Грунты. Методы определения содержания органических веществ. ГОСТ 23740-2016

(утв. Приказом Росстандарта от 27.12.2016 N 2096-СТ)
Редакция от 27.12.2016 — Действует с 01.07.2017

Данный документ приведен с учетом Поправки, введенной в действие с 30.12.2021.


МЕЖГОСУДАРСТВЕННЫЙ СТАНДАРТ

ГРУНТЫ

МЕТОДЫ ОПРЕДЕЛЕНИЯ СОДЕРЖАНИЯ ОРГАНИЧЕСКИХ ВЕЩЕСТВ

Soils. Methods of laboratory determination of organic composition

ГОСТ 23740-2016

Дата введения
1 июля 2017 года

Предисловие

Цели, основные принципы и основной порядок проведения работ по межгосударственной стандартизации установлены в ГОСТ 1.0-2015 "Межгосударственная система стандартизации. Основные положения", ГОСТ 1.2-2015 "Межгосударственная система стандартизации. Стандарты межгосударственные, правила и рекомендации по межгосударственной стандартизации. Порядок разработки, принятия, обновления и отмены"

Сведения о стандарте

1 РАЗРАБОТАН Обществом с ограниченной ответственностью "Геологический центр Санкт-Петербургского государственного университета" (ООО "Геологический центр СПбГУ") по заказу Национального объединения изыскателей, при участии региональной общественной научной организации "Охотинское общество грунтоведов", ОАО "Трест геодезических работ и инженерных изысканий", АО "ЛЕНМОРНИИПРОЕКТ", ООО "Центр генетического грунтоведения"

2 ВНЕСЕН Техническим комитетом по стандартизации ТК 465 "Строительство"

3 ПРИНЯТ Межгосударственным советом по стандартизации, метрологии и сертификации (протокол от 25 октября 2016 г. N 92-П)

За принятие стандарта проголосовали:

Краткое наименование страны по МК (ИСО 3166) 004-97 Код страны по МК (ИСО 3166) 004-97 Сокращенное наименование национального органа по стандартизации
Беларусь BY Госстандарт Республики Беларусь
Россия RU Росстандарт
Таджикистан TJ Таджикстандарт
Туркмения ТМ Главгосслужба "Туркменстандартлары"

4 Приказом Федерального агентства по техническому регулированию и метрологии от 27 декабря 2016 г. N 2096-ст межгосударственный стандарт ГОСТ 23740-2016 введен в действие в качестве национального стандарта Российской Федерации с 1 июля 2017 г.

5 ВЗАМЕН ГОСТ 23740-79

Информация об изменениях к настоящему стандарту публикуется в ежегодном информационном указателе "Национальные стандарты", а текст изменений и поправок - в ежемесячном информационном указателе "Национальные стандарты". В случае пересмотра (замены) или отмены настоящего стандарта соответствующее уведомление будет опубликовано в ежемесячном информационном указателе "Национальные стандарты". Соответствующая информация, уведомление и тексты размещаются также в информационной системе общего пользования на официальном сайте Федерального агентства по техническому регулированию и метрологии в сети Интернет (www.gost.ru)

1. Область применения

Настоящий стандарт распространяется на органические, органоминеральные и минеральные (песчаные и глинистые) грунты, а также мерзлые дисперсные грунты после их оттаивания и устанавливает методы лабораторного определения содержания органических веществ при исследовании этих грунтов для строительства.

2. Нормативные ссылки

В настоящем стандарте использованы нормативные ссылки на следующие межгосударственные стандарты:

ГОСТ 5180-84 Грунты. Методы лабораторного определения физических характеристик

ГОСТ 10650-2013 Торф. Метод определения степени разложения

ГОСТ 11306-2013 Торф и продукты его переработки. Методы определения зольности

ГОСТ 12071-2014 Грунты. Отбор, упаковка, транспортирование и хранение образцов

ГОСТ 12536-2014 Грунты. Методы лабораторного определения гранулометрического (зернового) и микроагрегатного состава

ГОСТ 25100-2011 Грунты. Классификация

ГОСТ 26213-91 Почвы. Методы определения органического вещества

ГОСТ 27784-88 Почвы. Метод определения зольности торфяных и оторфованных горизонтов почв

ГОСТ 30416-2012 Грунты. Лабораторные испытания. Общие положения

Примечание - При пользовании настоящим стандартом целесообразно проверить действие ссылочных стандартов в информационной системе общего пользования - на официальном сайте Федерального агентства по техническому регулированию и метрологии в сети Интернет или по ежегодному информационному указателю "Национальные стандарты", который опубликован по состоянию на 1 января текущего года, и по выпускам ежемесячного информационного указателя "Национальные стандарты" за текущий год. Если ссылочный стандарт заменен (изменен), то при пользовании настоящим стандартом следует руководствоваться заменяющим (измененным) стандартом. Если ссылочный стандарт отменен без замены, то положение, в котором дана ссылка на него, применяется в части, не затрагивающей эту ссылку.

