Общие положения по проектированию и строительству газораспределительных систем из металлических и полиэтиленовых труб. СП 42-101-2003

(утв. Постановлением Госстроя РФ от 26.06.2003 N 112) (приложения л - э)
Редакция от 08.07.2003 — Действует

СИСТЕМА НОРМАТИВНЫХ ДОКУМЕНТОВ В СТРОИТЕЛЬСТВЕ

СВОД ПРАВИЛ ПО ПРОЕКТИРОВАНИЮ И СТРОИТЕЛЬСТВУ

ОБЩИЕ ПОЛОЖЕНИЯ ПО ПРОЕКТИРОВАНИЮ И СТРОИТЕЛЬСТВУ ГАЗОРАСПРЕДЕЛИТЕЛЬНЫХ СИСТЕМ ИЗ МЕТАЛЛИЧЕСКИХ И ПОЛИЭТИЛЕНОВЫХ ТРУБ

THE GENERAL PROVISION AND CONSTRUCTION GAS DISTRIBUTION SISTEM FROM STEEL AND POLYETHYELENE PIPES

СП 42-101-2003

УДК 69+696.2 (083.74)

Дата введения 2003-07-08

Приложения А - К "Общих положений по проектированию и строительству газораспределительных систем из металлических и полиэтиленовых труб. СП 42-101-2003" включены в базу отдельным документом.

ПРИЛОЖЕНИЕ Л
(рекомендуемое)

МЕТОД НАКЛОННО-НАПРАВЛЕННОГО БУРЕНИЯ

Л.1 ОРГАНИЗАЦИЯ СТРОИТЕЛЬСТВА

Л.1.1 До начала строительства необходимо уточнить на местности проектное положение газопровода.

Л.1.2 Строительство газопроводов способом наклонно-направленного бурения должны выполнять специализированные организации, имеющие необходимое оборудование и соответствующую лицензию.

Л.1.3 Работы по бурению рекомендуется выполнять при положительных температурах окружающего воздуха. Работа по прокладке протяженных газопроводов при отрицательных температурах окружающего воздуха должна выполняться круглосуточно при непрерывной работе всех систем, бурильная установка и резервуары с буровым раствором должны находиться в укрытии с температурой воздуха не ниже плюс 5 °С. Не рекомендуется планировать работы на период, когда возможно понижение температуры до минус 20 °С. При строительстве газопроводов незначительной длины (до 100 м) и диаметром до 110 мм допускается протаскивание газопровода с одновременным расширением бурового канала.

Л.1.4 Напряжения в стенке трубы при ее протаскивании по буровому каналу не должны превышать:

для стальных труб - 70% sт; (1)

для полиэтиленовых труб - 50% sт(2)

Л.1.5 Максимально допустимое усилие протаскивания Р_гп стального газопровода по буровому каналу рассчитывается по формуле

, (3)

где Ргп - усилие протаскивания стального газопровода, Н;

sт - предел текучести применяемой стальной трубы, Н/мм2;

dн - наружный диаметр трубы газопровода, мм;

dв - внутренний диаметр трубы газопровода, мм.

Л.1.6 Максимально допустимое усилие протаскивания газопровода Ргп из полиэтиленовых труб по буровому каналу не должно превышать величин, указанных в таблице Л.1.

Усилия протаскивания газопровода рассчитаны исходя из следующих прочностных характеристик полиэтилена:

ПЭ 80 - sт- 15,0 МПа;

ПЭ 100 - sт- 25,0 МПа.

Для предупреждения повреждения полиэтиленового газопровода при протаскивании соединение расширителя с газопроводом следует изготавливать таким, чтобы оно разрывалось при возникновении усилия протаскивания газопровода Ргп, большего, чем приведенное в таблице Л.1.

Таблица Л.1

N п.п. Диаметр и толщина стенки трубы газопровода, мм Максимально допустимое усилие протаскивания газопровода из полиэтиленовых труб Ргп, Н
Материал трубы газопровода
SDR 11 ПЭ80 ПЭ100
1 20 x 3 1200 2000
2 25 x 3 1500 2500
3 32 x 3 2000 3400
4 40 x 3,7 3000 5000
5 50 x 4,6 4900 8000
6 63 x 5,8 7800 13000
7 75 x 6,8 11000 18000
8 90 x 8,2 15700 26000
9 110 x 10 23000 39000
10 125 x 11,4 30400 50600
11 140 x 12,7 38000 63000
12 160 x 14,6 50000 83000
13 180 x 16,4 63000 105000
14 200 x 18,2 78000 130000
15 225 x 20,5 98000 164000

Л.1.7 Выбор бурильной установки производится по результатам расчета общего усилия протаскивания Р согласно разделу Л.4 настоящего приложения. Примеры расчета общего усилия протаскивания Р и усилия протаскивания газопровода из полиэтиленовых труб Р_гп диаметром 110 мм при строительстве подводного перехода приведены в приложении М.

Л.1.8 Диаметр бурового канала для протаскивания стального газопровода определяется проектом и зависит от возможностей бурильной установки, применяемого оборудования, длины и диаметра прокладываемого газопровода.

Л.1.9 Соотношения диаметра бурового канала, диаметра трубы и длины газопровода из полиэтиленовых труб приведены в таблице Л.2.

Таблица Л.2

Длина газопровода Диаметр бурового канала
Меньше 50 м >= 1,2 диаметра трубы
50 - 100м >= 1,3 " "
100 - 300 м >= 1,4 " "
Более 300 м >= 1,5 " "

Для твердых почв - сухой глины и плотного, слежавшегося песка диаметр бурового канала должен быть >= 1,5 диаметра трубы.

Л.1.10 Для контроля трассы бурения (определения местонахождения буровой головки в грунте) применяются различные системы локации.

Л.2 РАСЧЕТ ГЕОМЕТРИЧЕСКИХ ПАРАМЕТРОВ ТРАССЫ

Л.2.1 Основными геометрическими параметрами трассы газопровода являются (рисунки Л.1-Л.3):

- l - длина пилотной скважины (длина бурового канала; длина трассы газопровода);

- L - длина пилотной скважины в плане;

- d - диаметр бурового канала;

- D1 - заглубление пилотной скважины от точки забуривания;

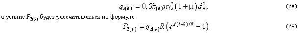
- D2 - заглубление пилотной скважины от точки выхода буровой головки из земли;

- D_s - глубина (по вертикали) точки забуривания во входном приямке от поверхности земли;

- H1 - заглубление пилотной скважины от поверхности земли при забуривании;

- H2 - заглубление пилотной скважины от поверхности земли при выходе буровой головки из земли;

- a1 - угол забуривания (входной угол);

- a_1-i(расч) - средний расчетный текущий угол для вычислений при переходе от точки забуривания до точки максимального заглубления;

- a2 - угол на выходе буровой головки из земли;

- a2-i(расч) - средний расчетный текущий угол для вычислений при переходе от максимального заглубления до выхода буровой головки из земли.

Рисунок Л.1 - Основные геометрические параметры трассы

Расчеты геометрических параметров пилотной скважины

Л.2.2 Расстояние Ls от лафета бурильной установки до точки входа буровой головки в землю (точки забуривания) во входном приямке (рисунок Л.2) определяется по формуле

, (4)

где L_s - расстояние по горизонтали от лафета буровой установки до точки входа буровой головки в землю во входном приямке, м;

D_s - глубина точки входа бура в землю во входном приямке (определяется проектом), м;

a1 - угол входа бура в землю (угол забуривания) (характеристика буровой установки), град.

Л.2.3 Радиус кривизны пилотной скважины R1(при забуривании (рисунок Л.1) определяется при переходе от максимального угла при забуривании к нулевому на максимальной глубине (пилотная скважина выполняется по плавной дуге) и по формуле

, (5)

где R1 - радиус кривизны пилотной скважины при забуривании, м;

D1 - заглубление пилотной скважины от точки забуривания (определяется проектом).

Длина пилотной скважины l1 при переходе от максимального угла при забуривании к нулевому углу (рисунки Л.1, Л.2) рассчитывается по формуле

, (6)

где l1 - расчетная длина пилотной скважины от точки забуривания до точки максимального заглубления (от точки М до точки A1), м.

Л.2.4 Количество буровых штанг n1, необходимое для выполнения пилотной скважины длиной l1, определяется по формуле

n1 = l1 , (7)

где - длина одной штанги;

n1 - количество буровых штанг, необходимое для бурения пилотной скважины длиной l1.

Рисунок Л.2 - Схема забуривания пилотной скважины

Рисунок Л.3 - Схема перехода пилотной скважины от максимального угла забуривания к нулевому углу

Л.2.5 Величина изменения текущего угла Da1 на каждой штанге при выполнении пилотной скважины на длине l1 рассчитывается по формуле

а1 = а1 , (8)
n1

где a1 - изменение угла на каждой штанге.

Л.2.6 Для упрощенных расчетов величины заглубления буровой головки в земле при переходе от максимального угла при забуривании (рисунки Л.2, Л.3) к нулевому при горизонтальном положении буровой головки необходимо определить средний расчетный текущий угол a1-i(расч) по формуле

a_1 - i(расч)= а1 + a_i , (9)
2

где a_1-i(расч) - средний расчетный текущий угол для вычислений;

a_i - текущий угол (в пределах от a1 при забуривании до 0°), рассчитывается по формуле

a_i = a1 - ia1 , (10)

где i - текущее число штанг, необходимое для проходки пилотной скважины длиной l1 (i=1; 2; 3,..., n1).

Л.2.7 Расчет текущего заглубления пилотной скважины D_1-i (рисунки Л.2, Л.3)

D_1-i = l_1-i sin 1-i(расч) , (11)

где l_1-i - текущая длина пилотной скважины (от 0 до l1);

a_1-i(расч) - средний текущий расчетный угол.

На рисунке Л.3 графически показаны:

- текущая длина пилотной скважины: li= l_1-1; l_1-2; l_1-3, …, l1;

- текущее заглубление пилотной скважины: Di = D_1-1; D_1-2; D_1-3, …, D1.

При этом расчет текущего заглубления на выходе газопровода (на длине l2) выполняется аналогично расчету на входе (на длине l1).

Л.2.8 Радиус кривизны пилотной скважины R2 на выходе пилотной скважины из грунта (рисунок Л.1) рассчитывается по формуле

R2 = D2 , (12)
1 - cos a2

где R2 - радиус кривизны пилотной скважины на выходе, м;

a2 - угол на выходе, град;

D2 - заглубление пилотной скважины на выходе, определяется по формуле

D2 = D1 - h2, (13)

где h2 - перепад по высоте точки выхода пилотной скважины относительно точки забуривания, м.

Л.2.9 Длина пилотной скважины l2 при переходе от нулевого угла на максимальной глубине к углу на выходе в выходном приямке (рисунок Л.1) определяется по формуле

, (14)

где l2 - теоретическая длина пилотной скважины от точки максимальной глубины до точки выхода в выходном приямке (от точки А2 до точки Н), м.

Л.2.10 Общая длина пилотной скважины l от точки входа до точки выхода (рисунок Л.1) состоит из:

l = l1 + l_пр+ l2, (15)

где l_пр - длина прямолинейного участка;

l - общая длина пилотной скважины от точки входа до точки выхода (от точки М до точки Н).

Рисунок Л.4 - Расчетные параметры пилотной скважины

При наличии нескольких прямолинейных и криволинейных участков общую длину пилотной скважины рассчитывают по формуле

l = l1 + l_1пр + l_1кр + l_2пр + l_2кр + l_3пр + … + l2, (16)

где l_1пр; l_1кр; l_2п; l_2кр; l_3пр - длины различных прямолинейных и криволинейных участков.

Л.2.11 Длина пилотной скважины в плане L1 от точки входа в грунт до точки максимального заглубления (рисунок Л.1) определяется по формуле

, (17)

где L1 - длина пилотной скважины в плане от точки М до точки А`1.

