Постановление Правительства РФ от 13.05.2020 N 661

"О предоставлении в 2020 году из федерального бюджета субсидий российским авиакомпаниям на частичную компенсацию расходов в связи со снижением доходов таких авиакомпаний в результате падения объемов пассажирских воздушных перевозок вследствие распространения новой коронавирусной инфекции"
Редакция от 10.12.2020 — Действует с 22.12.2020
Показать изменения

ПРАВИТЕЛЬСТВО РОССИЙСКОЙ ФЕДЕРАЦИИ

ПОСТАНОВЛЕНИЕ
от 13 мая 2020 г. N 661

О ПРЕДОСТАВЛЕНИИ В 2020 ГОДУ ИЗ ФЕДЕРАЛЬНОГО БЮДЖЕТА СУБСИДИЙ РОССИЙСКИМ АВИАКОМПАНИЯМ НА ЧАСТИЧНУЮ КОМПЕНСАЦИЮ РАСХОДОВ В СВЯЗИ СО СНИЖЕНИЕМ ДОХОДОВ ТАКИХ АВИАКОМПАНИЙ В РЕЗУЛЬТАТЕ ПАДЕНИЯ ОБЪЕМОВ ПАССАЖИРСКИХ ВОЗДУШНЫХ ПЕРЕВОЗОК ВСЛЕДСТВИЕ РАСПРОСТРАНЕНИЯ НОВОЙ КОРОНАВИРУСНОЙ ИНФЕКЦИИ

(в ред. Постановления Правительства РФ от 10.12.2020 N 2067)

Правительство Российской Федерации постановляет:

1. Выделить Федеральному агентству воздушного транспорта из резервного фонда Правительства Российской Федерации бюджетные ассигнования в размере 20,953 млрд. рублей в целях предоставления в 2020 году субсидий российским авиакомпаниям на частичную компенсацию расходов в связи со снижением доходов таких авиакомпаний в результате падения объемов пассажирских воздушных перевозок вследствие распространения новой коронавирусной инфекции. (в ред. Постановления Правительства РФ от 10.12.2020 N 2067)

2. Федеральному агентству воздушного транспорта осуществить контроль за целевым и эффективным использованием указанных в пункте 1 настоящего постановления бюджетных ассигнований с представлением доклада до 1 февраля 2021 г.

3. Утвердить прилагаемые Правила предоставления в 2020 году из федерального бюджета субсидий российским авиакомпаниям на частичную компенсацию расходов в связи со снижением доходов таких авиакомпаний в результате падения объемов пассажирских воздушных перевозок вследствие распространения новой коронавирусной инфекции.

4. Настоящее постановление вступает в силу со дня его официального опубликования.

Исполняющий обязанности
Председателя Правительства
Российской Федерации
А. БЕЛОУСОВ

УТВЕРЖДЕНЫ
постановлением Правительства
Российской Федерации
от 13 мая 2020 г. N 661

ПРАВИЛА ПРЕДОСТАВЛЕНИЯ В 2020 ГОДУ ИЗ ФЕДЕРАЛЬНОГО БЮДЖЕТА СУБСИДИЙ РОССИЙСКИМ АВИАКОМПАНИЯМ НА ЧАСТИЧНУЮ КОМПЕНСАЦИЮ РАСХОДОВ В СВЯЗИ СО СНИЖЕНИЕМ ДОХОДОВ ТАКИХ АВИАКОМПАНИЙ В РЕЗУЛЬТАТЕ ПАДЕНИЯ ОБЪЕМОВ ПАССАЖИРСКИХ ВОЗДУШНЫХ ПЕРЕВОЗОК ВСЛЕДСТВИЕ РАСПРОСТРАНЕНИЯ НОВОЙ КОРОНАВИРУСНОЙ ИНФЕКЦИИ

(в ред. Постановления Правительства РФ от 10.12.2020 N 2067)

1. Настоящие Правила устанавливают порядок, цели и условия предоставления в 2020 году из федерального бюджета субсидий российским авиакомпаниям на частичную компенсацию расходов в связи со снижением доходов таких авиакомпаний в результате падения объемов пассажирских воздушных перевозок вследствие распространения новой коронавирусной инфекции (далее - субсидии).

