Информационная технология. Криптографическая защита информации. Режимы работы блочных шифров. ГОСТ р 34.13-2015

(утв. Приказом Росстандарта от 19.06.2015 N 750-СТ)
Редакция от 19.06.2015 — Действует с 01.01.2016

Данный документ приведен с учетом Поправки, опубликованной в "ИУС", N 6, 2018.


НАЦИОНАЛЬНЫЙ СТАНДАРТ РОССИЙСКОЙ ФЕДЕРАЦИИ

ИНФОРМАЦИОННАЯ ТЕХНОЛОГИЯ

КРИПТОГРАФИЧЕСКАЯ ЗАЩИТА ИНФОРМАЦИИ

РЕЖИМЫ РАБОТЫ БЛОЧНЫХ ШИФРОВ

Information technology. Cryptographic data security. Block ciphers operation modes

ГОСТ Р 34.13-2015

Дата введения
1 января 2016 года

Предисловие

1 РАЗРАБОТАН Центром защиты информации и специальной связи ФСБ России с участием Открытого акционерного общества "Информационные технологии и коммуникационные системы" (ОАО "ИнфоТеКС")

2 ВНЕСЕН Техническим комитетом по стандартизации ТК 26 "Криптографическая защита информации"

3 УТВЕРЖДЕН И ВВЕДЕН В ДЕЙСТВИЕ Приказом Федерального агентства по техническому регулированию и метрологии от 19 июня 2015 г. N 750-ст

4 ВЗАМЕН ГОСТ Р ИСО/МЭК 10116-93

Правила применения настоящего стандарта установлены в ГОСТ Р 1.0-2012 (раздел 8). Информация об изменениях к настоящему стандарту публикуется в ежегодном (по состоянию на 1 января текущего года) информационном указателе "Национальные стандарты", а официальный текст изменений и поправок - в ежемесячном информационном указателе "Национальные стандарты". В случае пересмотра (замены) или отмены настоящего стандарта соответствующее уведомление будет опубликовано в ближайшем выпуске ежемесячного информационного указателя "Национальные стандарты". Соответствующая информация, уведомление и тексты размещаются также в информационной системе общего пользования - на официальном сайте Федерального агентства по техническому регулированию и метрологии в сети Интернет (www.gost.ru)

Введение

Настоящий стандарт содержит описание режимов работы блочных шифров. Данные режимы работы блочных шифров определяют правила криптографического преобразования данных и выработки имитовставки для сообщений произвольного размера.

Стандарт разработан взамен ГОСТ Р ИСО/МЭК 10116-93 "Информационная технология. Режимы работы для алгоритма n-разрядного блочного шифрования". Необходимость разработки настоящего стандарта вызвана потребностью в определении режимов работы блочных шифров, соответствующих современным требованиям к криптографической стойкости.

Настоящий стандарт терминологически и концептуально увязан с международными стандартами ИСО/МЭК 9797-1 [1], ИСО/МЭК 10116 [2], ИСО/МЭК 10118-1 [3], ИСО/МЭК 18033 [4], ИСО/МЭК 14888-1 [5].

Примечание - Основная часть стандарта дополнена приложением А.

1. Область применения

Режимы работы блочных шифров, определенные в настоящем стандарте, рекомендуется использовать при разработке, производстве, эксплуатации и модернизации средств криптографической защиты информации в системах обработки информации различного назначения.

Настоящим стандартом следует руководствоваться, если информация конфиденциального характера подлежит защите в соответствии с законодательством Российской Федерации.

2. Термины, определения и обозначения

2.1. Термины и определения

В настоящем стандарте применены следующие термины с соответствующими определениями.

2.1.1

алгоритм зашифрования (encryption algorithm): Алгоритм, реализующий зашифрование, т.е. преобразующий открытый текст в шифртекст.
[ИСО/МЭК 18033-1, статья 2.19]

2.1.2

алгоритм расшифрования (decryption algorithm): Алгоритм, реализующий расшифрование, т.е. преобразующий шифртекст в открытый текст.
[ИСО/МЭК 18033-1, статья 2.14]

2.1.3

базовый блочный шифр (basic block cipher): Блочный шифр, реализующий при каждом фиксированном значении ключа одно обратимое отображение множества блоков открытого текста фиксированной длины в блоки шифртекста такой же длины.

2.1.4

блок (block): Строка бит определенной длины.
[ИСО/МЭК 18033-1, статья 2.6]

2.1.5

блочный шифр (block cipher): Шифр из класса симметричных криптографических методов, в котором алгоритм зашифрования применяется к блокам открытого текста для получения блоков шифртекста.
[ИСО/МЭК 18033-1, статья 2.7]

Примечание - В настоящем стандарте установлено, что термины "блочный шифр" и "алгоритм блочного шифрования" являются синонимами.

2.1.6

дополнение (padding): Приписывание дополнительных бит к строке бит.
[ИСО/МЭК 10118-1, статья 3.9]

2.1.7

зацепление блоков (block chaining): Шифрование информации таким образом, что каждый блок шифртекста криптографически зависит от предыдущего блока шифртекста.
[ИСО/МЭК 10116, статья 3.1]

2.1.8

зашифрование (encryption): Обратимое преобразование данных с помощью шифра, который формирует шифртекст из открытого текста.
[ИСО/МЭК 18033-1, статья 2.18]

2.1.9

имитовставка (message authentication code): Строка бит фиксированной длины, полученная применением симметричного криптографического метода к сообщению, добавляемая к сообщению для обеспечения его целостности и аутентификации источника данных.
[ИСО/МЭК 9797-1, статьи 3.9, 3.10]

2.1.10

ключ (key): Изменяемый параметр в виде последовательности символов, определяющий криптографическое преобразование.
[ИСО/МЭК 18033-1, статья 2.21]

Примечание - В настоящем стандарте рассматриваются ключи только в виде последовательности двоичных символов (битов).

