Положение ЦБ РФ от 07.12.2020 N 744-П

"О порядке расчета размера операционного риска ("Базель III") и осуществления Банком России надзора за его соблюдением"
Редакция от 07.12.2020 — Не действует Перейти в действующую
Показать изменения

Зарегистрировано в Минюсте России 29 января 2021 г. N 62290


ЦЕНТРАЛЬНЫЙ БАНК РОССИЙСКОЙ ФЕДЕРАЦИИ

ПОЛОЖЕНИЕ
от 7 декабря 2020 г. N 744-П

О ПОРЯДКЕ РАСЧЕТА РАЗМЕРА ОПЕРАЦИОННОГО РИСКА ("БАЗЕЛЬ III") И ОСУЩЕСТВЛЕНИЯ БАНКОМ РОССИИ НАДЗОРА ЗА ЕГО СОБЛЮДЕНИЕМ

Настоящее Положение на основании статьи 56, части первой статьи 62, части первой статьи 72 Федерального закона от 10 июля 2002 года N 86-ФЗ "О Центральном банке Российской Федерации (Банке России)" (Собрание законодательства Российской Федерации, 2002, N 28, ст. 2790; 2013, N 30, ст. 4084; 2018, N 11, ст. 1588; N 18, ст. 2557) и в соответствии с решением Совета директоров Банка России (протокол заседания Совета директоров Банка России от 27 ноября 2020 года N ПСД-28) устанавливает порядок расчета размера операционного риска с учетом международных подходов к повышению устойчивости банковского сектора ("Базель III") и осуществления Банком России надзора за его соблюдением.

Глава 1. Общие положения

1.1. Кредитная организация рассчитывает размер операционного риска в соответствии с настоящим Положением в целях расчета нормативов достаточности капитала кредитной организации, установленных подпунктом 2.1.1 пункта 2.1 и подпунктом 3.1.1 пункта 3.1 Инструкции Банка России от 29 ноября 2019 года N 199-И "Об обязательных нормативах и надбавках к нормативам достаточности капитала банков с универсальной лицензией", зарегистрированной Министерством юстиции Российской Федерации 27 декабря 2019 года N 57008, 31 марта 2020 года N 57913, 11 сентября 2020 года N 59770 (далее - Инструкция Банка России N 199-И), пунктом 2.1 Инструкции Банка России от 6 декабря 2017 года N 183-И "Об обязательных нормативах банков с базовой лицензией", зарегистрированной Министерством юстиции Российской Федерации 2 марта 2018 года N 50206, 12 сентября 2019 года N 55912, 31 марта 2020 года N 57915, 2 июня 2020 года N 58550, пунктом 3.1 Инструкции Банка России от 26 апреля 2006 года N 129-И "О банковских операциях и других сделках расчетных небанковских кредитных организаций, обязательных нормативах расчетных небанковских кредитных организаций и особенностях осуществления Банком России надзора за их соблюдением", зарегистрированной Министерством юстиции Российской Федерации 19 мая 2006 года N 7861, 6 августа 2007 года N 9956, 6 декабря 2007 года N 10637, 23 сентября 2009 года N 14851, 16 декабря 2011 года N 22648, 29 ноября 2013 года N 30493, 11 декабря 2014 года N 35134, 31 марта 2020 года N 57915, и пунктом 2.4 Инструкции Банка России от 21 ноября 2017 года N 182-И "О допустимых сочетаниях банковских операций небанковских кредитных организаций, осуществляющих депозитно-кредитные операции, об обязательных нормативах небанковских кредитных организаций, осуществляющих депозитно-кредитные операции, и об осуществлении Банком России надзора за их соблюдением", зарегистрированной Министерством юстиции Российской Федерации 5 февраля 2018 года N 49902, 19 ноября 2018 года N 52715, 31 марта 2020 года N 57915, с соблюдением кредитной организацией требований к системе управления операционным риском, установленных Положением Банка России от 8 апреля 2020 года N 716-П "О требованиях к системе управления операционным риском в кредитной организации и банковской группе", зарегистрированным Министерством юстиции Российской Федерации 3 июня 2020 года N 58577 (далее - Положение Банка России N 716-П).

Настоящее Положение не применяется в отношении центральных контрагентов, центральных депозитариев и небанковских кредитных организаций, имеющих право на осуществление переводов денежных средств без открытия банковских счетов и связанных с ними иных банковских операций.

1.2. Кредитная организация определяет размер операционного риска по формуле:

,

где:

i - расчетный год, по состоянию на который кредитная организация рассчитывает размер операционного риска в целях расчета нормативов достаточности капитала в данном году (далее - расчетный год);

- размер операционного риска для i-го расчетного года, рассчитанный кредитной организацией по состоянию на даты, указанные в пунктах 1.3 и 1.4 настоящего Положения (далее - расчетная дата);

- величина компонента расчета размера операционного риска (далее - КБИ), рассчитанная кредитной организацией в соответствии с подпунктами 2.1.1 - 2.1.3 пункта 2.1 настоящего Положения с учетом величины бизнес-индикатора (далее - БИ), рассчитываемого в соответствии с пунктом 2.2 настоящего Положения, в тысячах рублей, по состоянию на расчетную дату i-го года;

- величина коэффициента внутренних потерь (далее - КВП), рассчитанная кредитной организацией в соответствии с пунктом 3.1 настоящего Положения, по состоянию на расчетную дату i-го года.

1.3. Кредитная организация рассчитывает ежегодно размер операционного риска на 1 января расчетного года в сроки, указанные в пункте 8 Порядка составления и представления отчетности по форме 0409135 "Информация об обязательных нормативах и о других показателях деятельности кредитной организации", установленного Указанием Банка России от 8 октября 2018 года N 4927-У "О перечне, формах и порядке составления и представления форм отчетности кредитных организаций в Центральный банк Российской Федерации", зарегистрированным Министерством юстиции Российской Федерации 13 декабря 2018 года N 52992, 13 декабря 2019 года N 56796, 30 сентября 2020 года N 60147 (далее - Указание Банка России N 4927-У), представляемой на полугодовой основе.

1.4. В случае если кредитная организация отражает в бухгалтерском учете события, подтверждающие существовавшие на отчетную дату условия, в которых кредитная организация вела свою деятельность (далее - корректирующие события после отчетной даты), в соответствии с главой 3 Указания Банка России от 4 сентября 2013 года N 3054-У "О порядке составления кредитными организациями годовой бухгалтерской (финансовой) отчетности", зарегистрированного Министерством юстиции Российской Федерации 1 ноября 2013 года N 30303, 16 декабря 2014 года N 35196, 3 ноября 2015 года N 39599, 11 ноября 2016 года N 44307, 22 ноября 2017 года N 48976, 28 ноября 2018 года N 52825, 4 декабря 2019 года N 56686, влияющие на расчет величины показателей БИ и КВП, кредитная организация проводит ежегодно на 1 июля расчетного года перерасчет размера операционного риска, показателей БИ и КВП с учетом отражения в бухгалтерском учете корректирующих событий после отчетной даты в сроки, указанные в пункте 8 Порядка составления и представления отчетности по форме 0409135 "Информация об обязательных нормативах и о других показателях деятельности кредитной организации", установленного Указанием Банка России N 4927-У, представляемой на полугодовой основе.

Глава 2. Расчет величины компонента расчета размера операционного риска

2.1. Кредитная организация рассчитывает величину с учетом величины БИ, определенной по состоянию на расчетную дату i-го года (далее - ).

2.1.1. Кредитная организация, величина которой на расчетную дату i-го года не превышает 70 миллиардов рублей, рассчитывает величину на расчетную дату i-го года по формуле:

.

2.1.2. Кредитная организация, величина которой на расчетную дату i-го года превышает 70 миллиардов рублей и не превышает 2,1 триллиона рублей, рассчитывает величину на расчетную дату i-го года по формуле:

.

2.1.3. Кредитная организация, величина которой на расчетную дату i-го года превышает 2,1 триллиона рублей, рассчитывает величину на расчетную дату i-го года по формуле:

.

2.2. Кредитная организация рассчитывает величину на расчетную дату i-го года по формуле:

,

где:

- величина процентных доходов и расходов, в том числе от финансовой аренды (лизинга), операционной аренды и в виде дивидендов (далее - ВПФД), определяемая кредитной организацией на расчетную дату i-го года в тысячах рублей в соответствии с подпунктами 2.2.1 - 2.2.3 настоящего пункта;

- величина комиссионных и операционных доходов и расходов (далее - ВУ), определяемая кредитной организацией на расчетную дату i-го года в тысячах рублей в соответствии с подпунктом 2.2.4 настоящего пункта;

- величина чистой прибыли (убытка) по финансовым операциям банковского и торгового портфелей (далее - ВФ), определяемая кредитной организацией на расчетную дату i-го года в тысячах рублей в соответствии с подпунктом 2.2.5 настоящего пункта.

2.2.1. Кредитная организация не реже одного раза в год определяет во внутренних документах один из следующих способов расчета :

способ расчета без учета величины активов, приносящих процентный доход (далее - АПД), в соответствии с подпунктом 2.2.2 настоящего пункта (далее - способ расчета без учета величины АПД);

способ расчета с учетом величины АПД в соответствии с подпунктом 2.2.3 настоящего пункта (далее - способ расчета с учетом величины АПД).

В случае если кредитная организация на расчетную дату i-го года выбирает способ расчета с учетом величины АПД, кредитная организация разрабатывает методику, указанную в абзаце третьем подпункта 4.3.1 пункта 4.3 настоящего Положения, и формирует на расчетную дату i-го года отчет о расчете величины активов, приносящих процентный доход (рекомендуемый образец приведен в приложении 1 к настоящему Положению).

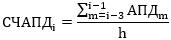
2.2.2. В случае если кредитная организация на расчетную дату i-го года выбирает способ расчета без учета величины АПД, кредитная организация рассчитывает по формуле:

,

где:

m - год, за который кредитной организацией осуществляется расчет показателей, за исключением расчетного года;

- доходы в виде дивидендов (далее - ДД), определяемые кредитной организацией в тысячах рублей за m-й год в соответствии с подпунктом 2.2.6 настоящего пункта и со строкой 3 таблицы, приведенной в приложении 2 к настоящему Положению;

h - количество лет (от 1 года до 3 лет), за которые кредитная организация обладает информацией, позволяющей рассчитать величину каждого показателя в соответствии с настоящим пунктом;

- средние чистые процентные доходы и расходы, определяемые кредитной организацией по формуле:

,

где:

- процентные доходы (включая доходы от финансовой аренды (лизинга) (далее - ПД), определяемые кредитной организацией в тысячах рублей за m-й год в соответствии с подпунктом 2.2.6 настоящего пункта и со строкой 1 таблицы, приведенной в приложении 2 к настоящему Положению;

- процентные расходы (включая расходы от финансовой аренды (лизинга) (далее - ПР), определяемые кредитной организацией в тысячах рублей за m-й год в соответствии с подпунктом 2.2.6 настоящего пункта и со строкой 2 таблицы, приведенной в приложении 2 к настоящему Положению.

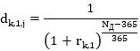
2.2.3. В случае если кредитная организация выбирает способ расчета с учетом величины АПД, кредитная организация рассчитывает по формуле:

,

где:

- средние чистые АПД, определяемые кредитной организацией по формуле:

,

где:

- активы, приносящие процентный доход, включая кредиты, займы, прочие размещенные средства, приносящие процентный доход, остатки на корреспондентских счетах, по которым начисляются проценты, ценные бумаги и производные финансовые инструменты, доход и (или) расход по которым формируется процентными платежами, определяемые кредитной организацией в тысячах рублей на последний календарный день m-го года (рекомендуемый образец отчета о расчете величины активов, приносящих процентный доход, приведен в приложении 1 к настоящему Положению).

2.2.4. Кредитная организация рассчитывает по формуле:

,

где:

- комиссионные доходы, получаемые кредитной организацией в связи с осуществлением банковских операций (далее - КД) и определяемые кредитной организацией в тысячах рублей за m-й год в соответствии с подпунктом 2.2.6 настоящего пункта и со строкой 4 таблицы, приведенной в приложении 2 к настоящему Положению;

- комиссионные расходы, понесенные кредитной организацией в связи с осуществлением банковских операций (далее - КР) и определяемые кредитной организацией в тысячах рублей за m-й год в соответствии с подпунктом 2.2.6 настоящего пункта и со строкой 5 таблицы, приведенной в приложении 2 к настоящему Положению;

- операционные доходы (далее - ОД), определяемые кредитной организацией в тысячах рублей за m-й год в соответствии с подпунктом 2.2.6 настоящего пункта и со строкой 6 таблицы, приведенной в приложении 2 к настоящему Положению;

- операционные расходы (далее - ОР), определяемые кредитной организацией в тысячах рублей за m-й год в соответствии с подпунктом 2.2.6 настоящего пункта и со строкой 7 таблицы, приведенной в приложении 2 к настоящему Положению.

2.2.5. Кредитная организация рассчитывает по формуле:

,

где:

- чистая прибыль (убыток) по финансовым операциям торгового портфеля (далее - ПТП), определяемая кредитной организацией в тысячах рублей за m-й год в соответствии с подпунктом 2.2.6 настоящего пункта и со строкой 8 таблицы, приведенной в приложении 2 к настоящему Положению;

- чистая прибыль (убыток) по финансовым операциям банковского портфеля (далее - ПБП), определяемая кредитной организацией в тысячах рублей за m-й год в соответствии с подпунктом 2.2.6 настоящего пункта и со строкой 9 таблицы, приведенной в приложении 2 к настоящему Положению.

2.2.6. Показатели , , , , , , , , , определяются кредитной организацией с учетом следующего:

величина показателей за третий и второй год, предшествующие расчетному году, определяется по состоянию на 1 июля года, следующего за вторым и третьим годом соответственно, на основании данных отчетности по форме 0409102 "Отчет о финансовых результатах кредитной организации" (далее - отчетность по форме 0409102), отчетности по форме 0409127 "Сведения о риске процентной ставки" (далее - отчетность по форме 0409127), установленных Указанием Банка России N 4927-У, и других источников данных, определенных в методике расчета величины АПД, в случае если кредитная организация применяет способ расчета с учетом величины АПД, за второй и третий год с учетом всех корректировок бухгалтерского учета по корректирующим событиям после отчетной даты соответствующего года, проведенных по счетам доходов и расходов до 1 июля года, следующего за вторым и третьим годом соответственно, и далее не пересчитывается;

величина показателей за год, предшествующий расчетному году, рассчитывается на основании данных отчетности по форме 0409102, 0409127, установленных Указанием Банка России N 4927-У, и других источников данных, определенных в методике расчета величины АПД, в случае если кредитная организация применяет способ расчета с учетом величины АПД, за год, предшествующий расчетному году, по состоянию на 1 января расчетного года и 1 июля расчетного года после завершения корректировок бухгалтерского учета по корректирующим событиям после отчетной даты года, предшествующего расчетному году, проведенных по счетам доходов и расходов.

2.2.7. В случае если при определении величин показателей за третий и второй год, предшествующие первому расчетному году с даты начала применения настоящего Положения, у кредитной организации отсутствуют данные для расчета величины показателей на соответствующие годы, кредитная организация определяет указанные показатели следующим образом:

при наличии информации для расчета величины показателей, составляющих , и , только за два календарных года, предшествующие первому расчетному году с даты начала применения настоящего Положения, указанные показатели определяются кредитной организацией как среднее арифметическое значение за эти два календарных года;

при наличии информации для расчета величины показателей, составляющих , и , только за один календарный год, предшествующий первому расчетному году с даты начала применения настоящего Положения, указанные показатели приравниваются кредитной организацией к величине показателей за данный календарный год.

Кредитная организация, созданная в течение расчетного года, не рассчитывает размер на указанный год.

2.3. В случае реорганизации кредитная организация определяет величину с учетом подпункта 2.2.7 пункта 2.2 настоящего Положения следующим образом.

2.3.1. Кредитная организация, образованная в результате слияния кредитных организаций, или кредитная организация, к которой произошло присоединение другой кредитной организации, рассчитывает величину путем суммирования показателей, рассчитанных для всех кредитных организаций, участвующих в реорганизации, с исключением операций и сделок, проведенных между этими кредитными организациями до даты реорганизации, а также доходов и расходов от таких операций и сделок (в том числе от операций этих кредитных организаций с акциями (долями) и иными источниками собственных средств кредитных организаций, участвующих в реорганизации) и осуществляет перерасчет размера операционного риска на ближайшую дату расчета нормативов достаточности капитала от даты реорганизации для данной кредитной организации.

Кредитная организация, образованная в результате слияния кредитных организаций, или кредитная организация, к которой произошло присоединение другой кредитной организации, разрабатывает во внутренних документах методику расчета БИ, учитывающую величину БИ кредитных организаций, участвующих в реорганизации, и представляет ее в Банк России в течение 20 рабочих дней с даты реорганизации.

2.3.2. Кредитные организации, образованные в результате разделения кредитной организации, или кредитная организация, образованная в результате выделения кредитных организаций, применяет рассчитанную величину на последнюю расчетную дату до разделения или выделения пропорционально доле величины активов кредитной организации в доле активов, разделенных или выделенных кредитной организацией, на дату выделения или разделения.