3. Термины и определения

В настоящем стандарте применены следующие термины с соответствующими определениями:

3.1 гумус: Специфическое органическое вещество, образовавшееся в процессе биохимических процессов трансформации органических остатков, преимущественно растительного происхождения - гетерогенная полидисперсная система высокомолекулярных азотсодержащих соединений: гуминовые и фульвокислоты, негидролизуемый остаток (гумин).

3.2 заторфованный грунт: Песчаный или глинистый грунт, содержащий в своем составе от 3% (для песка) и от 5% (для глинистого грунта) до 50% (по массе) торфа.

3.3 ил: Современный нелитифицированный морской или пресноводный органоминеральный осадок, содержащий более 3% (по массе) органического вещества, как правило, имеющий текучую консистенцию > 1, коэффициент пористости e < 0,9 и содержание частиц размером менее 0,01 мм более 30% по массе.

3.4 органическое вещество: Органические соединения, входящие в состав грунта: растительные остатки, гумус, рассеянное органическое вещество и др.

3.5 органоминеральный грунт: Грунт, содержащий от 3% до 50% (по массе) органического вещества.

3.6 органический грунт: Грунт, содержащий 50% (по массе) и более органического вещества.

3.7 сапропель: Современный нелитифицированный органоминеральный или органический осадок пресноводных застойных водоемов (или погребенный осадок), содержащий более 10% (по массе) органического вещества, имеющий, как правило, коэффициент пористости e > 3 и текучепластичную или текучую консистенцию.

3.8 торфяной грунт (торф): Органический грунт, содержащий в своем составе 50% (по массе) и более органического вещества, представленного растительными остатками и гумусом.

4. Основные нормативные положения

4.1 Отбор, упаковка, транспортирование и хранение проб грунта производится в соответствии с требованиями ГОСТ 12071.

4.2 Для определения содержания органических веществ в грунте следует установить раздельно количество растительных остатков и рассеянного органического вещества (гумуса).

4.3 Относительное содержание органического вещества (гумуса) в грунте устанавливается методом прокаливания до постоянной массы.

4.4 Метод прокаливания до постоянной массы следует применять для определения органического вещества (гумуса) в грунте после удаления хлоридов и карбонатов.

4.5 Содержание органического вещества (гумуса) определяется для средней пробы грунта в воздушно-сухом состоянии.

Масса средней пробы грунта должна быть не менее 100 г.

4.6 Для проведения испытания необходимо пробу грунта в воздушно-сухом состоянии подготовить путем растирания в фарфоровой ступке пестиком с резиновым наконечником до размера агрегатов 3 - 5 мм (для определения и выделения растительных остатков) и до размера частиц менее 0,25 мм (для определения органического вещества (гумуса)), а затем сделать пробы на хлориды и карбонаты.

4.7 Погрешность взвешивания проб должна быть не более 0,01 г при определении количества растительных остатков и не более 0,001 г при определении содержания органического вещества (гумуса).

4.8 Количество параллельных определений относительного содержания органического вещества (гумуса) должно быть не менее двух.

Погрешность результатов параллельных определений не должна превышать 2,5% от средней определяемой величины. Если расхождение между результатами двух параллельных определений превышает 2,5%, количество определений следует увеличить до трех и более.

За окончательный результат анализа следует принимать среднее арифметическое результатов параллельных определений.

4.9 Относительное содержание органических веществ следует определять в процентах с точностью до второго десятичного знака.

5. Методы определения содержания органических веществ

5.1 Метод определения растительных остатков

5.1.1 Растительные остатки необходимо выделить из средней пробы грунта воздушно-сухого состояния и определить их относительное содержание в процентах.

5.1.2 Аппаратура и материалы

Баня песчаная или водяная.

Весы лабораторные по ГОСТ 24104 с гирями по ГОСТ 7328.

Воронка стеклянная диаметром 14 см по ГОСТ 25336.

Груша резиновая.

Кисточка для сметания частиц с сита.

Лупа.

Мешалка.

Нож.

Пинцет.

Сита с сетками проволочными ткаными N 1 и 0,25 по ГОСТ 6613.