2.1.11

начальное значение (starting variable): Значение, возможно, полученное из синхропосылки и используемое для задания начальной точки режима работы блочного шифра.
[ИСО/МЭК 10116, статья 3.12]

2.1.12

открытый текст (plaintext): Незашифрованная информация.
[ИСО/МЭК 10116, статья 3.11]

2.1.13

расшифрование (decryption): Операция, обратная к зашифрованию.
[ИСО/МЭК 18033-1, статья 2.13]

Примечание - В настоящем стандарте в целях сохранения терминологической преемственности по отношению к опубликованным научно-техническим изданиям применяется термин "шифрование", объединяющий операции, определенные терминами "зашифрование" и "расшифрование". Конкретное значение термина "шифрование" определяется в зависимости от контекста упоминания.

2.1.14

симметричный криптографический метод (symmetric cryptographic technique): Криптографический метод, использующий один и тот же ключ для преобразования, осуществляемого отправителем, и преобразования, осуществляемого получателем.
[ИСО/МЭК 18033-1, статья 2.32]

2.1.15

синхропосылка (initializing value): Комбинация знаков, передаваемая по каналу связи и предназначенная для инициализации алгоритма шифрования.

2.1.16

сообщение (message): Строка бит произвольной конечной длины.
[ИСО/МЭК 14888-1 статья 3.10]

2.1.17

счетчик (counter): Строка бит длины, равной длине блока блочного шифра, используемая при шифровании в режиме гаммирования.
[ИСО/МЭК 10116, статья 3.4]

2.1.18

шифр (cipher): Криптографический метод, используемый для обеспечения конфиденциальности данных, включающий алгоритм зашифрования и алгоритм расшифрования.
[ИСО/МЭК 18033-1, статья 2.20]

2.1.19

шифртекст (ciphertext): Данные, полученные в результате зашифрования открытого текста с целью скрытия его содержания.
[ИСО/МЭК 10116, статья 3.3]

2.2. Обозначения

В настоящем стандарте используются следующие обозначения:

- множество всех двоичных строк конечной длины, включая пустую строку;

- множество всех двоичных строк длины s, где s - целое неотрицательное число; нумерация подстрок и компонент строки осуществляется справа налево начиная с нуля;

- число компонент (длина) строки A (если A - пустая строка, то |A|=0);

A||B - конкатенация строк A, B т.е. строка из , в которой подстрока с большими номерами компонент из совпадает со строкой A, а подстрока с меньшими номерами компонент из совпадает со строкой B;

- строка, состоящая из r нулей;

- операция покомпонентного сложения по модулю 2 двух двоичных строк одинаковой длины;

- кольцо вычетов по модулю ;

- операция сложения в кольце ;

x modl - операция вычисления остатка от деления целого числа x на целое положительное число l;

- отображение, ставящее в соответствие строке

, ms, строку ,

, i = 0, 1, ..., m-1;

- отображение, ставящее в соответствие строке

, ms, строку ,

, i = 0, 1, ..., m - 1;

" - операция логического сдвига строки A на r компонент в сторону компонент, имеющих большие номера.

Если A, то , причем

- отображение, ставящее в соответствие строке

многочлен ;

- биективное отображение, сопоставляющее элементу кольца его двоичное представление, т.е. для любого элемента z, представленного в виде

,

где , i = 0, 1, ..., s - 1, выполнено равенство

;

- отображение, обратное к отображению , т.е.

;

k - параметр алгоритма блочного шифрования, называемый длиной ключа;

n - параметр алгоритма блочного шифрования, называемый длиной блока;

- отображение, реализующее базовый алгоритм блочного шифрования и осуществляющее преобразование блока открытого текста P с использованием ключа (шифрования)

K в блок шифртекста CV:E(P,K)=C;

- отображение, реализующее зашифрование с использованием ключа K, т.е. (P) = E(P,K) для всех P;

- отображение, реализующее расшифрование с использованием ключа K, т.е. .

3. Общие положения

Настоящий стандарт определяет следующие режимы работы алгоритмов блочного шифрования:

- режим простой замены (Electronic Codebook, ECB);

- режим гаммирования (Counter, CTR);

- режим гаммирования с обратной связью по выходу (Output Feedback, OFB);

- режим простой замены с зацеплением (Cipher Block Chaining, CBC);

- режим гаммирования с обратной связью по шифртексту (Cipher Feedback, CFB);

- режим выработки имитовставки (Message Authentication Code algorithm).

Данные режимы могут использоваться в качестве режимов для блочных шифров с произвольной длиной блока n.

4. Вспомогательные операции

4.1. Дополнение сообщения

Отдельные из описанных ниже режимов работы (режим гаммирования, режим гаммирования с обратной связью по выходу, режим гаммирования с обратной связью по шифртексту) могут осуществлять криптографическое преобразование сообщений произвольной длины. Для других режимов (режим простой замены, режим простой замены с зацеплением) требуется, чтобы длина сообщения была кратна некоторой величине l. В последнем случае при работе с сообщениями произвольной длины необходимо применение процедуры дополнения сообщения до требуемой длины. Ниже приведены три процедуры дополнения.

Пусть P исходное сообщение, подлежащее зашифрованию.

