29) 0,29 (0,28) 0,27 (0,26) 0,23 0,21 0,19 0,18 0,16 0,14
100 0,40 (0,36) 0,38 (0,34) 0,35 (0,32) 0,31 (0,29) 0,28 (0,26) 0,26 (0,25) 0,25 (0,24) 0,21 0,19 0,18 0,17 0,16 0,13
110 0,35 (0,32) 0,33 (0,30) 0,31 (0,29) 0,28 (0,26) 0,25 (0,24) 0,23 (0,22) 0,23 (0,22) 0,20 0,19 0,17 0,16 0,15 0,13
120 0,30 (0,28) 0,29 (0,27) 0,27 (0,26) 0,25 (0,24) 0,23 (0,22) 0,22 (0,21) 0,21 (0,20) 0,18 0,17 0,16 0,15 0,14 0,12
130 0,27 (0,25) 0,25 (0,24) 0,24 (0,23) 0,22 (0,21) 0,21 (0,20) 0,19 (0,18) 0,19 (0,18) 0,17 0,16 0,15 0,14 0,13 0,12
140 0,24 (0,23) 0,23 (0,22) 0,22 (0,21) 0,20 (0,19) 0,19 (0,18) 0,18 (0,17) 0,17 (0,16) 0,16 0,15 0,14 0,13 0,13 0,11
150 0,22 0,21 0,20 0,18 0,17 0,17 0,15 0,14 0,15 0,13 0,12 0,11 0,10
160 0,20 0,19 0,18 0,17 0,16 0,15 0,14 0,14 0,13 0,12 0,12 0,11 0,10
170 0,18 0,17 0,16 0,15 0,14 0,14 0,13 0,12 0,12 0,11 0,11 0,10 0,09
180 0,16 0,16 0,15 0,14 0,13 0,13 0,12 0,12 0,11 0,11 0,10 0,10 0,09
190 0,15 0,14 0,13 0,13 0,12 0,12 0,11 0,10 0,10 0,10 0,09 0,09 0,08
200 0,13 0,13 0,12 0,12 0,11 0,10 0,10 0,09 0,09 0,09 0,08 0,08 0,08
Примечание. См. примечание к таблице Ф.1.

Таблица Ф.3

Гибкость , ,, Коэффициенты , , для расчета по устойчивости стержней и балок из стали с классами прочности С390 по ГОСТ 6713 и 390-14Г2АФД, 390-15Г2АФДпс по ГОСТ 19281 при приведенном относительном эксцентриситете
0 0,10 0,25 0,50 0,75 1,00 1,50 2,00 2,50 3,00 3,50 4,00 5,00
0 0,93 0,86 0,78 0,70 0,63 0,55 0,45 0,35 0,29 0,25 0,23 0,21 0,18
10 0,92 0,84 0,77 0,68 0,60 0,52 0,43 0,34 0,28 0,24 0,22 0,20 0,17
20 0,90 0,83 0,76 0,66 0,58 0,51 0,41 0,33 0,28 0,24 0,22 0,20 0,17
30 0,88 0,81 0,73 0,63 0,55 0,48 0,39 0,32 0,27 0,24 0,21 0,19 0,16
40 0,84 (0,83) 0,76 (0,75) 0,68 (0,67) 0,58 (0,57) 0,51 (0,50) 0,45 (0,44) 0,37 (0,36) 0,31 (0,30) 0,26 (0,25) 0,23 (0,22) 0,21 (0,20) 0,19 (0,18) 0,16 (0,15)
50 0,79 (0,77) 0,71 (0,69) 0,63 (0,61) 0,53 (0,51) 0,47 (0,45) 0,43 (0,41) 0,36 (0,34) 0,31 (0,29) 0,26 (0,24) 0,23 (0,21) 0,21 (0,20) 0,19 (0,18) 0,16 (0,15)
60 0,73 (0,70) 0,65 (0,62) 0,58 (0,55) 0,48 (0,45) 0,43 (0,40) 0,40 (0,37) 0,34 (0,31) 0,30 (0,27) 0,26 (0,24) 0,23 (0,21) 0,21 (0,19) 0,19 (0,17) 0,16 (0,14)
70 0,63 (0,59) 0,55 (0,51) 0,49 (0,45) 0,41 (0,37) 0,39 (0,33) 0,36 (0,30) 0,31 (0,25) 0,29 (0,23) 0,25 (0,19) 0,23 (0,17) 0,21 (0,16) 0,19 (0,14) 0,16 (0,11)
80 0,53 (0,49) 0,46 (0,42) 0,42 (0,38) 0,35 (0,31) 0,33 (0,29) 0,31 (0,27) 0,26 (0,22) 0,25 (0,21) 0,22 (0,18) 0,20 (0,16) 0,18 (0,14) 0,17 (0,13) 0,14 (0,10)
90 0,43 (0,38) 0,39 (0,34) 0,37 (0,32) 0,31 (0,26) 0,29 (0,24) 0,28 (0,23) 0,24 (0,19) 0,23 (0,18) 0,21 (0,16) 0,19 (0,14) 0,18 (0,13) 0,17 (0,11) 0,14 (0,09)
100 0,35 (0,32) 0,33 (0,30) 0,31 (0,28) 0,26 (0,23) 0,25 (0,22) 0,24 (0,21) 0,21 (0,18) 0,20 (0,17) 0,19 (0,15) 0,19 (0,14) 0,18 (0,13) 0,17 (0,11) 0,14 (0,08)
110 0,30 (0,27) 0,28 (0,25) 0,27 (0,24) 0,23 (0,20) 0,22 (0,19) 0,20 (0,17) 0,18 (0,15) 0,18 (0,15) 0,17 (0,14) 0,15 (0,12) 0,15 (0,11) 0,15 (0,10) 0,13 (0,08)
120 0,26 (0,24) 0,25 (0,23) 0,24 (0,22) 0,21 (0,19) 0,20 (0,18) 0,19 (0,17) 0,16 (0,14) 0,16 (0,14) 0,15 (0,13) 0,14 (0,12) 0,13 (0,11) 0,12 (0,10) 0,10 (0,08)
130 0,23 (0,21) 0,22 (0,21) 0,21 (0,19) 0,19 (0,17) 0,18 (0,16) 0,17 (0,15) 0,15 (0,13) 0,15 (0,13) 0,14 (0,12) 0,13 (0,11) 0,12 (0,11) 0,11 (0,09) 0,10 (0,08)
140 0,21 (0,20) 0,20 (0,19) 0,19 (0,18) 0,17 (0,16) 0,16 (0,15) 0,16 (0,15) 0,14 (0,13) 0,14 (0,13) 0,13 (0,12) 0,12 (0,11) 0,11 (0,10) 0,11 (0,09) 0,09 (0,08)
150 0,19 0,18 0,17 0,15 0,14 0,14 0,12 0,11 0,10 0,10 0,09 0,08 0,07
160 0,17 0,16 0,15 0,14 0,13 0,12 0,11 0,11 0,10 0,09 0,09 0,08 0,07
170 0,15 0,14 0,13 0,12 0,11 0,11 0,10 0,09 0,09 0,08 0,08 0,07 0,06
180 0,13 0,13 0,12 0,11 0,10 0,10 0,09 0,09 0,08 0,08 0,07 0,07 0,06
190 0,12 0,11 0,10 0,10 0,09 0,09 0,08 0,07 0,07 0,07 0,06 0,06 0,05
200 0,11 0,11 0,10 0,10 0,09 0,08 0,07 0,06 0,06 0,06 0,05 0,05 0,05
Примечание. См. примечание к таблице Ф.1.

Коэффициенты влияния формы сечения

Коэффициенты влияния формы сечения при определении приведенного относительного эксцентриситета по формуле следует принимать по СП 16.13330, вычисляя при этом условную гибкость по формуле

,

где - коэффициент, принимаемый по таблице Ф.4, при этом .

Таблица Ф.4

Класс прочности стали Толщина проката, мм Значение коэффициента
С235 До 20 0,0324
21 - 40 0,0316
41 - 60 0,0309
С325 - С345 8 - 32 0,0378
33 - 50 0,0372
С390 8 - 50 0,0412

Приложение Х
(обязательное)

РАСЧЕТ ПО УСТОЙЧИВОСТИ ПОЛОК И СТЕНОК ЭЛЕМЕНТОВ, ПОДКРЕПЛЕННЫХ РЕБРАМИ ЖЕСТКОСТИ

Х.1. Прямоугольные отсеки полок и стенок (далее - пластинки), заключенные между подкрепляющими их по контуру ортогональными деталями (ребра жесткости, полка для стенки и стенка для полки), следует рассчитывать по устойчивости. При этом расчетными размерами и параметрами проверяемой пластинки являются:

a - длина пластинки, равная расстоянию между осями поперечных ребер жесткости;

- расчетная ширина пластинки, равная:

при отсутствии продольных ребер жесткости у прокатного или сварного элемента - расстоянию между осями поясов или осями стенок коробчатого сечения ;

то же, у составного элемента с болтовыми соединениями - расстоянию между ближайшими рисками поясных уголков;

при наличии продольных ребер жесткости у сварного или прокатного элемента - расстоянию от оси пояса (стенки) до оси крайнего продольного ребра жесткости и или расстоянию между осями соседних продольных ребер жесткости (i = 2; 3; 4; 5...);

то же, у составного элемента с болтовыми соединениями - расстоянию от оси крайнего ребра жесткости до ближайшей риски поясного уголка и или расстоянию между осями соседних продольных ребер жесткости (i = 2; 3; 4; 5...);

t - толщина проверяемой пластинки;

, - толщина и расчетная ширина листа, ортогонального к проверяемой пластинке; в расчетную ширину этого листа в двутавровом сечении следует включать (в каждую сторону от проверяемой пластинки) участок листа шириной , но не более ширины свеса, а в коробчатом сечении - участок шириной , но не более половины расстояния между стенками коробки (здесь коэффициенты и следует определять по 8.55);

, здесь и определяются по Х.2;
;
, здесь - коэффициент, принимаемый по таблице Х.1.

Таблица Х.1

Характер закрепления сжатого пояса конструкцией проезжей части Значение коэффициента
К поясу с помощью лапчатых болтов прикреплены мостовые брусья 0,3
К поясу с помощью высокопрочных шпилек и деревянных подкладок прикреплены сборные железобетонные плиты проезжей части 0,5
Пояс свободен 0,8
К поясу приварен внахлестку или встык лист ортотропной плиты 2,0
К поясу с помощью закладных деталей и высокопрочных болтов присоединена сборная проезжая часть сталежелезобетонного пролетного строения 1,5
К поясу непрерывно по всей длине пролета присоединена проезжая часть сталежелезобетонного пролетного строения с помощью высокопрочных болтов и подливки цементно-песчаным раствором 2,0
(в ред. Изменения N 1, утв. Приказом Минстроя РФ от 03.12.2016 N 879/пр)

В случае если проверяемая пластинка примыкает к пакету из двух листов и более, за и принимаются толщина и расчетная ширина первого листа пакета, непосредственно примыкающего к указанной пластинке.

Х.2. Расчет по устойчивости пластинок следует выполнять с учетом всех компонентов напряженного состояния - , , .

Напряжения , , следует вычислять в предположении упругой работы материала по сечению брутто без учета коэффициентов продольного изгиба.

Максимальное и минимальное продольные нормальные напряжения (положительные при сжатии) по продольным границам пластинки следует определять по формулам:

; (Х.1)
, (Х.2)

где , - максимальное и минимальное расстояния от нейтральной оси до продольной границы пластинки (с учетом знака);

- среднее значение изгибающего момента в пределах отсека при ; если длина отсека больше его расчетной ширины, то следует вычислять для более напряженного участка длиной, равной ширине отсека; если в пределах отсека момент меняет знак, то следует вычислять на участке отсека с моментом одного знака.