Стекло органическое листовое по ГОСТ 17622.

Цилиндр.

Ступка фарфоровая по ГОСТ 9147, пестик по ГОСТ 9147 с резиновым наконечником.

Ткань суконная или шерстяная (кусочек).

Чашки фарфоровые по ГОСТ 9147.

Шкаф сушильный с автоматическим регулированием температуры (105 +/- 2) °C.

Шпатель по ГОСТ 9147.

5.1.3 Проведение испытания

5.1.3.1 Исходный грунт нужно тщательно перемешать и отобрать методом квадратов среднюю пробу не менее 25 г. Одновременно следует отобрать пробу для определения гигроскопической влажности по ГОСТ 5180.

5.1.3.2 Взятую пробу необходимо поместить на стекло с подложенной под него бумагой (для фона). Растительные остатки отбирать следует тщательно, под лупой, раздавливая комочки грунта пинцетом (сухой способ). Для ускорения процесса удаления растительных остатков из грунта рекомендуется пользоваться наэлектризованной пластинкой из органического стекла.

Сухую пластинку из органического стекла необходимо натереть кусочком шерстяной или суконной ткани и быстро провести ею над грунтом, распределенным тонким слоем на стекле или бумаге, обращая внимание на то, чтобы к пластинке не притягивались вместе с растительными остатками глинистые частицы. Пластинку следует держать примерно на 5 см выше слоя грунта.

5.1.3.3 В случае значительного количества растительных остатков рекомендуется применять отмучивание в водопроводной воде (мокрый способ).

Для отмучивания растительных остатков среднюю пробу грунта следует высыпать в заранее взвешенную фарфоровую чашку, взвесить, смочить водой и слегка растереть пестиком с резиновым наконечником так, чтобы не повредить растительные остатки. Затем следует отмутить песок. Для этого грунт заливают водой, перемешивают и сливают верхний слой с глинистыми частицами сквозь сито с сеткой N 1 в течение 5 - 8 с в большую фарфоровую чашку, следя, чтобы на сито не попал песок. Операцию требуется повторять до полной отмывки песка в чашке.

Растительные остатки на сите необходимо отмыть от глинистых частиц и перенести во взвешенную фарфоровую чашку. Прошедшие сквозь сито глинистые частицы следует в чашке взболтать, дать им возможность осесть, а растительные остатки, прошедшие сквозь сито с сеткой N 1, слить через сито с сеткой N 0,25 в другую чашку.

Растительные остатки, оставшиеся на ситах с сетками N 1 и N 0,25, надо соединить в одной чашке, а воду выпарить на бане. Все прошедшие через сито частицы грунта следует из чашки перенести в цилиндр и проверить полноту выделения растительных остатков (см. приложение Б).

5.1.3.4 Выделенные песчаные, глинистые частицы и растительные остатки необходимо высушить в сушильном шкафу до постоянной массы при температуре 105 °C и взвесить с погрешностью не более 0,01 г.

5.1.4 Обработка результатов

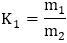
5.1.4.1 Количество растительных остатков в процентах следует вычислять по формуле

,

где - масса сухих растительных остатков, г;

- масса сухого грунта, г.

Для пересчета воздушно-сухой навески на сухую применяют коэффициент

,

где - гигроскопическая влажность, %.

5.2 Метод прокаливания до постоянной массы

5.2.1 Общие положения

5.2.1.1 Образцы грунта с удаленными растительными остатками поступившие на анализ, доводят до воздушно-сухого состояния. Масса воздушно-сухой пробы грунта должна быть не менее 50 г.

5.2.1.2 Грунт измельчают и просеивают через сито с отверстиями диаметром 0,25 мм до тех пор, пока весь грунт не пройдет через сито, тщательно перемешивают, методом квартования отбирают 20 - 30 г и помещают в бюксы.

5.2.1.3 Приступая к анализу, весь грунт из бюкса высыпают на лист стекла, пластмассы или полиэтиленовой пленки, распределяют тонким слоем, затем не менее чем из 5 мест отбирают пробы шпателем или ложечкой.

Масса анализируемой пробы - от 3 до 5 г.

5.2.2 Аппаратура, материалы и реактивы

Баня песчаная или баня водяная.

Бюретки.

Весы лабораторные 2-го класса точности по ГОСТ 24104.

Воронки стеклянные диаметром 10 - 14 см по ГОСТ 8613.

Шкаф сушильный с автоматическим регулированием температуры (105 +/- 2) °C.

Палочки стеклянные.

Перчатки термозащитные.

