2.6.7. Ионизирующее излучение, состояние здоровья работников и населения. Методы контроля в ПЭТ-диагностике для оптимизации радиационной защиты. Методические указания. МУК 2.6.7.3651-20

(утв. Главным государственным санитарным врачом РФ 26.10.2020)
Редакция от 26.10.2020 — Действует с 26.10.2020

УТВЕРЖДАЮ
Руководитель Федеральной службы
по надзору в сфере защиты
прав потребителей
и благополучия человека,
Главный государственный
санитарный врач
Российской Федерации
А.Ю.ПОПОВА
26 октября 2020 г.

2.6.7. ИОНИЗИРУЮЩЕЕ ИЗЛУЧЕНИЕ, СОСТОЯНИЕ ЗДОРОВЬЯ РАБОТНИКОВ И НАСЕЛЕНИЯ

МЕТОДЫ КОНТРОЛЯ В ПЭТ-ДИАГНОСТИКЕ ДЛЯ ОПТИМИЗАЦИИ РАДИАЦИОННОЙ ЗАЩИТЫ

МЕТОДИЧЕСКИЕ УКАЗАНИЯ
МУК 2.6.7.3651-20

1. Разработаны: ФБУН "Санкт-Петербургский научно-исследовательский институт радиационной гигиены имени профессора П.В. Рамзаева" Роспотребнадзора (Чипига Л.А., Балонов М.И., Водоватов А.В., Звонова И.А., Голиков В.Ю. Ладанова Е.Р.); ФГБУН Институт мозга человека им. Н.П. Бехтеревой РАН (Катаева Г.В., Федорова О.С.); ФГБУ "Национальный медицинский исследовательский центр имени В.А. Алмазова" Минздрава России (Рыжкова Д.В., Зыкова Т.А.); ФГБУ "Российский научный центр радиологии и хирургических технологий имени академика А.М. Гранова" Минздрава России (Станжевский А.А., Костеников Н.А., Шатик С.В.); ФГБУ "Национальный медицинский исследовательский центр онкологии имени Н.Н. Блохина" Минздрава России (Долгушин М.Б., Меньков М.А.); ООО "НТЦ Амплитуда" (Коростин С.В.); ГБУЗ "Научно-практический клинический центр диагностики и телемедицинских технологий ДЗМ" (Сергунова К.А., Смирнов А.В.); ФГБОУ ДПО "Российская медицинская академия непрерывного профессионального образования" Минздрава России (Дружинина Ю.В.); Управление Федеральной службы по надзору в сфере защиты прав потребителей и благополучия человека по Ленинградской области (Историк О.А.).

2. Утверждены руководителем Федеральной службы по надзору в сфере защиты прав потребителей и благополучия человека, Главным государственным санитарным врачом Российской Федерации А.Ю. Поповой "26" октября 2020 г.

3. Введены впервые.

I. ОБЛАСТЬ ПРИМЕНЕНИЯ

1.1. Настоящие методические указания (далее - МУК) определяют систему методов контроля для оптимизации радиационной защиты в позитронной эмиссионной томографии (далее - ПЭТ), в том числе совмещенной с рентгеновской компьютерной томографией (далее - ПЭТ/КТ), включая контроль радиофармпрепаратов (далее - РФП), используемых при проведении ПЭТ-исследований.

1.2. МУК распространяются на диагностические исследования, проводимые методом ПЭТ (ПЭТ/КТ).

1.3. МУК предназначены для органов и организаций Федеральной службы по надзору в сфере защиты прав потребителей и благополучия человека, а также могут быть использованы организациями, осуществляющими ПЭТ-диагностику и (или) ее обеспечение, обслуживание и (или) контроль.

1.4. МУК носят рекомендательный характер.

II. ОБЩИЕ ПОЛОЖЕНИЯ

2.1. Обеспечение радиационной защиты пациентов реализуется путем применения принципов обоснования и оптимизации.

Принцип обоснования заключается в сопоставлении диагностической выгоды от проведения рентгенорадиологического исследования с радиационным ущербом для здоровья, который может причинить облучение, принимая во внимание имеющиеся альтернативные методы диагностики, не использующие ионизирующее излучение. На практике принцип обоснования реализуется путем проверки наличия клинических показаний к проведению рентгенорадиологических исследований и выбора оптимального рентгенорадиологического исследования исходя из клинического состояния пациента.

Принцип оптимизации заключается в получении полноценной диагностической информации при минимальных дозах пациентов от внешнего и внутреннего облучения. Необходимая информативность исследования достигается за счет подбора оптимальных параметров протокола сканирования, определением активности индивидуально для каждого пациента, исходя из его антропометрических характеристик, основываясь на принятых стандартизованных методиках и использовании дифференцированных протоколов КТ-сканирования в соответствии с задачами исследования.

2.2. Оптимизация радиационной защиты пациентов предусматривает проведение мероприятий по контролю, нацеленных на получение полезного медицинского эффекта при наименьшей дозе <1>, которую получает пациент:

<1> СП 2.6.1.2612-10 "Основные санитарные правила обеспечения радиационной безопасности (ОСПОРБ-99/2010)", утвержденные постановлением Главного государственного санитарного врача Российской Федерации от 26.04.2010 N 40 (зарегистрировано Минюстом России 11.08.2010, регистрационный номер 18115) (далее - ОСПОРБ-99/2010).

- диагностического, вспомогательного и измерительного оборудования;

- РФП для проведения исследований методом ПЭТ (ПЭТ/КТ);

- выполнения персоналом инструкций проведения исследований методом ПЭТ (ПЭТ/КТ);

- радиационной защиты пациентов и персонала при проведении исследований методом ПЭТ (ПЭТ/КТ).

Положения МУК гармонизированы с рекомендациями международных организаций <2>.

<2> Европейская ассоциация ядерной медицины (англ. European Association of Nuclear Medicine); Международная комиссия по радиологической защите (МКРЗ); Международное агентство по атомной энергии (МАГАТЭ); Национальной ассоциации производителей электрооборудования (англ. National Electrical Manufacturers Association); Американская ассоциация медицинских физиков (англ. American Association of Physicists in Medicine) и т.д.

2.3. Для обеспечения радиационной безопасности населения, пациентов и персонала и исключения необоснованного и избыточного облучения пациентов в медицинской организации разрабатывают программу обеспечения качества <3>, включающую следующие разделы:

<3> Глава IX СанПиН 2.6.1.3288-15 "Гигиенические требования по обеспечению радиационной безопасности при подготовке и проведении позитронной эмиссионной томографии", утвержденные постановлением Главного государственного санитарного врача Российской Федерации от 20.07.2015 N 31, зарегистрировано Минюстом России 24.08.2015, регистрационный номер 38655 (далее - СанПиН 2.1.3.3288-15).

- контроль диагностического, вспомогательного и измерительного оборудования;

- контроль параметров ПЭТ-изображения;

- контроль РФП;

- обеспечение радиационной безопасности пациентов, включающее перечень инструкций проведения диагностических исследований методом ПЭТ (ПЭТ/КТ), контроль обоснования назначений, информирование пациентов о ходе проведения исследования, противопоказаниях и возможных побочных эффектах, уровнях облучения и связанных с ними рисками, оценку и мониторинг стандартных доз пациентов для всех проводимых исследований и сравнение их значений с референтными диагностическими уровнями (далее - РДУ), периодичность анализа и пересмотра протоколов проведения ПЭТ- и КТ-сканирований с целью снижения доз пациентов с сохранением информативности изображений;

- подготовка и переподготовка персонала, вовлеченного в процесс проведения диагностических исследований методом ПЭТ (ПЭТ/КТ).

Программу обеспечения качества рекомендуется пересматривать один раз в пять лет или при любой замене основного оборудования.

2.4. Рекомендуемое содержание программы обеспечения качества приведено в приложении 1 к настоящим МУК.

III. ПОДГОТОВКА ПЕРСОНАЛА

3.1. Персонал допускается к выполнению диагностических исследований методом ПЭТ (ПЭТ/КТ), обслуживанию и контролю оборудования при соответствии квалификации сотрудника требованиям, предъявляемым к данному виду работ. К проведению работ, связанных с использованием источников ионизирующего излучения, допускают персонал группы A <4>, оснащенный средствами индивидуальной защиты (например, рабочий халат, непромокаемые перчатки, шапочка) с индивидуальным дозиметром, прошедший инструктаж по радиационной безопасности.