Глава 3. Подходы к определению величины коэффициента внутренних потерь

3.1. Кредитная организация в соответствии с пунктом 3.2 настоящего Положения применяет в расчете размера операционного риска один из следующих видов КВП:

фиксированный КВП, рассчитанный кредитной организацией в соответствии с подпунктом 3.1.1 настоящего пункта (далее - фиксированный КВП);

расчетный КВП, рассчитанный кредитной организацией в соответствии с подпунктом 3.1.2 настоящего пункта (далее - расчетный КВП).

3.1.1. Кредитная организация определяет фиксированный на расчетную дату i-го года по формуле:

,

где:

- коэффициент неучтенных прямых потерь от реализации событий операционного риска в расчете размера операционного риска. Величина принимает значение, равное нулю, в случае если ведение кредитной организацией базы событий оценивается Банком России как соответствующее требованиям Положения Банка России N 716-П. Величина принимает значение выше нуля, в случае если ведение кредитной организацией базы событий оценивается Банком России как не соответствующее требованиям Положения Банка России N 716-П. Расчет значения для кредитной организации, применяющей фиксированный КВП, приведен в пункте 1 приложения 5 к настоящему Положению.

3.1.2. Кредитная организация определяет расчетный на расчетную дату i-го года по формуле:

,

где:

- коэффициент неучтенных прямых потерь от реализации событий операционного риска в расчете размера операционного риска. Величина принимает значение, равное нулю, в случае если ведение базы событий оценивается Банком России как соответствующее требованиям Положения Банка России N 716-П. Величина принимает значение выше нуля, в случае если ведение базы событий оценивается Банком России как не соответствующее требованиям Положения Банка России N 716-П. Расчет для кредитной организации, применяющей расчетный КВП, приведен в пунктах 2 - 6 приложения 5 и приложении 6 к настоящему Положению;

- величина базового КВП, рассчитанная кредитной организацией по состоянию на расчетную дату i-го года по формуле:

,

где:

- показатель потерь кредитной организации от реализации событий операционного риска (далее - ПП), определяемый кредитной организацией на расчетную дату i-го года по формуле, указанной в абзаце втором пункта 3.3 настоящего Положения.

3.2. Кредитная организация применяет в расчете размера операционного риска КВП следующим образом.

3.2.1. Фиксированный КВП применяют следующие кредитные организации:

банк, размер активов которого составляет 500 миллиардов рублей и более на начало расчетного года в соответствии со значением статьи "Всего активов", определяемым в соответствии с Разработочной таблицей для составления бухгалтерского баланса (публикуемой формой) пункта 3 Порядка составления и представления отчетности по форме 0409806 "Бухгалтерский баланс (публикуемая форма)", установленного Указанием Банка России N 4927-У (далее соответственно - значение статьи "Всего активов", банк, размер активов которого составляет 500 миллиардов рублей и более), с даты начала расчета размера операционного риска до 1 января 2027 года, который не применяет расчетный КВП в соответствии с абзацем вторым подпункта 3.2.2 настоящего пункта;

банк, созданный после 1 января 2023 года, с даты создания которого прошло менее 5 полных календарных лет;

банк, размер активов которого составляет менее 500 миллиардов рублей на начало расчетного года в соответствии со значением статьи "Всего активов" (далее - банк, размер активов которого составляет менее 500 миллиардов рублей), который не применяет расчетный КВП в соответствии с абзацем четвертым подпункта 3.2.2 настоящего пункта;

небанковская кредитная организация, которая не применяет расчетный КВП в соответствии с абзацем пятым подпункта 3.2.2 настоящего пункта;

кредитная организация, в отношении которой Банком России или государственной корпорацией "Агентство по страхованию вкладов" осуществляются меры по предупреждению банкротства и меры по урегулированию обязательств кредитной организации, предусмотренные параграфом 4.1 главы IX Федерального закона от 26 октября 2002 года N 127-ФЗ "О несостоятельности (банкротстве)" (Собрание законодательства Российской Федерации, 2002, N 43, ст. 4190; 2020, N 22, ст. 3384).

3.2.2. Расчетный КВП применяют следующие кредитные организации:

банк, размер активов которого составляет 500 миллиардов рублей и более, - с даты вступления в силу настоящего Положения до 1 января 2027 года в случае направления уведомления о применении величины расчетного КВП для расчета размера операционного риска в целях расчета нормативов достаточности капитала (далее - уведомление о применении расчетного КВП) с соблюдением требований главы 5 настоящего Положения с даты начала применения расчетного КВП, указанной в уведомлении о применении расчетного КВП;

банк, размер активов которого составляет 500 миллиардов рублей и более, - с 1 января 2027 года. В случае если банк, размер активов которого составляет 500 миллиардов рублей и более, создан после 1 января 2023 года, указанный банк применяет расчетный КВП по истечении 5 полных календарных лет с даты его создания;

банк, размер активов которого составляет менее 500 миллиардов рублей, - со дня вступления в силу настоящего Положения в случае направления уведомления о применении расчетного КВП с соблюдением требований главы 5 настоящего Положения с даты начала применения расчетного КВП, указанной в уведомлении о применении расчетного КВП;

небанковская кредитная организация - со дня вступления в силу настоящего Положения в случае направления уведомления о применении расчетного КВП с соблюдением требований главы 5 настоящего Положения с даты начала применения расчетного КВП, указанной в уведомлении о применении расчетного КВП.

3.2.3. В случае если кредитная организация в соответствии с подпунктом 3.2.2 настоящего пункта применяет в расчете размера операционного риска расчетный КВП, при изменении вида лицензии на осуществление банковских операций и (или) размера активов кредитной организации кредитная организация продолжает применять расчетный КВП, за исключением случаев, указанных в подпункте 3.2.4 настоящего пункта.

3.2.4. Кредитная организация в случае реорганизации применяет КВП следующим образом.

Кредитная организация, образованная в результате слияния кредитных организаций, для целей расчета размера операционного риска применяет с даты слияния фиксированный КВП в течение календарного года, в котором произошло слияние, с начала нового календарного года применяет КВП в зависимости от вида лицензии на осуществление банковских операций и (или) размера активов кредитной организации, указанной в подпункте 3.2.1 или подпункте 3.2.2 настоящего пункта, с объединением баз событий кредитных организаций, участвующих в слиянии.

Кредитная организация, к которой произошло присоединение другой кредитной организации, для целей расчета размера операционного риска применяет в течение календарного года, в котором произошло присоединение, КВП, определенный для кредитной организации до даты присоединения, с начала нового календарного года применяет КВП в зависимости от вида лицензии на осуществление банковских операций и (или) размера активов кредитной организации, указанной в подпункте 3.2.1 или подпункте 3.2.2 настоящего пункта, с объединением баз событий присоединяемой кредитной организации.

В случае если кредитная организация, к которой произошло присоединение другой кредитной организации, в соответствии с подпунктом 3.2.2 настоящего пункта применяет расчетный КВП, кредитная организация, к которой произошло присоединение другой кредитной организации, при отсутствии у присоединяемой кредитной организации данных о чистых потерях за период, указанный в пункте 3.4 настоящего Положения, и (или) их несоответствия требованиям абзацев третьего и четвертого пункта 5.1 настоящего Положения, вправе продолжать применять расчетный КВП со следующей отчетной даты расчета нормативов достаточности капитала после даты присоединения до окончания полного года, следующего за годом, в котором произошло присоединение кредитной организации, с учетом следующего:

кредитная организация, к которой произошло присоединение другой кредитной организации, пропорционально увеличивает величину показателя чистых прямых потерь кредитной организации, определенного в соответствии с подпунктом 3.3.2 пункта 3.3 настоящего Положения, за каждый год периода, указанного в пункте 3.4 настоящего Положения, до даты присоединения кредитной организации, на долю увеличения размера активов кредитной организации, рассчитанную как отношение размера активов кредитной организации на отчетную дату расчета нормативов достаточности капитала после даты присоединения (с исключением операций и сделок, проведенных между этими кредитными организациями до даты присоединения) к размеру активов кредитной организации на последнюю отчетную дату расчета нормативов достаточности капитала, предшествующую дате реорганизации в форме присоединения в соответствии со значением статьи "Всего активов";

кредитная организация, к которой произошло присоединение другой кредитной организации, рассчитывает величину показателя чистых прямых потерь кредитной организации, определенного в соответствии с подпунктом 3.3.2 пункта 3.3 настоящего Положения, за каждый следующий полный год после даты присоединения кредитных организаций с учетом данных о потерях, полученных после этой даты.

В случае если присоединяемая кредитная организация обладает данными о чистых потерях за период, указанный в пункте 3.4 настоящего Положения, и соответствует требованиям абзацев третьего и четвертого пункта 5.1 настоящего Положения, кредитная организация, к которой произошло присоединение другой кредитной организации, со следующего расчетного года определяет расчетный КВП с учетом данных о потерях, полученных в результате объединения баз событий кредитных организаций.

Кредитная организация, образованная в результате разделения кредитной организации, для целей расчета размера операционного риска применяет фиксированный КВП в течение календарного года, в котором произошло разделение, с начала нового календарного года применяет КВП в зависимости от вида лицензии на осуществление банковских операций и (или) размера активов кредитной организации, указанной в подпункте 3.2.1 или подпункте 3.2.2 настоящего пункта, с разделением и передачей баз событий указанной кредитной организации.

Кредитная организация, образованная в результате выделения из кредитной организации, для целей расчета размера операционного риска применяет фиксированный КВП в течение календарного года, в котором произошло выделение, с начала нового календарного года применяет КВП в зависимости от вида лицензии на осуществление банковских операций и (или) размера активов кредитной организации, указанной в подпункте 3.2.1 или подпункте 3.2.2 настоящего пункта, с разделением и передачи соответствующей ей базы событий из выделяемой кредитной организации.

Условия и состав передаваемых и выделяемых баз событий определяются одновременно с решением уполномоченных органов управления кредитной организации о разделении или выделении кредитной организации.

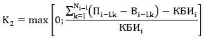
3.3. Кредитная организация рассчитывает величину по состоянию на расчетную дату i-го года по формуле:

,

где:

- средние чистые прямые потери кредитной организации, рассчитанные по состоянию на расчетную дату i-го года, определяемые кредитной организацией в тысячах рублей в соответствии с подпунктом 3.3.1 настоящего пункта.

3.3.1. Кредитная организация рассчитывает величину по формуле:

,

где:

n - количество полных лет учета средних чистых прямых потерь кредитной организации от реализации событий операционного риска, определяемое в соответствии с пунктом 3.4 настоящего Положения, до даты начала расчетного года;

- чистые прямые потери кредитной организации, понесенные в m-м году, определяемые кредитной организацией в соответствии с подпунктом 3.3.2 настоящего пункта и пунктами 3.4 - 3.7 настоящего Положения в тысячах рублей, с учетом требования пункта 6.18 Положения Банка России N 716-П;

- коэффициент индекса инфляции m-го года. В целях расчета кредитная организация использует данные об индексе потребительских цен на товары и услуги, приведенные на официальном сайте Федеральной службы государственной статистики Российской Федерации в информационно-телекоммуникационной сети "Интернет" (далее - сайт Федеральной службы государственной статистики Российской Федерации). Кредитная организация использует значение индекса потребительских цен на товары и услуги, рассчитанного по Российской Федерации, за декабрь года m по отношению к декабрю года m-1 (далее - ). В целях определения величины кредитная организация применяет значения индекса потребительских цен на товары и услуги, приведенные на сайте Федеральной службы государственной статистики Российской Федерации, за декабрь каждого m-го года с учетом их деления на 100 процентов. для года, предшествующего расчетному году, для целей расчета принимается за единицу. Величина для года, предшествующего расчетному году, принимается за единицу. Кредитная организация определяет величину остальных лет расчетного периода в соответствии с подпунктом 3.3.7 настоящего пункта.

3.3.2. Кредитная организация рассчитывает величину по формуле:

,

где:

- совокупные чистые прямые потери, понесенные в m-м году, по событиям операционного риска, зарегистрированным в базе событий, и определяемые кредитной организацией в соответствии с подпунктом 3.3.3 настоящего пункта и пунктами 3.4 - 3.7 настоящего Положения в тысячах рублей, с учетом требования пункта 6.18 Положения Банка России N 716-П;

- совокупные чистые прямые потери, понесенные в m-м году, по событиям операционного риска, зарегистрированным в базе событий, исключаемые кредитной организацией из расчета на основании уведомления, направленного в соответствии с главой 6 настоящего Положения (строки 1.3, 2.3, 3.3, 4.3, 5.3, 6.3, 7.3, 8.3, 9.3 и 10.3 таблицы 2 приложения 3 к настоящему Положению).

3.3.3. Кредитная организация рассчитывает величину по формуле:

,

где:

k - уникальный порядковый идентификационный номер события операционного риска в соответствии с абзацем вторым пункта 6.6 Положения Банка России N 716-П;

- количество событий операционного риска, зарегистрированных в базе событий, по которым в m-м году на счетах бухгалтерского учета были отражены потери;

- чистые прямые потери, понесенные в m-м году по k-му событию операционного риска, зарегистрированному в базе событий, и определяемые кредитной организацией в соответствии с подпунктом 3.3.4 настоящего пункта и пунктами 3.4 - 3.7 настоящего Положения в тысячах рублей, с учетом требований пункта 6.18 Положения Банка России N 716-П.

3.3.4. Кредитная организация рассчитывает величину по формуле:

,

где:

l - номер прямой потери в базе событий по k-му событию операционного риска, дата отражения которой на счетах бухгалтерского учета в соответствии с пунктом 6.8 Положения Банка России N 716-П относится к m-му году (далее - дата прямой потери);

кредитная организация осуществляет суммирование по всем l-м прямым потерям, даты которых отражены в m-м году;

- количество прямых потерь, отраженных на счетах бухгалтерского учета, по k-му событию операционного риска, зарегистрированному в базе событий, дата которых отражена в m-м году;

- чистые прямые потери по l-й прямой потере по k-му событию операционного риска, зарегистрированному в базе событий, и определяемые кредитной организацией в соответствии с подпунктом 3.3.5 настоящего пункта и пунктами 3.4 - 3.7 настоящего Положения в тысячах рублей, с учетом требований пункта 6.18 Положения Банка России N 716-П.

3.3.5. Кредитная организация для целей расчета величины применяет один из следующих способов учета возмещений:

возмещения, поступившие на покрытие l-й потери от реализации k-го события операционного риска, учитываются в расчете в течение одного календарного года от даты прямой потери (как до, так и после даты прямой потери);

все возмещения, поступившие на покрытие l-й потери от реализации k-го события операционного риска, учитываются в расчете в течение периода, указанного в пункте 3.4 настоящего Положения.

Кредитная организация определяет не реже одного раза в год во внутренних документах способ учета поступивших возмещений для расчета величины .

При расчете величины кредитная организация формирует таблицу отнесения возмещений к прямым потерям с учетом выбранного способа учета возмещений (рекомендуемый образец приведен в приложении 4 к настоящему Положению) в случае регистрации в базе событий данных о возмещении на покрытие потери от реализации события операционного риска. Кредитная организация предоставляет таблицу отнесения возмещений к прямым потерям в Банк России по запросу в соответствии с пунктом 7.2 настоящего Положения.

В целях составления таблицы отнесения возмещений к прямым потерям кредитная организация отражает в базе событий данные, требуемые для составления таблицы, и актуализирует их по мере поступления новой информации по потерям и относящимся к ним возмещениям по событию операционного риска.

3.3.5.1. В случае если кредитная организация на расчетную дату i-го года выбирает способ учета поступивших возмещений для расчета величины в соответствии с абзацем вторым подпункта 3.3.5 настоящего пункта, кредитная организация рассчитывает величину по формуле:

,

где:

- количество поступивших в течение одного календарного года от даты прямой потери возмещений, отнесенных кредитной организацией на покрытие l-й потери от реализации k-го события операционного риска в соответствии с таблицей отнесения возмещений к прямым потерям (рекомендуемый образец приведен в приложении 4 к настоящему Положению);

- величина l-й прямой потери по k-му событию операционного риска, зарегистрированному в базе событий, в тысячах рублей;

- величина возмещения, отнесенного на покрытие l-й потери по k-му событию операционного риска, зарегистрированному в базе событий, в тысячах рублей.

3.3.5.2. В случае если кредитная организация на расчетную дату i-го года выбирает способ учета поступивших возмещений для расчета величины в соответствии с абзацем третьим подпункта 3.3.5 настоящего пункта, кредитная организация рассчитывает величину по формуле:

,

где:

- количество поступивших возмещений, отнесенных кредитной организацией на покрытие l-й потери от реализации k-го события операционного риска в соответствии с таблицей отнесения возмещений к прямым потерям (рекомендуемый образец приведен в приложении 4 к настоящему Положению);

- коэффициент дисконтирования возмещений, отнесенных кредитной организацией на покрытие l-й потери по k-му событию операционного риска, зарегистрированному в базе событий, определяемый кредитной организацией в соответствии с подпунктом 3.3.6 настоящего пункта.

3.3.6. Кредитная организация определяет величину следующим образом.

