Свод правил. Строительство в сейсмических районах. Актуализированная редакция СНиП II-7-81*. СП 14.13330.2018

(утв. Приказом Минстроя РФ от 24.05.2018 N 309/ПР)
Редакция от 26.12.2019 — Не действует Перейти в действующую
Показать изменения

СВОД ПРАВИЛ

СТРОИТЕЛЬСТВО В СЕЙСМИЧЕСКИХ РАЙОНАХ

АКТУАЛИЗИРОВАННАЯ РЕДАКЦИЯ СНиП II-7-81*

Seismic building design code

СП 14.13330.2018

(в ред. Изменения N 1, утв. Приказом Минстроя РФ от 26.12.2019 N 886/пр)

Дата введения
25 ноября 2018 года

Предисловие

Сведения о своде правил

1. ИСПОЛНИТЕЛЬ - АО "НИЦ "Строительство" - ЦНИИСК им. В.А. Кучеренко

2. ВНЕСЕН Техническим комитетом по стандартизации ТК 465 "Строительство"

3. ПОДГОТОВЛЕН к утверждению Департаментом градостроительной деятельности и архитектуры Министерства строительства и жилищно-коммунального хозяйства Российской Федерации (Минстрой России)

4. УТВЕРЖДЕН приказом Министерства строительства и жилищно-коммунального хозяйства Российской Федерации от 24 мая 2018 г. N 309/пр и введен в действие с 25 ноября 2018 г.

5. ЗАРЕГИСТРИРОВАН Федеральным агентством по техническому регулированию и метрологии (Росстандарт). Пересмотр СП 14.13330.2014 "СНиП II-7-81* Строительство в сейсмических районах"

В случае пересмотра (замены) или отмены настоящего свода правил соответствующее уведомление будет опубликовано в установленном порядке. Соответствующая информация, уведомление и тексты размещаются также в информационной системе общего пользования - на официальном сайте разработчика (Минстрой России) в сети Интернет

Введение

Настоящий свод правил составлен с учетом требований федеральных законов от 27 декабря 2002 г. N 184-ФЗ "О техническом регулировании", от 29 декабря 2009 г. N 384-ФЗ "Технический регламент о безопасности зданий и сооружений", от 23 ноября 2009 г. N 261-ФЗ "Об энергосбережении и о повышении энергетической эффективности и о внесении изменений в отдельные законодательные акты Российской Федерации".

Официальный источник электронного документа содержит неточность: имеется в виду Федеральный закон от 30.12.2009 N 384-ФЗ.

Работа по пересмотру выполнена Центром исследований сейсмостойкости сооружений ЦНИИСК им. В.А. Кучеренко - института ОАО "НИЦ "Строительство" (руководитель работы - д-р техн. наук, член-корр. РАН, проф. Б.В. Гусев; научный руководитель рабочей группы - д-р техн. наук, проф. Я.М. Айзенберг, ответственный исполнитель - инж. А.А. Бубис) при участии рабочей группы в следующем составе: д-р техн. наук, проф. В.С. Беляев, д-р техн. наук, проф. Т.А. Белаш, канд. техн. наук М.А. Клячко, д-р техн. наук, проф. Ю.В. Кривцов, д-р физ.-мат. наук, проф. Ф.Ф. Аптикаев, канд. техн. наук А.В. Грановский, д-р техн. наук, проф. Ю.П. Назаров, канд. техн. наук Л.Н. Смирнова, инж. Г.Н. Юдакова, д-р техн. наук, проф. В.И. Травуш, д-р физ.-мат. наук Р.Э. Татевосян, д-р техн. наук, проф. В.А. Семенов, д-р техн. наук М.И. Богданов, д-р техн. наук, проф. А.М. Уздин, канд. геол.-мин. наук А.Л. Стром, д-р техн. наук, проф. Л.Р. Ставницер, д-р техн. наук, проф. И.Я. Дорман.

Подраздел 6.17 подготовлен при участии д-ра техн. наук, проф. В.С. Беляева, д-ра техн. наук, проф. Т.А. Белаш, канд. техн. наук В.В. Костарева, инж. П.С. Васильева, были использованы разработки канд. техн. наук, доц. В.И. Смирнова.

Подраздел 6.19 подготовлен при участии д-ра техн. наук, проф. М.А. Клячко.

Раздел 7 подготовлен д-ром геол.-мин. наук, проф. Г.С. Шестоперовым.

Раздел 8 подготовлен АО "Всероссийский научно-исследовательский институт гидротехники им. Б.Е. Веденеева (д-р техн. наук Е.Н. Беллендир, д-р техн. наук В.Б. Глаговский, д-р техн. наук А.А. Храпков, канд. техн. наук А.П. Пак, канд. техн. наук М.С. Ламкин) и Центром службы геодезических наблюдений в электроэнергетической отрасли - филиалом АО "Институт Гидропроект" (д-р физ.-мат. наук А.И. Савич, канд. техн. наук В.В. Речицкий, канд. физ.-мат. наук А.Г. Бугаевский, канд. геол.-мин. наук А.Л. Стром).

Раздел 9 подготовлен при участии д-ра техн. наук, проф. Ю.В. Кривцова, канд. техн. наук Д.Г. Пронина, канд. техн. наук В.В. Пивоварова.

Приложение А разработано коллективом авторов в следующем составе: д-р физ.-мат. наук, проф. Ф.Ф. Аптикаев, канд. геол.-мин. наук Ю.М. Вольфман, д-р геол.-мин. наук Н.Н. Гриб, д-р физ.-мат. наук А.А. Гусев, д-р геол.-мин. наук, проф. Г.С. Гусев, Г.Ю. Донцова, д-р геол.-мин. наук, проф. В.С. Имаев, канд. геол.-мин. наук Л.П. Имаева, Б.М. Козьмин, М.С. Кучай, канд. физ.-мат. наук А.И. Лутиков, канд. геол.-мин. наук А.Н. Овсюченко, д-р физ.-мат. наук Б.Г. Пустовитенко, д-р геол.-мин. наук, проф. Е.А. Рогожин, канд. геол.-мин. наук О.П. Смекалин, А.И. Сысолин, д-р физ.-мат. наук, проф. В.И. Уломов, д-р геол.-мин. наук А.В. Чипизубов.

Приложение В подготовлено при участии д-ра техн. наук, проф. В.С. Беляева, д-ра техн. наук, проф. Т.А. Белаш, канд. техн. наук В.В. Костарева, инж. П.С. Васильева, были использованы разработки канд. техн. наук, доц. В.И. Смирнова.

Приложение Г подготовлено при участии инж. Г.Н. Юдаковой.

Изменение N 1 СП 14.13330.2018 "СНиП II-7-81* Строительство в сейсмических районах" выполнено АО "НИЦ "Строительство" (руководитель темы - д-р техн. наук, проф. Ю.П. Назаров). (в ред. Изменения N 1, утв. Приказом Минстроя РФ от 26.12.2019 N 886/пр)

Ответственные исполнители: д-р геол.-минер. наук, проф. Е.А. Рогожин (Институт физики Земли им. О.Ю. Шмидта РАН), д-р техн. наук, проф. В.И. Травуш (ЗАО "Горпроект"), канд. техн. наук Е.В. Позняк (НИУ "МЭИ", АО "НИЦ "Строительство"), канд. геол.-минер. наук А.Л. Стром (ООО "Центр геодинамических исследований" (ООО "ЦГИ"), ООО "Институт геотехники и инженерных изысканий в строительстве" (ООО "ИГИИС"), г. Москва), канд. техн. наук Р.Т. Акбиев (ФГБУ "ЦНИИП Минстроя России"), канд. техн. наук Зак Борий (ООО "Гипрогорпроект", г. Москва), д-р техн. наук И.Н. Тихонов (АО "НИЦ "Строительство", г. Москва), д-р геол.-минер. наук, проф. Г.С. Шестоперов (ООО "ПОИСК", г. Москва), канд. техн. наук Г.М. Чентимиров (МАРХИ, г. Москва). (в ред. Изменения N 1, утв. Приказом Минстроя РФ от 26.12.2019 N 886/пр)

При подготовке свода правил были использованы материалы специалистов: д-р техн. наук, проф. В.И. Травуш (ЗАО "Горпроект", г. Москва), канд. геол.-минер. наук В.В. Севастьянов (Институт геоэкологии РАН, г. Москва), канд. техн. наук Р.Т. Акбиев (ФГБУ "ЦНИИП Минстроя России"), канд. техн. наук Зак Борий (ООО "Гипрогорпроект", г. Москва), д-р техн. наук, проф. Ю.В. Кривцов (АО "НИЦ "Строительство"), д-р техн. наук И.Н. Тихонов (АО "НИЦ "Строительство", г. Москва), д-р геол.-минер. наук, проф. Г.С. Шестоперов (ООО "ПОИСК", г. Москва), канд. геол.-минер. наук А.Л. Стром (ООО "Центр геодинамических исследований" (ООО "ЦГИ"), ООО "Институт геотехники и инженерных изысканий в строительстве" (ООО "ИГИИС", г. Москва), д-р техн. наук В.Б. Глаговский (ВНИИГ им. Б.Е. Веденеева, г. Санкт-Петербург), канд. техн. наук Г.М. Чентимиров (МАРХИ, г. Москва), д-р техн. наук, проф. А.Е. Саргсян (АО "Атомэнергопроект", г. Москва), д-р техн. наук, проф. А.М. Белостоцкий (НИЦ "СтаДиО", г. Москва), д-р физ.-мат. наук, проф. В.Б. Заалишвили (ФГБУН Центр геофизических исследований ВНЦ РАН), д-р техн. наук, проф. Л.Р. Ставницер (АО "НИЦ "Строительство", г. Москва), д-р техн. наук Л.Г. Тяпин (АО "Атомэнергопроект", г. Москва), д-р техн. наук, проф. А.М. Уздин (ПГУПС им. Александра I, г. Санкт-Петербург), канд. техн. наук В.Н. Симбиркин (АО "НИЦ "Строительство", г. Москва), С.П. Манин (Евразийская Сейсмо Ассоциация). (в ред. Изменения N 1, утв. Приказом Минстроя РФ от 26.12.2019 N 886/пр)

Приложение А "Общее сейсмическое районирование территории Российской Федерации 2016 (ОСР-2016)" подготовлено авторским коллективом: (в ред. Изменения N 1, утв. Приказом Минстроя РФ от 26.12.2019 N 886/пр)

Главные редакторы: д-р физ.-мат. наук, проф. В.И. Уломов (Институт физики Земли им. О.Ю. Шмидта РАН, г. Москва), канд. геол.-минер. наук М.И. Богданов (ООО "Институт геотехники и инженерных изысканий в строительстве" (ООО "ИГИИС"), г. Москва). (в ред. Изменения N 1, утв. Приказом Минстроя РФ от 26.12.2019 N 886/пр)

Заместители главных редакторов: канд. геол.-минер. наук А.Л. Стром (ООО "Центр геодинамических исследований" (ООО "ЦГИ"), ООО "Институт геотехники и инженерных изысканий в строительстве" (ООО "ИГИИС"), г. Москва), канд. техн. наук С.А. Перетокин (Институт вычислительных технологий СО РАН, г. Красноярск, Институт физики Земли им. О.Ю. Шмидта РАН, г. Москва). (в ред. Изменения N 1, утв. Приказом Минстроя РФ от 26.12.2019 N 886/пр)

Ученый секретарь: канд. геол.-минер. наук Т.И. Данилова (Институт физики Земли им. О.Ю. Шмидта РАН, г. Москва). (в ред. Изменения N 1, утв. Приказом Минстроя РФ от 26.12.2019 N 886/пр)

Ответственные исполнители: д-р физ.-мат. наук, проф. В.И. Уломов (Институт физики Земли им. О.Ю. Шмидта РАН, г. Москва), канд. геол.-минер. наук М.И. Богданов (ООО "Институт геотехники и инженерных изысканий в строительстве" (ООО "ИГИИС"), г. Москва), д-р геол.-минер. наук, проф. А.А. Никонов, канд. геол.-минер. наук Т.И. Данилова, К.Н. Акатова, Н.С. Медведева (Институт физики Земли им. О.Ю. Шмидта РАН, г. Москва), д-р геол.-минер. наук, проф. В.Г. Трифонов (Геологический институт РАН, г. Москва), д-р физ.-мат. наук А.А. Гусев (Институт вулканологии и сейсмологии ДВО РАН, г. Петропавловск-Камчатский), д-р геол.-минер. наук, проф. Г.С. Гусев (Институт минералогии, геохимии и кристаллохимии редких элементов Минприроды России, г. Москва), д-р физ.-мат. наук, проф. Ф.Ф. Аптикаев (Институт физики Земли им. О.Ю. Шмидта РАН, г. Москва), канд. геол.-минер. наук Д.М. Бачманов (Геологический институт РАН, г. Москва), А.Н. Гуляев (Институт геофизики УрО РАН, г. Екатеринбург), д-р геол.-минер. наук, проф. В.С. Имаев, канд. геол.-минер. наук Л.П. Имаева (Институт земной коры СО РАН, г. Иркутск), д-р геол.-минер. наук А.И. Кожурин (Институт вулканологии и сейсмологии ДВО РАН, г. Петропавловск-Камчатский), Н.Г. Корнева (ООО "Институт геотехники и инженерных изысканий в строительстве" (ООО "ИГИИС", г. Москва), д-р геол.-минер. наук, проф. В.И. Макаров (Институт геоэкологии РАН, г. Москва), д-р физ.-мат. наук Б.Г. Пустовитенко, канд. физ.-мат. наук А.А. Пустовитенко (Институт сейсмологии и геодинамики КФУ, ГАУ "Крымский экспертный совет по оценке сейсмической опасности и прогнозу землетрясений" Минстроя РК, г. Симферополь), д-р геол.-минер. наук, проф. В.Н. Смирнов (Северо-Восточный комплексный научно-исследовательский институт ДВО РАН, г. Магадан), д-р физ.-мат. наук И.Н. Тихонов (Институт морской геологии и геофизики ДВО РАН, г. Южно-Сахалинск). (в ред. Изменения N 1, утв. Приказом Минстроя РФ от 26.12.2019 N 886/пр)

Соисполнители: канд. геол.-минер. наук В.А. Бормотов, д-р геол.-минер. наук В.Ю. Забродин (Институт тектоники и геофизики ДВО РАН, г. Хабаровск), канд. физ.-мат. наук И.П. Габсатарова (Единая геофизическая служба РАН, г. Обнинск), канд. геол.-минер. наук В.С. Дружинин (Институт геофизики УрО РАН, г. Екатеринбург), д-р физ.-мат. наук А.Д. Завьялов (Институт физики Земли им. О.Ю. Шмидта РАН, г. Москва), Г.Ю. Караман (ООО "Институт геотехники и инженерных изысканий в строительстве" (ООО "ИГИИС", г. Москва), канд. геол.-минер. наук В.А. Килипко (Институт минералогии, геохимии и кристаллохимии редких элементов Минприроды России, г. Москва), Ю.Ф. Коновалов (АО "Производственный и научно-исследовательский институт по инженерным изысканиям в строительстве" (АО "ПНИИИС"), г. Москва), С.Л. Костюченко (ФГУП "ВНИИГеофизика" Минприроды России, г. Москва), канд. геол.-минер. наук О.Н. Круткина, канд. геол.-минер. наук В.В. Снежко (ФГУП "ВСЕГЕИ", г. Санкт-Петербург), С.Н. Никитин, д-р геол.-минер. наук Л.А. Сим, И.В. Уломов, Л.Д. Флейфель, канд. техн. наук С.В. Шварев, канд. физ.-мат. наук О.О. Эртелева (Институт физики Земли им. О.Ю. Шмидта РАН, г. Москва), В.М. Павлов (Камчатский филиал Единой геофизической службы РАН, г. Петропавловск-Камчатский), канд. геол.-минер. наук О.П. Смекалин, д-р геол.-минер. наук А.В. Чипизубов (Институт земной коры СО РАН, г. Иркутск), А.А. Полищук (ФГУП "ВИМС" Минприроды России, г. Москва). (в ред. Изменения N 1, утв. Приказом Минстроя РФ от 26.12.2019 N 886/пр)

1. Область применения

Настоящий свод правил устанавливает требования по расчету с учетом сейсмических нагрузок к конструктивным и объемно-планировочным решениям зданий и сооружений, обеспечивающие их сейсмостойкость при новом строительстве и реконструкции. (в ред. Изменения N 1, утв. Приказом Минстроя РФ от 26.12.2019 N 886/пр)

Настоящий свод правил распространяется на проектирование зданий и сооружений на площадках с расчетной сейсмичностью 7, 8 и 9 баллов по шкале MSK-64 для районов с нормативной сейсмичностью 6, 7, 8, 9 и более баллов. (в ред. Изменения N 1, утв. Приказом Минстроя РФ от 26.12.2019 N 886/пр)

На площадках, сейсмичность которых превышает 9 баллов, проектирование и строительство зданий и сооружений осуществляются в порядке, установленном уполномоченным федеральным органом исполнительной власти.

Настоящий свод правил не распространяется на проектирование и строительство объектов атомной энергетики первой и второй категорий сейсмостойкости. (в ред. Изменения N 1, утв. Приказом Минстроя РФ от 26.12.2019 N 886/пр)

Примечание - Разделы 4, 5 и 6 относятся к проектированию жилых, общественных, производственных зданий и сооружений, транспортных и гидротехнических зданий, раздел 7 распространяется на транспортные сооружения, раздел 8 - на гидротехнические сооружения, раздел 9 - на все объекты, при проектировании которых следует предусматривать меры противопожарной защиты.

2. Нормативные ссылки

В настоящем своде правил использованы нормативные ссылки на следующие документы:

ГОСТ 111-2014 Стекло листовое бесцветное. Технические условия (в ред. Изменения N 1, утв. Приказом Минстроя РФ от 26.12.2019 N 886/пр)

ГОСТ 13015-2012 Изделия бетонные и железобетонные для строительства. Общие технические требования. Правила приемки, маркировки, транспортирования и хранения (в ред. Изменения N 1, утв. Приказом Минстроя РФ от 26.12.2019 N 886/пр)

ГОСТ 14098-2014 Соединения сварные арматуры и закладных изделий железобетонных конструкций. Типы, конструкции и размеры

ГОСТ 17625-83 Конструкции и изделия железобетонные. Радиационный метод определения толщины защитного слоя бетона, размеров и расположения арматуры"; (в ред. Изменения N 1, утв. Приказом Минстроя РФ от 26.12.2019 N 886/пр)

ГОСТ 22904-93 Конструкции железобетонные. Магнитный метод определения толщины защитного слоя бетона и расположения арматуры (в ред. Изменения N 1, утв. Приказом Минстроя РФ от 26.12.2019 N 886/пр)

ГОСТ 23858-79 Соединения сварные стыковые и тавровые арматуры железобетонных конструкций. Ультразвуковые методы контроля качества. Правила приемки (в ред. Изменения N 1, утв. Приказом Минстроя РФ от 26.12.2019 N 886/пр)

ГОСТ 24866-2014 Стеклопакеты клееные. Технические условия (в ред. Изменения N 1, утв. Приказом Минстроя РФ от 26.12.2019 N 886/пр)

ГОСТ 27751-2014 Надежность строительных конструкций и оснований. Основные положения

ГОСТ 30247.0-94 (ИСО 834-75) Конструкции строительные. Методы испытаний на огнестойкость. Общие требования

ГОСТ 30403-2012 Конструкции строительные. Метод испытания на пожарную опасность

ГОСТ 30546.1-98 Общие требования к машинам, приборам и другим техническим изделиям и методы расчета их сложных конструкций в части сейсмостойкости (в ред. Изменения N 1, утв. Приказом Минстроя РФ от 26.12.2019 N 886/пр)

ГОСТ 30698-2014 Стекло закаленное. Технические условия (в ред. Изменения N 1, утв. Приказом Минстроя РФ от 26.12.2019 N 886/пр)

ГОСТ 30826-2014 Стекло многослойное. Технические условия (в ред. Изменения N 1, утв. Приказом Минстроя РФ от 26.12.2019 N 886/пр)

ГОСТ 31364-2014 Стекло с низкоэмиссионным мягким покрытием. Технические условия (в ред. Изменения N 1, утв. Приказом Минстроя РФ от 26.12.2019 N 886/пр)

ГОСТ 31937-2011 Здания и сооружения. Правила обследования и мониторинга технического состояния

ГОСТ 32019-2012 Мониторинг технического состояния уникальных зданий и сооружений. Правила проектирования и установки стационарных систем (станций) мониторинга (в ред. Изменения N 1, утв. Приказом Минстроя РФ от 26.12.2019 N 886/пр)

ГОСТ 33087-2014 Стекло термоупрочненное. Технические условия (в ред. Изменения N 1, утв. Приказом Минстроя РФ от 26.12.2019 N 886/пр)

ГОСТ 34081-2017 Здания и сооружения. Определение параметров основного тона собственных колебаний (в ред. Изменения N 1, утв. Приказом Минстроя РФ от 26.12.2019 N 886/пр)

ГОСТ Р 53292-2009 Огнезащитные составы и вещества для древесины и материалов на ее основе. Общие требования. Методы испытаний

ГОСТ Р 53295-2009 Средства огнезащиты для стальных конструкций. Общие требования. Метод определения огнезащитной эффективности

СП 2.13130.2012 Системы противопожарной защиты. Обеспечение огнестойкости объектов защиты (с изменением N 1)

В связи с утратой силы СП 2.13130.2012 с 12.09.2020 следует руководствоваться принятым взамен СП 2.13130.2020.

СП 5.13130.2009 Системы противопожарной защиты. Установки пожарной сигнализации и пожаротушения автоматические. Нормы и правила проектирования (с изменением N 1) (в ред. Изменения N 1, утв. Приказом Минстроя РФ от 26.12.2019 N 886/пр)

СП 10.13130.2009 Системы противопожарной защиты. Внутренний противопожарный водопровод. Требования пожарной безопасности (с изменением N 1) (в ред. Изменения N 1, утв. Приказом Минстроя РФ от 26.12.2019 N 886/пр)

В связи с утратой силы СП 10.13130.2009 с 27.01.2021 следует руководствоваться принятым взамен СП 10.13130.2020.

СП 15.13330.2012 "СНиП II-22-81* Каменные и армокаменные конструкции" (с изменениями N 1, N 2)

СП 16.13330.2017 "СНиП II-23-81* Стальные конструкции" (с изменением N 1) (в ред. Изменения N 1, утв. Приказом Минстроя РФ от 26.12.2019 N 886/пр)

СП 20.13330.2016 "СНиП 2.01.07-85* Нагрузки и воздействия"

СП 22.13330.2016 "СНиП 2.02.01-83* Основания зданий и сооружений"

СП 23.13330.2011 "СНиП 2.02.02-85* Основания гидротехнических сооружений"

СП 24.13330.2011 "СНиП 2.02.03-85 Свайные фундаменты" (с изменением N 1)

СП 25.13330.2012 "СНиП 2.02.04-88 Основания и фундаменты на вечномерзлых грунтах" (с изменением N 1)

СП 34.13330.2012 "СНиП 2.05.02-85* Автомобильные дороги" (с изменением N 1)

СП 35.13330.2011 "СНиП 2.05.03-84* Мосты и трубы" (с изменением N 1)

СП 39.13330.2012 "СНиП 2.06.05-84* Плотины из грунтовых материалов"

СП 40.13330.2012 "СНиП 2.06.06-85 Плотины бетонные и железобетонные"

СП 41.13330.2012 "СНиП 2.06.08-87 Бетонные и железобетонные конструкции гидротехнических сооружений"

СП 58.13330.2012 "СНиП 33-01-2003 Гидротехнические сооружения. Основные положения" (с изменением N 1)

СП 63.13330.2012 "СНиП 52-01-2003 Бетонные и железобетонные конструкции. Основные положения" (с изменениями N 1, N 2)

СП 64.13330.2017 "СНиП II-25-80 Деревянные конструкции"

СП 70.13330.2012 "СНиП 3.03.01-87 Несущие и ограждающие конструкции" (с изменениями N 1, N 3) (в ред. Изменения N 1, утв. Приказом Минстроя РФ от 26.12.2019 N 886/пр)

СП 119.13330.2012 "СНиП 32-01-95 Железные дороги колеи 1520 мм" (с изменением N 1)

СП 120.13330.2012 "СНиП 32-02-2003 Метрополитены" (с изменениями N 1, N 2)

СП 122.13330.2012 "СНиП 32-04-97 Тоннели железнодорожные и автодорожные" (с изменением N 1)

СП 128.13330.2016 "СНиП 2.03.06-85 Алюминиевые конструкции" (в ред. Изменения N 1, утв. Приказом Минстроя РФ от 26.12.2019 N 886/пр)

СП 268.1325800.2016 Транспортные сооружения в сейсмических районах. Правила проектирования

СП 269.1325800.2016 Транспортные сооружения в сейсмических районах. Правила уточнения исходной сейсмичности и сейсмического микрорайонирования

СП 270.1325800.2016 Транспортные сооружения в сейсмических районах. Правила оценки повреждений дорог при землетрясениях в отдаленных и труднодоступных районах

СП 286.1325800.2016 Объекты строительные повышенной ответственности. Правила детального сейсмического районирования (в ред. Изменения N 1, утв. Приказом Минстроя РФ от 26.12.2019 N 886/пр)

СП 296.1325800.2017 Здания и сооружения. Особые воздействия (в ред. Изменения N 1, утв. Приказом Минстроя РФ от 26.12.2019 N 886/пр)

СП 330.1325800.2017 Здания и сооружения в сейсмических районах. Правила проектирования инженерно-сейсмометрических станций (в ред. Изменения N 1, утв. Приказом Минстроя РФ от 26.12.2019 N 886/пр)

СП 358.1325800.2017 Сооружения гидротехнические. Правила проектирования и строительства в сейсмических районах (в ред. Изменения N 1, утв. Приказом Минстроя РФ от 26.12.2019 N 886/пр)

СП 369.1325800.2017 Платформы морские стационарные. Правила проектирования (в ред. Изменения N 1, утв. Приказом Минстроя РФ от 26.12.2019 N 886/пр)

СП 385.1325800.2018 Защита зданий и сооружений от прогрессирующего обрушения. Правила проектирования. Основные положения" (с изменением N 1) (в ред. Изменения N 1, утв. Приказом Минстроя РФ от 26.12.2019 N 886/пр)

СП 426.1325800.2018 Конструкции фасадные светопрозрачные зданий и сооружений. Правила проектирования (в ред. Изменения N 1, утв. Приказом Минстроя РФ от 26.12.2019 N 886/пр)

СП 442.1325800.2019 Здания и сооружения. Оценка класса сейсмостойкости (в ред. Изменения N 1, утв. Приказом Минстроя РФ от 26.12.2019 N 886/пр)

Примечание - При пользовании настоящим сводом правил целесообразно проверить действие ссылочных документов в информационной системе общего пользования - на официальном сайте федерального органа исполнительной власти в сфере стандартизации в сети Интернет или по ежегодному информационному указателю "Национальные стандарты", который опубликован по состоянию на 1 января текущего года, и по выпускам ежемесячного информационного указателя "Национальные стандарты" за текущий год. Если заменен ссылочный документ, на который дана недатированная ссылка, то рекомендуется использовать действующую версию этого документа с учетом всех внесенных в данную версию изменений. Если заменен ссылочный документ, на который дана датированная ссылка, то рекомендуется использовать версию этого документа с указанным выше годом утверждения (принятия). Если после утверждения настоящего свода правил в ссылочный документ, на который дана датированная ссылка, внесено изменение, затрагивающее положение на которое дана ссылка, то это положение рекомендуется применять без учета данного изменения. Если ссылочный документ отменен без замены, то положение, в котором дана ссылка на него, рекомендуется применять в части, не затрагивающей эту ссылку. Сведения о действии сводов правил целесообразно проверить в Федеральном информационном фонде стандартов.

3. Термины, определения и сокращения (в ред. Изменения N 1, утв. Приказом Минстроя РФ от 26.12.2019 N 886/пр)

В настоящем своде правил применены следующие термины с соответствующими определениями:

3.1. акселерограмма: Запись процесса изменения во времени ускорения колебаний.

3.2. активный разлом: Тектоническое нарушение с признаками постоянных или периодических перемещений бортов разлома в позднем плейстоцене - голоцене (за последние ~ 100 000 лет), величина (скорость) которых такова, что она представляет опасность для сооружений и требует специальных конструктивных и (или) компоновочных мероприятий для обеспечения их безопасности.

3.3. антисейсмический деформационный шов: Шов, разделяющий здание или сооружение на несколько элементов (объемов, отсеков), осадка, горизонтальные и вертикальные перемещения которых независимы друг от друга, что позволяет обеспечить сохранность этих элементов и здания (сооружения) в целом при сейсмических воздействиях.

3.4. антисейсмический пояс: Железобетонный пояс, обвязывающий каменные стены по периметру в одном или разных (ступенчатых) горизонтальных уровнях (обычно на уровне перекрытий), объединяющий стены в пространственную конструкцию, способствующую совместной работе стен и перекрытий при сейсмическом воздействии.

3.5. балл: Категория, представляющая собой единицу измерения силы землетрясения по макросейсмической шкале интенсивности.

Примечание - В настоящем своде правил используется макросейсмическая шкала MSK-64.

3.6. детальное сейсмическое районирование; ДСР: Метод сейсмического районирования, который применяют для получения информации о расчетных параметрах сейсмических воздействий для конкретных существующих и проектируемых сооружений, населенных пунктов и отдельных территорий (без учета влияния грунтовых и топографических условий).

3.7. динамический расчет во области: Определение параметров динамической реакции конструкции на сейсмическое воздействие, заданное в виде акселерограмм, путем численного интегрирования уравнений движения во времени.

3.8. живучесть строительной конструкции: Способность конструкции сохранять ограниченную работоспособность при запроектных аварийных воздействиях, не допуская полного обрушения.

3.9. интенсивность землетрясения: Оценка воздействия землетрясения в баллах макросейсмической шкалы, определяемая по описаниям разрушений и повреждений зданий и сооружений, природных объектов, грунта, движений тел, а также по наблюдениям и ощущениям людей.

3.10. каркас рамно-связевой: Пространственная конструктивная система в виде рамного каркаса и вертикальных диафрагм жесткости, в которой рамный каркас воспринимает и передает на основание в основном вертикальные нагрузки, а горизонтальные нагрузки воспринимают совместно вертикальные диафрагмы жесткости и каркас.

3.11. каркас рамный: Пространственная конструктивная система колонн и ригелей с жесткими узлами в соединениях, воспринимающая всю совокупность вертикальных и горизонтальных нагрузок.

3.12. каркас с ядрами жесткости (каркасно-ствольная система): Связевая, рамно-связевая или каркасно-стеновая конструктивная система, в которой каркас выполняется в виде обстройки ствола или ядер жесткости (вертикальных пространственных элементов жесткости замкнутой формы в плане).

3.13. каркас связевой: Пространственная конструктивная система, включающая безригельный или ригельный каркас с нежесткими или жесткими узлами соединений ригелей с колоннами и вертикальные диафрагмы жесткости; основные вертикальные нагрузки воспринимаются и передаются на основание колоннами каркаса, а горизонтальные нагрузки - вертикальными диафрагмами жесткости.

3.14. каркасно-стеновая конструктивная система: Пространственная конструктивная система в виде каркаса (безригельного или ригельного) и несущих стен, в которой стены воспринимают и передают основанию не менее 60% вертикальных нагрузок и не менее 80% горизонтальных нагрузок.

3.15. каркасные здания: Конструктивная система, в которой как вертикальным, так и нагрузкам в любом из горизонтальных направлений в основном противодействует пространственный каркас, а его сопротивление горизонтальным нагрузкам составляет более 65% общего сопротивления горизонтальным нагрузкам всей конструктивной системы.

3.16. класс сейсмостойкости здания или сооружения: Характеристика здания или сооружения, определяющая его сейсмостойкость, зависящая от расчетного сейсмического воздействия, на которое проектировалось здание или сооружение, и от категории его технического состояния на момент назначения класса сейсмостойкости.

3.17. конструктивная система: Совокупность взаимосвязанных элементов здания или сооружения, обеспечивающая его прочность, жесткость и устойчивость.

3.18. конструктивная схема: Конструктивная система здания или сооружения, классифицируемая по признакам состава и размещения ее основных несущих конструкций.

3.19. конструктивные системы каркасные: Системы, основными несущими конструкциями которых являются вертикальные колонны каркаса, на которые передается нагрузка от перекрытий (безригельных или ригельных).

Примечание - Прочность, устойчивость и пространственная жесткость каркасных зданий обеспечивается совместной работой перекрытий и вертикальных конструкций. В зависимости от сочетания вертикальных конструкций, используемых для обеспечения прочности, устойчивости и жесткости конструктивных систем, различают рамные, связевые и рамно-связевые каркасные системы.

3.20. коэффициент динамичности; КД: Отношение максимального по модулю относительного динамического перемещения одномерного осциллятора (линейно-упругой диссипативной системы с одной степенью свободы) к модулю статического перемещения. Относительные динамические перемещения - это перемещения осциллятора во времени относительно движущегося основания в ответ на сейсмическое воздействие, заданное в виде акселерограммы. Статическое перемещение - это перемещение осциллятора на неподвижном основании от действия статической силы инерции, равной произведению массы осциллятора на величину пикового ускорения грунта.

3.21. линейно-спектральный метод; ЛСМ: Метод линейного статического расчета на сейсмические воздействия, заданные в виде пиковых ускорений и коэффициентов динамичности. Максимальные сейсмические усилия и другие параметры динамической реакции конструкции определяют для каждой собственной формы колебаний с учетом соответствующего этой форме направления воздействия и коэффициента динамичности. Результирующие сейсмические усилия определяют по специальным правилам.

3.22. нормативная сейсмичность: Интенсивность сейсмических воздействий на площадке строительства в баллах шкалы MSK-64 по данным общего сейсмического районирования для заданного периода повторяемости.

3.23. общее сейсмическое районирование; ОСР: Метод сейсмического районирования, заключающийся в оценке нормативной сейсмичности районов на территории всей страны для нормативных периодов повторяемости для грунтов категории II по сейсмическим свойствам.

3.24. опасные направления сейсмического воздействия: Направления сейсмического воздействия (в виде тройки направляющих косинусов единичного вектора), обеспечивающие максимальную динамическую реакцию конструкции.

Примечание - Понятие применимо только в рамках ЛСМ, когда сейсмические нагрузки приводятся к собственным формам колебаний и прикладываются к конструкции в виде модальных статических сил и моментов. Для каждой формы колебаний рассчитывают свое опасное направление приложения модальной сейсмической нагрузки, обеспечивающее максимум динамической реакции при движении по этой форме.

3.25. перекрестно-стеновая конструктивная схема: Конструктивная схема с поперечными и продольными несущими стенами, на которые перекрытия опираются по контуру или по трем сторонам.

3.26. пластические деформации: Необратимые деформации, которые возникают при пластическом деформировании и остаются после полной разгрузки конструкции.

3.27. пластическое деформирование: Деформирование, происходящее при нагрузке, превышающей предельное значение для упругого деформирования.

Примечание - Явление нелинейного деформирования связано как с нелинейной зависимостью напряжений от деформаций, так и с поведением материала при разгрузке и последующем нагружении. При пластическом деформировании следует учитывать, что: 1) разгрузка происходит, как правило, по линейному закону, 2) после разгрузки исчезают упругие деформации и остаются необратимые пластические деформации, а в статически неопределимых системах - еще и остаточные напряжения, 3) предварительная пластическая деформация одного знака ухудшает сопротивляемость материала по отношению к пластической деформации обратного знака (эффект Баушингера).

3.28. поперечно-стеновая конструктивная схема: Конструктивная схема, в которой вертикальные нагрузки от перекрытий и ненесущих стен передаются в основном на поперечные несущие стены, а плиты перекрытия работают преимущественно по балочной схеме; горизонтальные нагрузки, действующие в направлениях поперечных стен, воспринимаются этими стенами; горизонтальные нагрузки, действующие перпендикулярно поперечным стенам, воспринимаются продольными диафрагмами жесткости, которыми могут служить продольные стены лестничных клеток, а также участки продольных наружных и внутренних стен.

3.29. прогрессирующее (лавинообразное) обрушение:

Последовательное (цепное) разрушение несущих строительных конструкций, приводящее к обрушению всего сооружения или его частей вследствие начального локального повреждения.

3.30. продольно-стеновая конструктивная схема: Конструктивная схема, в которой вертикальные нагрузки от перекрытий и ненесущих стен передаются в основном на продольные несущие стены, а плиты перекрытия работают преимущественно по балочной схеме; горизонтальные нагрузки, действующие в направлениях продольных стен, воспринимаются этими стенами; горизонтальные нагрузки, действующие перпендикулярно продольным стенам, воспринимаются поперечными диафрагмами жесткости, которыми могут служить поперечные стены лестничных клеток, а также участки поперечных наружных и внутренних стен.

3.31. расчетная динамическая модель; РДМ: Дискретная совокупность инерционных элементов (сосредоточенных масс и абсолютно твердых тел), связанных между собой внутренними упругими и неупругими связями.

Примечание - Степени свободы РДМ - минимальное количество независимых переменных, однозначно определяющих ее положение в пространстве. Колебательный процесс РДМ описывается обобщенными координатами - поступательными и угловыми перемещениями по направлениям степеней свободы.

3.32. расчетная сейсмичность: Значение интенсивности сейсмического воздействия в баллах шкалы MSK-64 на площадке строительства для заданного периода повторяемости с учетом локальных грунтовых условий и рельефа.

3.33. расчетные параметры сейсмических воздействий: Зависимости от времени ускорений, скоростей и перемещений сейсмических движений грунта на площадке строительства в трех взаимно ортогональных направлениях, амплитуды ускорений, скоростей и перемещений сейсмических движений грунта, длительность сейсмического воздействия, спектры коэффициентов динамичности или спектры ответа в ускорениях.

3.34. сейсмическая нагрузка: Инерционная нагрузка, действующая на массы РДМ. Инерционная нагрузка зависит от абсолютных ускорений масс РДМ.