<4> СанПиН 2.6.1.2523-09 "Нормы радиационной безопасности (НРБ-99/2009)", утвержденные постановлением Главного государственного санитарного врача Российской Федерации от 07.07.2009 N 47 (зарегистрировано Минюстом России 14.08.2009, регистрационный номер 14534).

Процедуры контроля проводит персонал, имеющий опыт работы с данным оборудованием, освоивший соответствующие методики и подтвердивший экспериментально соответствие получаемых результатов нормативам контроля точности измерений.

IV. КОНТРОЛЬ ОБОРУДОВАНИЯ

Общие сведения по контролю оборудования

4.1. Контроль оборудования включает контроль технического состояния и функциональности, а именно проверку соответствия значений параметров и характеристик оборудования нормативной и технической документации, выявление изношенных и поврежденных частей (деталей), проверку действия всех защитных устройств и блокировок, наличия и ведения отчетных форм, в том числе:

- приемочные испытания, включая проверку параметров во время установки нового оборудования или ремонта для оценки соответствия заявленным комплектации и характеристикам, а также первичную поверку измерительного оборудования;

- периодические испытания диагностического и измерительного оборудования, включая поверку;

- испытания на постоянство параметров диагностического, вспомогательного и измерительного оборудования (например, приборы радиационного контроля, инжектор, фасовщик, аналитическое оборудование);

- контроль микроклимата помещений на соответствие санитарно-эпидемиологическими требованиями <5> и условиям эксплуатации, рекомендуемым производителем оборудования.

<5> СанПиН 2.1.3.3288-15; СанПиН 2.1.3.2630-10 "Санитарно-эпидемиологические требования к организациям, осуществляющим медицинскую деятельность", утвержденные постановлением Главного государственного санитарного врача Российской Федерации от 18.05.2010 N 58, зарегистрировано Минюстом России 09.08.2010, регистрационный номер 18094 (далее - СанПиН 2.1.3.2630-10).

Рекомендуемый перечень контролируемых параметров и периодичность их оценки приведены в приложении 2 к настоящим МУК.

4.2. В программе обеспечения качества определяют список оборудования и соответствующие процедуры поверки, калибровки, контроля с перечнем контролируемых параметров, график их проведения и уполномоченный персонал (например, медицинский физик, инженер, метролог, сотрудник группы радиационной безопасности).

4.3. Испытания на постоянство параметров проводит уполномоченный персонал (например, медицинский физик, инженер), имеющий соответствующую подготовку в соответствии с методиками (методами), представленными в технической документации на ПЭТ (ПЭТ/КТ)-аппарат или в главе IV к настоящим МУК.

Приемочные и периодические испытания проводят по методикам (методам), утвержденным в установленном порядке, аккредитованные на данные испытания (измерения) испытательные лаборатории <6>. Приемочные испытания проводят после установки нового оборудования или внесения значительных изменений в процессе эксплуатации. Периодичность проведения периодических испытаний прописывается в программе обеспечения качества.

<6> Федеральный закон от 26.06.2008 N 102-ФЗ "Об обеспечении единства измерений" (далее - Федеральный закон от 26.06.2008 N 102-ФЗ); Федеральный закон от 28.12.2013 N 412-ФЗ "Об аккредитации в национальной системе аккредитации".

4.4. Подготовку источников, образцов и фантомов к испытаниям проводят в непромокаемых перчатках на поддоне, покрытом слоем фильтровальной бумаги или другим материалом разового использования.

4.5. Результаты процедур контроля оборудования (приемочных испытаний, последующих периодических испытаний и испытаний на постоянство параметров) подтверждаются свидетельствами о поверке, протоколами проведения процедур контроля и другими формами отчетности. Оригиналы форм отчетности хранятся в бумажном или электронном виде.

4.6. При неудовлетворительных результатах процедур контроля оборудованием работа на нем приостанавливается до устранения выявленных несоответствий. После мероприятий по устранению причин несоответствий (например, настройка, калибровка, техническое обслуживание, ремонт, поверка) проводят испытания повторно.

Контроль измерительного оборудования (радиометров) для измерения активности радионуклида в РФП

4.7. К измерительному оборудованию относятся радиометры для измерения активности (неопределенность измерения активности не более +/- 5%), имеющие действующее на момент производства прибора свидетельство об утверждении типа <7> и регистрационное удостоверение на медицинское изделие <8>.

<7> Федеральный закон от 26.06.2008 N 102-ФЗ.

<8> Приказ Минздрава России от 21.02.2014 N 81н "Об утверждении Перечня измерений, относящихся к сфере государственного регулирования обеспечения единства измерений, выполняемых при осуществлении деятельности в области здравоохранения, и обязательных метрологических требований к ним, в том числе показателей точности измерений".

4.8. Измерительное оборудование проходит поверку согласно утвержденной методике с периодичностью, указанной в описании типа. По результатам поверки оформляются сведения о поверке средства измерения <9>, содержащие коэффициенты калибровки по всем применяемым в работе позитрон-излучающим радионуклидам (, , , и др.), определенные при проведении поверки.

<9> Федеральный закон от 26.06.2008 N 102-ФЗ.

4.9. Перед измерением образца измерительный прибор настраивают на используемый радионуклид.

4.10. Для обеспечения непрерывного диагностического процесса рекомендуется иметь второй измерительный прибор на случай выхода из строя основного.

4.11. Для контроля стабильности измерений радиометра используют контрольный источник и сравнивают показания с опорным значением с учетом допустимого отклонения. Опорное значение и его допустимое отклонение для контрольного источника устанавливают при периодической поверке радиометра на основании результатов измерений активности при измерении в режиме любого радионуклида, выполненных на эталоне, или по результатам, полученным при измерениях на контролируемом радиометре. Данное значение указывается в свидетельстве о поверке с указанием даты измерений радионуклида, в режиме измерений которого были проведены измерения.

В качестве контрольного используют источник, удовлетворяющий характеристикам, указанным в технической документации радиометра, и описанию типа (активность, конструкция и т.п.). Конструкция источника должна исключать возможность его падения в колодезную камеру. Пример контрольного источника: источник из радионуклида с уровнем примесей других радионуклидов не выше 1%.

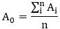
Процедуру измерений контрольного источника для определения опорного значения и допустимого отклонения проводят в штатной позиции контрольного источника в камере радиометра. При этом проводят n измерений (не менее 10) активности и рассчитывают стандартное квадратичное отклонение по формуле 1:

, (1)

где: - опорное значение (кБк), определяемое по формуле 2, как среднее арифметическое значение измеренной активности контрольного источника:

. (2)

Допустимое отклонение определяют по формуле 3:

, (3)

где: - предел допускаемой погрешности радиометра (кБк).

При проведении испытания контрольный источник в момент времени t (месяц) измеряют несколько раз (не менее 10) в режиме радионуклида, использованного при определении опорного значения, и результат контрольного измерения определяют как среднее арифметическое значение. Положительным результатом теста является выполнение условия:

, (4)

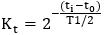
где: - поправка на распад в момент времени , которую вычисляют по формуле 5:

, (5)

где: - референсное время для активности (время установки опорного значения и допустимого отклонения); - период полураспада (для - 362 месяца). Для оценки поправки могут быть использованы значения, приведенные в приложение 4 к настоящим МУК.

После испытания контрольный источник убирают в индивидуальный пенал (контейнер) и помещают в помещение хранения радиоактивных источников.

4.12. Контроль линейности измерений радиометра от величины активности проводят с использованием ультракороткоживущего радионуклида ( или ). Для контроля линейности готовят образец радионуклида или в штатном флаконе с активностью, охватывающей весь диапазон рабочих активностей на конкретном рабочем месте.

Пример: для радиометра, используемого для измерения активности радионуклида в РФП перед введением пациенту, готовят образец, активность которого находится в диапазоне от самых высоких активностей для ежедневной фасовки (нескольких ГБк) до самых низких диагностических активностей (десятков МБк). В качестве исходной активности образца используют максимальную активность диапазона.

Серию измерений активности проводят в течение 4 - 6 периодов полураспада с фиксацией значений в моменты времени ti каждые 30 мин (+/- 3 с) для 18F на протяжении 7 - 7,5 часов (15 - 16 измерений) или каждые 15 мин (+/- 3 с) для ИС на протяжении 1,5 - 2 часов (7 - 9 измерений). Между измерениями флакон с образцом убирают в контейнер и фасовочный шкаф. В день контроля линейности измерений радионуклида в шкафу организовывают зону для образца. После измерений флакон с образцом помещают в помещение хранения радиоактивных отходов на распад с отметкой о дате, радионуклиде и запланированной дате удаления в качестве нерадиоактивных отходов.