Кредитная организация определяет количество дней между датой отражения возмещения, отнесенного на покрытие l-й потери по k-му событию операционного риска, зарегистрированному в базе событий, на счетах бухгалтерского учета в соответствии с абзацем сорок третьим пункта 6.6 Положения Банка России N 716-П (далее - дата возмещения) и датой прямой потери и применяет величину следующим образом:

в случае если дата возмещения наступила раньше, чем дата прямой потери, кредитная организация применяет величину равную единице;

в случае если количество дней между датой возмещения и датой прямой потери не превышает 365, кредитная организация применяет величину равную единице;

в случае если количество дней между датой возмещения и датой прямой потери превышает 365, кредитная организация рассчитывает величину по формуле:

,

где:

- эффективная процентная ставка, определенная кредитной организацией во внутренних документах, действующая на дату прямой потери, в соответствии с пунктом 1.6 Положения Банка России от 22 декабря 2014 года N 446-П "О порядке определения доходов, расходов и прочего совокупного дохода кредитных организаций", зарегистрированного Министерством юстиции Российской Федерации 6 февраля 2015 года N 35910, 8 декабря 2015 года N 40025, 12 декабря 2017 года N 49219, 31 июля 2018 года N 51743, 29 июля 2020 года N 59108;

- количество дней между датой возмещения и датой прямой потери.

3.3.7. Кредитная организация рассчитывает величину по формуле:

,

где:

- значение индекса потребительских цен на товары и услуги, приведенное на сайте Федеральной службы государственной статистики Российской Федерации в соответствии с абзацем шестым подпункта 3.3.1 настоящего пункта.

Кредитная организация осуществляет произведение по всем , включенным в период с года, следующего за m-м годом, до года, предшествующего расчетному году.

3.3.8. Для целей соблюдения требований подпункта 3.5.1 пункта 3.5 настоящего Положения кредитная организация определяет общую величину чистых прямых потерь от k-го события операционного риска (далее - ) по состоянию на расчетную дату i-го года по формуле:

,

где:

- количество прямых потерь, отраженных на счетах бухгалтерского учета, по k-му событию операционного риска, зарегистрированному в базе событий, в период расчета ПП в соответствии с пунктом 3.4 настоящего Положения.

3.4. Кредитная организация в целях расчета по формуле, приведенной в абзаце втором подпункта 3.3.1 пункта 3.3 настоящего Положения, применяет один из следующих периодов расчета ПП:

от 5 полных лет до 10 полных лет до даты начала расчетного года (далее - сокращенный период расчета ПП);

10 полных лет до даты начала расчетного года (далее - полный период расчета ПП).

3.4.1. В случае если в базе событий кредитной организации отсутствуют данные о прямых потерях от реализации событий операционного риска за полный период расчета ПП, кредитная организация включает в расчет ПП данные о чистых прямых потерях за сокращенный период расчета ПП.

3.4.2. В случае если кредитная организация рассчитывает ПП за сокращенный период расчета ПП, по мере накопления в базе событий данных о чистых прямых потерях от реализации событий операционного риска кредитная организация включает в расчет чистых прямых потерь данные о прямых потерях и возмещениях за каждый следующий год до начала использования полного периода расчета ПП.

3.5. Кредитная организация включает в расчет на расчетную дату i-го года чистые прямые потери от реализации события операционного риска с учетом следующего.

3.5.1. В расчет ПП включается величина чистых прямых потерь от реализации событий операционного риска, для которых величина превышает порог включения в расчет СЧП (далее - порог включения):

банк, размер активов которого составляет 500 миллиардов рублей и более, применяет порог включения в размере 350 тысяч рублей;

банк, размер активов которого составляет менее 500 миллиардов рублей, или небанковская кредитная организация применяет порог включения в размере 100 тысяч рублей.

3.5.2. Возмещения, поступившие на покрытие конкретных прямых потерь, относятся кредитной организацией на покрытие этих прямых потерь. При наличии нераспределенных поступивших возмещений кредитная организация относит их на покрытие более ранних прямых потерь в хронологическом порядке.

3.5.3. Кредитная организация не учитывает в расчете СЧП возмещения, поступившие на покрытие прямых потерь от реализации события операционного риска, отраженные на счетах в бухгалтерском учете раннее полного периода расчета ПП.

3.5.4. Возмещения, ранее отнесенные кредитной организацией на покрытие прямых потерь от реализации события операционного риска, повторному отнесению на иные прямые потери не подлежат.

3.5.5. Банк, получивший разрешение Банка России на применение банковских методик управления кредитным риском и моделей количественной оценки кредитного риска в целях расчета нормативов достаточности капитала с применением подхода на основе внутренних рейтингов в соответствии с пунктом 8 Указания Банка России от 6 августа 2015 года N 3752-У "О порядке получения разрешений на применение банковских методик управления кредитными рисками и моделей количественной оценки кредитных рисков в целях расчета нормативов достаточности капитала банка, а также порядке оценки их качества", зарегистрированного Министерством юстиции Российской Федерации 25 августа 2015 года N 38679, 31 марта 2020 года N 57915, не включает в расчет ПП потери от событий операционного риска, определяемые в виде сумм начисления дополнительных резервов по ссудной и приравненной к ней задолженности, предусмотренные абзацем четвертым подпункта 3.12.1 пункта 3.12 Положения Банка России N 716-П, в случае если указанные потери учтены в количественных оценках компонентов кредитного риска, рассчитанных с применением моделей, разработанных в соответствии с Положением Банка России от 6 августа 2015 года N 483-П "О порядке расчета величины кредитного риска на основе внутренних рейтингов", зарегистрированным Министерством юстиции Российской Федерации 25 сентября 2015 года N 38996, 22 декабря 2015 года N 40193, 10 июня 2019 года N 54896, 31 марта 2020 года N 57915, 29 апреля 2020 года N 58242.

3.6. Кредитная организация осуществляет отнесение возмещений на покрытие прямых потерь от реализации события операционного риска с учетом требований пункта 6.17 Положения Банка России N 716-П и следующего.

3.6.1. Кредитная организация не учитывает возмещения по прямым потерям от реализации события операционного риска, в случае если они поступили от страховой организации, входящей в банковскую группу данной кредитной организации, по договорам имущественного страхования за счет страховых резервов и приводят к уменьшению собственных средств (капитала) страховой организации.

3.6.2. В случае если возмещение на покрытие прямых потерь поступило от страховой организации, входящей в банковскую группу, по договорам перестрахования со страховыми организациями, не входящими в банковскую группу, указанные возмещения могут быть учтены в расчете СЧП.

3.7. Кредитная организация осуществляет перерасчет СЧП по состоянию на дату, указанную в пункте 1.4 настоящего Положения, на основании произведенных кредитной организацией корректировок в бухгалтерском учете и учтенных величин возмещений, поступивших в период с 1 января расчетного года до 1 июля расчетного года.

Глава 4. Документирование расчета размера операционного риска и информационного обмена с Банком России

4.1. Кредитная организация назначает должностное лицо из числа работников кредитной организации, уполномоченное осуществлять взаимодействие с Банком России по вопросам расчета размера операционного риска и соблюдения требований настоящего Положения (далее - уполномоченный представитель кредитной организации), и в течение 10 рабочих дней с даты начала применения настоящего Положения направляет в Банк России письмо, содержащее контактные данные уполномоченного представителя кредитной организации.

4.2. Информационный обмен с Банком России осуществляется уполномоченным представителем кредитной организации с использованием личного кабинета в соответствии с Указанием Банка России от 19 декабря 2019 года N 5361-У "О порядке взаимодействия Банка России с кредитными организациями, некредитными финансовыми организациями и другими участниками информационного обмена при использовании ими информационных ресурсов Банка России, в том числе личного кабинета", зарегистрированным Министерством юстиции Российской Федерации 4 марта 2020 года N 57659, 12 ноября 2020 года N 60878 (далее - Указание Банка России N 5361-У).

В случаях, когда технические возможности личного кабинета не позволяют передать требуемый объем материалов и данных, допускается их передача с использованием электронных носителей информации с сопроводительным письмом кредитной организации.

4.3. В целях регламентации расчета размера операционного риска кредитная организация определяет во внутренних документах следующее.

4.3.1. При применении кредитной организацией в расчете размера операционного риска фиксированного КВП:

порядок и методику расчета размера операционного риска, БИ, КБИ;

методику расчета величины АПД, в случае если кредитная организация применяет способ расчета с учетом величины АПД;

порядок определения и исключения доходов и (или) расходов, а также активов, включаемых в расчет КБИ, в случае подачи уведомления об исключении части доходов и (или) расходов из расчета КБИ и (или) операций или сделок из расчета АПД (далее - уведомление об исключении доходов и (или) расходов из расчета КБИ) в соответствии с пунктом 6.1 настоящего Положения.

4.3.2. При применении кредитной организацией в расчете размера операционного риска расчетного КВП, в дополнение к порядкам, процедурам и методикам, указанным в подпункте 4.3.1 настоящего пункта:

порядок и методику расчета КВП;

порядок отнесения возмещений на покрытие прямых потерь от реализации событий операционного риска с учетом требований, установленных в пункте 3.6 настоящего Положения;

порядок определения и исключения чистых прямых потерь из расчета ПП и пересчета СЧП в случае подачи уведомления об исключении потерь из расчета ПП в соответствии с пунктом 6.1 настоящего Положения.

4.4. Кредитная организация рассматривает отчеты о расчете размера операционного риска, указанные в подпункте 4.4.1 и подпункте 4.4.2 настоящего пункта, в сроки, установленные во внутренних документах кредитной организации.

Кредитная организация предоставляет по состоянию на 1 января расчетного года отчеты о расчете размера операционного риска, указанные в подпункте 4.4.1 и подпункте 4.4.2 настоящего пункта, в Банк России не позднее 10 рабочих дней с даты представления в Банк России полугодовой отчетности по форме 0409135 "Информация об обязательных нормативах и о других показателях деятельности кредитной организации" в соответствии с пунктом 8 Порядка составления и представления отчетности по форме 0409135 "Информация об обязательных нормативах и о других показателях деятельности кредитной организации", установленного Указанием Банка России N 4927-У, или по запросу Банка России не позднее 15 рабочих дней со дня его получения.

В случае если кредитная организация отражает в бухгалтерском учете корректирующие события после отчетной даты года, предшествующего расчетному году, влияющие на расчет величины БИ и КВП данной кредитной организации, кредитная организация проводит перерасчет БИ и КВП к 1 июля расчетного года, корректировку отчетов, указанных в подпункте 4.4.1 и подпункте 4.4.2 настоящего пункта, и предоставляет их в Банк России не позднее 10 рабочих дней с даты представления в Банк России полугодовой отчетности по форме 0409135 "Информация об обязательных нормативах и о других показателях деятельности кредитной организации" в соответствии с пунктом 8 Порядка составления и представления отчетности по форме 0409135 "Информация об обязательных нормативах и о других показателях деятельности кредитной организации", установленного Указанием Банка России N 4927-У.

4.4.1. Кредитная организация, применяющая в расчете размера операционного риска фиксированный КВП, формирует следующие отчеты:

отчет о расчете величины бизнес-индикатора и размера операционного риска (рекомендуемый образец приведен в приложении 7 к настоящему Положению);

отчет о расчете величины активов, приносящих процентный доход (рекомендуемый образец приведен в приложении 1 к настоящему Положению), в случае если кредитная организация применяет способ расчета с учетом величины АПД;

отчет о величинах, исключаемых из расчета показателя бизнес-индикатора (таблица 2 приложения 7 к настоящему Положению), в случае если в соответствии с пунктом 6.6 настоящего Положения кредитная организация рассчитывает размер операционного риска с исключением доходов и (или) расходов из расчета КБИ и (или) операций или сделок из расчета АПД.

4.4.2. Кредитная организация, применяющая в расчете размера операционного риска расчетный КВП, в дополнение к отчетам, указанным в подпункте 4.4.1 настоящего пункта, формирует следующие отчеты:

отчет о расчете величины коэффициента внутренних потерь для кредитных организаций, применяющих расчетный коэффициент внутренних потерь (рекомендуемый образец приведен в приложении 3 к настоящему Положению);

отчет о чистых прямых потерях, исключаемых кредитной организацией из расчета показателя потерь (таблица 2 приложения 3 к настоящему Положению), в случае если в соответствии с пунктом 6.6 настоящего Положения кредитная организация рассчитывает размер операционного риска с исключением потерь из расчета ПП.

4.4.3. Кредитная организация при предоставлении в Банк России информации в соответствии с подпунктом 4.4.1 и подпунктом 4.4.2 настоящего пункта обеспечивает ее полноту и достоверность.

4.5. Внутренние документы, разработанные в соответствии с пунктом 4.3 настоящего Положения, и отчеты, указанные в пункте 4.4 настоящего Положения, должны храниться кредитной организацией не менее 10 лет со дня рассмотрения отчетов кредитной организацией или признания внутренних документов, разработанных в соответствии с пунктом 4.3 настоящего Положения, утратившими силу.

Глава 5. Направление кредитной организацией уведомления о применении расчетного коэффициента внутренних потерь для расчета размера операционного риска

5.1. Кредитная организация вправе подать уведомление о применении расчетного КВП при соблюдении следующих требований:

соответствует критериям, установленным абзацами вторым, четвертым и пятым подпункта 3.2.2 пункта 3.2 настоящего Положения;

до расчетной даты начала применения кредитной организацией расчетного КВП, указанной в уведомлении о применении расчетного КВП, имеет в наличии данные о прямых потерях от реализации событий операционного риска и связанных с ними возмещениях с учетом требований пунктов 6.1 - 6.20 Положения Банка России N 716-П, за период не менее сокращенного периода расчета ПП;

обеспечивает полноту базы событий за период не менее сокращенного периода расчета ПП с соблюдением контрольных значений контрольных показателей уровня операционного риска, рассчитанных в соответствии с абзацами седьмым и восьмым подпункта 1.1.1 пункта 1 приложения 1 к Положению Банка России N 716-П;

уполномоченное подразделение кредитной организации в течение 3 месяцев до даты направления кредитной организацией уведомления о применении расчетного КВП осуществило проверку соответствия системы управления операционным риском кредитной организации требованиям Положения Банка России N 716-П и полноты и точности информации, отраженной в базе событий, а также корректности ведения базы событий и проверки соблюдения контрольных показателей уровня операционного риска, установленных абзацами седьмым и восьмым подпункта 1.1.1 пункта 1 приложения 1 к Положению Банка России N 716-П;

на дату направления уведомления о применении расчетного КВП относится к группе 1 или подгруппе 2.1 группы 2 в соответствии с главой 2 Указания Банка России от 3 апреля 2017 года N 4336-У "Об оценке экономического положения банков", зарегистрированного Министерством юстиции Российской Федерации 19 мая 2017 года N 46771, 15 марта 2018 года N 50380, 23 мая 2018 года N 51155, 22 февраля 2019 года N 53872, в случае если кредитная организация является банком.

5.2. Кредитная организация в целях применения расчетного КВП в соответствии с решением единоличного или коллегиального исполнительного органа, принятым в соответствии с порядком, определенным во внутренних документах кредитной организации, направляет в Банк России уведомление о применении расчетного КВП (рекомендуемый образец приведен в приложении 8 к настоящему Положению) с приложением документов, примерный перечень которых приведен в приложении 9 к настоящему Положению, не позднее чем за 40 рабочих дней до запланированной даты начала применения кредитной организацией расчетного КВП, соответствующей расчетной дате, с использованием личного кабинета в соответствии с Указанием Банка России N 5361-У.

5.3. Банк России в течение 30 рабочих дней с даты получения уведомления о применении расчетного КВП осуществляет проверку соблюдения кредитной организацией требований, указанных в пункте 5.1 настоящего Положения.

5.4. В случае выявления Банком России несоблюдения требований, указанных в пункте 5.1 настоящего Положения, Банк России не позднее чем за 10 рабочих дней до запланированной даты начала применения кредитной организацией расчетного КВП, указанной в уведомлении о применении расчетного КВП, направляет в кредитную организацию письмо, содержащее информацию о выявленных несоответствиях кредитной организации требованиям, указанным в пункте 5.1 настоящего Положения, и невозможности применения расчетного КВП в расчете размера операционного риска (далее - письмо о выявленных несоответствиях).

5.5. В случае направления Банком России письма о выявленных несоответствиях кредитная организация продолжает применять фиксированный КВП в расчете размера операционного риска.

В случае если за 5 рабочих дней до запланированной даты начала применения расчетного КВП в кредитную организацию не поступило от Банка России письмо о выявленных несоответствиях, кредитная организация применяет расчетный КВП с запланированной даты начала применения кредитной организацией расчетного КВП, соответствующей расчетной дате.

5.6. После направления Банком России письма о выявленных несоответствиях в результате проведения проверки в соответствии с пунктом 5.3 настоящего Положения кредитная организация вправе повторно направить уведомление о применении расчетного КВП, документы, примерный перечень которых приведен в приложении 9 к настоящему Положению, не ранее чем через 6 месяцев с даты устранения несоответствий, выявленных Банком России в соответствии с пунктом 5.4 настоящего Положения.

Глава 6. Направление кредитной организацией уведомления об исключении доходов и (или) расходов из расчета КБИ и уведомления об исключении потерь из расчета ПП и их рассмотрение Банком России

6.1. При соблюдении условий, предусмотренных подпунктами 6.1.1 и (или) 6.1.2 настоящего пункта, кредитная организация в соответствии с принятым решением единоличного или коллегиального исполнительного органа вправе направить в Банк России следующие виды уведомлений:

уведомление об исключении доходов и (или) расходов из расчета КБИ;

уведомление об исключении потерь из расчета ПП.