3.35. сейсмический район: Район с установленными и возможными очагами землетрясений, вызывающими на площадке строительства сейсмические воздействия интенсивностью 6 и более баллов по шкале MSK-64.

3.36. сейсмическое воздействие: Движение грунта в основании здания или сооружения, вызванное распространением сейсмических волн во время землетрясения, обусловливающее движение самого здания или сооружения, его деформации и разрушение.

3.37. сейсмическое микрорайонирование; СМР: Комплекс инженерно-геологических и сейсмометрических работ, выполняемых для определения влияния локальных инженерно-геологических (грунтовых) условий и рельефа площадки (участка строительства, трассы, территории населенного пункта) на интенсивность и расчетные параметры сейсмических воздействий.

3.38. спектр коэффициентов динамичности; спектр КД: Зависимость коэффициентов динамичности от собственных частот (периодов) одномерных осцилляторов (см. 3.39).

Примечание - Спектр коэффициентов динамичности равен спектру ответа в ускорениях, нормированному на величину пикового ускорения грунта. Параметром спектра КД является коэффициент вязкого демпфирования одномерного осциллятора.

3.39. спектр ответа в ускорениях: Зависимость спектральных ускорений от собственных частот (периодов) одномерных осцилляторов (линейно-упругих диссипативных систем с одной степенью свободы).

Примечание - Спектральное ускорение - максимальное по модулю абсолютное ускорение одномерного осциллятора при воздействии, заданном акселерограммой. Спектр ответа в ускорениях, нормированный на величину пикового ускорения грунта, равен спектру коэффициентов динамичности. Параметром спектра ответа в ускорениях является коэффициент затухания одномерного осциллятора (обычно равен 0,05 в долях от критического).

3.40. стеновые конструктивные системы: Пространственные конструктивные системы из несущих стен, объединенных для совместной работы горизонтальными дисками перекрытий, воспринимающих всю совокупность вертикальных и горизонтальных нагрузок.

Примечание - В зависимости от схемы расположения несущих стен в плане здания и характера опирания на них перекрытий различают перекрестно-стеновые, поперечно-стеновые и продольно-стеновые конструктивные схемы.

3.41. уровень сейсмического воздействия: Сейсмическое воздействие, заданное нормативной интенсивностью в баллах по картам ОСР.

3.42. устройства сейсмической защиты: Устройства, специально встроенные в здания и сооружения для снижения динамической реакции на сейсмическое воздействие (сейсмоизолирующие элементы, динамические гасители колебаний, вязкоупругие демпферы и т.д.).

3.43. фазовая скорость волны (скорость волны): Скорость перемещения волновой поверхности (фронта волны) в пространстве.

Примечание - Волновая поверхность или фронт волны - геометрическое место точек среды, в которых в рассматриваемый момент времени фаза волны имеет одно и то же значение.

3.44. эффективная модальная масса: Доля массы сооружения, участвующей в динамической реакции по определенной форме колебаний при заданном направлении сейсмического воздействия.

Сокращения

В настоящем своде правил применены следующие сокращения:

ВВ - взрывчатые вещества;

ВОЗ - возможные очаги землетрясений;

ВСНФ - водоподпорное сооружение в составе напорного фронта;

ГТС - гидротехническое сооружение;

ГЭС - гидроэлектростанция;

КЭ-модель - конечно-элементная модель;

МГН - маломобильные группы населения;

МКЭ - метод конечных элементов;

МНГС - морское нефтегазопромысловое сооружение;

МРЗ - максимальное расчетное землетрясение;

МЧС - Министерство Российской Федерации по делам гражданской обороны, чрезвычайным ситуациям и ликвидации последствий стихийных бедствий;

НФ - навесные фасады;

ПЗ - проектное землетрясение;

СР - сейсмическое районирование.

4. Основные положения

4.1а. Проектирование зданий и сооружений выполняется с учетом сейсмических воздействий, определяемых данными ОСР-2016, комплект которых приведен в приложении А, с указанием сейсмической интенсивности в баллах шкалы MSK-64. (в ред. Изменения N 1, утв. Приказом Минстроя РФ от 26.12.2019 N 886/пр)

4.1. При проектировании гражданских и промышленных зданий и сооружений в указанных районах рекомендуется: (в ред. Изменения N 1, утв. Приказом Минстроя РФ от 26.12.2019 N 886/пр)

- применять, как правило, материалы, конструкции и конструктивные схемы, обеспечивающие снижение сейсмических нагрузок; (в ред. Изменения N 1, утв. Приказом Минстроя РФ от 26.12.2019 N 886/пр)

- принимать симметричные конструктивные и объемно-планировочные решения с равномерным распределением масс и жесткостей конструкций в плане и по высоте; (в ред. Изменения N 1, утв. Приказом Минстроя РФ от 26.12.2019 N 886/пр)

- располагать стыки элементов вне зоны максимальных усилий, обеспечивать монолитность, однородность и непрерывность конструкций;

- предусматривать условия, облегчающие развитие в элементах конструкций и их соединениях пластических деформаций, при условии обеспечения устойчивости строительных конструкций, зданий и сооружений в целом; (в ред. Изменения N 1, утв. Приказом Минстроя РФ от 26.12.2019 N 886/пр)

- обеспечивать динамическую симметрию ("чистоту") форм собственных колебаний по отдельным направлениям, когда перемещения по первым формам происходят в ортогональных плоскостях и не накладываются друг на друга, что минимизирует сейсмическую нагрузку. (в ред. Изменения N 1, утв. Приказом Минстроя РФ от 26.12.2019 N 886/пр)

При назначении зон пластических деформаций и локальных разрушений следует принимать конструктивные решения, обеспечивающие зданиям или сооружениям живучесть и устойчивость к прогрессирующему обрушению при сейсмических воздействиях. Требования по проектированию зданий и сооружений в целях обеспечения их защиты от прогрессирующего обрушения следует принимать согласно СП 385.1325800. (в ред. Изменения N 1, утв. Приказом Минстроя РФ от 26.12.2019 N 886/пр)

Не следует применять конструктивные решения, допускающие обрушение сооружения в случае разрушения или недопустимого деформирования одного несущего элемента.

Примечания - Исключены. (в ред. Изменения N 1, утв. Приказом Минстроя РФ от 26.12.2019 N 886/пр)

4.2. Проектирование зданий высотой более 75 м должно осуществляться в соответствии с требованиями действующих нормативных документов. (в ред. Изменения N 1, утв. Приказом Минстроя РФ от 26.12.2019 N 886/пр)

4.3.-4.6. исключены. (в ред. Изменения N 1, утв. Приказом Минстроя РФ от 26.12.2019 N 886/пр)

4.7. Для снижения динамической реакции здания или сооружения могут применяться устройства сейсмической защиты, подходящие для выбранного конструктивного решения, назначения сооружения (жилые и общественные здания, архитектурные и исторические памятники, промышленные сооружения и др.), вида строительства (новое строительство, реконструкция, усиление), сейсмологических и грунтовых условий площадки. Устройства сейсмической защиты следует обязательно учитывать как составные элементы РДМ. Проектирование конструкции с устройствами сейсмической защиты должно иметь расчетное обоснование в виде сравнительного анализа результатов двух динамических расчетов во области: с устройствами сейсмической защиты и без них. Параметры динамического расчета следует принимать такими же, как в 5.14. (в ред. Изменения N 1, утв. Приказом Минстроя РФ от 26.12.2019 N 886/пр)

4.7а. В целях своевременного осуществления превентивных мероприятий по недопущению аварийного состояния объектов позиции 1 таблицы 5.3 в проектах следует предусматривать установку автоматизированных систем (станций) мониторинга технического состояния этих объектов в соответствии с ГОСТ 31937, ГОСТ 32019, ГОСТ 34081. (в ред. Изменения N 1, утв. Приказом Минстроя РФ от 26.12.2019 N 886/пр)

4.8. Для получения достоверной информации о работе конструкций и колебаниях грунтов, прилегающих к зданиям и сооружениям, при интенсивных землетрясениях в проектах зданий и сооружений, указанных в позиции 1 таблицы 5.3, следует предусматривать установку инженерно-сейсмометрических станций наблюдения за динамическим поведением конструкций и прилегающих грунтов в соответствии с СП 330.1325800.

Допускается объединение инженерно-сейсмометрических станций с автоматизированными системами (станциями) мониторинга технического состояния в единые измерительные комплексы. (в ред. Изменения N 1, утв. Приказом Минстроя РФ от 26.12.2019 N 886/пр)

5. Сейсмические воздействия и расчетные сейсмические нагрузки (в ред. Изменения N 1, утв. Приказом Минстроя РФ от 26.12.2019 N 886/пр)

5.1. При проектировании гражданских и промышленных зданий и сооружений применяется одноуровневое сейсмическое воздействие.

5.2. Уровень сейсмического воздействия определяется по данным ОСР-2016, приведенным в приложении А. Характеристиками уровня сейсмического воздействия являются вероятность реализации в течение 50 лет (или средний период повторяемости) и нормативная сейсмичность в баллах по одной из карт комплекта ОСР-2016.

5.3. Карта ОСР-2016-A определяет нормативную сейсмичность с 10% вероятностью превышения или 90% вероятностью непревышения в течение 50 лет. Средний период повторяемости землетрясений данной интенсивности - 500 лет.

Карта ОСР-2016-B определяет нормативную сейсмичность с 5% вероятностью превышения или 95% вероятностью непревышения в течение 50 лет. Средний период повторяемости землетрясений данной интенсивности - 1000 лет.

Карта ОСР-2016-C определяет нормативную сейсмичность с 1% вероятностью превышения или 99% вероятностью непревышения в течение 50 лет. Средний период повторяемости землетрясений данной интенсивности - 5000 лет.

5.4. Расчетной характеристикой уровня воздействия являются пиковые сейсмические ускорения, соответствующие баллам по шкале MSK-64: 7 баллов - = 0,1g, 8 баллов - = 0,2g и 9 баллов - = 0,4g на средних грунтах (категория грунта по сейсмическим свойствам II таблицы 5.1).

Таблица 5.1

Расчетная сейсмичность площадки строительства

Категория грунта по сейсмическим свойствам Грунты Скорость поперечных волн , м/с Нормативная сейсмичность района расположения площадки, баллы
6 7 8 9 > 9
Расчетная сейсмичность площадки
I Скальные грунты (в том числе многолетнемерзлые и многолетнемерзлые оттаявшие) невыветрелые и слабовыветрелые; крупнообломочные грунты плотные, маловлажные из магматических пород, содержащие до 30% песчано-глинистого заполнителя;
выветрелые и сильновыветрелые скальные и дисперсные твердомерзлые (многолетнемерзлые) грунты при температуре минус 2 °C и ниже при строительстве и эксплуатации с сохранением грунтов основания в мерзлом состоянии
800 5 6 7 8 9
II Скальные грунты выветрелые и сильновыветрелые, в том числе многолетнемерзлые, кроме отнесенных к категории I; крупнообломочные грунты, за исключением отнесенных к категории I, пески гравелистые, крупные и средней крупности плотные и средней плотности маловлажные и влажные; пески мелкие и пылеватые плотные и средней плотности маловлажные; глинистые грунты с показателем консистенции 0,5 при коэффициенте пористости e < 0,9 для глин и суглинков и e < 0,7 - для супесей; многолетнемерзлые нескальные грунты пластичномерзлые или сыпучемерзлые, а также твердомерзлые при температуре выше минус 2 °C при строительстве и эксплуатации с сохранением грунтов основания в мерзлом состоянии 800 > 300 6 7 8 9 > 9
III Пески рыхлые независимо от степени влажности и крупности; пески гравелистые, крупные и средней крупности, плотные и средней плотности водонасыщенные; пески мелкие и пылеватые плотные и средней плотности влажные и водонасыщенные; глинистые грунты с показателем консистенции > 0,5; глинистые грунты с показателем консистенции 0,5 при коэффициенте пористости e 0,9 - для глин и суглинков и e 0,7 - для супесей; многолетнемерзлые дисперсные грунты при строительстве и эксплуатации с учетом оттаивания грунтов основания 300 > 100 7 8 9 > 9 > 9
IV Наиболее динамически неустойчивые разновидности песчано-глинистых грунтов, указанные в категории III, склонные к разжижению при сейсмических воздействиях < 100 7 <*> 8 <*> 9 <*> > 9 <*> > 9 <*>

<*> Грунты с большей вероятностью склонны к разжижению и потере несущей способности при землетрясениях интенсивностью более 6 баллов.

Примечания
1. При отсутствии данных о консистенции, влажности, скорости глинистые и песчаные грунты при положении уровня грунтовых вод выше 5 м относятся к категории III или IV по сейсмическим свойствам.
2. При прогнозировании подъема уровня грунтовых вод и обводнения грунтов (в том числе просадочных) категорию грунтов следует определять в зависимости от свойств грунта в замоченном состоянии.
3. При строительстве на многолетнемерзлых грунтах их следует рассматривать по фактическому состоянию после оттаивания.
4. Если по результатам инженерных изысканий на площадке, расположенной в районе с нормативной сейсмичностью 6 баллов по карте ОСР-2016, грунты по их описанию соответствуют грунтам категории III или IV по сейсмическим свойствам, расчетную сейсмичность площадки следует определять по результатам СМР, выполняемого в составе инженерных изысканий с учетом требований 5.7. На площадках в районе с нормативной сейсмичностью 6 баллов, сложенных грунтами категорий по сейсмическим свойствам I или II, установленным по результатам инженерных изысканий, выполнение СМР не требуется, если это не предусмотрено иными нормативными документами.
5. Скорость является средневзвешенным значением для 30-метровой толщи, считая от планировочной отметки. При отсутствии данных о значении и многослойном строении грунтовой толщи, установленных по результатам изысканий, грунт относят к более неблагоприятной категории, если в пределах верхней 30-метровой толщи (считая от планировочной отметки) слои, относящиеся по описанию к этой категории, составляют 50% и более ее мощности с учетом глубины залегания кровли грунтов категории I (5 м и более при глубине кровли скального основания 10 м; 10 м и более при глубине кровли скального основания 20 м; 15 м и более при глубине кровли скального основания 30 м и более) или имеют суммарную мощность более 10 м и залегают выше слоев, относящихся по описанию к более благоприятной категории.

5.5. Карта ОСР-2016-A предназначена для оценки нормативной сейсмичности при проектировании объектов, приведенных в позициях 3 и 4 таблицы 5.3. Технический заказчик вправе принять для проектирования объектов, приведенных в позиции 3 таблицы 5.3, карту ОСР-2016-B при соответствующем обосновании.

Карта ОСР-2016-B предназначена для оценки нормативной сейсмичности при проектировании объектов, приведенных в позициях 1 и 2 таблицы 5.3.

5.6. Категория грунтов по сейсмическим свойствам на площадке строительства устанавливается по таблице 5.1 исходя из результатов инженерных изысканий. Категория грунтов на площадке строительства может быть пересмотрена с учетом специфических условий строительства, например, если предусмотрено локальное укрепление грунтов.

5.7. Для уточнения расчетной сейсмичности и определения параметров расчетных сейсмических воздействий на площадках строительства объектов, перечисленных в позиции 1 таблицы 5.3, большепролетных зданий и сооружений, высотных сооружений, перечисленных в позиции 2 таблицы 5.3, а также для объектов с включенными в состав РДМ нелинейными элементами (например, устройствами сейсмической защиты, включающимися и выключающимися связями, нелинейным грунтовым основанием и т.д.) при инженерно-геологических изысканиях помимо СМР дополнительно проводят ДСР согласно СП 286.1325800.

Для объектов, перечисленных в позициях 2 (за исключением большепролетных зданий и сооружений, высотных сооружений), 3 таблицы 5.3, уточнение расчетной сейсмичности площадки строительства осуществляется по результатам СМР. Для объектов, перечисленных в позиции 4 таблицы 5.3, расчетная сейсмичность площадки строительства устанавливается по описательным характеристикам таблицы 5.1.

5.8. Площадки строительства, в пределах которых отмечены активные разломы, участки с крутизной склонов более 15°, с оползнями, обвалами, осыпями, карстом, селями, участки, сложенные грунтами категорий III и IV, являются неблагоприятными в сейсмическом отношении.

При необходимости строительства зданий и сооружений на таких площадках следует принимать дополнительные меры по укреплению их оснований, усилению конструкций и инженерной защите территории от опасных геологических процессов.

5.9. Расчет конструкций и оснований зданий и сооружений, проектируемых для строительства в сейсмических районах, должен выполняться на основные и особые сочетания нагрузок с учетом сейсмических воздействий. При расчете зданий и сооружений на особое сочетание нагрузок значения расчетных нагрузок, в соответствии с СП 20.13330, следует умножать на коэффициенты сочетаний, принимаемые по таблице 5.2.

Таблица 5.2

Коэффициенты сочетаний нагрузок

Вид нагрузок Значение коэффициента
Постоянные 0,9
Временные длительные 0,8
Кратковременные 0,5

5.10. Расчеты зданий и сооружений на особые сочетания нагрузок с учетом сейсмических воздействий выполняются на один уровень сейсмических воздействий, определяемый в соответствии с 5.5, с учетом назначения проектируемого здания или сооружения и применяемых методов расчета. Значение коэффициента ответственности принимается максимальным из указанных в ГОСТ 27751 и в таблице 5.3.

Таблица 5.3

Классификация объектов по назначению и значения коэффициентов ответственности для расчетов на сейсмостойкость

Назначение здания или сооружения Коэффициент ответственности
Проектный расчет Проверочный расчет
1. Объекты, перечисленные в [1, статья 48.1, часть 1, пункты 1) - 6), 9), 10.1), 11)], за исключением транспортных сооружений и ГТС;
- сооружения с пролетами более 100 м;
объекты жизнеобеспечения городов и населенных пунктов;
- монументальные здания и другие сооружения; правительственные здания повышенной ответственности;
- жилые, общественные и административные здания высотой более 200 м
1,2 1,4
2. Здания и сооружения:
- объекты, указанные в [1, статья 48.1, часть 1, пункты 7), 8) и в [1, статья 48.1, часть 2, пункты 3), 4)];
- объекты, которые должны сохранять свою работоспособность при землетрясении и при ликвидации его последствий (объекты телекоммуникационной инфраструктуры, служб МЧС и полиции, энерго-, водо- и газоснабжения; объекты, аварии на которых могут привести к выбросу опасных для населения веществ; медицинские организации, имеющие оборудование для применения в аварийных ситуациях);
- здания крупных государственных и частных музеев, библиотек, хранилищ культурных ценностей, государственных архивов;
- объекты историко-культурного наследия;
- капитальные объекты развлекательной инфраструктуры, учреждения здравоохранения и торговые предприятия с массовым нахождением людей;
- сооружения с пролетом более 60 м;
- общественные и административные здания многоэтажные и повышенной этажности;
- жилые дома многоэтажные и повышенной этажности; мачты и башни сооружений связи и телерадиовещания высотой более 100 м, не вошедшие в [1, статья 48.1, часть 1, пункт 3)];
- трубы высотой более 100 м;
- здания дошкольных образовательных организаций, общеобразовательных организаций, медицинских организаций, лечебных учреждений, родильных домов, интернатов;
- другие здания и сооружения, разрушения которых могут привести к тяжелым экономическим, социальным и экологическим последствиям
1,1 1,3
3. Здания и сооружения, не указанные в позициях 1 и 2 1,0 1
4. Здания и сооружения: временного (сезонного) назначения, а также здания и сооружения вспомогательного применения, в том числе связанные с осуществлением строительства или реконструкции здания или сооружения либо расположенные на земельных участках, предоставленных для индивидуального жилищного строительства 0,8 -
Примечания
1. Технический заказчик самостоятельно задает назначение сооружения, следуя указаниям нормативных документов.
2. Идентификация зданий и сооружений по принадлежности к опасным производственным объектам - в соответствии с [2].

При расчете на сейсмические воздействия не учитываются:

- температурные климатические воздействия;

- ветровые нагрузки;

- горизонтальные нагрузки от масс на гибких подвесках;

- динамические нагрузки от оборудования, в том числе возникающие в пуско-остановочном, переходном и испытательном режимах;

- динамические нагрузки от подвижного подъемно-транспортного оборудования (погрузчиков, электрокаров, кранов-штабелеров, тельферов, мостовых и подвесных кранов с весами транспортируемых грузов).

При определении расчетных вертикальной и горизонтальной сейсмических нагрузок от кранов следует учитывать полную массу крана (моста, тележки и т.д.) с массой груза, равной грузоподъемности крана с коэффициентом 0,3. Расчетную горизонтальную сейсмическую нагрузку от веса мостов и тележек кранов следует прикладывать в направлении, перпендикулярном оси подкрановых балок. Снижение крановых нагрузок, предусмотренное СП 20.13330, при этом не учитывают.

При расчете на сейсмические воздействия учитываются нагрузки, обусловленные деформациями основания, сопровождающимися коренным изменением структуры грунта (например, при замачивании просадочных грунтов) или его оседанием в районах горных выработок и в карстовых районах.

При расчете на сейсмические воздействия не следует заменять инерционные элементы конструкции эквивалентными статическими нагрузками.

Таблица 5.4

Коэффициент, учитывающий способность зданий и сооружений к неупругим деформациям

Тип здания или сооружения Значения
1. Здания и сооружения, в конструкциях которых повреждения или неупругие деформации не допускаются 1
2. Здания и сооружения, в конструкциях которых могут быть допущены остаточные деформации и повреждения, затрудняющие нормальную эксплуатацию, при обеспечении безопасности людей и сохранности оборудования, возводимые:  
- из деревянных конструкций 0,15
- со стальным каркасом без вертикальных диафрагм или связей 0,25
- то же, с диафрагмами или связями 0,22
- со стенами из железобетонных крупнопанельных или монолитных конструкций 0,25
- из железобетонных объемно-блочных и панельно-блочных конструкций 0,3
- с железобетонным каркасом без вертикальных диафрагм или связей 0,35
- то же, с заполнением из кирпичной или каменной кладки 0,4
- то же, с диафрагмами или связями 0,3
- из кирпичной или каменной кладки 0,4
3. Здания и сооружения, в конструкциях которых могут быть допущены значительные остаточные деформации, трещины, повреждения отдельных элементов, их смещения, временно приостанавливающие нормальную эксплуатацию при наличии мероприятий, обеспечивающих безопасность людей (объекты пониженного уровня ответственности) 0,12
Примечания
1. При выполнении расчета деформаций конструкций при сейсмическом воздействии с применением ЛСМ коэффициент следует принимать равным 1,0.
2. При проектировании конкретного сооружения значение коэффициента допускается уточнять, применяя нелинейные методы расчета с учетом реальной работы материала элементов конструкции.

5.11. При расчете зданий и сооружений следует использовать пространственную РДМ.

Пространственная РДМ конструкции - дискретная трехмерная модель со множеством степеней свободы. По направлениям степеней свободы задаются обобщенные координаты, описывающие поступательные и угловые перемещения РДМ и однозначно определяющие ее положение в пространстве (например, как на рисунке 5.1).

Рисунок 5.1. Пространственная РДМ

Движение РДМ при сейсмическом воздействии описывается относительными обобщенными координатами, то есть заданными в подвижной системе координат (оси на рисунке 5.1). При относительном движении на массы РДМ действуют инерционные сейсмические силы и моменты.

Пространственная РДМ обычно моделируется с применением специализированных расчетных комплексов в виде КЭ-модели. В этом случае обобщенные координаты совпадают с глобальными перемещениями в узлах КЭ-модели. На рисунке 5.1 показан наиболее общий случай задания степеней свободы в узле РДМ в виде трех поступательных и трех угловых перемещений.

При расчете ЛСМ сейсмическую нагрузку определяют для каждой из учитываемых собственных форм колебаний. По значениям сейсмической нагрузки, решая статическую задачу, рассчитывают другие параметры динамической реакции (перемещения, деформации, внутренние силовые факторы, напряжения), которые не зависят от времени.

При динамическом расчете во области параметры динамической реакции определяются путем интегрирования дифференциальных уравнений движения и зависят от времени.

Консольную модель (рисунок 5.2) можно рассматривать как вырожденный частный случай пространственной РДМ, удобный для иллюстрации методов динамики сооружений, в том числе ЛСМ. Для проектирования современных зданий и сооружений консольная модель, как правило, не применяется.

Рисунок 5.2. Консольная РДМ

5.12. Для зданий и сооружений, указанных в позиции 1, для большепролетных зданий и сооружений, высотных сооружений, указанных в позиции 2 таблицы 5.3, необходимо последовательно выполнять следующие расчеты:

а) проектный расчет с применением ЛСМ для получения данных для проектирования конструкции;

б) проверочный расчет в виде нелинейного динамического расчета во области.

Расчеты выполняются на один уровень воздействия, принимая коэффициенты ответственности в зависимости от вида расчета и классификации объекта по назначению согласно таблице 5.3.

Для зданий и сооружений, указанных в позициях 2 (за исключением большепролетных зданий и сооружений, высотных сооружений), 3 и 4 таблицы 5.3, допускается проводить только проектный расчет по перечислению а) с применением ЛСМ.

Для зданий и сооружений с включенными в состав РДМ нелинейными элементами (устройствами сейсмической защиты, включающимися и выключающимися связями, частью нелинейного грунтового основания и т.д.) необходимо помимо проектного расчета по перечислению а) провести проверочный расчет по перечислению б) для оценки общей устойчивости здания или сооружения, параметров нелинейной динамической реакции, эффективности устройств сейсмической защиты.

5.13. Целью проектного расчета по перечислению а) 5.12 является уточнение проектных конструктивных форм и сечений несущих конструкций.

При выполнении проектного расчета принимают линейно-упругую модель деформирования несущих конструкций РДМ с учетом поправки на неупругие деформации, определяемые коэффициентом по таблице 5.4, и с учетом коэффициента ответственности по таблице 5.3 в зависимости от назначения здания или сооружения.

Проектный расчет проводят с применением ЛСМ в соответствии с указаниями 5.19 и 5.20. Для зданий и сооружений, перечисленных в позиции 1 таблицы 5.3, для большепролетных зданий и сооружений, высотных сооружений по позиции 2 таблицы 5.3, а также для зданий и сооружений с включенными в состав РДМ нелинейными элементами (устройствами сейсмической защиты, включающимися и выключающимися связями, частью нелинейного грунтового основания и т.д.) диаграмма КД строится по набору акселерограмм, полученных в ходе ДСР (см. 5.7). Диаграмма КД является огибающей графиков коэффициентов динамичности, каждый из которых построен по одной акселерограмме из набора. Для зданий и сооружений, перечисленных в позициях 2 (за исключением большепролетных зданий и сооружений, высотных сооружений), 3 и 4 таблицы 5.3, диаграмма КД приведена в 5.21.

5.14. Целью проверочного расчета по перечислению б) 5.12 является недопущение обрушения здания или сооружения.

Проверочный расчет выполняется в виде нелинейного динамического расчета во временной области на РДМ, полученной в результате проектного расчета по перечислению а) 5.12. При выполнении проверочного расчета принимается упруго-пластическая модель деформирования несущих конструкций РДМ, диаграммы нелинейного деформирования должны соответствовать требованиям нормативных документов. При расчете гибких, податливых, большепролетных конструкций расчет проводится с учетом геометрической нелинейности; при наличии в РДМ односторонних связей - с учетом конструктивной нелинейности.

Нагрузки задаются во области в виде набора трехмерных акселерограмм, полученных в результате ДСР (см. 5.7).

Коэффициент не учитывают. Коэффициент ответственности принимают по таблице 5.3 для проверочного расчета.

5.15. Параметр затухания (при отсутствии других научно или экспериментально обоснованных значений) следует принимать в долях от критического не более чем: 0,025 - для стальных сооружений и стальных элементов сооружений; 0,05 - для бетонных и железобетонных сооружений и бетонных и железобетонных элементов сооружений; 0,15 - для сооружений из грунтовых материалов; 0,08 - для скальных пород оснований; 0,12 - для полускальных и нескальных грунтов оснований.

5.16 Расчет зданий и сооружений с учетом сейсмического воздействия, как правило, выполняют по предельным состояниям первой группы. В случаях, обоснованных технологическими требованиями, допускается выполнять расчет по предельным состояниям второй группы.

5.17 Сейсмические воздействия могут иметь любое направление в пространстве.

При расчете зданий и сооружений ЛСМ следует учитывать наиболее опасные направления сейсмических воздействий для каждой из учитываемых собственных форм колебаний.

Для зданий и сооружений простой геометрической формы с первой и второй формами собственных колебаний в направлении их продольной и поперечной осей при малых значениях перемещений в вертикальном направлении опасными являются горизонтальные направления сейсмических воздействий по этим же осям зданий.

При расчете по акселерограммам во области согласно 5.14 направления сейсмического воздействия носят случайный характер и определяются аналоговыми или синтезированными акселерограммами, характеризующими расчетное сейсмическое воздействие.

5.18. Вертикальное направление сейсмического воздействия совместно с горизонтальными направлениями обязательно определяет опасное направление при расчете:

- горизонтальных и наклонных консольных конструкций;

- большепролетных рам, арок, ферм, пространственных покрытий.

5.19. Расчетная сейсмическая нагрузка для здания и сооружения определяется по формулам:

, (5.1)
, (5.2)

где:

- расчетное значение сейсмической силы;

- коэффициент надежности по ответственности рассчитываемого здания и сооружения, определяемый по таблице 5.3;

- коэффициент, учитывающий способность зданий и сооружений к неупругому деформированию, принимается по таблице 5.4;

- значение сейсмической силы для i-й формы собственных колебаний здания в k-м узле (k = 1, ..., n) РДМ (см. рисунок 5.1) в направлении j-й оси (j = 1, 2, 3) при l-й ориентации воздействия;

- расчетное значение сейсмического момента;

- значение сейсмического момента для i-й формы собственных колебаний здания в k-м узле (k = 1, ..., n) РДМ (см. рисунок 5.1) (при шести степенях свободы узлов) относительно j-й оси (j = 1, 2, 3) при l-й ориентации воздействия, определяемого в предположении упругого деформирования конструкций.

Для консольной модели () - поэтажные сейсмические силы, где k = 1, ..., n, n - число уровней (этажей) РДМ (см. рисунок 5.2). При консольной РДМ рассматриваются колебания в плоскости, и поэтажные сейсмические силы определяются в направлении горизонтальной оси, по которой задается воздействие. Индексы направления оси для определения силы - j и направления воздействия - l совпадают, поэтому и .

5.20. Сейсмическая нагрузка для здания и сооружения при диагональной (несогласованной) матрице масс, сосредоточенных в узлах РДМ (см. рисунок 5.1), и при упругом деформировании конструкций определяется по формулам:

, (5.3)
, (5.4)

где:

g - ускорение силы тяжести;

- вес k-го узла РДМ, - его масса;

- момент инерции массы k-го узла РДМ относительно j-й оси (j = 1, 2, 3);

A - коэффициент, значения которого следует принимать равными 1, 2 и 4 м/с2 для расчетной сейсмичности 7, 8 и 9 баллов соответственно;

- КД для i-й формы собственных колебаний здания и сооружения; значения КД следует принимать не меньше, чем по 5.21;

- коэффициент, учитывающий способность зданий и сооружений к рассеиванию энергии, принимаемый по таблице 5.5;

и - коэффициенты пространственных форм колебаний, учитывающие приведение сейсмического воздействия с l-й ориентацией к k-му узлу РДМ для i-й формы собственных колебаний здания и сооружения в направлении и относительно j-й оси (j = 1, 2, 3).

Примечание - Формулы (5.1), (5.2) и (5.3), (5.4) верны только для несогласованной диагональной матрицы масс РДМ. В большинстве вычислительных комплексов применяют более общие выражения в векторно-матричной форме.

Таблица 5.5

Коэффициент, учитывающий способность зданий и сооружений к рассеиванию энергии

Характеристика зданий и сооружений
1. Высокие сооружения небольших размеров в плане (башни, мачты, дымовые трубы, отдельно стоящие шахты лифтов и т.п.) и протяженные сооружения с точечным опиранием на основание (металлические мосты, надземные трубопроводы, акведуки, ЛЭП и т.п.) 1,5
2. Каркасные бессвязевые здания, стеновое заполнение которых не оказывает влияния на их деформируемость 1,3
3. Подземные сооружения 0,7
4. Здания и сооружения, не указанные в позициях 1 - 3 настоящей таблицы, кроме ГТС 1

5.21. При отсутствии данных ДСР площадки строительства для зданий и сооружений, указанных в позициях 2 (за исключением большепролетных зданий и сооружений, высотных сооружений), 3 и 4 таблицы 5.3, на стадии проектирования по 5.13 допускается определять значения коэффициента динамичности в зависимости от расчетного периода собственных колебаний здания для i-й формы по формулам (5.5) и (5.6) или по рисунку 5.3.

Рисунок 5. Коэффициенты динамичности

Для грунтов категорий I и II по сейсмическим свойствам (см. рисунок 5.3) при:

      (5.5)
     
      .

Для грунтов категории III по сейсмическим свойствам (см. рисунок 5.3) при:

    (5.6)
   
    .

5.22. Для зданий и сооружений, рассчитываемых по пространственной РДМ по рисунку 5.1 с шестью степенями свободы в узлах, коэффициенты форм колебаний определяются по следующим формулам:

, (5.7)
, (5.8)

где:

и - перемещения и углы поворота k-го узла РДМ по i-й форме собственных колебаний в направлении и относительно j-й оси (j = 1, 2, 3);

- коэффициенты приведения сейсмического воздействия с l-й ориентацией к i-й форме собственных колебаний РДМ.

5.23. Для зданий и сооружений, рассчитываемых по пространственной РДМ с шестью степенями свободы в узлах (при несогласованной диагональной матрице масс), при учете только поступательного движения массива грунтового основания для высоких скоростей распространения сейсмических волн (при 400 м/с), коэффициенты приведения воздействия к i-й форме колебаний с l-й ориентацией следует определять по формуле

, (5.9)

где (j = 1, 2, 3) - направляющие косинусы l-й ориентации вектора ускорения поступательного движения грунтового основания , удовлетворяющие условию

, (5.10)

При трех степенях свободы в узлах при (5.9) имеет вид

, (5.11)

Примечания

1. Для зданий и сооружений, указанных в позиции 1 таблицы 5.3, для большепролетных зданий и сооружений, высотных сооружений, указанных в позиции 2 таблицы 5.3, при значениях фазовых скоростей распространения сейсмических волн < 400 м/с необходимо учитывать волновой характер сейсмического воздействия.

2. При сейсмичности площадки 8 баллов и более, повышенной только в связи с наличием грунтов категории III, значения сейсмической нагрузки (5.1), (5.2) умножают на коэффициент 0,7, учитывающий нелинейное деформирование грунтов основания при сейсмических воздействиях.

5.24. Значения направляющих косинусов , определяющие наиболее опасные ориентации сейсмического воздействия (см. 5.23), для рассчитываемого здания или сооружения вычисляются исходя из реализации максимумов коэффициентов приведения (5.9) или (5.11) с учетом условия (5.10).

5.25. Для каждой учитываемой i-й формы собственных колебаний РДМ определяется своя опасная ориентация воздействия с направляющими косинусами , при которой реализуются максимумы всех параметров динамической реакции (силы и моменты, перемещения и углы поворотов и др.) по этой форме колебаний. Для других форм колебаний ориентация воздействия с направляющими косинусами не приводит к максимумам параметров динамической реакции. Динамическая реакция по этим формам колебаний тем больше, чем ближе по пространственному характеру они совпадают с i-й формой.

5.26. Для зданий, рассчитываемых по консольной РДМ (см. рисунок 5.2), коэффициенты форм колебаний при поступательном сейсмическом воздействии по одной горизонтальной оси без учета моментов инерции масс уровней (этажей) следует определять как частный случай формул (5.7), (5.9) при , и в виде

, (5.12)

где и - перемещения k-го и p-го уровня РДМ (этажей здания) по i-й форме собственных колебаний.

5.27. Результирующие значения параметров динамической реакции РДМ следует определять с учетом тех форм собственных колебаний, которые вносят максимальный вклад в динамическую реакцию РДМ. Должны быть учтены все формы собственных колебаний, для которых эффективная модальная масса превышает 5%. Минимальное число учитываемых в расчете форм собственных колебаний рекомендуется назначать так, чтобы сумма эффективных модальных масс составляла не менее 90% общей массы системы. В случае невозможности выполнения этого условия вклад отброшенных форм колебаний в динамическую реакцию РДМ можно учитывать приближенным способом.

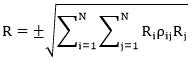
5.28. При использовании ЛСМ результирующие значения параметров динамической реакции РДМ (внутренних усилий, перемещений, напряжений и др.) R следует определять по формуле

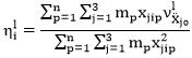
, (5.13)

где и - значения параметра динамической реакции, определенные по i-й и j-й формам собственных колебаний РДМ;

N - число учитываемых в расчете форм колебаний;

- коэффициенты корреляции, определяемые по формуле

,

здесь - отношение периодов собственных колебаний по i-й и j-й формам;

- коэффициент затухания в долях от критического (см. 5.15).

Коэффициенты корреляции допускается рассчитывать по иным научно обоснованным формулам.

Если периоды собственных колебаний РДМ по i-й и j-й формам () отличаются более чем на 10%, результирующие значения параметров динамической реакции допускается определять по формуле

, (5.14)

где - значение параметра динамической реакции по i-й форме собственных колебаний;

N - число учитываемых в расчете форм колебаний.

Знак результирующего параметра R назначается в зависимости от вклада положительных и отрицательных в формулы (5.13), (5.14). Для определения знака проводят расчет величины результирующих параметров только для положительных и только для отрицательных . Если превышает , то знак результирующего параметра R принимается отрицательным, в противном случае - положительным.

5.29. Консольные конструкции, масса которых по сравнению с массой здания незначительна (балконы, козырьки, консоли для навесных стен и их крепления), допускается рассчитывать на вертикальную сейсмическую нагрузку при значении .

5.30. Конструкции, возвышающиеся над зданием или сооружением и имеющие по сравнению с ним незначительные сечения и массу (парапеты, фронтоны и т.п.), а также крепления памятников, тяжелого оборудования, устанавливаемого на первом этаже, следует рассчитывать с учетом горизонтальной сейсмической нагрузки, вычисленной при значении .