Полученные в результате измерений активности сравнивают с теоретическими значениями активности, которые для каждого времени измерения определяют по формуле 6:

, (6)

где: - исходная активность (МБк); - поправка на распад, которую определяют по формуле 5.

Для определения отклонения измеренных значений активности от теоретических в каждый момент времени используют формулу 7:

. (7)

Положительным результатом теста является выполнение условия:

, (8)

где: - максимальное значение ; - предел допускаемой погрешности радиометра.

Измеренные и теоретические активности и отклонения в каждый момент времени заносят в протокол контроля линейности радиометра (приложение 3 к настоящим МУК). В случае предусмотренного производителем радиометра испытания на линейность допускается его проведение согласно технической документации с соблюдением периодичности, прописанной в приложении 2 к настоящим МУК, и оформлением соответствующего протокола о результатах прохождения испытания.

Проверка калибровки ПЭТ-аппарата

4.13. Проверку калибровки ПЭТ (ПЭТ/КТ)-аппарата с использованием однородного цилиндрического фантома проводят по показаниям измерительного оборудования (радиометра), на котором проводят измерение активности радионуклида в РФП для введения пациентам, проходящим исследование на соответствующем ПЭТ (ПЭТ/КТ)-аппарате.

4.14. Для проверки калибровки используют следующее оборудование и реактивы:

- цилиндрический герметичный заливной фантом (объем 5 - 7 л, диаметр около 20 см, толщина стенок не более 5 мм), который перед сканированием заполняют раствором радионуклида или РФП, меченного ;

- соответствующее измерительное оборудование для измерения активности 18F, вводимой в фантом (неопределенность измерения не более +/- 5%);

- шприц для отбора и введения радионуклида или РФП, меченного , в фантом;

- часы для регистрации времени измерения активности перед заполнением фантома и времени начала его сканирования;

- вода для заполнения фантома <10>;

<10> Рекомендуется при заполнении фантома использовать дистиллированную воду, чтобы избежать быстрого "зацветания" воды, с возможностью использовать заполненный фантом повторно при следующей процедуре с добавлением туда необходимой активности радионуклида.

- раствор радионуклида для заполнения однородного фантома объемной активностью 5 - 12 кБк/мл;

- одноразовые непромокаемые перчатки.

4.15. Перед сканированием фантом заполняют водой, оставляя 100 - 200 мл незаполненными, после чего с помощью шприца добавляют рассчитанное и измеренное количество радионуклида или РФП, меченного , для получения нужной объемной активности (п. 4.14). Фантом закрывают и встряхивают несколько раз для равномерного распределения радионуклида. После этого фантом снова открывают и заполняют оставшееся пространство водой с помощью шприца, стараясь избегать воздушных пузырей. После заполнения фантома необходимо убедиться в его герметичности. В случае небольшого загрязнения поверхности фантома необходимо быстро локализовать загрязнение и удалить его, промокнув фильтровальной бумагой, не распространяя загрязнение по поверхности фантома.

Для точного определения введенной в фантом активности шприц измеряют до и после введения радионуклида в фантом. Все измеренные перед заполнением фантома активности , время измерений и время сканирования фиксируют в протоколе проверки калибровки с однородным фантомом (приложение 3 к настоящим МУК).

4.16. Для сканирования фантом закрепляют на специальном креплении стола ПЭТ (ПЭТ/КТ)-аппарата или укладывают на непромокаемую подкладку и слой фильтровальной бумаги на стол аппарата и выравнивают в гентри по центру с помощью лазеров.

Сканирование фантома выполняют на клиническом протоколе сканирования, который используют при диагностических исследованиях пациентов с . После сканирования фантом оставляют в помещении для хранения радиоактивных источников с отметкой о дате и радионуклиде.

4.17. После сканирования и реконструкции изображения проводят его обработку. Для этого выбирают ПЭТ-изображение с коррекцией ослабления излучения. Обработку изображения производят при помощи программного обеспечения рабочей станции ПЭТ-аппарата, предназначенного для визуализации и анализа ПЭТ (ПЭТ/КТ)-изображений. В однородной зоне фантома обрисовывают область интереса так, чтобы ее границы приближались к границе фантома (радиус около 80 - 90 мм), но не включали стенки фантома, и определяют среднее значение объемной активности в выделенной области.

4.18. На основании оценки значения объемной активности на ПЭТ-изображении определяют его отклонение от реальной объемной активности в фантоме по формуле 9:

, (9)

где - объемная активность в фантоме при подготовке, приведенная ко времени сканирования фантома (кБк/мл);

- объемная активность , определенная в однородной области интереса на ПЭТ-изображении.

Для корректного сравнения значений объемной активности значение введенной объемной активности в фантом предварительно приводят ко времени сканирования фантома по формуле 10:

, (10)

где - объемная активность в фантоме, приведенная ко времени сканирования фантома (кБк/мл);

- объемная активность в фантоме на время измерения (кБк/мл); - поправка на распад, которую определяют по формуле 5.

Отклонение более чем на 10% рассматривают как существенное, а результат - неудовлетворительным. Результаты фиксируют в протоколе (приложение 3 к настоящим МУК).

Контроль параметров ПЭТ-изображения

4.19. Объем и информативность ПЭТ (ПЭТ/КТ)-исследования, зависят от различных факторов медицинского и технического профиля. К медицинским факторам относятся методики подготовки пациента к исследованию. К техническим факторам относятся: детектирующая система аппарата, настройки измерительного и диагностического оборудования, синхронизация часов, вводимый радионуклид, его активность, используемый протокол сканирования, алгоритм реконструкции и размер исследуемого очага. Для сравнения протоколов ПЭТ (ПЭТ/КТ)-исследований проводят анализ и контроль количественных параметров ПЭТ-изображения.

4.20. Для проведения процедуры контроля параметров ПЭТ-изображения на разных протоколах сбора и обработки данных используют следующее оборудование и реактивы:

- фантом тела со сферическими вставками для контроля параметров ПЭТ-изображения по ГОСТ Р МЭК 61675-1, который перед сканированием заполняют раствором радионуклида или РФП, меченного ;

- шприц объемом не менее 20 мл с длинной иглой для заполнения фантома и стандартная игла;

- измерительное оборудование для измерения активности, вводимой в фантом;

- часы для фиксирования времени измерения вводимой активности и времени начала сканирования;

- вода для заполнения фантома;

- раствор радионуклида активностью 50 МБк;

- одноразовые непромокаемые перчатки.

4.21. При заполнении фантома сначала заполняют сферы раствором радионуклида объемной активности в диапазоне от 18 до 22 кБк/мл, после чего заполняют основной объем фантома раствором с объемной активностью в диапазоне от 1,8 до 2,2 кБк/мл. Отношение объемной активности радиоизотопа в сферических вставках и в основном объеме фантома составляет около 10:1.

Для заполнения сфер рекомендуется предварительно подготовить 500 мл воды в бутылке, в которую добавляют радионуклид активностью в диапазоне от 9 до 11 МБк, после чего для равномерного распределения радионуклида в объеме бутылку встряхивают, полученный раствор шприцем через длинную иглу вводят в сферы фантома. Сферы фантома следует заполнять аккуратно, чтобы избежать образование воздушных пузырей, которые могут привести к неточности определения коэффициента восстановления (далее - КВ) (заполнять капилляры, ведущие к сферам, необязательно). При заполнении общего объема сначала в фантом набирают воду, оставляя 100 - 200 мл незаполненными, после чего добавляют радионуклид активностью в диапазоне от 18 до 22 МБк. Фантом закрывают и встряхивают несколько раз для равномерного распределения радионуклида в объеме фантома. После этого фантом снова открывают и заполняют оставшееся пространство водой с помощью шприца, стараясь избегать воздушных пузырей. После заполнения фантома необходимо убедиться в его герметичности. В случае небольшого загрязнения поверхности фантома необходимо быстро локализовать загрязнение и удалить его, промокнув фильтровальной бумагой, не распространяя загрязнение по поверхности фантома. Для точного определения введенной в фантом активности шприц измеряют в радиометре со стандартной иглой до и после введения радионуклида в фантом. Все измеренные перед заполнением фантома активности , время измерений и время сканирования фиксируют в протоколе контроля параметров ПЭТ-изображения (приложение 3 к настоящим МУК).