2. Субсидии предоставляются из федерального бюджета в пределах бюджетных ассигнований и лимитов бюджетных обязательств, доведенных до Федерального агентства воздушного транспорта как получателя средств федерального бюджета на цели, указанные в пункте 1 настоящих Правил.

3. В настоящих Правилах используются следующие понятия:

"российская авиакомпания" - юридическое лицо, зарегистрированное на территории Российской Федерации, имеющее сертификат (свидетельство) эксплуатанта на осуществление коммерческих воздушных перевозок, понесшее за период с февраля по ноябрь 2020 г. документально подтвержденные расходы на оплату труда специалистов авиационного персонала гражданской авиации, оплату аренды и лизинга воздушных судов российским лизинговым компаниям, аэропортовое обслуживание (в части дополнительных расходов на стоянку воздушных судов), ведение операционной деятельности и содержание имущества (далее - расходы российских авиакомпаний); (в ред. Постановления Правительства РФ от 10.12.2020 N 2067)

"группа российских авиакомпаний" - не являющееся юридическим лицом объединение 2 и более российских авиакомпаний, действующих в различных организационно-правовых формах и связанных между собой отношениями значительного влияния или контроля, которые возникли вследствие прямого или косвенного участия физических или юридических лиц в уставном (складочном) капитале этих российских авиакомпаний, одновременно удовлетворяющее следующим условиям:

суммарный объем перевозок пассажиров российскими авиакомпаниями, входящими в эту группу, на международных воздушных линиях за 2019 год превышает 20 млн. пассажиров;

блокирующий пакет акций (50 процентов плюс 1 акция) хотя бы одной российской авиакомпании, входящей в эту группу, находится в федеральной собственности и (или) в собственности субъекта Российской Федерации.

4. Субсидия предоставляется на частичную компенсацию расходов российских авиакомпаний, в том числе входящих в группу российских авиакомпаний, при условии соответствия таких организаций на 1 января 2020 г. или на 1-е число иного месяца 2020 года, предшествующего дате подачи заявления, предусмотренного пунктами 7 или 10 настоящих Правил, следующим требованиям:

а) организация не является иностранным юридическим лицом, а также российским юридическим лицом, в уставном (складочном) капитале которого доля участия иностранных юридических лиц, местом регистрации которых является государство или территория, включенные в утверждаемый Министерством финансов Российской Федерации перечень государств и территорий, предоставляющих льготный налоговый режим налогообложения и (или) не предусматривающих раскрытия и предоставления информации при проведении финансовых операций (офшорные зоны) в отношении таких юридических лиц, в совокупности превышает 50 процентов;

б) организация не получает средства из федерального бюджета в соответствии с иными нормативными правовыми актами на цели, указанные в пункте 1 настоящих Правил;

в) организация не имеет просроченной задолженности по возврату в федеральный бюджет субсидий, бюджетных инвестиций, предоставленных в том числе в соответствии с иными правовыми актами, и иной просроченной задолженности перед федеральным бюджетом;

г) организация не находится в процессе реорганизации, ликвидации и в отношении ее не введена процедура банкротства, деятельность организации не приостановлена в порядке, предусмотренном законодательством Российской Федерации;

д) организация дает согласие на проведение Федеральным агентством воздушного транспорта и уполномоченными органами государственного финансового контроля проверок соблюдения ею порядка, целей и условий предоставления субсидии, установленных настоящими Правилами.

5. Субсидия рассчитывается ежемесячно по результатам каждого месяца за период с февраля по ноябрь 2020 г. или одновременно за несколько месяцев этого периода. (в ред. Постановления Правительства РФ от 10.12.2020 N 2067)

6. Суммарный размер субсидий (S) рассчитывается по формуле (рублей):

,

где:

- суммарный расчетный размер субсидий, предоставляемых российским авиакомпаниям, не входящим в группы российских авиакомпаний, которые, в первую очередь, направляются на частичную компенсацию документально подтвержденных расходов российских авиакомпаний, не входящих в группу российских авиакомпаний, на оплату труда специалистов авиационного персонала гражданской авиации и страховых взносов с заработной платы указанных работников - в размере 60 процентов (или в меньшем размере, но не менее полной суммы таких расходов за отчетный период), на оплату аренды и лизинга воздушных судов российским лизинговым компаниям, на аэропортовое обслуживание (в части дополнительных расходов на стоянку воздушных судов) - в размере (совокупно) не более 40 процентов (при наличии и предъявлении к компенсации указанных расходов), во вторую очередь (при наличии остатка суммарного расчетного размера субсидий), - на частичную компенсацию документально подтвержденных расходов указанных авиакомпаний на ведение операционной деятельности и содержание имущества. Указанные расходы учитываются без налога на добавленную стоимость; (в ред. Постановления Правительства РФ от 10.12.2020 N 2067)

- суммарный расчетный размер субсидий, предоставляемых российским авиакомпаниям, входящим в группы российских авиакомпаний (далее - субсидии группам российских авиакомпаний), не превышающий 37,64 процента объема бюджетных ассигнований федерального бюджета на цели, указанные в пункте 1 настоящих Правил, 60 процентов (или меньший размер, но не менее полной суммы указанных расходов за отчетный период) которого, в первую очередь, направляется на частичную компенсацию документально подтвержденных расходов российских авиакомпаний, входящих в группу российских авиакомпаний, и на оплату труда специалистов авиационного персонала гражданской авиации, во вторую очередь, - на оплату аренды и лизинга воздушных судов российским лизинговым компаниям и на операционную деятельность и содержание имущества. Указанные расходы учитываются без налога на добавленную стоимость. (в ред. Постановления Правительства РФ от 10.12.2020 N 2067)

7. Для получения субсидии на частичную компенсацию расходов российской авиакомпании, не входящей в группу российских авиакомпаний, российская авиакомпания в течение 30 календарных дней со дня вступления в силу настоящих Правил или со дня окончания отчетного месяца (для получения субсидии за ноябрь 2020 г. - в срок до 10 декабря 2020 г.) представляет в Федеральное агентство воздушного транспорта следующие документы: (в ред. Постановления Правительства РФ от 10.12.2020 N 2067)

а) заявление российской авиакомпании, составленное в произвольной форме и подписанное руководителем (уполномоченным в установленном порядке лицом) и главным бухгалтером (при наличии), с указанием размера субсидии, включающее полное наименование российской авиакомпании, ее почтовый адрес, основной государственный регистрационный номер, идентификационный номер налогоплательщика, код причины постановки на учет в налоговых органах и платежные реквизиты;

б) справка, подписанная руководителем (уполномоченным в установленном порядке лицом), о соответствии требованиям, предусмотренным пунктом 4 настоящих Правил;

в) заверенные руководителем (уполномоченным в установленном порядке лицом) расчет размера субсидии в соответствии с пунктом 8 настоящих Правил по форме согласно приложению N 1, а также следующие документы:

реестр документов, подтверждающих расчет размера субсидии, по форме согласно приложению N 2;

копии договоров аренды или лизинга воздушных судов, заключенных с российскими компаниями - лизингодателями, с приложением актуального графика лизинговых платежей (в случае если субсидия запрашивается в отношении частичной компенсации расходов российской авиакомпании на оплату аренды и лизинга воздушных судов российским лизинговым компаниям);

обязательство руководителя (уполномоченного в установленном порядке лица) о непредъявлении в соответствии с настоящими Правилами к компенсации расходов российской авиакомпании, на возмещение которых субсидии предоставляются в соответствии с постановлением Правительства Российской Федерации от 9 апреля 2020 г. N 466 "Об утверждении Правил предоставления в 2020 году из федерального бюджета субсидий российским организациям воздушного транспорта на возмещение затрат, понесенных при выполнении мероприятий по вывозу граждан из иностранных государств, в которых сложилась неблагоприятная ситуация, связанная с распространением новой коронавирусной инфекции";

обязательство российской авиакомпании, подписанное руководителем (уполномоченным в установленном порядке лицом), о достижении результата предоставления субсидии, предусмотренного пунктом 18 настоящих Правил;