5.31. Стены, панели, перегородки, соединения между отдельными конструкциями, а также крепления технологического оборудования следует рассчитывать на горизонтальную сейсмическую нагрузку без учета динамических эффектов, но с учетом фактических коэффициентов динамичности для несущих конструкций, значения которых должны приниматься не менее 2.

5.32. При расчете конструкций на прочность и устойчивость помимо коэффициентов условий работы, принимаемых в соответствии с другими действующими нормативными документами, следует вводить дополнительно коэффициенты условий работы, определяемые по таблицам 5.6 - 5.8. На эти коэффициенты умножают расчетное сопротивление соответствующего материала конструкций.

Таблица 5.6

Коэффициент условий работы конструкций

Характеристика конструкций Значения
При расчете на прочность:  
1. Стальные, деревянные, железобетонные с жесткой арматурой 1,3
2. Каменные, армокаменные и бетонные при расчете:
- на внецентренное сжатие
1,0
- на сдвиг и растяжение 0,8
3. Сварные соединения 1,0
4. Болтовые соединения 1,1
5. Железобетонные со стержневой и в мотках арматурой, кроме проверки на прочность наклонных сечений С учетом таблиц 5.7, 5.8
6. Железобетонные при проверке на прочность наклонных сечений 1,0
При расчетах на устойчивость:  
1. Стальные элементы с гибкостью свыше 100 1,0
2. Стальные элементы с гибкостью до 20 1,2
3. Стальные элементы гибкостью от 20 до 100 От 1,2 до 1,0 по интерполяции
Примечание - При расчете стальных и железобетонных конструкций, подлежащих эксплуатации в неотапливаемых помещениях или на открытом воздухе при расчетной температуре ниже минус 40 °C, следует принимать = 0,9, в случае проверки прочности наклонных сечений = 0,8.

Таблица 5.7

Коэффициент условий работы бетона

Вид бетона Значения коэффициента условий работы при классе бетона по прочности на сжатие
B75 B15 B30 B45
1. Тяжелый без рабочей арматуры в сжатых и сжатой зоне сжато-растянутых элементах - 1,2 1,1 1,0
Тяжелый с рабочей арматурой класса:        
А400 - 1,1 1,0 1,0
А500 (А500С, А500СП, Ав500П), А600, А800 - 1,2 1,1 1,0
2. Легкий 1,0 1,0 1,0 -
3. Ячеистый 1,0 0,9 - -

Таблица 5.8

Коэффициент условий работы арматуры при растяжении и при сжатии

Усилия Коэффициент условий работы Классы арматуры
А400 А500, (А500С, А500СП, Ав500П) А600 А800
А1000
В500
Растяжение 1,16 1,1 1,05 1,0 1,0
Сжатие 1,1 1,1 1,0 1,0 1,0

5.33. Дополнительные коэффициенты условий работы для стальных и железобетонных конструкций следует принимать согласно приложению Б СП 296.1325800.2017, дополнительные коэффициенты условий работы для большепролетных сооружений - согласно приложению В СП 296.1325800.2017.

6. Жилые, общественные, производственные здания и сооружения

6.1. Общие положения

6.1.1. Требования раздела 6 должны выполняться независимо от результатов расчета в соответствии с разделом 5.

Требования раздела 6 следует применять в зависимости от расчетной сейсмичности, выраженной в целочисленных баллах сейсмической шкалы интенсивности MSK-64. (в ред. Изменения N 1, утв. Приказом Минстроя РФ от 26.12.2019 N 886/пр)

6.1.2.-6.1.4. исключены. (в ред. Изменения N 1, утв. Приказом Минстроя РФ от 26.12.2019 N 886/пр)

6.1.2а. Конструктивные и объемно-планировочные решения зданий должны соответствовать следующим требованиям.

Все вертикальные несущие конструкции, воспринимающие горизонтальные нагрузки, такие как ядра жесткости стены-диафрагмы и (или) колонны, должны проектироваться непрерывными от фундамента до верха здания или до верха соответствующего уступа, если на разных отметках по высоте присутствуют уступы.

Горизонтальные жесткости и массы отдельных этажей должны оставаться постоянными или постепенно уменьшаться без резких изменений от основания к верху здания.

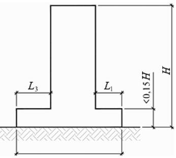
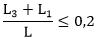
Конфигурации зданий в плане (в том числе размеры выступающих и западающих в плане участков) должны соответствовать соотношениям, указанным в таблице 6.1в и на рисунке 6.1.

В рамных каркасах с каменным заполнением следует по возможности избегать нерегулярности, асимметрии или неравномерности в расположении заполнений в плане. (в ред. Изменения N 1, утв. Приказом Минстроя РФ от 26.12.2019 N 886/пр)

6.1.5. исключен. (в ред. Изменения N 1, утв. Приказом Минстроя РФ от 26.12.2019 N 886/пр)

6.1.2б. Высота (этажность) зданий не должна превышать параметров, указанных в таблице 6.1а.

Таблица 6.1а

Предельные высоты (этажность) зданий в зависимости от конструктивного решения

Несущие конструкции здания Высота, м (число этажей), при расчетной сейсмичности площадки, баллы
7 8 9
1. Стальные каркасы Не более 200 м
2. Железобетонные каркасы:      
а) рамно-связевые и связевые (с железобетонными диафрагмами, ядрами жесткости или стальными связями) 57 (16) 43 (12) 34 (9)
б) рамные (с заполнением из штучной кладки, воспринимающей горизонтальные нагрузки, в том числе каркасно-каменной конструкции) 34 (9) 24 (7) 18 (5)
в) рамные (без заполнения и с заполнением, отделенным от каркаса) 24 (7) 18 (5) 11 (3)
г) безригельные (с железобетонными диафрагмами, ядрами жесткости или стальными связями) 57 (16) 43 (12) 34 (9)
д) безригельные (без диафрагм и ядер жесткости) 14 (4) 11 (3) 8 (2)
3. Железобетонные стены:      
а) монолитные 75 (24) 70 (20) 57 (16)
б) крупнопанельные 63 (18) 57 (16) 43 (12)
в) объемно-блочные и панельно-блочные 50 (16) 43 (14) 38 (12)
4. Стены из крупных бетонных или виброкирпичных блоков 29 (9) 23 (7) 17 (5)
5. Стены комплексной конструкции из керамических кирпичей и камней, бетонных блоков, природных камней правильной формы и мелких блоков, усиленные монолитными железобетонными включениями:      
а) 1-й категории 20 (6) 17 (5) 14 (4)
б) 2-й категории 17 (5) 14 (4) 11 (3)
6. Стены из керамических кирпичей и камней, бетонных блоков, природных камней правильной формы и мелких блоков, кроме указанных в позиции 5:      
а) 1-й категории 17 (5) 15 (4) 12 (3)
б) 2-й категории 14 (4) 11 (3) 8 (2)
7. Стены из мелких ячеистых и легкобетонных блоков 8 (2) 8 (2) 4 (1)
8. Деревянные бревенчатые, брусчатые и щитовые стены; деревянные рамные каркасы 15 (4) 13 (3) 8 (2)
Примечания
1. За предельную высоту здания принимается разность отметок среднего уровня спланированной поверхности земли, примыкающей к зданию, и верха наружных стен (без учета верхних технических и мансардных этажей) или низа стропильных конструкций. Подвальный этаж включают в число этажей в случае, если верх его перекрытия находится выше средней планировочной отметки земли не менее чем на 2 м.
2. В случаях, когда подземная часть здания конструктивно отделена от грунтовой засыпки или конструкций примыкающих участков подземной застройки, подземные этажи включают в этажность и предельную высоту здания.
3. Верхний этаж с массой покрытия менее 50% средней массы перекрытий здания в этажность и предельную высоту, определяемые по настоящей таблице, не включают.
4. На строительных площадках с расчетной сейсмичностью 8 и более баллов высота зданий общеобразовательных организаций, медицинских организаций и дошкольных образовательных организаций (детских садов и яслей) ограничивается тремя этажами.
5. При разработке проектной документации в качестве обоснования предельной высоты (этажности) для конкретных конструктивных решений и типов зданий, указанных в позициях 3, 8 настоящей таблицы, должны быть приведены результаты расчетов с учетом фактической работы конструкций и стыков их соединений, результаты статических стыков и динамических испытаний натурных объектов (фрагментов).
6. В случае если по функциональным требованиям возникает необходимость повышения высоты (этажности) проектируемого здания сверх указанной в настоящей таблице нормы, следует применять дополнительные конструктивные мероприятия, компенсирующие отклонения от установленных в настоящей таблице требований.

При различных конструктивно-планировочных решениях разных этажей здания следует применять меньшее из приведенных в таблице 6.1а значений параметров для соответствующих несущих конструкций.

Максимальные значения отношения высоты здания или сооружения к ширине не должны превышать значений, приведенных в таблице 6.1б.

Таблица 6.1б

Максимальные значения отношения высоты здания к ширине

Конструктивные системы Расчетная сейсмичность площадки, баллы
7 8 9
1. Каркас (с заполнением из штучной кладки, воспринимающей горизонтальные нагрузки, в том числе каркасно-каменной конструкции) 4 3 2
2. Каркас рамно-связевой с железобетонными диафрагмами 5 4 3
3. Каркас рамно-связевой с ядрами жесткости или стальными связями 6 5 4
4. Стеновая система 6 5 4

Предельные соотношения габаритов в плане зданий или отсеков (см. рисунок 6.1) не должны превышать значений, указанных в таблице 6.1в.

Таблица 6.1в

Предельные соотношения габаритов зданий в плане

Расчетная сейсмичность площадки, баллы Соотношение размеров здания
L/B l/b
7 6 0,35 2,0
8, 9 5 0,30 1,5

Рисунок 6.1. Планы зданий

В рамных конструктивных системах с ядром жесткости компоновочные размеры ядра должны удовлетворять следующим требованиям:

- ядро жесткости должно быть непрерывным по высоте и иметь симметричную компоновку в плане;

- отношение длины здания к ширине должно быть не более 2;

- отношение высоты здания (ядра) к ширине здания не более 5;

- соотношение длины и ширины ядра должны быть не более 2;

- отношение высоты здания к ширине ядра должно быть не более 12;

- отношение площади внутреннего ядра (в плане) к площади перекрытия должно быть в диапазоне 15% - 25%.

В рамных конструктивных системах со стенами-диафрагмами расстояние между ними не должно превышать значений, приведенных в таблице 6.1г.

Таблица 6.1г

Расстояние между стенами-диафрагмами

Конструкция перекрытия Расчетная сейсмичность площадки, баллы
7 8 9
1. Монолитное 4B; 50 3B; 40 2B; 30
2. Сборное 3B; 40 2,5B; 30 -
Примечания
1. B - ширина здания, м.
2. Из приведенных расстояний принимается наименьшее значение.

Вертикальные несущие конструкции здания, определяющие горизонтальную жесткость конструктивной системы (ядра жесткости, стены-диафрагмы), должны быть непрерывны по высоте от фундаментов до верха сооружения. Здания и сооружения могут иметь горизонтальные уступы, величины которых, в зависимости от конфигурации уступов, не должны превышать пределов, указанных на рисунке 6.2, и при этом должны соблюдаться следующие условия:

- для равномерных уступов, сохраняющих осевую симметрию, уступ на любом этаже должен быть не более чем 20% от предыдущего размера в плане, в направлении уступа (см. рисунки 6.2, а, и 6.2, б);

- для единичного уступа в пределах 15% общей высоты основной конструктивной системы, уступ должен быть не более чем 50% предыдущего размера в плане (см. рисунок 6.2, в). В этом случае конструкция базовой зоны в рамках вертикальной проекции периметра верхних этажей должна проектироваться так, чтобы воспринимать не менее 75% горизонтальных перерезывающих сил, которые будут развиваться в этой зоне в аналогичном здании, но без увеличенной базы;

- если уступы не сохраняют симметрию, то на каждой лицевой (фасадной) стороне сумма уступов на всех этажах не должна быть более 30% размера в плане нижнего этажа над фундаментом или над верхом жесткого основания, а отдельные уступы не должны быть более 10% предыдущего размера в плане (см. рисунок 6.2, г).

а) Критерий:

б) Критерий: уступ более 0,15H:

в) Критерий: уступ менее 0,15H:

г) Критерий: ;

Рисунок 6.2. Критерии регулярности зданий с уступами

Размеры зданий в плане или отсеков, разделенных антисейсмическими швами, не должны превышать значений, приведенных в таблице 6.1д.

Превышение расстояний между антисейсмическими швами сверх установленных должно быть обосновано расчетами, иными исследованиями, выполненными по апробированным методикам, с учетом волнового характера сейсмического воздействия, неоднородности и неравномерности сейсмического воздействия в плане сооружения.

Таблица 6.1д

Предельные размеры зданий (отсеков) в плане

Конструктивная система здания Размеры по длине (ширине), м, при расчетной сейсмичности площадки, баллы
7 8 9
1. Стальной каркас 150 150 150
2. Железобетонный каркас 80 80 60
3. Стеновая железобетонная структура 80 80 60
4. Деревянные здания 40 40 30

6.1.6. Антисейсмические швы следует выполнять путем возведения парных стен или рам, либо рам и стен.

Ширину антисейсмического шва следует назначать по результатам расчетов в соответствии с 5.5, при этом ширина шва на каждом рассматриваемом уровне должна быть не менее суммы амплитуд колебаний смежных отсеков здания.

При высоте здания или сооружения до 5 м ширина такого шва должна быть не менее 30 мм. Ширину антисейсмического шва здания или сооружения высоты следует увеличивать на 20 мм на каждые 5 м высоты.

6.1.7. Конструкции примыкания отсеков здания или сооружения в зоне антисейсмических швов, в том числе по фасадам и в местах переходов между отсеками, не должны препятствовать их взаимным горизонтальным перемещениям.

6.1.8. Конструкция перехода между отсеками здания может быть выполнена в виде двух консолей из сопрягающихся блоков с устройством расчетного шва между концами консолей или переходов, надежно соединенных с элементами одного из смежных отсеков. Конструкцией их опирания на элементы другого отсека должно быть обеспечено взаимное расчетное смещение элементов и исключена возможность их обрушения и соударения при сейсмическом воздействии.

Переход через антисейсмический шов не должен быть единственным путем эвакуации из зданий или сооружений.

6.2. Основания, фундаменты и стены подвалов

6.2.1. Проектирование фундаментов зданий следует выполнять в соответствии с требованиями нормативных документов на основания и фундаменты зданий и сооружений (СП 22.13330, СП 24.13330, СП 25.13330).

6.2.2. Фундаменты зданий и сооружений или их отсеков, возводимые на нескальных грунтах, должны, как правило, устраиваться на одном уровне.

В случае заложения смежных отсеков зданий на разных отметках переход от более углубленной части к менее углубленной делают уступами; при этом фундаменты примыкающих частей отсеков должны иметь одинаковое заглубление на протяжении не менее 1 м от шва, а отдельные столбчатые фундаменты под колонны, разделенные осадочным швом, должны располагаться на одном уровне. Уступы подошв фундаментов выполняют высотой до 0,6 м и заложением до 1:2 (высота к длине) для связных и до 1:3 для несвязных грунтов в местах переходов от глубоко заложенных фундаментов к фундаментам с меньшей глубиной заложения. Уступы в скальных грунтах допускается не устраивать.

При устройстве подвала под частью здания (отсека) следует стремиться к его симметричному расположению относительно главных осей.

6.2.3. Фундаменты высоких зданий (более 16 этажей) на нескальных грунтах следует выполнять свайными, свайно-плитными или в виде сплошной фундаментной плиты с заглублением подошвы фундаментов относительно отметки отмостки не менее 2,5 м.

Вертикальная арматура стен и элементов каркаса, в которой расчетом на особое сочетание нагрузок допускается растяжение, должна быть надежно заанкерена в фундаменте.

6.2.4. При строительстве в сейсмических районах по верху сборных ленточных фундаментов из бетонных блоков следует укладывать слой цементного раствора марки 100 или мелкозернистого бетона класса B10 толщиной не менее 40 мм и продольную арматуру диаметром 10 мм из трех, четырех и шести стержней при расчетной сейсмичности 7, 8 и 9 баллов соответственно. Через каждые 300 - 400 мм продольные стержни должны быть соединены поперечными стержнями диаметром не ниже 6 мм.

В случае выполнения стен подвалов из сборных панелей, конструктивно связанных с ленточными фундаментами, укладка указанного слоя раствора не требуется.

6.2.5. В фундаментах и стенах подвалов из крупных блоков должна быть обеспечена перевязка кладки в каждом ряду, а также во всех углах и пересечениях на глубину не менее 1/2 высоты блока; фундаментные блоки следует укладывать в виде непрерывной ленты.

Для заполнения швов между блоками следует применять цементный раствор марки не ниже М50.

6.2.6. В зданиях при расчетной сейсмичности 9 баллов должна быть предусмотрена укладка в горизонтальные швы в углах и пересечениях стен подвалов арматурных сеток длиной 2 м с продольной арматурой общей площадью сечения не менее 1 см2.

В зданиях до трех этажей включительно и сооружениях соответствующей высоты при расчетной сейсмичности 7 и 8 баллов допускается применение для кладки стен подвалов блоков пустотностью до 50%.

6.2а. Антисейсмические швы (в ред. Изменения N 1, утв. Приказом Минстроя РФ от 26.12.2019 N 886/пр)

6.2а.1. Здания и сооружения следует разделять антисейсмическими швами на независимые отсеки в следующих случаях:

- здания и сооружения имеют сложную форму в плане;

- смежные участки здания или сооружения имеют перепады, превышающие 5 м;

- отдельные объемы здания в пределах общего плана, не являясь ядрами жесткости, имеют резко отличные (более 30%) жесткости или массы;

- в одноэтажных зданиях высотой до 10 м при расчетной сейсмичности 7 баллов и менее антисейсмические швы допускается не устраивать с учетом требований по регулярности по высоте и в плане;

- допускается устройство антисейсмических швов между высокой частью и 1 - 2-этажными пристраиваемыми частями зданий путем шарнирного опирания перекрытия пристройки на консольную опору высокой части здания. Глубина опирания должна быть не менее суммы взаимных перемещений и минимальной площади опирания перекрытия, с обязательным устройством аварийных связей;

- для случаев, когда устройство осадочного шва не требуется, допускается не устраивать антисейсмические швы между стилобатом при расчетном обосновании совместности их работы и выполнении соответствующих конструктивных мероприятий;

- не допускается устройство антисейсмических швов внутри помещений, которые предназначены для постоянного проживания.

6.2а.2. Антисейсмические швы должны разделять здание на отсеки по всей высоте.

На площадках строительства с расчетной сейсмичностью 7, 8 баллов и 9 баллов (при грунтах категорий по сейсмическим свойствам I и II) допускается не устраивать швы в фундаментах, за исключением случаев, когда антисейсмический шов совпадает с осадочным. Температурные и осадочные швы следует выполнять как антисейсмические.

6.2а.3. В зданиях высотой более трех этажей эвакуационные пути, как правило, не должны проходить через антисейсмические швы.

В случае необходимости устройства эвакуации через антисейсмический шов необходимо, чтобы такой путь не был единственным путем эвакуации из здания или сооружения.

При устройстве двух и более путей эвакуации допускается, чтобы не более 50% из них проходило через антисейсмические швы.

6.2а.4. Антисейсмические швы следует выполнять путем возведения парных стен и рам либо рамы и стены:

- ширину антисейсмического шва следует назначать по результатам расчетов, при этом ширина шва на каждом рассматриваемом уровне должна быть не менее суммы амплитуд колебаний смежных отсеков здания, в том числе с учетом неравномерных осадок основания;

- при высоте здания или сооружения до 5 м ширина такого шва должна быть не менее 30 мм. Ширину антисейсмического шва здания большей высоты следует увеличивать на 20 мм на каждые 5 м высоты;

- конструкция примыкания отсеков здания или сооружения в зоне антисейсмических швов, в том числе по фасадам и в местах переходов между отсеками, не должна препятствовать их взаимным горизонтальным перемещениям.

6.2а.5. Конструкция перехода между отсеками здания может быть выполнена в виде двух консолей из сопрягающихся блоков с устройством расчетного шва между концами консолей или переходов, надежно соединенных с элементами одного из смежных отсеков. Конструкцией их опирания на элементы другого отсека должны быть обеспечено взаимное расчетное смещение элементов и исключена возможность их обрушения и соударения при сейсмических воздействиях.

6.2б. Требования к оптимизации конструктивных решений (в ред. Изменения N 1, утв. Приказом Минстроя РФ от 26.12.2019 N 886/пр)

6.2б.1. При расчете зданий и сооружений на сейсмические воздействия (при использовании модели с жестким защемлением в основании) значения периодов свободных колебаний должны находиться в диапазонах, приведенных в таблице 6.1е.

6.2б.2. При отклонениях расчетных периодов колебаний от приведенных в таблице 6.1е значений необходимо изменить исходные параметры расчетной модели: жесткостных характеристик вертикальных несущих конструкций (компоновку, количество, сечения).

Таблица 6.1е

Средние периоды собственных колебаний зданий по первой форме

Конструктивная система Периоды, с
1. Каркасная
2. Каркасная с диафрагмами
3. Стеновая система
4. Ствольная с внутренним ядром

Примечания
1. Указанные периоды предназначены для оценки рациональности выбранного рабочего варианта конструктивного решения.
2. Диапазоны периодов колебаний применимы для зданий высотой до 100 м.
3. n - этажность здания.
4. Значения периодов приведены для зданий с регулярным расположением масс и жесткостей при числе этажей n.

6.2б.3. В конструкциях с равномерно изменяющимися по вертикали жесткостями и массами расчетные значения внутренних сил, перемещений и форм свободных колебаний должны изменяться равномерно сверху вниз и иметь эпюры в виде плавных лекальных кривых без значительных скачков.

6.2б.4. Для снижения отрицательного влияния крутильных колебаний и эффективного повышения сейсмостойкости здания рекомендуется:

а) ограничить отношение первого периода собственных колебаний при кручении к первому периоду собственных колебаний при поступательном движении:

; (6.1а)

б) обеспечить преобладание первых двух периодов собственных колебаний и над первым периодом собственных колебаний при кручении ;

в) отношение максимального горизонтального перемещения угловой точки перекрытия к среднему горизонтальному перемещению не должно превышать 1,8:

. (6.1б)

6.2б.5. Перекосы этажей (отношение разности горизонтальных перемещений верха и низа k-го этажа к его высоте) следует ограничивать согласно требованиям,
указанным в таблице 6.1ж.    

Таблица 6.1ж

Предельные значения перекосов этажа

Конструктивная система здания Предельные значения перекосов этажа
1. Здания со стальным каркасом 1/150
2. Здания с железобетонным каркасом 1/150
3. Здания с железобетонным каркасом с диафрагмами или ядрами жесткости 1/250
4. Здания со стенами из монолитного железобетона, крупнопанельные и крупноблочные здания 1/350
5. Здания со стенами из каменной или кирпичной кладки 1/400
Примечание - Если величина перекосов одного или нескольких этажей здания не отвечает требованиям 6.2б.5, то горизонтальные жесткости этих этажей должны быть увеличены.

6.2б.6. В целях повышения способности к пластическому деформированию железобетонных колонн каркасных систем зданий отношение расчетной продольной силы к несущей способности бетонного сечения колонны не должно превышать значений, указанных в таблице 6.1и.

Таблица 6.1и

Коэффициенты ограничения нормальных сжимающих напряжений в сечениях колонн

Конструктивная система здания Сейсмичность площадки, баллы
7 8 9
1. Каркасная 0,85 0,75 0,65
2. Каркасная с диафрагмами жесткости; каркасная с ядрами жесткости 0,90 0,80 0,70
Примечания
1. Коэффициенты, приведенные в настоящей таблице, применяются для колонн из бетона класса по прочности на сжатие не более B60.
2. Значения расчетной продольной силы принимают с учетом сейсмического воздействия.
3. Максимальное значение коэффициента ограничения нормальных сжимающих напряжений не должно превышать 1,05.

6.2б.7. В целях повышения способности к пластическому деформированию железобетонных несущих стен, диафрагм и ядер жесткости зданий отношение расчетной продольной силы к несущей способности бетонного сечения стены , не должно превышать значений, указанных в таблице 6.1к.

Таблица 6.1к

Коэффициенты ограничения нормальных сжимающих напряжений в сечениях стен

Конструкции стен Сейсмичность площадки, баллы
7 8 9
1. Стены с полкой или с торцевой колонной 0,70 0,60 0,50
2. Стены без полки или без торцевой колонны 0,60 0,50 0,40
3. Ветвь стены прямоугольного сечения 0,60 0,50 0,40
Примечания
1. Значение расчетной продольной силы в ветви стены принимается от действия гравитационных нагрузок.
2. Коэффициенты, приведенные в настоящей таблице, применяются для стен из бетона класса по прочности на сжатие не более B60.

6.3. Перекрытия и покрытия

6.3.1. Железобетонные перекрытия и (или) покрытия следует выполнять как жесткие горизонтальные диски, соединенными с вертикальными конструкциями здания и обеспечивающими их совместную работу при сейсмических воздействиях.

Поэтажная масса должна быть приложена к каждому соответствующему уровню перекрытия.

6.3.2. Жесткость сборных железобетонных перекрытий и покрытий следует обеспечивать:

- устройством сварных соединений плит между собой, элементами каркаса или стенами;

- устройством болтовых соединений (с применением накладных деталей);

- соединением плит путем устройства замоноличиваемых шпонок с арматурной скобой, соединяющей петлевые арматурные выпуски из плит перекрытия;

- устройством монолитных железобетонных обвязок (антисейсмических поясов) с анкеровкой в них выпусков арматуры из плит;

- замоноличиванием швов между элементами перекрытий мелкозернистым бетоном.

6.3.3. Конструкция и число соединений элементов перекрытий должны быть рассчитаны на восприятие усилий растяжения и сдвига, возникающих в швах между плитами, а также в элементах каркаса или стенах.

Боковые грани панелей (плит) перекрытий и покрытий должны иметь шпоночную или рифленую поверхность. Для соединения с антисейсмическим поясом или для связи с элементами каркаса в панелях (плитах) следует предусматривать выпуски арматуры или закладные детали.

6.3.4. Длину участка опирания сборных плит перекрытий и покрытий на несущие конструкции принимают, мм, не менее:

- для кирпичных и каменных стен ................................................................................................................ 120;                    
- для стен из вибрированных кирпичных блоков ......................................................................................... 90;                    
- для железобетонных и бетонных стен, стальных и железобетонных балок (ригелей):
- при опирании по двум сторонам ................................................................................................................. 80;                    
- "   "   " трем и четырем " ......................................................................................................... 60;                    
- для стен крупнопанельных зданий при опирании по двум противоположным сторонам ............................ 70.                    

6.3.5. Длина опирания деревянных, металлических и железобетонных балок на стены из штучных материалов и бетона должно быть не менее 200 мм. Опорные части балок должны быть надежно закреплены в несущих конструкциях здания.

Перекрытия в виде прогонов (балок с вкладышами между ними) должны быть усилены с помощью слоя монолитного армированного бетона класса не ниже B15 толщиной не менее 40 мм.

6.3.6. В зданиях до двух этажей включительно для площадок с сейсмичностью 7 баллов и одноэтажных зданиях для площадок сейсмичностью 8 баллов при расстояниях между стенами не более 6 м в обоих направлениях допускается устройство деревянных перекрытий (покрытий). Балки перекрытий (покрытий) следует конструктивно связывать с антисейсмическим поясом и устраивать по ним сплошной дощатый диагональный настил.

6.4. Лестницы

6.4.1. Лестничные клетки следует выполнять закрытыми с естественным освещением через окна в наружных стенах на каждом этаже. Расположение и число лестничных клеток - не менее одной между антисейсмическими швами в зданиях высотой более трех этажей.

Устройство лестничных клеток в виде отдельно стоящих сооружений не допускается.

6.4.2. Лестничные клетки и лифтовые шахты каркасных зданий с заполнением, не участвующим в работе, следует устраивать в виде ядер жесткости, воспринимающих сейсмическую нагрузку, или в виде встроенных конструкций с поэтажной разрезкой, не влияющих на жесткость каркаса, а для зданий высотой до пяти этажей при расчетной сейсмичности 7 и 8 баллов их допускается устраивать в пределах плана здания в виде конструкций, отделенных от каркаса здания.

Конструкции сборных лестничных маршей и узлов их креплений к несущим элементам зданий, как правило, не должны препятствовать взаимным горизонтальным смещениям смежных перекрытий. При этом лестничные марши должны быть надежно закреплены с одного конца, а конструкция опирания другого конца должна обеспечивать свободное смещение марша относительно опоры, не допуская его обрушения.

Допускается применять конструкции лестничных маршей, связанные с перекрытиями по обоим концам, при этом несущая способность лестничных маршей и узлов их креплений должна быть рассчитана на восприятие нагрузок, возникающих при взаимном смещении перекрытий.

6.4.3. Лестницы следует выполнять из монолитного железобетона, крупных сборных железобетонных элементов, соединяемых между собой с помощью сварки. Допускается устройство лестниц с применением металлических или железобетонных косоуров с наборными ступенями при условии соединения с помощью сварки или на болтах косоуров с площадками и ступеней с косоурами и деревянных лестниц в деревянных зданиях.

6.4.4. Междуэтажные лестничные площадки следует заделывать в стены. В каменных зданиях площадки следует заделывать на глубину не менее 250 мм и заанкеривать. Лестничные площадки, располагаемые в уровне междуэтажных перекрытий, должны надежно связываться с антисейсмическими поясами или непосредственно с перекрытиями.

Устройство консольных ступеней, заделанных в каменную кладку, не допускается.

6.4.5. Конструкции лестничных клеток и узлы крепления должны обеспечивать условия безопасного использования лестниц при эвакуации в режиме чрезвычайных ситуаций.

6.5. Перегородки

6.5.1. Перегородки следует выполнять ненесущими. Перегородки следует соединять с колоннами, несущими стенами или перекрытиями. При длине перегородки более 3,0 м крепление к перекрытию является обязательным. Допускается выполнять перегородки из штучной кладки в соответствии с требованиями 6.5.5 и 6.14.

6.5.2. Конструкция крепления перегородок к несущим элементам здания и узлов их примыкания должна исключать возможность передачи на них горизонтальных нагрузок, действующих в их плоскости. Крепления, обеспечивающие устойчивость перегородок из плоскости, должны быть жесткими.

Прочность перегородок и их креплений должна быть в соответствии с 5.5 подтверждена расчетом на действие расчетных сейсмических нагрузок из плоскости.

6.5.3. Для обеспечения независимого деформирования перегородок следует предусматривать антисейсмические швы между вертикальными торцевыми и верхней горизонтальной гранями перегородок и несущими конструкциями здания. Ширину швов принимают по максимальному значению перекоса этажей здания при действии расчетных нагрузок с учетом прогиба перекрытия в эксплуатационной стадии, но не менее 20 мм. Швы заполняют упругим эластичным материалом.

6.5.4. Крепление перегородок к несущим железобетонным конструкциям следует выполнять соединительными элементами, приваренными к закладным изделиям или накладным элементам, а также анкерными болтами или стержнями.

Крепление перегородок к несущим элементам пристрелкой дюбелями не допускается.

6.5.5. Перегородки из кирпича или камня при их применении на площадках сейсмичностью 7 баллов следует горизонтально армировать на всю длину не реже, чем через 700 мм по высоте арматурными стержнями общим сечением в шве не менее 0,2 см2.

Кирпичную (каменную) кладку перегородок на площадках сейсмичностью 8 и 9 баллов в дополнение к горизонтальному армированию следует усиливать вертикальными двухсторонними арматурными сетками, установленными в слоях цементного раствора марки не ниже М100 толщиной 25 - 30 мм. Арматурные сетки должны иметь надежное соединение с кладкой.

6.5.6. Дверные проемы в кирпичных (каменных) перегородках на площадках сейсмичностью 8 и 9 баллов должны иметь железобетонное или металлическое обрамление.

6.6. Балконы, лоджии и эркеры

6.6.1. В зданиях, приведенных в позициях 6 - 9 таблицы 6.1, в районах сейсмичностью до 8 баллов включительно допускается устройство эркеров с усилением образованных в стенах проемов железобетонными рамами и установкой металлических связей стен эркеров с основными стенами.

6.6.2. Устройство встроенных лоджий допускается с установкой жесткого решетчатого или рамного ограждения в плоскости наружных стен. Устройство пристроенных лоджий допускается с установкой металлических связей с несущими стенами, сечение которых определяется по расчету, но не менее 1 см2 на 1 м.

6.6.3. Конструкции балконов в зданиях, приведенных в позициях 2, 4 таблицы 6.1, и их соединения с перекрытиями должны быть рассчитаны как консольные балки или плиты.

6.6.4. Вынос стен лоджий и эркеров, заделанных в каменные стены, не должен превышать 1,5 м. Вынос плит балконов, лоджий, эркеров, заделанных в каменные стены, не являющихся продолжением перекрытий, не должен превышать 1,5 м.

6.6.5. Конструкции перекрытий лоджий и эркеров в зданиях, приведенных в позициях 2, 4 таблицы 6.1, должны быть связаны с закладными деталями стеновых элементов или антисейсмическими поясами, устроенными в стенах лоджий и эркеров и связанными с антисейсмическими поясами примыкающих стен или непосредственно с внутренними перекрытиями.

6.7. Особенности проектирования железобетонных конструкций

6.7.1. Проектирование элементов железобетонных конструкций следует выполнять в соответствии с требованиями СП 63.13330 и с учетом дополнительных требований настоящего свода правил.

6.7.2. При расчете на прочность нормальных сечений изгибаемых и внецентренно сжатых элементов значения граничной относительной высоты сжатой зоны бетона следует принимать по действующим нормативным документам на бетонные и железобетонные конструкции, умноженными на коэффициент, равный при расчетной сейсмичности: 7 баллов - 0,85; 8 баллов - 0,70; 9 баллов - 0,50.

Примечание - При расчете по прочности нормальных сечений на основе нелинейной деформационной модели характеристику не применяют. Ее целесообразно использовать для оценки способности пластической работы сечений путем вычисления по полученному расчетному армированию фактических значений относительной высоты сжатой зоны бетона, и проверки выполнения условия . (в ред. Изменения N 1, утв. Приказом Минстроя РФ от 26.12.2019 N 886/пр)

6.7.3. В качестве ненапрягаемой рабочей арматуры следует преимущественно использовать свариваемую арматуру класса А500. Из-за повышенных характеристик сцепления с бетоном следует отдавать предпочтение арматуре с периодическим профилем поверхности, имеющим многорядное расположение поперечных ребер классов А500СП и Ав500П. Допускается применение арматуры классов А600, В500 и класса А400 из стали марки 25Г2С. (в ред. Изменения N 1, утв. Приказом Минстроя РФ от 26.12.2019 N 886/пр)

6.7.4. В несущих элементах железобетонных конструкций не допускается применение стыкуемых дуговой сваркой отдельных стержней, сварных сеток и каркасов, а также анкерных стержней закладных деталей из арматурной стали класса А400 марки 35ГС.

6.7.5. В качестве напрягаемой арматуры следует преимущественно использовать стержневую горячекатаную или термомеханически упрочненную арматуру классов А800 и А1000, стабилизированную арматурную проволоку классов Вр1400, B1500 и B1600 и семипроволочные стабилизированные арматурные канаты классов К1500 и К1600.

6.7.6. Не допускается использовать в качестве рабочей арматуры, как напрягаемой, так и без предварительного напряжения, арматурный прокат с при расчетной сейсмичности 7 баллов 1,08, 8 и 9 баллов 1,15, имеющий полное относительное удлинение при максимальном напряжении при расчетной сейсмичности 7 баллов 2,5%, 8 баллов 5%, 9 баллов 7%, а также арматурную проволоку Вр500. (в ред. Изменения N 1, утв. Приказом Минстроя РФ от 26.12.2019 N 886/пр)

6.7.7. При применении арматурного проката класса B500C на площадках с сейсмичностью 8 - 9 баллов удлинение при максимальном напряжении должно быть не менее 5,0% или относительное равномерное удлинение не менее 4,5%, а отношение не менее 1,08.

6.7.8. При сейсмичности 9 баллов не допускается применять арматурные канаты и стержневую арматуру периодического профиля диаметром более 28 мм без специальных анкеров.

6.7.9. В стержневых изгибаемых (балки) и внецентренно сжатых (колонны, пилоны) элементах выделяются в качестве наиболее ответственных критические участки по длине.

Участки балок, отстоящие на расстоянии ( - высота балки) от концевого поперечного сечения, где балки входят в узел соединения балки с колонной (пилоном), а также с обеих сторон любого поперечного сечения с максимальным изгибающим моментом, должны рассматриваться как критические.

В балках, поддерживающих вертикальные элементы (стены, стойки), участки длиной с каждой стороны опертого вертикального элемента должны считаться критическими.

Участки, отстоящие на расстоянии от обоих концевых сечений колонн, пилонов, должны рассматриваться как критические.

Длина критических участков этих элементов , м, должна быть:

,

где:

- наибольший размер поперечного сечения колонны или пилона, м;

- длина элемента в свету, м.

Если < 3, вся длина элемента должна рассматриваться как критическая и иметь соответствующее армирование. (в ред. Изменения N 1, утв. Приказом Минстроя РФ от 26.12.2019 N 886/пр)

6.7.10. В пределах критических участков стержневых изгибаемых (балок) и внецентренно сжатых (колонн, пилонов) элементов не должно быть бессварных и сварных соединений внахлестку. (в ред. Изменения N 1, утв. Приказом Минстроя РФ от 26.12.2019 N 886/пр)

6.7.11. Допускается применение сварных соединений арматуры внахлестку в стенах, плитах перекрытий, фундаментных плитах, а также малоответственных конструкциях. При этом значение длины сварных швов должно быть на 30% больше значений, требуемых по ГОСТ 14098 для сварного соединения типа С23-Рэ. (в ред. Изменения N 1, утв. Приказом Минстроя РФ от 26.12.2019 N 886/пр)

6.7.12. Вне критических участков изгибаемых и внецентренно сжатых элементов конструкций, кроме колонн и пилонов, стыкование рабочей арматуры при диаметре стержней до 18 мм включительно допускается осуществлять при расчетной сейсмичности 7 и 8 баллов внахлестку без сварки. При расчетной сейсмичности 9 баллов допускается стыковка внахлестку без сварки, но с "лапками" или другими анкерными устройствами на концах стержней.