4.22. Процедура контроля параметров ПЭТ-изображения подразумевает сканирование фантома тела со сферическими вставками согласно ГОСТ Р МЭК 61675-1 на клиническом протоколе (п. 4.16). Для сканирования фантом укладывают на непромокаемую подкладку и слой фильтровальной бумаги на столе аппарата. При позиционировании фантома в гентри центры всех сфер должны оказаться на одном аксиальном срезе. Для этого фантом выравнивают так, чтобы аксиальный лазер проходил по верхней крышке фантома, а продольные лазеры пересекались вдоль центральной оси фантома. После сканирования фантом убирают в помещение хранения радиоактивных источников на распад с отметкой о дате и радионуклиде.

4.23. После сканирования и реконструкции изображения проводят его обработку. Для этого выбирают ПЭТ-изображение с коррекцией ослабления излучения и КТ-изображение. Обработку изображения производят при помощи программного обеспечения рабочей станции ПЭТ-аппарата, предназначенного для визуализации и анализа ПЭТ (ПЭТ/КТ)-изображений. Для этого на поперечном срезе КТ-изображения точно обрисовывают область интереса на центральном сечении каждой сферы по периметру сечения и копируют на соответствующее ПЭТ-изображение (рисунок 1). Для этих областей интереса определяют максимальные и средние значения объемной активности в сферах.

Области интереса устанавливают также для определения объемной активности в основном объеме фантома. Эти значения сравнивают с объемной активностью при заполнении фантома для проверки калибровки ПЭТ-аппарата.

Рисунок 1. ПЭТ-изображение фантома тела со сферическими вставками <11> с отмеченными областями интереса

<11> ГОСТ Р МЭК 61675-1.

4.24. В качестве параметра ПЭТ-изображения используют коэффициент восстановления (далее - КВ). КВ является безразмерным количественным параметром ПЭТ-изображения, который определяют как отношение объемной активности в очаге на ПЭТ-изображении к введенной объемной активности по формуле 11:

, (11)

где - объемная активность для среднего и максимального значения активности в областях интереса на ПЭТ-изображениях (кБк/мл);

- введенная в сферы фантома объемная активность при подготовке фантома (кБк/мл), приведенная ко времени сканирования по формуле 10.

КВ зависит от детектирующей системы, настройки измерительного и диагностического оборудования, а также от размеров исследуемого объекта (рисунок 2). КВ оценивают для среднего и максимального значения активности в областях интереса. Полученные КВ фиксируются в протоколе контроля параметров ПЭТ-изображения (приложение 3 к настоящим МУК). Результаты оценки КВ позволяют проверить калибровку системы и отслеживать ее стабильность, оценивать применимость новых протоколов, выбрать оптимальный и использовать полученные значения для корректировки индекса накопления РФП в очагах маленького размера.

а б

Рисунок 2. Зависимости значений коэффициента восстановления (КВ) от размера очага, мм, полученные с фантомом тела со сферическими вставками <12>:
а - средние значения, б - максимальные значения

<12> ГОСТ Р МЭК 61675-1.

При попадании КВ в интервал значений, приведенный в таблице 1, результаты, полученные на данном протоколе на ПЭТ (ПЭТ/КТ)-аппарате, считают сопоставимыми с результатами на других аппаратах. Значения уровней накопления РФП в очагах, определяемых на аппарате, будут совпадать со значениями на других аппаратах, что позволит отслеживать динамику лечебного процесса пациентов, проходящих ПЭТ (ПЭТ/КТ)-исследования в на разных ПЭТ (ПЭТ/КТ)-аппаратах. Если КВ выше или ниже представленного интервала, результаты, полученные на данном протоколе/аппарате несопоставимы с другими аппаратами. В таком случае ищут причину несоответствия. Наиболее распространенными причинами являются неоткалиброванный аппарат, нестандартные алгоритмы реконструкции или процедурные ошибки. В таком случае выполняют калибровку ПЭТ (ПЭТ/КТ)-аппарата в соответствии с технической документацией, кросс-калибровку диагностического и измерительного оборудования или изменяют параметры протокола сканирования и реконструкции и проводят повторное определение КВ.

Таблица 1

Средние () и максимальные () значения коэффициентов восстановления (КВ) при процедурах контроля параметров ПЭТ-изображения с использованием фантома тела со сферическими вставками <13>

<13> ГОСТ Р МЭК 61675-1.

Размер очага, мм
нижний предел верхний предел нижний предел верхний предел
10 0,27 0,43 0,34 0,57
13 0,48 0,60 0,66 0,85
17 0,57 0,75 0,75 1,01
22 0,63 0,83 0,85 1,09
28 0,68 0,86 0,88 1,13
37 0,71 0,91 0,96 1,22

V. КОНТРОЛЬ РФП

5.1. В организациях, в которых проводится изготовление РФП для применения в ПЭТ (ПЭТ/КТ)-диагностике, проводят контроль РФП <14>. Для каждого РФП разрабатывают и утверждают в установленном порядке следующие документы: технологический регламент по изготовлению РФП с указанием всех технологий, используемых материалов, оборудования, условий при изготовлении и спецификацией на готовый РФП, и нормативная документация, в которой указаны процедуры и критерии для оценки РФП (далее - документы, регламентирующие изготовление РФП); а также инструкция по медицинскому применению препарата (в которой указывают название, состав, описание, физико-химические свойства, фармакодинамика и фармакокинетика препарата, показания к применению, противопоказания, побочные действия, способ применения и дозировки, органные и эффективную дозы, получаемые пациентами, срок годности, условия хранения, форму выпуска с указанием упаковки, маркировки и транспортирования РФП).

<14> СанПиН 2.6.1.3288-15.

5.2. Контроль РФП включает в себя проверку критических параметров и условий в процессе изготовления РФП, отбора проб для анализа, а также проведение процедур контроля параметров в соответствии с документами, регламентирующими изготовление РФП, документальное оформление выполненных процедур, проверку окончательной упаковки готовой продукции на соответствие санитарно-эпидемиологическим требованиям <15> и выдачу разрешения на выпуск.

<15> ОСПОРБ-99/2010.

По результатам изготовления каждой серии РФП оформляется технологический протокол или другая документация по изготовлению РФП на соответствие документам, регламентирующим изготовление РФП, с отметкой (фамилией и инициалами) работника, выполнившего процедуры изготовления.

5.3. На РФП, передаваемый для контроля, оформляют протокол отбора пробы для анализа. Основные контролируемые параметры готового РФП приведены в таблице 2. Объем и процедуры контроля РФП определяются документами, регламентирующими изготовление РФП. Данные и результаты процедур контроля РФП хранят в виде рабочих материалов, фиксируют в рабочих журналах/протоколах и заносят в аналитический паспорт с отметкой (фамилией и инициалами) работника, выполнившего процедуру.

Таблица 2

Основные контролируемые параметры готового РФП, периодичность их контроля и отчетные документы

Параметр Периодичность контроля Отчетные документы
Описание Для каждой серии Аналитический паспорт, рабочий журнал/протокол
Подлинность Для каждой серии Аналитический паспорт, рабочий журнал/протокол
Количественное определение (активность) Для каждой серии Паспорт, акт приемки-передачи, рабочий журнал, журнал изготовления
Радионуклидная чистота Для каждой серии Аналитический паспорт, рабочий журнал
Радиохимическая чистота Для каждой серии Аналитический паспорт, рабочий журнал
Наличие/содержание химических примесей Для каждой серии Аналитический паспорт, рабочий журнал
Остаточные растворители Для каждой серии Аналитический паспорт, рабочий журнал
pH Для каждой серии Аналитический паспорт, рабочий журнал
Содержание бактериальных эндотоксинов Ретроспективный тест (не реже чем для каждой десятой серии) Аналитический паспорт, рабочий журнал/протокол
Стерильность Ретроспективный тест (не реже чем для каждой десятой серии) Аналитический паспорт, рабочий журнал/протокол

5.4. Передачу готового РФП для диагностики производят после завершения всех процедур контроля параметров РФП с разрешения уполномоченного лица. Разрешение на передачу РФП не выдают, если не проведены испытания на подлинность, описание, pH и радиохимическую чистоту и в случае отклонения критических параметров от установленных критериев. В разрешении на выпуск готового препарата указывают наименование и номер серии препарата, ставят отметку о соответствии условий и критических параметров изготовления препарата документам, регламентирующим изготовление РФП.