Л.2.12 Длина пилотной скважины в плане L2 от точки максимального заглубления до точки выхода из земли определяется по формуле

, (18)

где L2 - длина пилотной скважины в плане от точки А2 до точки Н.

Л.2.13 Общая длина пилотной скважины в плане L от точки забуривания до точки выхода пилотной скважины из земли состоит из

L = L1+ L_пр + L2 (19)

где L_пр - длина прямолинейного участка в плане;

L - общая длина пилотной скважины в плане от точки М до точки H.

При наличии нескольких прямолинейных и криволинейных участков длину трассы рассчитывают по формуле

L = L1 + L_1пр + L_1кр + L_2пр + L_3кр + L_3пр + … + L2 (20)

где L_1пр, L_1кр, L_2пр, L_3кр, L_3пр и т.д. - длины конкретных криволинейных и прямолинейных участков пилотной скважины в плане.

По результатам расчетов параметров трассы газопровода оформляют профиль бурения (форма Г) и карту бурения (форма Д).

Л.2.14 Для расчета тяговых усилий при горизонтальном направленном бурении необходимо определить общий теоретический радиус кривизны бурового канала (рисунок Л.1):

а) для простых трасс, выполненных по плавной дуге, общий теоретический радиус равен фактическому радиусу кривизны бурового канала и рассчитывается по формуле

R = D1 ; (21)
1-cos a1

б) для сложных трасс за радиус кривизны пилотной скважины принимают радиус вписанной окружности, наиболее приближенной к проектному профилю пилотной скважины, который рассчитывают по формуле (рисунок Л.1)

R = L(2) + (D1 + D2) . (22)
4 (D1 + D2) 4

Л.2.15 Длина плети газопровода, необходимая (и достаточная) для протаскивания, определяется по формуле

l_г = l + дельта + 2а , (23)

где l_г - длина трубы прокладываемого газопровода, м;

l - расчетная длина, м;

d - отклонение фактической длины бурового канала от расчетного размера: 10 - 20 % для газопровода из полиэтиленовых труб, 3 - 5 % для стального газопровода, м;

а - участки газопровода вне бурового канала: 1,5 - 2,5 м.

Л.2.16 Объем грунта V_г, удаляемого из скважины, определяется по формуле

Vг = Пd(2)l , (24)
4

где d - диаметр бурового канала (пилотной скважины), м;

l - теоретическая длина бурового канала, м.

Л.2.17 Потребность в буровом растворе V_p, необходимом для качественного бурения, зависит от типа грунта и колеблется в значительных пределах. В среднем для того чтобы вывести из скважины на поверхность один объем грунта, требуются 3 - 5 объемов бурового раствора (для сыпучего песка - 6 - 10 объемов).

Л.2.18 Минимальное время t_min бурения пилотной скважины (бурового канала) составляет

t_min = V_p , (25)
Q_ж

где V_р - объем бурового раствора, который необходим для качественного бурения, л;

- производительность насоса бурильной установки, л/мин (характеристика бурильной установки).

Л.2.19 Максимальная скорость бурения v_max

v_max = l . (26)
t_min

Л.3 РАСЧЕТ УСИЛИЯ ПРОХОДКИ ПИЛОТНОЙ СКВАЖИНЫ

Л.3.1 Исходя из закона равновесия сил взаимодействия усилие проходки пилотной скважины определяют как сумму всех видов сил сопротивления движению буровой головки и буровых штанг в пилотной скважине:

, (27)

где Р*1 - лобовое сопротивление бурению (сопротивление движению буровой головки в грунте) с учетом искривления пилотной скважины;

Р*2 - сила трения от веса буровых штанг (в скважине);

Р*3 - увеличение силы трения от силы тяжести грунта зоны естественного свода равновесия (по М.М. Протодьяконову);

Р*4 - увеличение силы трения от наличия на буровых штангах выступов за пределы наружного диаметра;

Р*5 - дополнительные силы трения от опорных реакций;

Р*6 - сопротивление перемещению буровых штанг в зоне забуривания за счет смятия стенки скважины;

Р*7 - сопротивление на выходе при переходе от криволинейного движения к прямолинейному.

Расчет усилия проходки пилотной скважины выполняется для двух пограничных состояний:

- при благоприятных условиях: при наличии качественного бурового раствора, отсутствии фильтрации раствора в грунт, при хорошо сформированной и стабильной пилотной скважине;

- при неблагоприятных условиях: при обрушении грунта по длине пилотной скважины и фильтрации бурового раствора в грунт.

Л.3.2 Лобовое сопротивления бурению Р*1 рассчитывается по формуле

, (28)

где Р*г - сила сопротивления бурению, Н;

li - текущая длина пилотной скважины при бурении от точки забуривания до выхода пилотной скважины из земли (от 0 до 1), м;

R - радиус кривизны пилотной скважины, м;

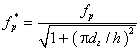
f*p - условный коэффициент трения вращающегося резца о грунт, рассчитывается по формуле

, (29)

где f_p - коэффициент трения резца о грунт;

d_г - диаметр буровой головки, м;

h - подача на оборот, рассчитывается по формуле

h = v , (30)
омега

где v - скорость бурения, м/мин;

омега - угловая скорость бурения, об/мин.

Сила сопротивления бурению P*г при разрушении грунта вращающейся буровой головкой рассчитывается по формуле

, (31)

где С_о - коэффициент сцепления грунта, Н/м2 (Па);

m - ширина резца, м;

е_р - глубина врезания (вылет резца), м;

р - угол внутреннего трения грунта, рад.

Л.3.3 Силу трения от веса буровых штанг в пилотной скважине Р*2 рассчитывают по формуле

, (32)

где q_ш - погонный вес буровых штанг за вычетом выталкивающей силы бурового раствора, Н/м;

R - радиус кривизны бурового канала, м;

l - длина пилотной скважины, м;

li - текущая длина пилотной скважины, м.

l_i ; l - 2l_i - углы в радианах (1 радиан - 57,3°);
2R 2R

f*ш - условный коэффициент трения вращающихся буровых штанг о грунт, смоченный буровым раствором, рассчитывается по формуле

, (33)

где d_ш - наружный диаметр буровых штанг, м;

f_ш - коэффициент трения штанг о грунт, смоченный буровым раствором.

Погонный вес штанг q_ш (за вычетом выталкивающей силы бурового раствора) рассчитывается по формуле

, (34)

где y_ш - удельный вес материала штанг, Н/м3;

y_ж - удельный вес бурового раствора, Н/м3;

б_ш - толщина стенки штанги, м.

Л.3.4 Усилие увеличения силы трения от силы тяжести грунта зоны естественного свода равновесия (по М.М. Протодьяконову) Р*3 рассчитывается по формуле

, (35)

где q_г - погонный вес грунта зоны естественного свода равновесия (по М.М. Протодьяконову), который рассчитывается по формуле

, (36)

где и - коэффициент бокового давления;

k - коэффициент высоты свода равновесия (по М.М. Протодьяконову), который рассчитывается по формулам:

- при благоприятных условиях; (37)
- при неблагоприятных условиях, (38)

где р - угол внутреннего трения грунта, рад;

y*г - объемный вес грунта с учетом разрыхления при его обрушении на буровые штанги, который рассчитывается по формуле

, (39)

где y_г - удельный объемный вес грунта в естественном залегании, Н/м3.

Л.3.5 Увеличение силы трения от наличия на штангах выступов за пределы наружного диаметра Р*4 рассчитывается по формуле

, (40)

где q*6 - погонная сила сопротивления буртов земли, образованных выступами, рассчитывается по формулам, Н/м:

а) при благоприятных условиях:

, (41)

где а_ш - расстояние между выступами на штанге, м;

y_в - удельный вес воды, Н/м3;

P*3 - потеря давления бурового раствора между выступом и стенкой скважины на длине выступа, рассчитывается по формуле

, (42)

где Q_ж - расход бурового раствора, м3/с (характеристика установки);

L*3 - длина выступа на штанге, м;

d*3 - наружный диаметр выступа на штанге, м;

d_г - наружный диаметр буровой головки, м;

Р_ш - потеря давления бурового раствора между штангами и стенкой скважины на длине выступа, которая рассчитывается по формуле

б_упл - напряжение уплотнения грунта, которое рассчитывается по формуле

- для песчаных грунтов, Н/м2 (Па), (45)

А_г - площадь вертикального сечения бурта, рассчитывается по формуле

, (46)

n_0 - пористость грунта в естественном залегании;

n - приращение пористости грунта при обрушении грунта зоны свода равновесия, рассчитывается по формуле

. (47)

Л.3.6 Дополнительные силы трения от опорных реакций при движении в криволинейной скважине рассчитываются по формуле

, (48)

Р*и - силы трения от опорных реакций, определяющих изгиб буровых штанг, рассчитываются по формуле

, (49)

где Е_ш - модуль упругости материала штанг, Н/м2 (Па);

В_ш - плечо опорных реакций буровых штанг, рассчитывается по формуле

. (50)

Л.3.7 Сопротивление перемещению буровых штанг в зоне забуривания рассчитывается по формуле

(51)

где Р*с - сила смятия стенки скважины при забуривании, рассчитывается по формуле

(52)

Л.3.8 Сопротивление движению при переходе от криволинейного движения к прямолинейному рассчитывается по формуле

(53)

Л.3.9 Полное усилие прокладки пилотной скважины рассчитывается по формулам:

а) при благоприятных условиях:

(54)

б) при неблагоприятных условиях (обрушении грунта по всей длине пилотной скважины и полной фильтрации бурового раствора в грунт):

(55)

Фактическое усилие прокладки пилотной скважины в реальных условиях будет находиться между пограничными величинами Р_п(а) и Р_п(б).

Л.4 РАСЧЕТ ОБЩЕГО УСИЛИЯ ПРОТАСКИВАНИЯ Р

Л.4.1 Общее усилие протаскивания Р определяется как сумма всех видов сопротивления движению газопровода и расширителя в буровом канале:

Р = Р_р + Р*n + Ргн (56)

где Р - общее усилие протаскивания;

Р_р - лобовое сопротивление движению расширителя;

Р*n - усилие перемещения буровых штанг;

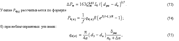
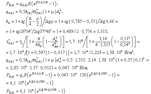
Р_гп - усилие протаскивания газопровода, которое рассчитывается по формуле

(57)

где Р2 - сила трения от веса газопровода (в буровом канале);

Р3 - увеличение силы трения от силы тяжести грунта зоны естественного свода равновесия (по М.М. Протодьяконову);

Р4 - увеличение силы трения от наличия на трубе газопровода выступов за пределы наружного диаметра;

Р5 - дополнительные силы трения от опорных реакций;

Р6 - усилие сопротивления перемещению газопровода в зоне заглубления в буровой канал;

Р7 - увеличенное сопротивление перемещению при переходе от прямолинейного движения к криволинейному;

Р8 - сила трения от веса газопровода, находящегося вне бурового канала.

Расчет общего усилия протаскивания выполняется для двух пограничных состояний:

- при благоприятных условиях: при наличии качественного бурового раствора, отсутствии фильтрации раствора в грунт, при хорошо сформированном и стабильном буровом канале;

- при неблагоприятных условиях: при обрушении грунта по длине бурового канала и фильтрации раствора в грунт.

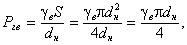
Л.4.2 Лобовое сопротивление движению расширителя Р_р рассчитывается по формуле

(58)

где Р_г - сила сопротивления бурению, Н;

l_i - текущая длина бурового канала от точки забуривания до точки выхода из земли (так как протаскивание газопровода начинается с конечной точки бурового канала, то текущая длина будет изменяться в интервале от 1 до 0), м;

R - радиус кривизны бурового канала, м;

f*рш - условный коэффициент трения вращающегося расширителя о грунт, смоченный буровым раствором, рассчитывается по формуле

(59)

где f*рш - коэффициент трения стального расширителя о грунт, смоченный буровым раствором;

d_рш - диаметр расширителя, м;

h - подача на оборот, м.