4.1.1 Процедура 1

Пусть |P|r modl. Положим

,

Примечание - Описанная процедура в некоторых случаях не обеспечивает однозначного восстановления исходного сообщения. Например, результаты дополнения сообщений , такого что для некоторого q, и будут одинаковы. В этом случае для однозначного восстановления необходимо дополнительно знать длину исходного сообщения.

4.1.2 Процедура 2

Пусть |P|r modl. Положим

.

Примечание - Данная процедура обеспечивает однозначное восстановление исходного сообщения. При этом если длина исходного сообщения кратна l, то длина дополненного сообщения будет увеличена.

4.1.3 Процедура 3

Пусть |P|r modl.

В зависимости от значения r возможны случаи:

- если r=n, то последний блок не изменяется P*=P;

- если r<n, то применяется процедура 2.

Примечания

1 Данная процедура обязательна для режима выработки имитовставки (5.6) и не рекомендуется для использования в других режимах (5.1 - 5.5).

2 Выбор конкретной процедуры дополнения предоставляется разработчику информационной системы и/или регламентируется другими нормативными документами.

4.2. Выработка начального значения

В некоторых режимах работы используются величины, начальное значение которых вычисляется на основании синхропосылки IV; обозначим через m суммарную длину указанных величин. Будем обозначать процедуру выработки начального значения через и называть процедурой инициализации. Будем называть процедуру инициализации тривиальной, если I|IV|=IV. Если не оговорено иное, будем считать, что используется тривиальная процедура инициализации на основе синхропосылки необходимой длины.

Во всех описываемых в настоящем стандарте режимах работы не требуется обеспечение конфиденциальности синхропосылки. Вместе с тем процедура выработки синхропосылки должна удовлетворять одному из следующих требований.

- Значения синхропосылки для режимов простой замены с зацеплением и гаммирования с обратной связью по шифртексту необходимо выбирать случайно, равновероятно и независимо друг от друга из множества всех допустимых значений. В этом случае значение каждой используемой синхропосылки IV должно быть непредсказуемым (случайным или псевдослучайным): зная значения всех других используемых синхропосылок, значение IV нельзя определить с вероятностью большей, чем .

- Все значения синхропосылок, выработанных для зашифрования на одном и том же ключе в режиме гаммирования, должны быть уникальными, т.е. попарно различными. Для выработки значений синхропосылок может быть использован детерминированный счетчик.

- Значение синхропосылки для режима гаммирования с обратной связью по выходу должно быть либо непредсказуемым (случайным или псевдослучайным), либо уникальным.

Примечание - Режим простой замены не предусматривает использования синхропосылки.

4.3. Процедура усечения

В некоторых режимах используется усечение строк длины n до строк длины s, sn, с использованием функции , т.е. в качестве операции усечения используется операция взятия бит с большими номерами.

5. Режимы работы алгоритмов блочного шифрования

5.1. Режим простой замены

Длина сообщений, зашифровываемых в режиме простой замены, должна быть кратна длине блока базового алгоритма блочного шифрования n, поэтому, при необходимости, к исходному сообщению должна быть предварительно применена процедура дополнения.

Зашифрование (расшифрование) в режиме простой замены заключается в зашифровании (расшифровании) каждого блока текста с помощью базового алгоритма блочного шифрования.

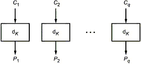
5.1.1 Зашифрование

Открытый и, при необходимости, дополненный текст P, |P|=nq, представляется в виде: P=|||| ...||, , i=1, 2, ..., q. Блоки шифртекста вычисляются по следующему правилу:

, i = 1, 2, ..., q. (1)

Результирующий шифртекст имеет вид:

C=||||...||.

Зашифрование в режиме простой замены проиллюстрировано на рисунке 1.

Рисунок 1 - Зашифрование в режиме простой замены

5.1.2 Расшифрование

Шифртекст представляется в виде: C=|||| ...||, , i=1, 2, ..., q. Блоки открытого текста вычисляются по следующему правилу:

, i = 1, 2, ..., q. (2)

Исходный (дополненный) открытый текст имеет вид:

P=|||| ...||.

Примечание - Если к исходному открытому тексту была применена процедура дополнения, то после расшифрования следует произвести обратную процедуру. Для однозначного восстановления сообщения может потребоваться знание длины исходного сообщения.

Расшифрование в режиме простой замены проиллюстрировано на рисунке 2.

Рисунок 2 - Расшифрование в режиме простой замены

5.2. Режим гаммирования

Параметром режима гаммирования является целочисленная величина s 0<sn. При использовании режима гаммирования не требуется применение процедуры дополнения сообщения.

Для зашифрования (расшифрования) каждого отдельного открытого текста на одном ключе используется значение уникальной синхропосылки .

Зашифрование в режиме гаммирования заключается в покомпонентном сложении открытого текста с гаммой шифра, которая вырабатывается блоками длины s путем зашифрования последовательности значений счетчика , i = 1, 2, ..., базовым алгоритмом блочного шифрования с последующим усечением. Начальным значением счетчика является . Последующие значения счетчика вырабатываются с помощью функции Add: следующим образом:

. (3)

5.2.1 Зашифрование

Открытый текст P представляется в виде

P=|||| ...||, , i = 1, 2, ..., q - 1, , rs.

Блоки шифртекста вычисляются по следующему правилу:

, (4)

Результирующий шифртекст имеет вид:

C=||||...||.

Зашифрование в режиме гаммирования проиллюстрировано на рисунке 3.

Рисунок 3 - Зашифрование в режиме гаммирования

5.2.2 Расшифрование

Шифртекст представляется в виде: C=||||...||, , i = 1, 2, ..., q - 1, , rs.