выписки из штатной расстановки российской авиакомпании, содержащие сведения о численности специалистов авиационного персонала гражданской авиации на 1 января 2020 г. и на 1-е число отчетного месяца;

г) заверенная руководителем (уполномоченным в установленном порядке лицом) статистическая отчетность российской авиакомпании по установленной форме федерального государственного статистического наблюдения N 12-ГА "Сведения о перевозках пассажиров и грузов" за 2019 год и отчетный период (месяц) 2020 года с отметкой о направлении в Федеральную службу государственной статистики или иной уполномоченный орган. (в ред. Постановления Правительства РФ от 10.12.2020 N 2067)

8. Размер субсидии i-й российской авиакомпании, не входящей в группу российских авиакомпаний, рассчитывается по формуле:

, (в ред. Постановления Правительства РФ от 10.12.2020 N 2067)

где:

R - размер расходной ставки по транспортной работе российских авиакомпаний. При расчете размера субсидии в период с февраля по июнь 2020 г. размер расходной ставки по транспортной работе российских авиакомпаний принимается равным 0,365 тыс. рублей на 1 перевезенного пассажира (тыс. рублей/пасс.), при расчете размера субсидии в период с июля по ноябрь 2020 г. размер расходной ставки по транспортной работе российских авиакомпаний принимается равным 0,685 тыс. рублей/пасс.; (в ред. Постановления Правительства РФ от 10.12.2020 N 2067)

и - количество перевезенных пассажиров i-й российской авиакомпанией, не входящей в группу российских авиакомпаний, за отчетный период соответственно 2019 года и 2020 года (пасс.);

- коэффициент, значение которого равно 0,61, применяемый для российской авиакомпании, которая по итогам 2019 года перевезла более 500 тыс. пассажиров и у которой доля полетов (отправлений воздушных судов) на регулярных воздушных линиях в общем числе выполненных полетов (отправлений воздушных судов) составляет менее 50 процентов; (в ред. Постановления Правительства РФ от 10.12.2020 N 2067)

- коэффициент, значение которого равно 1,5, применяемый для российской авиакомпании, зарегистрированной на территории Дальневосточного федерального округа; (в ред. Постановления Правительства РФ от 10.12.2020 N 2067)

Значения коэффициентов, указанных в абзацах шестом и седьмом настоящего пункта, для расчета размера субсидии i-й российской авиакомпании, не входящей в группу российских авиакомпаний, в период с февраля по июнь 2020 г. принимаются равными 1. (в ред. Постановления Правительства РФ от 10.12.2020 N 2067)

Если в 2019 году под кодом i-й российской авиакомпании производилось оформление пассажирских перевозок другой российской авиакомпании, то в случае, если операционная деятельность этой другой российской авиакомпании прекращена, значение принимается равным суммарному количеству пассажиров, перевезенных этими российскими авиакомпаниями.

Если значение больше значения , определенного за аналогичный период 2019 года, величина принимается равной 0.

9. Размер субсидии, предоставляемой i-й российской авиакомпании, не входящей в группу российских авиакомпаний (), при превышении суммарного расчетного размера субсидий, предоставляемых российским авиакомпаниям, не входящим в группы российских авиакомпаний () (в соответствующем периоде), над остатком бюджетных ассигнований (V) рассчитывается по формуле:

,

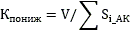
где - понижающий коэффициент, применяемый в случае недостаточности бюджетных ассигнований федерального бюджета на цели, указанные в пункте 1 настоящих Правил.

Понижающий коэффициент () рассчитывается по формуле:

,

где V - объем бюджетных ассигнований на цели, указанные в пункте 1 настоящих Правил, без учета суммарного расчетного размера субсидий группам российских авиакомпаний () (рублей).