Длина нахлестки должна быть на 30% больше значений, указанных в СП 63.13330.

Допускается применение для соединений арматуры специальных механических соединений (опрессованных или резьбовых муфт).

В колоннах и пилонах, а также в изгибаемых и внецентренно сжатых элементах при диаметре стержней 20 мм и более соединение стержней и каркасов должно выполняться с помощью специальных механических соединений (опрессованных и резьбовых муфт), а также сварки с парными накладками (до 22 мм включительно) или на стальной скобе-накладке независимо от сейсмичности площадки.

6.7.12а. В критических участках колонн и пилонов шаг хомутов S должен быть, мм, не более:

,

где:

- минимальное расстояние между осевыми линиями хомутов в ядре сечения колонны, ограниченного хомутами;

- минимальный диаметр продольных стержней.

Расстояние между соседними продольными стержнями, охваченными хомутами, не должно превышать 200 мм.

В критических участках балок:

а) шаг арматурных хомутов S, мм, не должен превышать:

,

где:

- высота балки, мм;

- диаметр хомутов, мм;

б) первый хомут должен располагаться не далее 50 мм от концевого сечения балки. (в ред. Изменения N 1, утв. Приказом Минстроя РФ от 26.12.2019 N 886/пр)

6.7.12б. Вне критических участков во внецентренно сжатых элементах, а также в изгибаемых элементах, в которых учитывается продольная сжатая арматура, при расчетной сейсмичности 8 и 9 баллов шаг хомутов следует устанавливать по расчету, но не более:

- при МПа - 400 мм, а также для вязаных каркасов и для сварных каркасов;

- при МПа - 300 мм, а также для вязаных каркасов и для сварных каркасов. (в ред. Изменения N 1, утв. Приказом Минстроя РФ от 26.12.2019 N 886/пр)

6.7.12в. Если общее насыщение внецентренно сжатого элемента продольной арматурой превышает 3%, хомуты следует устанавливать на расстоянии не более не более 250 мм.

В вязаных каркасах концы хомутов необходимо загибать вокруг стержня продольной арматуры в направлении центра тяжести сечения и заводить их внутрь бетонного ядра не менее чем на хомута, считая от оси продольного стержня.

В угловых стержнях угол заведения должен быть 30° - 60°.

В местах стыкования внахлестку без сварки арматуры внецентренно сжатых элементов шаг хомутов S должен быть, мм, не более:

,

где h - минимальный размер поперечного сечения, мм. (в ред. Изменения N 1, утв. Приказом Минстроя РФ от 26.12.2019 N 886/пр)

6.7.12г. Диаметр хомутов должен быть не менее 6 мм. Хомуты, назначаемые по расчету, должны быть выполнены из арматуры с периодическим профилем классов А400 или А500, В500. (в ред. Изменения N 1, утв. Приказом Минстроя РФ от 26.12.2019 N 886/пр)

6.7.12д. В изгибаемых и внецентренно сжатых элементах стыки арматуры внахлестку со сваркой и без сварки следует располагать вне зон максимальных изгибающих моментов.

Стыкование арматуры в монолитных диафрагмах может быть выполнено сварным или вязаным внахлест.

В одном сечении должно стыковаться не более 50% растянутой арматуры. (в ред. Изменения N 1, утв. Приказом Минстроя РФ от 26.12.2019 N 886/пр)

6.7.13. Несущая способность предварительно напряженных конструкций, определяемая по прочности сечений, должна превышать не менее чем на 25% усилия, воспринимаемые сечениями при образовании трещин.

6.7.14. В предварительно напряженных конструкциях с натяжением арматуры на бетон напрягаемую арматуру, устанавливаемую из расчета по прочности (предельному состоянию первой группы), следует располагать в закрытых каналах, замоноличиваемых бетоном или раствором прочностью не ниже прочности бетона конструкции.

В качестве напрягаемой арматуры, дополнительно устанавливаемой из расчета по предельным состояниям второй группы, допускается использовать арматурные канаты, располагаемые в закрытых трубках без сцепления с бетоном.

6.8. Железобетонные каркасные здания

6.8.1. В каркасных зданиях конструкцией, воспринимающей горизонтальную сейсмическую нагрузку, могут служить: каркас; каркас с заполнением; каркас с вертикальными связями, диафрагмами или ядрами жесткости. В качестве несущих конструкций зданий высотой более девяти этажей следует использовать каркасы с диафрагмами, связями или ядрами жесткости.

Размеры выступов в здании (при наличии) в плане не должны превышать шага колонн.

При выборе конструктивных схем предпочтение следует отдавать схемам, в которых зоны пластичности возникают в первую очередь в горизонтальных элементах каркаса (ригелях, перемычках, обвязочных балках и т.п.).

6.8.2. В колоннах рамных каркасов многоэтажных зданий при расчетной сейсмичности 8 и 9 баллов шаг хомутов (кроме требований, изложенных в 6.7.9, 6.7.10) не должен превышать 1/2h, а для рамно-связевых каркасов - не более h, где h - наименьший размер стороны колонн прямоугольного или двутаврового сечения. Диаметр хомутов в этом случае должен быть не менее 8 мм.

6.8.3. В вязаных каркасах концы хомутов необходимо загибать вокруг стержня продольной арматуры и заводить внутрь бетонного ядра не менее чем на 6d хомута, считая от оси продольного стержня. В угловых стержнях угол заведения должен быть 30° - 60°.

6.8.4. Элементы сборных колонн многоэтажных каркасных зданий по возможности следует укрупнять на несколько этажей. Стыки сборных колонн рекомендуется располагать в зоне с наименьшими изгибающими моментами, при этом необходимо учитывать конструктивные особенности применяемых строительных систем. Не допускается стыкование продольной арматуры в сборных элементах колонн внахлестку без сварки. (в ред. Изменения N 1, утв. Приказом Минстроя РФ от 26.12.2019 N 886/пр)

6.8.5. Стыковать продольную арматуру монолитных колонн каркасных зданий следует в соответствии с требованиями 6.7.12. При стыковании арматуры сваркой следует применять соединения, выполняемые механизированной или ручной дуговой сваркой на стальной скобе-накладке. Для стержней арматуры диаметром до 22 мм включительно допускается стыкование дуговой сваркой продольными швами с парными накладками.

6.8.6. На опорных участках плит перекрытий число устанавливаемой поперечной арматуры, нормальной к плоскости плиты, определяют расчетом на продавливание и конструктивно. В обоих случаях стержни поперечной арматуры, ближайшие к контуру площадки передачи нагрузки, располагают на расстоянии не ближе и не далее от этого контура. Ширина зоны размещения расчетной или конструктивной поперечной арматуры в обоих осевых направлениях должна быть не менее , считая от контура площадки передачи нагрузки.

Поперечная арматура плиты должна состоять из стержней периодического профиля диаметром не менее 8 мм, которые следует соединять с продольной рабочей арматурой посредством контактной сварки или концевых отгибов (крюков). Шаг стержней поперечной арматуры принимают по нормам проектирования железобетонных конструкций.

6.8.7. Для железобетонных колонн многоэтажных каркасных зданий с арматурой классов А400 и А500 армирования рабочей продольной арматурой в любом сечении не должно превышать 6%, а с арматурой класса А600 - 4%.

Допускается более высокое насыщение колонн продольной арматурой при условии усиления приопорных участков колонн с помощью конструктивного косвенного армирования сварными сетками с ячейками размером не более 100 мм не менее четырех, располагаемыми с шагом 60 - 100 мм на длине (считая от торца элемента не менее 10d, где d - наибольший диаметр стержней продольной арматуры). Сетки из арматуры классов А400, А500, В500 должны быть диаметром не менее 8 мм.

6.8.7а. Минимальный процент армирования продольной рабочей арматуры в колоннах должен быть не меньше указанных в таблице 6.1л величин, причем армирование продольной арматурой на каждой стороне сечения колонны должно быть не менее чем 0,20% (угловая арматура при этом не учитывается).

Таблица 6.1л

Минимальный процент армирования в колоннах каркасных систем

В процентах

Тип колонны Сейсмичность площадки, баллы
7 8 9
1. Центральные и крайние колонны 0,3 0,4 0,7
2. Угловые колонны 0,5 0,6 0,8
3. Колонны нижних этажей 0,5 0,6 0,8

6.8.7б. Минимальный процент армирования вертикальной и горизонтальной арматуры в стеновых конструкциях зданий должен быть не менее указанного в таблице 6.1м.

Таблица 6.1м

Минимальный процент армирования в стеновых конструкциях

Вид и расположение конструкций Сейсмичность площадки, баллы
7 8 9
1. Стены, диафрагмы и ядра жесткости 0,2 0,25 0,30
2. Стены верхних этажей 0,2 0,2 0,2

6.8.7в. В целях обеспечения условий пластичности деформирования опорных сечений ригелей в узлах каркаса отношение площади сечения продольной сжатой арматуры к площади сечения продольной растянутой арматуры помимо результатов расчета должно удовлетворять требованиям:

- для условий 9-балльной сейсмичности ;

- для условий 7- и 8-балльной сейсмичности . (в ред. Изменения N 1, утв. Приказом Минстроя РФ от 26.12.2019 N 886/пр)

6.8.7г. Минимальный процент насыщения продольной рабочей арматурой в сечениях ригелей должен быть не менее указанного в таблице 6.1н.

Таблица 6.1н

Минимальный процент армирования в ригелях каркаса

Расположение сечения в ригеле Сейсмичность площадки, баллы
7 8 9
1. У опоры 0,25; 55 0,30; 65 0,40; 80
2. В середине пролета 0,20; 45 0,25; 55 0,30;
Примечание - Минимальный процент армирования принимается равным большему значению из двух приведенных.

(в ред. Изменения N 1, утв. Приказом Минстроя РФ от 26.12.2019 N 886/пр)

6.8.7д. Жесткие узлы железобетонных каркасов зданий должны быть усилены применением сварных сеток, спиралей или замкнутых хомутов.

Зону пересечения ригелей и колонн, а также участки ригелей и колонн, примыкающие к жестким узлам рам на расстоянии, равном полуторной высоте их сечения (но не более 1/4 высоты этажа или пролета ригеля), следует армировать замкнутой поперечной арматурой (хомутами), устанавливаемой по расчету, но не реже чем через 100 мм, а для рамных систем с несущими диафрагмами - не реже чем через 200 мм. (в ред. Изменения N 1, утв. Приказом Минстроя РФ от 26.12.2019 N 886/пр)

6.8.8. Жесткие узлы железобетонных каркасов зданий должны быть усилены применением сварных сеток, спиралей или замкнутых хомутов.

Зону пересечения ригелей и колонн, а также участки ригелей и колонн, примыкающие к жестким узлам рам на расстоянии, равном полуторной высоте их сечения (но не более 1/4 высоты этажа или пролета ригеля), следует армировать замкнутой поперечной арматурой (хомутами), устанавливаемой по расчету, но не реже чем через 100 мм, а для рамных систем с несущими диафрагмами - не реже чем через 200 мм.

6.8.9. Диафрагмы, связи и ядра жесткости, воспринимающие горизонтальную нагрузку, должны быть непрерывными по всей высоте здания и располагаться в обоих направлениях равномерно и симметрично относительно центра тяжести здания. В каждом направлении следует устанавливать не менее двух диафрагм, расположенных в разных плоскостях. Допускается в верхних этажах здания уменьшать число и протяженность диафрагм при сохранении симметричности их расположения в пределах этажа. Изменение сдвиговой (изгибной) жесткости диафрагм соседних этажей при этом не должно превышать 20%, а длина каждой диафрагмы жесткости должна быть не менее высоты этажа. В каркасных железобетонных зданиях допускается применение рам-диафрагм и металлических связей.

6.8.10. При проектировании зданий с существенно меньшей жесткостью нижних этажей (здания с "гибким" нижним этажом) с расчетной сейсмичностью площадки строительства 8 и 9 баллов колонны "гибкого" этажа следует выполнять стальными или с жесткой арматурой.

6.8.11. Максимальные расстояния между осями колонн в каждом направлении при безбалочных плитах и безбалочных плитах с капителями следует принимать при сейсмичности 7 баллов - 7,2 м, при сейсмичности 8, 9 баллов - 6,0 м. (в ред. Изменения N 1, утв. Приказом Минстроя РФ от 26.12.2019 N 886/пр)

Толщину монолитных перекрытий с капителями и без них безригельного каркаса следует принимать не менее 1/30 расстояния между осями колонн, класс бетона - не ниже B20. Толщина сборных и сборно-монолитных перекрытий безригельного каркаса - в соответствии с расчетом согласно требованиям настоящего свода правил, но не менее 160 мм, класс бетона не ниже B20. (в ред. Изменения N 1, утв. Приказом Минстроя РФ от 26.12.2019 N 886/пр)

По наружному контуру вертикальных несущих конструкций зданий перекрытия следует опирать на ригели в уровне каждого этажа. Допускается устройство перекрытий и ограждающих конструкций, выступающих за пределы основного каркаса частично или по периметру здания на консольных свесах. Конструкции узлов сопряжения стен и перекрытий должны удовлетворять требованиям 6.8.15.

6.8.12. При расчете прочности нормального сечения плиты монолитных безригельных бескапительных каркасов на действие изгибающего момента расчетную ширину сжатой зоны бетона следует принимать не более трехкратной ширины колонн. На этой расчетной ширине в каждом осевом направлении должно быть размещено не менее 50% общего количества продольной рабочей арматуры плиты, приходящейся на шаг колонн в направлении, перпендикулярном направлению арматуры, 10% площади всей рабочей арматуры, размещенной на указанной расчетной ширине плиты, необходимо пропустить сквозь тело колонны. (в ред. Изменения N 1, утв. Приказом Минстроя РФ от 26.12.2019 N 886/пр)

Не менее 30% всей расчетной продольной арматуры плиты следует устанавливать в форме групп каркасов, плоских вертикальных или пространственных прямоугольного или треугольного сечения. Такие каркасы в обоих осевых направлениях следует сосредотачивать в составе полос усиленного армирования над колоннами, где не менее двух плоских каркасов или двух верхних стержней пространственного каркаса должны быть пропущены сквозь тело колонны, а также в составе арматуры, проходящей через срединные участки пролетов. Непрерывность этих каркасов в пределах общих габаритов перекрытия должна быть обеспечена стыковыми сварными соединениями продольных стержней каркасов в соответствии с 6.7.12. Эти стыковые соединения должны располагаться в зонах минимальных изгибающих моментов по соответствующим осевым направлениям и иметь прочность не ниже нормативного сопротивления стыкуемых стержней.

Сборные каркасные здания, для которых невозможно выполнить данные требования, должны быть рассчитаны на устойчивость к прогрессирующему разрушению с использованием методик, согласованных в установленном порядке.

Безопасность и несущая способность элементов и узлов сборных, сборно-монолитных зданий с безригельным каркасом, ввиду конструктивных особенностей которых неприменимы вышеуказанные требования, должны быть подтверждены и обоснованы результатами исследований, расчетами и (или) испытаниями применяемых конструктивных систем. (в ред. Изменения N 1, утв. Приказом Минстроя РФ от 26.12.2019 N 886/пр)

6.8.13. В качестве ограждающих стеновых конструкций каркасных зданий следует применять легкие навесные панели. Допускается устройство кирпичного или каменного заполнения, соответствующего требованиям 6.14.4, 6.14.5.

6.8.14. Применение самонесущих стен из каменной кладки допускается:

- при шаге пристенных колонн каркаса - не более 6 м;

- при высоте стен зданий, возводимых на площадках сейсмичностью 7, 8 и 9 баллов, - не более 12, 9 и 6 м соответственно.

6.8.15. Для обеспечения раздельной работы ненесущих и несущих конструкций при сейсмических воздействиях конструкция узлов сопряжения каменных стен и колонн, диафрагм и перекрытий (ригелей) должна исключать возможность передачи на них нагрузок, действующих в их плоскости. Прочность элементов стен и узлы их крепления к элементам каркаса должны соответствовать 5.5 и быть подтверждены расчетом на действие расчетных сейсмических нагрузок из плоскости.

Кладка самонесущих стен в каркасных зданиях должна иметь гибкие связи с каркасом, не препятствующие горизонтальным смещениям каркаса вдоль стен.

Между поверхностями стен и колонн каркаса должен предусматриваться зазор не менее 20 мм. В местах пересечения торцевых и поперечных стен с продольными стенами должны устраиваться антисейсмические швы на всю высоту стен.

По всей длине стен в уровне плит покрытия и верха оконных проемов должны устраиваться антисейсмические пояса, соединенные с каркасом здания.

6.8.16. При проектировании каркасных зданий кроме деформаций изгиба и сдвига в стойках каркаса необходимо учитывать осевые деформации, а также должен быть выполнен расчет на устойчивость против опрокидывания.

6.8.17. Стены из штучной кладки поэтажной разрезки и узлы их крепления могут конструироваться как заполнение, участвующее в работе каркаса, либо как заполнение, отделенное от каркаса. Заполнение, участвующее в работе каркаса, рассчитывают и конструируют как несущую стену.

6.8.18. Конструкции узлов примыканий элементов ненесущих стен, отделенных от каркаса, к несущим конструкциям здания должны исключать возможность передачи на них нагрузок, действующих в их плоскости. Прочность элементов стен такой конструкции и узлов их крепления к элементам каркаса должна быть подтверждена расчетом на действие сейсмических нагрузок из плоскости. В узлах примыкания участков ненесущих стен различных направлений должны быть предусмотрены вертикальные антисейсмические швы толщиной не менее 20 мм, заполненные эластичным материалом.

6.8.19. Железобетонные каркасы одноэтажных зданий в поперечном направлении рекомендуется проектировать, как правило, по конструктивной схеме в виде стоек, защемленных в фундаментах и с шарнирным сопряжением с ригелями покрытия. Для районов сейсмичностью 7 баллов пролеты, стропильные и подстропильные конструкции принимают как для несейсмических районов. Для районов сейсмичностью 8 и 9 баллов пролеты принимают 24,0 и 12 м соответственно. Шаг стропильных конструкций принимают для районов сейсмичностью 8 баллов - 6,0 и 12 м, для районов сейсмичностью 9 баллов - 6,0 м; подстропильные конструкции не применяются.

6.9. Особенности проектирования зданий со стальным каркасом

6.9.1. Стальные колонны многоэтажных каркасов рамного типа следует проектировать замкнутого (коробчатого или круглого) сечения, равноустойчивого относительно главных осей инерций, а колонны рамно-связевых каркасов - двутаврового, крестового или замкнутого сечений.

Ригели стальных каркасов следует проектировать из прокатных или сварных двутавров, в том числе с гофрированной стенкой.

6.9.2. Стыки колонн следует, как правило, относить от узлов и устраивать в зоне действия наименьших изгибающих моментов.

В колоннах рамных каркасов на уровне ригелей должны быть установлены поперечные ребра жесткости. Зоны развития пластических деформаций в элементах стальных конструкций должны быть вынесены за пределы сварных и болтовых соединений.

6.9.3. При применении для ригелей рам сварных двутавров с плоской стенкой ее гибкость (где и - высота и толщина стенки соответственно) должна быть не более 50.

Свес поясов сечений ригелей не должен превышать значения , где - толщина пояса; E и - модуль упругости и расчетное сопротивление стали соответственно.

6.9.4. Опорные сечения ригелей стальных каркасов многоэтажных зданий следует развивать за счет увеличения ширины полок или устройства вутов в целях снижения напряжений в сварных соединениях в зоне примыкания ригелей к колоннам. Допускается стыки ригелей с колоннами выполнять на высокопрочных болтах без увеличения опорных сечений ригелей.

6.9.5. Для элементов, работающих в упругопластической стадии, следует применять малоуглеродистые и низколегированные стали с относительным удлинением не менее 20%.

6.9.6. При проектировании одноэтажных производственных зданий с рамами в поперечном направлении и вертикальными связями по колоннам в продольном направлении вертикальные связи необходимо располагать по каждому продольному ряду колонн здания.

6.9.7. Для обеспечения пространственной жесткости и устойчивости покрытия и его элементов следует предусматривать систему связей между несущими конструкциями покрытия (фермами) в плоскости верхних и нижних поясов, а также в вертикальных плоскостях.

6.10. Крупнопанельные здания

6.10.1. Крупнопанельные здания следует проектировать с продольными и поперечными стенами, объединенными между собой перекрытиями и покрытиями в единую пространственную систему, воспринимающую сейсмические нагрузки.

При проектировании крупнопанельных зданий необходимо:

- предусматривать панели стен и перекрытий, как правило, размером на комнату;

- осуществлять вертикальные и горизонтальные стыковые соединения панелей продольных и поперечных стен между собой и с панелями перекрытий (покрытий) сваркой арматурных выпусков, закладных деталей или на болтах и замоноличиванием вертикальных и горизонтальных стыков мелкозернистым бетоном класса не ниже B15 и не ниже класса бетона панелей. Все замоноличиваемые торцевые стыкуемые грани панелей стен и перекрытий (покрытий) следует выполнять с рифлеными или зубчатыми поверхностями. Глубину (высоту) шпонок и зубьев принимают не менее 40 мм;

- при опирании перекрытий на наружные стены здания и стены у антисейсмических швов предусматривать охват вертикальной арматуры стеновых панелей арматурой швов, приваренной к выпускам арматуры плит перекрытия.

При соответствующем обосновании допускается выполнять вертикальные стыковые соединения стен на закладных деталях, без устройства замоноличиваемых вертикальных колодцев и рифленых поверхностей граней панелей стен.

6.10.2. Армирование стеновых панелей следует выполнять двухсторонним, в виде пространственных каркасов или арматурных сеток. Площадь вертикальной и горизонтальной арматуры, устанавливаемой у каждой плоскости панели, должна составлять не менее 0,1% площади соответствующего сечения стены. (в ред. Изменения N 1, утв. Приказом Минстроя РФ от 26.12.2019 N 886/пр)

Толщину внутреннего несущего слоя многослойных панелей следует определять по результатам расчета и принимать не менее 100 мм.

Закладные детали, служащие для соединения панелей между собой, должны быть приварены к рабочей арматуре.

6.10.3. В местах пересечения (стыках) панелей стен или в вертикальных каналах стен должна быть размещена арматура, непрерывная на всю высоту здания. Допускается к применению для поэтажной стыковки элементов панельного здания винтовая арматура со стяжными муфтами и контргайками. Рекомендуется натяжение арматурных стержней в пределах каждого этажа. Вертикальную арматуру также следует устанавливать по граням дверных и оконных проемов и при регулярном расположении проемов поэтажно необходимо стыковать. Площадь поперечного сечения арматуры, устанавливаемой в стыках и по граням проемов, следует определять по расчету, но принимать не менее 2 см2 на каждый стык или грань проема.

В местах пересечения стен допускается размещать в наружных панелях не более 60% расчетного количества вертикальной арматуры с размещением остальной части арматуры во внутренних стеновых панелях на участке длиной не более 1 м от места пересечения стен (за исключением конструктивной арматуры). (в ред. Изменения N 1, утв. Приказом Минстроя РФ от 26.12.2019 N 886/пр)

6.10.4. Решения стыковых соединений должны обеспечивать восприятие расчетных усилий растяжения и сдвига. Сечение металлических связей в стыках панелей (горизонтальных и вертикальных) определяют расчетом, но их минимальное сечение должно быть не менее 1 см2 на 1 пог. м шва.

6.10.5. Встроенные лоджии выполняют длиной, равной расстоянию между соседними несущими стенами. В зданиях на площадках сейсмичностью 8 и 9 баллов в плоскости наружных стен в местах размещения лоджий следует предусматривать устройство железобетонных рам. В зданиях высотой до пяти этажей при расчетной сейсмичности 7 и 8 баллов допускается устройство пристроенных лоджий с выносом не более 1,5 м и связанных с основными стенами металлическими связями.

6.11. Здания с несущими стенами из монолитного железобетона

6.11.1. К монолитным зданиям помимо зданий, все стены и перекрытия которых выполняют из монолитного бетона, относятся также здания, наружные стены которых, а также отдельные участки внутренних стен и перекрытий монтируют из сборных элементов.

6.11.2. Монолитные здания следует проектировать, как правило, в виде перекрестно-стеновой системы с несущими или ненесущими наружными стенами. Жесткость верхнего этажа здания должна быть не менее 50% жесткости нижележащего этажа.

При технико-экономическом обосновании монолитные здания возможно проектировать ствольно-стеновой конструкции с одним или несколькими стволами.

6.11.3. Внутренние поперечные и продольные стены зданий на площадках сейсмичностью 8 и 9 баллов должны быть без изломов в плане в пределах стены. Максимальное расстояние между несущими стенами не должно превышать 7,2 м. В зданиях с ненесущими наружными стенами должно быть не менее двух внутренних продольных и поперечных стен.

6.11.4. Выступ части наружных стен в плане не должен превышать 6 м для зданий с расчетной сейсмичностью 7 и 8 баллов и 3 м для зданий с расчетной сейсмичностью 9 баллов.

6.11.5. Перекрытия могут быть монолитными, сборными и сборно-монолитными, обеспечивающими жесткий горизонтальный диск (диафрагму жесткости). Рекомендуется применять балочные конструкции перекрытий или безбалочные конструкции перекрытий с капителями колонн. (в ред. Изменения N 1, утв. Приказом Минстроя РФ от 26.12.2019 N 886/пр)

6.11.6. Стены лоджий следует выполнять как продолжение несущих стен.

6.11.7. При расчете конструкций следует проверять прочность горизонтальных и наклонных сечений глухих стен и простенков, вертикальных сопряжений стен, нормальных сечений в опорных зонах перемычек, сечений по полосе между возможными наклонными трещинами и по наклонной трещине.

6.11.8. Следует предусматривать конструктивное армирование по полю стен вертикальной и горизонтальной арматурой площадью сечения у каждой плоскости стены не менее 0,1% площади соответствующего сечения стены, в пересечениях стен, местах резкого изменения толщины стены, у граней проемов - арматурой площадью сечения не менее 2 см2, объединенной замкнутым хомутом с шагом не более 400 мм. (в ред. Изменения N 1, утв. Приказом Минстроя РФ от 26.12.2019 N 886/пр)

6.11.9 Армирование монолитных стен следует, как правило, выполнять пространственными каркасами, собираемыми из плоских вертикальных каркасов и горизонтальных стержней или плоских горизонтальных каркасов.

В пространственных каркасах, применяемых для армирования поля стен, диаметр вертикальной арматуры должны быть не менее 10 мм, а горизонтальной - не менее 8 мм. Шаг горизонтальных стержней, объединяющих каркасы, не должен превышать 400 мм. Армирование широких простенков можно выполнять диагональными каркасами.

6.11.10 Стыкование стержней и арматурных каркасов при бетонировании конструкций монолитных зданий следует осуществлять в соответствии с 6.7.10 - 6.7.12д. (в ред. Изменения N 1, утв. Приказом Минстроя РФ от 26.12.2019 N 886/пр)

6.11.11 Перемычки следует армировать пространственными каркасами и заводить их арматуру за грань проема по требованиям СП 63.13330 с учетом дополнительных требований настоящего свода правил, но не менее чем на 500 мм. Высокие перемычки допускается армировать диагональными каркасами.

Шаг поперечных стержней пространственных каркасов перемычек следует принимать не более 10d (d - диаметр продольных стержней) и не более 150 мм. Диаметр поперечных стержней следует принимать не менее 8 мм.

6.11.12. Вертикальные стыковые соединения стен следует армировать горизонтальными арматурными стержнями, площадь которых определяется расчетом, но должна быть не менее 0,5 см2 на 1 пог. м шва в зданиях до пяти этажей на территориях с расчетной сейсмичностью 7 и 8 баллов и не менее 1 см2 на 1 пог. м шва в остальных случаях.

6.12. Объемно-блочные и панельно-блочные здания

6.12.1. Объемно-блочные и панельно-блочные здания следует проектировать из цельноформованных или сборных объемных блоков и панелей, изготовляемых из тяжелого или легкого бетона класса не менее B15, объединенных в единую пространственную систему, воспринимающую сейсмические воздействия.

6.12.2. Объединение объемных блоков в единую пространственную систему может осуществляться одним из следующих способов:

- сварка закладных деталей или арматурных выпусков из стен и перекрытий объемных блоков;

- устройство в вертикальных полостях между стенами объемных блоков монолитных бетонных или железобетонных шпонок;

- устройство горизонтальных обвязочных балок в уровнях междуэтажных перекрытий и покрытия;

- замоноличивание стыков по вертикальным и горизонтальным швам мелкозернистым бетоном с пониженной усадкой;

- обжатие столбов объемных блоков вертикальной арматурой, напрягаемой в построечных условиях.

6.12.3. В объемно-блочных зданиях наряду с объемными блоками для восприятия сейсмических нагрузок допускается применять "скрытый" монолитный железобетонный каркас и диафрагмы жесткости, расположенные в вертикальных полостях между блоками.

6.12.4. Плита потолка блока должна быть плоской со вспарушенностью в середине не менее 20 мм. Толщину ее на опорах и в середине принимают по расчету, но не менее 50 мм (в среднем).

6.12.5. Плиты пола и стены объемных блоков следует устраивать часторебристыми или гладкими однослойными или многослойными. Толщина плоских однослойных стен и несущих слоев многослойных стен должна быть не менее 100 мм.

6.12.6. Толщина полок ребристых стен должна быть не менее 50 мм, а высота ребер, включая толщину полок, - не менее 100 мм.

6.12.7. Армирование объемных блоков следует выполнять двухсторонним, в виде пространственных каркасов, сварных сеток и отдельными стержнями, объединенными в единый арматурный пространственный блок. Допускается выполнять армирование плоских стен одинарным в виде плоской сварной сетки.

Площадь вертикальной и горизонтальной арматуры, устанавливаемой у каждой плоскости панели для арматуры каждого вида, должна составлять не менее 0,05% площади соответствующего сечения плиты.

6.12.8. Объемные блоки с одинарным армированием трех плоских стен допускается применять:

- в зданиях со скрытым монолитным каркасом независимо от этажности;

- в зданиях других типов - высотой не более пяти этажей при расчетной сейсмичности 7, 8 баллов и не более трех этажей - при расчетной сейсмичности 9 баллов.

6.12.9. Поэтажное опирание объемных блоков должно быть, как правило, по всей длине несущих стен. В зданиях до пяти этажей при расчетной сейсмичности 7 и 8 баллов и до трех этажей при расчетной сейсмичности 9 баллов допускается опирание блоков только по углам. При этом длина зоны опирания должна быть не менее 300 мм в каждую сторону от угла.

6.12.10. В зданиях более двух этажей, как правило, должно быть не менее одной внутренней стены. При этом в наружных стенах допускается применять блоки различных типоразмеров, выступающие или западающие на длину до 1,5 м.

6.12.11. Выступ части наружных стен здания в плане не должен превышать 6,0 м.

6.12.12. Конструктивные решения вертикальных и горизонтальных связей должны обеспечивать восприятие расчетных усилий. Необходимое сечение металлических связей определяют расчетом, но принимают не менее:

- вертикальных - 30 мм2 на 1 пог. м горизонтального шва между смежными по высоте блоками при сейсмичности 7 и 8 баллов и 50 - при сейсмичности 9 баллов;

- горизонтальных - 150 мм2 на 1 пог. м горизонтального шва между смежными в плане блоками.

При этом связи между смежными блоками допускается выполнять сосредоточенными по углам блоков.

В расчетах трение в горизонтальных стыковых соединениях не учитывают.

6.12.13. Размеры поперечного сечения элементов "скрытого" монолитного каркаса (колонн и ригелей) определяют расчетом, но они должны быть не менее 160 x 200 мм. Армирование колонн и ригелей "скрытого" каркаса должно осуществляться пространственными каркасами. При этом колонны должны иметь продольную арматуру не менее 4d12 класса А400, ригели - 4d10 при расчетной сейсмичности 7 и 8 баллов и не менее 4d12 при расчетной сейсмичности 9 баллов.

Класс бетона элементов "скрытого" каркаса должен быть не ниже B15.

6.12.14. Толщина монолитных диафрагм жесткости, выполняемых в полостях между блоками, должна быть не менее 100 мм. Армирование монолитных диафрагм жесткости допускается выполнять одинарными сетками.

6.12.15. Конструктивные решения диафрагм жесткости и элементов "скрытого" каркаса должны обеспечивать их совместную работу с объемными блоками.

6.12.16. При проектировании панельно-блочных зданий необходимо:

- предусматривать панели стен и перекрытий размером на комнату;

- соединять панели стен и перекрытий между собой и с блоками путем сварки выпусков арматуры, анкерных стержней или закладных деталей и замоноличивания вертикальных колодцев и участков стыков по горизонтальным швам мелкозернистым бетоном с пониженной усадкой;

- предусматривать сварные соединения выпусков арматуры из панелей перекрытий с вертикальной арматурой стеновых панелей при опирании перекрытий на наружные стены и стены у температурных швов.

6.13. Здания со стенами из крупных блоков

6.13.1. Стеновые блоки могут быть выполнены из бетонов, в том числе легких, а также изготовлены из кирпича или других штучных материалов с применением вибрирования в формах на вибростоле. Требуемое значение нормального сцепления кирпича (камня) с раствором в блоках определяют расчетом, но оно не должно быть менее 120 кПа.

Блоки наружных стен могут быть однослойными или многослойными.

6.13.2. Стены из крупных блоков могут быть:

а) двухрядной и многорядной разрезки. Усилия в швах воспринимаются силами трения и шпонками. Число надземных этажей в таких зданиях не должно превышать трех на площадках сейсмичностью 7 баллов и одного на площадках сейсмичностью 8 баллов;

б) двухрядной или трехрядной разрезки, соединяемые между собой с помощью сварки закладных деталей или арматурных выпусков;

в) многорядной разрезки, усиленные вертикальными железобетонными включениями.

6.13.3. Стеновые блоки должны быть армированы пространственными каркасами. Вертикальную арматуру в блоках устанавливают по расчету, но не менее 2d8 класса А240 по каждой боковой грани. Неармированные блоки допускаются на площадках сейсмичностью 7 баллов в зданиях высотой до трех этажей, а на площадках сейсмичностью 8 баллов - в одноэтажных зданиях. Стеновые блоки (как для наружных, так и для внутренних стен) следует применять только с пазами или четвертями на торцевых вертикальных гранях.

Блоки следует соединять между собой сваркой закладных деталей или выпусков арматуры. Вертикальная арматура по торцам простеночных блоков, в том числе на глухих участках стен, должна быть соединена с выпусками арматуры из фундамента, вертикальной арматурой вышележащих и нижележащих простеночных блоков, в том числе блоков смежных этажей, и заанкерена в антисейсмическом поясе перекрытия верхнего этажа.

6.13.4. Антисейсмические пояса в крупноблочных зданиях могут быть монолитными или сборно-монолитными из армированных блоков-перемычек. Блоки-перемычки соединяют между собой в двух уровнях по высоте путем сварки выпусков арматуры или закладных деталей с последующим замоноличиванием.

6.13.5. В уровне перекрытий и покрытий, выполненных из сборных железобетонных плит, по всем стенам должны быть устроены антисейсмические пояса из монолитного бетона, объединяющие выпуски арматуры из торцов плит перекрытий и выпуски из поясных блоков. Ширина пояса должна быть не менее 90 мм, высота - соответствовать толщине плит перекрытий, класс бетона - не ниже B12,5. При подборе арматуры антисейсмических поясов допускается учитывать продольную арматуру поясных блоков.

6.13.6. Связь между продольными и поперечными стенами обеспечивают тщательным бетонированием вертикальных пазов примыкающих блоков, укладкой арматурных сеток в каждом горизонтальном растворном шве и антисейсмическими поясами.

6.13.7. Стержни вертикальной арматуры должны быть установлены на всю высоту здания в углах, местах изломов стен в плане и сопряжений наружных стен с внутренними, в обрамлении проемов во внутренних стенах, по длине глухих стен не более чем через 3 м, по длине наружных стен - в обрамлении простенков.

При непрерывном вертикальном армировании продольную арматуру пропускают через отверстия в поясных блоках и стыкуют сваркой. Пазы в блоках в местах установки вертикальной арматуры следует заделывать бетоном на мелком щебне класса не менее B15 с вибрированием.

6.13.8. Для повышения сейсмостойкости зданий из крупных блоков следует устраивать вертикальные железобетонные включения в местах пересечения и по свободным торцевым граням стен. Для повышения горизонтальной жесткости глухих участков стен в вертикальных швах между простеночными блоками допускается также устраивать бетонные шпонки и сварные связи выпусков горизонтальной арматуры соседних блоков.

6.14. Здания со стенами из кирпича или каменной кладки

6.14.1. Для возведения стен из каменной кладки применяют керамические кирпичи и камни, бетонные блоки, природные камни правильной формы и мелкие блоки.

Несущие каменные стены следует возводить из кладки на растворах со специальными добавками, повышающими сцепление раствора с кирпичом или камнем. Вертикальные швы кладки следует заполнять раствором, за исключением кладки из кирпича и камней с пазогребневыми соединениями.

При расчетной сейсмичности 7 баллов допускается возведение несущих стен зданий из кладки на растворах с пластификаторами без применения специальных добавок, повышающих прочность сцепления раствора с кирпичом или камнем.

6.14.2. Запрещается при отрицательной температуре выполнение кладки несущих, самонесущих стен, заполнение каркаса и перегородок, в том числе усиленных армированием или железобетонными включениями, из кирпича (камня, блоков) при возведении зданий на площадках сейсмичностью 9 баллов и более.

При расчетной сейсмичности 8 баллов и менее допускается выполнение зимней кладки с обязательным включением в раствор добавок, обеспечивающих твердение раствора при отрицательных температурах.