Блоки открытого текста вычисляются по следующему правилу:

, (5)

Исходный открытый текст имеет вид

P=||||...||.

Расшифрование в режиме гаммирования проиллюстрировано на рисунке 4.

Рисунок 4 - Расшифрование в режиме гаммирования

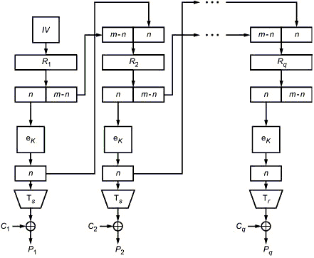
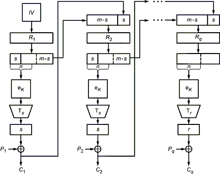
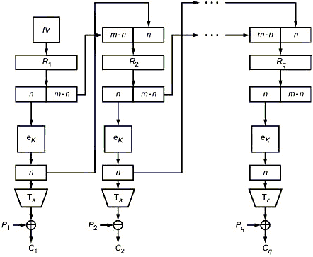
5.3. Режим гаммирования с обратной связью по выходу

Параметрами режима гаммирования с обратной связью по выходу являются целочисленные величины s и m, 0<sn, m=nz, z1 - целое число.

При использовании режима гаммирования с обратной связью по выходу не требуется применение процедуры дополнения сообщения.

При шифровании на одном ключе для каждого отдельного открытого текста используется значение уникальной или непредсказуемой (случайной или псевдослучайной) синхропосылки IV.

При шифровании в режиме гаммирования с обратной связью по выходу используется двоичный регистр сдвига R длины m. Начальным заполнением регистра является значение синхропосылки IV.

Зашифрование в режиме гаммирования с обратной связью по выходу заключается в покомпонентном сложении открытого текста с гаммой шифра, которая вырабатывается блоками длины s. При вычислении очередного блока гаммы выполняется зашифрование n разрядов регистра сдвига с большими номерами базовым алгоритмом блочного шифрования. Затем заполнение регистра сдвигается на n бит в сторону разрядов с большими номерами, при этом в разряды с меньшими номерами записывается полученный выход базового алгоритма блочного шифрования. Блок гаммы вычисляется путем усечения выхода базового алгоритма блочного шифрования.

5.3.1 Зашифрование

Открытый текст P представляется в виде P=||||...||, , i = 1, 2, ..., q - 1, , rs. Блоки шифртекста вычисляются по следующему правилу:

,

i = 1, 2, ..., q - 1,

,

. (6)

Результирующий шифртекст имеет вид:

C=||||...||.

Зашифрование в режиме гаммирования с обратной связью по выходу проиллюстрировано на рисунке 5.

Рисунок 5 - Зашифрование в режиме гаммирования с обратной связью по выходу

5.3.2 Расшифрование

Шифртекст представляется в виде: C=||||...||, , i = 1, 2, ..., q - 1, , rs.

Блоки открытого текста вычисляются по следующему правилу:

,

,

(7)

Исходный открытый текст имеет вид

P=||||...||.

Расшифрование в режиме гаммирования с обратной связью по выходу проиллюстрировано на рисунке 6.

Рисунок 6 - Расшифрование в режиме гаммирования с обратной связью по выходу

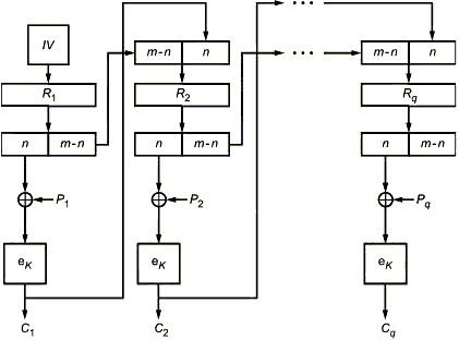
5.4. Режим простой замены с зацеплением

Параметром режима простой замены с зацеплением является целочисленная величина m, m=nz, z1 - целое число.

Длина сообщений, зашифровываемых в режиме простой замены с зацеплением, должна быть кратна длине блока базового алгоритма блочного шифрования n, поэтому, при необходимости, к исходному сообщению должна быть предварительно применена процедура дополнения.

При шифровании на одном ключе для каждого отдельного открытого текста используется значение непредсказуемой (случайной или псевдослучайной) синхропосылки IV.

При шифровании в режиме простой замены с зацеплением используется двоичный регистр сдвига R длины m. Начальным заполнением регистра является значение синхропосылки IV.

В режиме простой замены с зацеплением очередной блок шифртекста получается путем зашифрования результата покомпонентного сложения значения очередного блока открытого текста со значением n разрядов регистра сдвига с большими номерами. Затем регистр сдвигается на один блок в сторону разрядов с большими номерами. В разряды с меньшими номерами записывается значение блока шифртекста.

5.4.1 Зашифрование

Открытый и, при необходимости, дополненный текст P, |P|=nq представляется в виде: P=||||...||, , i=1, 2, ..., q. Блоки шифртекста вычисляются по следующему правилу:

i = 1, 2, ..., q-1,

. (8)

Результирующий шифртекст имеет вид:

C=||||...||.

Зашифрование в режиме простой замены с зацеплением проиллюстрировано на рисунке 7.

Рисунок 7 - Зашифрование в режиме простой замены с зацеплением

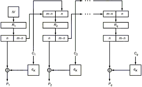
5.4.2 Расшифрование

Шифртекст представляется в виде: C=||||...||, , i=1, 2, ..., q. Блоки открытого текста вычисляются по следующему правилу:

i = 1, 2, ..., q-1,

. (9)

Исходный (дополненный) открытый текст имеет вид:

P=||||...||.