Среднее касательное напряжение следует определять:

при отсутствии продольных ребер жесткости - по формуле

, (Х.3)

где

; (Х.4)

при их наличии - по формуле

. (Х.5)

(в ред. Изменения N 1, утв. Приказом Минстроя РФ от 03.12.2016 N 879/пр)

В формулах (Х.4) и (Х.5):

- среднее значение поперечной силы в пределах отсека, определяемое так же, как и ;

, - значения касательных напряжений на продольных границах пластинки, определяемые по формуле (Х.3) при замене соответствующими значениями S.

Поперечное нормальное напряжение (положительное при сжатии), действующее на внешнюю кромку крайней пластинки, следует определять:

от подвижной нагрузки - по формуле

, (Х.6)

где P - распределенное давление на внешнюю кромку крайней пластинки, определяемое по обязательному Приложению К;

от сосредоточенного давления силы F - по формуле

, (Х.7)

где - условная длина распределения нагрузки.

Условную длину распределения нагрузки следует определять:

при передаче нагрузки непосредственно через пояс балки или через рельс и пояс - по формуле

, (Х.8)

где c - коэффициент, принимаемый для сварных и прокатных элементов равным 3,25, для элементов с соединениями на высокопрочных болтах - 3,75, на обычных болтах - 4,5;

I - момент инерции пояса балки или сумма моментов инерции пояса и рельса;

при передаче нагрузки от катка через рельс, деревянный лежень и пояс балки - равной 2h (где h - расстояние от поверхности рельса до кромки пластинки), но не более расстояния между соседними катками.

Поперечные нормальные напряжения на границе второй и последующих пластинок следует определять, как правило, по теории упругости.

Допускается их определять:

при нагрузке, распределенной по всей длине пластинки, - по формуле

; (Х.9)

при сосредоточенной нагрузке - по формуле

. (Х.10)

В формулах (Х.9) и (Х.10):

; ,

где - часть высоты стенки, равная расстоянию от оси нагруженного пояса в сварных и прокатных балках или от ближайшей риски поясного уголка в балках с болтовыми соединениями до границы проверяемой пластинки;

- полная высота стенки.

Х.3. Критические напряжения , , , , , следует определять в предположении действия только одного из рассматриваемых напряжений , , . Приведенные критические напряжения , , в общем случае вычисляют в предположении неограниченной упругости материала на основе теории устойчивости первого рода (бифуркация форм равновесия) для пластинчатых систем.

Значения приводимых в таблицах Х.2, Х.4 - Х.13 параметров для определения критических напряжений в пластинках допускается находить по линейной интерполяции.

Х.4. Расчет по устойчивости стенки сплошных изгибаемых элементов, имеющей только поперечные ребра жесткости, следует выполнять по формуле

, (Х.11)

где , - критические нормальные напряжения соответственно продольное и поперечное;

- критическое касательное напряжение;

- коэффициент, принимаемый по таблице Х.2;

- коэффициент, вводимый при расчете автодорожных и городских мостов при .

Таблица Х.2

0 0,5 1,0 1,5 2,0 3,0 4,0
1,00 1,05 1,10 1,15 1,20 1,30 1,40

Критические напряжения , , следует определять по формулам таблицы Х.3 в зависимости от приведенных критических напряжений , , , вычисляемых по Х.4.1 - Х.4.3. При этом определяется по формулам для с подстановкой в них соотношений:

; .

Таблица Х.3

Класс прочности стали Интервал значений, МПа Формулы <*> для определения и
С235 0 - 196
196 - 385
Свыше 385
С325 - С345 0 - 207
207 - 524
Свыше 524
С390 0 - 229
229 - 591
Свыше 591
<*> При определении поперечных нормальных критических напряжений в формулах заменяются на и на .
Здесь m - коэффициент условий работы, принимаемый по таблице 8.15.

Х.4.1. Приведенное критическое продольное нормальное напряжение для пластинок стенки изгибаемого элемента следует определять по формуле

, (Х.12)

где - коэффициент упругого защемления стенки, принимаемый для элементов с болтовыми соединениями равным 1,4, для сварных элементов - по таблице Х.4;

- коэффициент, принимаемый по таблице Х.5.

Таблица Х.4

0,25 0,5 1,0 2,0 4,0 10,0 Свыше 10
1,21 1,33 1,46 1,55 1,60 1,63 1,65

Таблица Х.5

Значение коэффициента при
0,4 0,5 0,6 0,67 0,75 0,8 0,9 1,0 1,5 2 и более
0 8,41 6,25 5,14 4,75 4,36 4,2 4,04 4,0 4,34 4,0
0,67 10,8 8,0 7,1 6,6 6,1 6,0 5,9 5,8 6,1 5,8
0,80 13,3 9,6 8,3 7,7 7,1 6,9 6,7 6,6 7,1 6,6
1,00 15,1 110 9,7 9,0 8,4 8,1 7,9 7,8 8,4 7,8
1,33 18,7 14,2 12,9 12,0 11,0 11,2 11,1 11,0 11,5 11,0
2,00 29,1 25,6 24,1 23,9 24,1 24,4 25,6 24,1 24,1 23,9
3,00 54,3 54,5 58,0 53,8 53,8 53,8 53,8 53,8 53,8 53,8
4,00 95,7 95,7 95,7 95,7 95,7 95,7 95,7 95,7 95,7 95,7

Х.4.2. Приведенное критическое поперечное нормальное напряжение для пластинок стенки изгибаемого элемента следует определять по формуле

, (Х.13)

где - коэффициент, принимаемый равным единице при нагрузке, распределенной по всей длине пластинки, и по таблице Х.6 - при сосредоточенной нагрузке;

- коэффициент упругого защемления стенки, принимаемый по таблице Х.7;

z - коэффициент, принимаемый по таблице Х.8.

Таблица Х.6

Значение коэффициента при p
0,10 0,11 0,12 0,13 0,14 0,15 0,16 0,18 0,20 0,25 0,30 0,35
0,5 1,70 1,67 1,65 1,63 1,61 1,60 1,60 1,60 1,60 1,60 1,60 1,60
0,6 1,98 1,93 1,89 1,85 1,82 1,80 1,79 1,78 1,76 1,72 1,71 1,69
0,7 2,23 2,17 2,11 2,06 2,02 1,98 1,96 1,93 1,89 1,82 1,79 1,76
0,8 2,43 2,35 2,28 2,22 2,17 2,12 2,10 2,05 2,01 1,91 1,86 0,82
0,9 2,61 2,51 2,43 2,36 2,30 2,24 2,21 2,16 2,11 1,98 1,92 1,87
1,0 2,74 2,64 2,55 2,47 2,40 2,34 2,31 2,24 2,17 2,04 1,97 0,91
1,2 2,79 2,68 2,59 2,51 2,43 2,37 2,33 2,26 2,19 2,05 1,98 1,91
1,4 2,84 2,73 2,63 2,54 2,46 2,39 2,35 2,28 2,21 2,05 1,98 1,91
1,5 2,86 2,75 2,65 2,56 2,48 2,41 2,37 2,30 2,22 2,07 1,99 1,91
2,0 и более 2,86 2,75 2,65 2,55 2,47 2,40 2,36 2,28 2,20 2,05 1,96 1,88
В таблице Х.6 обозначено: .

Таблица Х.7

Значение коэффициента при
0,4 0,6 0,8 1,0 1,5 2,0 и более
0,25 1,19 1,19 1,20 1,20 1,19 1,18
0,5 1,24 1,29 1,30 1,32 1,32 1,32
1,0 1,28 1,36 1,41 1,47 1,52 1,56
4,0 1,32 1,45 1,57 1,73 1,97 2,21
10 и более 1,34 1,49 1,65 1,88 2,51 2,95

Таблица Х.8

z
0,4 4,88
0,5 5,12
0,6 5,37
0,7 5,59
0,8 5,80
1,0 6,26
1,2 6,87
1,4 7,69
1,6 8,69
1,8 9,86
2,05 11,21
2,5 и более 15,28

Х.3. Приведенное критическое касательное напряжение для пластинок стенок изгибаемого элемента следует определять по формуле

В электронном документе нумерация пунктов соответствует официальному источнику.

, (Х.14)

где d - меньшая сторона отсека (a или );

- коэффициент, принимаемый равным при a > и 1/ при a < ;

- коэффициент упругого защемления стенки, принимаемый равным единице для элементов с болтовыми соединениями и по таблице Х.9 - для сварных элементов.

Таблица Х.9

Значение коэффициента при
0,5 0,67 1,0 2,0 2,5 и более
0,25 1,014 1,063 1,166 1,170 1,192
0,5 1,016 1,075 1,214 1,260 1,300
1,0 1,017 1,081 1,252 1,358 1,416
2,0 1,018 1,085 1,275 1,481 1,516
5,0 1,018 1,088 1,292 1,496 1,602
10,0 1,018 1,088 1,298 1,524 1,636
Свыше 10 1,018 1,089 1,303 1,552 1,680

Х.5. Расчет по устойчивости пластинок стенки сплошных изгибаемых элементов, имеющих поперечные ребра и одно продольное ребро в сжатой зоне, следует выполнять:

первой пластинки - между сжатым поясом и продольным ребром - по формуле

, (Х.15)

(в ред. Изменения N 1, утв. Приказом Минстроя РФ от 03.12.2016 N 879/пр)

где , - коэффициенты, определяемые по Х.2; (в ред. Изменения N 1, утв. Приказом Минстроя РФ от 03.12.2016 N 879/пр)

, , - напряжения, определяемые по Х.2;

, , - критические напряжения, определяемые Х.4;

второй пластинки - между растянутым поясом и продольным ребром - по формуле (Х.11), принимая при этом = 1.

Х.5.1. Приведенное критическое продольное нормальное напряжение следует определять по формуле (Х.12), при этом коэффициент упругого защемления следует принимать:

первой пластинки: элементов с болтовыми соединениями - = 1,3; таких же и сварных элементов при объединении с железобетонной плитой - = 1,35; прочих сварных элементов - по таблице Х.10;

второй пластинки - = 1.

Таблица Х.10

0,5 1,0 2,0 5,0 10 и более
1,16 1,22 1,27 1,31 1,35

Х.5.2. Приведенное критическое поперечное нормальное напряжение в первой пластинке следует определять по формуле (в ред. Изменения N 1, утв. Приказом Минстроя РФ от 03.12.2016 N 879/пр)

, (Х.16)

где i - коэффициент, принимаемый равным 1,0 при и 2,0 при 0,7 > > 0,4;

- коэффициент упругого защемления, принимаемый по таблице Х.11 для элементов, объединенных с железобетонной плитой, и для балок с болтовыми соединениями, по таблице Х.12 - для сварных балок.

Таблица Х.11

0,5 0,8 1,0 1,5 2,0 и более
1,07 1,18 1,31 1,52 1,62

Таблица Х.12

Значение коэффициента при
0,5 0,6 0,9 1,0 1,5 2,0 2,5 3,0
2 1,06 1,07 1,13 1,17 1,31 1,32 1,29 1,25
4 1,06 1,07 1,14 1,19 1,38 1,44 1,43 1,39

Приведенное критическое поперечное нормальное напряжение при воздействии сосредоточенной нагрузки, когда действующие напряжения определяются по формуле (Х.7), следует вычислять по формуле (Х.16) с умножением на коэффициент 1,55; если при этом , то надлежит принимать .

Приведенное критическое поперечное нормальное напряжение во второй пластинке следует определять по формуле (Х.13), при этом следует принимать: = 1; z - по таблице Х.8; - по таблице Х.6 при p = 0.35.