6.1.1. Кредитная организация вправе подать уведомление об исключении доходов и (или) расходов из расчета КБИ за три года, предшествующие расчетному году, и составляющих не менее 5 процентов от величины на ближайшую к дате подачи уведомления расчетную дату в одном из следующих случаев.

6.1.1.1. В случае если кредитная организация применяет способ расчета без учета величины АПД, кредитная организация вправе подать уведомление об исключении доходов и (или) расходов из расчета КБИ при наличии одного из следующих оснований:

при реорганизации в форме выделения или разделения в соответствии с подпунктом 2.3.2 пункта 2.3 настоящего Положения;

при прекращении осуществления отдельных видов банковских операций и услуг, продаже (отчуждении) портфелей активов и пассивов, продаже (отчуждении) акций (долей) и иных источников собственных средств организаций, входивших в банковскую группу данной кредитной организации, формирующих соответствующие им статьи доходов и (или) расходов, включаемые в расчет КБИ при условии, что кредитная организация не осуществляет на дату подачи уведомления об исключении доходов и (или) расходов из расчета КБИ данные операции и (или) услуги, а также в отчетности по форме 0409102, установленной Указанием Банка России N 4927-У, в годы, следующие после даты прекращения данных операций и (или) услуг или продажи (отчуждения) портфелей активов и пассивов, акций (долей), не отражаются соответствующие им доходы и (или) расходы;

при исключении доходов от разовых операций, не связанных с осуществлением банковских операций, в том числе доходов от реализации имущества, продажи (отчуждения) акций (долей) и иных источников собственных средств организаций, входивших в банковскую группу данной кредитной организации, доходов и расходов от отражения финансового результата от присоединения других кредитных организаций, а также доходов от осуществления банковских операций и сделок, завершенных ранее 3 календарных лет до начала расчетного года.

6.1.1.2. В случае если кредитная организация применяет способ расчета с учетом величины АПД, кредитная организация вправе подать уведомление об исключении доходов и (или) расходов из расчета КБИ с исключением операций или сделок из расчета АПД из соответствующего им портфеля в соответствии с настоящей главой для целей расчета АПД.

6.1.2. Кредитная организация вправе подать уведомление об исключении потерь из расчета ПП за период расчета ПП, составляющих не менее 5 процентов от величины , рассчитанной на ближайшую к дате подачи уведомления расчетную дату, в соответствии с настоящей главой при условии того, что дата учета данных потерь составляет не менее 3 лет до даты подачи уведомления об исключении потерь из расчета ПП, в одном из следующих случаев:

при реорганизации в форме разделения или выделения в соответствии с абзацами четвертым и пятым подпункта 3.2.4 пункта 3.2 настоящего Положения;

при прекращении осуществления отдельных видов банковских операций и услуг, продаже (отчуждении) портфелей активов и пассивов, на которых реализовались события операционного риска, формирующие исключаемые прямые потери;

при исключении типов событий операционного риска, указанных в пунктах 3.6 - 3.8 Положения Банка России N 716-П, в разрезе направлений деятельности и (или) составляющих их процессов, проклассифицированных до второго и далее уровней классификации в соответствии с пунктом 3.10 Положения Банка России N 716-П, при условии их отделения по классификационным признакам от иных событий операционного риска.

Кредитная организация использует подход, предусмотренный абзацем четвертым настоящего подпункта, в случае если кредитная организация устранила все выявленные источники операционного риска и приняла меры, направленные на уменьшение негативного влияния операционного риска, в соответствии с абзацем пятым подпункта 2.1.6 пункта 2.1 Положения Банка России N 716-П в отношении типов событий операционного риска, чистые потери от реализации которых включены кредитной организацией в уведомление об исключении потерь из расчета ПП, и предоставит пояснительную записку об устранении указанных источников операционного риска и принятых мерах, направленных на уменьшение негативного влияния операционного риска в отношении исключаемых типов событий операционного риска в соответствии с настоящей главой.

6.1.3. Кредитная организация вправе подать каждое из указанных в подпунктах 6.1.1 и 6.1.2 настоящего пункта уведомлений не чаще двух раз в календарный год.

6.2. Кредитная организация направляет в Банк России уведомление об исключении доходов и (или) расходов из расчета КБИ (рекомендуемый образец приведен в приложении 10 к настоящему Положению) и (или) уведомление об исключении потерь из расчета ПП (рекомендуемый образец приведен в приложении 11 к настоящему Положению) (далее при совместном упоминании - уведомление) за подписью лица, осуществляющего функции единоличного исполнительного органа (лица, его замещающего), с приложением документов, примерный перечень которых приведен в приложении 9 к настоящему Положению, включающий перечень событий операционного риска, чистые прямые потери по которым предложены кредитной организацией к исключению из расчета СЧП кредитной организации (рекомендуемый образец приведен в приложении 12 к настоящему Положению), не позднее чем за 40 рабочих дней до расчетной даты с использованием личного кабинета в соответствии с Указанием Банка России N 5361-У.

6.3. Банк России в течение 30 рабочих дней с даты получения уведомления осуществляет проверку соблюдения кредитной организацией требований, указанных в пункте 6.1 настоящего Положения.

6.4. В случае выявления Банком России несоблюдения требований, указанных в пункте 6.1 настоящего Положения, Банк России не позднее чем за 10 рабочих дней до запланированной даты исключения доходов и (или) расходов из расчета КБИ и (или) потерь из расчета ПП, указанной в уведомлении, направляет в кредитную организацию письмо, содержащее информацию о выявленных несоответствиях кредитной организации требованиям, указанным в пункте 6.1 настоящего Положения, и невозможности исключения доходов и (или) расходов из расчета КБИ и (или) потерь из расчета ПП.

В случае направления Банком России письма, указанного в абзаце первом настоящего пункта, кредитная организация продолжает рассчитывать размер операционного риска без исключений доходов и (или) расходов из расчета КБИ и (или) потерь из расчета ПП.

6.5. Решение о направлении письма, указанного в пункте 6.4 настоящего Положения, принимается Банком России в случае выявления хотя бы одного из следующих несоответствий:

представления кредитной организацией неполного состава информации, указанной в пунктах 4 и 5 приложения 9 к настоящему Положению;

наличия в представленных кредитной организацией документах недостоверной информации;

несоответствия исключаемых доходов и (или) расходов из расчета КБИ и (или) операций и сделок из расчета АПД (в случае направления уведомления об исключении доходов и (или) расходов из расчета КБИ) требованиям подпункта 6.1.1 пункта 6.1 настоящего Положения и (или) ошибок в их расчете;

несоответствия исключаемых чистых потерь из расчета ПП (в случае направления уведомления об исключении потерь из расчета ПП) требованиям подпункта 6.1.2 пункта 6.1 настоящего Положения и (или) ошибок в их расчете.

6.6. В случае если за 5 рабочих дней до запланированной даты, указанной в уведомлении, в кредитную организацию не поступило от Банка России письмо, указанное в пункте 6.4 настоящего Положения, кредитная организация рассчитывает размер операционного риска с исключением доходов и (или) расходов из расчета КБИ и (или) потерь из расчета ПП с даты, указанной в уведомлении, соответствующей расчетной дате.

6.7. После направления Банком России письма, указанного в пункте 6.4 настоящего Положения, кредитная организация вправе повторно направить уведомление об исключении доходов и (или) расходов из расчета КБИ и (или) уведомление об исключении потерь из расчета ПП при условии соблюдения условий подпункта 6.1.3 пункта 6.1 настоящего Положения.

Глава 7. Надзор за соблюдением порядка расчета размера операционного риска

7.1. Надзор за соблюдением порядка расчета размера операционного риска включает:

надзор за корректностью расчета кредитной организацией размера операционного риска, величин КБИ, КВП, рассчитанных в соответствии с требованиями глав 1 - 3 настоящего Положения;

надзор за применением кредитной организацией расчета с учетом величины АПД;

надзор за соблюдением внутренних документов кредитной организации, определяющих порядок расчета размера операционного риска, соответствия показателям КБИ и КВП;

надзор за соблюдением кредитной организацией условий исключения доходов и (или) расходов из расчета КБИ и (или) операций или сделок из расчета АПД, соответствующих требованиям подпункта 6.1.1 пункта 6.1 настоящего Положения;

надзор за соблюдением кредитной организацией условий исключения потерь из расчета ПП за период расчета ПП, соответствующих требованиям подпункта 6.1.2 пункта 6.1 настоящего Положения (для кредитных организаций, применяющих расчетный КВП).

7.2. Банк России при осуществлении надзора за соблюдением порядка расчета размера операционного риска запрашивает у кредитной организации следующую информацию:

о прямых потерях (возмещениях потерь) от реализации операционного риска в разрезе источников риска и типов событий;

о потерях (возмещениях потерь) от реализации операционного риска, за исключением риска информационной безопасности, в разрезе типов событий и видов потерь (возмещений потерь) по направлениям деятельности;

о потерях (возмещениях потерь) от риска информационной безопасности в разрезе типов событий и видов потерь (возмещений потерь) по направлениям деятельности;

о значениях контрольных показателей уровня операционного риска по направлениям деятельности;

о значениях контрольных показателей уровня операционного риска по кредитной организации в целом;

о кратком описании пяти крупнейших событий операционного риска;

отчеты, подготовленные подразделением, ответственным за организацию управления операционным риском в кредитной организации, в соответствии с пунктом 4.2 Положения Банка России N 716-П;

отчеты уполномоченного подразделения кредитной организации в соответствии с пунктом 2.5 Положения Банка России N 716-П;

выписки по счетам бухгалтерского учета кредитной организации, по которым отражены потери за проверяемый период, указанные в пункте 3.12 Положения Банка России N 716-П, с указанием даты осуществления операции, номера документа, вида (шифра) операции, наименования операции, номера корреспондирующего счета, суммы (отдельно по дебету и кредиту), остатка по счету;

выгрузку информации о событиях операционного риска из базы событий за проверяемый период, объем и состав данных которой указан в запросе и которая соответствует требованиям главы 6 Положения Банка России N 716-П;

выписки из протоколов заседаний совета директоров (наблюдательного совета) и коллегиальных органов кредитной организации, уполномоченных рассматривать вопросы по управлению операционным риском в кредитной организации, о рассмотрении вопросов по управлению операционным риском, в том числе о рассмотрении отчетов об отдельных (индивидуальных) событиях операционного риска и о проверке качества и полноты базы событий (при наличии), определенных внутренними документами кредитной организации;

заключение и отчеты внутреннего и внешнего аудита кредитной организации;

таблицу отнесения возмещений к прямым потерям (рекомендуемый образец приведен в приложении 4 к настоящему Положению);

информацию об отдельных событиях операционного риска, данные по которым не содержатся в выгрузке информации о событиях операционного риска из базы событий за проверяемый период, которая соответствует требованиям главы 6 Положения Банка России N 716-П;

внутренние документы кредитной организации, указанные в пункте 4.3 настоящего Положения;

документы, указанные в пунктах 3 - 5 приложения 9 к настоящему Положению.

7.3. Срок предоставления ответа кредитной организации на запрос Банка России устанавливается в запросе Банка России и не может быть менее 10 рабочих дней с даты получения запроса. Кредитная организация может запросить с использованием личного кабинета в соответствии с Указанием Банка России N 5361-У у Банка России продление срока предоставления ответа на запрос с указанием обоснования. При этом общий срок ответа на запрос Банка России не может превышать 30 рабочих дней.

При несогласии с предложенным сроком Банк России в течение 5 рабочих дней с даты получения письма кредитной организации о предложении продления срока направляет письмо в кредитную организацию, содержащее окончательный срок, в течение которого кредитной организации необходимо предоставить ответ в Банк России.

Глава 8. Заключительные положения

8.1. Настоящее Положение вступает в силу по истечении 10 дней после дня его официального опубликования.

8.2. Банк с универсальной лицензией должен применять настоящее Положение с 1 января 2023 года, за исключением случая, предусмотренного пунктом 8.3 настоящего Положения.

8.3. Кредитная организация вправе принять решение о применении настоящего Положения (далее - решение) при условии направления в Банк России информации о принятом решении в письменном виде не позднее дня, следующего за днем принятия решения.

В случае если решение было принято кредитной организацией до 1 января 2022 года, кредитная организация одновременно с информацией о принятом решении должна направить в Банк России информацию, предусмотренную пунктом 10.3 Положения Банка России N 716-П.

Кредитная организация, принявшая решение в соответствии с абзацем первым настоящего пункта, должна применять настоящее Положение начиная со следующего дня после дня направления информации о принятом решении в Банк России.

8.4. Банк с универсальной лицензией с 1 января 2023 года, а также кредитная организация, принявшая решение в соответствии с абзацем первым пункта 8.3 настоящего Положения, со следующего дня после дня направления информации о принятом решении в Банк России не применяют Положение Банка России от 3 сентября 2018 года N 652-П "О порядке расчета размера операционного риска", зарегистрированное Министерством юстиции Российской Федерации 19 ноября 2018 года N 52705, 19 декабря 2018 года N 53050, 31 марта 2020 года N 57915.

Председатель Центрального банка
Российской Федерации
Э.С. НАБИУЛЛИНА

Приложение 1
к Положению Банка России
от 7 декабря 2020 года N 744-П
"О порядке расчета размера
операционного риска ("Базель III")
и осуществления Банком России
надзора за его соблюдением"

(рекомендуемый образец)

ОТЧЕТ
о расчете величины активов, приносящих процентный доход,
по состоянию на __ _____ 20__ года

Полное или сокращенное фирменное наименование кредитной организации                        
                                                                               
Адрес (место нахождения) кредитной организации                                                        
                                                                               

тыс. руб.

Номер строки Наименование компонентов расчета АПД Величины компонентов расчета АПД Итоговая величина компонентов расчета АПД на расчетную дату i-го года
за i-3 год за i-2 год за i-1 год
1 2 3 4 5 6
1 , всего, в том числе:       x
1.1       x
1.2       x
1.3       x
1.4       x
2 , всего, в том числе:       x
2.1       x
2.2       x
2.3       x
2.4       x
2.5       x
3       x
4 x x x  

Пояснения к составлению отчета о расчете величины активов, приносящих доход

1. При заполнении отчета о расчете величины активов, приносящих процентный доход (далее - отчет), рекомендуется исходить из следующего.

Отчет составляется, в случае если кредитная организация применяет способ расчета с учетом величины АПД.

1.1. В строке 1 отчета указывается отчетная величина АПД, рассчитываемая как сумма строк 1.1 и 1.2 за вычетом строки 1.3 отчета с учетом корректировки, отраженной в строке 1.4 отчета:

в строке 1.1 отчета указывается величина, определяемая путем суммирования значений граф 3 - 15 по строке 3 "Итого балансовых активов и внебалансовых требований" отчетности по форме 0409127, установленной Указанием Банка России N 4927-У;

в строке 1.2 отчета указывается величина расчетных размеров резервов на возможные потери по балансовым активам, использованная для уменьшения величины балансовых активов в соответствии с абзацем первым подпункта 4.1 пункта 4 Порядка составления и представления отчетности по форме 0409127, установленной Указанием Банка России N 4927-У;

в строке 1.3 отчета указывается величина наращенных процентных доходов по балансовым активам, использованная для увеличения величины балансовых активов в соответствии с абзацем первым подпункта 4.1 пункта 4 Порядка составления и представления отчетности по форме 0409127, установленной Указанием Банка России N 4927-У;

в строке 1.4 отчета указывается величина корректировок, увеличивающих (уменьшающих) стоимость балансовых активов, оцениваемых по амортизированной стоимости, применяемая к величине балансовых активов в соответствии с абзацем первым подпункта 4.1 пункта 4 Порядка составления и представления отчетности по форме 0409127, установленной Указанием Банка России N 4927-У.

1.2. В строке 2 отчета указывается величина активов, доход по которым определяется через процентную ставку и (или) в виде процентных платежей, не включенных в состав величины АПД, приведенной в строке 1 отчета, в соответствии с методикой кредитной организации, указанной в абзаце третьем подпункта 4.3.1 пункта 4.3 настоящего Положения, определяемая путем суммирования значений строк 2.1 - 2.5 отчета, в том числе:

в строке 2.1 отчета указывается величина долговых ценных бумаг, приносящих доход в виде процентных платежей, не включаемых кредитной организацией в расчет величины рыночного риска в соответствии с Положением Банка России от 3 декабря 2015 года N 511-П "О порядке расчета кредитными организациями величины рыночного риска", зарегистрированным Министерством юстиции Российской Федерации 28 декабря 2015 года N 40328, 7 марта 2019 года N 53986, 31 марта 2020 года N 57915;

в строке 2.2 отчета указывается величина активов, формирующих доходы по договорам финансовой аренды (лизинга);

в строке 2.3 отчета указывается величина условных обязательств кредитного характера, отраженных на внебалансовых счетах с учетом конверсионных коэффициентов, используемых для расчета нормативов достаточности капитала и действующих на последнюю дату года, за который рассчитывается АПД по графам 3 - 5 отчета;

в строке 2.4 отчета указывается величина справедливой стоимости производных финансовых инструментов, базисным активом которых является процентная ставка, формирующих на отчетную дату требования по получению процентных платежей;

в строке 2.5 отчета указывается величина иных видов активов, признаваемых кредитной организацией как АПД, не перечисленные в строках 1, 2.1, 2.2, 2.3, 2.4 отчета, в том числе АПД, не включаемые в графы 3 - 15 отчетности по форме 0409127, установленной Указанием Банка России N 4927-У, в соответствии с абзацами пятым и шестым подпункта 4.1 пункта 4 Порядка составления и представления отчетности по форме 0409127, установленного Указанием Банка России N 4927-У.