Примечание - Если к исходному открытому тексту была применена процедура дополнения, то после расшифрования следует произвести обратную процедуру. Для однозначного восстановления сообщения может потребоваться знание длины исходного сообщения.

Расшифрование в режиме простой замены с зацеплением проиллюстрировано на рисунке 8.

Рисунок 8 - Расшифрование в режиме простой замены с зацеплением

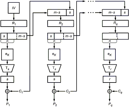
5.5. Режим гаммирования с обратной связью по шифртексту

Параметрами режима гаммирования с обратной связью по шифртексту являются целочисленные величины s и m, 0<sn, nm.

В конкретной системе обработки информации на длину сообщения P может как накладываться ограничение |P|=sq, так и не накладываться никаких ограничений. В случае если такое ограничение накладывается, к исходному сообщению, при необходимости, должна быть предварительно применена процедура дополнения.

При шифровании на одном ключе для каждого отдельного открытого текста используется значение непредсказуемой (случайной или псевдослучайной) синхропосылки IV.

При шифровании в режиме гаммирования с обратной связью по шифртексту используется двоичный регистр сдвига R длины m. Начальным заполнением регистра является значение синхропосылки IV.

Зашифрование в режиме гаммирования с обратной связью по шифртексту заключается в покомпонентном сложении открытого текста с гаммой шифра, которая вырабатывается блоками длины s. При вычислении очередного блока гаммы выполняется зашифрование n разрядов регистра сдвига с большими номерами базовым алгоритмом блочного шифрования с последующим усечением. Затем заполнение регистра сдвигается на s разрядов в сторону разрядов с большими номерами, при этом в разряды с меньшими номерами записывается полученный блок шифртекста, являющийся результатом покомпонентного сложения гаммы шифра и блока открытого текста.

5.5.1 Зашифрование

Открытый текст P представляется в виде P=||||...||, , i=1, 2, ..., q - 1, , rs. Блоки шифртекста вычисляются по следующему правилу:

i=1, 2, ..., q - 1,

. (10)

Результирующий шифртекст имеет вид:

C=||||...||.

Зашифрование в режиме гаммирования с обратной связью по шифртексту проиллюстрировано на рисунке 9.

Рисунок 9 - Зашифрование в режиме гаммирования с обратной связью по шифртексту

5.5.2 Расшифрование

Шифртекст представляется в виде: C=||||...||, , i=1, 2, ..., q - 1. Блоки открытого текста вычисляются по следующему правилу:

i=1, 2, ..., q - 1,

. (11)

Исходный открытый текст имеет вид:

P=||||...||.

Примечание - Если к исходному открытому тексту была применена процедура дополнения, то после расшифрования следует произвести обратную процедуру. Для однозначного восстановления сообщения может потребоваться знание длины исходного сообщения.

Расшифрование в режиме гаммирования с обратной связью по шифртексту проиллюстрировано на рисунке 10.

Рисунок 10 - Расшифрование в режиме гаммирования с обратной связью по шифртексту

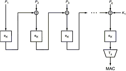
5.6. Режим выработки имитовставки

Режим выработки имитовставки, описание которого представлено ниже, реализует конструкцию OMAC1 (стандартизован в ISO под названием CMAC [1]).

Параметром режима является длина имитовставки (в битах) 0<sn.

5.6.1 Выработка вспомогательных ключей

При вычислении значения имитовставки используются вспомогательные ключи, которые вычисляются с использованием ключа K. Длины вспомогательных ключей равны длине блока n базового алгоритма блочного шифрования.

Процедура выработки вспомогательных ключей может быть представлена в следующей форме

,

,

где , .

Если значение n отлично от 64 и 128, следует использовать следующую процедуру определения значения константы . Рассмотрим множество примитивных многочленов степени n над полем GF(2) с наименьшим количеством ненулевых коэффициентов. Упорядочим это множество лексикографически по возрастанию векторов коэффициентов и обозначим через первый многочлен в этом упорядоченном множестве.

Рассмотрим поле , зафиксируем в нем степенной базис и будем обозначать операцию умножения в этом поле символом . Вспомогательные ключи и вычисляются следующим образом:

(12)

Примечание - Вспомогательные ключи , и промежуточное значение R наряду с ключом K являются секретными параметрами. Компрометация какого-либо из этих значений приводит к возможности построения эффективных методов анализа всего алгоритма.

5.6.2 Вычисление значения имитовставки

Процедура вычисления значения имитовставки похожа на процедуру зашифрования в режиме простой замены с зацеплением при m=n и инициализации начального заполнения регистра сдвига значением : на вход алгоритму шифрования подается результат покомпонентного сложения очередного блока текста и результата зашифрования на предыдущем шаге. Основное отличие заключается в процедуре обработки последнего блока: на вход базовому алгоритму блочного шифрования подается результат покомпонентного сложения последнего блока, результата зашифрования на предыдущем шаге и одного из вспомогательных ключей. Конкретный вспомогательный ключ выбирается в зависимости от того, является ли последний блок исходного сообщения полным или нет. Значением имитовставки MAC является результат применения процедуры усечения к выходу алгоритма шифрования при обработке последнего блока.

Исходное сообщение P, для которого требуется вычислить имитовставку, представляется в виде:

P=||||...||.

где , i=1, 2, ..., q - 1, , rn.

Процедура вычисления имитовставки описывается следующим образом:

,

, i=1, 2, ..., q - 1, (13)

,

где

,

- последний блок сообщения, полученного в результате дополнения исходного сообщения с помощью процедуры 3.