Х.5.3. Приведенное критическое касательное напряжение следует определять по формуле (Х.14), при этом для первой пластинки вместо коэффициента защемления должен быть принят коэффициент , для второй пластинки - = 1.

Х.6. Расчет по устойчивости пластинок стенки сплошных изгибаемых элементов, имеющих поперечные ребра и несколько продольных ребер жесткости, следует выполнять:

первой пластинки - между сжатым поясом и ближайшим ребром - по формуле (Х.15) и формулам (Х.12), (Х.16) и (Х.14) для , , соответственно;

для последующих сжатых пластинок - по формулам для первой пластинки, принимая коэффициент защемления = 1;

для сжато-растянутой пластинки - по формуле (Х.11), принимая = 1, и формулам (Х.12), (Х.16) и (Х.14) для , , как для второй пластинки по Х.5.

Расчет по устойчивости пластинки растянутой зоны стенки следует выполнять по формуле

, (Х.17)

где , - критические поперечное нормальное и касательное напряжения, определяемые по , согласно указаниям Х.4, при этом приведенное критическое поперечное нормальное напряжение следует определять по формуле

, (Х.18)

где - коэффициент, принимаемый по таблице Х.13.

Таблица Х.13

Тип пластинки Значения коэффициента при
0,4 0,5 0,6 0,7 0,8 1,0 1,5 2,0
Примыкающая к растянутому поясу 1240 1380 1520 1650 1820 2240 3860 6300
Промежуточная 920 970 1020 1060 1100 1190 1530 2130
Примечание. a и следует определять по Х.1.

Приведенное критическое касательное напряжение следует определять:

для пластинки, примыкающей к растянутому поясу, - по формуле

, (Х.19)

для промежуточной растянутой пластинки - по формуле

, (Х.20)

где d - меньшая сторона отсека (a или );

- коэффициент, принимаемый равным при a > и 1/ при a < .

Х.7. Расчет по устойчивости пластинок стенки сплошных сжато-изгибаемых элементов (балки жесткости пролетного строения распорной системы, арки или пилона) при сжатии сечения по всей высоте следует выполнять по формуле

, (Х.21)

где - максимальное продольное нормальное напряжение на границе пластинки от продольной силы N и изгибающего момента , принимаемого в соответствии с Х.2;

- коэффициент, определяемый по таблице Х.2;

, - поперечное нормальное и среднее касательное напряжения, определяемые согласно Х.2;

, , - критические напряжения, определяемые по , , согласно указаниям Х.4.

При действии на части высоты сечения растягивающих напряжений расчет следует выполнять как для стенки сплошных изгибаемых элементов по Х.4 - Х.6.

Приложение Ц
(обязательное)

КОЭФФИЦИЕНТЫ ДЛЯ РАСЧЕТА НА ВЫНОСЛИВОСТЬ

Таблица Ц.1

Расположение расчетного сечения и характеристика стальной конструкции моста Эффективный коэффициент концентрации напряжений бета для стали марок
С235 С325 - С390
1. По основному металлу после дробеметной очистки или с необработанной прокатной поверхностью у деталей с прокатными, обработанными фрезерованием, строжкой кромками в сечениях вне сварных швов и болтов 1,0 1,0
2. То же, с кромками, обрезанными газовой машинной резкой:
а) нормального качества 1,1 1,2
б) чистовой (смыв-процесс, резка с кислородной завесой, кислородно-плазменная) 1,0 1,0
3. По основному металлу деталей в сечениях:
а) нетто по соединительным болтам составных элементов, а также у свободного отверстия (рисунок Ц.1) 1,3 1,5
б) нетто у отверстия с поставленным в него высокопрочным болтом, затянутым на нормативное усилие (рисунок Ц.2) 1,1 1,3
в) брутто по первому ряду высокопрочных болтов в прикреплении фасонки к не стыкуемым в данном узле поясам сплошных балок и элементам решетчатых ферм (рисунок Ц.3) 1,3mf 1,5mf
г) то же, в прикреплении к узлу или в стыке двухстенчатых элементов, у которых:
непосредственно перекрытая часть сечения (2) составляет не менее, %: 80 общей площади сечения, в том числе при двусторонних накладках - 60 (рисунок Ц.4) 1,4mf 1,6mf
непосредственно перекрытая часть сечения (2) составляет не менее, %: 60 общей площади сечения, в том числе при двусторонних накладках - 40 (рисунок Ц.4) 1,5mf 1,7mf
д) то же, в прикреплении к узлу или в стыке с односторонними накладками двухстенчатых элементов, у которых непосредственно перекрытая часть сечения (2) составляет (рисунок Ц.5), % общей площади сечения:
60 и более 1,6mf 1,8mf
менее 60 1,7mf 1,9mf
е) то же, в прикреплении к узлу или в стыке с односторонними накладками одностенчатых элементов (рисунок Ц.6) 2,2mf 2,5mf
4. По основному металлу деталей в сечении по границе необработанного стыкового шва с усилением, имеющим плавный переход (при стыковании листов одинаковой толщины и ширины) 1,5 1,8
5. По основному металлу деталей в сечении по зоне перехода к стыковому шву, обработанному в этом месте абразивным кругом или фрезой при стыковании листов:
а) одинаковой толщины и ширины 1,0 1,0
б) разной ширины в сечении по более узкому листу 1,2 1,4
в) разной толщины в сечении по более тонкому листу 1,3 1,5
г) разной толщины и ширины в сечении по листу с меньшей площадью 1,6 1,9
6. По основному металлу элемента, прикрепляемого внахлестку, в сечении по границе лобового углового шва:
а) без механической обработки этого шва при отношении его катетов b : a 2 (при направлении большего катета b вдоль усилия) 2,3 3,2
б) то же, при отношении катетов b : a = 1,5 2,7 3,7
в) при механической обработке этого шва и отношении катетов b : a 2 1,2 1,4
г) то же, при отношении катетов b : a = 1,5 1,6 1,9
7. По основному металлу элемента, прикрепляемого внахлестку фланговыми угловыми швами, в сечениях по концам этих швов независимо от их обработки 3,4 4,4
8. По основному металлу растянутых поясов балок и элементов ферм в сечении по границе поперечного углового шва, прикрепляющего диафрагму или ребро жесткости:
а) без механической обработки шва, но при наличии плавного перехода от шва к основному металлу при сварке:
ручной 1,6 1,8
полуавтоматической под флюсом 1,3 1,5
б) при механической обработке шва фрезой 1,0 1,1
9. Сечения составных элементов из листов, соединенных непрерывными продольными швами, сваренными автоматом, при действии усилия вдоль оси шва 1,0 1,0
10. По основному металлу элементов в местах, где обрываются детали:
а) фасонки, привариваемые встык к кромкам поясов балок и ферм или втавр к стенкам и поясам балок, а также к элементам ферм, при плавной криволинейной форме и механической обработке перехода от фасонки к поясу, при полном проплавлении толщины фасонки 1,2 1,4
б) оба пояса на стенке двутаврового сечения при условии постепенного уменьшения к месту обрыва ширины и толщины пояса, присоединения стенки к поясам на концевом участке с полным проплавлением и механической обработкой перехода поясов к стенке 1,3 1,6
в) один лист пакета пояса сварной балки при уменьшении к месту обрыва толщины с уклоном не круче 1:8 и ширины листа со сведением ее на нет, с уклоном не круче 1:4 и с механической обработкой концов швов 1,2 1,4
г) накладная деталь для усиления ослабленного отверстиями сечения элемента (компенсатор ослабления) при симметричном уменьшении ее ширины со сведением на нет, с уклоном не круче 1:1 и с механической обработкой концов швов 1,2 1,4
11. По основному металлу элементов проезжей части в сечениях по крайнему ряду высокопрочных болтов в прикреплении:
а) диагонали продольных связей к нижнему поясу продольной балки, а также "рыбки" к нижнему поясу поперечной балки 1,1 1,3
б) фасонки горизонтальной диафрагмы к нижнему поясу продольной балки 1,3 1,5
в) "рыбки" к верхнему поясу продольной балки 1,6 1,8
12. По оси стыкового шва с полным проплавлением корня шва:
а) при автоматической и полуавтоматической сварке под флюсом и ручной сварке, с контролем с помощью ультразвуковой дефектоскопии (УЗД) 1,0 1,2
б) то же, без контроля УЗД 1,2 1,4
13. По расчетному сечению углового шва:
а) лобового шва, выполненного сваркой:
ручной 2,3 3,2
автоматической и полуавтоматической под флюсом 1,9 2,4
б) флангового шва 3,4 4,4
в) продольного соединительного шва составного элемента на участке его прикрепления к узлу при непосредственном перекрытии стыковыми накладками или узловыми фасонками лишь части сечения 1,5 1,7
г) продольного поясного шва балки 1,7 1,9
14. По основному металлу листа настила ортотропной плиты в зоне перехода к монтажному стыковому шву, выполненному односторонней автоматической сваркой под флюсом:
а) с наложением первого слоя ручной сваркой на флюсомедной подкладке, без механической обработки усиления 2,4 2,7
б) то же, с механической обработкой усиления с обратной стороны стыка 1,6 1,8
в) на стеклотканево-медной подкладке с применением гранулированной металлохимической присадки, без механической обработки усиления 1,5 1,65
15. По основному металлу листа настила ортотропной плиты в зоне перехода к потолочному угловому шву его монтажного соединения с поясом главной балки или фермы внахлестку:
а) выполненному ручной сваркой 6,4 7,1
б) то же, с применением монтажной полосовой вставки, привариваемой встык к кромкам ортотропных плит, прикрепляемых внахлестку к поясу балки 3,8 4,2
16. По основному металлу листа настила ортотропной плиты в зоне перехода к его монтажному стыковому соединению с поясом главной балки или фермы, выполненному односторонней автоматической сваркой под флюсом:
а) с наложением первого слоя ручной сваркой на флюсомедной подкладке, с механической обработкой усиления с обратной стороны стыка, при одинаковой толщине стыкуемых листов 1,6 1,8
б) то же, при разной толщине стыкуемых листов 1,8 2,0
в) на стеклотканево-медной подкладке с применением металлохимической присадки, без механической обработки усиления, при одинаковой толщине стыкуемых листов 1,5 1,65
г) то же, при разной толщине стыкуемых листов 1,7 1,9
17. По основному металлу в зоне узла пересечения продольного ребра ортотропной плиты с поперечной балкой в одноярусной ортотропной плите:
а) продольное ребро проходит через V-образный вырез с выкружками на концах радиусом 15 - 20 мм в стенке поперечной балки и приварено к ней с одной стороны двумя угловыми швами 2,2 2,4
б) продольное ребро проходит через вырез в стенке поперечной балки и в опорной пластинке и приварено к ней угловыми швами 1,3 1,5
в) торец продольного ребра с уширением рукавом приварен к стенке поперечной балки и его нижнему горизонтальному листу по всему контуру примыкания или в соединении продольного ребра и поперечной балки одинаковой высоты, как показано на рисунке Ц.6 2,1 2,2
(в ред. Изменения N 1, утв. Приказом Минстроя РФ от 03.12.2016 N 879/пр)
18. То же, в двухъярусной ортотропной плите:
а) тавровое продольное ребро соединяется с поперечным высокопрочными болтами через отверстия, просверленные в полке продольного и поясе поперечного ребер 1,2 1,3
б) тавровое продольное ребро соединяется с поперечным специальными прижимами 1,1 1,2
19. По основному металлу листа настила и продольных ребер ортотропной плиты по границе швов в зоне цельносварного монтажного поперечного стыка ортотропной плиты:
а) при совмещенных в одном сечении стыках листа настила и продольных ребер, без механической обработки усиления швов 2,2 2,5
б) с разнесенными от стыка листа настила стыками продольного ребра, без механической обработки усиления швов 2,2 2,4
в) с разнесенными от стыка листа настила обработанными стыками продольного ребра, с механической обработкой усиления с обратной стороны стыка листа настила 2,1 2,3
20. То же, в комбинированном стыке - сварном листа настила, болтовом в ребрах:
а) с устройством прямоугольных скругленных вырезов в продольных ребрах, без полного проплавления их концевых участков, без механической обработки усиления стыкового шва листа настила 2,8 3,1
б) с устройством обработанных полукруглых выкружек в продольных ребрах, с полным проплавлением их концевых участков, с механической обработкой усиления шва с обратной стороны стыка листа настила 2,1 2,3
в) с обрывом продольных ребер вблизи стыка листа настила и постановкой вставки между их торцами, без механической обработки усиления стыкового шва листа настила 1,9 2,1
Примечания. 1. - коэффициент, учитывающий влияние сдвигов по контактам соединяемых элементов и принимаемый по таблице Ц.3 в зависимости от числа поперечных рядов болтов n в соединении.
2. Параметр n определяется:
числом поперечных рядов болтов в прикреплении данного элемента к фасонке или стыковой накладке, когда этот элемент обрывается в данном узле (Ц.3, г, д, е);
общим числом поперечных рядов болтов в прикреплении фасонки к непрерывному элементу (Ц.3, в).