Сила сопротивления бурению Р_г рассчитывается по формуле

(60)

где р - давление жидкости на выходе из сопел расширителя, Н/м2 (Па) (характеристика оборудования буровой установки);

d*3 - диаметр выступа буровых штанг, м.

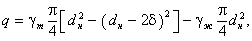
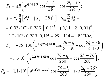
Л.4.3 Силу трения от веса газопровода Р2 рассчитывают по формуле

(61)

где q - погонный вес газопровода за вычетом выталкивающей силы бурового раствора, Н/м;

R - расчетный радиус кривизны бурового канала, м;

f - коэффициент трения газопровода о грунт, смоченный буровым раствором;

l - длина бурового канала;

li - текущая длина бурового канала (в интервале от 1 до 0), м;

l-l_i , 2l_i-l - углы в радианах (1 рад. - 57,3°).
2R 2R

Погонный вес газопровода q (за вычетом выталкивающей силы бурового раствора) рассчитывается по формуле

(62)

где y_т - удельный вес материала трубы газопровода, Н/м3;

y_ж - удельный вес бурового раствора, Н/м3;

d_н - наружный диаметр трубы газопровода, м;

б - толщина стенки трубы газопровода, м.

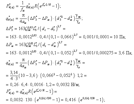
Л.4.4 Увеличение силы трения от силы тяжести грунта зоны естественного свода равновесия (по М.М. Протодьяконову) Р3 рассчитывается по формуле

(63)

где q_г - погонный вес грунта зоны естественного свода равновесия (по М.М. Протодьяконову), рассчитывается по формуле

(64)

где и - коэффициент бокового давления;

y*г - объемный вес грунта с учетом разрыхления при его обрушении на газопровод, рассчитывается по формуле

(65)

где y_г - удельный объемный вес грунта в естественном залегании, Н/м3;

k - коэффициент высоты свода равновесия (по М.М. Протодьяконову), рассчитывается по формуле (34) для благоприятных условий.

Погонный вес грунта зоны естественно свода равновесия будет рассчитываться по формуле

где k - коэффициент высоты свода равновесия (по М.М. Протодьяконову), рассчитывается по формуле (38) для неблагоприятных условий.

Погонный вес грунта зоны естественно свода равновесия будет рассчитываться по формуле

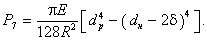
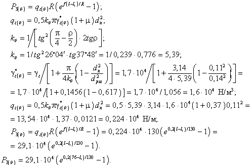
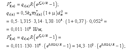
Л.4.5 Увеличение силы трения от наличия на трубе газопровода выступов за пределы наружного диаметра Р4 рассчитывается по формуле

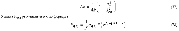
(70)

где q_б - погонная сила сопротивления буртов земли, Н/м, образованных выступами, которая рассчитывается по формулам

а) при благоприятных условиях:

(71)

где а - расстояние между выступами на газопроводе, м;

y_в - удельный вес воды, Н/м3;

Р3 - потеря давления бурового раствора между выступом и стенкой скважины на длине выступа, которая рассчитывается по формуле

(72)

где Q_ж - расход бурового раствора, м3/с;

L3 - длина выступа, м;

d3 - наружный диаметр выступа, м;

d_рш - наружный диаметр расширителя, м;

Рт - потеря давления бурового раствора между газопроводом и стенкой скважины на длине выступа, рассчитывается по формуле

где б_упл - напряжение уплотнения грунта, рассчитывается по формуле

- для песчаных грунтов, Н/м2 (Па),

где А - площадь вертикального сечения бурта, рассчитывается по формуле

(76)

где n_0 - пористость грунта в естественном залегании;

n - приращение пористости грунта при обрушении грунта зоны свода равновесия, которое рассчитывается по формуле

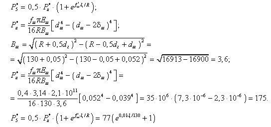
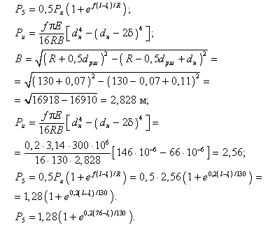
Л.4.6 Дополнительные силы трения от опорных реакций Р5рассчитываются по формуле

(79)

где Ри - силы трения от опорных реакций, определяющих изгиб газопровода, которые рассчитываются по формуле

(80)

где Е - модуль упругости материала газопровода, Н/м2 (Па);

В - плечо опорных реакций, рассчитывается по формуле

(81)

Л.4.7 Сопротивление перемещению в зоне заглубления газопровода в буровой канал за счет смятия стенки Р6 рассчитывается по формуле

(82)

где Р_с - сила смятия стенки скважины при забуривании, которая рассчитывается по формуле

(83)

Л.4.8 Увеличенное сопротивление при переходе от прямолинейного движения к криволинейному перед выходом газопровода из земли Р7 рассчитывается по формуле

(84)

Л.4.9 Сила трения от веса газопровода, находящегося вне бурового канала, P8 определяется по формуле

Р8 = f_гn q_гn l_i (85)

где f_гп - коэффициент трения газопровода о грунт;

q_гп - погонный вес 1 м трубы газопровода.

Л.4.10 Расчет усилия протаскивания газопровода Р_гп по буровому каналу:

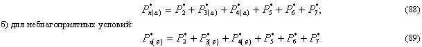
а) при благоприятных условиях:

Р_гп(a) = P2 + P3(a) + P4(a) + P5 + P6 + P7 + P8; (86)

б) при неблагоприятных условиях (обрушении грунта по всей длине бурового канала и при полной фильтрации бурового раствора в грунт):

Р_гп(б) = P2 + P3(б) + P4(б) + P5 + P6 + P7 + P8 (87)

Фактическое усилие протаскивания газопровода Р_гп(факт) будет находиться между пограничными значениями Р_гп(а) и Р_гп(б).

Л.4.11 Усилие перемещения буровых штанг Р*n представляет собой суммарное усилие, рассчитанное для проходки пилотной скважины, за вычетом усилия Р1 (лобового сопротивления бурению):

а) для благоприятных условий:

Л.4.12 Расчет общего усилия протаскивания Р:

а) при благоприятных условиях:

Р_(а) = Р_р + Р_гн(а) + Р*n(а) (90)

б) при неблагоприятных условиях (обрушении грунта по длине бурового канала и фильтрации бурового раствора в грунт):

Р_(б) = Р_р + Р_гн(б) + Р*n(б) (91) (91)

Фактическое общее усилие протаскивания Рфакт в реальных условиях будет находиться между пограничными значениями Р_(а) и Р_(б).

По максимальной величине усилия Р_(б) уточняется правильность выбора бурильной установки. Максимальное значение Р_(б) всегда должно быть меньше тягового усилия выбранной бурильной установки.

Л.4.13 Суммарный крутящий момент для вращения буровой головки и штанг при прокладке пилотной скважины рассчитывается по формуле

(92)

где М*к - крутящий момент на преодоление осевых сопротивлений;

М*б - крутящий момент на проворачивание буртов;

М*р - крутящий момент на разрушение забоя.

Л.4.14 Крутящий момент на преодоление осевых сопротивлений М*к рассчитывается по формуле

где - суммарное осевое усилие при благоприятных условиях, которое рассчитывается по формуле

(95)

- суммарное осевое усилие при неблагоприятных условиях, которое рассчитывается по формуле

(условное обозначение величин - см. Л.3.2);

(98)

(условное обозначение величин - см. Л.3.3);

(условное обозначение - см. Л.3.7).

Л.4.15 Крутящий момент на проворачивание буртов М*кб рассчитывается по формуле

В данном расчете применяется коэффициент f.

Обозначение величин - см. Л.3.2.

Л.4.16 Крутящий момент на разрушение забоя М*кр при механическом разрушении забоя вращающейся буровой головкой рассчитывается по формуле

(107)

где К_р - удельное сопротивление резанию грунта при прямолинейном движении резца, которое принимается согласно таблице Л.3; обозначение прочих величин - см. Л.3.5.

Таблица Л.3

Песок, Н/м2 Суглинок, Н/м2 Глина, Н/м2
(0,05-0,08) 106 (0,1-0,15) 106 (0,13-0,25) 106

Л.4.17 Суммарный крутящий момент для вращения расширителя и штанг при протаскивании газопровода по буровому каналу:

(108)

где М_к - крутящий момент на преодоление осевых сопротивлений;

М_кб - крутящий момент на проворачивание буртов;

М_кр - крутящий момент на разрушение забоя.

Л.4.18 Крутящий момент на преодоление осевых сопротивлений М*к рассчитывается по формуле

где - суммарное осевое усилие при благоприятных условиях, которое рассчитывается по формуле

(111)

- суммарное осевое усилие при неблагоприятных условиях, которое рассчитывается по формуле

(112)

(условное обозначение величин - см. Л.4.2);

(113)

(условное обозначение величин - см. Л.3.3.);

(условное обозначение - см. Л.3.7).

Л.4.19 Крутящий момент на проворачивание буртов М_кб рассчитывается по формуле

В данном расчете применяется коэффициент f.

Условные обозначения величин - см. Л.4.5.

Л.4.20 Крутящий момент на разрушение забоя М_кр (при механическом разрушении забоя вращающейся буровой головкой) рассчитывается по формуле

(122)

где К_р - удельное сопротивление резанию грунта при прямолинейном движении резца, которое принимается согласно таблице Л.3.

Условное обозначение величин - см. Л.4.2.

По максимальному значению уточняют выбор бурильной установки по крутящему моменту.

Л.4.21 Перед протаскиванием газопроводов из полиэтиленовых труб по буровому каналу необходимо рассчитать эксплуатационные нагрузки на трубу газопровода по двум критериям:

- по предельной величине внешнего равномерного радиального давления;

- по условию предельной овализации поперечного сечения трубы.

Л.4.22 Несущую способность подземного газопровода из полиэтиленовых труб по предельной величине внешнего равномерного радиального давления следует проверять соблюдением неравенства

(123)

где Р_кр - предельная величина внешнего равномерного радиального давления, при которой обеспечена устойчивость круглой формы стенки трубы, Н/м2;

k2 - коэффициент условий работы трубопровода на устойчивость, принимаемый < 0,6;

Р_г - давление грунта свода обрушения;

Р_гв - гидростатическое давление грунтовых вод;

Р_тп - давление от веса транспортных потоков;

n_тп, n_г, n_гв - коэффициенты перегрузки, принимаемые согласно таблице Л.4.

Таблица Л.4

N п.п Характер нагрузки Наименование нагрузки Коэффициент перегрузки h
1 Постоянная Масса трубопровода 1,1
2 » Давление грунта 1,2
3 Постоянная Гидростатическое давление грунтовых вод 1,2

Примечания: 1. Нагрузкой, создаваемой весом трубы газопровода, пренебрегаем из-за ее незначительности.

2. Давление газа в газопроводе не учитываем, так как оно разгружает стенку трубы.

Л.4.23 За критическую величину Р_кр предельного внешнего радиального давления следует принимать меньшее из значений, вычисленных по формулам:

(124)

(125)

где Р_л - параметр, характеризующий жесткость трубопровода, Н/м2, который вычисляется по формуле

(126)

где d_н - наружный диаметр газопровода, м;

б - толщина стенки, м;

Е - модуль ползучести полиэтилена, Н/м2, который вычисляется по формуле

Е = k_e E_0 , (127)

где Е_0 - модуль ползучести в зависимости от срока службы газопровода и напряжения в стенке трубы, выбираемый по таблице Л.5;

Таблица Л.5

Материал трубы Срок службы, лет Напряжение в стенке трубы, МПА
7 6 5 4 3 2,5 2 1,5 1 10,5
ПЭ 50 - - 100 120 140 150 160 180 200 220
25 - 90 110 130 150 160 170 190 210 230
10 - 100 120 140 160 170 190 210 230 250
5 - 110 130 150 170 190 220 220 240 270
1 120 140 150 170 200 210 250 250 280 300

k_e - коэффициент, учитывающий влияние температуры на деформационные свойства материла, определяемый из таблицы Л.6;

Таблица Л.6

Материал трубы Температура, °С
20 30 40 50 60
ПЭ 1 0,8 0,65 0,55 0,4

Р_гр - параметр, характеризующий жесткость грунта, Н/м2, который вычисляется по формуле

Р_гр = 0,125E_гр (128)

где Е_гр - модуль деформации грунта засыпки, Н/м2, определяемый по таблице Л.7.