1.3. В строке 3 отчета указывается учетная величина АПД, определяемая путем суммирования значений строк 1 и 2 отчета.

1.4. В строке 4 отчета указывается величина средних чистых АПД, рассчитываемая по формуле, указанной в абзаце пятом подпункта 2.2.3 пункта 2.2 настоящего Положения.

Приложение 2
к Положению Банка России
от 7 декабря 2020 года N 744-П
"О порядке расчета размера
операционного риска ("Базель III")
и осуществления Банком России
надзора за его соблюдением"

ТАБЛИЦА ДЛЯ ОПРЕДЕЛЕНИЯ ВЕЛИЧИНЫ ПОКАЗАТЕЛЕЙ, ВКЛЮЧАЕМЫХ В РАСЧЕТ БИ

Номер строки Наименование показателей, включаемых в расчет БИ Символы отчетности по форме 0409102 и расшифровки отдельных показателей в соответствии с отчетностью по форме 0409110
1 2 3
1 ПД 111 + 112 + 113 + 114 + 115 + 116 + 117 + 118 + 121 + 122 + 123 + 28302 + 28303 + 28401 - 331 - 332 - 333 - 334 - 335 - 336 - 337 - 338 - 341 - 342 - 343 - 344 - 345 - 346 + S211/1.1 + S211/1.2
2 ПР 311 + 312 + 313 + 314 + 315 + 316 + 317 + 318 + 319 + 321 + 322 + 323 + 324 + 325 + 326 + 361 + 362 + 363 + 364 + 365 + 366 + 367 + 368 + 47401 + 47804 + 48302 (в части операционной аренды) - 141 - 142 - 143 - 144 - 145 - 146 - 147 - 148 - 161
3 ДД 235 + 236
4 КД 271 + 272 + 273 + 274 + 275 + 276 + 277 + 278 + 279
5 КР 471
6 ОД 211 (кроме S211/1.1 + S211/1.2) + 212 + 213 + 237 + 238 + 239 + 241 + 242 + 243 + 244 + 245 + 246 + 247 + 248 + 249 + 283 (кроме 28302, 28303) + 28402 + 285 + 286 + 287 + 288 + 291 + 292 + 294
7 ОР 411 + 412 + 413 + 441 + 442 + 443 + 444 + 445 + 446 + 447 + 448 + 449 + 47402 + 475 + 476 + 477 + 478 (кроме 47804) + 486
8 ПТП 221 + 222 + 223 + 231 + 232 + 233 + 251 + 252 + 253 + 254 + 255 + 256 + 261 + 262 + 263 + 264 + 265 + 281 - 421 - 422 - 423 - 431 - 432 - 433 - 435 - 451 - 452 - 453 - 454 - 455 - 456 - 461 - 462 - 463 - 464 - 465 - 472
9 ПБП 214 + 215 + 216 + 224 + 225 + 226 - 414 - 415 - 416 - 424 - 425 - 426

Пояснения к заполнению таблицы для определения величины показателей, включаемых в расчет БИ

1. Кредитная организация рассчитывает величины показателей, включаемых в расчет БИ на основании данных отчетности по форме 0409102 и отчетности по форме 0409110 "Расшифровки отдельных показателей деятельности кредитной организации" (далее - отчетность по форме 0409110), установленных Указанием Банка России N 4927-У, на расчетную дату.

2. Кредитная организация не включает в определение показателей, включаемых в расчет БИ, остатки по счетам учета доходов, расходов, прочего совокупного дохода, исключаемых из расчета обязательных нормативов в соответствии с пунктом 1.4 Инструкции Банка России N 199-И.

Приложение 3
к Положению Банка России
от 7 декабря 2020 года N 744-П
"О порядке расчета размера
операционного риска ("Базель III")
и осуществления Банком России
надзора за его соблюдением"

(рекомендуемый образец)

ОТЧЕТ
о расчете величины коэффициента внутренних потерь для кредитных организаций, применяющих расчетный коэффициент внутренних потерь,
по состоянию на __ _________ 20__ года

Полное или сокращенное фирменное наименование кредитной организации                        
                                                                               
Адрес (место нахождения) кредитной организации                                                        
                                                                               
Применяемый порог включения в расчет средних чистых прямых потерь                                                

тыс. руб.

Дата, с которой кредитная организация начала рассчитывать коэффициент внутренних потерь <1> ____________________.

Таблица 1

Расчет чистых прямых потерь на основании данных о событиях операционных рисков, зарегистрированных в базе событий ()

Номер строки Период расчета ПП Наименование показателя Всего Корпоративное финансирование Операции и сделки на финансовом рынке Розничное банковское обслуживание Коммерческое банковское обслуживание корпоративных клиентов Осуществление переводов денежных средств, платежей и расчетов через платежные системы Агентские услуги и депозитарные услуги Управление активами Розничное брокерское обслуживание Обеспечение деятельности кредитной организации
1 2 3 4 5 6 7 8 9 10 11 12 13
1.1 m , штук                    
1.2 m , тыс. руб.                    
1.3 m , тыс. руб.                    
2.1 m-1 , штук                    
2.2 m-1 , тыс. руб.                    
2.3 m-l , тыс. руб.                    
3.1 m-2 , штук                    
3.2 m-2 , тыс. руб.                    
3.3 m-2 , тыс. руб.                    
4.1 m-3 , штук                    
4.2 m-3 , тыс. руб.                    
4.3 m-3 , тыс. руб.                    
5.1 m-4 , штук                    
5.2 m-4 , тыс. руб.                    
5.3 m-4 , тыс. руб.                    
6.1 m-5 , штук                    
6.2 m-5 , тыс. руб.                    
6.3 m-5 , тыс. руб.                    
7.1 m-6 , штук                    
7.2 m-6 , тыс. руб.                    
7.3 m-6 , тыс. руб.                    
8.1 m-7 , штук                    
8.2 m-7 , тыс. руб.                    
8.3 m-7 , тыс. руб.                    
9.1 m-8 , штук                    
9.2 m-8 , тыс. руб.                    
9.3 m-8 , тыс. руб.                    
10.1 m-9 , штук                    
10.2 m-9 , тыс. руб.                    
10.3 m-9 , тыс. руб.                    

Таблица 2

Чистые прямые потери, исключаемые кредитной организацией из расчета показателя потерь ()

Номер строки Период расчета ПП Наименование показателя Всего Корпоративное финансирование Операции и сделки на финансовом рынке Розничное банковское обслуживание Коммерческое банковское обслуживание корпоративных клиентов Осуществление переводов денежных средств, платежей и расчетов через платежные системы Агентские услуги и депозитарные услуги Управление активами Розничное брокерское обслуживание Обеспечение деятельности кредитной организации
1 2 3 4 5 6 7 8 9 10 11 12 13
1.1 m , штук                    
1.2 m , тыс. руб.                    
1.3 m , тыс. руб.                    
2.1 m-1 , штук                    
2.2 m-1 , тыс. руб.                    
2.3 m-1 , тыс. руб.                    
3.1 m-2 , штук                    
3.2 m-2 , тыс. руб.                    
3.3 m-2 , тыс. руб.                    
4.1 m-3 , штук                    
4.2 m-3 , тыс. руб.                    
4.3 m-3 , тыс. руб.                    
5.1 m-4 , штук                    
5.2 m-4 , тыс. руб.                    
5.3 m-4 , тыс. руб.                    
6.1 m-5 , штук                    
6.2 m-5 , тыс. руб.                    
6.3 m-5 , тыс. руб.                    
7.1 m-6 , штук                    
7.2 m-6 , тыс. руб.                    
7.3 m-6 , тыс. руб.                    
8.1 m-7 , штук                    
8.2 m-7 , тыс. руб.                    
8.3 m-7 , тыс. руб.                    
9.1 m-8 , штук                    
9.2 m-8 , тыс. руб.                    
9.3 m-8 , тыс. руб.                    
10.1 m-9 , штук                    
10.2 m-9 , тыс. руб.                    
10.3 m-9 , тыс. руб.                    
11.1 Итого , тыс. руб.                    
11.2 Итого , тыс. руб.                    

Таблица 3

Расчет показателя потерь кредитной организации от реализации событий операционного риска ()

Номер строки Период расчета ПП Наименование показателя Всего Корпоративное финансирование Операции и сделки на финансовом рынке Розничное банковское обслуживание Коммерческое банковское обслуживание корпоративных клиентов Осуществление переводов денежных средств, платежей и расчетов через платежные системы Агентские услуги и депозитарные услуги Управление активами Розничное брокерское обслуживание Обеспечение деятельности кредитной организации
1 2 3 4 5 6 7 8 9 10 11 12 13
1.1 m , штук                    
1.2 m , тыс. руб.                    
1.3 m , тыс. руб.                    
1.4 m   X X X X X X X X X
1.5 m   X X X X X X X X X
2.1 m-1 , штук                    
2.2 m-1 , тыс. руб.                    
2.3 m-1 , тыс. руб.                    
2.4 m-1   X X X X X X X X X
2.5 m-1   X X X X X X X X X
3.1 m-2 , штук                    
3.2 m-2 , тыс. руб.                    
3.3 m-2 , тыс. руб.                    
3.4 m-2   X X X X X X X X X
3.5 m-2   X X X X X X X X X
4.1 m-3 , штук                    
4.2 m-3 , тыс. руб.                    
4.3 m-3 , тыс. руб.                    
4.4 m-3   X X X X X X X X X
4.5 m-3   X X X X X X X X X
5.1 m-4 , штук                    
5.2 m-4 , тыс. руб.                    
5.3 m-4 , тыс. руб.                    
5.4 m-4   X X X X X X X X X
5.5 m-4   X X X X X X X X X
6.1 m-5 , штук                    
6.2 m-5 , тыс. руб.                    
6.3 m-5 , тыс. руб.                    
6.4 m-5   X X X X X X X X X
6.5 m-5   X X X X X X X X X
7.1 m-6 , штук                    
7.2 m-6 , тыс. руб.                    
7.3 m-6 , тыс. руб.                    
7.4 m-6   X X X X X X X X X
7.5 m-6   X X X X X X X X X
8.1 m-7 , штук                    
8.2 m-7 , тыс. руб.                    
8.3 m-7 , тыс. руб.                    
8.4 m-7   X X X X X X X X X
8.5 m-7   X X X X X X X X X
9.1 m-8 , штук                    
9.2 m-8 , тыс. руб.                    
9.3 m-8 , тыс. руб.                    
9.4 m-8   X X X X X X X X X
9.5 m-8   X X X X X X X X X
10.1 m-9 , штук                    
10.2 m-9 , тыс. руб.                    
10.3 m-9 , тыс. руб.                    
10.4 m-9   X X X X X X X X X
10.5 m-9   X X X X X X X X X
11 i , тыс. руб.                    
12 i , тыс. руб.                    
13 i   X X X X X X X X X

<1> В формате "дд.мм.гггг", где "дд" - день, "мм" - месяц, "гггг" - год.

Пояснения к составлению отчета о расчете величины коэффициента внутренних потерь для кредитных организаций, применяющих расчетный коэффициент внутренних потерь

1. При заполнении отчета о расчете величины коэффициента внутренних потерь для кредитных организаций, применяющих расчетный коэффициент внутренних потерь (далее - отчет), рекомендуется исходить из следующего.

2. В отчете указывается информация о расчете ПП в соответствии с порогом включения, установленным в соответствии с подпунктом 3.5.1 пункта 3.5 настоящего Положения.

В случае если за какой-либо период расчета ПП данные не используются при расчете КВП, в полях данного периода таблицы ставится прочерк.

3. В таблице 1 отчета указываются показатели, рассчитываемые на основании данных по событиям операционного риска, зарегистрированным в базе событий.

3.1. В строках 1.1, 2.1, 3.1, 4.1, 5.1, 6.1, 7.1, 8.1, 9.1, 10.1 таблицы 1 отчета указывается количество событий операционного риска, прямые потери по которым в соответствующем периоде расчета ПП включены в расчет показателя , отраженного в строках 1.3, 2.3, 3.3, 4.3, 5.3, 6.3, 7.3, 8.3, 9.3, 10.3 таблицы 1 отчета соответственно.

3.2. В строках 1.2, 2.2, 3.2, 4.2, 5.2, 6.2, 7.2, 8.2, 9.2, 10.2 таблицы 1 отчета указывается сумма прямых потерь по событиям операционного риска, потери по которым включены в расчет показателя , отраженного в строках 1.3, 2.3, 3.3, 4.3, 5.3, 6.3, 7.3, 8.3, 9.3, 10.3 таблицы 1 отчета соответственно.

3.3. В строках 1.3, 2.3, 3.3, 4.3, 5.3, 6.3, 7.3, 8.3, 9.3, 10.3 таблицы 1 отчета указывается величина совокупных чистых прямых потерь по событиям операционного риска в соответствии с пунктами 3.4 - 3.7 настоящего Положения, включаемая в расчет показателя ЧП, отраженного в строках 1.3, 2.3, 3.3, 4.3, 5.3, 6.3, 7.3, 8.3, 9.3, 10.3 таблицы 3 отчета соответственно, и рассчитываемая в соответствии с подпунктом 3.3.3 пункта 3.3 настоящего Положения.

4. В таблице 2 отчета указываются величины чистых прямых потерь, исключаемые кредитной организацией из расчета ПП в случае направления уведомления об исключении потерь из расчета ПП и соблюдения условий пункта 6.6 настоящего Положения. В иных случаях в таблице 2 отчета для всех показателей указываются значения, равные нулю. В случае отсутствия уведомления об исключении потерь из расчета ПП или наличия письма, указанного в абзаце первом пункта 6.4 настоящего Положения, в одном из периодов расчета ПП в полях таблицы 2 отчета, относящихся к данному периоду расчета ПП, указываются значения, равные нулю.

4.1. В строках 1.1, 2.1, 3.1, 4.1, 5.1, 6.1, 7.1, 8.1, 9.1, 10.1 таблицы 2 отчета указывается количество событий операционного риска, прямые потери по которым включены в расчет исключаемых потерь , отраженных в строках 1.3, 2.3, 3.3, 4.3, 5.3, 6.3, 7.3, 8.3, 9.3, 10.3 таблицы 2 отчета для каждой графы соответственно.

4.2. В строках 1.2, 2.2, 3.2, 4.2, 5.2, 6.2, 7.2, 8.2, 9.2, 10.2 таблицы 2 отчета указывается сумма прямых потерь по событиям операционного риска, прямые потери по которым включены в расчет исключаемых потерь , отраженных в строках 1.3, 2.3, 3.3, 4.3, 5.3, 6.3, 7.3, 8.3, 9.3, 10.3 таблицы 2 отчета для каждой графы соответственно.

4.3. В строках 1.3, 2.3, 3.3, 4.3, 5.3, 6.3, 7.3, 8.3, 9.3, 10.3 таблицы 2 отчета указывается величина совокупных чистых прямых потерь по событиям операционного риска, исключаемым кредитной организацией из расчета ПП в случае направления уведомления об исключении потерь из расчета ПП и соблюдения условий пункта 6.6 настоящего Положения.

4.4. В строке 11.1 таблицы 2 отчета указывается совокупная величина прямых потерь по событиям операционного риска, которые включены в расчет исключаемых потерь , отраженных в строках 1.3, 2.3, 3.3, 4.3, 5.3, 6.3, 7.3, 8.3, 9.3, 10.3 таблицы 2 отчета соответственно, определяемая путем суммирования значений строк 1.2, 2.2, 3.2, 4.2, 5.2, 6.2, 7.2, 8.2, 9.2, 10.2 таблицы 2 отчета для каждой графы соответственно.

4.5. В строке 11.2 таблицы 2 отчета указывается совокупная величина чистых прямых потерь по событиям операционного риска, исключаемым кредитной организацией из расчета в случае направления уведомления об исключении потерь из расчета ПП и соблюдения условий пункта 6.6 настоящего Положения, определяемая путем суммирования значений строк 1.3, 2.3, 3.3, 4.3, 5.3, 6.3, 7.3, 8.3, 9.3, 10.3 таблицы 2 отчета для каждой графы соответственно.

5. В таблице 3 отчета указывается расчет показателя потерь кредитной организации от реализации событий операционного риска.

5.1. В строках 1.1 - 1.3, 2.1 - 2.3, 3.1 - 3.3, 4.1 - 4.3, 5.1 - 5.3, 6.1 - 6.3, 7.1 - 7.3, 8.1 - 8.3, 9.1 - 9.3, 10.1 - 10.3 таблицы 3 отчета показатели рассчитываются на основании данных таблиц 1 и 2 настоящего отчета путем вычитания из значений таблицы 1 отчета значений таблицы 2 отчета для каждого показателя соответственно, при этом показатель ЧП, указанный в строках 1.3, 2.3, 3.3, 4.3, 5.3, 6.3, 7.3, 8.3, 9.3, 10.3 таблицы 3 отчета, умножается на значение величины , указанной в строках 1.4, 2.4, 3.4, 4.4, 5.4, 6.4, 7.4, 8.4, 9.4, 10.4 графы 4 таблицы 3 отчета, в случаях, указанных в абзацах третьем - пятом подпункта 3.2.4 пункта 3.2 настоящего Положения.