Рисунок Ц.1. Расположение проверяемого на выносливость расчетного сечения А-А по основному металлу в сечениях нетто по соединительным болтам составных элементов, а также у свободного отверстия

Рисунок Ц.2. Расположение проверяемого на выносливость расчетного сечения А-А по основному металлу в сечениях нетто у отверстия с поставленным в него высокопрочным болтом, затянутым на нормативное усилие

Рисунок Ц.3. Расположение проверяемого на выносливость расчетного сечения А-А по основному металлу в сечении брутто по первому ряду высокопрочных болтов в прикреплении фасонки к не стыкуемым в данном узле поясам сплошных балок и элементам решетчатых форм

Рисунок Ц.4. Расположение проверяемого на выносливость расчетного сечения А-А по основному металлу в сечении брутто по первому ряду высокопрочных болтов в прикреплении к узлу или в стыке двухстенчатых элементов

Рисунок Ц.5. Расположение проверяемого на выносливость расчетного сечения А-А по основному металлу в сечении брутто по первому ряду высокопрочных болтов в прикреплении к узлу или в стыке двухстенчатых элементов с односторонними накладками

Рисунок Ц.6. Расположение проверяемого на выносливость расчетного сечения А-А по основному металлу в сечении брутто по первому ряду высокопрочных болтов в прикреплении к узлу или в стыке одностенчатых элементов с односторонними накладками

Таблица Ц.2

Устройства, закрепляющие или отклоняющие стальные канаты висячих, вантовых и предварительно напряженных стальных пролетных строений Эффективный коэффициент концентрации напряжений
1. Анкеры клинового типа 1,1
2. Анкеры с заливкой конца каната в конической или цилиндрической полости корпуса сплавом цветных металлов или эпоксидным компаундом 1,3
3. Анкеры со сплющиванием концов круглых проволок, защемлением их в анкерной плите и заполнением пустот эпоксидным компаундом с наполнителем из стальной дроби 1,1
4. Отклоняющие канат устройства, в том числе стяжки и сжимы, имеющие круговое очертание ложа, скругление радиусом 5 мм у торцов (в месте выхода каната) и укороченную на 40 мм (по сравнению с длиной ложа) прижимную накладку:
при непосредственном контакте каната со стальным ложем и поперечном давлении q = N/r 1 МН/м 1,2
при контакте каната со стальным ложем через мягкую прокладку толщиной t 1 мм и поперечном давлении q = N/r 2 МН/м 1,2
5. Хомуты подвесок; стяжки и сжимы без отклонения каната при поперечном давлении:
q 1 МН/м и непосредственном контакте с канатом 1,1
q 2 МН/м и контакте с канатом через мягкую прокладку толщиной t 1 мм 1,1
Обозначения, принятые в таблице Ц.2:
N - усилие в канате, МН;
r - радиус, м, кривой изгиба каната в отклоняющем устройстве.

Таблица Ц.3

N 1 - 3 4 - 6 7 - 8 9 - 10 11 - 15 16 и более
1,00 1,05 1,12 1,16 1,20 1,23

Приложение Ш
(обязательное)

РАСЧЕТ ОРТОТРОПНОЙ ПЛИТЫ ПРОЕЗЖЕЙ ЧАСТИ ПО ПРОЧНОСТИ И УСТОЙЧИВОСТИ

Ш.1. Метод расчета ортотропной плиты должен учитывать совместную работу листа настила, подкрепляющих его ребер и главных балок.

Ш.2. Ортотропную плиту допускается условно разделять на отдельные системы - продольные и поперечные ребра с соответствующими участками листа настила (рисунок Ш.1).

1, 2, 3,..., i - номер поперечного ребра верхней плиты а - продольный разрез; б - план; в - поперечный разрез; г - ребро нижней плиты

Рисунок Ш.1. Коробчатое пролетное строение

Усилия в ортотропной плите при работе на изгиб между главными балками

Ш.3. Изгибающие моменты в продольных ребрах ортотропной плиты следует определять по формуле

, (Ш.1)

где - изгибающий момент в отдельном продольном ребре полного сечения, включающего прилегающие участки листа настила общей шириной, равной расстоянию a между продольными ребрами (см. рисунок Ш.1, в), рассматриваемом как неразрезная балка на жестких опорах; момент определяется от нагрузки, расположенной непосредственно над этим ребром;

M - изгибающий момент в опорном сечении продольного ребра при изгибе ортотропной плиты между главными балками, определяемый при загружении поверхности влияния нагрузкой, прикладываемой в узлах пересечения продольных и поперечных ребер.

Нагрузку, передаваемую с продольных ребер на узлы пересечения с поперечными ребрами, следует определять с помощью линии влияния опорной реакции неразрезной многопролетной балки на жестких опорах.

В пределах крайних третей ширины ортотропной плиты автопроезда и в ортотропной плите однопутных железнодорожных пролетных строений с ездой поверху следует принимать M = 0.

Ординаты поверхности влияния для вычисления изгибающего момента M в опорном сечении продольного ребра над "средним" поперечным ребром 1 (рисунок Ш.1, а) следует определять по формуле

, (Ш.2)

где - принимаемые по таблице Ш.1 (с умножением на l) ординаты линии влияния изгибающего момента в опорном сечении продольного ребра над "средним" поперечным ребром 1 при расположении нагрузки над поперечным ребром i;

l - пролет продольного ребра (рисунок Ш.1, б);

L - пролет поперечного ребра (рисунок Ш.1, в);

u - координата положения нагрузки от начала поперечного ребра.

Таблица Ш.1

Номер поперечного ребра i Ординаты линии влияния /l при z
0 0,1 0,2 0,5 1,0
1 0 0,0507 0,0801 0,1305 0,1757
2 0 -0,0281 -0,0400 -0,0516 -0,0521
3 0 0,0025 -0,0016 -0,0166 -0,0348
4 0 0,0003 0,0016 0,0015 0,0046
5 0 -0,0001 0 0,0014 0,0025
6 0 0 0 0,0001 0,0012
Обозначения, принятые в таблице Ш.1:
z - параметр, характеризующий изгибную жесткость ортотропной плиты и определяемый по формуле

,

где - момент инерции полного сечения продольного ребра относительно горизонтальной оси (рисунок Ш.1, в);
a - расстояние между продольными ребрами;
- момент инерции полного поперечного ребра (с прилегающим участком настила шириной 0,2L, но не более l) относительно горизонтальной оси (рисунок Ш.1, а).
Примечание. В таблице Ш.1 принята следующая нумерация поперечных ребер i: ребра 2 - 6 расположены на расстоянии l одно от другого в каждую сторону от "среднего" поперечного ребра 1 (рисунок Ш.1, а).

Ш.4. В железнодорожных пролетных строениях лист настила ортотропной плиты проезжей части следует рассчитывать на изгиб, при этом прогиб листа настила не проверяется.

При устройстве пути на балласте наибольшие значения изгибающих моментов в листе настила над продольными ребрами следует определять по формулам:

в зоне под рельсом

; (Ш.3)

в зоне по оси пролетного строения

, (Ш.4)

где v - нагрузка на единицу длины, принимаемая по К.2 Приложения К.

Расчет элементов ортотропной плиты по прочности

Ш.5. Для проверки прочности элементов ортотропной плиты необходимо получить в результате расчетов в предположении упругих деформаций стали в сечениях I, II, III и точках A, B, C, , , , указанных на рисунке Ш.1, нормальные напряжения в листе настила, продольных и поперечных ребрах, а также касательные напряжения в листе настила от изгиба ортотропной плиты между главными балками , , и совместной работы ее с главными балками пролетного строения , , .

Ш.6. Проверку прочности растянутого при изгибе ортотропной плиты крайнего нижнего волокна продольного ребра следует выполнять в зоне отрицательных моментов неразрезных главных балок в сечении I-I посередине пролета l среднего продольного ребра (рисунок Ш.1, а - точка A) по формулам:

; (Ш.5)

, (Ш.6)

где , - расчетное и нормативное сопротивления металла продольного ребра;

m - коэффициент условий работы, принимаемый по таблице 8.15;

, - коэффициенты условий работы; для автодорожных и городских мостов, а также для автодорожного проезда совмещенных мостов их следует принимать по таблице Ш.2; для железнодорожных и пешеходных мостов, а также для железнодорожного проезда совмещенных мостов ; при этом проверка по формуле (Ш.6) не выполняется;

- коэффициент влияния собственных остаточных напряжений, принимаемый = 0.9 - для крайнего нижнего волокна продольного ребра, выполненного из полосы, прокатного уголка или прокатного тавра, и = 1,1 - для продольного ребра в виде сварного тавра;

, - коэффициенты, определяемые по 8.28 и 8.26.

Таблица Ш.2

/ Значения коэффициентов и для полосовых ребер
0 0,55 1,40
0,25 0,40 1,50
0,45 0,25 1,60
0,65 0,13 1,60
Примечание. Коэффициенты и для промежуточных значений / следует определять линейной интерполяцией.

Ш.7. Проверку прочности сжатого при местном изгибе ортотропной плиты крайнего нижнего волокна продольного ребра следует выполнять в зоне положительных моментов неразрезных главных балок в опорном сечении II-III среднего продольного ребра (рисунок Ш.1, а - точка B) по формуле

, (Ш.7)

где , - коэффициенты, определяемые по 8.28 и 8.26;

- коэффициент влияния собственных остаточных напряжений, принимаемый = 1,1 - для крайнего нижнего волокна ребра, выполненного из полосы, прокатного уголка или прокатного тавра, и = 0,9 - для ребра в виде сварного тавра;

m - коэффициент условий работы, принимаемый по таблице 8.15.

Ш.8. Проверку прочности крайнего нижнего волокна поперечной балки следует выполнять в сечении III-III посередине ее пролета (рисунок Ш.1, в - точка C) по формуле

, (Ш.8)

где - коэффициент, определяемый по формулам (8.6) и (8.7);

m - коэффициент условий работы, принимаемый по таблице 8.15.