Таблица Л.7

Наименование грунтов засыпки Е_гр, МПа
Пески крупные и средней крупности 12-17
Пески мелкие 10-12
Пески пылеватые 8-10
Супеси и суглинки 2-6
Глины 1,2-4

Л.5 РАСЧЕТ ВЕРТИКАЛЬНЫХ ВНЕШНИХ НАГРУЗОК НА ГАЗОПРОВОД

Л.5.1 Расчет вертикальной приведенной внешней нагрузки от давления грунта.

При бестраншейной прокладке давление грунта на газопровод создает так называемый свод обрушения. Очевидно, что максимальное давление грунта будет по вертикальной оси газопровода и будет равно:

(129)

где y_г -удельный вес грунта;

h_c - высота свода обрушения по СНиП 2.06.09;

d - диаметр бурового канала;

f' - коэффициент крепости грунта (по М.М. Протодьяконову), принимаемый согласно таблице Л.8.

Таблица Л.8

N п.п Грунт Коэффициент крепости грунта f'
1 Песок, насыпной грунт 0,5
2 Растительный грунт, торф, сырой песок, слабый глинистый грунт 0,6
3 Глинистый грунт, лесс 0,8
4 Плотный глинистый грунт 1,0
5 Твердая глина 1,5
6 Мягкий сланец, мягкий известняк, мерзлый грунт 2,0

Примечание. Расчет давления грунта согласно вышеуказанной формуле производится, когда (высота свода обрушения) << Н (высоты заложения газопровода от поверхности грунта).

Л.5.2 Расчет вертикальной приведенной внешней нагрузки от давления грунтовых вод.

Давление грунтовых вод рассчитывается по формуле

(130)

где y_в - удельный вес воды с растворенными в ней солями;

S - площадь сечения трубы газопровода;

d_н - наружный диаметр газопровода.

Л.5.3 Вертикальную приведенную внешнюю нагрузку давления грунта от подвижного состава железных дорог следует определять с учетом распределения нагрузки в грунте по формуле

Pжт = Qmax жт = 275000 , (131)
2,7 + Н 2,7 + Н

где Qmax жт - максимальная нормативная погонная нагрузка от подвижного состава железных дорог, равная 19,62 кН/м x 14.

Л.5.4 Вертикальную приведенную внешнюю нагрузку давления грунта от автомобильного транспорта следует определять с учетом распределения нагрузки в грунте по формуле

Pат = Qmax ат = 186000 , (132)
2,7 + Н 3 + Н

где Qmax ат - максимальная нормативная погонная нагрузка от автомобильного транспорта (от четырехосной машины НК-80 общим весом 80 т), равная 186000 Н/м.

Л.5.5 Расчет несущей способности стенки газопровода по условию предельно допустимой овализации (укорочения вертикального диаметра) следует производить по формуле

(133)

Р_л - параметр, характеризующий жесткость газопровода.

Л.6 ТЕХНОЛОГИЯ ПРОИЗВОДСТВА РАБОТ ПО БЕСТРАНШЕЙНОЙ ПРОКЛАДКЕ ГАЗОПРОВОДОВ

Л.6.1 Технология производства работ по бестраншейной прокладке газопроводов должна включать:

- подготовительные работы по доставке, расстановке, заземлению, закреплению буровой установки и оборудования;

- разметку трассы газопровода на поверхности земли, разметку входного и выходного приямков;

- подготовку входного и выходного приямков;

- подготовку нитки газопровода к протаскиванию (сварка, контроль, изоляция стыков - для стального газопровода, контроль изоляции, испытания);

- бурение пилотной скважины по трассе газопровода в соответствии с профилем бурения (форма Г), заполнение рабочего варианта протокола бурения (форма А);

- расширение бурового канала до необходимого диаметра;

- протаскивание газопровода по сформированному буровому каналу;

- отсоединение газопровода от бурильной установки;

- окончательное оформление протокола бурения и карты бурения (форма Д);

- контроль состояния изоляционного покрытия методом катодной поляризации (для стального газопровода);

- испытания газопровода на прочность и герметичность;

- сдачу газопровода приемочной комиссии.

Л.6.2 При сдаче газопровода комиссии предъявляются следующие документы:

- сертификаты заводов-изготовителей на трубы, сварочные и изоляционные материалы;

- акт разбивки и передачи трассы;

- журнал производства работ;

- документы, подтверждающие качество заводской изоляции стального газопровода;

- протокол проверки качества сварных стыков газопровода физическими методами;

- протоколы механических испытаний сварных стыков газопровода;

- протокол контроля изоляционного покрытия до протаскивания (для стального газопровода);

- акт предварительного испытания газопровода (перед протаскиванием) на прочность и герметичность;

- профиль бурения;

- протокол бурения;

- карта бурения;

- акт на протаскивание газопровода по буровому каналу;

- акт оценки состояния покрытия стального газопровода методом катодной поляризации (после протаскивания);

- акт испытания газопровода (после протаскивания) на прочность и герметичность;

- исполнительный паспорт газопровода, построенного способом наклонно-направленного бурения (форма Б);

- акт приемки перехода газопровода, выполненного бестраншейным способом (форма В);

Л.6.3 При сдаче подземного перехода газопровода под автомобильными и железными дорогами или подводного перехода дополнительно предъявляются:

- разрешение на производство работ в охранной зоне;

- акт приемки створа перехода;

- акт на протаскивание футляра;

- акт герметизации вводов и выпусков газопровода (при наличии футляра).

Л.7 КОНТРОЛЬ КАЧЕСТВА СТРОИТЕЛЬСТВА БЕСТРАНШЕЙНЫХ ПЕРЕХОДОВ ГАЗОПРОВОДОВ

Л.7.1 Контроль качества строительства должен охватывать весь комплекс работ с обязательным пооперационным контролем, который заключается в систематическом наблюдении и проверке выполняемых работ на соответствие требованиям нормативной и проектной документации.

Л.7.2 В процессе подготовительных работ необходимо осуществлять входной контроль труб и соединительных деталей газопровода, наличие сертификатов, актов предварительных испытаний газопровода и т.д., контролировать на соответствие проекту:

- разметку трассы;

- угол наклона буровых штанг - расчетному углу забуривания;

- размеры и типы буровой головки, резца, расширителей;

- состав и качество бурового раствора.

Л.7.3 В процессе проходки пилотной скважины необходимо контролировать:

- угол наклона, положение и глубину расположения буровой головки;

- отклонение фактического расположения буровой головки от расчетного;

- скорость проходки;

- усилие проходки;

- давление и расход бурового раствора.

Л.7.4 В процессе расширения и протаскивания газопровода необходимо контролировать:

- скорость проходки;

- давление и расход бурового раствора;

- усилие протаскивания газопровода.

Л.8 ТЕХНИКА БЕЗОПАСНОСТИ

Л.8.1 К выполнению работ по прокладке газопроводов методом наклонно-направленного бурения допускаются рабочие и специалисты, обученные, аттестованные и имеющие соответствующие удостоверения.

Л.8.2 Персонал, участвующий в производстве работ, обязан получить:

- вводный (общий) инструктаж по охране труда;

- инструктаж по технике безопасности непосредственно на рабочем месте.

Л.8.3 Общие требования техники безопасности:

- запрещается посторонним лицам находиться на рабочей площадке;

- запрещается прикасаться к вращающейся штанге;

- работу производить только в специальной одежде и с применением средств защиты;

- запрещено использовать ручные инструменты для рассоединения штанг.

Л.8.4 При работе на бурильной установке существует опасность поражения электрическим током в случае повреждения силового электрического кабеля буровой головкой или расширителем, кабель может быть поврежден также при установке анкерных якорей.

Л.8.5 Бурильную установку следует заземлять до установки анкерных якорей. При установке заземляющих штырей и анкерных якорей необходимо пользоваться диэлектрическими перчатками и резиновыми сапогами. Анкерные и упорные устройства, фиксирующие положение бурильной установки, должны быть рассчитаны на двойное тяговое усилие, которое может развить установка.

Л.8.6 Перед началом работы необходимо проверить исправность звуковой аварийной системы бурильной установки.

Л.8.7 При повреждении силового электрического кабеля, находящегося под напряжением, запрещается:

- оператору - покидать установку (маты), рассоединять штанги;

- рабочим - двигаться с места, касаться находящихся рядом установки, смесителя и других механизмов.

Л.8.8 При повреждении силового электрического кабеля оператор должен:

- при бурении пилотной скважины - вытащить одну штангу назад;

- при обратном расширении - подать одну штангу вперед.

Л.8.9 К продолжению работ приступать только после получения разрешения организации - владельца электрического кабеля. Перед тем как продолжить бурение необходимо проверить работоспособность аварийной системы. В случае неисправности аварийной системы приступать к работе запрещается.

Л.8.10 Если при работе на установке произошло повреждение других смежных коммуникаций, необходимо сообщить их владельцу о происшедшей аварии и прекратить работу до получения разрешения на производство работ.

Л.8.11 При повреждении действующего газопровода необходимо:

- прекратить бурение, выключить установку и покинуть рабочее место;

- не курить;

- срочно эвакуировать всех людей, находящихся в опасной зоне;

- вызвать по телефону представителя организации, эксплуатирующей газопровод;

- приступить к продолжению работы после разрешения организации - владельца газопровода.

ФОРМА А

ПРОТОКОЛ БУРЕНИЯ

Протокол работ по бурению с помощью управляемой бурильной системы типа:
________________________________________________________________________________________
Подрядчик _______________________________________________________________________________
Адрес строительства ______________________________________________________________________
________________________________________________________________________________________
Телефон _________________________________________________________________________________
Начальник строительства ___________________________________________________________________
Руководитель буровых работ ________________________________________________________________
Задание __________________________________________________________________________________
Длина прокладки _______ м. Пилотное бурение: диаметр _______ мм.
Расширение: диаметр ______ мм.
Окончательное расширение: диаметр _______ мм.
Начало работ _______ Окончание работ _________
Система локации буровой головки ___________________________________________________________
Тип зонда _____________________
N п.п Длина пилотной скважины, м Ориентировочные характеристики бурения R, ч Угол наклона буровой головки, % Глубина нахождения головки, см Отклонение головки от номинального положения в горизонтальном направлении, см
1
2
3
4
5
6
7
8
9
10
11
12
13
14
15
16
17
18
19
20
21
22
23
24
25
26
27
28
29
30
31
32
33
34
35
36

R - вращение буровых штанг.