5.5. При передаче РФП для диагностики к нему прилагают паспорт, инструкцию по медицинскому применению и оформляют акт приемки-передачи. В паспорте на РФП указывают следующие данные: наименование РФП, номер, серия, объем и объемная активность фасовки на время паспортизации.

5.6. Все отклонения параметров от установленных критериев оформляют документально. В таком случае разрабатывается инструкция по обращению с РФП, который не соответствует документам, регламентирующим изготовление РФП, и при необходимости отрабатывают процедуру немедленного информирования диагностического отделения (процедурная введения РФП) о непригодности РФП, возврата серии РФП и передачи ее в помещение хранения радиоактивных отходов на распад. Факт о непригодности серии РФП фиксируют в журнал забракованной продукции, в журнал изготовления РФП, в технологический протокол и/или аналитический паспорт.

5.7. На каждую серию РФП заносят информацию в журналы изготовления РФП, рабочие журналы и формируют досье, которое содержит: заявку на изготовление, протокол наработки радионуклида, технологический протокол и аналитический паспорт или другую документацию на изготовление и контроль РФП, согласно документам, регламентирующим изготовление РФП, протокол отбора проб для анализа, акт приемки-передачи, разрешение на выпуск готового препарата.

Досье на серию РФП рекомендуется хранить в течение трех лет после истечения срока годности препарата.

5.8. В отделении контроля или отделении изготовления РФП рекомендуется хранить следующую документацию: спецификации, серии, названия поставщиков и производителей и даты поставок сырья и материалов, используемых при изготовлении, контроле и упаковке РФП, протоколы очистки, стерилизации, подготовки сырья и материалов, используемых при изготовлении, контроле и упаковке РФП, с отметкой работника (фамилия, инициалы), выполнившего процедуры, инструкции на процедуры отбора проб и операционные процедуры подготовки материалов, изготовления и контроля показателей РФП, протоколы валидации методик испытаний, где применимо, документы по проводимым процедурам контроля РФП, согласно таблице 2 (в том числе, рабочие материалы и рабочие журналы/протоколы), досье на РФП, результаты мониторинга производственной среды (при необходимости), инструкции и руководства с процедурами калибровки оборудования, протоколы калибровки, журналы контроля и технического обслуживания оборудования, журнал забракованной продукции.

VI. КОНТРОЛЬ ПРОВЕДЕНИЯ ПЭТ (ПЭТ/КТ)-ИССЛЕДОВАНИЙ

6.1. ПЭТ (ПЭТ/КТ)-исследования проводятся в соответствии с утвержденными инструкциями по проведению ПЭТ (ПЭТ/КТ)-исследований, методиками проведения КТ-исследований и стандартами оказания медицинской помощи, действующими в медицинской организации.

6.2. Контроль обоснованности назначения ПЭТ (ПЭТ/КТ)-исследований осуществляется путем анализа историй болезни или направлений на исследование для каждого пациента и сравнения их с соответствующей инструкцией проведения ПЭТ (ПЭТ/КТ)-исследования. Исследование считается обоснованным при наличии документированного направления на исследование от лечащего врача и совпадении предварительного диагноза с показаниями к проведению данного ПЭТ (ПЭТ/КТ)-исследования. Необходимость использования нестандартного протокола ПЭТ (ПЭТ/КТ)-исследования (выполнения диагностического или многофазного КТ-сканирования и пр.) также подтверждается направлением.

При получении пациентом эффективной дозы облучения за год более 200 мЗв или достижении накопленной дозы медицинского диагностического облучения пациента 500 мЗв принимают меры по дальнейшему ограничению его облучения, если исследование не проводится по жизненными показаниями.

6.3. Перед проведением ПЭТ (ПЭТ/КТ)-исследования пациент в обязательном порядке заполняет добровольное информированное согласие на проведение исследования. Заполненные формы хранятся в течение 5 лет.

6.4. Для ПЭТ/КТ-исследований создают дифференцированные протоколы КТ-сканирования (перечень параметров сканирования) для разных групп пациентов (с учетом возраста и массы тела) и для разных целей исследования (например, низкодозовый, диагностический и многофазный протоколы). На основании поставленной клинической задачи до начала исследования определяется и обосновывается протокол ПЭТ (ПЭТ/КТ)-исследования.

6.5. Контроль проведения ПЭТ (ПЭТ/КТ)-исследования пациентов обеспечивается путем ведения и анализа протоколов ПЭТ (ПЭТ/КТ)-исследований. Протокол ПЭТ (ПЭТ/КТ)-исследования включает в себя:

- сведения об оборудовании, в том числе и вспомогательном, на котором проводят ПЭТ (ПЭТ/КТ)-исследование;

- сведения о параметрах проведения ПЭТ- и КТ-исследований;

- сведения о РФП и введенной активности;

- контактную информацию о пациенте, сведения о его антропометрических характеристиках, необходимых для расчета вводимой активности;

- сведения о временных периодах проведения этапов исследования;

- сведения об эффективных дозах внутреннего и внешнего облучения пациента.

Протокол исследования заполняет и подписывает персонал, проводящий исследование на всех его этапах.

6.6. Перед началом рабочего дня проводят ежедневные процедуры подготовки, контроля и калибровки оборудования, согласно технической документации оборудования, а также проверяют:

- видимость пациента через окно между комнатой управления и процедурной;

- соответствие даты и времени на консоли аппарата и радиометре фактическим;

- возможность полного закрытия дверей в процедурную;

- наличие и функционирование средств защиты (защитные ставни, смотровое окно, ширмы, экраны и пр.);

- работу двухстороннего переговорного устройства с пациентом;

- работу информационного табло и сигнальных лампочек при входе в процедурную;

- чистоту помещений и ПЭТ (ПЭТ/КТ)-аппарата;

- соответствие параметров микроклимата в помещениях санитарно-эпидемиологическим требованиям <16> и условиям эксплуатации, рекомендуемым производителем оборудования.

<16> СанПиН 2.6.1.1192-03 "Гигиенические требования к устройству и эксплуатации рентгеновских кабинетов, аппаратов и проведению рентгенологических исследований", утвержденные постановлением Главного государственного санитарного врача Российской Федерации от 18.02.2003 N 8 (зарегистрировано Минюстом России 19.03.2003, регистрационный N 4282) (далее - СанПиН 2.6.1.1192-03); СанПиН 2.1.3.2630-10 и т.д.

6.7. После исследования пациенту выдают список рекомендаций по поведению после исследования, выведению РФП из организма и по снижению уровня облучения окружающих лиц.

VII. ОБЕСПЕЧЕНИЕ РАДИАЦИОННОЙ ЗАЩИТЫ ПАЦИЕНТОВ

7.1. При проведении ПЭТ (ПЭТ/КТ)-исследований определяют эффективную дозу в соответствии с утвержденными методиками <17>. Значение эффективной дозы заносят в бланк врачебного заключения и журнал учета рентгенорадиологических исследований. В медицинской организации, направившей пациента на исследование, сведения о проведении ПЭТ (ПЭТ/КТ)-исследования и дозах облучения заносятся в "Лист учета дозовых нагрузок пациента" <18>, который вклеивается в медицинскую карту пациента, или вносятся в электронную карту пациента. Данная информация сохраняется в медицинских организациях в течение всего срока хранения медицинской документации.

<17> МУ 2.6.1.2944-11 "Контроль эффективных доз облучения пациентов при проведении медицинских рентгенологических исследований", утвержденные Роспотребнадзором 19.07.2011, с изменениями, внесенными МУ 2.6.1.3584-19 "Изменения в МУ 2.6.1.2944-11 "Контроль эффективных доз облучения пациентов при проведении медицинских рентгенологических исследований", утвержденными Роспотребнадзором 30.10.2019 (далее - МУ 2.6.1.2944-11).

<18> СанПиН 2.6.1.1192-03; СанПиН 2.6.1.3288-15.

7.2. На регулярной основе проводят (не реже раза в год) анализ протоколов исследований пациентов с целью определения стандартных активностей и стандартных доз пациентов. Стандартная активность или стандартная доза пациента - средняя с учетом стандартного отклонения активность или средняя эффективная доза (от внутреннего и внешнего облучения), определенная для выборки из не менее чем 20 пациентов. Определение стандартных доз производят не реже чем один раз в год или после изменения протокола ПЭТ/КТ-сканирования.