Ш.9. Расчет по прочности листа настила следует выполнять в точках , , (см. рисунок Ш.1, б) по формулам:

, (Ш.9)

где ; ; ;

m - коэффициент условий работы, принимаемый по таблице 8.15;

- коэффициент, равный 1,15 при = 0 или 1,10 при ;

- коэффициент условий работы, принимаемый равным 1,05 - при проверке прочности листа настила в точке ортотропной плиты автодорожных и городских мостов и 1,0 - во всех остальных случаях.

При выполнении данной проверки допускается принимать в качестве расчетных загружения, при которых достигает максимального значения одно из действующих в данной точке ортотропной плиты напряжений , или .

Расчет элементов ортотропной плиты по устойчивости

Ш.10. Местная устойчивость листа настила между продольными ребрами, продольных полосовых ребер, свесов поясов тавровых продольных и поперечных ребер должна быть обеспечена согласно 8.45 и 8.47, а стенки тавровых ребер - согласно Приложению Х. При этом следует выбирать наиболее невыгодную комбинацию напряжений от изгиба ортотропной плиты между главными балками и совместной ее работы с главными балками пролетного строения.

Ш.11. Общая устойчивость листа настила, подкрепленного продольными ребрами, должна быть обеспечена поперечными ребрами.

Момент инерции поперечных ребер (по Ш.3) сжатой (сжато-изогнутой) ортотропной плиты следует определять по формуле

, (Ш.11)

где - коэффициент, определяемый по таблице Ш.3;

- коэффициент, принимаемый равным: 0,055 при k = 1; 0,15 при k = 2; 0,20 при k 3;

k - число продольных ребер рассчитываемой ортотропной плиты;

L - расстояние между стенками главных балок или центрами узлов геометрически неизменяемых поперечных связей;

l - расстояние между поперечными ребрами;

- момент инерции полного сечения продольного ребра (по Ш.3);

- действующие напряжения в листе настила от совместной работы ортотропной плиты с главными балками пролетного строения, вычисленные в предположении упругих деформаций стали;

- напряжение, вычисленное по таблице 8.23 по значению .

Таблица Ш.3

0 0,1 0,2 0,3 0,4 0,5 0,6 0,7 0,8 0,9 0,95 1,0
0 0,016 0,053 0,115 0,205 0,320 0,462 0,646 0,872 1,192 1,470 2,025

Допускается также определять по следующей формуле

. (Ш.12)

Примечание. Коэффициент определяется по формуле , где следует находить по таблице Ш.4 в Ш.12 при .

Для сжатой ортотропной плиты, не воспринимающей местной нагрузки, в формуле (Ш.11) коэффициент следует принимать равным 2,025, что обеспечивает равенство расчетной длины продольных ребер расстоянию между поперечными ребрами l.

Ш.12. Расчет по общей устойчивости ортотропной плиты в целом (сжатой и сжато-изогнутой) при обеспечении условия (Ш.11) следует выполнять по формуле

, (Ш.13)

где - см. Ш.11;

- коэффициент продольного изгиба, принимаемый по таблице Ш.4 в зависимости от гибкости ;

m - коэффициент условий работы, принимаемый по таблице 8.15 в 8.19.

Таблица Ш.4

Гибкость , Коэффициент для классов прочности стали
С235 С325 - С345 С390
0 1,00 1,00 1,00
41 1,00 1,00 1,00
44 1,00 1,00 0,96
50 1,00 0,92 0,88
53 1,00 0,87 0,83
60 0,95 0,76 0,72
70 0,83 0,64 0,59
80 0,73 0,56 0,49
90 0,64 0,50 0,43
100 0,59 0,44 0,38
110 0,53 0,39 0,33
120 0,47 0,34 0,28
130 0,41 0,30 0,25
140 0,36 0,26 0,22
150 0,32 0,23 0,20
160 0,29 0,21 0,17
170 0,26 0,19 0,16
180 0,23 0,17 0,14
190 0,21 0,15 0,13
200 0,20 0,14 0,11

Гибкость следует определять по формуле

, (Ш.14)

где - расчетная (свободная) длина продольных ребер, определяемая из выражения . Коэффициент находят из таблицы Ш.3 по значению

; (Ш.15)

, и l - см. Ш.3;

a - расстояние между продольными ребрами;

- толщина листа настила;

- коэффициент, принимаемый равным 1,0 - для ортотропной плиты нижнего пояса и по таблице Ш.5 - для плиты верхнего пояса коробчатых главных балок;

A - площадь полного сечения продольного ребра;

- (здесь - момент инерции полного сечения продольного ребра при чистом кручении).

Таблица Ш.5

f/i Коэффициент
0 1,00
0,01 0,75
0,05 0,70
0,10 0,66
Примечание. f - прогиб продольного ребра между поперечными ребрами; i - радиус инерции полного сечения продольного ребра.

Сжато-изогнутую ортотропную плиту железнодорожных мостов на общую устойчивость следует проверять по формуле (8.35), принимая гибкость по формуле (Ш.14) при = 1,0 .

Ш.13. Тавровые продольные ребра (рисунок Ш.1, в, г) сжатой ортотропной плиты нижнего пояса коробчатых главных балок при изгибно-крутильной форме потери устойчивости следует рассчитывать по формуле (Ш.13), принимая коэффициент продольного изгиба в зависимости от гибкости .

Гибкость следует определять по формуле

, (Ш.16)

где ;

l - см. Ш.3;

- высота стенки ребра толщиной (рисунок Ш.1, г);

e - расстояние от центра тяжести полки шириной , толщиной до центра тяжести таврового продольного ребра (рисунок Ш.1, г);

, - соответственно момент инерции сечения таврового продольного ребра относительно горизонтальной оси y и вертикальной оси z;

; (Ш.17)
; (Ш.18)
. (Ш.19)

Для обеспечения местной устойчивости элементов таврового сечения продольного ребра толщина полки и стенки должна удовлетворять требованиям 8.45:

при продольное ребро полного сечения следует считать двутавром;

при = 0 продольное ребро полного сечения следует считать тавром;

при требования к толщине стенки определяются по линейной интерполяции между нормами для двутавра и тавра .

Приложение Щ
(обязательное)

УЧЕТ ПОЛЗУЧЕСТИ, ВИБРОПОЛЗУЧЕСТИ БЕТОНА И ОБЖАТИЯ ПОПЕРЕЧНЫХ ШВОВ В СТАЛЕЖЕЛЕЗОБЕТОННЫХ КОНСТРУКЦИЯХ

Щ.1. При учете ползучести бетона в статически определимых конструкциях необходимо определить уравновешенные в пределах поперечного сечения (далее - внутренние) напряжения и соответствующие деформации.

Для конструкции, состоящей из стальной балки со сплошной стенкой и объединенной с ней в уровне проезда железобетонной плиты (рисунок Щ.1), внутренние напряжения от ползучести бетона в общем случае надлежит определять по следующим формулам:

на уровне центра тяжести бетонной части сечения (растяжение)

; (Щ.1)

в крайней фибре нижнего пояса стальной балки (растяжение или сжатие)

; (Щ.2)

в крайней фибре верхнего пояса стальной балки (сжатие)

; (Щ.3)

в стержнях крайнего ряда ненапрягаемой арматуры плиты при (сжатие)

; (Щ.4)

потери предварительного напряжения напрягаемой арматуры (сжатие)

; (Щ.5)

в крайней фибре бетона (растяжение)

. (Щ.6)

Рисунок Щ.1. Эпюры относительных деформаций и внутренних напряжений от ползучести бетона

Относительные деформации от ползучести бетона в уровне центра тяжести его сечения (рисунок Щ.1) надлежит вычислять по следующим формулам:

относительные деформации, отвечающие напряжениям в стальной части сечения

; (Щ.7)

относительные деформации, отвечающие напряжениям в бетонной части сечения

. (Щ.8)

В формулах (Щ.1) - (Щ.8):

, , v - параметры, связанные с податливостью бетонной и стальной частей сечения и определяемые из выражений:

; (Щ.9)
; (Щ.10)
; (Щ.11)

- предельная характеристика ползучести бетона;

- принимается по таблице 10.4;

- нормативная деформация ползучести бетона, определяемая по 7.15 и Приложению Р при уточнении с учетом Приложения Т;

, - начальное напряжение сжатия соответственно на уровне центра тяжести сечения и в крайней фибре бетона от постоянных нагрузок и воздействий;

- условное напряжение в уровне крайней фибры бетона, определяемое из выражения

; (Щ.12)

, , , , - соответственно площадь, момент инерции, моменты сопротивления нижнего и верхнего поясов балки и крайнего ряда арматуры брутто стальной части сечения, включая арматуру;

- коэффициент приведения по 9.16.

Остальные обозначения соответствуют 9.5 и 9.19 и рисунку Щ.1.

Щ.2. Ползучесть бетона допускается учитывать введением в расчет условного модуля упругости бетона , если в статически определимой конструкции все постоянные нагрузки, вызывающие напряжение в бетоне, прикладываются в одной стадии и при одной и той же схеме работы. Модуль следует определять по формуле

, (Щ.13)

где v, - см. Щ.1.

Внутренние напряжения от ползучести бетона для i-й фибры сечения следует вычислять по формуле

, (Щ.14)

где , - напряжения от постоянных нагрузок, полученные при модуле упругости бетона соответственно и .

Щ.3. При учете ползучести бетона в статически неопределимых конструкциях необходимо определить внутренние напряжения и внешние силовые факторы (опорные реакции, изгибающие моменты и пр.), а также соответствующие деформации.

Внутренние напряжения и внешние силовые факторы допускается вычислять методом последовательных приближений, принимая усилия и в центре тяжести бетонной части сечения за нагрузки (здесь и принимаются по Щ.1).

При этом, выполняя расчет методом сил, бетонную часть сечения надлежит учитывать следующим образом: с модулем (см. Щ.2) - при определении основных и побочных перемещений; с модулем - при определении напряжений в центре тяжести бетона от внешних силовых факторов, вызванных ползучестью. Выраженные через значения предельной характеристики ползучести, используемые для определения и при последовательных приближениях, приведены в таблице Щ.1.

Таблица Щ.1

Номер приближения Значение предельной характеристики ползучести бетона при вычислении
напряжений от ползучести бетона на уровне центра тяжести бетонной части сечения основных и побочных перемещений
1 0,5
2 0,5 0,38
3 0,38 0.32

Щ.4. Прогибы конструкции от ползучести бетона следует определять, рассматривая стальную часть сечения под действием сил , приложенных в уровне центра тяжести сечения бетона. Для статически определимых конструкций имеет место равенство ; для статически неопределимых систем равно сумме внутренних напряжений и напряжений от внешних силовых факторов, вызванных ползучестью.

Щ.5. Деформации обжатия замоноличенных бетоном поперечных швов сборной железобетонной плиты необходимо учитывать в расчетах, если продольная арматура плиты не состыкована в швах и при этом плита не имеет предварительного напряжения в продольном направлении.

Деформации обжатия поперечных швов следует учитывать введением в выражения для , , (см. Щ.1 и Щ.2) обобщенной характеристики ползучести бетона и обжатия поперечных швов , определяемой по формуле

, (Щ.15)

где L - длина сжатой постоянными нагрузками и воздействиями железобетонной плиты;

- суммарная деформация обжатия поперечных швов, расположенных на длине L;

- принимается по Щ.1;

, - принимаются по 7.24 и 7.32.

При отсутствии опытных данных величину , см, допускается вычислять по формуле

, (Щ.16)

где - ширина шва (зазор между торцами сборных плит).

Щ.6. Учет виброползучести бетона следует выполнять введением в расчет условного модуля упругости бетона , вычисляемого по Щ.2, с заменой на , определяемой по формуле

, (Щ.17)

где - характеристика цикла начальных напряжений в бетоне, определенных без учета виброползучести и ползучести;

, - принимаются по Щ.1.