10. Для получения субсидии на частичную компенсацию расходов российской авиакомпании, входящей в группу российских авиакомпаний, в течение 60 календарных дней со дня вступления в силу настоящих Правил или со дня окончания отчетного месяца уполномоченное указанными российскими авиакомпаниями лицо представляет в Федеральное агентство воздушного транспорта следующие документы:

а) заявление, составленное в произвольной форме и подписанное руководителем (уполномоченным в установленном порядке лицом) и главным бухгалтером (при наличии) каждой российской авиакомпании, входящей в группу российских авиакомпаний, с указанием размера субсидии, включающее полное наименование, почтовый адрес, основной государственный регистрационный номер, идентификационный номер налогоплательщика, код причины постановки на учет в налоговых органах и платежные реквизиты;

б) справка, подписанная руководителем (уполномоченным в установленном порядке лицом) каждой авиакомпании, входящей в группу российских авиакомпаний, о соответствии требованиям, предусмотренным пунктом 4 настоящих Правил;

в) заверенные руководителем (уполномоченным в установленном порядке лицом) каждой авиакомпании, входящей в группу российских авиакомпаний, расчеты размера субсидии в соответствии с пунктом 11 настоящих Правил по каждой такой авиакомпании по форме согласно приложению N 3, а также документы, указанные в абзацах втором - восьмом подпункта "в" пункта 7 настоящих Правил, оформленные в отношении каждой такой авиакомпании; (в ред. Постановления Правительства РФ от 10.12.2020 N 2067)

г) документ, подтверждающий полномочия уполномоченного лица на представление предусмотренных настоящим пунктом документов.

11. Размер субсидии j-й группе российских авиакомпаний рассчитывается по формуле:

,

где:

- суммарный размер субсидии российским авиакомпаниям, входящим в группу российских авиакомпаний, подтвержденный документами, представленными российскими авиакомпаниями в соответствии с приложениями N 2 и 3 к настоящим Правилам (рублей);

N - количество российских авиакомпаний, входящих в j-ю группу российских авиакомпаний.

12. Федеральное агентство воздушного транспорта в течение 3 рабочих дней со дня получения заявления и документов, указанных в пунктах 7 и 10 настоящих Правил, осуществляет проверку их полноты, правильности оформления и достаточности содержащихся в них сведений.

13. При выявлении неполноты или несоответствия представленных документов требованиям пунктов 4, 7 и 10 настоящих Правил выявленные несоответствия подлежат устранению допустившей их российской авиакомпанией на основании соответствующего уведомления Федерального агентства воздушного транспорта в срок не более 2 рабочих дней со дня получения такого уведомления.

14. Основаниями для отказа в предоставлении субсидии являются:

а) недостоверность информации, содержащейся в документах, указанных в пунктах 4, 7 и 10 настоящих Правил, или их непредставление (представление не в полном объеме);

б) несоответствие российской авиакомпании требованиям, предусмотренным пунктом 4 настоящих Правил.

15. Федеральное агентство воздушного транспорта в течение 5 рабочих дней после поступления заявлений российских авиакомпаний с учетом сроков, указанных в пунктах 7 и 10 настоящих Правил, принимает решение о предоставлении субсидии.

16. Руководители российских авиакомпаний несут ответственность за достоверность сведений, содержащихся в представляемых в Федеральное агентство воздушного транспорта в соответствии с настоящими Правилами документах.

17. Субсидия предоставляется на основании решения о предоставлении субсидии, указанного в пункте 15 настоящих Правил, и перечисляется на расчетный счет, открытый российской авиакомпанией в российской кредитной организации, в течение 10 дней после принятия такого решения.

18. Результатом предоставления субсидии являются непрекращение (неприостановление) российскими авиакомпаниями деятельности по перевозке пассажиров и численность выбывших в связи с сокращением специалистов авиационного персонала гражданской авиации, не превышающая 10 процентов численности таких работников списочного состава на 1 января 2020 г.

В случае недостижения результата предоставления субсидии до 1 декабря 2020 г. субсидия подлежит возврату в федеральный бюджет в полном размере за отчетный месяц, в котором не был достигнут результат предоставления субсидии, в порядке, предусмотренном пунктом 20 настоящих Правил. (в ред. Постановления Правительства РФ от 10.12.2020 N 2067)

Достижение результата предоставления субсидии оценивается Федеральным агентством воздушного транспорта на основании документов, представляемых в соответствии с пунктами 7 и 10 настоящих Правил. (в ред. Постановления Правительства РФ от 10.12.2020 N 2067)

19. Федеральное агентство воздушного транспорта и уполномоченный орган государственного финансового контроля проводят обязательные проверки соблюдения российской авиакомпанией порядка, цели и условий предоставления субсидий.