Допускается ведение кладки в сейсмических районах при отрицательной температуре воздуха из подогретого до положительной температуры кирпича (камня, блока) на растворах без противоморозных добавок с дальнейшим укрыванием и выдержкой при положительной температуре до набора прочности раствором не менее 20% проектной.

6.14.3. Расчет каменных конструкций следует проводить на одновременное действие горизонтально и вертикально направленных сейсмических сил.

Значение вертикальной сейсмической нагрузки при расчетной сейсмичности 7 - 8 баллов должно быть 15%, а при сейсмичности 9 баллов - 30% соответствующей вертикальной статической нагрузки.

Направление действия вертикальной сейсмической нагрузки (вверх или вниз) следует принимать более невыгодным для напряженного состояния рассматриваемого элемента.

6.14.4. Для кладки несущих и самонесущих стен или заполнения каркаса применяют следующие изделия и материалы:

а) полнотелый и пустотелый кирпич, керамические камни и блоки марки не ниже М100.

Изделия с пустотами должны иметь: диаметр вертикальных пустот - не более 20 мм, стороны квадратных пустот - не более 22 мм, ширину щелевых пустот - не более 16 мм. Внутренние перегородки камня, параллельные плоскости стены, должны быть непрерывными. Пустотность изделий для кладки несущих и самонесущих стен без железобетонных включений или обойм (рубашек) не должна превышать 25%; не допускается применение керамических камней, имеющих пустоты со значением углов между внутренними перегородками разных направлений, отличным от 90°, на площадках сейсмичностью более 7 баллов;

б) камни и блоки правильной формы из ракушечников, известняков марки не ниже М35 или туфов (кроме фельзитового) марки М50 и выше;

в) для несущих стен следует применять бетонные камни, сплошные и пустотелые блоки из легкого и ячеистого бетонов классов по прочности на сжатие не ниже B3,5, марок по средней плотности не ниже D600; для самонесущих стен - классов по прочности на сжатие не ниже B2,5, марок по средней плотности не ниже D500.

Для возведения перегородок и ненесущих стен допускается применение кирпича и керамических камней марки не ниже М75 без ограничения размеров и пустот и гипсовых пазогребневых плит.

Штучная кладка стен должна выполняться на смешанных цементных растворах марки не ниже М25 в летних условиях и не ниже М50 в зимних или на специальных клеях. Для кладки блоков следует применять раствор марки не ниже М50 и специальные клеи.

6.14.5. Кладки в зависимости от их сопротивляемости сейсмическим воздействиям подразделяют на категории.

Категория кирпичной или каменной кладки, выполненной из материалов, предусмотренных 6.14.4, определяется сопротивлением осевому растяжению по неперевязанным швам (нормальное сцепление), значение которого должно быть в пределах:

- для кладки категории I;

- для кладки категории II.

Для повышения сопротивления осевому растяжению по неперевязанным швам (нормальное сцепление) следует применять растворы со специальными добавками.

Требуемое значение необходимо указывать в проекте. При проектировании значение следует назначать в зависимости от результатов испытаний, проводимых в районе строительства.

При невозможности получения на площадке строительства (в том числе на растворах с добавками, повышающими прочность их сцепления с кирпичом или камнем) значения применение кирпичной или каменной кладки не допускается.

Примечание - При расчетной сейсмичности 7 баллов допускается применение кладки из естественного камня при . При этом высота здания должна быть не более трех этажей, ширина простенков - не менее 0,9 м, ширина проемов - не более 2 м, а расстояния между осями стен - не более 12 м.

Проектом производства каменных работ должны предусматриваться специальные мероприятия по уходу за твердеющей кладкой, учитывающие климатические особенности района строительства. Эти мероприятия должны обеспечивать получение необходимых прочностных показателей кладки.

6.14.6. Значения расчетных сопротивлений кладки , , по перевязанным швам должны соответствовать СП 15.13330, а по неперевязанным швам - определяют по формулам (6.1) - (6.3) в зависимости от значения , полученного в результате испытаний, проводимых в районе строительства:

, (6.1)

, (6.2)

, (6.3)

Значения , , не должны превышать соответствующих значений для кирпича или камня при разрушении кладки.

6.14.7. Высота этажа зданий с несущими стенами из кирпичной или каменной кладки, не усиленной армированием или железобетонными включениями, не должна превышать при расчетной сейсмичности 7, 8 и 9 баллов 5; 4 и 3,5 м соответственно.

При усилении кладки армированием или железобетонными включениями высоту этажа допускается принимать равной 6; 5 и 4,5 м соответственно.

При этом отношение высоты этажа к толщине стены должно быть не более 12.

6.14.8. Для зданий с неполным каркасом при расчетной сейсмичности 7 - 8 баллов допускается применение наружных каменных стен и внутренних железобетонных или металлических рам (стоек), при этом должны выполняться требования, установленные для каменных зданий. Высота таких зданий не должна превышать 7 м.

6.14.9. В зданиях с несущими стенами шириной более 6,4 м кроме наружных продольных стен, как правило, должно быть не менее одной внутренней продольной стены. Расстояния между осями поперечных стен или заменяющих их рам должны проверяться расчетом и быть не более приведенных в таблице 6.2. Суммарная длина заменяющих рам должна быть не более 25% суммарной длины внутренних стен того же направления. Не допускается устройство двух рядом расположенных заменяющих рам одного направления.

В зданиях из мелких ячеисто-бетонных блоков расстояние между стенами независимо от расчетной сейсмичности не должно превышать 9 м.

Таблица 6.2

Расстояния между осями поперечных стен или заменяющих их рам

Расчетная сейсмичность, баллы Расстояние между осями поперечных стен или заменяющих их рам, м
7 18
8 15
9 12

6.14.10. Размеры элементов стен каменных зданий следует определять расчетом. Они должны соответствовать требованиям, приведенным в таблице 6.3.

Таблица 6.3

Размеры элементов несущих и самонесущих стен каменных зданий

Элемент стены Размер элемента стены, м, при расчетной сейсмичности, баллы Примечание
7 8 9
1. Простенки шириной, не менее, при кладке:       Ширину угловых простенков следует принимать на 25 см больше указанной.
- категории I 0,64 0,9 1,16 Простенки меньшей ширины необходимо усиливать железобетонным обрамлением
- категории II 0,77 1,16 1,55
2. Проемы шириной, не более 3,5 3 2,5 Проемы большей ширины следует окаймлять железобетонной рамкой
3. Отношение ширины простенка к ширине проема, не менее 0,33 0,5 0,75 -
4. Выступ стен в плане, не более 2 1 - -
5. Вынос карнизов, не более:        
- из материала стен 0,2 0,2 0,2  
- из железобетонных элементов, связанных с антисейсмическими поясами 0,4 0,4 0,4 Вынос деревянных неоштукатуренных карнизов допускается до 1 м
- из деревянных, оштукатуренных по металлической сетке 0,75 0,75 0,75  

6.14.11. В уровне перекрытий и покрытий следует устраивать антисейсмические пояса по всем продольным и поперечным стенам, выполняемые из монолитного железобетона или сборные с замоноличиванием стыков и непрерывным армированием. Антисейсмические пояса верхнего этажа должны быть связаны с кладкой вертикальными выпусками арматуры.

В зданиях с монолитными железобетонными перекрытиями, заделанными по контуру в стены, антисейсмические пояса в уровне этих перекрытий не устраивают.

6.14.12. Антисейсмический пояс (с опорным участком перекрытия) следует устраивать, как правило, на всю ширину стены; в наружных стенах толщиной 500 мм и более ширина пояса может быть меньше на 100 - 150 мм. Высота пояса должна быть не менее 150 мм, класс бетона - не ниже B12,5.

Продольная арматура поясов устанавливается по расчету, но не менее 4d10 при расчетной сейсмичности 7 - 8 баллов и не менее 4d12 - при 9 баллах.

6.14.13. В сопряжениях стен в кладку должны укладываться арматурные сетки сечением продольной арматуры общей площадью не менее 1 см2, длиной 1,5 м через 700 мм по высоте при расчетной сейсмичности 7 - 8 баллов и через 500 мм - при 9 баллах.

Участки стен и столбы над чердачным перекрытием высотой более 400 мм должны быть армированы или усилены монолитными железобетонными включениями, заанкеренными в антисейсмический пояс. Стены по верху должны иметь обвязочный железобетонный пояс, связанный с вертикальными железобетонными сердечниками.

Кирпичные столбы допускаются только при расчетной сейсмичности 7 баллов. При этом марка раствора должна быть не ниже М50, а высота столбов - не более 4 м. В двух направлениях столбы следует связывать заанкеренными в стены балками.

6.14.14. Сейсмостойкость каменных стен здания следует повышать сетками из арматуры, созданием комплексной конструкции, предварительным напряжением кладки или другими экспериментально обоснованными методами.

Кладки следует армировать сетками в горизонтальных швах и отдельными вертикальными стержнями или каркасами, размещаемыми в теле кладки или штукатурных слоях. Вертикальная арматура должна быть непрерывной и соединяться с антисейсмическими поясами. Не допускается соединение арматуры внахлест без сварки. В случае размещения вертикальной арматуры в штукатурных слоях она должна быть связана с кладкой хомутами, расположенными в горизонтальных швах кладки.

Вертикальные железобетонные элементы (сердечники) должны соединяться с антисейсмическими поясами.

Железобетонные включения в кладку комплексных конструкций, открытые не менее чем с одной стороны, следует устраивать с минимальным размером сечения не менее 120 мм.

При устройстве закрытых железобетонных сердечников минимальный размер их сечения должен быть не менее 150 мм. При этом необходимо предусматривать конструктивные мероприятия, обеспечивающие контроль заполнения бетоном железобетонных сердечников.

При проектировании стен комплексной конструкции из кирпича усиленные монолитными железобетонными включениями антисейсмические пояса и их узлы сопряжения со стойками следует рассчитывать и конструировать как элементы каркасов с учетом работы заполнения. В этом случае предусмотренные для бетонирования стоек пазы должны быть открытыми не менее чем с двух сторон. Если стены комплексной конструкции из кирпича выполняют с железобетонными включениями по торцам простенков, продольная арматура должна быть надежно соединена хомутами, уложенными в горизонтальных швах кладки. Бетон включений должен быть класса не ниже B12,5, кладка должна выполняться на растворе марки не ниже М50, а количество продольной арматуры не должно превышать 0,8% площади сечения бетона простенков.

Примечание - Несущую способность железобетонных включений, расположенных по торцам простенков, учитываемую при расчете на сейсмическое воздействие, не следует учитывать при расчете сечений на основное сочетание нагрузок.

6.14.15. В зданиях с несущими стенами в первых этажах, которые используют в качестве магазинов и других помещений, требующих большой свободной площади, следует применять железобетонные или стальные несущие конструкции.

6.14.16. Перемычки следует устраивать, как правило, на всю толщину стены и заделывать в кладку на глубину не менее 350 мм. При ширине проема до 1,5 м заделка перемычек допускается на глубину 250 мм. В ненесущих (навесных) стенах заделка перемычек допускается на глубину 200 мм.

6.15. Деревянные здания

6.15.1. Деревянные здания в сейсмических районах допускается проектировать каркасными, панельными, брусчатыми и бревенчатыми (СП 64.13330).

6.15.2. В каркасных и панельных зданиях сейсмическую нагрузку воспринимают вертикальные и горизонтальные элементы каркаса в сочетании с раскосами и обшивками.

6.15.3. Шаг стоек рекомендуется принимать не более 3 м. Каждая стойка должна крепиться к фундаменту анкерными болтами и иметь металлические связи с соответствующими им стойками по высоте здания и элементами горизонтальных обвязок в уровне перекрытий.

6.15.4. Перекрытия каркасных зданий могут выполняться с балками из сплошных или клеевых брусьев, круглых или окантованных бревен. Перекрытия панельных зданий могут выполняться из панелей или отдельных балок. В уровне перекрытий каркасных и панельных зданий по всем несущим стенам должны быть устроены непрерывные обвязки. Элементы обвязки должны соединяться между собой по всему контуру, включая угловые стыки, металлическими накладками на болтах или стяжками. Каждая балка перекрытия должна крепиться металлическими связями с балками примыкающего участка перекрытия и горизонтальными обвязками по контуру стен здания.

6.15.5. Жесткость стен и перекрытий каркасных и панельных зданий должна быть обеспечена раскосами, обшивкой из конструктивной фанеры или диагональной обшивкой из шпунтованных досок.

6.15.6. Конструкция панелей должна включать в себя контурную обвязку из брусьев с раскосами и обшивки из конструктивной фанеры или диагональные обшивки из шпунтованных досок. Каждая панель должна по всем углам быть связана с примыкающими панелями и горизонтальными обвязками в уровне перекрытий. Должны быть выполнены связи между вертикальными элементами обвязок панелей соседних этажей. Допускается конструктивно объединять связи панелей соседних этажей и их связи с обвязками в уровне перекрытий. Панели нижнего ряда должны быть связаны с фундаментом анкерными болтами. Допускается устанавливать один анкерный болт на две примыкающие стойки обрамления соседних панелей. Связи панелей между собой следует выполнять на болтах. Рекомендуется увеличивать жесткость панельных зданий креплением участка обшивки, выпущенной за контур обвязки панели стены или перекрытия, к обвязке примыкающей панели.

6.15.7. Жесткость стен из брусьев или бревен должна обеспечиваться постановкой стальных нагелей или шипов из древесины твердых пород по всей площади стен в шахматном порядке не реже 700 мм по длине, а также у углов и в пересечениях стен, на участках, примыкающих к оконным и дверным проемам.

6.15.8. Оконные и дверные проемы следует обрамлять жесткими вертикальными элементами, рассчитанными на восприятие сейсмических нагрузок из плоскости стены.

6.15.9. Венцы выше чердачного перекрытия, на которые должны опираться стропила, следует скреплять сквозными нагелями. Верхние венцы в углах и пересечениях следует объединять угловыми балками на врезках и сквозных нагелях.

6.15.10. В углах и пересечениях стен следует устанавливать сжимы в виде вертикальных стоек с обеих сторон, объединенных стяжными болтами с шагом по высоте не более 1,5 м. При этом отверстия под болты в сжимах следует выполнять продолговатыми, не препятствующими осадке срубов. Стойки рекомендуется выполнять неразрезными на всю высоту здания. Сжимы также необходимо ставить у проемов с пролетом более 1,5 м и на участках стен длиной более 6 м.

6.15.11. Пригонка венцов должна быть плотной. При сейсмичности 8 и 9 баллов следует применять врубку в полдерева с остатком не менее 250 мм или без остатка с усилением углов плоскими уголками жесткости с прошивкой их гвоздями. В районах с расчетной сейсмичностью 7 баллов допускается врубка в полдерева с прошивкой двумя нагелями в узле по осям брусьев или впритык.

6.15.12. В рубленых домах балки перекрытия следует соединять со стенами врубкой, а в районах сейсмичностью 9 баллов балки перекрытий должны скрепляться стальными гнутыми металлическими полосами с креплением к балке болтами, а к стене нагелями.

6.15.13. В районах сейсмичностью 7 и 8 баллов в брусчатых и бревенчатых зданиях анкерные болты крепления обвязки по верху фундамента дополнительно следует устанавливать в углах и пересечениях стен, а при сейсмичности 9 баллов - и в местах расположения сжимов. При этом в целях обеспечения надежной связи стен с фундаментом основные анкеры должны пропускаться в обруб на один-два венца выше промежуточных дополнительных. Шаг основных анкеров следует принимать не более 1,5 м при сейсмичности 9 баллов и не более 2 м при сейсмичности 7 и 8 баллов.

6.15.14. Конструкции крыш следует принимать безраспорными, преимущественно с легкой кровлей. Жесткость конструкций крыш должна обеспечиваться установкой раскосов между стойками в обоих направлениях плана здания.

Подраздел 6.16 - Исключен. (в ред. Изменения N 1, утв. Приказом Минстроя РФ от 26.12.2019 N 886/пр)

Подраздел 6.17 - Исключен. (в ред. Изменения N 1, утв. Приказом Минстроя РФ от 26.12.2019 N 886/пр)

Подраздел 6.18 - Исключен. (в ред. Изменения N 1, утв. Приказом Минстроя РФ от 26.12.2019 N 886/пр)

6.18а. Навесные фасады (в ред. Изменения N 1, утв. Приказом Минстроя РФ от 26.12.2019 N 886/пр)

6.18а.1. Навесные фасады зданий, в том числе выполняемые в виде светопрозрачных конструкций (далее - навесные фасады или НФ), состоят из вертикальных и горизонтальных профилей, заполнения или деталей, соединенных между собой и закрепленных на несущем каркасе здания или сооружения с помощью кронштейнов. Конструкции НФ образуют наружную оболочку здания, которая самостоятельно или в сочетании с каркасом здания выполняет функции наружной стены, но не участвует в восприятии нагрузок каркаса здания.

В сейсмических районах, как правило, используются конструкции НФ стоечно-ригельного или модульного фасада из элементов заводского изготовления.

6.18а.2. При проектировании НФ учитываются следующие факторы, влияющие на выбор его конструкции:

- климатические условия района строительства;

- уровень предполагаемых нагрузок и воздействий (ветровые, сейсмические и др.);

- требуемые эксплуатационные режимы помещений (параметры внутренней среды);

- архитектурные и функциональные требования (например, выбор материала и т.д.);

- надежность (долговечность, ремонтопригодность);

- соответствие изделий условиям их безопасной эксплуатации.

6.18а.3. При проектировании НФ необходимо выполнять расчетную проверку несущей способности элементов НФ и узлов их соединений по напряжениям и (или) разрушающей нагрузке, а также оценку прогибов и устойчивости конструкции.

6.18а.4. Конструкции НФ (несущие элементы конструкции, кронштейны крепления, элементы облицовки) должны быть рассчитаны на сейсмические воздействия в соответствии с разделом 5, а также ГОСТ 30546.1.

6.18а.5. Прочностные расчеты включают:

- расчет несущих профилей (проверка прочности на растяжение с изгибом, на сдвиг (срез); проверка прочности крепления профиля к несущему кронштейну; проверка жесткости профиля);

- расчет несущего кронштейна (проверка прочности на растяжение с изгибом, на срез) с учетом климатических и сейсмических нагрузок;

- проверку прочности крепления кронштейнов к несущим конструкциям здания или сооружения;

- проверку прочности крепления облицовки.

6.18а.6. Физико-механические характеристики материалов профилей, их соединений и крепежных элементов НФ принимаются согласно СП 16.13330 или СП 128.13330 в зависимости от используемого материала конструкций (стальные или алюминиевые).

6.18а.7. Элементы облицовки НФ устанавливаются без начального напряжения в них и в крепеже. Все элементы системы должны надежно соединяться между собой, в том числе для предотвращения вибрации и связанных с ней шумов или выпадения облицовки.

6.18а.8. Проектирование НФ со светопрозрачным заполнением осуществляется с учетом требований СП 426.1325800 и в соответствии с разделом 5.

Остекление НФ со светопрозрачным заполнением следует выполнять с использованием закаленного, термоупрочненного либо многослойного стекла, не допускающего травматизма людей, находящихся как внутри помещений, так и снаружи, в случае разрушения светопрозрачных конструкций.

Допускается выполнение расчетов стекла фасадных конструкций по МКЭ. Дополнительно необходимо выполнить расчеты светопрозрачных конструкций (стекла) по методу предельных состояний с учетом нагрузок от сейсмического воздействия.

Требования к подбору, расчету и проектированию приведены в [4].

Зоны герметизации стеклопакетов ограждающих конструкций должны быть закрыты непрозрачными конструктивными элементами (декоративными крышками, капотами). В случае их отсутствия по архитектурным соображениям (структурное остекление) для герметизации стеклопакетов следует применять герметики, стойкие к ультрафиолетовому излучению.

Толщину стекол и стекол в составе стеклопакетов следует принимать по расчету с учетом требований ГОСТ 111, ГОСТ 24866, ГОСТ 30698, ГОСТ 30826, ГОСТ 33087, ГОСТ 31364.

Максимальный прогиб элементов каркаса светопрозрачных ограждающих конструкций под действием нормативных нагрузок не должен превышать 1/200 расстояния между ближайшими опорами, но не более 15 мм в габаритах одного стеклопакета.

При расчете по предельному состоянию первой группы следует принимать для стекла следующие значения максимально допустимого нормального напряжения:

- флоат-стекло, незакаленное - 15 МПа (ГОСТ 111);

- многослойное стекло, из незакаленного флоат-стекла - не менее 15 МПа;

- флоат-стекло, закаленное - не менее 50 МПа;

- многослойное стекло, из закаленного флоат-стекла - не менее 50 МПа.

Модуль упругости стекла E = 63765 МПа.

Для светопрозрачных конструкций из стекла площади блока остекления должны быть не более 12 м2.

При использовании в светопрозрачных конструкциях НФ разнородных металлов в зонах их контактов с учетом агрессивности среды необходимо предусматривать меры по предотвращению контактной коррозии.

6.18а.9. Основные несущие элементы НФ (кронштейны и направляющие) следует принимать из коррозионно-стойких сталей или оцинкованной стали, в том числе с полимерным (порошковым) покрытием, из алюминиевых профилей и крепить к несущим конструкциям здания. Шайбы, распорные элементы анкерных дюбелей, анкеры, вытяжные заклепки следует принимать из коррозионно-стойкой стали.

В качестве заполнения (облицовки) НФ следует применять металлические и композитные кассеты, плитные конструкции (плиты керамогранита, фибробетона и т.п.), а также светопрозрачные конструкции (стекло, стеклопакеты, полимерные материалы (поликарбонат и т.п.)).

Крепление кронштейнов к несущим конструкциям здания следует осуществлять с помощью анкеров с глубиной заделки не менее 100 мм, с диаметром шпильки не менее 10 мм.

6.18а.10. Анкерный крепеж НФ должен соответствовать следующим требованиям:

- крепление анкерного крепежа рассчитывается из условия прочности и деформативности на действия расчетных нагрузок от сейсмических воздействий, с учетом места расположения по высоте здания;

не допускается применение анкерного крепежа в виде саморезов для соединения элементов НФ между собой и с конструкциями здания.

6.18а.11. Для установки НФ должны также выполняться следующие условия:

- применение фасадных конструкций в конкретном проекте должно соответствовать условиям (типоразмерный ряд, условия эксплуатации, места установки), для которых в отношении данного типа НФ выполнялись испытания на сейсмостойкость (при наличии положительного заключения по результатам таких испытаний);

- до начала монтажа несущих элементов НФ необходимо провести испытания ее конструкций, в том числе на вырыв анкеров из материала несущей системы здания. При этом значения расчетных усилий должны быть не менее значений, установленных в регламентных требованиях (технических условиях и пр.) организаций-производителей с учетом нагрузок от сейсмического воздействия;

- узлы крепления НФ к несущим конструкциям здания должны обеспечивать свободные деформации ограждений при температурно-влажностных воздействиях, в процессе прогнозируемой деформации каркаса здания, а также в процессе прогнозируемой осадки здания в период строительства и стабилизации осадок;

- не допускается установка анкерного крепежа в наружные ограждающие стены, выполненные из каменных материалов, легких и ячеистобетонных блоков плотностью ниже 800 кг/м3;

- все элементы крепления и фиксации несущего каркаса, которые после монтажа окажутся недоступными для технического осмотра, должны быть защищены от коррозии в соответствии с СП 28.13330;

- конструкции НФ и их крепление к несущим конструкциям следует рассчитывать по прочности, устойчивости и деформативности как в целом, так и для отдельных элементов (узлов);

- для конструкций следует учитывать температурные климатические воздействия, если конструкция фасада не предусматривает компенсации температурных деформаций соответствующих элементов. Значение компенсационного зазора между блоками конструкций фасадов необходимо устанавливать по конструктивным соображениям или на основании расчета на температурные климатические воздействия.

При проектировании следует предусматривать устройства и механизмы для обслуживания и ремонта фасадных конструкций.

6.18а.12. Изготовление и монтаж стальных деталей креплений конструкций НФ к конструкциям здания следует выполнять в соответствии с требованиями СП 70.13330, проектной документации, а также правилами приемки и монтажа металлических конструкций.

6.18а.13. Мероприятия по оценке и подтверждению соответствия характеристик НФ проектным данным в процессе строительства и при эксплуатации здания следует отражать в проектной документации.

6.18а.14. Способы контроля качества (правила контроля, методы испытаний) НФ определяются СП 70.13330, ГОСТ 13015, ГОСТ 17625, ГОСТ 22904, ГОСТ 23858 и др., а также техническими условиями на НФ, разрабатываемыми и утверждаемыми в установленном порядке организациями-производителями.

6.18а.15. Требования к организации наблюдений за техническим состоянием НФ (далее - мониторинг) приведены в ГОСТ 31937.

Периодичность мониторинга с геодезической проверкой пространственного положения конструкций НФ устанавливается не реже одного раза в три года.

Внеочередные обследования НФ следует проводить после стихийных бедствий или аварий, а также в случае выявления их аварийного состояния. В первые пять лет эксплуатации здания такие осмотры путем визуального обследования осуществляются после каждого землетрясения на площадке строительства интенсивностью более 3 баллов на площадке расположения здания, а далее в течение всей эксплуатации здания после каждого землетрясения интенсивностью более 5 баллов.

В соответствии с ГОСТ 31937 при мониторинге следует контролировать целостность облицовочного материала, состояние антикоррозионной защиты (металлических элементов, изделий, сварных швов и пр.), техническое состояние элементов подсистемы, влажность утеплителя, крепежа и др.

Конструкции НФ, в которых обнаружены деформации, трещины и другие повреждения, свидетельствующие об изменении пространственного положения, должны быть проверены дополнительно, в рамках специальной программы ремонтно-восстановительных мероприятий.

6.19. Безопасность эксплуатируемых зданий и сооружений (в ред. Изменения N 1, утв. Приказом Минстроя РФ от 26.12.2019 N 886/пр)

6.19.1. Требования настоящего подраздела следует соблюдать при разработке мероприятий по обеспечению сейсмической безопасности эксплуатируемых зданий, в том числе восстанавливаемых после землетрясения и усиливаемых в связи с изменением сейсмичности площадки или функционального назначения объекта. (в ред. Изменения N 1, утв. Приказом Минстроя РФ от 26.12.2019 N 886/пр)

Примечание - Под изменением функционального назначения здания подразумеваются изменения, влекущие за собой повышение ответственности зданий, а также отнесение здания к объектам, функционирование которых в работоспособном состоянии необходимо для ликвидации чрезвычайных ситуаций, обусловленных землетрясением.

6.19.2. Необходимость восстановления или усиления здания устанавливается с учетом СП 442.1325800 на основании результатов обследования, выполняемого в соответствии с ГОСТ 31937. Расчетную сейсмичность существующего сооружения следует принимать равной расчетной сейсмичности площадки расположения объекта (см. раздел 5). Элементы здания с недостаточной несущей способностью выявляют расчетом. (в ред. Изменения N 1, утв. Приказом Минстроя РФ от 26.12.2019 N 886/пр)

6.19.3. Необходимость восстановления или усиления здания устанавливается с учетом СП 442.1325800 на основании результатов обследования, выполняемого в соответствии с ГОСТ 31937. Расчетную сейсмичность для существующего сооружения следует принимать равной расчетной сейсмичности площадки расположения объекта (см. раздел 5). Элементы здания с недостаточной несущей способностью выявляют расчетом. (в ред. Изменения N 1, утв. Приказом Минстроя РФ от 26.12.2019 N 886/пр)

6.19.4. Целью усиления является обеспечение необходимого класса сейсмостойкости здания или сооружения, при котором будет обеспечено его работоспособное состояние при реализации расчетной сейсмичности площадки расположения объекта. (в ред. Изменения N 1, утв. Приказом Минстроя РФ от 26.12.2019 N 886/пр)

6.19.5. исключен. (в ред. Изменения N 1, утв. Приказом Минстроя РФ от 26.12.2019 N 886/пр)

6.19.6. Восстановление зданий, поврежденных землетрясениями, должно сопровождаться технико-экономическим обоснованием и выполняться в рамках проекта реконструкции.

6.19.7. Для удовлетворения требованиям механической безопасности эксплуатируемых зданий с недостаточным классом сейсмостойкости необходимо использовать следующие инженерные методы и решения: (в ред. Изменения N 1, утв. Приказом Минстроя РФ от 26.12.2019 N 886/пр)

- перечисление. - Исключено. (в ред. Изменения N 1, утв. Приказом Минстроя РФ от 26.12.2019 N 886/пр)

- изменение объемно-планировочных решений путем разделения зданий сложных конструктивных схем на отсеки простой формы антисейсмическими швами, разборки верхних этажей здания, устройства дополнительных элементов жесткости для обеспечения симметричного расположения жесткостей в пределах отсека и уменьшения расстояния между ними;

- усиление стен, рам, вертикальных связей для обеспечения восприятия усилий от расчетных сейсмических воздействий;

- увеличение надежности соединения элементов сборных перекрытий устройством или усилением антисейсмических поясов;

- обеспечение связей между стенами различных направлений, между стенами и перекрытиями;

- усиление элементов соединения сборных конструкций стен;

- изменение конструктивной схемы здания, в том числе путем введения системы дополнительных конструктивных элементов;

- снижение массы здания, применение сейсмоизоляции, пассивного демпфирования и других методов регулирования сейсмической реакции;

- изменение функционального назначения здания (снижение уровня ответственности).

6.19.8.-6.19.10. исключены. (в ред. Изменения N 1, утв. Приказом Минстроя РФ от 26.12.2019 N 886/пр)

6.19.11. Решения о восстановлении или усилении зданий следует принимать с учетом их физического и морального износа, назначения и социально-экономической целесообразности мероприятий по восстановлению или усилению.

7. Транспортные сооружения

7.1. Положения настоящего раздела распространяются на строительство сооружений скоростных магистралей, магистралей с преимущественно пассажирским движением, особогрузонапряженных магистралей и железных дорог категорий I - IV, автомобильных дорог общего пользования категорий I - IV, метрополитенов, скоростных городских дорог и магистральных улиц, пролегающих в районах сейсмичностью 6 - 10 баллов.

7.2. Транспортные сооружения в сейсмических районах, грунты строительных площадок и прилегающие к ним территории (акватории) следует рассматривать как составные части природно-технической системы, подвергающейся при землетрясениях воздействиям в виде сейсмических волн в грунте, перемещений крыльев сейсмоактивных разломов, тектонических разрывов земной поверхности, сейсмооползней, обвалов, осыпей, снежных лавин, селевых и водно-песчаных потоков, разжижения грунта, цунами, гравитационных волн, образующихся при обрушении в водохранилища, заливы и проливы больших масс горных пород, затопления участков местности из-за ее опускания или образования сейсмотектонических и сейсмогравитационных дамб в долинах рек, изменения условий работы грунтов и строительных материалов, влияющих на прочность и устойчивость оснований и несущих конструкций.

7.3. Мероприятия по защите транспортных сооружений от поражающих факторов землетрясений следует предусматривать при новом строительстве, капитальном ремонте (реконструкции) и восстановлении транспортной инфраструктуры после разрушительных подземных толчков.

7.4. Состав и объем защитных мероприятий должны быть достаточными для предотвращения летальных людских потерь, недопустимого экономического и экологического ущерба в результате обрушения сооружений, нарушения устойчивости склонов в полосе отвода транспортных коммуникаций, нарушения транспортной доступности района стихийного бедствия, аварий транспортных средств, выброса в окружающую среду перевозимых по дорожной сети углеводородов, радиоактивных и других опасных веществ, остановки работы предприятий из-за прекращения поставок угля, цемента, леса и других грузов вследствие землетрясения расчетной силы.

7.5. При проектировании транспортных сооружений выбор карты из комплекта карт ОСР-2016 следует выполнять по СП 268.1325800. (в ред. Изменения N 1, утв. Приказом Минстроя РФ от 26.12.2019 N 886/пр)

7.6. Мероприятия по защите от землетрясений транспортных сооружений разрабатываются с предварительным УИС района (пункта) строительства и с учетом результатов работ по СМР строительных участков. Работы выполняются при инженерных изысканиях по правилам, изложенным в СП 269.1325800, учитывающим сейсмотектоническую обстановку, особенности сейсмического режима местности, строение грунтовой толщи, геоморфологические условия, расположение в плане и глубину заложения объекта.

7.7. Проектирование транспортных сооружений в сейсмических районах, в том числе восстанавливаемых после разрушительного землетрясения или усиливаемых в процессе эксплуатации, следует выполнять согласно требованиям, изложенным в СП 268.1325800.

Примечание - Повреждения транспортных сооружений после землетрясения оцениваются согласно СП 270.1325800.

7.8. При проектировании транспортных сооружений следует учитывать требования ГОСТ 27751, СП 119.13330, СП 34.13330, СП 35.13330, СП 122.13330, СП 120.13330, СП 22.13330, СП 24.13330 и СП 63.13330.

8. Гидротехнические сооружения (в ред. Изменения N 1, утв. Приказом Минстроя РФ от 26.12.2019 N 886/пр)

8.1. Положения настоящего раздела распространяются на проектирование, строительство новых и реконструируемых напорных и безнапорных ГТС в сейсмических районах: плотин, дамб, водоприемников, поверхностных и донных водосбросов, каналов, гидротехнических туннелей, напорных трубопроводов, сооружений на деривационных трактах, шлюзов, судоподъемников, направляющих и причальных сооружений, рыбопропускных сооружений, берегоукрепительных сооружений, причальных пирсов и стенок, волноломов, доков, подземных сооружений гидроэлектрических станций, ГТС тепловых и атомных станций, а также сооружений, возводимых на шельфе.

8.2. Настоящий раздел устанавливает требования для ГТС, размещаемых или расположенных в районах с нормативной сейсмичностью , равной 6 баллам и более по карте C (со средним периодом повторяемости воздействия один раз в 5000 лет) комплекта карт ОСР-2016.

8.3. Для обеспечения сейсмостойкости проектируемых, строящихся и эксплуатируемых ГТС требуется:

- выполнение комплекса расчетов по оценке прочности и устойчивости сооружений и их элементов с учетом взаимодействия ГТС с основанием и водохранилищем;

- применение конструктивных решений и материалов, повышающих сейсмостойкость ГТС;

- проведение на стадии проектирования водоподпорных сооружений классов I и II и МНГС исследований с задачей установления исходной и расчетной сейсмичности площадки строительства, наличия опасных процессов и явлений, связанных с сейсмичностью, определения расчетных сейсмических воздействий, получение, при необходимости, набора акселерограмм для этих воздействий;

- включение в проекты водоподпорных сооружений классов I и II отдельного раздела о проведении в процессе эксплуатации сооружения мониторинга опасных геодинамических явлений;

- обследование состояния ГТС и их оснований после каждого перенесенного землетрясения интенсивностью 5 баллов и более.

8.4. Все ГТС следует рассчитывать на два уровня сейсмических воздействий: МРЗ и ПЗ.

За МРЗ принимается землетрясение (сейсмическое воздействие) максимальной интенсивности на площадке строительства со средней повторяемостью один раз в 5000 лет для водоподпорных сооружений классов I, II и III и МНГС и повторяемостью один раз в 1000 лет - для всех остальных ГТС.

За ПЗ принимается землетрясение (сейсмическое воздействие) максимальной интенсивности на площадке строительства с повторяемостью один раз в 500 лет для всех ГТС.

Гидротехнические сооружения должны воспринимать МРЗ без угрозы собственного разрушения, в том числе ВСНФ всех классов - без угрозы прорыва напорного фронта, а МНГС - без угрозы собственного разрушения и без угрозы повреждений, приводящих к выбросу в окружающую среду углеводородов.

Сейсмические воздействия уровня ПЗ должны восприниматься ГТС без угрозы для жизни и здоровья людей и с сохранением собственной ремонтопригодности (для ВСНФ - при любом предусмотренном правилами эксплуатации уровне верхнего бьефа). При этом допускаются остаточные смещения, деформации, трещины и иные повреждения.

Примечание - Морские портовые причальные сооружения классов I и II, а также оградительные сооружения класса I рассчитывают на два уровня сейсмических воздействий. Остальные портовые безнапорные сооружения допускается рассчитывать только на сейсмические воздействия уровня ПЗ.

8.5. При проектировании ГТС для определения нормативной сейсмичности района строительства необходимо использовать систему нормативных карт ОСР-2016 либо список населенных пунктов Российской Федерации, расположенных в сейсмических районах согласно приложению А. При этом используют карту:

- ОСР-2016-C - при расчете на МРЗ водоподпорных сооружений классов I, II и III;

- ОСР-2016-B - при расчете на МРЗ водоподпорных сооружений класса IV и безнапорных ГТС;

- ОСР-2016-A - при расчете на ПЗ ГТС всех классов и видов.

8.6. Исходную сейсмичность площадки ВСНФ классов I и II и МНГС для МРЗ и ПЗ следует определять по результатам ДСР. При этом должна быть составлена сейсмотектоническая модель сейсмического района расположения объекта, содержащая карту основных зон ВОЗ с параметрами сейсмических воздействий (максимальные магнитуды, глубины очагов и эпицентральные расстояния, повторяемость землетрясений). Следует также установить расчетные параметры сейсмических воздействий из всех выделенных зон на площадке сооружения с определением значений максимальных пиковых ускорений. Должны быть приведены также сведения о наличии или отсутствии активных разломов и возможности склоновых смещений большого объема и их параметрах.

Исходную сейсмичность площадок других ГТС допускается принимать равной:

- при расчете на МРЗ:

- для ВСНФ класса III - значению величины (карта ОСР-2016-C);

- для ВСНФ класса IV и безнапорных ГТС - значению величины (карта ОСР-2016-B);

- при расчете на ПЗ для ГТС всех классов и видов - значению величины (карта ОСР-2016-A).

В случаях, когда нормативная сейсмичность района для требуемого периода повторяемости превышает 9 баллов, исходную сейсмичность площадки ГТС независимо от вида и класса ГТС следует определять на основе ДСР или УИС.

8.7. Расчетную сейсмичность площадки ГТС следует устанавливать, исходя из исходной сейсмичности и с учетом данных СМР.

Расчетную сейсмичность принимают для уровней МРЗ и ПЗ.