Приложение Э
(обязательное)

ОПРЕДЕЛЕНИЕ НАПРЯЖЕНИЙ В СТАЛЕЖЕЛЕЗОБЕТОННЫХ БАЛКАХ ОТ УСАДКИ БЕТОНА И ТЕМПЕРАТУРНЫХ ВОЗДЕЙСТВИЙ

Э.1. Напряжения в стали и бетоне для статически определимой конструкции, состоящей из стальной балки со сплошной стенкой и объединенной с ней в уровне проезда железобетонной плиты, надлежит определять по формулам:

а) от усадки бетона

, (Э.1)

где , - приведенные к стали площадь и момент инерции брутто поперечного сечения сталежелезобетонной балки при модуле упругости бетона , определяемом по 9.9;

- площадь стальной части сечения, включая арматуру железобетонной плиты;

;

- расстояние от центра тяжести до центра тяжести ;

Z - расстояние от центра тяжести до фибры, где определяется (положительное направление оси Z принято вниз);

= 0 , = 1 - при определении напряжений соответственно в бетоне и в стали;

E - следует принимать равным при определении напряжений:

в бетоне - ;

в стальной балке - ;

в ненапрягаемой арматуре - ;

в напрягаемой арматуре - ;

- предельная относительная деформация усадки бетона, принимаемая по 9.9;

б) от температурных воздействий

, (Э.2)

где - коэффициент линейного расширения стали и бетона;

;

- принимается по таблице 6.14;

- принимается по 9.10;

E - равно , , , при определении напряжений соответственно в бетоне, стальной балке, ненапрягаемой и напрягаемой арматуре;

, - приведенные к стали площадь и момент инерции брутто поперечного сечения сталежелезобетонной балки;

Z - расстояние от центра тяжести до фибры, где определяется .

В случаях повышения или понижения температуры стальной части конструкции в формуле (Э.2) следует принимать:

; (Э.3)

; (Э.4)

,

где - площадь стальных вертикальных элементов (стенки, вертикальных полок поясных уголков, ламелей);

- площадь стальных горизонтальных элементов нижнего пояса.

В случае повышения температуры железобетонной плиты в формуле (Э.2) следует принимать:

; (Э.5)
; (Э.6)

,

где , , см, принимаются по 9.15.

Величины и , относящиеся к i-й точке сечения, в которой определяются напряжения, следует принимать по 9.10.

Остальные обозначения, принятые в формулах (Э.3) - (Э.6), соответствуют 9.5 и рисунку 9.1.

Э.2. При расчете статически неопределимых систем на температурные воздействия и усадку бетона геометрические характеристики сечения следует принимать по Э.1.

Приложение Ю
(обязательное)

РАСПРЕДЕЛЕНИЕ СДВИГАЮЩИХ УСИЛИЙ ПО ШВУ ОБЪЕДИНЕНИЯ ЖЕЛЕЗОБЕТОННОЙ ПЛИТЫ И СТАЛЬНОЙ КОНСТРУКЦИИ В СЛОЖНЫХ СЛУЧАЯХ ВОЗДЕЙСТВИЙ

Ю.1. Распределение концевого сдвигающего усилия следует принимать по несимметричной треугольной эпюре с длиной основания (см. рисунок Ю.1).

Условные обозначения:

максимальные значения  
   
- - - - - - - - - - - - - - - - - - - - - - - - - - - - - - - минимальные "  
I, II, III, IV - расчетная длина участков    
     

Рисунок Ю.1. Эпюры погонных сдвигающих сил между железобетонной и стальной частями

При этом:

; (Ю.1)
, (Ю.2)

где , - интенсивность погонных сдвигающих сил в соответствии с рисунком Ю.1;

, - принимаются по 9.28 и 9.29.

Ю.2. При распределении околоопорного сдвигающего усилия от поперечных сил следует принимать, что интенсивность соответствующих погонных сдвигающих сил изменяется в обе стороны по прямолинейной эпюре от середины длины околоопорного участка (рисунок Ю.1); при этом ордината в середине околоопорного участка равна

. (Ю.3)

Ю.3. Распределение местных сосредоточенных сдвигающих усилий (от заанкеривания высокопрочной арматуры, примыкания ванты или раскоса и т.д.) в удаленных от конца плиты зонах следует принимать по симметричной треугольной эпюре с длиной основания (рисунок Ю.1).

Ю.4. При определении сдвигающих усилий длины расчетных участков следует принимать (рисунок Ю.1):

;

- для концевых участков и в местах приложения сосредоточенных сил, а также в местах, примыкающих к указанному участку;

; - на остальной длине пролетного строения соответственно в крайней и средней четвертях пролета.

Приложение Я
(обязательное)

РАСЧЕТЫ ПО ПРОЧНОСТИ ОБЪЕДИНЕНИЯ ЖЕЛЕЗОБЕТОНА И СТАЛИ ГИБКИМИ УПОРАМИ И АНКЕРАМИ

Я.1. Сдвигающее усилие , приходящееся на один гибкий упор, должно отвечать следующим условиям прочности:

для гибких упоров в виде прокатных швеллеров, двутавров, уголков без подкрепляющих ребер

; (Я.1)

для гибких упоров в виде круглых стержней при 2,5 < l/d 4,2

; (Я.2)

для гибких упоров в виде круглых стержней при l/d > 4,2

. (Я.3)

Для гибких упоров в виде круглых стержней должно быть, кроме того, выполнено условие

. (Я.4)

В формулах (Я.1) - (Я.4):

- сумма радиуса закругления и наибольшей толщины полки прокатного профиля, см;

- толщина стенки прокатного профиля, см;

l - длина круглого стержня гибкого упора, см;

d - диаметр стержня гибкого упора или анкера, см;

- ширина площади смятия бетона упором, см;

, , m - принимаются согласно 9.19.

Я.2. Сдвигающее усилие , приходящееся на один наклонный анкер из арматурной стали круглого сечения (гладкого или периодического профиля) или на одну ветвь петлевого анкера, должно отвечать следующим условиям:

; (Я.5)

, (Я.6)

где - площадь поперечного сечения стержня анкера или ветви анкера, см2;

- угол наклона анкера к поверхности стальной конструкции.

Для анкеров, разведенных в плане, в формулы (Я.5) и (Я.6) вместо следует подставлять произведение , где - угол между горизонтальной проекцией анкера и направлением действия сдвигающей силы.

Сдвигающее усилие, воспринимаемое сжатыми наклонными анкерами, не должно превышать 25% полного сдвигающего усилия, действующего на рассчитываемом участке.

Я.3. При объединении железобетонной части со стальной с помощью наклонных анкеров из полосовой стали толщиной от 8 до 20 мм и шириной от 20 до 80 мм сдвигающее усилие , приходящееся на один анкер или одну ветвь петлевого анкера, следует проверять по формуле (Я.5), заменяя выражением (где - в см).

Я.4. Если наклонные или вертикальные анкеры находятся в высоком железобетонном ребре и используются для воспринятия в нем главных растягивающих напряжений, растягивающие усилия в наклонных анкерах следует определять как в арматурных отгибах обычного железобетона, а в вертикальных анкерах - аналогично усилиям в хомутах обычного железобетона. Допускается достаточность сечения анкера для воспринятия этого растягивающего усилия и сдвигающей силы между железобетоном и сталью проверять независимо и усилия не суммировать.

Приложение 1
(обязательное)

РАСЧЕТЫ ПО ПРОЧНОСТИ ОБЪЕДИНЕНИЯ ЖЕЛЕЗОБЕТОНА И СТАЛИ ВЫСОКОПРОЧНЫМИ БОЛТАМИ, ОБЖИМАЮЩИМИ ЖЕЛЕЗОБЕТОН

1.1. Усилие натяжения высокопрочного болта следует определять по формуле

, (1.1)

где - контролируемое усилие натяжения болта;

- потери усилий натяжения от усадки и ползучести бетона плиты и слоя раствора под плитой.

При конструкции болтового объединения по рисунку 1.1 потери допускается определять по формуле

, (1.2)

где t 50 см - суммарная толщина плиты и слоя раствора по оси отверстия.

1 - высокопрочный болт диаметром 22 или 24 мм;

2 - отверстие в бетоне диаметром 50 мм;

3 - арматурный каркас из стержней периодического профиля диаметром 10 мм; 4 - распределительная подкладка размерами 100 x 100 x 16 для болтов диаметром 22 мм и 100 x 100 x 20 для болтов диаметром 24 мм

Рисунок 1.1. Конструкция болтового объединения

1.2. Во фрикционном соединении железобетонной плиты со стальным поясом (через слой цементно-песчаного раствора или при непосредственном контакте) при условии очистки пояса сдвигающее усилие, приходящееся на один высокопрочный болт, должно отвечать условию

, (1.3)

где - усилие натяжения высокопрочного болта, принимаемое по 1.1 настоящего приложения;

k = 1,3 - коэффициент безопасности;

f - коэффициент трения, принимаемый равным:

0,60 - при омоноличивании шва цементно-песчаным раствором или при плите из монолитного железобетона;

0,45 - при непосредственном контакте сборного железобетона со сталью.

Приложение 2
(обязательное)

РАСЧЕТНОЕ СОПРОТИВЛЕНИЕ ГРУНТОВ ОСНОВАНИЯ ОСЕВОМУ СЖАТИЮ

2.1. Расчетное сопротивление основания из нескального грунта осевому сжатию R, кПа, под подошвой фундамента мелкого заложения или фундамента из опускного колодца следует определять по формуле

, (2.1)

где - условное сопротивление грунта, кПа, принимаемое по таблицам 2.1 - 2.3 настоящего приложения;

b - ширина (меньшая сторона или диаметр) подошвы фундамента, м; при ширине более 6 м принимается b = 6 м;

d - глубина заложения фундамента, м, принимаемая по 2.2 настоящего приложения;

- осредненное по слоям расчетное значение удельного веса грунта, расположенного выше подошвы фундамента, вычисленное без учета взвешивающего действия воды; допускается принимать = 19,62 kH/куб. м;

, - коэффициенты, принимаемые по таблице 2.4 настоящего приложения.

Таблица 2.1

Грунты Коэффициент пористости e Условное сопротивление пылевато-глинистых (непросадочных) грунтов основания, кПа, в зависимости от показателя текучести
0 0,1 0,2 0,3 0,4 0,5 0,6
Супеси при 5 0,5 343 294 245 196 147 98 -
0,7 294 245 196 147 98 - -
Суглинки при 10 15 0,5 392 343 294 245 196 147 98
0,7 343 294 245 196 147 98 -
1,0 294 245 196 147 98 - -
Глины при 20 0,5 588 441 343 294 245 196 147
0,6 490 343 294 245 196 147 98
0,8 392 294 245 196 147 98 -
1,1 294 245 196 147 98 - -
Примечания. 1. Для промежуточных значений и e определяются по интерполяции.
2. При значениях числа пластичности в пределах 5 - 10 и 15 - 20 следует принимать средние значения , приведенные в таблице 2.1 соответственно для супесей, суглинков и глин.

Таблица 2.2

Песчаные грунты и их влажность Условное сопротивление песчаных грунтов средней плотности в основаниях, кПа
Гравелистые и крупные независимо от их влажности 343
Средней крупности:
маловлажные 294
влажные и насыщенные водой 245
Мелкие:
маловлажные 196
влажные и насыщенные водой 147
Пылеватые:
маловлажные 196
влажные 147
насыщенные водой 98
Примечание. Для плотных песков приведенные значения следует увеличивать на 100%, если их плотность определена статическим зондированием, и на 60%, если их плотность определена по результатам лабораторных испытаний грунтов.