20. В случае установления по итогам проверок, проведенных Федеральным агентством воздушного транспорта и (или) уполномоченным органом государственного финансового контроля, факта нарушения предусмотренных настоящими Правилами условий, установленных при предоставлении субсидий, соответствующие средства подлежат возврату в доход федерального бюджета:

а) на основании требования Федерального агентства воздушного транспорта - в течение 10 календарных дней со дня получения указанного требования;

б) на основании представления и (или) предписания уполномоченного органа государственного финансового контроля - в сроки, установленные в соответствии с бюджетным законодательством Российской Федерации.

Приложение N 1
к Правилам предоставления в 2020 году
из федерального бюджета субсидий
российским авиакомпаниям на частичную
компенсацию расходов в связи
со снижением доходов таких авиакомпаний
в результате падения объемов пассажирских
воздушных перевозок вследствие
распространения новой
коронавирусной инфекции

(форма)

РАСЧЕТ РАЗМЕРА СУБСИДИИ РОССИЙСКИМ АВИАКОМПАНИЯМ НА ЧАСТИЧНУЮ КОМПЕНСАЦИЮ РАСХОДОВ В СВЯЗИ СО СНИЖЕНИЕМ ДОХОДОВ ТАКИХ АВИАКОМПАНИЙ В РЕЗУЛЬТАТЕ ПАДЕНИЯ ОБЪЕМОВ ПАССАЖИРСКИХ ВОЗДУШНЫХ ПЕРЕВОЗОК ВСЛЕДСТВИЕ РАСПРОСТРАНЕНИЯ НОВОЙ КОРОНАВИРУСНОЙ ИНФЕКЦИИ

Период     ИНН/КПП _________/________
  (месяц, год)      
Заявитель     Р/с:  
  (наименование российской авиакомпании)      
      Банк  
      К/с:  

N п/п Наименование Количество пассажиров, перевезенных на международных воздушных линиях и внутренних воздушных линиях, по организации за отчетный период 2020 года, пасс. Количество пассажиров, перевезенных на международных воздушных линиях и внутренних воздушных линиях, по организации за отчетный период 2019 года, пасс. Снижение пассажиропотока, пасс. Расходная ставка по транспортной работе на международных воздушных линиях и внутренних воздушных линиях, при выполнении перевозок, тыс. рублей/пасс. Размер субсидии, тыс. рублей
1 2 3 4 5=|3-4| 6 7=5x6
1. Расчет размера субсидии          
2. Компенсируемые статьи расходов, полученных за счет субсидии X X X X  
2.1. Оплата труда, всего X X X X  
2.1.1. Оплата труда летных экипажей X X X X  
2.1.2. Оплата труда кабинных экипажей X X X X  
2.1.3. Оплата труда прочих специалистов авиационного персонала гражданской авиации X X X X  
2.2. Аренда и лизинг воздушных судов по договорам, заключенным с российскими компаниями-лизингодателями X X X X  
2.3. Расходы авиакомпаний по аэропортовому обслуживанию (в части дополнительных расходов на стоянку воздушных судов) X X X X  
2.4. Расходы на ведение операционной деятельности и содержание имущества X X X X  

Руководитель М.П.      
    (подпись)   (ф.и.о.)
Главный бухгалтер        
    (подпись)   (ф.и.о.)
Исполнитель        
    (подпись)   (ф.и.о.)

Приложение N 2
к Правилам предоставления в 2020 году
из федерального бюджета субсидий
российским авиакомпаниям на частичную
компенсацию расходов в связи
со снижением доходов таких авиакомпаний
в результате падения объемов пассажирских
воздушных перевозок вследствие
распространения новой
коронавирусной инфекции

(форма)