Руководитель буровых работ __________________

Начальник строительства _____________________

ФОРМА Б

ИСПОЛНИТЕЛЬНЫЙ ПАСПОРТ НА ПЕРЕХОД ГАЗОПРОВОДА, ПОСТРОЕННОГО СПОСОБОМ НАКЛОННО-НАПРАВЛЕННОГО БУРЕНИЯ

N п.п Наименование Техническая характеристика
1 Общие данные:
1.1 Наименование перехода (наименование трассы, газопровода, водоема)
1.2 Владелец перехода
1.3 Начало перехода (пикетаж)
1.4 Конец перехода (пикетаж)
1.5 N рабочих чертежей
1.6 Генеральная проектная организация
1.7 Субподрядные проектные организации
2 Проектные данные:
2.1 Кем и когда утвержден проект
2.2 Протяженность перехода
2.3 Характеристика газопровода (диаметр и толщина стенки трубы, марка материала, ГОСТ или ТУ)
2.4 Характеристика газопровода (диаметр и толщина стенки трубы, марка материала, ГОСТ или ТУ)
3 Строительство:
3.1 Рабочий газопровод:
сварка газопровода (N акта, дата)
марка электродов (ГОСТ, N партии)
механические испытания швов (N протокола, дата)
контроль качества швов физическими методами (N протокола, дата)
первичное испытание газопровода (N акта, дата)
изоляция стыков (N акта, дата, способ контроля)
3.2 Буровые работы:
координаты входа и выхода (проектные и фактические)
углы забуривания и выходной
диаметр пилотной скважины
система локации
время бурения пилотной скважины
типы и диаметры расширителей
3.3 Протаскивание газопровода (дата, N акта):
способ и время протаскивания
максимальное тяговое усилие
контроль состояния изоляции методом катодной поляризации (N акта, дата)
испытания на прочность и герметичность (N акта, дата)
3.4 Дата приемки газопровода

ФОРМА В

                                   Акт
       приемки перехода газопровода, выполненного способом 
                     наклонно-направленного бурения
 
                                    от "___" _____________200 _ г.
 
Газопровод _______________________________________________________
__________________________________________________________________
            (наименование и место расположения объекта)
Комиссия в составе: 
представителя строительно-монтажной организации __________________
__________________________________________________________________
представителя технического надзора заказчика _____________________
__________________________________________________________________
представителя  проектной  организации  (в   случаях  осуществления
авторского надзора проектной организации) ________________________
__________________________________________________________________
произвела осмотр работ, выполненных ______________________________
__________________________________________________________________
         (наименование строительно-монтажной организации)
и составила настоящий акт о нижеследующем:
1. К освидетельствованию предъявлен металлический футляр диаметром
_____________ мм, длиной ___________ м, протяжка которого под ____
________________________ выполнена способом наклонно-направленного
бурения на установке _____________________________________________
__________________________________________________________________
                          (марка установки)
2. К освидетельствованию предъявлен участок __________ газопровода
давлением ________ МПа, диаметром ________ мм, длиной _________ м,
выполненный способом  наклонно-направленного  бурения на установке
типа _____________________________________________________________
                            (марка установки)
Длина плети газопровода до прокладки ______________ м.
Длина плети газопровода после прокладки ______________ м.
3. " ___ " _________ 200 ___ г. участок   газопровода   испытан на
герметичность в течение ______ ч.
До начала испытания  подземный  газопровод находился под давлением
воздуха в течение ______ ч для выравнивания температуры  воздуха в
газопроводе с температурой грунта.
Замеры давления производились манометром (дифманометром) по ГОСТ _
___________, класс _________.
4. Работы выполнены по проектно-сметной документации
__________________________________________________________________
  (наименование проектной организации, номера чертежей и  дата их 
                                составления)
5. При выполнении работ применены ________________________________
__________________________________________________________________
    (наименование  материалов, конструкций, изделий со ссылкой на
                                сертификаты 
__________________________________________________________________
или другие документы, подтверждающие качество)
6. При выполнении  работ отсутствуют  (или допущены) отклонения от
проектно-сметной документации ____________________________________
__________________________________________________________________
__________________________________________________________________
   (при наличии  отклонений  указываются,  кем согласованы номера
                    чертежей и дата согласования)
7. Дата начала работ _____________________________________________
Дата окончания работ _____________________________________________
 
Решение комиссии
Работы выполнены в  соответствии с проектно-сметной документацией,
стандартами,   строительными   нормами  и  правилами  и   отвечают
требованиям их приемки.
На  основании  изложенного  разрешается  производство  последующих
работ по устройству (монтажу) ____________________________________
__________________________________________________________________
                 (наименование работ и конструкций)
Представитель строительно-монтажной организации __________________
__________________________________________________________________
Представитель технического надзора заказчика _____________________
__________________________________________________________________
Представитель проектной организации ______________________________
__________________________________________________________________
 
 

ФОРМА Г

ПРОФИЛЬ БУРЕНИЯ

Длина газопровода, м
0 3,6 7,2 10,8 14,4 18 21,6 25,2 28,8 32,4 36 39,6 43,2 46,8 50,4 54 57,6 61,2 64,8 68,4 72
25
50
75
100
125
150
175
200
225
250
275
300
325
350
375
400
425
450
475
500
525
550
575
600
625
650
675
Глубина, см:
Строительство: N проекта:
Адрес: Подрядчик:
Дата начала работ: Дата окончания работ:

Карта бурения ___________________________________________________________________

Профиль бурения

План бурения

Отметка земли, м
Длина пилотной скважины, м
Теоретическая глубина пилотной скважины, см
Показания локатора, см
Отклонение трассы от теоретического профиля, см
Отклонение трассы от теоретического положения в плане, см
Угол наклона буровой головки, %
Ориентировочные признаки бурения R, ч

ПРИЛОЖЕНИЕ М
(рекомендуемое)

ПРИМЕРЫ РАСЧЕТОВ НЕКОТОРЫХ ПАРАМЕТРОВ ПРИ СТРОИТЕЛЬСТВЕ ГАЗОПРОВОДА ИЗ ПОЛИЭТИЛЕНОВЫХ ТРУБ МЕТОДОМ НАКЛОННО-НАПРАВЛЕННОГО БУРЕНИЯ

Прокладка бестраншейным способом на установке "Навигатор" D 24 x 40 фирмы "Вермеер" (RABBINS HDD-30 TMSC, STRAIG-HTLINE DL-2462, TRACTO-TECHNIK Grudopit 10S) газопровода из полиэтиленовых труб ПЭ 80 ГАЗ SDR 11-110 х 10 ГОСТ Р 50838 через реку смеженным горизонтом 25 м (рисунок Л.4).

Технология строительства: прокладка пилотной скважины диаметром d_н = 100 мм, затем протаскивание газопровода с одновременным расширением бурового канала до диаметра d =140 мм. Трасса выполнена по плавной дуге с переходом от максимального угла 17°30' к нулевому углу на максимальной глубине и вновь с выходом в выходной приямок. Точка выхода газопровода в выходном приямке на 1 м ниже точки забуривания.

Исходные данные

Грунт: песок средней крупности, влажный с естественной пористостью n_0 = 0,35.

Коэффициенты трения:

сталь по влажному песку - f_p = 0,5;

сталь по влажному песку, смоченному буровым раствором, - f_рш (fш) = 0,4;

полиэтилен по песку - f_гп = 0,3;

полиэтилен по буровому раствору - f = 0,2.

Глубина заложения газопровода от горизонта забуривания D1 = 6 м.

Угол забуривания a1 = 17°30' (характеристика установки D 24 x 40 "Навигатор" и аналогичных установок других фирм).

Перепад по высоте точки выхода газопровода из земли относительно точки забуривания h2 =1 м.

Диаметр полиэтиленовой трубы dн = 0,11 м.

Толщина стенки полиэтиленовой трубы d = 0,01 м.

Давление бурового раствора на выходе из сопел расширителя р = 106 Н/м2.

Расход бурового раствора Q_ж = 0,0012 м3/с.

Диаметр буровой головки d_г = 0,1 м.

Диаметр расширителя d_рш = 0,14 м.

Диаметр штанги d_ш = 0,052 м.

Диаметр замка штанги d*3 = 0,066 мм.

Длина замка на штанге L*3 = 0,4 м.

Расстояние между замками на штанге а_ш = 3м.

Толщина стенки штанги б_ш = 0,0065 м.

Удельный вес:

полиэтилена y_п = 0,93 x 10(4) Н/м3;

грунта y_г = 1,7 x 10(4) Н/м3;

бурового раствора y_ж = 1,2 x 10(4) Н/м3;

воды y_в = 1,0 x 10(4) Н/м3.

Погонный вес полиэтиленовой трубы диаметром 110 мм q_гп = 31,6 Н/м.

Модуль ползучести полиэтилена Е = 140 x 10(6) Н/м2.

Модуль упругости стальных штанг Еш = 2,1 x 10(11) Н/м2.

Угол внутреннего трения грунта р = 0,66 рад.

Коэффициент бокового давления и = 0,37.

Исходные данные указаны в единицах размерности, применяющихся при расчетах.

Исходные данные в примере расчета приняты на основании инженерных изысканий, проекта, СНиП 2.02.01, ГОСТ Р 50838, характеристик установки D 24 x 40 "Навигатор" фирмы "Вермеер".

1 Расчет трассы газопровода

Расчет угла a_1расч:

a_1расч = 17°30` + 0 = 8°45`.
2

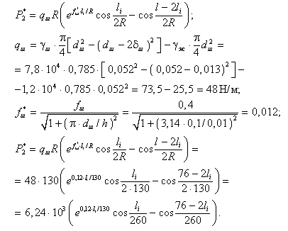
Расчет длины трассы газопровода l1 от точки М до точки А:

l1 = D1: sin a_1расч = 6 м : 0,15 = 40 м.

Расчет радиуса кривизны пилотной скважины.

Для выбранной трассы R1 = R2 = R и рассчитывается по формуле

R = D1 = 6 = 6 = 130 м;
1-cos a1 1-0,9537 0,0463

cos 17°30' = 0,9537.

Расчет длины трассы l2 от точки А до точки H:

cos a_2 R - D_2 ; D2 = D1 - h2 = 6 - 1 = 5 м;
R
cos a_2 130 - 5 = 0,9615;
130

a2 = 16°; a_2расч = 16° : 2 = 8°;

l2 = D2 : sin a2 = 5 : 0,139 = 36 м.

Расчет общей длины трассы l от точки М до точки Н:

40 + 36 = 76 м.

Расчет числа штанг для проходки длины трассы l1:

n1 = l1 : l_ш = 40 : 3 = 13 1 .
3

Расчет изменения угла a1 на каждой штанге:

a1 = a1 : n1 = 17°30' : 13,3 = 1°19'.

Расчет заглубления газопровода на каждой штанге:

D_1-1 = sin( 17°30' + 16°11' ) 3 = 90 см;
2
D_1-2 = sin( 17°30' + 14°53' ) 6 = 170 см и т.д.
2

Полный расчет заглубления газопровода на каждой штанге приведен в таблице М.1.

Таблица М.1

N п.п. Длина бурового канала, м Текущий угол a_i Синус текущего угла sin a_i Заглубление D_i газопровода от точки забуривания, см
0 0 -17°30' 0,3 0
1 3 -16°11' 0,28 90
2 6 -14°53' 0,26 170
3 9 -13°34' 0,23 240
4 12 -12°15' 0,21 300
5 15 -10°56' 0,19 360
6 18 -9°38' 0,16 410
7 21 -8°19' 0,14 460
8 24 -7,0° 0,12 500
9 27 -5°41' 0,1 540
10 30 -4°23' 0,08 560
11 33 -3°4' 0,05 580
12 36 -1°45' 0,03 600
13 39 -0°26' 0,01 600
14 42 +0°52' 0,01 600
15 45 +2°11' 0,04 590
16 48 +3°30' 0,06 580
17 51 +4°49' 0,08 560
18 54 +6°07' 0,1 530
19 57 +7°26' 0,13 500
20 60 +8°44' 0,15 450
21 63 + 10°03' 0,17 400
22 66 + 11°22' 0,19 340
23 69 + 12°41' 0,22 280
24 72 + 14° 0,24 220
25 75 + 15°19' 0,26 140
26 76 + 15°45' 0,27 100

Расчет объема удаленного грунта:

м3.

Расчет объема бурового раствора.

При бурении в песчаных грунтах требуется увеличенный объем бурового раствора - 1,2·x 6 = 7,2 м3.

Расчет минимального времени бурения:

t_min Vp = 7,2 = 100 мин
0,072

Расчет максимальной скорости бурения:

v_max = l / t_min = 76 / 100 = 0,76 м/мин.

Примем скорость бурения равной 0,60 м/мин.

Расчет величины подачи на оборот:

h = u / w = 0,6 /60 = 0,01 м.