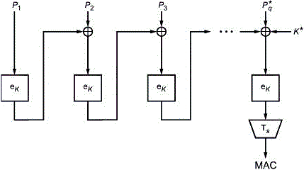
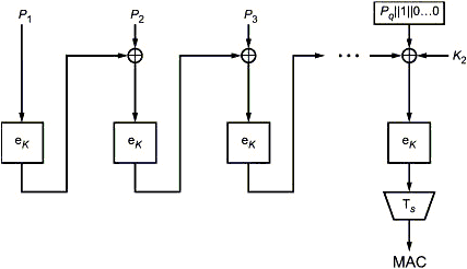
Процедура вычисления имитовставки проиллюстрирована на рисунках 11 - 13.

Рисунок 11 - Вычисление значения имитовставки - общий вид

Примечание - Настоятельно рекомендуется не использовать ключ режима выработки имитовставки в других криптографических алгоритмах, в том числе в режимах, обеспечивающих конфиденциальность, описанных в 5.1 - 5.5.

Рисунок 12 - Вычисление значения имитовставки - случай полного последнего блока

Рисунок 13 - Вычисление значения имитовставки - случай с дополнением последнего блока

Приложение А
(справочное)

КОНТРОЛЬНЫЕ ПРИМЕРЫ

Данное приложение носит справочный характер и не является частью настоящего стандарта.

В данном приложении содержатся примеры для зашифрования и расшифрования сообщений, а также выработки имитовставки, с использованием режимов работы шифра, определенных в данном стандарте. Параметр s выбран равным n с целью упрощения проводимых вычислений, а параметр m выбирался из соображений демонстрации особенностей каждого режима шифрования. Двоичные строки из V*, длина которых кратна 4, записываются в шестнадцатеричном виде, а символ конкатенации ("||") опускается. То есть, строка будет представлена в виде , где , i=0, 1, ..., r-1.

В А.1 приведены примеры для блочного шифра с длиной блока n=128 бит ("Кузнечик"). В А.2 приведены примеры для блочного шифра с длиной блока n=64 бит ("Магма").

А.1 Блочный шифр с длиной блока n=128 бит

Примеры используют следующие параметры:

Ключ

K=8899aabbccddeeff0011223344556677fedcba98765432100123456789abcdef.

Открытый текст - четыре 128-битных блока:

=1122334455667700ffeeddccbbaa9988,

=00112233445566778899aabbcceeff0a,

=112233445566778899aabbcceeff0a00,

=2233445566778899aabbcceeff0a0011.

А.1.1 Режим простой замены

Таблица А.1

Зашифрование в режиме простой замены

Открытый текст Шифртекст
1122334455667700ffeeddccbbaa9988 7f679d90bebc24305a468d42b9d4edcd
00112233445566778899aabbcceeff0a b429912c6e0032f9285452d76718d08b
112233445566778899aabbcceeff0a00 f0ca33549d247ceef3f5a5313bd4b157
2233445566778899aabbcceeff0a0011 d0b09ccde830b9eb3a02c4c5aa8ada98

А.1.2 Режим гаммирования

А.1.2.1 Зашифрование

s=n=128,

IV=1234567890abcef0.

Таблица А.2

Зашифрование в режиме гаммирования

i 1 2
1122334455667700ffeeddccbbaa9988 00112233445566778899aabbcceeff0a
Входной блок 1234567890abcef00000000000000000 1234567890abcef00000000000000001
Выходной блок e0b7ebfa9468a6db2a95826efb173830 85ffc500b2f4582a7ba54e08f0ab21ee
f195d8bec10ed1dbd57b5fa240bda1b8 85eee733f6a13e5df33ce4b33c45dee4

Окончание таблицы А.2

i 3 4
112233445566778899aabbcceeff0a00 2233445566778899aabbcceeff0a0011
Входной блок 1234567890abcef00000000000000002 1234567890abcef00000000000000003
Выходной блок b4c8dbcfb353195b4c42cc3ddb9ba9a5 e9a2bee4947b322f7b7d1db6dfb7ba62
a5eae88be6356ed3d5e877f13564a3a5 cb91fab1f20cbab6d1c6d15820bdba73

А.1.2.2 Расшифрование

С использованием приведенных значений K, IV, и C с помощью операции расшифрования воспроизводятся исходные значения , , , .

А.1.3 Режим гаммирования с обратной связью по выходу

А.1.3.1 Зашифрование

s=n=128, m=2n=256,

IV=1234567890abcef0a1b2c3d4e5f0011223344556677889901213141516171819.

Таблица А.3

Зашифрование в режиме гаммирования с обратной связью по выходу

i 1 2
1122334455667700ffeeddccbbaa9988 00112233445566778899aabbcceeff0a
Входной блок 1234567890abcef0a1b2c3d4e5f00112 23344556677889901213141516171819
Выходной блок 90a2391de4e25c2400f1a49232d0241d ed4a659440d99cc3072c8b8d517dd9b5
81800a59b1842b24ff1f795e897abd95 ed5b47a7048cfab48fb521369d9326bf

Окончание таблицы А.3

i 3 4
112233445566778899aabbcceeff0a00 2233445566778899aabbcceeff0a0011
Входной блок 90a2391de4e25c2400f1a49232d0241d ed4a659440d99cc3072c8b8d517dd9b5
Выходной блок 778064e869c6cf3951a55c30fed78013 020dff9500640ef90a92eead099a3141
66a257ac3ca0b8b1c80fe7fc10288a13 203ebbc066138660a0292243f6903150

А.1.3.2 Расшифрование

С использованием приведенных значений K, IV, и C и с помощью операции расшифрования воспроизводятся исходные значения , , , .