Таблица 2.3

Грунт Условное сопротивление крупнообломочных грунтов в основаниях, кПа
Галечниковый (щебенистый) из обломков пород:
кристаллических 1470
осадочных 980
Гравийный (дресвяный) из обломков пород:
кристаллических 785
осадочных 490
Примечание. Приведенные в таблице 2.3 условные сопротивления даны для крупнообломочных грунтов с песчаным заполнителем. Если в крупнообломочном грунте содержится свыше 40% глинистого заполнителя, то значения для такого грунта должны приниматься по таблице 2.1 в зависимости от , и e заполнителя.

Таблица 2.4

Грунт Коэффициенты
,
Гравий, галька, песок гравелистый крупный и средней крупности 0,10 3,0
Песок мелкий 0,08 2,5
Песок пылеватый, супесь 0,06 2,0
Суглинок и глина твердые и полутвердые 0,04 2,0
Суглинок и глина тугопластичные и мягкопластичные 0,02 1,5

Величину условного сопротивления для твердых супесей, суглинков и глин < 0 следует определять по формуле

(2.2)

и принимать, кПа: для супесей - не более 981; для суглинков - 1962; для глин - 2943,

где - предел прочности на одноосное сжатие образцов глинистого грунта природной влажности.

Расчетное сопротивление осевому сжатию оснований из невыветрелых скальных грунтов R, кПа, следует определять по формуле

, (2.3)

где - коэффициент надежности по грунту, принимаемый равным 1,4;

- предел прочности на одноосное сжатие образцов скального грунта, кПа.

Если основания состоят из однородных по глубине слабовыветрелых, выветрелых или сильновыветрелых скальных грунтов, их расчетное сопротивление осевому сжатию следует определять, пользуясь результатами статических испытаний грунтов штампом. При отсутствии таких результатов допускается значение R принимать для слабовыветрелых и выветрелых скальных грунтов - по формуле (2.3), принимая значение с понижающим коэффициентом, равным соответственно 0,6 и 0,3; для сильновыветрелых скальных грунтов - по формуле (2.1) и таблице 2.3 как для крупнообломочных грунтов.

2.2. При определении расчетного сопротивления оснований из нескальных грунтов по формуле (2.1) заглубление фундамента мелкого заложения или фундамента из опускного колодца следует принимать:

а) для промежуточных опор мостов - от поверхности грунта у опоры на уровне срезки в пределах контура фундамента, а в русле рек - от дна водотока у опоры после понижения его уровня на глубину общего и половину местного размыва грунта при расчетном расходе (см. 5.25 - 5.30);

б) для обсыпных устоев - от естественной поверхности грунта с увеличением на половину высоты конуса насыпи у передней грани фундамента по оси моста;

в) для труб замкнутого контура - от естественной поверхности грунта с увеличением на половину минимальной высоты насыпи у рассматриваемого звена;

г) для труб незамкнутого контура - от низа лотка или обреза фундамента.

2.3. Расчетные сопротивления, вычисленные по формуле (2.1) для глин или суглинков в основаниях фундаментов мостов, расположенных в пределах постоянных водотоков, следует повышать на величину, равную 14,7, кПа, где - глубина воды, м, от наинизшего уровня межени до уровня, принимаемого по 2.2, а.

Приложение 3
(обязательное)

МЕТОДИКА ПРОВЕРКИ НЕСУЩЕЙ СПОСОБНОСТИ ПО ГРУНТУ ФУНДАМЕНТА ИЗ СВАЙ ИЛИ ОПУСКНОГО КОЛОДЦА КАК УСЛОВНОГО ФУНДАМЕНТА МЕЛКОГО ЗАЛОЖЕНИЯ

Условный фундамент следует принимать в форме прямоугольного параллелепипеда. Его размеры для свайного фундамента с заглубленным в грунт ростверком необходимо определять по рисункам 3.1 и 3.2, с расположенным над грунтом ростверком - по рисункам 3.3 и 3.4, для фундамента из опускного колодца - по рисунку 3.5.

Рисунок 3.1. Условный свайный фундамент с ростверком, заглубленным в грунт, при угле наклона свай менее /4

Рисунок 3.2. Условный свайный фундамент с ростверком, заглубленным в грунт, при угле наклона свай более /4

Рисунок 3.3. Условный свайный фундамент с ростверком, расположенным над грунтом, при угле наклона свай менее /4

Рисунок 3.4. Условный свайный фундамент с ростверком, расположенным над грунтом, при угле наклона свай более /4

а - без уступов; б - с уступами

Рисунок 3.5. Условный фундамент из опускного колодца

Приведенное на рисунках 3.1 - 3.5 среднее значение расчетных углов трения грунтов , прорезанных сваями, следует определять по формуле

, (3.1)

где - расчетный угол внутреннего трения i-го слоя грунта, расположенного в пределах глубины погружения свай в грунт;

- толщина этого слоя, м;

d - глубина погружения свай в грунт от подошвы ростверка или расчетной поверхности грунта, м, положение которой следует принимать согласно 11.10.

Несущую способность основания условного фундамента проверяют согласно 11.8, при этом подлежащие проверке среднее p, кПа, и максимальное , кПа, давления на грунт в сечении 3-4 по подошве условного фундамента (рисунки 3.1 - 3.5) следует определять по формулам:

; (3.2)
, (3.3)

где - нормальная составляющая давления условного фундамента на грунт основания, кН, определяемая с учетом веса грунтового массива 1-2-3-4 вместе с заключенными в нем ростверком и сваями или опускным колодцем;

, - соответственно горизонтальная составляющая внешней нагрузки, кН, и ее момент относительно главной оси горизонтального сечения условного фундамента в уровне расчетной поверхности грунта, кН·м, принимаемой по указаниям 11.10;

- глубина заложения условного фундамента по отношению к расчетной поверхности грунта, м (рисунки 3.1 - 3.5);

, - размеры в плане условного фундамента в направлении, параллельном плоскости действия нагрузки и перпендикулярном ей, м;

k - коэффициент пропорциональности, определяющий нарастание с глубиной коэффициента постели грунта, расположенного выше подошвы фундамента, и принимаемый по таблице 3.1;

- коэффициент постели грунта в уровне подошвы условного фундамента, кН/м3, определяемый по формулам:

при = 10k;

при .

Таблица 3.1

Грунт Коэффициент k, кН/м4
Текучепластичные глины и суглинки (0,75 < 1) 490 - 1960
Мягкопластичные глины и суглинки (0,5 < 0,75); пластичные супеси (0 1); пылеватые пески (0,6 e 0,8) 1961 - 3920
Тугопластичные и полутвердые глины и суглинки (0 0,5); твердые супеси ( < 0); пески мелкие (0,6 e 0,75) и средней крупности (0,55 e 0,7) 3921 - 5880
Твердые глины и суглинки ( < 0); пески крупные (0,55 e 0,7) 5881 - 9800
Пески гравелистые (0,55 e 0,7) и галька с песчаным заполнителем 9801 - 19600

Приложение 4
(обязательное)

МЕТОДИКА ПРОВЕРКИ НЕСУЩЕЙ СПОСОБНОСТИ ПОДСТИЛАЮЩЕГО СЛОЯ ГРУНТА

Проверку несущей способности подстилающего слоя грунта следует производить исходя из условия

, (4.1)

где p - среднее давление на грунт, действующее под подошвой условного фундамента мелкого заложения, кПа;

- среднее (по слоям) значение расчетного удельного веса грунта, расположенного над кровлей проверяемого подстилающего слоя грунта; допускается принимать = 19.62 кН/куб. м;

d - заглубление подошвы фундамента мелкого заложения от расчетной поверхности грунта, м, принимаемое согласно Приложению 2;

- расстояние от подошвы фундамента до поверхности проверяемого подстилающего слоя грунта, м;

- коэффициент, принимаемый по таблице 4.1 настоящего приложения;

R - расчетное сопротивление подстилающего грунта, кПа, определяемое по формуле (2.1) Приложения 2 для глубины расположения кровли проверяемого слоя грунта;

- коэффициент надежности по назначению сооружения, принимаемый равным 1,4.

Таблица 4.1

Коэффициент
для круглого в плане фундамента для прямоугольного в плане фундамента в зависимости от отношения сторон его подошвы a/b
1 1,2 1,4 1,6 1,8 2,0 2,4 2,8 3,2 4 5 10 и более
0 1,000 1,000 1,000 1,000 1,000 1,000 1,000 1,000 1,000 1,000 1,000 1,000 1,000
0,2 0,949 0,960 0,968 0,972 0,974 0,975 0,976 0,976 0,977 0,977 0,977 0,977 0,977
0,4 0,756 0,800 0,830 0,848 0,859 0,866 0,870 0,875 0,872 0,879 0,880 0,881 0,881
0,6 0,547 0,606 0,651 0,682 0,703 0,717 0,727 0,757 0,746 0,749 0,753 0,754 0,755
0,8 0,390 0,449 0,496 0,532 0,558 0,578 0,593 0,612 0,623 0,630 0,636 0,639 0,642
1,0 0,285 0,334 0,378 0,414 0,441 0,463 0,482 0,505 0,520 0,529 0,540 0,545 0,550
1,2 0,214 0,257 0,294 0,325 0,352 0,374 0,392 0,419 0,437 0,449 0,462 0,470 0,477
1,4 0,165 0,201 0,232 0,260 0,284 0,304 0,321 0,350 0,369 0,383 0,400 0,410 0,420
1,6 0,130 0,160 0,187 0,210 0,232 0,251 0,267 0,294 0,314 0,329 0,348 0,360 0,374
1,8 0,106 0,130 0,153 0,173 0,191 0,209 0,224 0,250 0,270 0,285 0,305 0,320 0,337
2,0 0,087 0,108 0,127 0,145 0,161 0,176 0,189 0,214 0,233 0,241 0,270 0,285 0,304
2,2 0,073 0,090 0,107 0,122 0,137 0,150 0,163 0,185 0,208 0,218 0,239 0,256 0,280
2,4 0,062 0,077 0,092 0,105 0,118 0,130 0,141 0,161 0,178 0,192 0,213 0,230 0,258
2,6 0,053 0,066 0,079 0,091 0,102 0,112 0,123 0,141 0,157 0,170 0,191 0,208 0,239
2,8 0,046 0,058 0,069 0,079 0,089 0,099 0,108 0,124 0,139 0,152 0,172 0,189 0,228
3,0 0,040 0,051 0,060 0,070 0,078 0,087 0,095 0,110 0,124 0,136 0,155 0,172 0,208
3,2 0,036 0,045 0,053 0,062 0,070 0,077 0,085 0,098 0,111 0,122 0,141 0,158 0,190
3,4 0,032 0,040 0,048 0,055 0,062 0,069 0,076 0,088 0,100 0,110 0,128 0,144 0,184
3,6 0,028 0,036 0,042 0,049 0,056 0,062 0,068 0,080 0,090 0,100 0,117 0,133 0,175
3,8 0,024 0,032 0,038 0,044 0,050 0,056 0,062 0,072 0,082 0,091 0,107 0,123 0,166
4,0 0,022 0,029 0,035 0,040 0,046 0,051 0,056 0,066 0,075 0,084 0,095 0,113 0,158
4,2 0,021 0,026 0,031 0,037 0,042 0,048 0,051 0,060 0,069 0,077 0,091 0,105 0,150
4,4 0,019 0,024 0,029 0,034 0,038 0,042 0,047 0,055 0,063 0,070 0,084 0,098 0,144
4,6 0,018 0,022 0,026 0,031 0,035 0,039 0,043 0,051 0,058 0,065 0,078 0,091 0,137
4,8 0,016 0,020 0,024 0,028 0,032 0,036 0,040 0,047 0,054 0,060 0,072 0,085 0,132
5,0 0,015 0,019 0,022 0,026 0,030 0,033 0,037 0,044 0,050 0,056 0,067 0,079 0,126

Значение коэффициента принимается по таблице 4.1 настоящего приложения в зависимости от отношения для круглого и от отношений и a/b для прямоугольного в плане фундаментов. Здесь a - большая сторона прямоугольного в плане фундамента, b - меньшая его сторона или диаметр круглого в плане фундамента.