2 Расчет общего усилия протаскивания при строительстве подводного перехода газопровода из полиэтиленовых труб диаметром 110 мм длиной 76 м по буровому каналу диаметром 140 мм

Так как газопровод выполнен из длинномерных полиэтиленовых труб, то он не имеет выступов за пределы наружного диаметра и усилие Р4 (увеличение силы трения от наличия на трубе газопровода выступов за пределы наружного диаметра) и усилие Р6 (сопротивление перемещению газопровода в зоне входа за счет смятия стенки бурового канала) равны нулю.

Проектируемая трасса не имеет прямолинейного участка и усилие Р7 (увеличенное сопротивление перемещению при переходе от прямолинейного движения к криволинейному) также равно нулю.

Общее усилие протаскивания Р рассчитывается по формулам:

а) для благоприятных условий:

P_(a) = Pp + P_гн(а) + Р*n(a);

б) для неблагоприятных условий:

P_(б) = Pp + P_гн(б) + Р*n(б);

Разбиваем трассу на равные интервалы для расчета текущих усилий:

li = 0; 9,5; 19; 28,5; 38; 47,5; 57; 66,5; 76.

Расчет усилия Рр - лобового сопротивления движению расширителя:

Расчет усилия протаскивания газопровода Р_гп:

а) усилие протаскивания газопровода для благоприятных условий рассчитывается по формуле

Р_гп(а) = P2 + P_3(а) + Р5 + Р8;

б) усилие протаскивания газопровода для неблагоприятных условий рассчитывается по формуле

Р_гп(б) = P2 + P_3(б) + Р5 + Р8;

Расчет усилия Р2:

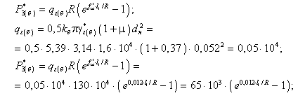
Расчет усилия Р3:

а) для благоприятных условий:

б) для неблагоприятных условий:

Расчет усилия Р5:

Примечание - Усилием Р5 можно пренебречь из-за его незначительной величины.

Расчет усилия Р8:

Р8 = 0,3 x 31,6 x l_i = 9,5 x l_i

Расчет усилия перемещения буровых штанг P*n

Усилие перемещения буровых штанг Рп рассчитывается по формулам:

а) для благоприятных условий:

P*n(a) = P*2 + P*3(a) + P*4(a) + P*5 + P*6 + P*7;

б) для неблагоприятных условий:

P*n(б) = P*2 + P*3(б) + P*4(б) + P*5 + P*6 + P*7;

Расчет усилия Р*2

Расчет усилия Р*3:

а) при благоприятных условиях:

б) при неблагоприятных условиях:

Расчет усилия Р*4:

а) при благоприятных условиях:

б) при неблагоприятных условиях:

Расчет усилия Р*5:

Расчет усилия Р*6:

Расчет усилия Р*7:

Примечание - Усилием Р*7 можно пренебречь из-за его незначительной величины в этом случае.

Таким образом, расчет усилия перемещения буровых штанг Р*п :

а) при благоприятных условиях бурения усилие перемещения буровых штанг рассчитывается по формуле

Р*п(а) = Р*2 + Р*3(а) + Р*4(а) + Р*5 + Р*6;

б) при неблагоприятных условиях усилие перемещения буровых штанг рассчитывается по формуле

Р*п(б) = Р*2 + Р*3(б) + Р*4(б) + Р*5 + Р*6;

Расчет общего усилия протаскивания газопровода из полиэтиленовых труб диаметром 110 мм, длиной 76 м, в буровом канале диаметром 140 мм:

а) при благоприятных условиях общее усилие протаскивания рассчитывается по формуле

Р(а) = Рр + Р2 + Р3(а) + Р8 + Р*п(а);

б) при неблагоприятных условиях бурения (при обвале грунта, сухой скважине и т.д.) общее усилие протаскивания рассчитывается по формуле

Р(б) = Рр + Р2 + Р3(б) + Р8 + Р*п(б);

На основании сделанных вычислений построены графики усилий:

Рр - лобовое сопротивление движению расширителя;

Р2 - сила трения от веса газопровода внутри бурового канала;

Р3(а) и Р3(б) - увеличение силы трения от силы тяжести грунта зоны естественного свода равновесия;

Р8 - силы трения от веса газопровода, находящегося вне бурового канала;

Р*п(а) и Р*п(б) - усилие перемещения буровых штанг;

Р_гп(а) и Р_гп(б) - усилие протаскивания газопровода;

Р(а) и Р(б) - общее усилие протаскивания

Выполненные расчеты показывают, что выбранная бурильная установка D24 x 40 "Навигатор" фирмы "Вермеер" по техническим характеристикам обеспечивает производство работ по бестраншейной прокладке данного газопровода (максимальное расчетное общее усилие протаскивания Р(б) = 47935,8 Н значительно меньше максимального усилия, развиваемого установкой D24 x 40, которое равно 107960 Н (RABBINS HDD-30 TMSC - 149000 Н, STRAIGHTLINE DL-2462 - 108860 Н, TRACTO-TECHNIK Grudopit 10S - 400000 H и аналогичные установки других фирм).

При благоприятных условиях усилие протаскивания газопровода Р_гп(а) согласно расчету равно 6259,5 Н, что значительно меньше допустимого.

При неблагоприятных условиях (полный обвал грунта по длине бурового канала и фильтрация бурового раствора в грунт) усилие протаскивания газопровода Р_гп(б) равно 34787 Н, что составляет полиэтилена ПЭ80.

Для успешной прокладки газопровода через реку в принятых условиях необходимо предусмотреть технологические приемы, обеспечивающие стабильность и прочность стенок бурового канала, предупреждающие обвал грунта и фильтрацию бурового раствора в грунт, к которым относятся:

а) применение качественного бурового раствора;

б) правильный выбор буровой головки, ножа и расширителя;

в) технология производства работ.

ПРИЛОЖЕНИЕ Н
(рекомендуемое)

ПРИМЕРНАЯ СХЕМА ОПЕРАЦИОННОГО КОНТРОЛЯ ПРОИЗВОДСТВА РАБОТ ПО ИЗОЛЯЦИИ СВАРНЫХ СТЫКОВ И РЕМОНТУ МЕСТ ПОВРЕЖДЕНИЙ ИЗОЛЯЦИОННОГО ПОКРЫТИЯ

Операции, подлежащие контролю Инструмент контроля Лицо, осуществляющее контроль
Проверка наличия сертификатов, паспортов на изоляционное покрытие труб Визуально Мастер
Проверка наличия сертификатов на изолирующие, армирующие, оберточные и другие материалы " "
Определение состояния изоляционного покрытия труб, выявление повреждений изоляции при транспортировке и в процессе производства работ " "
Контроль качества подготовки стыков и мест повреждений под изоляцию " Мастер, изолировщик
Контроль качества нанесения грунтовки (равномерность, отсутствие пропусков, сгустков, проверка на отлип) " То же
Контроль температурного режима мастики в битумоварочном котле " "
Контроль качества нанесения изолирующих, армирующих и оберточных материалов, исключающих наличие складок и пустот, обеспечивающих нормальную толщину покрытия, внешний осмотр Визуально, толщиномер, вырезка на треугольник, дефектоскоп Мастер, электрометрист
Проверка наличия мягких полотенец и инвентарных прокладок Визуально Мастер

ПРИЛОЖЕНИЕ П
(рекомендуемое)

                                АКТ
        приемки газопроводов и газоиспользующей установки для 
    проведения комплексного опробования (пуско-наладочных работ)
 
__________________________________________________________________
                   (наименование и адрес объекта)
 
Г. _______________________
"____" __________ 200 __ г.
 
Приемочная   комиссия   в   составе:    председателя   комиссии - 
представителя заказчика__________________________________________,
                          (фамилия, имя, отчество, должность)
членов комиссии, представителей: 
генерального подрядчика __________________________________________
                          (фамилия, имя, отчество, должность)
эксплуатационной организации ____________________________________,
                          (фамилия, имя, отчество, должность)
органов Госгортехнадзора России _________________________________,
                          (фамилия, имя, отчество, должность)
 
УСТАНОВИЛА:
1. Генеральным подрядчиком _______________________________________
                                (наименование организации)
предъявлена  к  приемке  для  проведения  пуско-наладочных  работ 
газоиспользующая установка ______________________________________,
                     (тип, количество, техническая характеристика)
оборудованная автоматикой безопасности и регулирования __________,
__________________________________________________________________
                         (тип автоматики)
на законченном строительством объекте ____________________________
__________________________________________________________________
                     (наименование объекта)
2. Проект N _______ разработан ___________________________________
                                 (наименование организации)
3. Строительство системы газораспределения объекта  осуществлялось
в сроки: 
начало работ _________________, окончание работ _________________.
               (месяц, год)                        (месяц, год) 
5. Объект укомплектован аттестованным обслуживающим персоналом, на
рабочих   местах  вывешены   утвержденные  технологические   схемы
газоиспользующего оборудования и инструкции по эксплуатации.
6. Пуско-наладочные работы будут производиться ___________________
__________________________________________________________________
            (наименование пуско-наладочной организации)
по договору N ___________ от " ___" ____________ 200 _ г.
Срок окончания работ                    " __ " __________ 200 _ г.
Приемочная  комиссия  рассмотрела  представленную   документацию, 
произвела   внешний   осмотр   системы  газоснабжения,  определила
соответствие  выполненных  строительно-монтажных  работ   проекту,
провела    при  необходимости   дополнительные  испытания   (кроме
зафиксированных в исполнительной документации) ___________________
__________________________________________________________________
                          (виды испытаний)
 
Решение приемочной комиссии:
1. Строительно-монтажные  работы  выполнены   в  полном  объеме  в
соответствии с проектом и требованиями СНиП 42-01.
2. Предъявленное  к  приемке  газооборудование считать принятым с 
" ___ " _________200_ г. для  проведения комплексного  опробования
(пуско-наладочных работ).
3. Настоящий акт  приемки  считать основанием для разрешения пуска
газа для проведения пуско-наладочных работ.
4. Заказчику  по  окончании   пуско-наладочных  работ   предъявить
газоиспользующее оборудование для приемки объекта в эксплуатацию.
 
Председатель комиссии ____________________________________________
                                        (подпись)
 
МП
 
Представитель генерального подрядчика ____________________________
                                               (подпись)
Представитель эксплуатационной организации _______________________
                                               (подпись)
Представитель органа Госгортехнадзора России _____________________
                                               (подпись)

ПРИЛОЖЕНИЕ Р
(рекомендуемое)

СТРОИТЕЛЬНЫЙ ПАСПОРТ ПОДЗЕМНОГО (НАДЗЕМНОГО, НАЗЕМНОГО) ГАЗОПРОВОДА, ГАЗОВОГО ВВОДА
(ненужное зачеркнуть)

Построен        
  (наименование строительно-монтажной организации
                   
и номер проекта)
по адресу:                  
  (город, улица, привязки начального и конечного пикетов)
                   
1. Характеристика газопровода (газового ввода)
Указываются длина (для ввода - подземного, наземного или надземного участков), диаметр, рабочее давление газопровода, материал труб, тип изоляционного покрытия линейной части и сварных стыков (для стальных подземных газопроводов и газовых вводов), число установленных запорных устройств и других сооружений.
                   