А.1.4 Режим простой замены с зацеплением

А.1.4.1 Зашифрование

m=2n=256,

IV=1234567890abcef0a1b2c3d4e5f0011223344556677889901213141516171819.

Таблица А.4

Зашифрование в режиме простой замены с зацеплением

i 1 2
1122334455667700ffeeddccbbaa9988 00112233445566778899aabbcceeff0a
Входной блок 0316653cc5cdb9f05e5c1e185e5a989a 23256765232defe79a8abeaedaf9e713
Выходной блок 689972d4a085fa4d90e52e3d6d7dcc27 2826e661b478eca6af1e8e448d5ea5ac
689972d4a085fa4d90e52e3d6d7dcc27 2826e661b478eca6af1e8e448d5ea5ac

Окончание таблицы А.4

i 3 4
112233445566778899aabbcceeff0a00 2233445566778899aabbcceeff0a0011
Входной блок 79bb4190f5e38dc5094f95f18382c627 0a15a234d20f643f05a542aa7254a5bd
Выходной блок fe7babf1e91999e85640e8b0f49d90d0 167688065a895c631a2d9a1560b63970
fe7babf1e91999e85640e8b0f49d90d0 167688065a895c631a2d9a1560b63970

А.1.4.2 Расшифрование

С использованием приведенных значений K, IV и C и с помощью операции расшифрования воспроизводятся исходные значения , , , .

А.1.5 Режим гаммирования с обратной связью по шифртексту

А.1.5.1 Зашифрование

s=n=128, m=2n=256,

IV=1234567890abcef0a1b2c3d4e5f0011223344556677889901213141516171819.

Таблица А.5

Зашифрование в режиме гаммирования с обратной связью по шифртексту

i 1 2
1122334455667700ffeeddccbbaa9988 00112233445566778899aabbcceeff0a
Входной блок 1234567890abcef0a1b2c3d4e5f00112 23344556677889901213141516171819
Выходной блок 90a2391de4e25c2400f1a49232d0241 d ed4a659440d99cc3072c8b8d517dd9b5
81800a59b1842b24ff1f795e897abd95 ed5b47a7048cfab48fb521369d9326bf

Окончание таблицы А.5

i 3 4
112233445566778899aabbcceeff0a00 2233445566778899aabbcceeff0a0011
Входной блок 81800a59b1842b24ff1f795e897abd95 ed5b47a7048cfab48fb521369d9326bf
Выходной блок 68d09baf09a0fab01d879d82795d32b5 6dcdfa9828e5a57f6de01533bbf1f4c0
79f2a8eb5cc68d38842d264e97a238b5 4ffebecd4e922de6c75bd9dd44fbf4d1

А.1.5.2 Расшифрование

С использованием приведенных значений K, IV и C с помощью операции расшифрования воспроизводятся исходные значения , , , .

А.1.6 Режим выработки имитовставки

А.1.6.1 Выработка вспомогательных ключей

R = 94bec15e269cf1e506f02b994c0a8ea0,

,

=297d82bc4d39e3ca0de0573298151d40

87=297d82bc4d39e3ca0de0573298151dc7,

,

=297d82bc4d39e3ca0de0573298151dc7=52fb05789a73c7941bc0ae65302a3b8e,

, .

А.1.6.2 Вычисление имитовставки

s=64.

Таблица А.6

Вычисление имитовставки

i 1 2
1122334455667700ffeeddccbbaa9988 00112233445566778899aabbcceeff0a
Входной блок 1122334455667700ffeeddccbbaa9988 7f76bfa3fae94247d2df27f9753a12c7
Выходной блок 7f679d90bebc24305a468d42b9d4edcd 1ac9d976f83636f55ae9ef305e7c90d2

Окончание таблицы А.6

i 3 4
112233445566778899aabbcceeff0a00 2233445566778899aabbcceeff0a0011
Входной блок 0bebea32ad50417dc34354fcb0839ad2 1e2a9c1d8cc03bfa0cb340971252fe24
Выходной блок 15645af4a78e50a9abe8db4b754de3f2 336f4d296059fbe34ddeb35b37749c67

А.2 Блочный шифр с длиной блока n = 64 бит

Примеры используют следующие параметры.

Ключ

K = ffeeddccbbaa99887766554433221100f0f1f2f3f4f5f6f7f8f9fafbfcfdfeff.

Открытый текст - четыре 64-битных блока:

=92def06b3c130a59,

=db54c704f8189d20,

=4a98fb2e67a8024c,

=8912409b17b57e41.

А.2.1 Режим простой замены

Таблица А.7

Зашифрование в режиме простой замены

Открытый текст Шифртекст
92def06b3c130a59 2b073f0494f372a0
db54c704f8189d20 de70e715d3556e48
4a98fb2e67a8024c 11d8d9e9eacfbc1e
8912409b17b57e41 7c68260996c67efb

А.2.2 Режим гаммирования

А.2.2.1 Зашифрование

s=n=64,

IV=12345678.

Таблица А.8

Зашифрование в режиме гаммирования

i 1 2
92def06b3c130a59 db54c704f8189d20
Входной блок 1234567800000000 1234567800000001
Выходной блок dc46e167aba4b365 e571ca972ef0c049
4e98110c97b7b93c 3e250d93d6e85d69

Окончание таблицы А.8

i 3 4
4a98fb2e67a8024c 8912409b17b57e41
Входной блок 1234567800000002 1234567800000003
Выходной блок 59f57da6601ad9a3 df9cf61bbce7df6c
136d868807b2dbef 568eb680ab52a12d

А.2.2.2 Расшифрование

С использованием приведенных значений K, IV и C с помощью операции расшифрования воспроизводятся исходные значения , , , .