По результатам определения стандартных доз и активностей оформляется протокол. Стандартные значения эффективных доз используют при заполнении формы государственного статистического наблюдения N 3-ДОЗ "Сведения о дозах облучения пациентов при проведении медицинских рентгенорадиологических исследований" <19>.

<19> Методические рекомендации по обеспечению радиационной безопасности "Заполнение форм федерального государственного статистического наблюдения N 3-ДОЗ", утвержденные Роспотребнадзором 16.02.2007 N 0100/1659-07-26.

7.3. Оптимизация радиационной защиты пациентов реализуется путем регулярного анализа параметров протоколов (не реже раза в год), определения стандартных эффективных доз от КТ-сканирования и сравнения их со значениями РДУ (таблица 3), а также контроля информативности изображения. Для многофазных КТ-исследований всего тела применяется значение РДУ, соответствующее диагностическому протоколу для каждой фазы.

Таблица 3

Значения референтных диагностических уровней (РДУ) для КТ сканирований всего тела и головы для взрослых пациентов

Зона КТ-сканирования Произведение дозы на длину сканирования (англ. dose length product, далее - DLP),
мГр·см
Эффективная доза, мЗв
Голова 1200 2
Все тело (низкодозовый протокол) 600 10
Все тело (диагностический протокол) 1000 17
Примечания:
1) все тело - зона сканирования ограничена макушкой и верхней третью бедра;
2) низкодозовый протокол КТ-сканирования - протокол, параметры которого обеспечивают низкий уровень дозы, при этом КТ-изображение применяется только для коррекции ослабления при реконструкции ПЭТ-изображения;
3) диагностический протокол КТ-сканирования - протокол, параметры которого обеспечивают информативность КТ-изображения, приемлемую для решения диагностических задач, включая многофазные исследования с введением пациенту контрастного вещества.

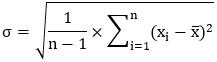
7.4. Для каждого стандартного DLP и эффективной дозы определяется стандартное отклонение по формуле <20>:

<20> ГОСТ Р 50779.

, (12)

где: - стандартное отклонение; n - выборка пациентов, для которых были определены стандартные DLP или эффективная доза; - значение DLP или эффективной дозы для пациента i; - стандартное DLP или эффективная доза. Значения стандартных DLP и эффективных доз плюс два стандартных отклонения не должны превышать установленные значения РДУ. В том случае, если на аппарате используют различные протоколы ПЭТ-сканирования для одной анатомической области, с РДУ сравнивают стандартные дозы пациентов для каждого из протоколов соответствующей анатомической области. При проведении многофазных КТ-исследований с контрастом с РДУ сравнивают стандартные дозы пациентов для каждой фазы.

7.5. В том случае, если стандартные значения DLP и эффективных доз для соответствующих протоколов КТ-сканирования плюс два стандартных отклонения превышают установленные значения РДУ, проводят оптимизацию протоколов КТ-сканирования. Оптимизация протоколов ПЭТ-сканирования заключается в определении оптимального соотношения вводимой пациенту активности радионуклида в РФП и времени сканирования, с учетом метода сбора и обработки данных и параметров реконструкции изображения. Для описания изображения используют серию ПЭТ-изображений с коррекцией ослабления излучения тканями. Оптимизация протоколов КТ-сканирования заключается в определении параметров КТ-сканирования, при которых обеспечивается минимальная доза пациента при получении необходимой диагностической информации. Выбор оптимального протокола КТ-сканирования основывается на практике работы, возможностях конкретного аппарата, патологии пациентов и их особенностях. Оптимизация протоколов КТ-сканирования проводится при превышении стандартных доз от КТ установленных значений РДУ.

7.6. При создании ПЭТ/КТ-протоколов предусматривается серия КТ-изображения, которая используется для коррекции ослабления излучения при реконструкции ПЭТ-изображения. Сканирование для этой серии выполняется при тех же условиях, что и ПЭТ-сканирование:

- зона КТ-сканирования для коррекции ослабления излучения не меньше зоны ПЭТ-сканирования, расположение рук при ПЭТ- и КТ-сканировании должны совпадать;

- КТ-сканирование для коррекции ослабления излучения ПЭТ-изображения выполняется без задержки дыхания;

- КТ-сканирование для коррекции ослабления излучения ПЭТ-изображения выполняется без контрастного вещества.

Артефакты на КТ-изображении, используемом для коррекции ослабления ПЭТ, будут влиять на реконструкцию ПЭТ-изображения.

При необходимости проведения дополнительного КТ-сканирования с задержкой дыхания или контрастной фазы в протокол исследования включают дополнительное КТ-сканирование в соответствии с задачами исследования.

7.7. Пересмотр протоколов сканирования производится уполномоченным персоналом (например, врач, медицинский физик, инженер) с привлечением организации, уполномоченной производителем с записью о дате и изменениях протоколов проведения исследования: РФП, стандартной активности радионуклида в РФП, стандартная эффективная доза пациента от РФП, времени сканирования одной зоны (кровати), методе сбора данных и реконструкции ПЭТ-изображений, параметрах КТ-сканирования (напряжение, сила тока или параметр автоматической модуляции силы тока, питч фактор, коллимация, толщина среза реконструкции, использованный алгоритм реконструкции, стандартные компьютерно-томографический индекс дозы (англ. computed tomography dose index - CTDI), DLP и эффективная доза от КТ-сканирования), общей стандартной эффективной дозе пациента, и результатах оценки информативности ПЭТ- и КТ-изображений.

При пересмотре параметров протокола ПЭТ-сканирования производится оценка КВ и сравнение их с приведенными значениями (таблица 1). Допускается реконструкция ПЭТ-изображения несколькими методами, один из которых соответствует п. 4.24.

Приложение 1
к МУК 2.6.1.3651-20

РЕКОМЕНДУЕМОЕ СОДЕРЖАНИЕ ПРОГРАММЫ ОБЕСПЕЧЕНИЯ КАЧЕСТВА

N Наименование раздела Содержание
1 Цели и назначение программы обеспечения качества Программа обеспечения качества разрабатывается для:
- установления основных направлений работ персонала по организации и порядку проведения процедур контроля, соответствия результатов выполняемых работ установленным критериям;
- регламентации деятельности, осуществляемой персоналом, направленной на реализацию основных критериев;
- разграничения обязанностей и ответственности руководителей и непосредственных исполнителей за выполняемые работы;
- обеспечения подбора персонала, привлекаемого к проведению работ, и контролю их выполнения, соответствующей квалификации;
- применения при работах материалов и оборудования, разрешенных к применению в Российской Федерации и гарантирующих надежную эксплуатацию оборудования в целом.
2 Организационно-правовые основы деятельности Программа обеспечения качества содержит положения, регламентирующие деятельность в области использования источников ионизирующего излучения, права, обязанности и распределение ответственности в случае привлечения сторонних организаций.
3 Организационная структура Программа обеспечения качества содержит положения, регламентирующие график работы персонала, иерархическую структуру подчинения персонала, распределение обязанностей и полномочий.
4 Реализация программы обеспечения качества Программа обеспечения качества содержит перечень мероприятий и оборудования для обеспечения радиационной безопасности.
5 Контроль оборудования Программа обеспечения качества содержит перечень, периодичность и ссылки на методики процедур контроля диагностического, вспомогательного и измерительного оборудования.
6 Контроль РФП Программа обеспечения качества содержит перечень применяемых, изготавливаемых РФП, ссылки на документы, регламентирующие изготовление РФП.
7 Контроль проведения исследований Программа обеспечения качества содержит перечень инструкций проведения исследований и критерии соответствия данным инструкциям.
8 Обеспечение радиационной защиты пациентов Программа обеспечения качества содержит положения, регламентирующие периодичность оценки стандартных доз пациентов и пересмотра протоколов сканирования.
9 Контроль ведения документооборота Программа обеспечения качества содержит перечень заполняемых отчетных форм, подтверждающих надлежащее выполнение работ, включая электронные базы данных.
10 Контроль несоответствий и корректирующие меры Программа обеспечения качества содержит меры по устранению или сведению к минимуму повторного появления несоответствий и применения корректирующих и предупреждающих действий, предпринимаемых для устранения причин фактических или потенциальных несоответствий.
11 Подготовка персонала Программа обеспечения качества содержит требования к квалификации персонала, периодичность повышения квалификации, профессиональной переподготовки персонала и инструктажей.