                   
                   
2. Перечень прилагаемых сертификатов, технических паспортов (или их копий) и других документов, удостоверяющих качество материалов и оборудования
                   
                   
                   
3. Данные о сварке стыков газопровода
Фамилия, имя, отчество сварщика Вид сварки Номер (клеймо) сварщика Сварено стыков Дата проведения сварочных работ
Диаметр труб, мм Число, шт.
(должность, подпись, инициалы, фамилия производителя работ)
Допускается прилагать распечатку процесса сварки полиэтиленовых труб, выдаваемую сварочным оборудованием.
Пример оформления плана (схемы) сварных стыков подземных газопроводов
Условные обозначения:
газопровод, законченный строительством; стык; в числителе - порядковый номер стыка, в знаменателе - номер (клеймо) сварщика, сварившего данный стык;
газопровод существующий; 2КЖ N 25 дом каменный жилой двухэтажный, N 25;
колодец с задвижкой на газопроводе; диаметр газопровода;
водопровод; l длина участка газопровода от стыка до стыка;
стык поворотный; a привязка газопровода к сооружениям
стык неповоротный;
стык, проверенный физическими методами контроля;
Примечание - Схема должна быть составлена так, чтобы местоположение каждого стыка могло быть найдено с поверхности земли. Для этого должны быть сделаны привязки к постоянным наземным объектам (зданиям, сооружениям) как самого газопровода, так и его характерных точек (концевых, поворотных и др.); должны быть нанесены расстояния между стыками, а также между стыками и характерными точками, в том числе пересекаемыми коммуникациями. Строгое соблюдение масштаба схемы необязательно.
4. Проверка глубины заложения подземного газопровода, уклонов, постели, устройства футляров, колодцев, коверов
Установлено, что глубина заложения газопровода от поверхности земли до верха трубы на всем протяжении, уклоны газопровода, постель под трубами, а также устройство футляров, колодцев, коверов соответствуют проекту.
Производитель работ        
  (должность, подпись, инициалы, фамилия)
Представитель эксплуатационной организации      
    (должность, подпись, инициалы, фамилия)
         
5. Проверка качества защитного покрытия газопровода (газового ввода)
1. Перед укладкой в траншею проверено защитное покрытие стальных труб и сварных стыков: на отсутствие механических повреждений и трещин - внешним осмотром; толщина - замером по ГОСТ 9.602 ____ мм; адгезия к стали - по ГОСТ 9.602; сплошность - дефектоскопом.
2. Защитное покрытие стыков, изолированных в траншее, проверено внешним осмотром на отсутствие механических повреждений и трещин, по ГОСТ 9.602 (толщина, адгезия к стали, сплошность).
3. Проверка на отсутствие электрического контакта между металлом трубы и грунтом произведена после полной засыпки траншеи " __ " ___________ 200 __ г.
Если траншея была засыпана при глубине промерзания грунта более 10 см, то строительно-монтажная организация должна выполнять проверку после оттаивания грунта, о чем должна быть сделана запись в акте о приемке законченного строительством объекта системы газоснабжения.
При проверке качества защитного покрытия дефекты не обнаружены.
Начальник лаборатории        
  (подпись, инициалы, фамилия)
Представитель эксплуатационной организации      
    (должность, подпись, инициалы, фамилия)
6. Продувка газопровода, испытание его на герметичность
1. "__" _________ 200 __ г. перед испытанием на герметичность произведена продувка газопровода воздухом.
2. "__" _________ 200__ г. засыпанный до проектных отметок газопровод с установленной на нем арматурой и ответвлениями к объектам до отключающих запорных устройств (или подземная часть газового ввода) испытан на герметичность в течение _______ ч.
До начала испытания подземный (наземный) газопровод находился под давлением воздуха в течение ______ ч для выравнивания температуры воздуха в газопроводе с температурой грунта.
Замеры давления производились манометром (дифманометром) по ГОСТ __________, класс _________.
Данные замеров давления при испытании подземного (наземного) газопровода
Дата испытания Замеры давления, кПа (мм рт. ст.) Падение давления, кПа (мм рт. ст.)
Месяц Число Часы манометрическое барометрическое допускаемое фактическое
P1 P2 B1 B2
Согласно данным вышеприведенных замеров давления подземный газопровод испытание на герметичность выдержал, утечки и дефекты в доступных для проверки местах не обнаружены.
"__" _________ 200__ г. произведено испытание надземного газопровода (надземной части газового ввода) на герметичность давлением ______ МПа с выдержкой в течение ______ ч, последующим внешним осмотром и проверкой всех сварных, резьбовых и фланцевых соединений. Утечки и дефекты не обнаружены. Надземный газопровод (надземная часть газового ввода) испытание на герметичность выдержал.
Производитель работ        
  (должность, подпись, инициалы, фамилия)
Представитель газового хозяйства      
    (должность, подпись, инициалы, фамилия)
         
7. Заключение
         
Газопровод (газовый ввод) построен в соответствии с проектом, разработанным  
         
(наименование проектной организации, дата выпуска проекта)
с учетом согласованных изменений, внесенных в рабочие чертежи N ______
Строительство начато "__" _________ 200 _ г.
Строительство закончено "__" ___________ 200 _ г.
Главный инженер строительно-монтажной организации    
      (подпись, инициалы, фамилия)
Представитель эксплуатационной организации      
    (должность, подпись, инициалы, фамилия)

ПРИЛОЖЕНИЕ С
(рекомендуемое)

СТРОИТЕЛЬНЫЙ ПАСПОРТ ВНУТРИДОМОВОГО (ВНУТРИЦЕХОВОГО) ГАЗОИСПОЛЬЗУЮЩЕГО ОБОРУДОВАНИЯ

Смонтировано        
  (наименование строительно-монтажной организации и номер проекта)
по адресу:        
         
1. Характеристика газоиспользующего оборудования
         
Указывается для внутридомового газоиспользующего оборудования: число квартир, тип и число установленных газовых приборов, общая протяженность газопровода и число запорных устройств на них; для внутрицехового оборудования - общая протяженность газопровода, тип и число
установленного газоиспользующего оборудования, рабочее давление газа  
         
         
         
2. Перечень прилагаемых сертификатов, технических паспортов (или их копий) и других документов, удостоверяющих качество материалов и оборудования
         
         
Примечание - Допускается прилагать (или размещать в данном разделе) извлечения из указанных документов, заверенные лицом, ответственным за строительство объекта, и содержащие необходимые сведения (номер сертификата, марка (тип), ГОСТ (ТУ), размеры, номер партии, завод-изготовитель, дату выпуска, результаты испытаний).
3. Данные о сварке стыков газопровода
         
Фамилия, имя, отчество сварщика (паяльщика) Номер (клеймо) сварщика (паяльщика) Сварено стыков Дата проведения сварочных работ
Диаметр труб, мм Число, шт.
(должность, подпись, инициалы, фамилия производителя работ)
4. Испытания газопровода на герметичность
   
"__"__________200__ г. газопровод испытан на герметичность давлением _______ МПа в течение ________ ч, с подключенным газоиспользующим оборудованием. Фактическое падение давления ________ МПа установлено при помощи манометра класса точности _______.
Утечки и дефекты при внешнем осмотре и проверке всех соединений не обнаружены. Газопровод испытание на герметичность выдержал.
Производитель работ      
 
(должность, подпись, инициалы, фамилия)
Представитель эксплуатационной организации    
 
(должность, подпись, инициалы, фамилия)
       
5. Заключение
       
Внутридомовое (внутрицеховое) газоиспользующее оборудование (включая газопровод) смонтировано в соответствии с проектом, разработанным
       
(наименование проектной организации и дата выпуска проекта)
 
с учетом согласованных изменений, внесенных в рабочие чертежи N ____________________
Строительство начато "__" _________ 200 _ г.
Строительство закончено "__" _________ 200 _ г.
Главный инженер монтажной организации    
    (подпись, инициалы, фамилия)
Представитель эксплуатационной организации    
    (должность, подпись, инициалы, фамилия)

ПРИЛОЖЕНИЕ Т
(рекомендуемое)

СТРОИТЕЛЬНЫЙ ПАСПОРТ ГРП

Построен          
  (наименование строительно-монтажной организации, номер проекта)
по адресу:          
           
1. Характеристика ГРП
           
Указываются давление газа (на входе и на выходе), тип и размеры установленного оборудования, число и площадь помещений, система отопления и вентиляции, данные об освещении, связи, телеуправлении
           
           
           
2. Перечень прилагаемых сертификатов, технических паспортов (или их копий) и других документов, удостоверяющих качество материалов и оборудования
           
           
Примечание - Допускается прилагать (или размещать в данном разделе) извлечения из указанных документов, заверенные лицом, ответственным за строительство объекта, и содержащие необходимые сведения (номер сертификата, марку (тип), ГОСТ (ТУ), размеры, номер партии, завод-изготовитель, дату выпуска, результаты испытаний).
           
3*. Данные о сварке стыков газопровода
Фамилия, имя, отчество сварщика Номер (клеймо) сварщика Сварено стыков Дата проведения сварочных работ
Диаметр труб, мм Число, шт.
         
(должность, подпись, инициалы, фамилия производителя работ)

* Данная форма может быть использована для строительных паспортов испарительной и групповой баллонных установок СУГ, если они размещаются в отдельном здании (помещении).
           
4. Испытание газопровода и оборудования ГРП на герметичность
 
"__" __________ 200__ г. произведено испытание газопровода и оборудования ГРП на герметичность давлением _______ МПа в течение 12 ч при помощи манометра класса точности _______.
Падение давления _______ МПа при допускаемом падении давления _______ МПа.
Утечки и дефекты при внешнем осмотре и проверке всех соединений не обнаружены. Газопровод и оборудование ГРП испытание на герметичность выдержали.
Производитель работ          
  (должность, подпись, инициалы, фамилия)
Представитель эксплуатационной организации        
  (должность, подпись, инициалы, фамилия)
Примечание - Если испытание газопроводов и оборудования ГРП на герметичность производится раздельно для высокой и низкой сторон давления, то в данном разделе паспорта следует сделать две записи - одну по испытанию на высокой стороне, другую - на низкой.
           
ГРП построен в соответствии с проектом, разработанным      
 
(наименование проектной организации и дата выпуска проекта)
с учетом согласованных изменений проекта, внесенных в рабочие чертежи N _____________
Строительство ГРП начато "__" __________ 200__ г.
Строительство ГРП закончено "__" __________ 200__ г.
Главный инженер строительно-монтажной организации      
      (подпись, инициалы, фамилия)
Представитель эксплуатационной организации      
    (должность, подпись, инициалы, фамилия)

ПРИЛОЖЕНИЕ У
(рекомендуемое)

СТРОИТЕЛЬНЫЙ ПАСПОРТ РЕЗЕРВУАРНОЙ УСТАНОВКИ СУГ

Построена и смонтирована        
  (наименование строительно-монтажной организации, номер проекта)
по адресу:        
           
1. Характеристика установки
           
Указываются тип, число, заводы-изготовители и заводские номера резервуаров, испарителей и арматурных головок; регистрационные номера и тип защитного покрытия резервуаров и испарителей, вместимость каждого резервуара, производительность каждого испарителя, тип и число регуляторов
давления арматурных головок        
           
           
           
2. Перечень прилагаемых сертификатов, технических паспортов (или их копий) и других документов, удостоверяющих качество материалов и оборудования
           
           
Примечание - Допускается прилагать (или размещать в данном разделе) извлечения из указанных документов, заверенные лицом, ответственным за строительство объекта, и содержащие необходимые сведения (номер сертификата, марку (тип), ГОСТ (ТУ), размеры, номер партии, завод-изготовитель, дату выпуска, результаты испытаний).
           
3*. Данные о сварке стыков труб обвязки резервуаров
Фамилия, имя, отчество сварщика Номер (клеймо) сварщика Сварено стыков Дата проведения сварочных работ
Диаметр труб, мм Число, шт.
         
(должность, подпись, инициалы, фамилия производителя работ)

* Данная форма может быть использована для строительных паспортов испарительной и групповой баллонных установок СУГ. если они размещаются в отдельном здании (помещении).
         