Проверку несущей способности подстилающего слоя грунта под фундаментом из свай или из опускного колодца следует производить как под условным фундаментом размерами, принимаемыми согласно Приложению 3.

Приложение 5
(обязательное)

МЕТОДИКА ОПРЕДЕЛЕНИЯ ДОПОЛНИТЕЛЬНЫХ ДАВЛЕНИЙ НА ОСНОВАНИЕ УСТОЯ ОТ ВЕСА ПРИМЫКАЮЩЕЙ ЧАСТИ ПОДХОДНОЙ НАСЫПИ

5.1. Дополнительное давление на грунты основания под задней гранью устоя (в уровне подошвы фундамента) от веса подходной насыпи (рисунок 5.1) , кПа, следует определять по формуле

. (5.1)

1 - передняя грань; 2 - задняя грань

Рисунок 5.1. Дополнительные давления от веса подходной насыпи на грунты основания обсыпного устоя

Для обсыпного устоя дополнительное давление на грунты основания под передней гранью устоя от веса конуса устоя , кПа, следует определять по формуле

. (5.2)

Давления и следует определять суммированием по соответствующим граням фундамента давления от расчетных нагрузок с добавлением и .

В формулах (5.1) и (5.2):

- расчетный удельный вес насыпного грунта, допускается принимать = 17,7 кН/куб. м;

- высота насыпи, м;

- высота конуса над передней гранью фундамента, м;

, - коэффициенты, принимаемые соответственно по таблицам 5.1 и 5.2.

Таблица 5.1

Глубина заложения фундамента d, м Высота насыпи Значение коэффициента
для задней грани для передней грани устоя при длине подошвы фундамента a, м
до 5 10 15
5 10 0,45 0,10 0 0
20 0,50 0,10 0,05 0
30 0,50 - 0,06 0
10 10 0,40 0,20 0,05 0
20 0,45 0,25 0,10 0,05
30 0,50 - 0,10 0,05
15 10 0,35 0,20 0,10 0,05
20 0,40 0,25 0,15 0,10
30 0,45 - 0,20 0,15
20 10 0,30 0,20 0,15 0,10
20 0,35 0,30 0,20 0,15
30 0,40 - 0,20 0,15
25 10 0,25 0,20 0,20 0,15
20 0,30 0,30 0,20 0,20
30 0,35 - 0,20 0,20
30 10 0,20 0,20 0,20 0,15
20 0,25 0,25 0,25 0,20
30 0,30 0,30 0,25 0,20
Примечания. 1. Для промежуточных значений d, и a коэффициент следует определять по интерполяции.
2. При расчете фундамент глубокого заложения рассматривается как условный, ограниченный контуром, принимаемым согласно Приложению 3 настоящего свода правил.

Таблица 5.2

Глубина заложения фундамента d, м Значение коэффициента при высоте конуса, м
10 20 30
5 0,4 0,5 0,6
10 0,3 0,4 0,5
15 0,2 0,3 0,4
20 0,1 0,2 0,3
25 0 0,1 0,2
30 0 0 0,1
Примечание. Для промежуточных значений d и коэффициент следует определять по интерполяции.

5.2. Относительный эксцентриситет равнодействующей нагрузок в уровне подошвы фундамента мелкого заложения следует определять по формуле

, (5.3)

где a - длина подошвы фундамента, м (рисунок 5.1);

y - расстояние от главной центральной оси подошвы фундамента до более нагруженного ребра, м;

, r - те же значения, что и в 11.7.

Приложение 6
(рекомендуемое)

СРОКИ СЛУЖБЫ

(в ред. Изменения N 1, утв. Приказом Минстроя РФ от 03.12.2016 N 879/пр)

6.1. Минимальные сроки службы и сроки до первого ремонта мостов, водопропускных труб и конструктивных элементов мостовых сооружений приведены в таблице 6.1.

Таблица 6.1

Конструктивная часть Элемент конструкции Срок службы, годы Срок до первого ремонта, годы
1 Пролетные строения мостовых сооружений:
а) железнодорожных Длиной до 20 м 50 25
Длиной до 50 м 70 40
Длиной 50 м и выше 100 50
б) автодорожных и городских Железобетонные:
- ребристые сборные с обычной арматурой 50 30
- плитные сборные сплошного сечения 50 30
- остальные длиной до 60 м 70 40
- длиной 60 м и выше 100 50
Стальные и сталежелезобетонные:
- длиной до 60 м 70 40
- длиной 60 м и выше 100 50
Композитные 50 50
Деревянные:
- в зоне переменной влажности 5 3
- без защиты от биологического разрушения 15 5
- с защитой от биологического разрушения 35 10
- из клееной древесины 50 15
в) мостовые сооружения из металлических гофрированных элементов - 50 30
2 Опоры п фундаменты
а) массивные и столбчатые опоры - В 1,5 раза больше, чем пролетных строений 50
б) стоечные опоры - Как для пролетных строений
в) фундаменты - В 1,5 раза больше, чем пролетных строений -
г) облицовка опор и стен Гранитная 100 50
Бетонная 50 30
3 Опорные части Эластомерные 40 20
Стальные Как для пролетных строений
4 Мостовое полотно мостовых сооружений: -
а) железнодорожных 20 10
б) автодорожных и городских Покрытие 10 10
Сопряжение с насыпью 20 10
Система водоотвода
Ограждения
Гидроизоляция 10 10
Тротуары 40 20
Перила (композитные) 40 (50) 20 (50)
в) деревянные элементы мостового полотна Настил автодорожных мостовых сооружений 5 3
Другие элементы мостового полотна 10 5
г) деформационные швы автодорожных мостов - 25 10
5 Водопропускные трубы - 50 30
6 Подпорные стенки - 100 50
7 Эксплуатационные обустройства мостовых сооружений: -
а) железнодорожных 50 25
б) автодорожных и городских 30 15

Приложение 7
(рекомендуемое)

ПРОВЕРКА ЖИВУЧЕСТИ МОСТОВ

(в ред. Изменения N 1, утв. Приказом Минстроя РФ от 03.12.2016 N 879/пр)

7.1. Мостовые сооружения следует проверять на живучесть (проверка на прочность и устойчивость формы и положения остальных элементов при выходе из строя отдельных конструктивных элементов).

При этом принимаются следующие значения расчетных коэффициентов:

- коэффициенты надежности ко всем нагрузкам - 1,0;

- динамический коэффициент к нагрузке АК - 1,0.

7.2. При проверке мостовых сооружений на живучесть должны быть рассмотрены следующие случаи:

а) обрушение пролетного строения в одном из пролетов или возникновение в этом пролетном строении пластического шарнира в продольном относительно оси моста направлении при отсутствии на мосту подвижных нагрузок;

б) обрушение опоры и, как следствие, примыкающих к ней частей неразрезного пролетного строения при отсутствии на мосту подвижных нагрузок;

в) выход из строя одной из стоек стоечной опоры;

г) выход из строя крайней балки в балочном пролетном строении (при этом усилия от временных нагрузок принимают с коэффициентом 0,5);

д) выход из строя одного из элементов решетки сквозного пролетного строения (усилия от временных нагрузок принимают с коэффициентом 0,5).

7.3. В мостах с гибкими несущими элементами (вантовые, висячие, экстрадозные, арки с гибкими связями) следует выполнять проверки на разрыв гибких элементов:

- разрыв одного гибкого элемента (усилия от временных (подвижных) нагрузок принимаются с коэффициентом 0,5; динамический коэффициент к усилию, приложенному к узлам крепления оборванного элемента - 2,0);

- последовательный разрыв двух гибких элементов (расчет на разрыв второго гибкого элемента - по схеме с учетом отсутствия первого разорванного элемента; усилия от временных (подвижных) нагрузок принимают с коэффициентом 0,25).

7.4. Перед возобновлением эксплуатации мостов, в которых имеет место выход из строя отдельных элементов, должны быть выполнены расчеты по измененной расчетной схеме для определения допустимых величин подвижных нагрузок и порядка их пропуска по этим мостам. При этом все расчетные коэффициенты следует принимать в соответствии с разделом 6 настоящего свода правил.

БИБЛИОГРАФИЯ

[1] Указания по устройству и конструкции мостового полотна на железнодорожных мостах

[2] СТО-ГК "Трансстрой" 012-2007. Стальные конструкции мостов. Заводское изготовление

[3] СТО-ГК "Трансстрой" 005-2007. Стальные конструкции мостов. Технология монтажной сварки

[4] ТУ 14-1-5446-2002. Прокат толстолистовой, свариваемый из легированной стали повышенной вязкости марок 12ХГН2МА и 12ХГН2МДБА

[5] ТУ 14-1-5447-2005 Прокат толстолистовой, свариваемый из легированной стали 17ХГН2МФБТ (в ред. Изменения N 1, утв. Приказом Минстроя РФ от 03.12.2016 N 879/пр)

[6] ТУ 14-4-1383-86 Проволока стальная оцинкованная для гибких тяг централизации сигналов и стрелок (в ред. Изменения N 1, утв. Приказом Минстроя РФ от 03.12.2016 N 879/пр)

[7] СТО 13657842-1-2009 Прокат конструкционный из низколегированной стали для мостостроения. Общие технические условия (в ред. Изменения N 1, утв. Приказом Минстроя РФ от 03.12.2016 N 879/пр)

[8] ТУ 14-1-5355-98*. Прокат толстолистовой атмосферостойкий из стали марки 14ХГНДЦ для мостостроения

[9] ТУ 14-4-1216-82 Канаты стальные оцинкованные спиральные закрытой конструкции (в ред. Изменения N 1, утв. Приказом Минстроя РФ от 03.12.2016 N 879/пр)

[10] СН 200-62. Технические условия проектирования железнодорожных, автодорожных и городских мостов и труб

[11] ОДМ 218.4.003-2009. Рекомендации по объединению металлических балок с монолитной железобетонной плитой посредством непрерывных гребенчатых упоров в сталежелезобетонных пролетных строениях мостов

[12] ТУ 14-4-1231-83 Дюбели-гвозди с насаженными шайбами с цинковым покрытием. Технические условия (в ред. Изменения N 1, утв. Приказом Минстроя РФ от 03.12.2016 N 879/пр)

[13] ТУ 10-69-369-87. Гвозди строительные винтовые специальные

[14] ОДМ 218.2.001-2009 Рекомендации по проектированию и строительству водопропускных сооружений из металлических гофрированных структур на автомобильных дорогах общего пользования с учетом региональных условий (дорожно-климатических зон) (в ред. Изменения N 1, утв. Приказом Минстроя РФ от 03.12.2016 N 879/пр)

[15] СП 11-110-99. Авторский надзор за строительством зданий и сооружений

[16] СП 32-101-95. Проектирование и устройство фундаментов опор мостов в районах распространения вечномерзлых грунтов

[17] СП 33-101-2003. Определение основных расчетных гидрологических характеристик

[18] СП 52-101-2003. Бетонные и железобетонные конструкции без предварительного напряжения арматуры

[19] СП 52-102-2004. Предварительно напряженные железобетонные конструкции

[20] СП 53-101-98. Изготовление и контроль качества стальных строительных конструкций.