А.2.3 Режим гаммирования с обратной связью по выходу

А.2.3.1 Зашифрование

s=n=64, m=2n=128,

IV=1234567890abcdef234567890abcdef1.

Таблица А.9

Зашифрование в режиме гаммирования с обратной связью

i 1 2
92def06b3c130a59 db54c704f8189d20
Входной блок 1234567890abcdef 234567890abcdef1
Выходной блок 49e910895a8336da d612a348e78295bc
db37e0e266903c83 0d46644c1f9a089c

Окончание таблицы А.9

i 3 4
4a98fb2e67a8024c 8912409b17b57e41
Входной блок 49e910895a8336da d612a348e78295bc
Выходной блок ea60cb4c24a63032 4136af23aafaa544
a0f83062430e327e c824efb8bd4fdb05

А.2.3.2 Расшифрование

С использованием приведенных значений K, IV и C с помощью операции расшифрования воспроизводятся исходные значения , , , .

А.2.4 Режим простой замены с зацеплением

А.2.4.1 Зашифрование

m=3n=192,

IV=1234567890abcdef234567890abcdef134567890abcdef12.

Таблица А.10

Зашифрование в режиме простой замены с зацеплением

i 1 2
92def06b3c130a59 db54c704f8189d20
Входной блок 80eaa613acb8c7b6 f811a08df2a443d1
Выходной блок 96d1b05eea683919 aff76129abb937b9
96d1b05eea683919 aff76129abb937b9

Окончание таблицы А.10

i 3 4
4a98fb2e67a8024c 8912409b17b57e41
Входной блок 7ece83becc65ed5e 1fc3f0c5fddd4758
Выходной блок 5058b4a1c4bc0019 20b78b1a7cd7e667
5058b4a1c4bc0019 20b78b1a7cd7e667

А.2.4.2 Расшифрование

С использованием приведенных значений K, IV и C с помощью операции расшифрования воспроизводятся исходные значения , , , .

А.2.5 Режим гаммирования с обратной связью по шифртексту

А.2.5.1 Зашифрование

s=n=64, m=2n=128,

IV=1234567890abcdef234567890abcdef1.

Таблица А.11

Зашифрование в режиме гаммирования с обратной связью по шифртексту

i 1 2
92def06b3c130a59 db54c704f8189d20
Входной блок 1234567890abcdef 234567890abcdef1
Выходной блок 49e910895a8336da d612a348e78295bc
db37e0e266903c83 0d46644c1f9a089c

Окончание таблицы А.11

i 3 4
4a98fb2e67a8024c 8912409b17b57e41
Входной блок db37e0e266903c83 0d46644c1f9a089c
Выходной блок 6e25292d34bdd1c7 35d2728f36b22b44
24bdd2035315d38b bcc0321421075505

А.2.5.2 Расшифрование

С использованием приведенных значений K, IV и C с помощью операции расшифрования воспроизводятся исходные значения , , , .

А.2.6 Режим выработки имитовставки

А.2.6.1 Выработка вспомогательных ключей

R=2fa2cd99a1290a12,

, =5f459b3342521424,

, следовательно =be8b366684a42848,

, .

А.2.6.2 Вычисление имитовставки

s=32.

Таблица А.12

Вычисление имитовставки

i 1 2
92def06b3c130a59 db54c704f8189d20
Входной блок 92def06b3c130a59 f053f8006cebef80
Выходной блок 2b073f0494f372a0 c89ed814fd5e18e9

Окончание таблицы А.12

i 3 4
4a98fb2e67a8024c 8912409b17b57e41
Входной блок 8206233a9af61aa5 216e6a2561cff165
Выходной блок f739b18d34289b00 154e72102030c5bb

MAC=154e7210.

БИБЛИОГРАФИЯ <*>

<*> Оригиналы международных стандартов ИСО/МЭК находятся во ФГУП "Стандартинформ" Федерального агентства по техническому регулированию и метрологии.

[1] ИСО/МЭК 9797-1:2011
(ISO 9797-1:2011)
Информационные технологии. Методы защиты. Коды аутентификации сообщений (MAC). Часть 1. Механизмы, использующие блочный шифр (Information technology - Security techniques - Message Authentication Codes (MACs) - Part 1: Mechanisms using a block cipher)
[2] ИСО/МЭК 10116:2006
(ISO/IEC 10116:2006)
Информационные технологии. Методы обеспечения безопасности. Режимы работы для n-битовых блочных шифров (Information technology - Security techniques - Modes of operation for an n-bit block cipher)
[3] ИСО/МЭК 10118-1:2000
(ISO/IEC 10118-1:2000)
Информационные технологии. Методы защиты информации. Хэш-функции. Часть 1. Общие положения (Information technology - Security techniques - Hash-functions - Part 1: General)
[4] ИСО/МЭК 18033-1:2005
(ISO/IEC 18033-1:2005)
Информационные технологии. Методы и средства обеспечения безопасности. Алгоритмы шифрования. Часть 1. Общие положения (Information technology - Security techniques - Encryption algorithms - Part 1: General)
[5] ИСО/МЭК 14888-1:2008
(ISO/IEC 14888-1:2008)
Информационные технологии. Методы защиты. Цифровые подписи с приложением. Часть 1. Общие положения (Information technology - Security techniques - Digital signatures with appendix - Part 1: General)