Печь муфельная с электрическим обогревом, с устойчивой температурой нагрева (525 +/- 25) °C с терморегулятором.

Плитка с закрытой спиралью.

Сито с отверстиями диаметром 0,25 мм с поддоном и крышкой.

Стаканы стеклянные.

Тигли фарфоровые по ГОСТ 9147, обеспечивающие вмещение пробы массой 3 - 5 г без уплотнения.

Щипцы тигельные.

Эксикатор по ГОСТ 25336.

Вода дистиллированная по ГОСТ 6709.

Индикаторная универсальная бумага или лакмус.

Кальций хлористый безводный по ГОСТ 4460.

Кислота серная по ГОСТ 4204.

Натрия гидроокись (натр едкий) по ГОСТ 4328.

Перекись водорода по ГОСТ 10929, 3%-ный раствор.

5.2.3 Подготовка к анализу

5.2.3.1 Подготовка тиглей

Чистые, сухие, пронумерованные тигли прокаливают в муфельной печи при температуре (525 +/- 25) °C, охлаждают в эксикаторе с хлористым кальцием и взвешивают с погрешностью не более 0,001 г. Проводят повторное прокаливание и взвешивание до установления постоянной массы. Тигли хранят в эксикаторе с хлористым кальцием, периодически проверяя их массу.

5.2.3.2 Удаление хлоридов

Для удаления хлоридов необходимо взять 25 г подготовленного к анализу грунта. Навеску грунта следует поместить в стакан, залить дистиллированной водой, подкисленной несколькими каплями серной кислоты (1 н), и способом декантации перенести на фильтр.

Во взятой сухой навеске грунта отмывать хлориды следует до исчезновения хлора (реакция на хлор). Отмытую навеску грунта с фильтра следует перенести в фарфоровую чашку, высушить до воздушно-сухого состояния на водяной бане и после охлаждения взвесить.

Для дальнейшего определения относительного содержания органического вещества (гумуса) необходимо установить соотношение между первоначальным весом взятого грунта и его весом после удаления хлоридов и высушивания.

,

где - масса воздушно-сухой пробы, взятой для удаления хлоридов, г;

- масса пробы после удаления хлоридов, г.

5.2.3.3 Удаление карбонатов

Для разрушения карбонатов следует применять раствор 5%-ной серной кислоты.

В фарфоровый тигель емкостью 50 мл необходимо взять способом квадратов среднюю пробу грунта массой 3 г, налить 3 - 4 мл дистиллированной воды, перемешивая грунт стеклянной палочкой. Затем в тигель из бюретки или делительной воронки налить раствор 5%-ной серной кислоты. Во избежание бурного вскипания и разбрызгивания суспензии кислоту следует лить небольшими порциями, все время перемешивая грунт. При прекращении выделения пузырьков газа, образующихся при реакции, необходимо проверить pH суспензии по индикаторной универсальной бумаге (pH 1 - 10). Доводя реакцию суспензии до кислой (pH 5,5 - 5,0), добавляют еще 0,5 мл раствора 5%-ной серной кислоты. После тщательного перемешивания вынимают стеклянную палочку из тигля и осторожно смывают ее дистиллированной водой из промывалки. Переносят тигель на плитку с закрытой спиралью, кипятят суспензию в течение 5 мин при слабом нагреве и проверяют реакцию жидкости с помощью индикаторной бумаги.

Если pH суспензии сохраняется кислым, то разрушение карбонатов закончено.

При наличии щелочной реакции (pH > 7) добавляют еще немного серной кислоты и вновь кипятят суспензию 5 мин.

После окончания разрушения карбонатов тигель снимают с плитки. Нейтрализуют суспензию и определяют реакцию по индикаторной бумаге, добавляя по каплям 2%-ный раствор натра едкого до pH 6,5.

Тигель надлежит перенести на песчаную баню, выпарить содержимое, а затем высушить в сушильном шкафу в течение 5 ч.

После охлаждения в эксикаторе тигли с осадками следует взвесить с погрешностью +/- 0,002 г.

Для определения относительного содержания органического вещества (гумуса) необходимо установить соотношение между первоначальным весом взятого грунта и его весом после разрушения карбонатов и высушивания.

,

где - масса пробы до разрушения карбонатов, г;

- масса пробы после разрушения карбонатов, г.

5.2.4 Проведение анализа

5.2.4.1 Определение массы сухого грунта

Анализируемые пробы грунтов в воздушно-сухом состоянии помещают в предварительно взвешенные фарфоровые тигли с таким расчетом, чтобы проба занимала не более 2/3 объема тигля, взвешивают их с погрешностью не более 0,001 г, помещают в холодный сушильный шкаф и нагревают его до 105 °C и высушивают пробы до постоянной массы.