8.8. Определение расчетных сейсмических воздействий для ГТС, расположенных в сейсмических районах, их проектирование, а также мониторинг опасных для ГТС геодинамических явлений проводят в соответствии с требованиями СП 358.1325800, СП 23.13330, СП 39.13330, СП 40.13330, СП 41.13330, СП 58.13330, СП 369.1325800.

9. Пожарная безопасность в сейсмических районах (в ред. Изменения N 1, утв. Приказом Минстроя РФ от 26.12.2019 N 886/пр)

Проектирование зданий и сооружений в сейсмических районах осуществляется в соответствии с действующими нормативными правовыми актами и нормативными документами по пожарной безопасности и положениями настоящего свода правил. (в ред. Изменения N 1, утв. Приказом Минстроя РФ от 26.12.2019 N 886/пр)

9.1. При проектировании зданий и сооружений в сейсмических районах выбор строительных конструкций со средствами огнезащиты и систем противопожарной защиты следует проводить с учетом необходимого уровня их сейсмической безопасности, соответствующих расчетных сейсмических воздействий и оценки работоспособности после них. (в ред. Изменения N 1, утв. Приказом Минстроя РФ от 26.12.2019 N 886/пр)

9.1.1. Для обеспечения требуемого предела огнестойкости строительных конструкций зданий и сооружений, при необходимости, следует применять средства огнезащиты, прошедшие подтверждение соответствия по утвержденным методам от испытательных центров и лабораторий, допущенных к проведению таких работ в порядке, установленном действующим законодательством. При этом требования по сейсмостойкости строительных конструкций со средствами огнезащиты, систем противопожарной защиты следует устанавливать в соответствии с настоящим сводом правил, СП 2.13130, СП 5.13130, СП 10.13130. (в ред. Изменения N 1, утв. Приказом Минстроя РФ от 26.12.2019 N 886/пр)

9.1.2. Эффективность средств огнезащиты оценивают по ГОСТ Р 53292 и ГОСТ Р 53295. Пределы огнестойкости строительных конструкций с огнезащитой и их класс пожарной опасности устанавливают по ГОСТ 30247.0 и ГОСТ 30403. При этом применяемые средства огнезащиты должны обеспечивать:

- выполнение несущими конструкциями зданий и сооружений их несущих функций (признак R) после сейсмического воздействия на них, без ограничения требований по признакам E и I, при температурном воздействии по стандартному температурному режиму по ГОСТ 30247.0 или иным режимам (углеводородный, альтернативный, реальный). При этом допускается снижение предела огнестойкости несущих конструкций зданий и сооружений не более чем в два раза после расчетного сейсмического воздействия при условии, что до момента ввода таких объектов в режим нормальной эксплуатации после землетрясения будут обеспечены проектные значения огнестойкости;

- сохранность прочностных характеристик несущих конструкций зданий и сооружений повышенного уровня сейсмической безопасности на уровне, достаточном, чтобы выдержать повторные толчки интенсивностью воздействия в два раза меньше, чем происшедшее расчетное землетрясение, и возможное одновременное воздействие пожара. Для наиболее ответственных несущих конструкций допускается применять преимущественно огнезащиту материалами, обеспечивающими их надежную адгезию или крепление к защищаемой конструкции и сохранение огнезащитных свойств для дальнейшей эксплуатации. (в ред. Изменения N 1, утв. Приказом Минстроя РФ от 26.12.2019 N 886/пр)

9.1.3. Применяемые средства огнезащиты не должны снижать способность строительных конструкций противостоять сейсмическим воздействиям.

При повышении пределов огнестойкости покрытий и перекрытий зданий и сооружений подвесные потолки не учитываются. (в ред. Изменения N 1, утв. Приказом Минстроя РФ от 26.12.2019 N 886/пр)

9.1.4. При проведении расчетов (в т.ч. огнестойкости) строительных конструкций со средствами огнезащиты, а также системами противопожарной защиты (орошения, охлаждения и пр.) следует руководствоваться требованиями раздела 5. В расчетах зданий и сооружений повышенного уровня ответственности и сейсмической безопасности следует учитывать изменение прочностных и деформационных характеристик строительных конструкций и материалов, вызванное огневым воздействием с длительностью, установленной в соответствии с 9.1.2. (в ред. Изменения N 1, утв. Приказом Минстроя РФ от 26.12.2019 N 886/пр)

9.1.5. Устойчивость к сейсмическим воздействиям строительных конструкций со средствами огнезащиты и системами противопожарной защиты, а также их креплений следует подтверждать результатами испытаний, выполненных на натурных фрагментах, с учетом требований ГОСТ 30546.1.

Конструктивные и иные средства огнезащиты, не прошедшие испытаний на сейсмические воздействия по надежности крепления к конструкциям, применять не допускается. (в ред. Изменения N 1, утв. Приказом Минстроя РФ от 26.12.2019 N 886/пр)

9.1.6. Для строительных площадок с различной сейсмичностью допускается формировать требования к пределам огнестойкости строительных конструкций объекта на основе данных, полученных путем расчетов динамики развития пожара или экспериментальным путем на здании или его фрагменте, с учетом эквивалентной продолжительности пожара.

Результаты таких исследований вместе с расчетами и испытаниями применяются для оценки эффективности технических решений по обеспечению требуемой огнестойкости строительных конструкций. (в ред. Изменения N 1, утв. Приказом Минстроя РФ от 26.12.2019 N 886/пр)

9.2. Оборудование технологической части автоматических установок пожаротушения (насосные, иные силовые агрегаты, трубопроводы, их опорные конструкции, модули пожаротушения, коллекторы, распределительные устройства) также подлежат оценке на сейсмостойкость по апробированным методикам. (в ред. Изменения N 1, утв. Приказом Минстроя РФ от 26.12.2019 N 886/пр)

9.2.1. Обоснование сейсмостойкости оборудования технологической части должно выполняться расчетными и (или) экспериментальными методами в соответствии с требованиями ГОСТ 30546.1. (в ред. Изменения N 1, утв. Приказом Минстроя РФ от 26.12.2019 N 886/пр)

9.2.2. Проверка сейсмостойкости наружного и внутреннего противопожарного водопровода, модулей и батарей автоматических установок пожаротушения, а также автономных установок (устройств) проводятся с учетом узлов их крепления к строительным конструкциям. (в ред. Изменения N 1, утв. Приказом Минстроя РФ от 26.12.2019 N 886/пр)

9.2.3. Допускаемые перемещения для оборудования и трубопроводов определяются в зависимости от эксплуатационных условий (недопустимые соударения и перекосы, разуплотнение герметичных стыков и т.п.). (в ред. Изменения N 1, утв. Приказом Минстроя РФ от 26.12.2019 N 886/пр)

9.2.4. Сейсмические нагрузки на оборудование технологической части систем противопожарной защиты задается с учетом одновременного сейсмического воздействия по трем пространственным компонентам. (в ред. Изменения N 1, утв. Приказом Минстроя РФ от 26.12.2019 N 886/пр)

9.2.5. При обосновании сейсмостойкости оборудования технологической части учитываются два вида сейсмических нагрузок:

- инерционные нагрузки, вызванные динамическими колебаниями системы при заданном сейсмическом воздействии;

- нагрузки, возникающие в результате относительного смещения опор оборудования технологической части установок (устройств) пожаротушения при расчетном землетрясении. (в ред. Изменения N 1, утв. Приказом Минстроя РФ от 26.12.2019 N 886/пр)

9.2.6. При обосновании сейсмостойкости массивного оборудования технологической части следует учитывать влияние колебаний оборудования на его опорные элементы. (в ред. Изменения N 1, утв. Приказом Минстроя РФ от 26.12.2019 N 886/пр)

9.2.7. Расчеты сейсмостойкости нестандартных по протяженности элементов оборудования технологической части следует выполнять с учетом различия в условиях сейсмического нагружения опорных конструкций. (в ред. Изменения N 1, утв. Приказом Минстроя РФ от 26.12.2019 N 886/пр)

9.2.8. Сейсмостойкость оборудования технологической части автоматических установок, устройств пожаротушения (модули пожаротушения, трубопроводы и т.п.), полностью или частично наполненных жидкостными огнетушащими веществами, составами, должна быть обоснована с учетом гидродинамических воздействий при сейсмических колебаниях жидкости. (в ред. Изменения N 1, утв. Приказом Минстроя РФ от 26.12.2019 N 886/пр)

9.2.9. Жесткая заделка труб при проходке трубопроводов установок, устройств пожаротушения через строительные конструкции стены (стены, перегородки, перекрытия и др.) не допускается. Размеры отверстий для пропусков труб через стены должны обеспечивать в стене зазор вокруг трубы не менее 0,2 м. Зазор следует заполнять эластичным негорючим материалом, обеспечивающим предел огнестойкости не ниже, чем у основной конструкции. (в ред. Изменения N 1, утв. Приказом Минстроя РФ от 26.12.2019 N 886/пр)

9.2.10. исключены. (в ред. Изменения N 1, утв. Приказом Минстроя РФ от 26.12.2019 N 886/пр)

9.2.11. исключены. (в ред. Изменения N 1, утв. Приказом Минстроя РФ от 26.12.2019 N 886/пр)

9.3. В сейсмических районах также следует соблюдать требования по выполнению испытаний на сейсмостойкость элементов систем автоматической пожарной сигнализации, оповещения и управления эвакуацией людей при пожаре, приемно-контрольных приборов и приборов управления автоматических установок, устройств и первичных средств пожаротушения.

Элементы таких систем и приборы следует испытывать в собранном, закрепленном, отрегулированном и работоспособном состоянии в режиме, имитирующем рабочее состояние.

В случае если масса и габаритные размеры элементов и приборов не позволяют испытывать их в полном комплекте на испытательном оборудовании, то испытания допускается проводить по группам изделий или электротехнических панелей.

Параметры режимов нагрузок при испытаниях на стенде контролируют в основании крепления изделий. Способ крепления изделия на плите стенда должен быть аналогичен способу его крепления при эксплуатации. (в ред. Изменения N 1, утв. Приказом Минстроя РФ от 26.12.2019 N 886/пр)

9.3.1-9.3.10. исключены. (в ред. Изменения N 1, утв. Приказом Минстроя РФ от 26.12.2019 N 886/пр)

Подраздел 9.4. - Исключен. (в ред. Изменения N 1, утв. Приказом Минстроя РФ от 26.12.2019 N 886/пр)

Приложение А

ОБЩЕЕ СЕЙСМИЧЕСКОЕ РАЙОНИРОВАНИЕ ТЕРРИТОРИИ РОССИЙСКОЙ ФЕДЕРАЦИИ 2016 (ОСР-2016)

(в ред. Изменения N 1, утв. Приказом Минстроя РФ от 26.12.2019 N 886/пр)

Список населенных пунктов Российской Федерации, расположенных в сейсмических районах, с указанием нормативной сейсмической интенсивности в баллах шкалы MSK-64 для средних грунтовых условий и трех степеней сейсмической опасности - A (10%), B (5%), C (1%) вероятности превышения соответственно 10%, 5% и 1% в течение 50 лет в соответствии с комплектом карт общего сейсмического районирования - ОСР-2016-A, ОСР-2016-B, ОСР-2016-C

Степень сейсмической опасности, указанная в таблице арабскими цифрами 6 - > 9 в столбцах A, B и C, соответствует баллам шкалы MSK-64 и вероятности возможного превышения 10% (карта ОСР-2016-A), 5% (карта ОСР-2016-B) и 1% (карта ОСР-2016-C) (или 90%, 95% и 99% непревышения) расчетной сейсмической интенсивности в каждом из пунктов в течение 50 лет. Эти же оценки отражают 90%-ную вероятность непревышения указанных значений сейсмической интенсивности в течение интервалов времени 50, 100 и 500 лет и соответствуют повторяемости таких сотрясений в среднем один раз в 500 (карта A), 1000 (карта B) и 5000 лет (карта C).

Каждая из карт, входящих в комплект ОСР-2016 (A, B, C), позволяет обеспечивать одинаковую степень инженерного риска на всей территории Российской Федерации.

Населенные пункты, по территории которых проходит граница зон разной балльности, отнесены к более сейсмоопасной зоне, и эти значения в таблице помечены звездочкой. Для таких населенных пунктов рекомендуется провести региональные сейсмологические исследования с целью уточнения опасности, либо использовать указанное в таблице значение.

Субъекты Российской Федерации, их города и населенные пункты, территории которых расположены в пределах зон, характеризующихся сейсмической интенсивностью менее 6 баллов, в приведенный список не помещены.