Приложение 2
к МУК 2.6.1.3651-20

РЕКОМЕНДУЕМЫЙ ПЕРЕЧЕНЬ КОНТРОЛИРУЕМЫХ ПАРАМЕТРОВ И ПЕРИОДИЧНОСТЬ ИХ ОЦЕНКИ

N п/п Параметр Тип испытания Статус (обязательный/рекомендуемый) Периодичность контроля Документ Лицо, проводящее испытание
1 Измерительное оборудование (радиометр)
1.1 Показания нулевого значения на постоянство параметров обязательный ежедневно, до начала работы на приборе техническая документация измерительного оборудования медицинский физик/инженер
1.2 Стабильность на постоянство параметров обязательный ежедневно, до начала работы на приборе раздел IV к настоящим МУК
1.3 Линейность на постоянство параметров обязательный не реже одного раза в три месяца раздел IV к настоящим МУК/техническая документация измерительного оборудования
2 ПЭТ (ПЭТ/КТ)-аппарат
2.1 Синхронизация времени в фасовочной РФП (измерительное оборудование), процедурной введения РФП и на станции сбора данных томографа на постоянство параметров обязательный ежедневно, до начала работы внутренняя инструкция медицинский физик/инженер
2.2 Обновление коэффициентов усиления и времени совпадений ПЭТ на постоянство параметров обязательный не реже, чем один раз в неделю техническая документация диагностического оборудования
2.3 Калибровка значений стандартизованного уровня накопления активности (англ. standardized uptake value - SUV), включая нормализацию ПЭТ на постоянство параметров обязательный не реже, чем раз в три месяца, а также при замене частей детектирующей системы ПЭТ, изменении настроек измерительного оборудования техническая документация диагностического оборудования медицинский физик/инженер/представитель организации, осуществляющей техническое обслуживание
2.4 Проверка кросс-калибровки радиометра и ПЭТ-аппарата на постоянство параметров обязательный не реже, чем раз в три месяца, при необходимости, после изменения настроек измерительного или диагностического оборудования раздел IV к настоящим МУК
2.5 КВ ПЭТ-изображения на постоянство параметров обязательный не реже, чем раз в полгода, а также при замене основных частей аппарата, изменении настроек измерительного оборудования, создании нового протокола сканирования раздел IV к настоящим МУК
2.6 Пространственное разрешение периодические рекомендуемый раз в два года аттестованная методика представитель испытательной лаборатории
2.7 Чувствительность
2.8 Оценка скорости счета, вклад рассеяния и коррекции затухания
Примечание:
При вводе нового оборудования в эксплуатацию или при замене частей детектирующей системы дополнительно проводятся тесты на точность совпадения ПЭТ- и КТ-изображений, оценки контраста и концентрации активности радионуклида в "горячих" и "холодные" очагах.

Приложение 3
к МУК 2.6.1.3651-20

(рекомендуемые образцы)

Рекомендованная форма протокола контроля линейности радиометра

Дата: __________

Модель радиометра __________

Номер радиометра ________ Дата последней поверки радиометра: __________

Предел допускаемой погрешности радиометра = ______________

Подготовка образца

Радионуклид ______________

Исходная активность радионуклида = ______________ МБк

Время измерения исходной активности ___:___:___

Измерения и обработка

N измерения Время, прошедшее от измерения исходной активности, мин Теоретические значения активности , МБк Измеренные значения активности , МБк , %
1        
2        
3        
4        
5        
6        
7        
8        
9        
10        
11        
12        
13        
14        
15        

Максимальное значение = __________________________

Подпись лица, осуществлявшего контроль линейности радиометра:

(подпись)   (Ф. И. О.)

Рекомендуемая форма протокола проверки калибровки с однородным фантомом

Дата: __________

Номер системы ПЭТ/КТ __________ Дата последней кросс-калибровки

Модель ПЭТ/КТ __________ радиометра и томографа: ______________

Радиометр __________ Дата последней поверки радиометра: __________

Подготовка однородного фантома и сканирование

Активность = __________ кБк. Время измерения активности ___:___:___

Общий объем фантома = __________ мл

Объемная активность = __________ кБк/мл

Сканирование:

Протокол сканирования: _________________

Время сбора данных одной кровати: __________

Время начала сканирования: ___:___:___

Метод реконструкции: _________________

Обработка:

Реальная объемная активность на момент сканирования = __________ кБк/мл

Объемная активность , измеренная на ПЭТ-изображении = __________ кБк/мл

Отклонение, , = _________________

Подпись лица, осуществлявшего контроль проверки калибровки с однородным фантомом:

(подпись)   (Ф. И. О.)

Рекомендуемая форма протокола контроля параметров ПЭТ-изображения

Дата: __________

Номер системы ПЭТ/КТ __________ Дата последней кросс-калибровки

Модель ПЭТ/КТ __________ радиометра и томографа: _____________

Радиометр __________ Дата последней поверки радиометра: __________

Подготовка фантома и сканирование

Сферы:

Активность = __________ кБк Время измерения активности ___:___:___

Объем заготовленного раствора = __________ мл

Объемная активность в сферах = __________ кБк/мл

Основной объем фантома:

Активность для создания фоновой активности = __________ кБк Время измерения активности ___:___:___

Общий объем фантома = 9650 мл

Фоновая объемная активность = __________ кБк/мл

Сканирование:

Протокол сканирования: _________________

Время сбора данных одной кровати: _________________

Время начала сканирования: ___:___:___

Метод реконструкции: _________________

Обработка:

Объемная активность в сферах на момент сканирования = __________ кБк/мл

Фоновая объемная активность на момент сканирования = __________ кБк/мл

Отношение объемной активности в сферах и основном объеме = __________

Диаметр сферы, мм Объемная активность на ПЭТ-изображении (среднее значение), кБк/мл Объемная активность на ПЭТ-изображении (максимальное значение), кБк/мл КВ (среднее значение) КВ (максимальное значение)
Полученное значение Рефер. интервал Полученное значение Рефер. интервал
10 0,27 - 0,43 0,34 - 0,57
13 0,48 - 0,60 0,66 - 0,85
17 0,57 - 0,75 0,75 - 1,01
22 0,63 - 0,83 0,85 - 1,09
28 0,68 - 0,86 0,88 - 1,13
37 0,71 - 0,91 0,96 - 1,22

Подпись лица, осуществлявшего контроль параметров ПЭТ-изображения:

(подпись)   (Ф. И. О.)

Приложение 4
к МУК 2.6.1.3651-20

РАССЧИТАННЫЕ ЗНАЧЕНИЯ ПОПРАВОК НА РАСПАД Kt РАДИОНУКЛИДОВ

( = 362 мес) 18F ( = 110 мин) ( = 20 мин)
Время, месяцы Время, мин Время, мин
1 0,998 1 0,994 1 0,966
2 0,996 2 0,987 2 0,933
3 0,994 3 0,981 3 0,901
4 0,992 4 0,975 4 0,871
5 0,990 5 0,969 5 0,841
6 0,989 6 0,963 6 0,812
7 0,987 7 0,957 7 0,785
8 0,985 8 0,951 8 0,758
9 0,983 9 0,945 9 0,732
10 0,981 10 0,939 10 0,707
11 0,979 11 0,933 11 0,683
12 0,977 12 0,927 12 0,660
13 0,975 13 0,921 13 0,637
14 0,974 14 0,916 14 0,616
15 0,972 15 0,910 15 0,595
16 0,970 16 0,904 16 0,574
17 0,968 17 0,898 17 0,555
18 0,966 18 0,893 18 0,536
19 0,964 19 0,887 19 0,518
20 0,962 20 0,882 20 0,500
21 0,961 30 0,828 25 0,420
22 0,959 40 0,777 30 0,354
23 0,957 50 0,730 35 0,297
24 0,955 60 0,685 40 0,250
25 0,953 90 0,567 45 0,210
26 0,951 120 0,469 50 0,177
27 0,950 150 0,389 55 0,149
28 0,948 180 0,322 60 0,125
29 0,946 210 0,266 65 0,105
30 0,944 240 0,220 70 0,088
31 0,942 270 0,182 75 0,074
32 0,941 300 0,151 80 0,063
33 0,939 330 0,125 85 0,053
34 0,937 360 0,103 90 0,044
35 0,935 390 0,086 95 0,037
36 0,933 420 0,071 100 0,031
37 0,932 450 0,059 105 0,026
38 0,930 480 0,049 110 0,022
39 0,928 510 0,040 115 0,019
40 0,926 540 0,033 120 0,016

БИБЛИОГРАФИЧЕСКИЕ ССЫЛКИ

1. Федеральный закон от 30.03.1999 N 52-ФЗ "О санитарно-эпидемиологическом благополучии населения".