5.2. В случае если у кредитной организации в течение периода расчета ПП не проводилась реорганизация в форме присоединения, в строках 1.4, 2.4, 3.4, 4.4, 5.4, 6.4, 7.4, 8.4, 9.4, 10.4 графы 4 таблицы 3 отчета указывается величина , равная единице.

В случае если у кредитной организации в течение периода расчета ПП проводилась реорганизация в форме присоединения и кредитная организация применяет абзацы третий - шестой подпункта 3.2.4 пункта 3.2 настоящего Положения, в строках 1.4, 2.4, 3.4, 4.4, 5.4, 6.4, 7.4, 8.4, 9.4, 10.4 графы 4 таблицы 3 отчета:

для года, когда произошла реорганизация, и календарных лет, предшествующих дате реорганизации, указывается величина , рассчитываемая как отношение размера активов кредитной организации на отчетную дату расчета нормативов достаточности капитала после даты присоединения (с исключением операций и сделок, проведенных между этими кредитными организациями до даты присоединения) к размеру активов кредитной организации на последнюю отчетную дату расчета нормативов достаточности капитала, предшествующую дате реорганизации в форме присоединения в соответствии со значением статьи "Всего активов" и абзацами четвертым и пятым подпункта 3.2.4 пункта 3.2 настоящего Положения;

для следующих календарных лет после даты реорганизации в форме присоединения указывается величина , равная единице, в соответствии с абзацем шестым подпункта 3.2.4 пункта 3.2 настоящего Положения.

В случае если у кредитной организации в течение периода расчета ПП проводилась реорганизация в форме присоединения и кредитная организация применяет абзацы третий и седьмой подпункта 3.2.4 пункта 3.2 настоящего Положения, в строках 1.4, 2.4, 3.4, 4.4, 5.4, 6.4, 7.4, 8.4, 9.4, 10.4 графы 4 таблицы 3 отчета указывается величина , равная единице.

В случае если в течение периода расчета ПП у кредитной организации проводились две и более реорганизации в форме присоединения и кредитная организация применяет абзацы третий - седьмой подпункта 3.2.4 пункта 3.2 настоящего Положения, в строках 1.4, 2.4, 3.4, 4.4, 5.4, 6.4, 7.4, 8.4, 9.4, 10.4 графы 4 таблицы 3 отчета, соответствующих году, когда произошла более ранняя реорганизация, и каждому году, предшествующему году более ранней реорганизации, указывается величина , рассчитанная путем умножения величин КАКТ для каждой реорганизации в форме присоединения, определяемых для данного года в соответствии с абзацами третьим - пятым настоящего подпункта.

5.3. В строках 1.5, 2.5, 3.5, 4.5, 5.5, 6.5, 7.5, 8.5, 9.5, 10.5 графы 4 таблицы 3 отчета указывается коэффициент индекса инфляции, определяемый в соответствии с абзацем шестым подпункта 3.3.1 пункта 3.3 настоящего Положения.

6. В строке 11 таблицы 3 отчета указывается величина средних чистых прямых потерь кредитной организации, рассчитанная по состоянию на расчетную дату i-го года в соответствии с подпунктом 3.3.1 пункта 3.3 настоящего Положения.

7. В строке 12 таблицы 3 отчета указывается величина ПП, рассчитываемая на расчетную дату i-го года по формуле, указанной в абзаце втором пункта 3.3 настоящего Положения.

8. В строке 13 таблицы 3 отчета указывается величина базового коэффициента внутренних потерь, определяемая кредитной организацией на расчетную дату i-го года по формуле, указанной в абзаце шестом подпункта 3.1.2 пункта 3.1 настоящего Положения.

9. В графе 2 таблиц 1 - 3 отчета указывается год, являющийся периодом расчета ПП, в формате "гггг".

10. В графе 4 таблиц 1 - 3 отчета указываются показатели в целом по кредитной организации.

11. В графах 5 - 13 таблиц 1 - 3 отчета показатели указываются в разбивке по направлениям деятельности организации в соответствии с классификацией, изложенной в пункте 3.9 Положения Банка России N 716-П, с учетом требования пункта 3.10 Положения Банка России N 716-П.

Приложение 4
к Положению Банка России
от 7 декабря 2020 года N 744-П
"О порядке расчета размера
операционного риска ("Базель III")
и осуществления Банком России
надзора за его соблюдением"

(рекомендуемый образец)

ТАБЛИЦА
отнесения возмещений к прямым потерям по состоянию
на __ ________ 20__ года

Полное или сокращенное фирменное наименование кредитной организации  
Адрес (место нахождения) кредитной организации    
Номер строки Уникальный порядковый номер события операционного риска
Данные по событию операционного риска Данные по прямым потерям от события операционного риска ЧПkl Возмещение 1 Возмещение NN
Дата   Дата  
Номер   Номер  
   
описание направление деятельности тип дата регистрации номер записи о потере в базе событий дата записи о потере в базе событий вид потери номер бухгалтерской записи на сумму потери сумма, тыс. руб. сумма, тыс. руб. сумма, тыс. руб. сумма, тыс. руб.
1 2 3 4 5 6 7 8 9 10 11 12 NN
1.1                        
1.nn                        
2 Нераспределенное возмещение X X X X X X X X X    
3 Всего возмещение X X X X X X X X X    
4 Итого X X X X X X X       X

Пояснения к составлению таблицы отнесения возмещений к прямым потерям

1. При заполнении таблицы отнесения возмещений к прямым потерям (далее - таблица) рекомендуется исходить из следующего.

2. Таблица составляется кредитной организацией в соответствии с подпунктом 3.3.5 пункта 3.3 настоящего Положения.

3. В поле "Уникальный порядковый номер события операционного риска" таблицы указывается уникальный порядковый идентификационный номер события операционного риска, под которым событие зарегистрировано в базе событий, в соответствии с абзацем вторым пункта 6.6 Положения Банка России N 716-П.

4. В графе 2 таблицы указывается детализированное описание события операционного риска в соответствии с абзацем тринадцатым пункта 6.6 Положения Банка России N 716-П.

5. В графе 3 таблицы указывается направление деятельности кредитной организации, в рамках которого было реализовано описываемое событие операционного риска, в соответствии классификацией, изложенной в пунктах 3.9 Положения Банка России N 716-П, с учетом требований пункта 3.10 Положения Банка России N 716-П. Допускается указание кода, присвоенного соответствующему направлению деятельности в соответствии с внутренними документами кредитной организации.

6. В графе 4 таблицы указывается тип события операционного риска в соответствии с пунктом 3.6 Положения Банка России N 716-П.

7. В графе 5 таблицы указывается дата, когда событие операционного риска было зарегистрировано в базе событий, в соответствии с абзацем четвертым пункта 6.6 Положения Банка России N 716-П. Сведения о дате указываются в формате "дд.мм.гггг", где "дд" - день, "мм" - месяц, "гггг" - год.

8. В графах 6 - 10 таблицы указываются данные по каждой прямой потере от реализации события операционного риска. В случае если в базе событий зарегистрировано несколько прямых потерь от реализации одного события операционного риска, каждая потеря отражается в отдельной строке таблицы последовательно в зависимости от даты регистрации потери в базе событий.

8.1. В графе 6 таблицы указывается номер записи о потере от реализации события операционного риска, указанный в базе событий, в хронологическом порядке в зависимости от учета в базе событий потери в соответствии с абзацем первым пункта 6.8 Положения Банка России N 716-П.

8.2. В графе 7 таблицы указывается дата отражения в базе событий записи о потере от реализации события операционного риска в соответствии с абзацем тридцатым пункта 6.6 Положения Банка России N 716-П. Сведения о дате указываются в формате "дд.мм.гггг", где "дд" - день, "мм" - месяц, "гггг" - год.

8.3. В графе 8 таблицы указывается вид потери (первого уровня) от реализации события операционного риска в соответствии с пунктом 3.12 Положения Банка России N 716-П.

8.4. В графе 9 таблицы указывается номер бухгалтерской записи на сумму потери от реализации события операционного риска в соответствии с абзацем тридцать первым пункта 6.6 Положения Банка России N 716-П.

8.5. В графе 10 таблицы указывается сумма бухгалтерской записи на сумму потери от реализации события операционного риска в соответствии с абзацем двадцать девятым пункта 6.6 Положения Банка России N 716-П.

8.6. В графе 11 таблицы указывается величина чистой прямой потери от реализации события операционного риска в соответствии с пунктами 3.4 - 3.7 настоящего Положения, рассчитываемая в соответствии с подпунктом 3.3.5 пункта 3.3 настоящего Положения.

9. В графах 12 - NN таблицы указывается информация по каждому возмещению на покрытие потери от реализации события операционного риска. В случае если по одной потере от реализации события операционного риска в базе событий отражено несколько сумм полученных возмещений, каждое возмещение отражается в отдельной графе таблицы в хронологическом порядке в зависимости от даты бухгалтерской записи суммы возмещения.

9.1. В поле граф 12 - NN таблицы указывается идентификационная информация по возмещению на покрытие потери от реализации события операционного риска:

в поле "Дата" указывается дата бухгалтерской записи на сумму возмещения на покрытие потери от реализации события операционного риска в следующем формате: "дд.мм.гггг", где "дд" - день, "мм" - месяц, "гггг" - год;

в поле "Номер" указывается номер бухгалтерской записи на сумму возмещения на покрытие прямой потери от реализации события операционного риска;

в поле "" указывается коэффициент дисконтирования возмещения на покрытие потери от реализации события операционного риска, определяемый в соответствии с подпунктами 3.3.5 и 3.3.6 пункта 3.3 настоящего Положения. В случае если кредитная организация рассчитывает величину в соответствии с абзацем вторым подпункта 3.3.5 пункта 3.3 настоящего Положения, коэффициент дисконтирования принимается равным единице.

9.2. В графах 12 - NN таблицы указывается сумма возмещения на покрытие потери от реализации события операционного риска в соответствии с абзацем сорок вторым пункта 6.6 Положения Банка России N 716-П.

10. В строке 2 таблицы указывается сумма части возмещения, которая не была распределена по потерям от реализации событий операционного риска.

11. В строке 3 таблицы указывается итоговая величина каждого возмещения (с учетом нераспределенной части возмещения), рассчитываемая путем суммирования значений строк 1.1 - 1.nn и 2.

12. В строке 4 таблицы указываются итоговые величины показателей.

12.1. В графе 10 строки 4 таблицы указывается итоговая величина прямых потерь от реализации события операционного риска, рассчитываемая путем суммирования величин, указанных в строках 1.1 - 1.nn графы 10 таблицы.

12.2. В графе 11 строки 4 таблицы указывается итоговая величина чистых прямых потерь от реализации события операционного риска, рассчитываемая путем суммирования величин, указанных в строках 1.1 - 1.nn графы 11 таблицы.

12.3. В графе 12 строки 4 таблицы указывается итоговая величина всех возмещений на покрытие всех потерь от реализации события операционного риска, рассчитываемая путем суммирования значений строки 3 граф 12 - NN таблицы.

Приложение 5
к Положению Банка России
от 7 декабря 2020 года N 744-П
"О порядке расчета размера
операционного риска ("Базель III")
и осуществления Банком России
надзора за его соблюдением"

РАСЧЕТ ЗНАЧЕНИЯ КНП

1. Расчет КНП для кредитной организации, применяющей фиксированный КВП, осуществляется Банком России по формуле:

,

где:

- доля выявленных в ходе надзора за соблюдением порядка расчета размера операционного риска пропусков событий операционного риска (по количеству) с прямыми потерями и (или) прямых потерь от реализации событий операционного риска, рассчитанная по каждому году, включенному в период проверки, в соответствии с абзацами седьмым и восьмым подпункта 1.1.1 пункта 1 приложения 1 к Положению Банка России N 716-П по формуле:

,

где:

m - длительность проверяемого период (в годах);

- доля выявленных пропусков (по количеству) событий операционного риска с прямыми потерями в базе событий, рассчитанная в соответствии с абзацем седьмым подпункта 1.1.1 пункта 1 приложения 1 к Положению Банка России N 716-П, за j-й год, включенный в период проверки;

- доля выявленных пропусков сумм прямых потерь в базе событий, рассчитанная в соответствии с абзацем восьмым подпункта 1.1.1 пункта 1 приложения 1 к Положению Банка России N 716-П, за j-й год, включенный в период проверки;

- контрольное значение контрольного показателя уровня операционного риска в соответствии с абзацем седьмым подпункта 1.1.1 пункта 1 приложения 1 к Положению Банка России N 716-П, за j-й год, включенный в период проверки;

- контрольное значение контрольного показателя уровня операционного риска в соответствии с абзацем восьмым подпункта 1.1.1 пункта 1 приложения 1 к Положению Банка России N 716-П, за j-й год, включенный в период проверки;

- отношение прямых потерь (по сумме потерь) за вычетом возмещений, поступивших в i-1 году на покрытие этих потерь, за последний отчетный период за вычетом величины КБИ расчетного года к величине КБИ расчетного года, определяемое по формуле:

,

где:

- количество событий операционного риска, по которым в базе событий в i-1 году зарегистрированы прямые потери;

- возмещения, поступившие в i-1 году на покрытие прямых потерь, реализовавшихся в i-1 году. В случае отсутствия возмещения показатель равен 0;

- прямые потери от k-го события операционного риска, реализовавшиеся в i-1 году и зарегистрированные в базе событий в i-1 году.

2. Банк России рассчитывает КНП в соответствии с приложением 6 к настоящему Положению для кредитной организации, применяющей расчетный КВП, следующим образом:

определяет отношение показателя к на основе информации, представленной кредитной организацией в составе отчета о расчете величины бизнес-индикатора и размера операционного риска на последнюю расчетную дату, составленного в виде таблицы (таблица 3 приложения 7 к настоящему Положению), и соотносит с интервалом значений отношения к , указанных в строках таблицы, приведенной в приложении 6 к настоящему Положению;

определяет отношение показателя прямых потерь кредитной организации от реализации событий операционного риска с учетом выявленных Банком России неучтенных в базе событий кредитной организацией чистых прямых потерь за период проверки (далее - ) к расчетного года на последнюю расчетную дату, и соотносит с интервалами значений отношения к на последнюю расчетную дату;

определяет значение КНП, указанное в таблице приложения 6 к настоящему Положению на пересечении интервалов отношений к и к ;

в случае если полученное значение попадает на границу интервалов, приведенных в таблице приложения 6 к настоящему Положению, выбирается значение следующего интервала в порядке возрастания.

3. Показатель определяется Банком России по формуле:

,

где:

- средние чистые прямые потери кредитной организации с учетом выявленных Банком России неучтенных в базе событий кредитной организацией чистых прямых потерь за период проверки.

4. Показатель определяется Банком России по формуле:

,

где:

m - количество лет, входящих в период расчета ПП, проверяемых Банком России;

- показатель разницы между чистыми прямыми потерями с учетом неучтенных потерь по итогам надзора за соблюдением порядка расчета размера операционного риска, понесенных кредитной организацией в m-м году, по k-му событию операционного риска, и чистыми прямыми потерями, рассчитанными кредитной организацией, указанными в таблице (таблица 1 приложения 3 к настоящему Положению), в m-м году.

5. Показатель определяется Банком России по формуле:

,

где:

- чистые прямые потери по k-му событию операционного риска, понесенные кредитной организацией в m-м году, рассчитанные в соответствии с подпунктом 3.3.4 пункта 3.3 настоящего Положения;

- чистые прямые потери с учетом неучтенных потерь по итогам надзора за соблюдением порядка расчета размера операционного риска, понесенные кредитной организацией в m-м году, по k-му событию операционного риска, зарегистрированному в базе событий.

6. Показатель определяется Банком России по формуле:

,

где:

- чистые l-е потери по k-му событию операционного риска с учетом неучтенных потерь по итогам надзора за соблюдением порядка расчета размера операционного риска;

- количество потерь от реализации события операционного риска в m-м году по k-му событию операционного риска.