Наименование субъектов РФ и населенных пунктов Карты
ОСР-2016
  Наименование субъектов РФ и населенных пунктов Карты
ОСР-2016
  Наименование субъектов РФ и населенных пунктов Карты
ОСР-2016
A B C A B C A B C
РЕСПУБЛИКА АДЫГЕЯ
Абадзехская 8 8 9   Козет 7 8 9   Садовое 7 7 8
Адамий 7 7 8 Кошехабль 7 7 8 Северо-Восточные Сады 7 8 8
Адыгейск 7 8 9 Красная Улька 7 7 8 Сергиевское 7 7 8
Ассоколай 7 8 9 Красногвардейское 7 7 8 Совхозный 7 8 9
Афипсип 7 8 9 Краснооктябрьский 7 8 9 Старобжегокай 7 8 9
Белое 7 7 8 Красный Мост 7 8 9 Табачный 7 8 9
Блечепсин 7 7 8 Кужорская 7 7 8 Тахтамукай 7 8 9
Большесидоровское 7 7 8 Курджипская 8 8 9 Тимирязева 7 8 9
Вольное 7 7 8 Майкоп 7 8 9* Тимирязево 7 8 9
Вочепший 7 8 9 Майский 7 7 8 Тлюстенхабль 7 8 9
Габукай 7 8 8 Мамхег 7 7 8 Тульский 7 8 9
Гатлукай 7 8 9 Натырбово 7 7 8 Удобный 7 8 9
Гиагинская 7 7 8 Новая Адыгея 7 8 9 Уляп 7 7 8
Гончарка 7 7 8 Новосвободная 8 8 9 Хакуринохабль 7 7 8
Даховская 8 8 9 Новый (Гиагинский р-н) 7 7 8 Хамышки 8 8 9
Джерокай 7 7 8 Новый (Тахтамукайский р-н) 7 8 9 Ханская 7 8 9*
Дондуковская 7 7 8 Новый Сад 7 8 9 Хатукай 7 7 8
Дружба 7 7 8 Панахес 8* 8 9 Ходзь 7 8* 8
Егерухай 7 7 8 Первомайский 8 8 9 Цветочный 7 8 9
Еленовское 7 7 8 Понежукай 7 8 9 Шенджий 7 8 9
Зарево 7 7 8 Преображенское 7 7 8 Шовгеновский 7 7 8
Игнатьевский 7 7 8 Прикубанский 7 8 9 Энем 7 8 9
Кабехабль 7 7 8 Пролетарский 7 8 8 Яблоновский 7 8 9
Каменномостский 8 8 9 Пчегатлукай 7 8 9  
Келермесская 7 7 8 Пшичо 7 7 8
РЕСПУБЛИКА АЛТАЙ
Акташ 9 9 > 9   Катанда 8 8 9   Турочак 7 7 8
Актел 8 8 9 Козуль 8 8 9 Уймень 8 8 9
Амур 8 8 9 Кокория 8 9 > 9 Улаган 8 9 > 9*
Анос 8 8 9 Кош-Агач 8 9 > 9 Улус-Черга 8 8 9
Артыбаш 7 8 9 Кулада 8 8 9 Усть-Кан 8 8 9
Багараш 8 8 9 Купчегень 8 8 9 Усть-Кокса 8 8 9
Балыктуюль 8 9 9 Курай 9 9 > 9 Усть-Кумир 8 8 9
Белый Ануй 8 8 9 Курмач-Байгол 7 7 8 Усть-Муны 8 8 9
Бельтир 8 9 > 9 Куюс 8 8 9 Усть-Мута 8 8 9
Беляши 8 8 9 Кызылозек 8 8 9 Усть-Улаган 8 9 > 9
Бешозек 8 8 9 Кырлык 8 8 9 Хабаровка 8 8 9
Бешпельтир 8 8 9 Майма 8 8 9 Чаган-Узун 9 9 > 9
Бийка 7 8 8 Малая Черга 8 8 9 Чемал 8 8 9
Бирюля 8 8 9 Нижняя Талда 8 8 9 Чендек 8 8 9
Верх-Апшуяхта 8 8 9 Огневка 8 8 9 Черга 8 8 9
Верхний Уймон 8 8 9 Озеро-Куреево 7 7 8 Черный Ануй 8 8 9
Горбуново 8 8 9 Онгудай 8 8 9 Чибиля 8 9 > 9
Горно-Алтайск 8 8 9 Ортолык 8 9 > 9 Чибит 9 9 > 9
Дмитриевка 7 7 8 Сейка 7 8 9 Чоя 7 8 9
Дьектиек 8 8 9 Соузга 8 8 9 Шашикман 8 8 9
Ело 8 8 9 Талда 8 8 9 Шебалино 8 8 9
Иня 8 8 9 Тебелер 8 9 > 9 Ынырга 7 8 9
Иогач 7 8 9 Теленгит-Сортовой 8 9 > 9 Элекмонар 8 8 9
Карагай 8 8 9 Теньга 8 8 9 Ябоган 8 8 9
Каракокша 8 8 9 Тондошка 7 7 8 Яконур 8 8 9
РЕСПУБЛИКА БАШКОРТОСТАН
Агидель - - 6*   Гафурово - - 6   Первомайский - - 6
Бакалы - - 6 Емаши - - 6 Старые Маты - - 6
Большая Ока - - 6 Месягутово - - 6* Старые Туймазы - - 6
Большеустьикинское - - 6 Мурсалимкино - - 6 Туймазы - - 6
Верхнеяркеево - - 6* Новобелокатай - - 6 Тюменяк - - 6
Верхние Киги - - 6 Октябрьский - - 6 Шаран - - 6
РЕСПУБЛИКА БУРЯТИЯ
Адамово 9 9 > 9   Кр. Яр 9 9 > 9   Ташелан 7 8 8
Алла 8 9 > 9 Кудара 9 9 > 9 Ташир 8 8 9
Алцак 7 8 9 Кудара-Сомон 7 8 8 Телемба 7 7 8
Аргада 8 9 > 9 Куйтун 8 8 9 Темник 8 8 9
Арзгун 8 9 > 9 Кульский Станок 7 8 8 Тоннельный 9 9 > 9
Аршан 9 9 > 9 Кумора 9 9 > 9 Топка 7 8 9
Бабушкин 8 9 > 9 Курукмкан 8 9 > 9 Торы 9 9 > 9
Багдарин 7 7 8 Курумкан 8 9 > 9 Тохой 8 8 9
Байкальское 9 9 > 9 Кусоты 8 8 9 Тресково 8 9 > 9
Бар 8 8 9 Кырен 9 9 > 9 Тугнуй 8 8 9
Бараты 8 8 9 Кяхта 7 8 9 Тужинка 7 7 8
Баргузин 9 9 > 9 Майский 8 9 > 9 Тулдун 7 7 8
Барыкино 8 8 9 Малая Кудара 7 8 9 Тунка 9 9 > 9
Баянгол 8 8 9 Малый Куналей 8 8 9 Туран 8 9 > 9
Белозерск 7 8 9 Михайловка 7 8 9 Турка 9 9 > 9
Билютай 8 8 9 Могойто 8 9 > 9 Турунтаево 8 9* 9
Бичура 8* 8 9 Могсохон 7 8 8 Тэгда 8 8 9
Большое Колесово 9 9 > 9 Можайка 7 7 8 Уакит 8 9 9
Большой Луг 8 8 9 Монгой 7 7 8 Удинск 7 8 9
Большая Речка 9 9 > 9 Монды 8 9 > 9 Улан-Удэ 8 8 9
Большой Куналей 8 8 9 Мурочи 7 8 9 Улекчин 7 8 9
Бом 8 8 9   Мухоршибирь 8 8 9   Улентуй 7 8 9
Боргой 7 8 9 Мыла 8 8 9 Ульдурга 7 7 8
Бортой 8 8 9 Нарсата 8 8 9 Ульзытэ 7 7 8
Боций 7 8 9 Нарын 7 8 9 Улюн 8 9 > 9
Буй 8 8 9 Наушки 7 8 9 Улюнхан 8 9 > 9
Булык 7 8 9 Нестерово 8 9 9 Унгуркуй 7 8 8
Бургуй 7 8 9 Нижнеангарск 9 9 > 9 Унэгэтэй 8 8 9
Варваринский 8 8 9 Нижний Бургалтай 7 8 9 Уоян 9 9 > 9
Верх. Бургалтай 7 8 9 Нижний Жирим 8 8 9 Уро 8 9 > 9
Верх. Заимка 9 9 > 9 Нижний Саянтуй 8 8 9 Усть-Баргузин 9 9 > 9
Верх. Тальцы 7 8 9 Нижний Торей 7 8 9 Усть-Бургалтай 7 8 9
Верхний Жирим 8 8 9 Нижняя Иволга 8 8 9 Усть-Джилинда 7 8 8
Верхний Торей 7 8 9 Николаевский 8 8 9 Усть-Киран 7 8 9
Выдрино 8 9 > 9* Никольск 8 8 9 Усть-Кяхта 7 8 9
Галбай 9 9 > 9 Новая Брянь 7 8 9 Усть-Муя 9 9 > 9
Георгиевское 7 7 8 Новоильинск 7 8 8 Усть-Орот 7 7 8
Гонда 7 7 8 Новокижинск 7 8 9 Усть-Эгита 7 7 8
Горхон 7 8 9 Новоселенгинск 8 8 9 Утата 8 8 9
Гремячинск 9 9 > 9 Новосретинка 8 8 9 Хамней 7 8 9
Гунда 7 7 8 Новый Заган 8 8 9 Хандагай 7 8 8
Гурульба 8 8 9 Новый Уоян 9 9 > 9 Харацай 7 8 9
Гусиное Озеро 8 8 9 Нурта 7 8 9 Харашибирь 8 8 9
Гусиноозерск 8 8 9 Нур-Тухум 8 8 9 Харбяты 9 9 > 9
Гэгэтуй 7 8 9 Оер 7 8 9 Харгана 8 8 9
Далахай
(Закаменский р-н)
8 8 9 Озерный 7 7 8 Хасурта 8 8 9
Далахай
(Тункинский р-н)
9 9 > 9 Оймур 9 9 > 9 Хилгана 8 9 > 9
Десятниково 8 8 9 Окино-Ключи 8 8 9 Холодная 9 9 > 9
Джида 7 8 9 Октябрьский 7 8 8 Холтосон 7 8 9
Додо-Ичетуй 7 8 9 Ониноборск 7 7 8 Хонхолой (Бичурский р-н) 8 8 9
Дунда-Киреть 8 8 9   Онохой 8 8 9   Хонхолой
(Мухоршибирский р-н)
8 8 9
Дутулур 7 8 9 Орлик 8 9 > 9 Хоринск 7 8 8
Дырестуй 7 8 9 Оронгой 8 8 9 Хоронхой 7 8 9
Дэдэ-Ичетуй 7 8 9 Первомаевка 8 8 9 Хошун-Узур 8 8 9
Дэдэ-Сутой 8 8 9 Петропавловка 7 8 9 Хужир
(Закаменский р-н)
7 8 9
Елань 7 8 9 Подлопатки 8 8 9 Хужир (Окинский р-н) 8 9 > 9
Енгорбой 7 8 9 Потанино 8 8 9 Хужиры 9 9 > 9
Енхор 7 8 9 Ранжурово 9 9 > 9 Хурай-Хобок 9 9 > 9
Ехе-Цаган 8 8 9 Романовка 7 7 8 Хурамша 8 8 9
Ехэ-Цакир 7 8 9 Россошино 7 7 8 Хуртага 7 8 9
Жаргаланта 8 8 9 Санага 7 8 9 Цаган-Усун 7 8 9
Желтура 7 8 9 Санномыск 7 8 8 Цагатуй 7 8 9
Жемчуг 9 9 > 9 Сахули 9 9 > 9 Цайдам 8 8 9
Загустай 8 8 9 Северный 7 7 8 Цакир 7 8 9
Заиграево 8 8 9 Северобайкальск 9 9 > 9 Целинный 7 7 8
Закаменск 7 8 9 Северомуйск 9 9 > 9 Ципикан 8 8 9
Заречный 8 8 9 Селенгинск 8 9 > 9 Цолга 8 8 9
Зун-Адаг 8 8 9 Селендума 8 8 9 Чесан 7 7 8
Зурган-Дэбэ 8 8 9 Сокол 8 8 9 Чикой 7 8 8
Зырянск 8 8 9 Солнечный 9 9 > 9 Читкан 8 9 > 9
Иволгинск 8 8 9 Сорок 8 9 > 9 Шанага 8 8 9
Ильинка 8 9 9 Сосново-Озерское 7 7 8 Шара-Азарга 7 8 9
Илька 7 8 9 Сотниково 8 8 9 Шарагол 7 8 9
Инзагатуй 7 8 9 Старая Брянь 7 8 9 Шаралдай 8 8 9
Исинга 7 7 8 Суво 8 9 > 9 Шергино 9 9 > 9
Кабанск 9 9 > 9 Сулхара 7 8 9 Шибертуй 8 8 9
Калиновка 8 8 9 Сухая 9 9 > 9 Шигаево 9 9 > 9
Каменск 9 9 > 9 Таксимо 9 9 > 9 Эдэрмэг 7 8 8
Кижинга 7 8 8 Тамир 7 8 8 Эрхирик 8 8 9
Кичера 9 9 > 9   Танхой 8 9 9   Юбилейный 8 9 9
Кома 8 9 9 Тарбагатай 8 8 9 Югово 8 9 > 9
Комсомольское 7 7 8 Татарский Ключ 7 8 9 Янчукан 9 9 > 9
Корсаково 9 9 > 9 Татаурово 8 9 9  
РЕСПУБЛИКА ДАГЕСТАН
Авадан 8 9 9   Кавкамахч 8 8 9   Османюрт 8 9 9
Аверьяновка 8 8 9 Кадар 8 8 9 Остров Чечень 7 8 9
Агач-Аул 8 9 9 Казма-аул 8 8 9 Охли 8 8 9
Агвали 8 9 9 Кака 8 9 > 9 Очло 8 8 9
Аглоби 8 9 9 Какамахи
(Карабудахкентский р-н)
8 8 9 Падар 8 8 9
Аданак 8 8 9 Какамахи (Левашинский р-н) 8 8 9 Параул 8 8 9
Аджидада 8 8 9 Какашура 8 8 9 Первомайское (Каякентский р-н) 8 8 9
Адиль-отар 8 8 9 Кала 9 9 > 9 Первомайское (Кизлярский р-н) 8 8 9
Адиль-Янгиюрт 8 8 9 Каладжух 8 9 > 9 Покровское 8 9 9
Азадоглы 8 9 9 Калинин-Аул 8 9 9 Рассвет 7 8 9
Аймаки 8 8 9 Калиновка 7 8 9 Ратлуб 8 9 9
Аймау-махи 8 8 9 Калкни 8 8 9 Рахата 8 9 9
Акайтала 8 9 9 Калоб 8 9 > 9 Ретлоб 8 9 > 9
Акбулатьюрт 8 9 9 Калук 8 9 > 9 Риквани 8 9 9
Акнада 8 9 9 Кальял 9 9 > 9 Рича 8 9 > 9
Аксай 8 9 9 Камахал 8 8 9 Ругуджа 8 8 9
Акуша 8 8 9 Камилух 8 9 > 9 Рукель 8 8 9
Алак 8 8 9 Кана-Сираги 8 8 9 Рутул 9 9 > 9
Аламаше 8 9 9 Кани 8 8 9 Саидкент 8 9 9
Александрийская 7 8 9 Капкайкент 8 8 9 Салта 8 8 9
Александро-Невское 8 8 9 Кара 8 8 9 Самур 8 9 9
Алиханмахи 8 8 9 Карабаглы 7 8 9 Санчи 8 8 9
Алкадар 8 9 9 Карабудахкент 8 8 9 Саситли 8 9 9
Алмак 8 9 9   Карагас 7 7 8   Семендер 8 9 9
Алмало 8 9 9 Каракюре 8 9 > 9 Сергокала 8 8 9
Алхаджикент 8 8 9 Кара-Махи 8 8 9 Сильди 8 9 9
Альбурикент 8 9* 9 Каранай-Аул 8 8 9 Сиух
(Хасавюртовский р-н)
8 9 9
Амишта 8 8 9 Карасу 7 8 8 Сиух (Хунзахский р-н) 8 8 9
Амсар 9 9 > 9 Карата 8 8 9 Смугул 9 9 > 9
Амух 8 9 9 Карацан 8 8 9 Советское 8 9 9
Анди 8 9 9 Караша 8 8 9 Согратль 8 8 9
Андых 8 8 9 Карбучи-Махи 8 8 9 Средний Арадирих 8 8 9
Ансалта 8 9 9 Кардиб 8 9 > 9 Стальское 8 9 9
Анчик 8 8 9 Кардоновка 8 8 9 Старотеречное 7 8 8
Апши 8 8 9 Карлабко 8 8 9 Сулак 8 8 9
Арабляр 8 9 9 Карлан-Юрт 8 9 9 Сулевкент 8 8 9
Арак 8 8 9 Картас-Казмаляр 8 9 9 Султан-Янги-Юрт 8 9 9
Аракани 8 8 9 Карчаг 8 8 9 Сумбатль 8 8 9
Аракул 8 9 > 9 Каспийск 8 8 9 Сумета 8 9 9
Арани 8 8 9 Кассагумахи 8 8 9 Сутбук 8 8 9
Аргвани 8 9 9 Касумкент 8 9 9 Суюткино 7 8 8
Аркас 8 8 9 Кафыр-Кумух 8 9 9 Сыртыч 8 8 9
Аркит 8 8 9 Кахиб 8 8 9 Тагиркент-Казмаляр 8 9 9
Артлух 8 9 9 Качалай 8 8 9 Тад-Магитль 8 8 9
Арчиб 8 9 9 Кая 8 8 9 Тамазатюбе 8 8 9
Арчо 8 8 9 Каякент 8 8 9 Тамаза-Тюбе 8 8 9
Асаб 8 8 9 Кванада 8 9 9 Тандо 8 9 9
Атлан-Аул 8 9 9 Кванхидатли 8 8 9 Танты 8 8 9
Ахалчи 8 8 9 Кегер 8 8 9 Тануси 8 8 9
Ахар 8 9 9 Кеди 8 9 9 Тарки 8 9* 9
Ахкент 8 8 9 Кидеро 8 9 > 9 Тарумовка 7 8 9*
Ахметкент 8 8 9 Кижани 8 8 9 Татаюрт 8 8 9
Ахты 8 9 > 9   Кизилюрт 8 9 9   Тебек-Махи 8 8 9
Ачису 8 8 9 Кизляр 8 8 9 Телетль 8 8 9
Ачи-Су 8 8 9 Кикуни 8 8 9 Темир-Аул 8 9 9
Ашага-Стал 8 9 9 Килер 8 9 > 9 Темиргое 8 9 9
Ашага-Стал-Казмаляр 8 9 9 Килятль 8 8 9 Терекли-Мектеб 7 8* 8
Ашага-Ярак 8 8 9 Кирка 8 9 9 Теречное 8 9 9
Ашали 8 9 9 Кирки 8 8 9 Терутли 8 9 > 9
Ашар 8 9 > 9 Кироваул 8 9 9 Тидиб 8 9 9
Ашильта 8 9 9 Кирцик 8 8 9 Тинди 8 9 9
Ашты 8 8 9 Кичи-Гамри 8 8 9 Тинит 8 8 9
Аялакаб 8 8 9 Кища 8 8 9 Тисси 8 9 9
Аялизимахи 8 8 9 Кокрек 8 9 9 Тлайлух 8 8 9
Бабаюрт 8 8 9 Коктюбей 7 7 8 Тлибишо 8 8 9
Бавтугай 8 9 9 Коммуна 8 9 9 Тлогоб 8 8 9
Байрамаул 8 9 9 Комсомольский 7 8 9 Тлондода 8 9 9
Балахани 8 8 9 Комсомольское 8 9 9 Тлох 8 8 9
Балхар 8 8 9 Кондик 8 8 9 Тлядал 8 9 > 9
Баммат-Юрт 8 9 9 Конциль 8 8 9 Тлярата 8 9 > 9
Баршамай 8 8 9 Коркмаскала 8 9 9 Тлярота 8 9 9
Баташюрт 8 9 9 Корода 8 8 9 Тляцуда 8 9 9
Батлаич 8 8 9 Кособ 8 9 9 Тпиг 8 9 9
Бацада 8 8 9 Костек 8 8 9 Трисанчи 8 8 9
Башлыкент 8 8 9 Косякино 8 8 9 Тукита (Ахвахский р-н) 8 8 9
Бежта 8 9 > 9 Кочкюр 8 9 > 9 Тукита (Хасавюртовский р-н) 8 8 9
Белиджи 8 9 9 Кочубей 7 7 8 Тураг 8 8 9
Берикей 8 8 9 Кошкент 8 9 9 Турщунай 8 8 9
Бетельда 8 9 > 9 Крайновка 7 8 9 Тухчар 7 8 8
Бильбиль-Казмаляр 8 9 9 Красноармейск 8 9 9 Тушиловка 7 7 8
Богатыревка 8 9 9 Краснооктябрьское 8 8 9 Тюбе 8 9 9
Бол. Арешевка 7 8 9   Красный Восход 8 8 9   Уздал-Росо 8 8 9
Большебредихинское 7 8 9 Куаниб 8 8 9 Уллуая 8 8 9
Большезадоевское 8 8 9 Куба 8 8 9 Уллубий-Аул 8 8 9
Борч 9 9 > 9 Кубани 8 8 9 Уллугатаг 8 9 9
Боташ-Юрт 8 9 9 Куг 8 8 9 Уллучара 8 8 9
Бота-Юрт 8 9 9 Кудагу 8 8 9 Унцукуль 8 9* 9
Ботлих 8 8 9 Кудали 8 8 9 Унчукатль 8 8 9
Брянск 7 7 8 Кудияб-росо 8 8 9 Ураги 8 8 9
Буглен 8 8 9 Кудутль 8 8 9 Урада 8 9 9
Буйнакск 8 9 9 Куйсун 8 9 9 Урари 8 8 9
Бурганкент 8 8 9 Кулецма 8 8 9 Урахи 8 8 9
Бургимак-Махи 8 8 9 Кули 8 8 9 Урга 8 8 9
Бурдеки 8 8 9 Куллар 8 9 9 Ури 8 8 9
Буркихан 8 9 9 Кулушац 8 8 9 Уриб 8 8 9
Буртунай 8 9 9 Кульзеб 8 9 9 Уркарах 8 8 9
Буршаг 8 8 9 Кума 8 8 9 Урма 8 8 9
Бурши 8 9 9 Кумли 7 8 9 Урхучи-Махи 8 8 9
Бускри 8 8 9 Кумук 8 9 9 Усемикент 8 8 9
Бут-Казмаляр 8 9 9 Кумух 8 8 9 Усиша 8 8 9
Бутри 8 8 9 Кунды 8 8 9 Усуг 8 9 > 9
Бухты 8 8 9 Кунки 8 8 9 Усухчай 8 9 > 9
Буцра 8 8 9 Куппа 8 8 9 Утамыш 8 8 9
Ванаши-Махи 8 8 9 Кураг 8 9 9 Ухул 8 9 > 9
Варсит 8 8 9 Курах 8 9 > 9 Уцми-Юрт 8 8 9
Вачи 8 8 9 Куркак 8 8 9 Учкент 8 9 9
Великент 8 8 9 Куркент 8 9 9 Фий 9 9 > 9
Верхний Арши 8 8 9 Куркли 8 8 9 Филя 8 9 9
Верхний Батлух 8 8 9 Курми 8 8 9 Хаджалмахи 8 8 9
Верхнее Гаквари 8 9 9 Куруш 8 8 9 Хадиял 8 9 > 9
Верхнее Инхело 8 8 9   Кутиша 8 8 9   Хазар 8 9 9
Верхний Лабкомахи 8 8 9 Кутлаб 8 9 > 9 Халаг 9 9 > 9
Верхний Тогох 8 8 9 Кутул 8 9 9 Халимбек-Аул 8 9 9
Верхний Убекимахи 8 8 9 Кяхулай 8 9* 9 Хамав-Юрт 8 9 9
Верхний Дженгутай 8 8 9 Ланда 8 9 9 Хамамат-Юрт 8 8 9
Верхнее Инхо 8 8 9 Леваши 8 8 9 Хапиль 8 8 9
Верхнее Казанище 8 8 9 Ленин-Аул (Казбековский р-н) 8 9 9 Хараг 8 8 9
Верхний Каранай 8 9 9 Ленин-Аул (Ногайский р-н) 7 7 8 Харахи 8 8 9
Верхний Катрух 8 9 > 9 Ленинкент 8 9 9 Харачи 8 8 9
Верхние Мулебки 8 8 9 Лологонитль 8 8 9 Харбук 8 8 9
Верхние Муребки 8 8 9 Луткун 8 9 > 9 Хариколо 8 8 9
Вихли 8 8 9 Лучек 9 9 > 9 Хасавюрт 8 9 9
Гагатли 8 9 9 Львовский 1-й 8 8 9 Хасанай 8 8 9
Гадири 8 9 9 Люксембург 8 8 9 Хахита 8 8 9
Гакко 8 9 9 Ляхля 8 8 9 Хвартикуни 8 8 9
Гамиях 8 9 9 Маали 8 8 9 Хварши 8 9 9
Гапцах 8 9 9 Магар 8 8 9 Хебда 8 9* 9
Гапшима 8 8 9 Магарамкент 8 9 9 Хелетури 8 8 9
Гведыш 8 9 > 9 Маджалис 8 8 9 Хели 8 8 9
Гдым 8 9 > 9 Мазада 8 9 9 Хибиятль 8 9 > 9
Геба 8 8 9 Майданское 8 8 9 Хив 8 9 9
Геджух 8 8 9 Малая Арешевка 7 8 9 Хидиб 8 9 9
Гели 8 8 9 Маллакент 8 8 9 Хиндах (Гунибский р-н) 8 8 9
Гельмец 9 9 > 9 Мамааул 8 8 9 Хиндах
(Хунзахский р-н)
8 8 9
Гельхен 8 9 > 9 Мамедкала 8 9* 9 Хлют 9 9 > 9
Геметюбе 8 8 9 Манас 8 8 9 Хнов 9 9 > 9
Гента 8 9 9 Манас-Аул 8 9 9 Хойхи 8 8 9
Гергебиль 8 8 9 Манаскент 8 8 9 Хоредж 8 9 9
Гергебильская ГЭС 8 8 9 Марага 8 8 9 Хосрек 8 8 9
Герейхановский 8 9 9   Махачкала 8 9* 9   Хотода 8 9 9
Герейхановское 8 9 9 Мегеб 8 8 9 Хоточ 8 8 9
Герменчик 8 8 9 Межгюль 8 8 9 Хубар 8 9 9
Гертма 8 9 9 Мекеги 8 8 9 Хулисма 8 8 9
Герхмахи 8 8 9 Местерух 8 8 9 Хуна 8 8 9
Гигатль 8 9 9 Меусиша 8 8 9 Хунзах 8 8 9
Гилиб 8 9 9 Мехельта 8 9 9 Хури 8 8 9
Гильяр 8 9 9 Миарсо 8 8 9 Хурик 8 8 9
Гимра 8 9 9 Миглакасимахи 8 8 9 Хурхи 8 8 9
Гимры 8 9 9 Микрах 8 9 > 9 Хуршни 8 8 9
Гинта 8 8 9 Мискинджа 8 9 > 9 Хутхул 8 9 9
Гоготль 8 8 9 Митаги 8 8 9 Хучни 8 8 9
Голотль 8 8 9 Михрек 8 9 > 9 Хушет 8 9 > 9
Гонода 8 8 9 Мишлеш 9 9 > 9 Хуштада 8 9 9
Гоор 8 8 9 Могилевское 8 9 9 Цадах 8 8 9
Гостала 8 9 9 Могох 8 8 9 Цатаних 8 8 9
Гочада 8 8 9 Мокок 8 9 > 9 Цахур 9 9 > 9
Гочоб 8 9 9 Моксоб 8 9 9 Цветковка 7 8 9
Губден 8 8 9 Мочох 8 8 9 Цекоб 8 9 9
Гулли 8 8 9 Мугарты 8 8 9 Целягюн 8 9 9
Гуми 8 8 9 Мугерган 8 9 9 Цизгари 8 8 9
Гуни 8 9 9 Муги 8 8 9 Цилитль 8 9 9
Гуниб 8 8 9 Мугурух 8 8 9 Цмур 8 9 9
Гурбуки 8 8 9 Мужукай 8 8 9 Цовкра 1-я 8 8 9
Гурик 8 8 9 Муни 8 8 9 Цовкра 2-я 8 8 9
Гюхряг 8 8 9 Мурада 8 8 9 Цолода 8 8 9
Дагбаш 8 9 9 Мургук 8 8 9 Цугни 8 8 9
Дагестанские Огни 8 9* 9 Муслах 9 9 > 9 Цудахар 8 8 9
Данух 8 9 9 Мусультемахи 8 8 9 Цумада 8 9 9
Дарваг 8 8 9   Муцалаул 8 9 9   Цуриб 8 8 9
Даркушказмаляр 8 9 9 Муцал-Аул 8 9 9 Цущар 8 8 9
Дегва 8 8 9 Мушули 8 8 9 Цыйши 8 8 9
Дейбук 8 8 9 Мюрего 8 8 9 Чагар-Отар 8 9 9
Дербент 8 9* 9 Нариман 7 7 8 Чанко 8 8 9
Джаба 8 9 > 9 Наскент 8 8 9 Чанкурбе 8 8 9
Джаванкент 8 8 9 Нахки 8 8 9 Чапаево 8 9 9
Джавгат 8 8 9 Наци 8 8 9 Чарода 8 8 9
Джангамахи 8 8 9 Начада 8 9 9 Чахчах-Казмаляр 8 9 9
Джемикент 8 8 9 Нечаевка 8 9 9 Червленные Буруны 7 8 8
Джепель 8 9 9 Нижний Батлух 8 8 9 Черняевка 7 8 9
Джибахни 8 8 9 Нижнее Гаквари 8 9 9 Чираг 8 9 9
Джинаби 8 8 9 Нижнее Инхело 8 8 9 Чирката 8 9 9
Джирабачи 8 8 9 Нижнее Хваршини 8 9 9 Чиркей 8 9 9
Джульджаг 8 8 9 Нижнее Чугли 8 8 9 Читль 8 8 9
Дзержинское 8 9 9 Нижний Дженгутай 8 8 9 Чишили 8 8 9
Дибгалик 8 8 9 Нижнее Инхо 8 8 9 Чонтаул 8 9 9
Дибгаши 8 8 9 Нижние Ишкарты 8 9 9 Чох 8 8 9
Доргели 8 8 9 Нижнее Казанище 8 8 9 Чувек 8 8 9
Дуакар 8 8 9 Нижний Катрух 8 9 > 9 Чулат 8 8 9
Дубки 8 9 9 Нижние Мулебки 8 8 9 Чумли 8 8 9
Дубри-Махи 8 8 9 Нижний Чирюрт 8 9 9 Чуни 8 8 9
Дулдуг 8 9 9 Новый Мугри 8 8 9 Шабдух 8 9 9
Дуранги 8 8 9 Новый Бирюзяк 7 8 8 Шагада 8 8 9
Дусрах 8 9 9 Новый Викри 8 8 9 Шаитли 8 9 > 9
Дучи 8 9 9 Новая Коса 7 8 8 Шалиб 8 9 9
Дылым 8 9 9 Новый Костек 8 8 9 Шамилькала 8 8 9
Дюбек 8 8 9 Новый Кхушет 8 8 9 Шамхал 8 9 9
Ерси 8 8 9 Новый Чиркей 8 9 9 Шамхал-Термен 8 9 9
Зеленоморское 8 8 9   Новая Мака 8 9 9   Шамхал-Янги-Юрт 8 8 9
Зидьян-Казмаляр 8 8 9 Новогатли 8 9 9 Шангода 8 8 9
Зизик 8 8 9 Новогеоргиевка 8 8 9 Шапих 8 9 > 9
Зило 8 8 9 Новодмитриевка 7 8 8 Шара 8 8 9
Зильбачи 8 8 9 Новокаре 8 8 9 Шиляги 8 8 9
Зильдик 8 8 9 Новокаякент 8 8 9 Шимихюр 8 9 > 9
Зубанчи 8 8 9 Новокохановское 8 8 9 Шиназ 9 9 > 9
Ибрагимотар 8 8 9 Новокули 8 9 9 Шихикент 8 9 9
Игали 8 8 9 Новолакское 8 9 9 Шовкра 8 8 9
Изано 8 8 9 Новомехельта 8 9 9 Шотота 8 8 9
Избербаш 8 8 9 Новомонастырское 8 8 9 Штул 8 9 9
Икра 8 9 9 Новосельское 8 9 9 Шукты 8 8 9
Имени Жданова (Кизлярский район) 8 8 9 Новочуртах 8 9 9 Шулани 8 8 9
Имени Шаумяна 8 8 9 Новый аул 8 9 9 Эбдалая 8 8 9
Ингердах 8 8 9 Новый Кяхулай 8 9* 9 Эминхюр 8 9 9
Ингиши 8 9 9 Новый Сулак 8 9 9 Эндирей 8 9 9
Инхоквари 8 9 9 Новый Фриг 8 9 9 Эрпели 8 9 9
Инчха 8 9 9 Нурадилово 8 9 9 Эчеда 8 9 9
Ирганай 8 8 9 Нюгди 8 9 9 Южное 8 8 9
Ириб 8 9 9 Нютюг 8 8 9 Южно-Сухокумск 6 7 7
Испик 8 9 9 Обода 8 8 9 Юрковка 7 7 8
Ихрек 9 9 > 9 Обох 8 8 9 Ялак 8 9 > 9
Ицари 8 8 9 Октябрьское 8 9 9 Янгикент 8 8 9
Иштибури 8 8 9 Орада Чугли 8 8 9 Яраг-Казмаляр 8 9 9
Кабир 8 9 9 Ората 8 8 9 Ясная Поляна 7 8 9
Кабир-Казмаляр 8 9 9 Орта-Стал 8 9 9  
  Оружба 8 9 9
РЕСПУБЛИКА ИНГУШЕТИЯ
Али-Юрт 8 9 9   Кантышево 8 9* 9   Пседах 8 8 9
Алхасты 8 9 9 Карабулак 8 9* 9 Сурхахи 8 9 9
Барсуки 8 9 9 Магас 8 9 9 Троицкая 8 9 9
Гази-Юрт 8 9 9 Малгобек 8 8 9 Экажево 8 9 9
Галашки 8 9 9 Назрань 8 9 9 Яндаре 8 9 9
Джейрах 8 9 > 9 Орджоникидзевская 8 9 9  
Долаково 8 8 9 Плиево 8 9* 9
РЕСПУБЛИКА КАБАРДИНО-БАЛКАРИЯ
Александровская 8 8 9   Каменномостское 8 8 9   Приречное 8 8 9
Алтуд 8 8 8 Камлюко 8 8 9 Пролетарское 7 8 8
Анзорей 8 8 9 Камлюково 8 8 9 Прохладный 8* 8 8
Аргудан 8 8 9 Карагач 8 8 9 Псыгансу 8 8 9
Арик 8 8 9 Карасу 8 8 9 Псыкод 8 8 9
Атажукино 8 8 9 Кахун 8 8 9 Псынабо 8 8 9
Аушигер 8 8 9 Кашхатау 8 8 9 Псынадаха 8 8 9
Бабугент 8 8 9 Кенже 8 8 9 Псынодаха 8 8 9
Баксан 8 8 9 Кичмалка 8 8 9 Псыншоко 8 8 9
Баксаненок 8 8 9 Кишпек 8 8 9 Псыхурей 8 8 9
Батех 8 8 9 Котляревская 8 8 9 Псычох 8 8 9
Бедык 8 8 9 Красноармейское 8 8 9 Светловодское 8 8 9
Безенги 8 8 9 Красносельское 7 8 8 Совхозное 8 8 9
Белая Речка 8 8 9 Кременчуг-Константиновск 8 8 9 Солдатская 7 8 8
Белокаменское 8 8 9 Куба 8 8 9 Старый Урух 8 8 9
Верхний Акбаш 8 8 9 Куба-таба 8 8 9 Старый Черек 8 8 9
Верхний Баксан 8 9 9 Кузбурун 1-й 8 8 9 Тамбовское 8 8 9
Верхняя Балкария 8 9 9 Лашкута 8 8 9 Ташлы-Тала 8 9 9
Верхняя Жемтала 8 8 9 Лескен 2-й 8 8 9 Терек 8 8 9
Верхний Куркужин 8 8 9 Лечинкай 8 8 9 Терекское 8 8 9
Верхний Курп 8 8 9   Майский 8 8 9*   Тырныауз 8 9* 9
Верхний Лескен 8 8 9 Малка 8 8 9 Урвань 8 8 9
Верхний Чегем 8 9 9 Морзох 8 8 9 Урожайное 8 8 8
Верхний Куркужин 8 8 9 Нальчик 8 8 9 Урух 8 8 9
Верхняя Жемтала 8 8 9 Нартан 8 8 9 Учебный 8 8 8
Герменчик 8 8 9 Нарткала 8 8 9 Хабаз 8 8 9
Герпегеш 8 8 9 Нижний Куркужин 8 8 9 Хамидие 8 8 9
Дальное 7 8 8 Нижний Курп 8 8 9 Хасанья 8 8 9
Дейское 8 8 9 Нижний Чегем 8 8 9 Хатуей 8 8 9
Дыгулыбгей 8 8 9 Нижний Черек 8 8 9 Хуштосырт 8 8 9
Екатериноградская 8 8 8 Новая Балкария 8 8 9 Чегем 8 8 9
Жанхотеко 8 8 9 Новое Хамидие 8 8 9 Чегем 2-й 8 8 9
Жемтала 8 8 9 Ново-Ивановская 8 8 9 Чегем 1-й 8 8 9
Залукодес 8 8 9 Новоосетинский 8 8 9 Черная речка 8 8 9
Залукокоаже 8 8 9 Ново-Полтавское 8 8 8 Черниговское 8 8 8
Зарагиж 8 8 9 Озрек 8 8 9 Шалушка 8 8 9
Заюково 8 8 9 Октябрьское 8 8 8 Шардаково 8 8 9
Зольское 8 8 9 Плановское 8 8 9 Шитхала 8 8 9
Интернациональный 8 8 9 Приближная 8 8 8 Этоко 8 8 9
Исламей 8 8 9 Прималкинское 8 8 8 Яникой 8 8 9
РЕСПУБЛИКА КАЛМЫКИЯ
Большой Царын - - 6   Лагань 6 6 7   Цаган Аман - - 6
Городовиковск 6 6 7 Малые Дербеты - - 6 Чилгир - - 6
Ики-Бурул - 6 7 Приютное - 6 7 Элиста - 6 7*
Кетченеры - - 6 Садовое - - 6 Яшалта - 6 7
Комсомольский 6 6 7 Троицкое - - 6 Яшкуль - - 6
РЕСПУБЛИКА КАРАЧАЕВО-ЧЕРКЕСИЯ
Адиль-Халк 7 8 8   Кичи-Балык 8 8 9   Пхия 8 9 > 9
Адыге-Хабль 7 8 8 Койдан 8 8 9 Садовое 7 8 8
Али-Бердуковский 8 8 9 Кош-хабль 7 8 8 Сары-Тюз 8 8 9
Апсуа 7 8 8 Красный Курган 8 8 9 Старокувинский 7 8 8
Архиз 8 9 9 Красногорская 8 8 9 Сторожевая 8 8 9
Бесленей 7 8 8 Кубина 7 8 9 Счастливое 8 8 9
Важное 8 8 9 Кумыш 8 8 9 Теберда 8 9* 9
Верхняя Мара 8 8 9 Курджиново 8 8 9 Терезе 8 8 9
Верхняя Теберда 8 8 9 Кызыл-Октябрьский 8 8 9 Ударный 8 8 9
Даусуз 8 8 9 Кызыл-Покун 8 8 9 Уруп 8 8 9
Джага 8 8 9 Кызыл-Уруп 8 8 9 Усть-Джегута 7 8 9
Джингирик 8 8 9 Майский 8 8 9 Учкекен 8 8 9
Домбой 8 9 > 9 Малый Зеленчук 7 8 8 Учкулан 8 8 9
Дружба 7 8 9 Маруха 8 8 9 Хабез 7 8 9
Жако 8 8 9 Медногорский 8 8 9 Хасаут-Греческое 8 8 9
Зеленчукская 8 8 9 Нижняя Теберда 8 8 9 Хумара 8 8 9
Зеюко 7 8 8 Николаевское 8 8 9 Хурзук 8 9 9
Знаменка 7 8 9 Новая Джегута 8 8 9 Чапаевское 7 8 9
Икон-Халк 7 8 8 Новый Карачай 8 8 9 Черкесск 7 8 9
Ильичевское 7 8 9 Октябрьский 8 8 9 Эльбрусский 8 8 9
Инжич-Чукун 7 8 9 Орджоникидзевский 8 8 9 Эльбурган 7 8 9
Исправная 7 8 9 Первомайское 8 8 9 Элькуш 8 8 9
Кавказский 7 8 9 Правокубанский 8 8 9 Эльтаркач 8 8 9
Карачаевск 8 8 9 Преградная 8 8 9 Эркен-Шахар 7 8 8
Кардоникская 8 8 9 Псаучье-Дахе 7 8 8 Эркин-Юрт 7 8 8
Карт-Джурт 8 8 9 Псыж 7 8 9* Эрсакон 7 8 8
РЕСПУБЛИКА КАРЕЛИЯ
Беломорск - - 6   Летнереченский - - 6   Сегежа - - 6
Видлица - - 6 Лоухи - 6 7 Сортавала - 6* 7
Вяртсиля - - 6 Ляскеля - - 6 Сосновец - - 6
Кааламо - - 6 Муезерский - - 6 Суоярви - - 6
Калевала 6 6 7 Надвоицы - - 6 Хелюля - - 7
Кемь - - 6 Питкяранта - - 6 Хийденсельга - - 7*
Костомукша 6 6 7 Пяозерский - 6 6 Чупа - 6 7
Лахденпохья - 6 7 Салми - - 6  
РЕСПУБЛИКА КОМИ
Визинга - - 6   Койгородок - - 6   Объячево - - 6
РЕСПУБЛИКА КРЫМ
Абрикосовка 8 8 9   Клепинино 7 7 8   Пахаревка 6 7 7
Абрикосово 6 7 8* Коктебель 8 8 9 Первомайское (Кировский р-н) 8 8 9
Аграрное 7 8 9 Колодезное 7 8 8 Первомайское (Первомайский р-н) 6 7 7
Азовское 7 7 8 Колоски 7 7 8 Первомайское (Симферопольский р-н) 7 8 8
Акимовка 7 7 8 Кольчугино 7 8 9 Перевальное 8 8 9
Александровка 7* 7 8 Комсомольское 7 8 9 Перово 8* 8 9
Алексеевка 6 7 7 Константиновка 8 8 9 Петровка 7 7 8
Алупка 8 9 > 9 Кореиз 8 9 > 9 Пионерское 8 8 9
Алушта 8 9 > 9* Кормовое 6 7 8 Плодовое 8* 8 9
Амурское 7 7 8 Косточковка 7 8 8 Победное 7* 7 8
Армянск 6 6 7 Котельниково 7 7 8 Пожарское 7 8 9
Ароматное 8* 8 9 Крайнее 7 7 8 Полтавка 7 7 8
Аэрофлотский 7 8 9 Красная Зорька 7 8 8 Почетное 6 6 7
Багерово 8 9 9 Красная Поляна 6 7 7 Почтовое 8 8 9
Батальное 8 8 9 Красноармейское 6 6 7 Правда 6 7* 7
Бахчисарай 8 8 9 Красногвардейское (Красногвардейский р-н) 7 7 8 Приветное
(Алуштинский гор. сов.)
8 8 9
Белоглинка 7 8 9 Красногвардейское (Советский р-н) 8 8 9 Приветное (Кировский р-н) 8 8 9
Белогорск 8 8 9   Красное 7 8 8   Приморский 8 8 9
Береговое 8 8 9 Краснознаменка 7 7 8 Приозерное 8 9 > 9
Березовка 6 7 7 Краснокаменка (Феодосийский гор. сов.) 8 8 9 Прудовое 7 8 9
Ближнее 8 8 9 Краснокаменка (Ялтинский гор. совет) 8 9 > 9 Пруды 7 8 9
Богатое 8 8 9 Краснолесье 8 8 9 Пушкино 8* 8 9
Ботаническое 6 6 7 Красноперекопск 6 6 7 Пшеничное 7 7 8
Братское 6 6 7 Краснофлотское 7 8 9* Пятихатка 7 7 8
Васильевка 8* 8 9 Красный Мак 8 8 9 Равнополье 7 8 9
Вересаево 7 7 8 Крестьяновка 6 7 7 Раздолье 7 8 9
Верхняя Кутузовка 8 8 9 Кропоткино 6 6 7 Раздольное (Раздольненский р-н) 6 6 7
Верхоречье 8 8 9 Крымка 6 7 8* Раздольное (Советский р-н) 7 8 8
Веселовка 6 7 8 Крымская Роза 7 8 9 Ровное 7 7 8
Веселое 8 8 9 Крымское 7 7 8 Родниково 7 8 9
Викторовка 8 8 9 Куйбышево 8 8 9 Ромашкино 7 7 8
Вилино 7 8 9 Кукушкино 6 6 7 Рощино 7 7 8
Винницкое 7 8 9 Кумово 6 6 7 Ручьи 6 6 7
Виноградное (Ленинский р-н) 8 8 9 Курское 8 8 9 Рыбачье 8 8 9
Виноградное (Ялтинский гор. совет) 8 9 > 9 Лекарственное 7 8 9 Садовое 7 8 8
Виноградово 7 7 8 Ленино 8 8 9 Саки 7 7 8
Витино 7 7 8 Ленинское
(Красногвардейский р-н)
7 7 8 Сары-Баш 6 7 8
Вишенное 7 8 9 Ленинское (Ленинский р-н) 8 8 9 Светлое 7 7 8
Вишневка 6 6 7 Лесновка 7 7 8 Семисотка 8 8 9
Владимировка 7 7 8 Ливадия 8 9 > 9 Сенокосное 6 6 7
Владиславовка (Кировский р-н) 8 8 9 Литвиненково 7 8 9 Сизовка 7 7 8
Владиславовка (Нижнегорский р-н) 7 7 8 Лобаново 6 7 7 Симеиз 8 9 > 9
Войково (Ленинский р-н) 8 9 > 9 Лозовое 8 8 9 Симферополь 8* 8 9
Войково
(Первомайский р-н)
6 7 8 Луганское 6 7 7 Синицыно 8 8 9
Воинка 6 6 7 Луговое 8 8 9 Скалистое 8 8 9
Вольное 7 7 8 Лучистое 8 8 9 Славное 6 6 7
Воробьево 7 7 8   Льговское 8 8 9   Славянское 6 6 7
Восход 7 7 8 Магазинка 6 7* 7 Советский 7 8 8
Гаспра 8 9 > 9 Мазанка 8* 8 9 Совхозное 6 6 7
Гвардейское (Первомайский р-н) 6 7 8 Майское 7 7 8 Соколиное 8 9 9
Гвардейское (Симферопольский р-н) 7 8 8 Маленькое 7 8 8 Соленое Озеро 6 7 7
Геройское 7 7 8 Малореченское 8 8 9 Солнечная Долина 8 8 9
Глазовка 8 9 9 Малый Маяк 8 9 > 9 Солнечное 7 8 9
Голубинка 8 8 9 Марфовка 8 8 9 Софиевка 7 8 8
Горностаевка 8 9 9 Марьяновка 7 7 8 Стальное 7 7 8
Гришино 6 7 7 Маслово 6 7 7 Старый Крым 8 8 9
Грушевка 8 8 9 Массандра 8 9 > 9 Стахановка 7 7 8
Грэсовский 7 8 9 Медведевка 6 7 7 Степное 6 7 7
Гурзуф 8 9 > 9 Медведево 6 7 8 Столбовое 7 7 8
Далекое 6 6 7 Межводное 6 6 7 Строгоновка 8 8 9
Дачное 8 8 9 Мирновка 6 7 8 Суворово 6 6 7
Джанкой 6 7 8 Мирное 7 8 9 Суворовское 7 7 8
Дмитровка 7 8* 8 Мирный 6 7 8 Судак 8 8 9
Днепровка 6 7 8 Митрофановка 7 7 8 Табачное
(Бахчисарайский р-н)
7 8 9
Доброе 8 8 9 Митяево 7 7 8 Табачное
(Джанкойский р-н)
7 7 8
Добрушино 7* 7 8 Михайловка (Нижнегорский р-н) 7 7 8 Танковое 8 8 9
Долинное 8 8 9 Михайловка (Сакский р-н) 7 7 8 Тенистое 8 8 9
Донское 7 8 9 Молодежное 7 8 9 Тепловка 7 8 8
Дрофино 7 8 8 Молочное 7 7 8 Токарево 7 8 9
Евпатория 7 7 8 Морское 8 8 9 Трудовое (Сакский р-н) 7 7 8
Емельяновка 7 7 8 Мускатное 7 7 8 Трудовое
(Симферопольский р-н)
7 8 9
Желябовка 7 7 8 Найденовка 7 8 8 Тургеневка 8 8 9
Жемчужина 7 8 8 Насыпное 8 8 9 Уваровка 7 7 8
Журавки 8 8 9 Наташино 6 7 8 Уварово 8 8 9
Журавлевка 7 7 8 Некрасовка 7 8* 8 Угловое 8* 8 9
Журавли 7 7 8   Некрасово 7 7 8   Удачное 7 7 8
Завет-Ленинский 6 7 7 Нижнегорский 7 7 8 Украинка 8 8 9
Заветное (Ленинский р-н) 8 9* 9 Никита 8 9 > 9 Укромное 7 8 9*
Заветное (Советский р-н) 7 8 8 Николаевка 7 8 9 Урожайное
(Симферопольский р-н)
7 8 9
Залесье 8 8 9 Новоандреевка 7 8* 8 Урожайное (Советский р-н) 7 8 9*
Заозерное 7 7 8 Новогригорьевка 7 7 8 Уютное 7 7 8
Заречное
(Джанкойский р-н)
6 7 8 Новожиловка 7 8 8 Феодосия 8 8 9
Заречное
(Симферопольский р-н)
8 8 9 Новоивановка 6 7 8* Филатовка 6 6 7
Зеленогорское 8 8 9 Новокрымское 6 7 7 Фонтаны 8 8 9
Зеленое 7 7 8 Новониколаевка 8 8 9 Форос 8 9 > 9
Зерновое
(Красногвардейский р.)
7 7 8 Новоозерное 6 7 8 Фрунзе 7 8 8
Зерновое (Сакский р-н) 7 7 8 Новопавловка 6 6 7 Холмовка 8 8 9
Зимино 6 7 8 Новопокровка (Кировский р-н) 8 8 9 Цветочное 7 8 9
Золотое Поле 8 8 9 Новопокровка (Красногвардейский р-н) 7 7 8 Целинное 6 6 7
Зоркино 7 7 8 Новоселовка 7 8 9 Чайкино 6 7 8
Зуя 7 8 9 Новоселовское 7* 7 8 Чапаевка 7 8 9
Зыбины 7 8 9 Новосельское 6 6 7 Червоное 7 7 8
Ивановка 7 8 8 Новостепное 7* 7 8 Черноземное 7 7 8
Изобильное 7 7 8 Новофедоровка 7 7 8 Черноморское 6 6 7
Изумрудное 6 7 8 Новоэстония 7 7 8 Чернополье 8 8 9
Изюмовка 8 8 9 Новый Свет 8 8 9 Чернышево 6 6 7
Ильинка 6 6 7 Октябрь 7 7 8 Чистенькое 8 8 9
Ильичево (Ленинский р-н) 8 8 9 Октябрьское
(Красногвардейский р-н)
7 7 8 Чистополье 8 8 9
Ильичево (Советский р-н) 7 8 9 Октябрьское (Ленинский р-н) 8 9 > 9 Чкалово 7 7 8
Источное 6 6 7 Октябрьское (Первомайский р-н) 6 7 8* Шелковичное 7 7 8
Ишунь 6 6 7 Оленевка 6 7* 7 Широкое 7 7 8
Калинино
(Красногвардейский р.)
7 7 8 Орджоникидзе 8 8 9 Школьное 7 8 8
Калинино
(Первомайский р-н)
6 7 7 Орехово 7 7 8 Шубино 8* 8 9
Калиновка 8 8 9   Орловка 6 6 7   Щебетовка 8 8 9