2. Федеральный закон от 21.11.2011 N 323-ФЗ "Об основах охраны здоровья граждан в Российской Федерации".

3. Федеральный закон от 26.06.2008 N 102-ФЗ "Об обеспечении единства измерений".

4. Федеральный закон от 28.12.2013 N 412-ФЗ "Об аккредитации в национальной системе аккредитации".

5. Федеральный закон от 12.04.2010 N 61-ФЗ "Об обращении лекарственных средств".

6. Федеральный закон от 04.05.2011 N 99-ФЗ "О лицензировании отдельных видов деятельности".

7. СанПиН 2.6.1.2523-09 "Нормы радиационной безопасности (НРБ-99/2009)".

8. СП 2.6.1.2612-10 "Основные санитарные правила обеспечения радиационной безопасности (ОСПОРБ-99/2010)".

9. СанПиН 2.6.1.3288-15 "Гигиенические требования по обеспечению радиационной безопасности при подготовке и проведении позитронной эмиссионной томографии".

10. СанПиН 2.6.1.1192-03 "Гигиенические требования к устройству и эксплуатации рентгеновских кабинетов, аппаратов и проведению рентгенологических исследований".

11. Приказ Минздрава России от 15.08.2012 N 89н "Об утверждении Порядка проведения испытаний в целях утверждения типа средств измерений, а также перечня медицинских изделий, относящихся к средствам измерений в сфере государственного регулирования обеспечения единства измерений, в отношении которых проводятся испытания в целях утверждения типа средств измерений".

12. Приказ Минздрава России от 23.04.2013 N 240н "О Порядке и сроках прохождения медицинскими и фармацевтическими работниками аттестации для получения квалификационной категории".

13. Приказ Минздрава России от 21.02.2014 N 81н "Об утверждении Перечня измерений, относящихся к сфере государственного регулирования обеспечения единства измерений, выполняемых при осуществлении деятельности в области здравоохранения, и обязательных метрологических требований к ним, в том числе показателей точности измерений".

14. Приказ Минздрава России от 02.07.2015 N 1815 "Об утверждении Порядка проведения поверки средств измерений, требования к знаку поверки и содержанию свидетельства о поверке".

15. Приказ Минздрава России от 27.04.2015 N 211н "Об утверждении Порядка изготовления радиофармацевтических лекарственных препаратов непосредственно в медицинских организациях".

16. Приказ Минпромторга России от 14.06.2013 N 619 "Об утверждении Правил надлежащей производственной практики".

Официальный источник электронного документа содержит неточность: имеется в виду Приказ Минпромторга РФ от 14.06.2013 N 916.

17. МУ 2.6.1.3151-13 "Оценка и учет эффективных доз у пациентов при проведении радионуклидных диагностических исследований".

18. МУ 2.6.1.2944-11 "Контроль эффективных доз облучения пациентов при медицинских рентгенологических исследованиях".

19. МУ 2.6.1.3584-19 "Изменения в МУ 2.6.1.2944-11 "Контроль эффективных доз облучения пациентов при проведении медицинских рентгенологических исследований".

20. МР 2.6.1.0066-12 "Применение референтных диагностических уровней для оптимизации радиационной защиты пациента в рентгенологических исследованиях общего назначения".

21. МР 2.6.0098-15 "Оценка радиационного риска у пациентов при проведении рентгенорадиологических исследований".

22. НП-090-11 "Требования к программам обеспечения качества для объектов использования атомной энергии".

23. РБ-086-13 "Рекомендации по разработке программ обеспечения качества при обращении с радиоактивными отходами".

24. ГОСТ Р 56606 "Контроль технического состояния и функционирования медицинских изделий".

25. ГОСТ Р ИСО 10005 "Менеджмент организации. Руководящие указания по планированию качества".

26. ГОСТ (Р ИСО, ТО 10013) "Менеджмент организации. Руководство по документированию системы менеджмента качества".

27. ГОСТ Р ИСО 9001 "Системы менеджмента качества".

28. ГОСТ 12.0.004 "Система стандартов безопасности труда. Организация обучения безопасности труда. Общие положения".

29. ГОСТ Р МЭК 61675-1 "Устройства визуализации. Радионуклидные характеристики и методы испытаний. Часть 1. Позитронные эмиссионные томографы".

30. ГОСТ Р МЭК 61223-3 "Оценка и контроль эксплуатационных параметров в отделениях лучевой диагностики. Часть 3-5. Приемочные испытания. Оценка эксплуатационных характеристик рентгеновской аппаратуры для компьютерной томографии".

31. ГОСТ Р МЭК 61223-2-6 "Оценка и контроль эксплуатационных параметров рентгеновской аппаратуры в отделениях (кабинетах) рентгенодиагностики. Часть 2-6. Испытания на постоянство параметров. Аппараты для рентгеновской компьютерной томографии".

32. ГОСТ IEC 61303 "Изделия медицинские электрические. Радионуклидные калибраторы. Методы испытаний эксплуатационных характеристик".

33. ГОСТ (Р 50779, ИСО 3534) "Статистические методы. Вероятность и основы статистики. Термины и определения."

34. ГОСТ Р 57501 "Техническое обслуживание медицинских изделий. Требования для государственных закупок".

35. ПНСТ-188 "Измерительные процедуры оперативного контроля исправности средств измерения активности".

36. ГОСТ Р 57298 "Радиофармацевтические лекарственные препараты. Общие требования к организации изготовления радиофармацевтических препаратов в медицинских организациях".

37. Общая фармакопейная статья Минздрава России ОФС.1.11.0001.15 "Радиофармачевтические лекарственные препараты".

38. Международные основные нормы безопасности МАГАТЭ GSR Part 3 "Радиационная защита и безопасность источников излучения".

39. Серия норм МАГАТЭ по безопасности, N RS-G - 1.5 "Радиологическая защита при медицинском облучении ионизирующим излучением".

40. ICRP Publication 135 "Diagnostic Reference Levels in Medical Imaging".

41. International Atomic Energy Agency (IAEA) "Quality assurance for PET and PET/CT systems. IAEA human health series N 1".

42. National Electrical Manufacturers Association (NEMA) Standards Publication NU 2-2018 "Performance Measurements of Positron Emission Tomographs (PETs)".

ТЕРМИНЫ И ОПРЕДЕЛЕНИЯ

Программа обеспечения качества - документ, устанавливающий совокупность организационных и технических мероприятий, влияющих на диагностическую эффективность и радиационную безопасность при проведении ПЭТ (ПЭТ/КТ) исследований.

Контроль оборудования - проверка соответствия значений параметров и характеристик оборудования требованиям нормативной и технической документации, выявление изношенных и поврежденных частей (деталей), проверка действия всех защитных устройств и блокировок, наличия и ведения наличия и ведения отчетных форм.

Приемочные испытания - испытания, проводимые для проверки соответствия требованиям, установленным в стандартах, технической документации, договоре на поставку, с оформлением соответствующих документов.

Периодические испытания - испытания, проводимые для определения правильности функционирования оборудования в конкретный момент времени.

Испытания на постоянство параметров - серия испытаний для подтверждения соответствия функциональных характеристик оборудования установленным пределам, проводимых для раннего выявления изменения потребительских свойств.

Контроль РФП - комплекс мероприятий по контролю РФП, нацеленный на недопущение к использованию изготовленных РФП, не удовлетворяющих установленным требованиям.

Низкодозовый протокол КТ-сканирования - протокол, параметры которого обеспечивают низкий уровень дозы, при этом КТ-изображение применяется только для коррекции ослабления при реконструкции ПЭТ-изображения.

Диагностический протокол КТ-сканирования - протокол, параметры которого обеспечивают информативность КТ-изображения, приемлемую для решения диагностических задач, включая многофазные исследования с введением пациенту контрастного вещества.

Доза пациента - эффективная или поглощенная в органе доза излучения, полученная пациентом при проведении рентгенорадиологического исследования.

Протокол исследования - протокол проведения исследования, в котором отмечаются все этапы проведения исследований.

Протокол сканирования - набор параметров, используемый в программе томографа при сканировании пациента.

Контрольный источник - источник излучения известного типа и спектрального состава, которое регистрируется средством измерения, достаточно стабильный для того, чтобы использовать его при контроле стабильности показаний средства измерения.

Опорное значение - значение величины, которое используют в качестве основы для сопоставления со значениями величин того же рода.