Приложение 6
к Положению Банка России
от 7 декабря 2020 года N 744-П
"О порядке расчета размера
операционного риска ("Базель III")
и осуществления Банком России
надзора за его соблюдением"

РАЗРАБОТОЧНАЯ ТАБЛИЦА ДЛЯ ОПРЕДЕЛЕНИЯ КНП БАНКОМ РОССИИ ДЛЯ КРЕДИТНОЙ ОРГАНИЗАЦИИ, ПРИМЕНЯЮЩЕЙ РАСЧЕТНЫЙ КВП

Номер строки
0,01 - 0,05 0,06 - 0,10 0,11 - 0,15 0,16 - 0,20 0,21 - 0,25 0,26 - 0,30 0,31 - 0,35 0,36 - 0,40 0,41 - 0,45 0,46 - 0,50 0,51 - 0,55
0,030 0,080 0,130 0,180 0,230 0,280 0,330 0,380 0,430 0,480 0,530
1 2 3 4 5 6 7 8 9 10 11 12 13 14
1 0,000 - 0,149 0,541 0,035 0,074 0,108 0,138 0,165 0,191 0,215 0,238 0,259 0,280 0,300
2 0,150 - 0,299 0,661 0,018 0,045 0,071 0,095 0,118 0,139 0,160 0,180 0,199 0,218 0,236
3 0,300 - 0,449 0,742 0,014 0,037 0,059 0,080 0,100 0,119 0,137 0,155 0,173 0,189 0,206
4 0,450 - 0,599 0,809 0,012 0,032 0,052 0,070 0,088 0,105 0,122 0,138 0,154 0,170 0,185
5 0,600 - 0,749 0,868 0,011 0,029 0,046 0,063 0,079 0,095 0,111 0,126 0,140 0,155 0,169
6 0,750 - 0,899 0,921 0,010 0,026 0,042 0,058 0,073 0,087 0,102 0,116 0,129 0,143 0,156
7 0,900 - 1,049 0,970 0,009 0,024 0,039 0,053 0,067 0,081 0,094 0,107 0,120 0,133 0,145
8 1,050 - 1,199 1,015 0,009 0,023 0,036 0,050 0,063 0,076 0,088 0,100 0,113 0,124 0,136
9 1,200 - 1,349 1,056 0,008 0,021 0,034 0,047 0,059 0,071 0,083 0,094 0,106 0,117 0,128
10 1,350 - 1,499 1,095 0,008 0,020 0,032 0,044 0,055 0,067 0,078 0,089 0,100 0,111 0,121
11 1,500 - 1,649 1,132 0,007 0,019 0,030 0,041 0,053 0,063 0,074 0,085 0,095 0,105 0,115
12 1,650 - 1,799 1,167 0,007 0,018 0,029 0,039 0,050 0,060 0,070 0,081 0,090 0,100 0,110
13 1,800 - 1,949 1,200 0,006 0,017 0,027 0,037 0,048 0,057 0,067 0,077 0,086 0,096 0,105
14 1,950 - 2,099 1,231 0,006 0,016 0,026 0,036 0,045 0,055 0,064 0,073 0,083 0,092 0,100
15 2,100 - 2,249 1,261 0,006 0,015 0,025 0,034 0,044 0,053 0,062 0,070 0,079 0,088 0,096
16 2,250 - 2,399 1,290 0,006 0,015 0,024 0,033 0,042 0,051 0,059 0,068 0,076 0,084 0,093
17 2,400 - 2,549 1,317 0,005 0,014 0,023 0,032 0,040 0,049 0,057 0,065 0,073 0,081 0,089
18 2,550 - 2,629 1,344 0,005 0,014 0,022 0,030 0,039 0,047 0,055 0,063 0,071 0,078 0,086
19 2,700 - 2,849 1,369 0,005 0,013 0,021 0,029 0,037 0,045 0,053 0,061 0,068 0,076 0,083
20 2,850 - 2,999 1,394 0,005 0,013 0,021 0,028 0,036 0,044 0,051 0,059 0,066 0,073 0,081
21 3,000 - 3,149 1,417 0,005 0,012 0,020 0,027 0,035 0,042 0,050 0,057 0,064 0,071 0,078
22 3,150 - 3,299 1,440 0,005 0,012 0,019 0,027 0,034 0,041 0,048 0,055 0,062 0,069 0,076
23 3,300 - 3,449 1,463 0,004 0,012 0,019 0,026 0,033 0,040 0,047 0,053 0,060 0,067 0,073
24 3,450 - 3,599 1,484 0,004 0,011 0,018 0,025 0,032 0,039 0,045 0,052 0,058 0,065 0,071
25 3,600 - 3,749 1,505 0,004 0,011 0,018 0,024 0,031 0,037 0,044 0,050 0,057 0,063 0,069
26 3,750 - 3,899 1,525 0,004 0,011 0,017 0,024 0,030 0,036 0,043 0,049 0,055 0,061 0,068
27 3,900 - 4,049 1,545 0,004 0,010 0,017 0,023 0,029 0,035 0,042 0,048 0,054 0,060 0,066
28 4,050 - 4,199 1,564 0,004 0,010 0,016 0,022 0,029 0,035 0,041 0,047 0,052 0,058 0,064
29 4,200 - 4,349 1,583 0,004 0,010 0,016 0,022 0,028 0,034 0,040 0,045 0,051 0,057 0,063
30 4,350 - 4,499 1,601 0,004 0,010 0,015 0,021 0,027 0,033 0,039 0,044 0,050 0,056 0,061
31 4,500 - 4,649 1,619 0,004 0,009 0,015 0,021 0,026 0,032 0,038 0,043 0,049 0,054 0,060
32 4,650 - 4,799 1,637 0,003 0,009 0,015 0,020 0,026 0,031 0,037 0,042 0,048 0,053 0,058
33 4,800 - 4,949 1,654 0,003 0,009 0,014 0,020 0,025 0,031 0,036 0,041 0,047 0,052 0,057
34 Более 4,950 1,670 0,003 0,009 0,014 0,019 0,025 0,030 0,035 0,040 0,046 0,051 0,056

Приложение 7
к Положению Банка России
от 7 декабря 2020 года N 744-П
"О порядке расчета размера
операционного риска ("Базель III")
и осуществления Банком России
надзора за его соблюдением"

(рекомендуемый образец)

ОТЧЕТ
о расчете величины бизнес-индикатора и размера операционного риска
по состоянию на __ _______________ 20__ года

Полное или сокращенное фирменное наименование кредитной организации  
Адрес (место нахождения) кредитной организации    
     

Таблица 1

Расчет показателей бизнес-индикатора (учетного)

тыс. руб.
Номер строки Наименование показателей, включаемых в расчет БИ Величины показателей, включаемых в расчет БИ
за i-3 год за i-2 год за i-1 год
1 2 3 4 5
1      
2      
3      
4      
5      
6      
7      
8      
9      
10      

Таблица 2

Величины, исключаемые из расчета показателя бизнес-индикатора

тыс. руб.
Номер строки Наименование показателей, исключаемых из расчета БИ Величины показателей, исключаемых из расчета БИ
за i-3 год за i-2 год за i-1 год
1 2 3 4 5
1      
2      
3      
4      
5      
6      
7      
8      
9      
10      

Таблица 3

Расчет величины бизнес-индикатора и размера операционного риска

Номер строки Наименование показателей, включаемых в расчет БИ Величины показателей, включаемых в расчет БИ Итоговые величины показателей, включаемых в расчет БИ, на расчетную дату i-го года
за i-3 год за i-2 год за i-1 год
1 2 3 4 5 6
1 , тыс. руб., всего, в том числе: x x x  
1.1 , тыс. руб.       x
1.2 , тыс. руб., всего,
в том числе:
x x x  
1.2.1 , тыс. руб.       x
1.3 , тыс. руб., всего,
в том числе:
x x x  
1.3.1 , тыс. руб.       x
1.3.2 , тыс. руб.       x
2 , тыс. руб., всего, в том числе: x x x  
2.1 , тыс. руб.       x
2.2 , тыс. руб.       x
2.3 , тыс. руб.       x
2.4 , тыс. руб.       x
3 , тыс. руб., всего, в том числе: x x x  
3.1 , тыс. руб.       x
3.2 , тыс. руб.       x
4 ВИОС, тыс. руб.       x
5 , тыс. руб. x x x  
6 КБИ, тыс. руб. x x x  
7 КВП x x x  
7.1 x x x  
7.2 КНП x x x  
8 ОР, тыс. руб. x x x  

Пояснения к составлению отчета о расчете величины бизнес-индикатора и размера операционного риска

1. При заполнении отчета о расчете величины бизнес-индикатора и размера операционного риска (далее - отчет) рекомендуется исходить из следующего.

2. В таблице 1 отчета указываются величины показателей, включаемых в расчет БИ.

2.1. В графах 3 и 4 строк 1, 3 - 10 таблицы 1 указываются значения показателей, определенные в соответствии с абзацем вторым подпункта 2.2.6 пункта 2.2 настоящего Положения и отраженные в соответствующих таблицах отчета по состоянию на 1 июля предыдущих лет.

2.2. В графе 5 строк 1, 3 - 10 таблицы 1 отчета указываются показатели, рассчитанные по символам, приведенным в таблице приложения 2 к настоящему Положению, на основании данных годовой отчетности по форме 0409102 и отчетности по форме 0409110 за год, предшествующий расчетному году, на отчетную дату расчетного года (на 1 января или 1 июля с учетом корректировок бухгалтерского учета по событиям после отчетной даты предшествующего года, проведенных по счетам доходов и расходов).

В графе 5 строки 1 таблицы 1 отчета указывается величина ДД, определяемая по символам, указанным в строке 3 таблицы, приведенной в приложении 2 к настоящему Положению.

В графе 5 строки 3 таблицы 1 отчета указывается величина ПД, определяемая по символам, указанным в строке 1 таблицы, приведенной в приложении 2 к настоящему Положению.

В графе 5 строки 4 таблицы 1 отчета указывается величина ПР, определяемая по символам, указанным в строке 2 таблицы, приведенной в приложении 2 к настоящему Положению.

В графе 5 строки 5 таблицы 1 отчета указывается величина КД, определяемая по символам, указанным в строке 4 таблицы, приведенной в приложении 2 к настоящему Положению.

В графе 5 строки 6 таблицы 1 отчета указывается величина КР, определяемая по символам, указанным в строке 5 таблицы, приведенной в приложении 2 к настоящему Положению.

В графе 5 строки 7 таблицы 1 отчета указывается величина ОД, определяемая по символам, указанным в строке 6 таблицы, приведенной в приложении 2 к настоящему Положению.

В графе 5 строки 8 таблицы 1 отчета указывается величина ОР, определяемая по символам, указанным в строке 7 таблицы, приведенной в приложении 2 к настоящему Положению.

В графе 5 строки 9 таблицы 1 отчета указывается величина ПТП, определяемая по символам, указанным в строке 8 таблицы, приведенной в приложении 2 к настоящему Положению.

В графе 5 строки 10 таблицы 1 отчета указывается величина ПБП, определяемая по символам, указанным в строке 9 таблицы, приведенной в приложении 2 к настоящему Положению.

2.3. В строке 2 таблицы 1 отчета указывается величина активов, приносящих процентный доход, определяемая в соответствии со строкой 3 таблицы приложения 1 к настоящему Положению.

Строка 2 таблицы 1 отчета заполняется, в случае если кредитная организация применяет способ расчета с учетом величины АПД. В случае если кредитная организация применяет способ расчета без учета величины АПД, в строке 2 таблицы 1 отчета ставится прочерк.

3. В таблице 2 отчета указываются величины показателей, исключаемых из расчета БИ на расчетную дату в случае направления уведомления об исключении доходов и (или) расходов из расчета КБИ и соблюдения условий пункта 6.6 настоящего Положения. В иных случаях все значения показателей таблицы 2 отчета равны нулю.

4. В таблице 3 отчета указаны итоговые показатели, включаемые в расчет БИ, и показатели, включаемые в расчет размера операционного риска.

4.1. В строках 1.1, 1.2, 1.3.1, 1.3.2, 2.1 - 2.4, 3.1, 3.2 таблицы 3 отчета показатели рассчитываются на основании данных таблиц 1 и 2 отчета путем вычитания из значений строк таблицы 1 значений соответствующих строк таблицы 2 для каждой графы соответственно.

4.2. В строке 1 графы 6 таблицы 3 отчета указывается ВПФД, рассчитываемый в соответствии с подпунктами 2.2.1 - 2.2.3 пункта 2.2 настоящего Положения, на основании данных строк 1.1, 1.2, 1.3 таблицы 3 отчета.

4.3. В строке 1.3 графы 6 таблицы 3 отчета указывается величина средних чистых процентных доходов и расходов, рассчитываемая по формуле, указанной в абзаце восьмом подпункта 2.2.2 пункта 2.2 настоящего Положения, на основании данных строк 1.3.1, 1.3.2 таблицы 3 отчета.

4.4. В строке 2 графы 6 таблицы 3 отчета указывается ВУ, рассчитываемый в соответствии с подпунктом 2.2.4 пункта 2.2 настоящего Положения, на основании данных строк 2.1 - 2.4 таблицы 3 отчета.

4.5. В строке 3 графы 6 таблицы 3 отчета указывается ВФ, рассчитываемый в соответствии с подпунктом 2.2.5 пункта 2.2 настоящего Положения, на основании данных строк 3.1, 3.2 таблицы 3 отчета.

4.6. В строке 4 граф 3 - 5 таблицы 3 отчета кредитной организацией, образованной в результате слияния кредитных организаций, или кредитной организацией, к которой произошло присоединение другой кредитной организации, указывается величина (сумма в тысячах рублей) исключений операций и сделок, проведенных между этими кредитными организациями до даты реорганизации, а также доходов и расходов от таких операций и сделок (в том числе от операций этих кредитных организаций с акциями (долями) и иными источниками собственных средств кредитных организаций, участвующих в реорганизации), в соответствии с абзацем первым подпункта 2.3.1 пункта 2.3 настоящего Положения.

В случае если у кредитной организации не проводилась реорганизация в форме присоединения или слияния в соответствии с абзацем первым подпункта 2.3.1 пункта 2.3 настоящего Положения, в строке 4 граф 3 - 5 таблицы 3 отчета ставится прочерк.

4.7. В строке 5 графы 6 таблицы 3 отчета указывается величина бизнес-индикатора, определяемая путем суммирования значений строк 1, 2, 3 таблицы 3 отчета, рассчитываемая в соответствии с пунктом 2.2 настоящего Положения, на основании данных строк 1, 2, 3, 4 таблицы 3 отчета.

4.8. В случае если кредитная организация обладает информацией о величине показателей, составляющих ВПФД, ВУ и ВФ, менее чем за 3 календарных года, в графах таблиц 1, 2, 3 отчета в периоде, за который информация отсутствует, ставится прочерк.

4.9. В строке 6 графы 6 таблицы 3 отчета указывается величина компонента расчета размера операционного риска, рассчитываемая по формулам, указанным в подпунктах 2.1.1 - 2.1.3 пункта 2.1 настоящего Положения, на основании данных строки 5 таблицы 3 отчета.

4.10. В строке 7 графы 6 таблицы 3 отчета указывается величина коэффициента внутренних потерь, определяемая путем суммирования величин, указанных в строках 7.1 и 7.2 таблицы 3 отчета.

4.11. В строке 7.1 графы 6 таблицы 3 отчета указывается величина следующая величина :

для кредитной организации, применяющей фиксированный КВП, равная единице;

для кредитной организации, применяющей расчетный КВП, рассчитываемая по формуле, указанной в абзаце шестом подпункта 3.1.2 пункта 3.1 настоящего Положения. Величина, указанная в строке 7.1 графы 6 таблицы 3 отчета, должна совпадать с величиной, указанной в строке 13 графы 4 таблицы 3 приложения 3 к настоящему Положению.

4.12. В строке 7.2 графы 6 таблицы 3 отчета указывается величина КНП, рассчитанная Банком России в соответствии с приложениями 5 и 6 к настоящему Положению. В ином случае в строке 7.2 таблицы 3 отчета указывается значение, равное нулю.

4.13. В строке 8 графы 6 таблицы 3 отчета указывается размер операционного риска, рассчитываемый в соответствии с пунктом 1.2 настоящего Положения, на основании данных строк 6 и 7 таблицы 3 отчета.

4.14. В графе 6 таблицы 3 отчета показатели указываются за расчетный год в соответствии с абзацем четвертым пункта 1.2 настоящего Положения.

Приложение 8
к Положению Банка России
от 7 декабря 2020 года N 744-П
"О порядке расчета размера
операционного риска ("Базель III")
и осуществления Банком России
надзора за его соблюдением"

(рекомендуемый образец)

Председателю Банка России
   
  (инициалы, фамилия)

УВЕДОМЛЕНИЕ
о применении расчетного коэффициента внутренних потерь для расчета размера операционного риска в целях расчета нормативов достаточности капитала

N ______________ ___ ___________ 20__ год
(полное фирменное наименование кредитной организации)

на основании решения единоличного или коллегиального исполнительного органа от ___ ___________ 20__ года уведомляет о применении расчетного коэффициента внутренних потерь при расчете размера операционного риска в целях расчета нормативов достаточности капитала начиная с ___ ___________ 20__ года.

Приложение: документы кредитной организации.

       
(наименование должности лица, осуществляющего функции единоличного исполнительного органа (лица, его замещающего)   (личная подпись)   (инициалы, фамилия)
___ ___________ 20__ года

Приложение 9
к Положению Банка России
от 7 декабря 2020 года N 744-П
"О порядке расчета размера
операционного риска ("Базель III")
и осуществления Банком России
надзора за его соблюдением"

ПРИМЕРНЫЙ ПЕРЕЧЕНЬ ДОКУМЕНТОВ, ПРЕДСТАВЛЯЕМЫХ В БАНК РОССИИ КРЕДИТНЫМИ ОРГАНИЗАЦИЯМИ СОВМЕСТНО С УВЕДОМЛЕНИЯМИ О ПРИМЕНЕНИИ РАСЧЕТНОГО КВП, ОБ ИСКЛЮЧЕНИИ ДОХОДОВ И (ИЛИ) РАСХОДОВ ИЗ РАСЧЕТА КБИ И ОБ ИСКЛЮЧЕНИИ ПОТЕРЬ ИЗ РАСЧЕТА ПП

1. При направлении уведомления о применении расчетного КВП или уведомлений об исключении доходов и (или) расходов из расчета КБИ и об исключении потерь из расчета ПП кредитная организация направляет в Банк России документы, которые должны соответствовать следующим требованиям.