5.2.4.2 Определение содержания органического вещества (гумуса)

Схема А

Для голоценовых аквальных грунтов (органоминеральных и дисперсных связных минеральных) установить температуру прокаливания до постоянной массы (350 +/- 10) °C.

Схема Б

Для дисперсных связных и несвязных минеральных грунтов, по возрасту не относящихся к голоценовым, установить температуру прокаливания до постоянной массы 450 +/- 10 °C.

В случае, если относительное содержание органического вещества, полученное при применении схемы Б, превышает 10%, следует применить схему В.

Схема В

Для органоминеральных (заторфованных) и органических (торфов, сапропелей) грунтов установить температуру прокаливания до постоянной массы (525 +/- 25) °C.

Тигли с пробами грунтов, высушенными при (105 +/- 2) °C до постоянной массы, ставят в холодную муфельную печь и постепенно доводят температуру до значения, соответствующего выбранной схеме, и прокаливают тигли в течение 3 ч.

Тигли с зольным остатком вынимают из муфельной печи, закрывают их крышками и ставят в эксикатор. Охлажденные до комнатной температуры тигли взвешивают с погрешностью не более 0,001 г.

В случае схемы В, несгоревшие частицы грунта дополнительно выжигают. Для этого в тигли добавляют несколько капель горячей дистиллированной воды температурой более 90 °C или 3%-ного раствора перекиси водорода и повторно прокаливают при температуре (525 +/- 25) °C в течение 1 ч, охлаждают в эксикаторе и взвешивают с погрешностью не более 0,001 г.

После охлаждения и взвешивания оценивают изменение массы зольного остатка. Если изменение массы будет менее 0,005 г, то анализ заканчивают и для расчета принимают наименьшее значение массы. При изменении массы на 0,005 г и более тигли с зольным остатком прокаливают дополнительно. Прокаливание заканчивают, если разность в массе при двух последовательных взвешиваниях будет менее 0,005 г.

5.2.5 Обработка результатов

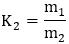
Относительное содержание органического вещества (гумуса) грунтов, в процентах, вычисляют по формуле

,

где - относительное содержание органического вещества, %;

m - масса сухого грунта, г;

- масса грунта после прокаливания, г.

Приложение А
(справочное)

Таблица А.1

Относительное содержание органического вещества (гумуса) в грунте в зависимости от цвета

Окраска сухого грунта , %
Очень черная или темно-коричневая 10 - 15
Черная или коричневая 7 - 10
Темно-серая 4 - 7
Серая 2 - 4
Светло-серая 1 - 2
Белесая Менее 1

Приложение Б
(рекомендуемое)

ПРОВЕРКА ЧИСТОТЫ ВЫДЕЛЕНИЯ РАСТИТЕЛЬНЫХ ОСТАТКОВ ИЗ ГРУНТА

Для проверки чистоты выделения растительных остатков из грунта рекомендуется оставшийся в фарфоровой чашке глинистый осадок (п. 2.3.3) перенести методом декантации через сито с сеткой N 0,25 в цилиндр (см. рисунок Б.1) и долить его водой до метки. Затем следует измерить температуру воды, взболтать перенесенный в цилиндр грунт мешалкой в течение 1 мин и слить через верхний штуцер во взвешенную фарфоровую чашку 100-миллиметровый слой суспензии через интервал времени, указанный в зависимости от температуры в таблице Б.1.

Через нижний штуцер слить нижний слой суспензии в другую чашку, если на стенках цилиндра остались растительные остатки, собрать их пальцем и добавить к растительным остаткам, оставшимся на сите. Собранные в чашках суспензии выпаривать на бане и каждую фракцию проверить на чистоту выделения растительных остатков. Оставшиеся в процессе выпаривания на стенках чашек растительные остатки следует собрать с помощью пластинки из органического стекла и добавить к выделенным ранее растительным остаткам.

Рисунок Б.1 - Цилиндр для проверки полноты выделения растительных остатков

Таблица Б.1

Плотность частиц, г/см3 Температура, °C
10 12,5 15 17,5 20 22,5 25 27,5 30
Время падения частиц 0,005 мм на глубину более 10 см
2,45 1 ч
49'33"
1 ч
42'22"
1 ч
36'
1 ч
30'5"
1 ч
24'52"
1 ч
19'54"
1 ч
15'31"
1 ч
1'15"
1 ч
7'28"