4. Приемка скрытых работ при монтаже резервуарной установки
 
Фундаменты заложены          
  (в соответствии с проектом, с отступлениями
         
от проекта, указать отступления и их обоснование)
           
Основание и фундаменты резервуаров и испарителей соответствуют требованиям проекта.
Производитель работ          
  (должность, подпись, инициалы, фамилия)
Представитель эксплуатационной организации      
      (должность, подпись, инициалы, фамилия)
           
5. Проверка качества защитного покрытия резервуаров, испарителей и газопроводов обвязки
           
1. Перед опусканием резервуара СУГ в котлован проверено качество защитного покрытия: отсутствие механических повреждений и трещин - внешним осмотром; толщина - замером по ГОСТ 9.602 ________ мм; адгезии к стали - по ГОСТ 9.602; сплошность - дефектоскопом.
2. Стыки обвязки, изолированные в траншее, проверены внешним осмотром на отсутствие механических повреждений и трещин и по ГОСТ 9.602 (толщина, адгезия к стали, сплошность).
Начальник лаборатории          
  (подпись, инициалы, фамилия)
Представитель эксплуатационной организации      
      (должность, подпись, инициалы, фамилия)
           
6. Проверка контура заземления резервуаров
           
Контур заземления резервуаров и испарителей соответствует проекту. Сопротивление при проверке равно ______ Ом.
Проверку произвел представитель лаборатории      
           
(наименование организации, должность, подпись, инициалы, фамилия)
"___" ____________ 200 _ г.      
           
7. Испытание резервуарной установки на герметичность
           
"__" _________ 200 _ г. резервуарная установка, состоящая из резервуаров, испарителей с установленной аппаратурой и трубопроводов обвязки, была подвергнута испытанию на герметичность давлением ______ МПа при помощи манометра класса точности ______.
Фланцевые, сварные и резьбовые соединения, а также арматура головок емкостей, испарители СУГ, отключающие устройства и трубопроводы обвязки проверены.
При проверке утечки и дефекты не обнаружены.
Резервуарная установка испытание на герметичность выдержала.
Производитель работ          
           
(подпись, инициалы, фамилия)
Представитель эксплуатирующей организации      
      (должность, подпись, инициалы, фамилия)
Примечание - Если испытание на герметичность резервуаров и испарителей с установленной аппаратурой и трубопроводов их обвязки производится раздельно для высокой и низкой сторон давления, то в данном разделе паспорта следует сделать две записи - одну по испытанию на высокой стороне, другую - на низкой.
           
8. Заключение
           
Резервуарная установка СУГ смонтирована в соответствии с проектом, разработанным
           
(наименование организации)
с учетом согласованных изменений проекта, внесенных в рабочие чертежи N _____________
Строительство начато "__" _____________ 200 _ г.
Строительство закончено "__" _________ 200 _ г.
Главный инженер строительно-монтажной организации      
      (подпись, инициалы, фамилия)
Представитель эксплуатационной организации      
    (должность, подпись, инициалы, фамилия)

ПРИЛОЖЕНИЕ Ф
(рекомендуемое)

Лаборатория  
    (наименование строительно-
     
  монтажной организации)

ПРОТОКОЛ ПРОВЕРКИ СВАРНЫХ СТЫКОВ ГАЗОПРОВОДА РАДИОГРАФИЧЕСКИМ МЕТОДОМ

N _______ "__" _________ 200_ г.
Произведена проверка сварных стыков газопровода ________ давления, строящегося по адресу
           
(улица, привязки начального и конечного пикетов)
Газопровод сварен ____________ сваркой из труб наружным диаметром _____ мм, толщиной
  (вид сварки)        
стенки ____ мм.
Результаты проверки
               
Номер стыка по сварочной схеме Фамилия, имя, отчество сварщика Номер (клеймо) сварщика Номер снимка Размер снимка, мм Чувствительность контроля, мм Обнаруженные дефекты Оценка стыка (годен, не годен)
Начальник лаборатории  
  (подпись, инициалы, фамилия)
Дефектоскопист  
  (подпись, инициалы, фамилия)

ПРИЛОЖЕНИЕ X
(рекомендуемое)

Лаборатория  
    (наименование строительно-
     
  монтажной организации)

ПРОТОКОЛ МЕХАНИЧЕСКИХ ИСПЫТАНИЙ СВАРНЫХ СТЫКОВ СТАЛЬНОГО ГАЗОПРОВОДА

N _____ "__" _________ 200_ г.                          
Произведены испытания стыков стального газопровода, сваренного          
                  (вид сварки)
из труб по ГОСТ (ТУ) _________, марки стали _________,
наружным диаметром _______ мм, толщиной стенки _______ мм,
сварщиком                       , имеющим
  (фамилия, имя, отчество)    
номер (клеймо)       , по адресу:                
                           
(улица привязки начального и конечного пикетов)
в период с "__" _____________ 200_ г. по "__" _____________ 200_ г.
                           
Результаты механических испытаний сварных стыков стального газопровода
Размеры образцов до испытаний Результаты испытаний Оценка стыка (годен, не годен)
Номер образцов Толщина (диаметр), мм Ширина (длина), мм Площадь поперечного сечения, мм2 На растяжение На сплющивание На изгиб
разрушающая нагрузка, МПа предел прочности, МПа место разрушения (по шву или основному металлу) величина просвета между поверхностями пресса при появлении первой трещины, мм угол изгиба, град.
Начальник лаборатории  
  (подпись, инициалы, фамилия)
Испытания проводил  
  (должность, подпись, фамилия)
Примечание - Протокол испытаний следует составлять на каждого сварщика отдельно и копию представлять в составе исполнительной документации на все объекты, на которых в течение календарного месяца работал этот сварщик.

ПРИЛОЖЕНИЕ Ц
(рекомендуемое)

Лаборатория  
    (наименование строительно-
     
  монтажной организации)

ПРОТОКОЛ МЕХАНИЧЕСКИХ ИСПЫТАНИЙ СВАРНЫХ СТЫКОВ ПОЛИЭТИЛЕНОВОГО ГАЗОПРОВОДА

N _____ "__" _________ 200 _ г.
Произведены испытания сварных соединений полиэтиленового газопровода, выполненных
                     
(вид сварки)
Из труб  
  (маркировка)
Сварщик                    
  (фамилия имя отчество)
Тип сварочной машины (аппарата):              
                     
Метод испытаний
                     
Тип испытательной машины:                
Газопровод построен (строится) по адресу:              
                     
                     
Период строительства: с "__" ________ 200__ г. по "__" _______ 200__ г.
Результаты механических испытаний сварных соединений приведены в таблице.
Форма таблицы при испытании на осевое растяжение по ГОСТ 11262
Номер стыка Номер образца, вырезанного из стыка Скорость движения зажимов Предел текучести при растяжении, МПа Относительное удлинение при разрыве, % Характер и тип разрушения Оценка стыка (годен, не годен)
Форма таблицы при испытании деталей с закладными нагревателями на сплющивание или отрыв
           
Номер стыка Номер образца, вырезанного из стыка Тип испытательной машины и скорость движения зажимов Зафиксированный процент отрыва или разрушающая нагрузка Характер и тип разрушения Оценка стыка (годен, не годен)
Заключение:            
 
 
Начальник лаборатории          
  (подпись, фамилия)
Испытания проводил          
  (должность, подпись, фамилия)
             
Примечание. Протокол испытаний следует составлять на каждого сварщика и копию представлять в составе исполнительной документации на все объекты, на которых сварщик работал.

ПРИЛОЖЕНИЕ Ш
(рекомендуемое)

Лаборатория  
    (наименование строительно-
     
  монтажной организации)

ПРОТОКОЛ ПРОВЕРКИ СВАРНЫХ СТЫКОВ ГАЗОПРОВОДА УЛЬТРАЗВУКОВЫМ МЕТОДОМ

N _____ "__" _________ 200_ г.
Произведена проверка сварных соединений газопровода  
давления, строящегося по адресу          
      (улица привязки начального и конечного пикетов)
Газопровод сварен встык из труб          
    (маркировка)
Контроль качества сварных соединений выполнен ультразвуковым дефектоскопом типа ___________, рабочая частота _______ МГц.
Условия проведения испытаний          
    (полевые, лабораторные)
Температура испытаний          
Заказчик            
Результаты проверки
           
Номер стыка по сварочной схеме Фамилия, имя, отчество сварщика Угол ввода луча, град. Браковочная чувствительность Описание дефектов Оценка стыка (годен, не годен)
Начальник лаборатории  
  (подпись, инициалы, фамилия)
Дефектоскопист  
  (подпись, инициалы, фамилия)

ПРИЛОЖЕНИЕ Щ
(рекомендуемое)

Лаборатория  
    (наименование строительно-
     
  монтажной организации)

ПРОТОКОЛ ПРОВЕРКИ ПАРАМЕТРОВ КОНТАКТНОЙ СВАРКИ (ПАЙКИ) ГАЗОПРОВОДОВ

N _____ "__"_________ 200_ г.
Адрес объекта  
  (улица привязки начального и
   
конечного пикетов)
Газопровод сварен (спаян) из стальных труб ГОСТ (ТУ) ______________________ наружным диаметром _______ мм, толщиной стенки трубы _______ мм.
   
Результаты проверки
Номер стыка по сварочной схеме Фамилия, имя, отчество сварщика Номер (клеймо) сварщика Номер диаграммной записи режима Марка прибора, на котором производилась запись Параметры, по которым выявлены дефекты Оценка стыка (годен, не годен)
Начальник лаборатории  
  (подпись, инициалы, фамилия)
Испытания проводил  
  (подпись, инициалы, фамилия)

ПРИЛОЖЕНИЕ Э
(рекомендуемое)

УПРОЩЕННЫЙ ВАРИАНТ СТРОИТЕЛЬНОГО ПАСПОРТА ПОДЗЕМНОГО (НАДЗЕМНОГО) ГАЗОПРОВОДА, ГАЗОВОГО ВВОДА

Схема сварных стыков подземного газопровода-ввода

Сведения о сварке стыков

Фамилия, имя, отчество сварщика Номер (клеймо) сварщика Сварено стыков Дата проведения сварочных работ Проверка качества
Диаметр труб, мм Количество, шт. номер протокола и дата проведения номер протокола и дата контроля радиографированием или УЗК*
Наружный газопровод - ввод
Внутренний газопровод - ввод

* Для газопроводов из полиэтиленовых труб, соединенных стыковым способом. Качество сварных стыков проверено в соответствии с требованиями СНиП 42-01.

Начальник лаборатории        
  (подпись)   (ф.и.о)  
Производитель работ        
  (подпись)   (ф.и.о)  

Сведения о защите от коррозии подземного газопровода - ввода

Изоляционное покрытие подземного стального газопровода выполнено в соответствии с проектом. Качество изоляции проверено в соответствии с требованиями СНиП 42-01.

Производитель работ              
  (подпись)   (ф.и.о)      
Представитель эксплуатационной организации              
      (подпись)   (ф.и.о)  

Сведения об испытании газопроводов на герметичность

Наружный и внутренний газопроводы испытаны на герметичность в соответствии с требованиями СНиП 42-01 при помощи манометра класса точности ______.

Газопровод Дата проведения испытаний на герметичность
Наружный
Внутренний

Испытания на герметичность газопроводы выдержали.

Обнаружены дефекты и утечки    
  (нет, устранены)  
Производитель работ              
  (подпись)   (ф.и.о)      
Представитель эксплуатационной организации              
      (подпись)   (ф.и.о)  

Сведения о материалах и оборудовании

Материалы и оборудование Завод-изготовитель ГОСТ, ТУ, нормаль Марка, тип Номер сертификата Дата выпуска Количество, шт.
Труба, d
Труба, d
Труба, d
Изоляционное покрытие стальных труб
Плита газовая 2-горел.
Плита газовая 4-горел.
Водонагреватель проточный
Водонагреватель емкостной (котел)
Горелка
Счетчик
Сигнализатор загазованности
Изолирующий фланец
Битум (мастика)
Полимерные ленты
Электроды
Сварочная проволока
Соединительные полиэтиленовые детали с ЗН
Соединение "сталь - полиэтилен"
Опоры   шт.
  (материал, количество)  
Начальник лаборатории        
  (подпись)   (ф.и.о)  
Производитель работ        
  (подпись)   (ф.и.о)