1.1. Документы направляются кредитной организацией в Банк России в форме электронных документов с расширениями *.docx (*.rtf), *.xlsx и *.pdf с использованием личного кабинета в соответствии с Указанием Банка России N 5361-У.

1.2. Кредитная организация представляет документы, действующие на дату направления уведомления о применении расчетного КВП или уведомлений об исключении доходов и (или) расходов из расчета КБИ и об исключении потерь из расчета ПП. В случае направления уведомления о применении расчетного КВП кредитная организация в соответствии пунктом 4 настоящего приложения представляет как действующие на дату направления указанного уведомления документы, так и документы, действовавшие в течение 5 календарных лет, предшествующих дате направления уведомления о применении расчетного КВП.

1.3. В дополнение к уведомлениям, указанным в пункте 1 настоящего приложения, кредитная организация представляет опись, в которой по каждому документу указывается следующая информация:

полное наименование и краткое описание каждого документа;

наименование структурной единицы настоящего приложения, к которой относится информация, содержащаяся в представляемых документах;

реквизиты документа в системе документооборота кредитной организации;

наименование органа или должностного лица, утвердившего документ;

дата утверждения документа;

дата вступления документа в силу;

реквизиты организационного распорядительного документа, которым документ был введен в действие;

порядок ввода в действие отдельных структурных единиц документа (если такой порядок предусмотрен);

дата прекращения действия документа (в случае если документ на дату направления уведомления утратил силу);

информация (справка) о внесенных в документ изменениях и об их содержании, а также обоснование необходимости изменения документа (при наличии изменений).

1.4. В случае если документ утратил силу и вместо него принят другой документ, кредитная организация указывает наименование заменяющего документа и приводит информацию о нем в соответствии с подпунктом 1.3 настоящего пункта.

1.5. К каждому документу представляется выписка, подтверждающая, когда и кем утвержден документ.

2. Все документы, прилагаемые кредитной организацией к уведомлению о применении расчетного КВП или к уведомлениям об исключении доходов и (или) расходов из расчета КБИ и (или) об исключении потерь из расчета ПП, но не предусмотренные настоящим приложением, классифицируются как дополнительные в описи документов, предусмотренной подпунктом 1.3 пункта 1 настоящего приложения, с указанием причин, по которым кредитная организация считает необходимым их представление.

3. К уведомлению о применении расчетного КВП представляются документы, содержащие следующую информацию.

3.1. Положение о подразделении, ответственном за организацию управления операционным риском, и положения о специализированных подразделениях, определенных в соответствии с абзацами шестым и седьмым пункта 1.3 Положения Банка России N 716-П.

3.2. Документы, регламентирующие процедуры управления операционным риском и способы их проведения, разработанные в соответствии с пунктом 2.4 Положения Банка России N 716-П.

3.3. Документы, определяющие функции и ответственность коллегиального исполнительного органа и работников кредитной организации в рамках управления операционным риском и риском информационной безопасности.

3.4. Порядок ведения базы событий, включая требования к форме и содержанию вводимой информации, в соответствии с требованиями, установленными в главе 6 Положения Банка России N 716-П.

3.5. Документы, определяющие классификацию выявленных событий операционного риска в разрезе элементов, указанных в пункте 3.1 Положения Банка России N 716-П.

3.6. Документы, устанавливающие порядок определения контрольных показателей уровня операционного риска, а также устанавливающие целевые значения этих показателей в соответствии с пунктом 5.1 Положения Банка России N 716-П.

3.7. Документы, содержащие расчет сигнальных и контрольных значений контрольных показателей уровня операционного риска в соответствии с пунктом 5.3 Положения Банка России N 716-П.

3.8. Документы, устанавливающие требования к информационной системе, обеспечивающей управление операционным риском и включающей автоматизацию ведения базы событий и процедур управления операционным риском в соответствии с подпунктом 4.3.1 пункта 4.3 Положения Банка России N 716-П.

3.9. Порядок представления на рассмотрение совета директоров (наблюдательного совета) отчета об управлении операционным риском за год в соответствии с абзацем вторым подпункта 4.2.3 пункта 4.2 Положения Банка России N 716-П.

3.10. Документы, определяющие порядок отнесения возмещений на покрытие прямых потерь от реализации события операционного риска в соответствии с пунктом 3.6 настоящего Положения.

3.11. Положение об уполномоченном подразделении кредитной организации.

3.12. Отчеты уполномоченного подразделения кредитной организации об оценке, проведенной в соответствии с абзацем пятым пункта 5.1 настоящего Положения.

3.13. Выписки из протоколов заседаний совета директоров (наблюдательного совета), коллегиального исполнительного органа кредитной организации по результатам рассмотрения отчетов уполномоченного подразделения кредитной организации об оценке, проведенной в соответствии с абзацем пятым пункта 5.1 настоящего Положения.

3.14. Ежеквартальные и годовые отчеты об управлении операционным риском, содержащие сведения о проведенных мероприятиях и планах работ, планируемых к проведению, в целях уменьшения негативного влияния риска, подготовленные в соответствии с подпунктом 4.2.2 и подпунктом 4.2.3 пункта 4.2 Положения Банка России N 716-П.

3.15. Документы, содержащие расчет величины КВП в соответствии с отчетом о расчете величины коэффициента внутренних потерь для кредитных организаций, применяющих расчетный коэффициент внутренних потерь (рекомендуемый образец приведен в приложении 3 к настоящему Положению), по состоянию на последнюю расчетную дату в соответствии с пунктом 1.3 настоящего Положения.

3.16. Документы, содержащие расчет величин БИ, КБИ и размера операционного риска в соответствии с приложением 7 к настоящему Положению на последнюю расчетную дату в соответствии с пунктом 1.3 настоящего Положения.

4. К уведомлению об исключении доходов и (или) расходов из расчета КБИ в дополнение к документам, указанным в подпунктах 3.11 и 3.16 пункта 3 настоящего приложения, представляются документы, содержащие следующую информацию.

4.1. Методика и порядок расчета КБИ, в том числе с использованием средств автоматизации.

4.2. Данные о величинах, планируемых кредитной организацией к исключению из показателя бизнес-индикатора, в виде таблицы (таблица 2 приложения 7 к настоящему Положению).

4.3. Пояснительная записка, содержащая информацию о соответствии исключаемых доходов и (или) расходов из расчета КБИ и (или) операций или сделок из расчета АПД требованиям подпункта 6.1.1 пункта 6.1 настоящего Положения.

4.4. Отчет уполномоченного подразделения кредитной организации об оценке, подтверждающей соответствие исключаемых доходов и (или) расходов из расчета КБИ и (или) операций или сделок из расчета АПД требованиям подпункта 6.1.1 пункта 6.1 настоящего Положения.

4.5. Выписки из протоколов заседаний совета директоров (наблюдательного совета), коллегиального исполнительного органа, организационно распорядительных документов единоличного исполнительного органа кредитной организации, подтверждающие соответствие поданного уведомления об исключении доходов и (или) расходов из расчета КБИ требованиям подпункта 6.1.1 пункта 6.1 настоящего Положения.

5. К уведомлению об исключении потерь из расчета ПП в дополнение к документам, указанным в подпунктах 3.10, 3.11, 3.15 и 3.16 пункта 3 настоящего приложения, представляются документы, содержащие следующую информацию.

5.1. Методика и порядок расчета КВП, в том числе с использованием средств автоматизации.

5.2. Методика и порядок расчета КБИ, в том числе с использованием средств автоматизации.

5.3. Данные о чистых прямых потерях в разрезе направлений деятельности, планируемых кредитной организацией к исключению из расчета показателя потерь, составленные в виде таблицы (таблица 2 приложения 3 к настоящему Положению).

5.4. Перечень событий операционного риска, чистые прямые потери по которым предложены кредитной организацией к исключению из расчета СЧП кредитной организации, составленный в виде таблицы (рекомендуемый образец приведен в приложении 12 к настоящему Положению).

5.5. Внутренние отчеты кредитной организации, подтверждающие реализацию мероприятий по уменьшению негативного влияния операционного риска, включая мероприятия, направленные на предотвращение (снижение вероятности) событий операционного риска, включенных кредитной организацией в перечень событий операционного риска, чистые прямые потери по которым предложены кредитной организацией к исключению из расчета СЧП кредитной организации (рекомендуемый образец приведен в приложении 12 к настоящему Положению).

5.6. Пояснительная записка, содержащая информацию о соответствии исключаемых чистых потерь из расчета ПП требованиям подпункта 6.1.2 пункта 6.1 настоящего Положения.

5.7. Отчет уполномоченного подразделения кредитной организации об оценке, подтверждающей соответствие исключаемых потерь из расчета ПП требованиям подпункта 6.1.2 пункта 6.1 настоящего Положения.

5.8. Выписки из протоколов заседаний совета директоров (наблюдательного совета), коллегиального исполнительного органа, организационно распорядительных документов единоличного исполнительного органа кредитной организации, подтверждающие соответствие поданного уведомления об исключении потерь из расчета ПП требованиям подпункта 6.1.2 пункта 6.1 настоящего Положения.

Приложение 10
к Положению Банка России
от 7 декабря 2020 года N 744-П
"О порядке расчета размера
операционного риска ("Базель III")
и осуществления Банком России
надзора за его соблюдением"

(рекомендуемый образец)

Председателю Банка России
   
  (инициалы, фамилия)

УВЕДОМЛЕНИЕ
об исключении доходов и (или) расходов из расчета компонента расчета размера операционного риска и (или) операций или сделок из расчета активов, приносящих процентный доход

N ______________ ___ ___________ 20__ год
(полное фирменное наименование кредитной организации)

на основании решения единоличного или коллегиального исполнительного органа от __ ___________ 20__ года уведомляет об исключении доходов и (или) расходов из расчета величины компонента расчета размера операционного риска и (или) операций или сделок из расчета активов, приносящих процентный доход, соответствующих требованиям подпункта 6.1.1 пункта 6.1 Положения Банка России от 7 декабря 2020 года N 744-П "О порядке расчета размера операционного риска ("Базель III") и осуществления Банком России надзора за его соблюдением" (далее - Положение Банка России N 744-П), начиная с __ ___________ 20__ года.

Кредитная организация подтверждает свое соответствие требованиям подпункта 6.1.1 пункта 6.1 Положения Банка России N 744-П.

Приложение: документы кредитной организации.

       
(наименование должности лица, осуществляющего функции единоличного исполнительного органа (лица, его замещающего)   (личная подпись)   (инициалы, фамилия)
___ ___________ 20__ года

Приложение 11
к Положению Банка России
от 7 декабря 2020 года N 744-П
"О порядке расчета размера
операционного риска ("Базель III")
и осуществления Банком России
надзора за его соблюдением"

(рекомендуемый образец)

Председателю Банка России
   
  (инициалы, фамилия)

УВЕДОМЛЕНИЕ
об исключении чистых потерь из расчета показателя потерь кредитной организации

N ______________ ___ ___________ 20__ год
(полное фирменное наименование кредитной организации)

на основании решения единоличного или коллегиального исполнительного органа от __ ___________ 20__ года уведомляет об исключении чистых потерь, соответствующих требованиям подпункта 6.1.2 пункта 6.1 Положения Банка России от 7 декабря 2020 года N 744-П "О порядке расчета размера операционного риска ("Базель III") и осуществления Банком России надзора за его соблюдением" (далее - Положение Банка России N 744-П), из расчета показателя потерь кредитной организации от реализации событий операционного риска и пересчет показателя потерь кредитной организации от реализации событий операционного риска начиная с __ ___________ 20__ года.

Кредитная организация подтверждает свое соответствие требованиям подпункта 6.1.2 пункта 6.1 Положения Банка России N 744-П.

Приложение: документы кредитной организации.

       
(наименование должности лица, осуществляющего функции единоличного исполнительного органа (лица, его замещающего)   (личная подпись)   (инициалы, фамилия)
___ ___________ 20__ года

Приложение 12
к Положению Банка России
от 7 декабря 2020 года N 744-П
"О порядке расчета размера
операционного риска ("Базель III")
и осуществления Банком России
надзора за его соблюдением"

(рекомендуемый образец)

ПЕРЕЧЕНЬ СОБЫТИЙ ОПЕРАЦИОННОГО РИСКА, ЧИСТЫЕ ПРЯМЫЕ ПОТЕРИ ПО КОТОРЫМ ПРЕДЛОЖЕНЫ КРЕДИТНОЙ ОРГАНИЗАЦИЕЙ К ИСКЛЮЧЕНИЮ ИЗ РАСЧЕТА СЧП КРЕДИТНОЙ ОРГАНИЗАЦИИ,
ЗА ПЕРИОД С __ _________ 20__ ГОДА ПО __ _________ 20__ ГОДА

Полное или сокращенное фирменное наименование кредитной организации  
Адрес (место нахождения) кредитной организации  
Номер строки Уникальный порядковый идентификационный номер события операционного риска Дата регистрации события операционного риска Статус события операционного риска Описание события операционного риска Категория источника операционного риска Вид операционного риска Тип события операционного риска Направление деятельности Процесс Сумма прямых потерь, тыс. руб. Сумма возмещений, тыс. руб. Сумма , тыс. руб.
1 2 3 4 5 6 7 8 9 10 11 12 13
1                        
n Итого x x x x x x x x      

Пояснения к составлению Перечня событий операционного риска, чистые прямые потери по которым предложены кредитной организацией к исключению из расчета СЧП кредитной организации

1. При заполнении Перечня событий операционного риска, чистые прямые потери по которым предложены кредитной организацией к исключению из расчета СЧП кредитной организации (далее - Перечень), рекомендуется исходить из следующего.

2. Перечень составляется кредитной организацией для направления, уведомления об исключении потерь из расчета ПП в соответствии с главой 6 настоящего Положения.

3. В графе 2 Перечня указывается уникальный порядковый идентификационный номер события операционного риска в соответствии с абзацем вторым пункта 6.6 Положения Банка России N 716-П.

4. В графе 3 Перечня указывается информация о дате, когда событие операционного риска было зарегистрировано в базе событий в соответствии с абзацем четвертым пункта 6.6 Положения Банка России N 716-П. Сведения о дате указываются в формате "дд.мм.гггг", где "дд" - день, "мм" - месяц, "гггг" - год.

5. В графе 4 Перечня указывается статус события операционного риска в соответствии с абзацем десятым пункта 6.6 Положения Банка России N 716-П.

6. В графе 5 Перечня указывается детализированное описание события операционного риска в соответствии с абзацем тринадцатым пункта 6.6 Положения Банка России N 716-П.

7. В графе 6 Перечня указывается категория источника операционного риска в соответствии с абзацем четырнадцатым пункта 6.6 Положения Банка России N 716-П. Допускается указание кода, присвоенного соответствующей категории источника операционного риска в соответствии с внутренними документами кредитной организации.

8. В графе 7 Перечня указывается вид операционного риска в соответствии с абзацем семнадцатым пункта 6.6 Положения Банка России N 716-П. В случае если вид операционного риска определить невозможно, в поле ставится прочерк.

9. В графе 8 Перечня указывается тип события операционного риска в соответствии с абзацем шестнадцатым пункта 6.6 Положения Банка России N 716-П.

10. В графе 9 Перечня указывается направление деятельности в соответствии с абзацем двадцать первым пункта 6.6 Положения Банка России N 716-П.

11. В графе 10 Перечня указывается процесс согласно перечню процессов, определенному во внутренних документах кредитной организации в соответствии с абзацем двадцать вторым пункта 6.6 Положения Банка России N 716-П.

12. В графе 11 Перечня указывается сумма прямых потерь от реализации события операционного риска в соответствии с абзацем двадцать девятым пункта 6.6 Положения Банка России N 716-П.

13. В графе 12 Перечня указывается сумма возмещений на покрытие прямых потерь от реализации события операционного риска в соответствии с абзацем сорок вторым пункта 6.6 Положения Банка России N 716-П (без учета коэффициента дисконтирования).

14. В графе 13 Перечня указывается сумма чистых прямых потерь от реализации события операционного риска в соответствии с пунктами 3.4 - 3.7 настоящего Положения, рассчитываемая кредитной организацией в соответствии с подпунктом 3.3.5 пункта 3.3 настоящего Положения.

15. В строке n Перечня указываются итоговые значения показателей.

15.1. В графе 11 строки n Перечня указывается итоговая величина прямых потерь от реализации событий операционного риска, определяемая путем суммирования значений строк n - (n - 1) графы 11 Перечня.

15.2. В графе 12 строки n Перечня указывается итоговая величина возмещений на покрытие потерь от реализации событий операционного риска, определяемая путем суммирования значений строк n - (n - 1) графы 12 Перечня.

15.3. В графе 13 строки n Перечня указывается итоговая величина чистых прямых потерь от реализации событий операционного риска, определяемая путем суммирования значений строк n - (n - 1) графы 13 Перечня.