РЕЕСТР ДОКУМЕНТОВ, ПОДТВЕРЖДАЮЩИХ РАСЧЕТ РАЗМЕРА СУБСИДИИ РОССИЙСКИМ АВИАКОМПАНИЯМ НА ЧАСТИЧНУЮ КОМПЕНСАЦИЮ РАСХОДОВ В СВЯЗИ СО СНИЖЕНИЕМ ДОХОДОВ ТАКИХ АВИАКОМПАНИЙ В РЕЗУЛЬТАТЕ ПАДЕНИЯ ОБЪЕМОВ ПАССАЖИРСКИХ ВОЗДУШНЫХ ПЕРЕВОЗОК ВСЛЕДСТВИЕ РАСПРОСТРАНЕНИЯ НОВОЙ КОРОНАВИРУСНОЙ ИНФЕКЦИИ НА СУММУ ____________ РУБЛЕЙ

Период     ИНН/КПП _________/________
  (месяц, год)      
Заявитель     Р/с:  
  (наименование российской авиакомпании)      
      Банк  
      К/с:  

N п/п Компенсируемые статьи расходов (из приложения N 1) Подтверждающие платежные документы (банковские выписки о перечислении денежных средств) Сумма платежного документа в иностранной валюте (при наличии) Курс иностранной валюты на дату платежа (при наличии) Сумма платежного документа, рублей Иные подтверждающие документы (счет, накладная, акт, требование, реестр, бухгалтерская справка, ведомость на перечисление заработной платы) Сумма подтверждающего документа, рублей
1 2 3 4 5 6 7 8
наименование документа N дата наименование документа N дата
                       
                       
                       
                       
                       
  итого X X X   X   X X X  

Руководитель М.П.      
    (подпись)   (ф.и.о.)
Главный бухгалтер        
    (подпись)   (ф.и.о.)
Исполнитель        
    (подпись)   (ф.и.о.)

Приложение N 3
к Правилам предоставления в 2020 году
из федерального бюджета субсидий
российским авиакомпаниям на частичную
компенсацию расходов в связи
со снижением доходов таких авиакомпаний
в результате падения объемов пассажирских
воздушных перевозок вследствие
распространения новой
коронавирусной инфекции

(форма)

РАСЧЕТ РАЗМЕРА СУБСИДИИ АВИАКОМПАНИИ, ВХОДЯЩЕЙ В ГРУППУ РОССИЙСКИХ АВИАКОМПАНИЙ, НА ЧАСТИЧНУЮ КОМПЕНСАЦИЮ РАСХОДОВ В СВЯЗИ СО СНИЖЕНИЕМ ДОХОДОВ ТАКИХ АВИАКОМПАНИЙ В РЕЗУЛЬТАТЕ ПАДЕНИЯ ОБЪЕМОВ ПАССАЖИРСКИХ ВОЗДУШНЫХ ПЕРЕВОЗОК ВСЛЕДСТВИЕ РАСПРОСТРАНЕНИЯ НОВОЙ КОРОНАВИРУСНОЙ ИНФЕКЦИИ

Период     ИНН/КПП _________/________
  (месяц, год)      
Заявитель     Р/с:  
  (наименование российской авиакомпании)      
      Банк  
      К/с:  

Часть 1. Справочная информация об оценке снижения пассажиропотока

N п/п Наименование авиакомпании, входящей в группу российских авиакомпаний Количество пассажиров, перевезенных на международных воздушных линиях и внутренних воздушных линиях, по организации за отчетный период 2020 года, пасс. Количество пассажиров, перевезенных на международных воздушных линиях и внутренних воздушных линиях, по организации за отчетный период 2019 года, пасс. Снижение пассажиропотока, пасс.
1 2 3 4 5=|3-4|
1.        

Часть 2. Компенсируемые статьи расходов, полученных за счет субсидии

N п/п Наименование статьи расходов Размер субсидии, тыс. рублей
1. Оплата труда, всего  
1.1. Оплата труда летных экипажей  
1.2. Оплата труда кабинных экипажей  
1.3. Оплата труда прочих специалистов авиационного персонала гражданской авиации  
2. Аренда и лизинг воздушных судов по договорам, заключенным с российскими компаниями-лизингодателями  
3. Расходы на ведение операционной деятельности и содержание имущества итого  
Руководитель М.П.      
    (подпись)   (ф.и.о.)
Главный бухгалтер        
    (подпись)   (ф.и.о.)
Исполнитель        
    (подпись)   (ф.и.о.)