Каменоломня 7 7 8 Орловское 6 7 7 Щелкино 8 8 9
Карповка 7 7 8 Останино 8 8 9 Ялта 8 9 > 9
Карьерное 7 7 8 Островское 6 7 7 Янтарное 7 7 8
Каштаны 7 8 9 Охотниково 7 7 8 Яркое 6 7 8
Керчь 8 9* > 9* Охотское 7 7 8 Яркое Поле (Джанкойский р-н) 7 7 8
Кирово 8 8 9 Партенит 8 9 > 9 Яркое Поле (Кировский р-н) 8 8 9
Кировское (Кировский р-н) 8 8 9 Партизанское 8 8 9 Яснополянское 6 7* 7
Кировское (Черноморский р-н) 6 7 7 Партизаны 8 8 9    
РЕСПУБЛИКА САХА (ЯКУТИЯ)
Абага 6 6 7   Кюпцы 7 7 8   Тенкели 7 7 8
Абый 7 7 8 Кюренг-ат 6 6 7 Теплый ключ 7 7 8
Алдан 6 6 7 Кюсюр 7 8 8 Терют 7 8 9
Аллах-Юнь 7 7 8 Лазо 7 7 8 Тикси 7 8 9
Амга 6 6 7 Лебединый 6 6 7 Тит-Ары 6 6 7
Аппаны 6 6 7 Ленинский 6 6 7 Тит-Эбя - 6 7
Арга-Мой 8 8 9 Ленек - - 6 Токко - 6 6
Аргас 6 6 8 Ломтука - 6 7 Толон (Ленский улус) - 6 6
Артык 8 8 9 Маган 6 6 7 Толон
(Чурапчинский улус)
6 6 7
Арыктах - - 6 Магарас - 6 7 Томмот 6 6 7
Арылах (Ленский улус) - - 6 Майя 6 6 7 Томтор 7 7 8
Арылах
(Чурапчинский улус)
6 6 7 Марха - - 6 Тополиное 6 7 7
Асыма - - 6 Матта 6 6 7 Торго 7 7 8
Бала 7 7 8 Мача - 6 6 Троицк - 6 7
Балыктах (Мегино-Кангаласский улус) 6 6 7 Маягас 6 6 7 Тулуна 6 6 7
Балыктах (Усть-Алданский улус) 6 6 7 Мегино-Алдан 6 6 7 Тумат 6 7 7
Барылас 6 7 8 Михайловка 6 6 7 Тумул (Намский улус) 6 6 7
Батагай 7 7 8 Мохсоголлох - 6 6 Тумул
(Усть-Алданский улус)
6 6 7
Батагай-Алыга 7 7 8   Мындагай 6 6 7   Туора-Кюель (Таттинский улус) 6 6 7
Баханай - 6 7 Мырыла 6 6 7 Туора-Кюель (Чурапчинский улус) 6 6 7
Безымянный 6 6 7 Мяндиги 6 6 7 Тюнгюлю 6 6 7
Бейдинга 6 6 7 Нагорный 7 7 8 Тяня 6 7 7
Беке 6 6 7 Найба 7 8 9 Угольное 7 7 8
Белая Гора 7 7 8 Намцы 6 6 7 Улахан-Ан - - 6
Белькачи 6 6 7 Намы 7 7 8 Улахан-Кюель 7 7 8
Беркакит 7 8 8 Натора - - 6 Уолба 6 6 7
Бестях - 6* 6 Нежданинское 7 7 8 Урицкое - - 6
Бетенкес 7 7 8 Нелемное 7 7 8 Усть-Куйга 7 7 8
Бетюнцы 6 6 7 Нелькан 7 8 8 Усть-Мая 6 6 7
Бологур 6 6 7 Нерюктяйнинск 1-й - - 6 Усть-Миль 6 6 7
Болугур 6 6 7 Нерюктяйнинск 2-й - - 6 Усть-Нера 7 8 9
Большой Нимныр 6 7 8 Нерюнгри 7 8 8 Усть-Янск 7 7 8
Боробул 6 6 7 Нижнеянск 7 7 8 Усун-Кюель (Верхнеколымский ул.) 6 6 7
Борогонцы 6 6 7 Нижний Бестях 6 6 7 Усун-Кюель (Чурапчинский улус) 6 6 7
Бриндакит 7 7 9 Нижний Куранах 6 6 7 Уяндино 7 7 8
Булгунняхтах - - 6 Никольский 6 6 7 Хайыр 7 8 9
Булун 6 6 7 Новый 6 7 7 Хайысардах 7 7 8
Булус 6 6 7 Нычалах 6 6 7 Хандыга 6 7 7
Буор-сысы 7 8 8 Нюя - - 6 Хани 8 9 > 9
Быковский 7 8 9 Огородтах 6 6 7 Хаптагай - 6 7
Бютейдях 6 6 7 Ой - 6 7 Хара-алдан 6 6 7
Бярийе 6 6 7 Оймякон 7 8 9 Харбала 1-я 6 6 7
Верхнеколымск 7 7 8 Ойотунг - - 6 Харбала 2-я 6 6 7
Верхоянск 7 7 8 Октемцы - 6 7 Харбалах 6 6 7
Витим - 6 6 Олекминск - 6 7* Харыялах - 6 7
Власово 7 7 8 Олекминский - 6 6 Хатас - 6 7
Дабан - - 6 Оленегорск - 6 6 Хатыстыр 6 6 7
Дайя-Амгата 6 6 7   Ольчан 7 8 9   Хонуу 7 8 8
Даркылах - 6 7 Орто-Балаган 7 7 8 Хоринцы - - 6
Дебдирге 6 6 7 Орто-Нахара - - 6 Хочо 6 6 7
Дельгей - 6 6 Охотский Перевоз 7 7 8 Чагда (Алданский улус) 6 6 7
Депутатский 7 7 8 Павловск - 6 7 Чагда (Кобяйский улус) - - 6
Джебарики-Хая 7 7 8 Пеледуй - 6* 6 Чакыр 2-й 6 6 7
Дикимдя 6 7 7 Петровка 6 6 7 Чапаево - - 6
Диринг 6 6 7 Петропавловск 6 6 7 Чапчылган 6 6 7
Дыгдал 6 6 7 Покровка 6 6 7 Чериктей 6 6 7
Дюпся 6 6 7 Покровск - 6 7 Черкех 6 6 7
Дябыла 6 6 7 Предпорожный 8 8 9 Черский - - 6
Елечей 6 6 7 Пригородный 6* 6 7 Чкалов 6 6 7
Жатай 6 6 7 Сайды 7 7 8 Чокурдах - - 6
Жиганск - - 6 Сайылык - - 6 Чульман 7 7 8
Заречный 6 6 7 Салдыкель - - 6 Чумпу-Кытыл 8 9 > 9
Звездочка 7 8 9 Сангар 6 6 8 Чурапча 6 6 7
Золотинка 7 8 8 Сарылах 7 8 8 Чыаппара 6 6 7
Зырянка 7 7 8 Саскылах - - 6 Чымнайи 6 6 7
Казачье 7 7 8 Сасыр 8 8 9 Чычымах 6 6 7
Кангалассы 6 6 7 Сатагай 6 6 7 Чюйя 6 6 7
Канкунский 7 7 8 Светлый 6 7 8 Ыллымах 6 6 7
Качикатцы - - 6 Себян-Кюель 6 6 7 Ымыяхтах 6 6 7
Кенг-Кюель 7 7 8 Северный 7 7 8 Ыныкчан 7 8 9
Кептени 6 6 7 Сегян-кюель 6 7 8 Ыстаннах-Хочо 7 8 9
Кердем - 6 7 Серебряный Бор 7 8 8 Ытык-Кюель 6 6 7
Кескил 6 6 7 Сиктях 7 7 8 Эжанцы 6 7 8
Килянки 6 6 7 Склад 7 7 8 Эльгинский 7 8 9
Кобяй - 6 7 Соболох 7 8 9 Эльдикан 6 7 8
Крест-Кытыл 6 6 7 Солнечный 7 8 9 Эсэ-Хайя 7 7 8
Крест-Хальджай 6 6 7   Солянка - 6 7   Югоренок 7 7 9
Куберганя 7 7 8 Столбы 6 6 7 Южная Нюя - - 6
Куду-Кюель 6 6 7 Сулгаччы 6 6 7 Юкагир 6 6 7
Кулар 7 7 8 Суордах 7 7 8 Юнкюр - 6 6
Кулун-Елбют 7 8 8 Сутуруоха 7 7 8 Юринг-Хая - 6 7
Кутана 6 6 7 Сыаганнах 7 7 8 Юрюнг-Кюель 6 6 7
Кыйы 6 6 7 Сымах 6 6 7 Юрюнг-Хая - 6 7
Кылайы 6 6 7 Табага
(гор. округ Якутск)
- 6 7 Юттях 7 7 8
Кыллах - 6 6 Табага (Мегино-Кангаласский улус) 6 6 7 Якокут 6 6 7
Кыстатыам - - 6 Таймылыр 7 8 9 Якутск 6* 6 7
Кысыл-Сыр 6 6 7 Тектюр 6 6 7  
Кюерелях - - 6  
РЕСПУБЛИКА СЕВЕРНАЯ ОСЕТИЯ - АЛАНИЯ
Алагир 8 9 > 9*   Кизляр 8 8 9   Притеречный 8 8 9
Ардон 8 9* 9 Кирово 8 9 9 Раздзог 8 8 9
Архонская 8 9 9 Кобан 8 9 > 9 Раздольное 8 8 9
Ахсарисар 8 9 9 Комгарон 8 9 9 Рамоново 8 9 9
Балта 8 9 > 9 Комсомольское 8 8 9 Рассвет 8 9 9
Батако 8 8 9 Коста 8 9 9 Садон 9 9 > 9
Беслан 8 9* 9 Красногор 8 8 9 Синдзикау 8 9 9
Бирагзанг 8 9 > 9 Куртат 8 9 9 Советский 8 8 9
Брут 8 8 9 Лескен 8 8 9 Средний Урух 8 8 9
Бурон 9 9 > 9 Луковская 8 8 9 Ставд-Дурт 8 8 9
Верхний Згид 9 9 > 9 Майрамадаг 8 9 9 Старый Батакоюрт 8 8 9
Верхний Ларс 8 9 > 9 Майский 8 9 9 Стур-Дигора 8 9 > 9
Верхняя Саниба 8 9 9 Малгобек 8 8 9 Суадаг 8 9 9
Верхний Фиагдон 9 9 > 9 Махческ 8 9 > 9 Сунжа 8 9 9
Веселовское 8 8 9 Мизур 9 9 > 9 Сурх-Дигора 8 8 9
Виноградное 8 8 9 Михайловское 8 9 9 Сухотское 8 8 9
Владикавказ 8 9 > 9*   Мичурино 8 9 9   Тарское 8 9 > 9*
Галиат 8 9 > 9 Моздок 8 8 9 Терская 8 8 9
Гизель 8 9 9 Мостиздах 8 8 9 Толдзгун 8 8 9
Даргавс 8 9 > 9 Нар 9 9 > 9 Троицкое 8 8 9
Дзуарикау 9 9 > 9 Нарт 8 9 9 Урсдон 8 9 9
Дигора 8 9* 9 Нижний Унал 9 9 > 9 Фарн 8 9 9
Донгарон 8 9 9 Нижний Зарамаг 9 9 > 9 Фиагдон 8 9 9
Дур-Дур 8 9 9 Нижний Цей 9 9 > 9 Хазнидон 8 8 9
Заводской 8 9 9 Николаевская 8 8 9 Хаталдон 8 9 9
Заманкул 8 8 9 Новый Батакоюрт 8 8 9 Ход 9 9 > 9
Зилга 8 8 9 Новый Урух 8 8 9 Холст 9 9 > 9
Змейская 8 8 9 Новосетинская 8 8 9 Хумалаг 8 8 9
Иран 8 8 9 Новый Батако 8 9* 9 Цалык 8 8 9
Кадгарон 8 9 9 Ногир 8 9 9 Црау 8 9 9
Калининский 8 8 9 Ногкау 9 9 > 9 Чермен 8 9 9
Камбилеевское 8 9 9 Октябрьское 8 9 9 Чикола 8 8 9
Карджин 8 8 9 Ольгинское 8 9 9 Эльхотово 8 8 9
Кармадон 8 9 > 9 Павлодольская 8 8 9    
Киевское 8 8 9 Предгорное 8 8 9  
РЕСПУБЛИКА ТАТАРСТАН
Агрыз - - 6   Заинск - - 6   Муслюмово - - 6
Азнакаево - - 6 Зеленая Роща - - 6 Набережные Челны - - 6
Актаныш - - 6* Камские Поляны - - 6 Нижнекамск - - 6
Актюбинский - - 6 Карабаш - - 6 Нижняя Мактама - - 6
Альметьевск - - 6 Красный Ключ - - 6 Новошешминск - - 6
Бавлы - - 6 Кукмор - - 6 Русский Акташ - - 6
Большое Афанасово - - 6 Лениногорск - - 6 Сарманово - - 6
Бугульма - - 6 Лубяны - - 6 Уруссу - - 6
Дербешкинский - - 6 Мамадыш - - 6 Черемшан - - 6
Джалиль - - 6 Менделеевск - - 6 Шугурово - - 6
Елабуга - - 6 Мензелинск - - 6    
РЕСПУБЛИКА ТЫВА
Адыр-Кежиг 8 8 9   Ишти-Хем 8 8 9   Усть-Бурен 8 8 9
Ак-Даш 8 8 9 Каа-Хем 8 8 9 Усть-Элегест 8 8 9
Ак-Довурак 8 8 9 Кара-Хаак 8 8 9 Уюк 7 8 9
Ак-Дуруг 8 8 9 Кара-Холь 8 8 9 Хадын 8 8 9
Ак-Тал 8 8 9 Кок-Хаак 8 8 9 Хайыракан (Дзун-Хемчикский кожуун) 8 8 9
Ак-Чираа 8 8 9 Кочетово 8 8 9 Хайыракан (Улуг-Хемский кожуун) 8 8 9
Ак-Эрик 8 8 9 Кунгуртуг 8 9 9 Хандагайты 8 8 9
Алдан-Маадыр 8 8 9 Кундус-Туг 8 8 9 Хову-Аксы 8 8 9
Аржаан 7 8 9 Кызыл 8 8 9 Холь-Оожу 8 8 9
Арыг-Узуу 8 8 9 Кызыл-Даг 8 8 9 Хонделен 8 8 9
Арыскан 8 8 9 Кызыл-Мажалык 8 8 9 Хондергей 8 8 9
Бажын-Алаак 8 8 9 Кызыл-Тайга 8 8 9 Хорум-Даг 8 8 9
Бай-Даг 8 8 9 Кызыл-Хая 8 9 > 9 Хут 7 8 8
Бай-Тал 8 8 9 Межегей 8 8 9 Целинное 8 8 9
Бай-Хаак 8 8 9 Морен 8 8 9 Чаа-Суур 8 8 9
Балгазын 8 8 9 Мугур-Аксы 8 9 > 9 Чаа-Холь 8 8 9
Барлык 8 8 9 Нарын 8 8 9 Чадан 8 8 9
Баян-Кол 8 8 9 Саглы 8 8 9 Чазылары 8 8 9
Баян-Тала 8 8 9 Сайлыг 8 8 9 Чал-Кежиг 8 8 9
Бельдир-Арыг 8 8 9 Самагалтай 8 8 9 Черби 8 8 9
Берт-Даг 8 8 9 Сарыг-Сеп 8 8 9 Чодураа 8 8 9
Бижиктиг-Хая 8 8 9 Сесерлиг 8 8 9 Чыраа-Бажы 8 8 9
Бора-Тайга 8 8 9 Сизим 8 9 9 Шагонар 8 8 9
Бояровка 8 8 9 Сосновка 8 8 9 Шамбалыг 8 8 9
Булун-Бажи 8 8 9 Суг-Аксы 8 8 9 Шанчы 8 8 9
Булун-Терек 8 8 9 Суг-бажи 8 8 9 Шекпээр 8 8 9
Бурен-Бай-Хак 8 8 9 Сукпак 8 8 9 Шеми 8 8 9
Бурен-Хем 8 8 9 Суш 7 8 9 Шуй 8 8 9
Владимировка 8 8 9 Тарлаг 7 8 9 Шуурмак 8 8 9
Дон-Терезин 8 8 9 Теве-Хая 8 8 9 Ырбан 7 8 9
Дурген 8 8 9 Тоора-Хем 8 8 9 Элегест 8 8 9
Ий 7 8 9 Торгалыг 8 8 9 Эрбек 8 8 9
Ийи-Тал 8 8 9 Туран 7 8 9 Эрги-Барлык 8 8 9
Ийме 8 8 9 Тээли 8 8 9 Эрзин 8 8 9
Ильинка 8 8 9 Успенка 8 8 9 Ээрбек 8 8 9
Ишкин 8 8 9  
РЕСПУБЛИКА УДМУРТИЯ
Алнаши - - 6   Кизнер - - 6   Можга - - 6
Грахово - - 6 Киясово - - 6 Пычас - - 6
Каракулино - - 6 Малая Пурга - - 6    
РЕСПУБЛИКА ХАКАСИЯ
Абаза 7 8* 9*   Знаменка 7 7 8   Пуланколь 7 7 8
Абакан 7 7 8 Изыхские Копи 7 7 8 Пушное 7 7 8
Анчул 7 7 8 Имек 7 7 8 Райков 7 7 8
Арбаты 7 8 9 Июс 6 7 7 Расцвет 7 7 8
Аршаново 7 7 8 Калинино 7 7 8 Сабинка 7 8 9
Аскиз 7 7 8 Кирба 7 7 8 Сапогов 7 7 8
Балыкса 7 7 8 Кирово 7 7 8 Сапогово 7 7 8
Белый Яр 7 7 8 Колодезный 6 7 8 Сарагаш 6 7 8
Бельтирское 7 7 8 Коммунар 6 7 7 Сарала 6 6 7
Бельтырское 7 7 8 Копьево 6 6 7 Саяногорск 7 8 9
Бея 7 7 9* Куйбышево 7 7 8 Солнечное 7 7 8
Бирикчуль 7 7 8 Кызлас 7 7 8 Сон 7 7 8
Бискамжа 7 7 8 Майна 7 8 9 Сонский 7 7 8
Боград 7 7 8 Малые Арбаты 7 8 9 Сорск 7 7 8
Большая Ерба 7 7 8 Матур 7 7 8 Табат 7 8* 9*
Большая Сея 7 7 8 Московское 7 7 8 Таштып 7 7 8
Большой Монок 7 7 8 Ниж. Сыры 7 7 8 Тепличный 7 7 8
Большой Он 7 8 9 Нижняя База 7 7 8 Троицкое 7 7 8
Бондарево 7 7 8 Новоенисейка 7 8 9 Туим 6 7 8
Борец 6 7 8 Новокурск 7 8 9 Устинкино 6 6 7
Бородино 7 7 8 Новомарьясово 6 6 7 Усть-Абакан 7 7 8
Верх-Аскиз 7 7 8 Новомихайловка 7 7 9* Усть-Бюр 7 7 8
Вершина Теи 7 7 8 Новороссийское 7 7 8 Усть-Камышта 7 7 8
Вершино-Биджа 7 7 8 Новотроицкое 7 7 8 Целинное 6 7 7
Весеннее 7 7 8 Орджоникидзевский 6 7 7 Чапаево 7 7 8
Ворота 6 7 8 Очуры 7 8 9 Чарков 7 7 8
Джирим 6 7 7 Первомайское 6 7 8 Черемушки 7 8 9
Доможаков 7 7 8 Подсинее 7 7 8 Черногорск 7 7 8
Ефремкино 6 7 7 Полтаков 7 7 8 Шира 6 7 8*
Жемчужный 6 7 8 Пригорск 7 7 8  
Зеленое 7 7 8 Приисковый 6 7 8  
ЧЕЧЕНСКАЯ РЕСПУБЛИКА
Автуры 8 9 9   Гойты 8 9 9   Надтеречное 8 8 9
Аллерой 8 9 9 Грозный 8 9 9 Наурская 8 8 9
Алхазурово 8 9 9 Гудермес 8 9 9 Новые Атаги 8 9 9
Алхан-Юрт 8 9 9 Дарго 8 9 9 Ножай-Юрт 8 9 9
Аргун 8 9 9 Дубовская 8 8 9 Петропавловская 8 9 9
Ассиновская 8 9 9 Знаменское 8 8 9 Самашки 8 9 9
Ачхой-Мартан 8 9 9 Итум-Кали 8 9 9 Старые Атаги 8 9 9
Бачи-Юрт 8 9 9 Ишхой-Юрт 8 9 9 Терское 8 8 9
Братское 8 8 9 Калиновская 8 8 9 Урус-Мартан 8 9 9
Валерик 8 9 9 Катар-Юрт 8 9 9 Центарой 8 9 9
Верхний Наур 8 8 9 Кулары 8 9 9 Чири-Юрт 8 9 9
Гвардейское 8 8 9 Курчалой 8 9 9 Шали 8 9 9
Герменчук 8 9 9 Левобережное 8 8 9 Шатой 8 9 9
Гехи 8 9 9 Майртуп 8 9 9 Шелковская 8 9 9
Гойское 8 9 9 Мескер-Юрт 8 9 9    
АМУРСКАЯ ОБЛАСТЬ
Албазинка - - 6   Калиновка - - 6   Правовосточное - - 6
Албазино 7 7 8 Касаткино 7 7 8 Пребреженовка - 6 6
Алгач 7 8 8 Каховка - - 6 Пригородное - - 6
Алексеевка 6 6 7 Кивда-Тюкан 6 6 7 Придорожное - - 6
Амаранка - - 6 Климоуцы - - 6 Прогресс 6 6 7
Амуро-Балтийск 7 8 8 Ключи - - 6 Раздольное - - 6
Амурское - - 6 Коболдо 7 7 8 Райчихинск - 6 7*
Андреевка - - 6 Коврижка - - 6 Рогозовка - - 6
Анновка - - 6 Козмодемьяновка - - 6 Родионовка 6 6 7
Аносовский 7 8 8 Козьмодемьяновка - - 6 Романовка - - 6
Антоновка (Архаринский р-н) 7 7 8 Константиновка - - 6 Ромны - - 6
Антоновка (Завитинский р-н) - 6 6 Короли - - 6 Садовое - - 6
Апрельский 7 8 8 Коршуновка - - 6 Саскаль - - 6
Арга - - 6 Красное - - 6 Свободный - - 6
Аркадьевка 7 7 8 Красноярово - - 6 Святоруссовка - - 6
Арсентьевка - - 6 Крестовоздвиженка - - 6 Северное 6 6 7
Архара 7 7 8 Кувыкта 7 8 8 Селеткан - - 6
Безозерный - - 6 Кузнецово 6 6 7 Семеновка - - 6
Белогорск - - 6 Кундур 7 7 8 Семидомка - - 6
Белогорье - - 6* Куприяновка - - 6 Серебрянка - - 6
Белоцерковка - - 6   Куприяново - 6 6   Серышево - - 6*
Белый яр - - 6 Куропатино - - 6 Сиваки 6 6 7
Береговой 7 8 8 Лазаревка - - 6 Симоново - - 6
Берея - - 6 Ларба 7 8 9 Сковородино 7 8 8
Благовещенск - - 6* Ленинское 7 7 8 Снежногорский 7 8 8
Болдыревка - - 6 Лермонтовка - - 6 Солнечный 7 8 9
Бомнак 7 7 8 Лермонтово - - 6 Соловьевск 7 8 9
Борисоглебка - - 6 Лиманное - - 6 Сосновый Бор 7 8 9
Бурея 6 6 7 Магдагачи 7 7 8 Среднеполтавка - - 6
Варваровка - - 6 Майский 6 6 7 Среднерейновский 7 8 8
Васильевка - - 6 Максимовка - - 6 Стойба 7 7 8
Верхний Уртуй - - 6 Малая Сазанка - - 6 Талакан 6 7 8*
Верхнезейск 7 7 8 Малиновка 6 6 7 Талали - - 6
Верхнеильиновка - 6 6 Маркучи - - 6 Талдан 7 8* 8
Верхнеполтавка - - 6 Михайловка - - 6 Тамбовка - - 6
Винниково - 6 7 Могилевка 7 7 8 Тахтамыгда 7 8 9
Виноградовка - 6 7 Могот 7 7 8 Токур 7 7 8
Водораздельное - - 6 Мухино - 6 6 Толбузино 7 7 8
Возжаевка - - 6 Мухинский - - 6 Толстовка - - 6
Войково - - 6 Невер 7 8 9* Томское - - 6
Волково - - 6 Некрасовка - - 6 Трудовой - - 6
Вольное 7 7 8 Нижняя Ильиновка - - 6 Тыгда 7 7 8
Воскресеновка - - 6 Нижние Бузули - - 6 Тында 7 8 8
Восточный (Октябрьский р-н) - - 6 Нижняя Полтавка - - 6 Углегорск - - 6
Восточный (Тындинский р-н) 7 8* 8 Николаевка - - 6 Украинка - - 6
Гильчин - - 6 Николо-Александровка - - 6 Умлекан 7 7 8
Глухари - - 6 Новоалександровка - - 6 Ураловка 6 6 7
Голубое - - 6 Новоалексеевка (Ивановский р-н) - - 6 Урил 7 7 8
Гонжа 7 7 8 Новоалексеевка (Октябрьский р-н) - - 6 Уркан 7 8 9
Горный 7 7 8 Новобурейский 6 7* 7 Уруша 7 8 9
Грибовка 7 7 8 Нововоскресенка - 6 6 Успеновка (Бурейский р-н) - 6 6
Грибское - - 6 Новогеоргиевка - - 6 Успеновка (Завитинский р-н) - - 6
Гудачи 7 8 8 Новое - - 6 Усть-Ивановка - - 6
Дактуй 7 7 8 Новоивановка - - 6 Усть-Кивда 6 6 7
Дальневосточный - - 6 Новокиевский Увал - - 6 Усть-Нюкжа 8 9 > 9
Джалинда 7 7 8 Новопетровка - - 6 Усть-Уркима 7 8 8
Дим - - 6 Новорайчихинск 6 6 7 Ушаково - - 6
Дипкун 7 7 8   Новосергеевка 7 7 8   Ушумун 6 7 8
Дмитриевка (Ивановский р-н) - - 6 Новоспасск 6 6 7 Февральск 7* 7 8
Дмитриевка (Свободненский р-н) - - 6 Новостепановка - - 6 Фроловка - - 6
Дубовое - - 6 Новотроицкое - - 6 Хвойный 7 7 8
Дугда 7 8 9 Новочесноково - 6 6 Хорогочи 7 8 8
Дюгабуль 8 8 9 Овсянка 7 8 8 Чагоян - - 6
Екатеринославка - - 6 Огоджа 7 7 8 Чалбачи 7 8 8
Ерковцы - - 6 Огорон 7 8 9 Черемхово - - 6
Ерофей Павлович 7 8 8 Озерное - - 6 Черниговка (Архаринский р-н) 6 7 8
Жариково - - 6 Октябрьский 7 7 8 Черниговка (Свободненский р-н) - - 6
Желтоярово - - 6 Олекма 8 9 > 9 Черняево 6 7 8
Завитинск - 6* 6 Орловка - - 6 Чесноково - - 6
Зеленый Бор - - 6 Отважное 7 7 8 Чеугда 6 7 8
Зельвино - 6 7 Панино - - 6 Чигири - - 6
Зея 7 8 9 Первомайское 7 8 8 Чильчи 7 8 9
Златоустовск 7 7 8 Переясловка - - 6 Шимановск - - 6
Знаменка - - 6 Петропавловка - - 6 Широкий - 6 7
Золотая Гора 7 8 9 Петруши - - 6 Широкий Лог - - 6
Ивановка - - 6 Плодопитомник - - 6 Экимчан 7 7 8
Ивановское 7 7 8 Поздеевка - - 6 Юбилейный 7 7 8
Игнашино 7 7 8 Поляковский 7 7 8 Юктали 8 9 > 9
Ильиновка - - 6 Поляна - - 6  
Калинино - 6 7 Поярково - - 6  
АРХАНГЕЛЬСКАЯ ОБЛАСТЬ
Авнюга - - 6   Коряжма - - 6   Самодед - - 7*
Амдерма - - 6 Котлас - - 6 Светлый - - 6*
Архангельск 6 6 7 Красноборск - - 6 Северодвинск 6 6 7
Белушья Губа - - 6 Луковецкий - - 6 Сельменьга - - 6
Березник - - 6 Малошуйка - - 6 Сольвычегодск - - 6
Брин-Наволок - - 6 Мудьюга - - 6 Уемский 6 6 7
Верхняя Тойма - - 6 Мухонская - - 6 Усть-Ваеньга - - 6
Вычегодский - - 6 Новодвинск 6 6 7 Усть-Пинега - - 6
Двинской
(Верхнетоемский р-н)
- - 6 Обозерский - - 6 Харитоново - - 6
Двинской
(Холмогорский р-н)
- - 6 Онега - - 6 Холмогоры - 6 7
Емецк - - 6 Приводино - - 6 Черевково - - 6
Емца - - 6 Пянда - - 6 Черемушский - - 6
Ильинско-Подомское - - 6 Рочегда - - 6 Шипицыно - - 6
Кодино - - 6 Савинский - - 6  
АСТРАХАНСКАЯ ОБЛАСТЬ
Астрахань - - 6   Ильинка - - 6   Началово - - 6
Ахтубинск - - 6 Камызяк - - 6 Нижний Баскунчак - - 6
Верхний Баскунчак - - 6 Капустин Яр - - 6 Оранжереи - - 6
Волго-Каспийский - - 6 Кировский - - 6 Растопуловка - - 6
Володарский - - 6 Красные Баррикады - - 6 Солянка - - 6
Енотаевка - - 6 Красный Яр - - 6 Трудфронт - - 6
Знаменск - - 6 Лиман - - 6 Харабали - - 6
Икряное - - 6 Нариманов - - 6 Черный Яр - - 6
БЕЛГОРОДСКАЯ ОБЛАСТЬ
Айдар - - 6   Журавлевка - - 6   Прибрежный - - 6
Алексеевка (Алексеевский р-н) - - 6 Замостье - - 6 Принцевка - - 6
Алексеевка (Корочанский р-н) - - 6 Засосна - - 6 Пролетарский - - 6
Алексеевка (Яковлевский р-н) - - 6 Ивня - - 6 Прохоровка - - 6
Антоновка - - 6 Иловка - - 6 Пушкарное - - 6
Архангельское - - 6 Ильинка - - 6 Пятницкое - - 6
Афанасьевка - - 6 Истобное - - 6 Радьковка - - 6
Белгород - - 6 Казацкое - - 6 Разумное - - 6
Беленихино - - 6 Казинка - - 6 Ракитное - - 6
Беленькое - - 6 Каплино - - 6 Ржевка - - 6
Беломестное - - 6 Козинка - - 6 Ровеньки - - 6
Белый Колодезь - - 6   Короча - - 6   Роговатое - - 6
Белянка - - 6 Красная Яруга - - 6 Рождествено - - 6
Березовка - - 6 Красногвардейское - - 6 Русская Халань - - 6
Бессоновка - - 6 Красное - - 6 Северный - - 6
Бехтеевка - - 6 Крутой Лог - - 6 Сергиевка - - 6
Бирюч - - 6 Купино - - 6 Серетино - - 6
Бобрава - - 6 Курасовка - - 6 Скородное - - 6
Бобровы Дворы - - 6 Кустовое - - 6 Советское - - 6
Большебыково - - 6 Ливенка - - 6 Солдатское - - 6
Большетроицкое - - 6 Майский - - 6 Староивановка - - 6
Борисовка - - 6 Маслова Пристань - - 6 Старый Оскол - - 6
Валуйки - - 6 Монаково - - 6 Стрелецкое - - 6
Вейделевка - - 6 Муром - - 6 Стригуны - - 6
Великомихайловка - - 6 Мухоудеровка - - 6 Строитель - - 6
Верхопенье - - 6 Нагольное - - 6 Теплый Колодезь - - 6
Верхососна - - 6 Насоново - - 6 Терновка - - 6
Веселое - - 6 Нежеголь - - 6 Томаровка - - 6
Викторополь - - 6 Незнамово - - 6 Троицкий - - 6
Вознесеновка - - 6 Никаноровка - - 6 Уразово - - 6
Волоконовка - - 6 Никитовка - - 6 Федосеевка - - 6
Головчино - - 6 Новая Таволжанка - - 6 Фощеватово - - 6
Голубино - - 6 Новенькое - - 6 Хотмыжск - - 6
Гора-Подол - - 6 Новоалександровка - - 6 Хохлово - - 6
Городище - - 6 Новосадовый - - 6 Чернянка - - 6
Гостищево - - 6 Новоуколово - - 6 Чуево - - 6
Грайворон - - 6 Новый Оскол - - 6 Шаталовка - - 6
Графовка - - 6 Обуховка - - 6 Шебекино - - 6
Грузское - - 6 Октябрьский - - 6 Шелаево - - 6
Губкин - - 6 Песчанка - - 6 Яблоново - - 6
Двулучное - - 6 Погореловка - - 6 Яковлево - - 6
Дубовое - - 6 Подсереднее - - 6 Ясные Зори - - 6
Ездочное - - 6 Поповка - - 6  
ВОЛГОГРАДСКАЯ ОБЛАСТЬ
2-й Плотников - - 6   Золотари - - 6   Палласовка - - 6
2-й Сухов - - 6 Кайсацкое - - 6 Панфилово - - 6
Алексеевская - - 6 Карагичевский - - 6 Петровский - - 6
Алексиковский - - 6 Клетская - - 6* Преображенская - - 6
Арчединская - - 6 Колобовка - - 6 Распопинская - - 6
Безымянка - - 6 Комсомольский - - 6 Ромашки - - 6
Березовка - - 6 Краишево - - 6 Савинка - - 6
Большой (гор. округ Михайловка) - - 6 Красноармейский - - 6 Себрово - - 6
Большой
(Серафимовичский р-н)
- - 6 Красный Октябрь - - 6 Серафимович - - 6
Большой Морец - - 6 Кругловка - - 6 Серп и Молот - - 6
Букановская - - 6 Куликовский - - 6 Сидоры - - 6
Вишневка - - 6 Кумылженская - - 6 Солонка - - 6
Вязовка - - 6 Ленинск - - 6* Терновое - - 6
Глазуновская - - 6 Маляевка - - 6 Терса - - 6
Гмелинка - - 6 Мачеха - - 6 Троицкий - - 6
Двойновский - - 6 Михайловка - - 6 Урюпинск - - 6
Деминский - - 6 Нехаевская - - 6 Филоновская - - 6
Динамо - - 6 Новоаннинский - - 6 Царев - - 6
Елань - - 6 Новониколаевский - - 6 Черкесовский - - 6
Заволжский - - 6 Новостройка - - 6 Эльтон - - 6
Завязка - - 6 Отрадное - - 6  
Зимняцкий - - 6 Паласовка - - 6  
ВОРОНЕЖСКАЯ ОБЛАСТЬ
Абрамовка - - 6   Красное - - 6   Радченское - - 6
Анна - - 6 Краснолесный - - 6 Рамонь - - 6
Березовка - - 6 Краснолипье - - 6 Рамонье - - 6
Бобров - - 6 Купянка - - 6 Репьевка - - 6
Богучар - - 6 Латная - - 6 Рождественская Хава - - 6
Борисоглебск - - 6 Латное - - 6 Россошь - - 6
Бродовое - - 6 Лещаное - - 6 Ростоши - - 6
Бутурлиновка - - 6 Липовка - - 6 Русская Гвоздевка - - 6
Бутырки - - 6 Лиски - - 6 Русская Журавка - - 6
Васильевка - - 6 Лозовое - - 6 Садовое - - 6
Верхний Икорец - - 6 Лосево - - 6 Семено-Александровка - - 6
Верхний Карачан - - 6 Манино - - 6 Семидесятное - - 6
Верхний Мамон - - 6 Мечетка - - 6 Семплуки - - 6
Верхняя Тишанка - - 6   Митрофановка - - 6   Слобода - - 6
Верхняя Тойда - - 6 Монастырщина - - 6 Сомово - - 6
Верхняя Хава - - 6 Нижнедевицк - - 6 Средний Икорец - - 6
Воля - - 6 Нижний Карачан - - 6 Средний Карачан - - 6
Воробьевка - - 6 Нижний Кисляй - - 6 Стрелица - - 6
Воронеж - - 6 Николаевка - - 6 Сухая Березовка - - 6
Воронцовка - - 6 Новая Калитва - - 6 Таловая - - 6
Гвазда - - 6 Новая Усмань - - 6 Талы - - 6
Гороховка - - 6 Нововоронеж - - 6 Терновка - - 6
Грибановский - - 6 Новомеловатка - - 6 Троицкое - - 6
Губари - - 6 Новохоперск - - 6 Углянец - - 6
Давыдовка - - 6 Новохоперский - - 6 Филиппенково - - 6
Девица - - 6 Ольховатка
(Верхнемамонский р-н)
- - 6 Хохол - - 6
Дракино - - 6 Ольховатка (Ольховатский р-н) - - 6 Хохольский - - 6
Дьяченково - - 6 Орлово - - 6 Хреновое (Бобровский р-н) - - 6
Елань-Колено - - 6 Острогожск - - 6 Хреновое
(Новоусманский р-н)
- - 6
Елань-Коленовский - - 6 Павловск - - 6 Чесменка - - 6
Залиман - - 6 Панино - - 6 Чигорак - - 6
Землянск - - 6 Перелешинский - - 6 Шапошниковка - - 6
Истобное - - 6 Перлевка - - 6 Шестаково - - 6
Калач - - 6 Пески - - 6 Шилово - - 6
Каменка - - 6 Петропавловка - - 6 Ширяево - - 6
Кантемировка - - 6 Поворино - - 6 Шишовка - - 6
Каширское - - 6 Подгоренский - - 6 Эртиль - - 6
Козловка
(Бутурлиновский р-н)
- - 6 Подколодновка - - 6 Ямное - - 6
Козловка (Терновский р-н) - - 6 Подлесный - - 6 Ярки - - 6
Колодезный - - 6 Покровка - - 6 Ясенки - - 6
Коротояк - - 6 Пригородный - - 6  
Коршево - - 6 Придонской - - 6
ЕВРЕЙСКАЯ АВТОНОМНАЯ ОБЛАСТЬ
Амурзет 7 7 8   Дубовое 7 7 8   Новое 7 7 8
Аур 7 7 8 Екатерино-Никольское 7 7 8 Новотроицкое 7 7 8
Бабстово 7 7 8 Желтый Яр 7 7 8 Облучье 7 7 8
Башмак 7 7 8 Известковый 7 7 8 Партизанское 7 7 8
Башурово 7 7 8 имени Тельмана 6 7 8* Пашково 7 7 8
Биджан 7 7 8 Калинино 7 7 8 Песчаное 7 7 8
Бира 7 7 8 Камышовка 6 7 8 Полевое 7 7 8
Биракан 7 7 8 Кимкан 7 7 8 Преображеновка 7 7 8
Биробиджан 7 7 8 Кирга 7 7 8 Приамурский 6 7 8*
Бирофельд 7 7 8 Кирово 7 7 8 Птичник 7 7 8
Благословенное 7 7 8 Красивое 7 7 8 Пузино 7 7 8
Будукан 7 7 8 Кукелево 7 7 8 Радде 7 7 8
Валдгейм 7 7 8 Кульдур 7 7 8 Ручейки 7 7 8
Венцелево 7 7 8 Лазарево 7 7 8 Самара 7 7 8
Волочаевка 1-я 7 7 8 Ленинское 7 7 8 Смидович 7 7 8
Волочаевка-2-я 7* 7 8 Лондоко 7 7 8 Степное 7 7 8
Воскресеновка 7 7 8 Нагибово 7 7 8 Столбовое 7 7 8
Даниловка 7 7 8 Надеждинское 7 7 8 Теплоозерск 7 7 8
Двуречье 7 7 8 Найфельд 7 7 8 Хинганск 7 7 8
Дежнево 7 7 8 Николаевка 6 7 8 Чурки 7 7 8
ИРКУТСКАЯ ОБЛАСТЬ
Азей 7 7 8   Казачье 7 8 9   Покровка (округ Усть-Ордынский Бурятский) 8 8 9
Аларь 8 8 9 Калтук 6 6 7 Половинка 8 8 9
Александровск 7 8 9 Каменка
(Нижнеудинский р-н)
7 7 8 Половино-Черемхово 6 6 7
Александровское 7 8 9 Каменка (округ Усть-Ордынский Бурятский) 7 8 9 Порог 7 7 8
Александро-Невский Завод 7 7 8 Каменно-ангарск 7 8 9 Порожский - 6 7
Алексеевск 6 7 8 Каменск - 6 7 Прибойный 6 6 7
Алехино 7 8 9 Капсал 7 8 9 Прибрежный 6 7 8
Алзамай 6 7* 7 Каразей 7 7 8 Приморский 7 7 8
Алкин 7 7 8 Карам 7 8 8 Радищев - - 6
Алтарик 7 8 9 Каранцай 7 8 9 Раздолье 8 9 > 9
Алужина 7 8 9 Карахун 6 6 7 Ревякина 8 8 9
Алыгджер 8 9 9 Карлук (Иркутский р-н) 8 8 9 Рождественка 6 6 7
Алымовка 6 7 8 Карлук (Качугский р-н) 8 8 9 Рудногорск - - 6
Аляты 8 8 9   Карнаухова 7 8 8   Рудовка 7 7 8
Анга 7 8 8 Карымск 7 7 8 Русские Янгуты 7 7 8
Ангарск 8 8 9 Катарбей 7 8 8 Ручей - 6 6
Ангарский 7 8 8 Катарма 6 6 7 Рысево 7 8 9
Андрюшино 7 7 8 Качуг 7 7 8 Савватеевка 8 9 9
Аносово 6 7 8 Квиток 6 6 7 Саянск 7 7 8
Апхульта 7 8 9 Кеуль - - 6 Саянское 8 8 9
Артемовский 6 7 8 Кимильтей 7 7 8 Свердлово 8 8 9
Атагай 6 7 8 Киренск 6 7 8* Светлолобово 6 7 8
Аталанка 6 7 7 Китой 8 8 9 Свирск 7 8 9
Афанасьева 7 7 8 Ключи-Булак 6 6 7 Семеновск 7 8 9
Ахины 7 8 8 Кобляково - - 6 Семигорск - 6 6
Бабагай 8 8 9 Кондратьево - - 6 Середкина 7 8 8
Бадагуй 7 8 9 Коновалово 7 7 8 Сибиряк 7 7 8
Бадар 7 7 8 Коношаново 6 7 8 Слюдянка 9 9 > 9
Бажир 7 8 9 Корсук 8 8 9 Смоленщина 8 8 9
Байкал 8 9 > 9 Коршуново 6 6 7 Согдиондон 7 7 8
Байкальск 8 9 > 9 Коршуновский - 6 6 Солонцы 7 7 8
Байша 7 8 9 Костино 6 6 7 Соляная 6 7 8
Баклаши 8 8 9 Котик 7 7 8 Сосновка 8 8 9
Балаганка 7 7 8 Красноярово 6 7 8 Соцгородок - - 6
Балаганск 7 7 8 Кривая Лука 6 7 8 Средний 7 8 9
Балахнинский 7 7 8 Кропоткин 6 7 7 Средняя Муя 6 7 8
Барлук 7 7 8 Кузнецовка - 6 7 Табарсук 7 8 9
Батама 7 8 9 Куйтун 7 7 8 Тайтурка 7 8 9
Бахтай 7 8 9 Култук 9 9 > 9 Тайшет 6 6 7
Баянда 6 6 7 Кумарейка 6 7 8 Талая 6 7 8
Баяндай 8 8 9 Кундуй 7 7 8 Тальники 8 9 > 9
Белореченский 8* 8 9 Кунерма 8 8 9 Тальяны 8 9 > 9
Белоусово 7 7 8 Кустова 7 8 9 Тангуй 6 6 7
Бельск 8 8 9 Кутима 7 7 8 Тараса 7 8 9
Березовка 6 6 7 Кутулик 7 8 9 Тарасово 7 8 9
Бикей - 6 7 Ленино 7 7 8 Таргиз - 6 7
Биликтуй 8 8 9 Лермонтовский 7 7 8 Тарма - 6 7
Бильчир 7 7 8 Лесогорск 6* 6 7 Тарнополь 7 7 8
Бирит 7 7 8   Листвянка 8 9 > 9   Тельма 8 8 9
Бирюлька 7 8 8 Лохово 7 8 9 Тимирязева 6 6 7
Бирюса 6 6 7 Луговский 7 7 8 Тимошино 7 7 8
Бирюсинск 6 6 7 Лукиново 7 7 8 Тихоновка 7 8 8
Бодайбо 7 7 8 Люры 8 8 9 Троицк 7 8 9
Большой Тарель 8 8 9 Магистральный 7 7 8 Тугутуй 8 8 9
Большая Елань 8 8 9 Майская 7 7 8 Тулун 7 7 8
Большая Речка 8 9 > 9 Макарово 6 7 8 Тулюшка 7 7 8
Большеокинское 6 6 7 Малое Голоустное 8 9 9 Тунгуска 8 9 9
Большие Голы 7 8 8 Малышевка 7 7 8 Тургеневка 8 8 9
Большой Луг 8 9 > 9* Мальта 7 8 9 Турука 6 6 7
Борисово 6 6 7 Мама 6 7 8 Тутура 7 7 8
Бохан 7 8 9 Мамакан 7 7 8 Тынкобь 6 6 7
Боярск 6 6 7 Мамоны 8 8 9 Тыргетуй 7 8 9
Братск - 6 7* Манзурка 8 8 9 Тыреть 1-я 7 8 9
Бубновка 6 7 8 Маниловская 7 8 9 Тэмь 6 6 7
Бугульдейка 9 9 > 9 Маракан 6 6 7 Узкий Луг 7 8 9
Будагово 7 7 8 Маритуй 9 9 > 9 Ук 7* 7 8
Бузыканово - 6 6 Маркова 8 8 9 Укыр 7 8 8
Булуса 7 8 9 Марково 8 8 9 Улькан 7 8 9
Булюшкина 7 7 8 Масляногорск 7 8 9 Умбелла 8 8 9
Бунбуй - 6 7 Мегет 8 8 9 Умыган 7 7 8
Буреть (Усольский р-н) 7 8 9 Мельница 7 7 8 Унгин 7 7 8
Буреть (округ Усть-Ордынский Бурятский) 7 8 9 Мингатуй 7 7 8 Урик 8 8 9
Бурхун 6 7 8 Мирный - - 6 Усолье-Сибирское 8* 8 9
Буря 7 7 8 Мироново 6 7 7 Усть-Алтан 7 7 8
Бутаково 7 7 8 Михайловка 7 8 9 Усть-Илга 7 7 8
Быстрая 9 9 > 9 Мишелевка 8 8 9 Усть-Илимск - - 6
Васильевка 8 8 9 Могоенок 7 8 9 Усть-Када 6 7 8
Венгерка 6 7 7 Мойган 7 8 9 Усть-Киренга 7 7 8
Веренка 7 8 9 Моисеевка 7 8 9 Усть-Кульск 6 7 8
Верхнемарково 6 6 7 Молька 7 7 8 Усть-Кут 6 6 7
Верхнемартыново 7 8 8 Мугун 7 7 8 Усть-Ордынский 7 8 9
Верхняя Гутара 8 8 9 Мухино 6 6 7 Усть-Уда 7 7 8
Верхоленск 7 7 8 Мыс 7 8 8 Усть-Укыр 7 8 8
Вершина Тутуры 7 7 8 Нагалык 7 8 9 Утулик 9 9 > 9
Веселый 6 6 7   Наратай (Братский р-н) - 6 7   Уховский 7 7 8
Видим - - 6 Наратай
(Куйтунский р-н)
6 7 7 Ухтуй 7 7 8
Визирный 6 6 7 Небель 7 7 8 Уян 7 7 8
Витимский 6 7 7 Нерпо 7 8 8 Филипповск 7 7 8
Вихоревка - 6 7 Нижнеудинск 7 7 8 Хадахан 7 7 8
Владимир 7 8 9 Нижний Бурбук 7 8 9 Ханжиново 7 8 9
Владимировка 7 8 9 Нижняя Заимка 6 6 7 Харазаргай 7 8 8
Выдрино - - 6 Нижняя Иреть 8 8 9 Харайгун 7 7 8
Гадалей 7 7 8 Николаевка 6 6 7 Харанжино 6 6 7
Гаханы 7 8 8 Никольск 7 8 9 Харат 8 8 9
Головское 6 7 7 Никулина 6 7 7 Харбатово 7 8 8
Голуметь 8 8 9 Ния 6 7 8 Хареты 7 7 8
Горно-Чуйский 7 7 8 Новая Игирма - - 6 Харик 7 7 8
Горохово 7 8 9 Новая Ида 7 8 9 Хогот 8 8 9
Гуран 7 7 8 Новая Тельба 6 7 8 Хокта 7 7 8
Дальняя Закора 7 7 8 Новая Уда 7 7 8 Холмогой 7 8 9
Джогино - 6 6 Новобалтурина - 6 7 Холмушино 8 8 9
Добчур 6 6 7 Новобирюсинский - - 6 Хомутово 8 8 9
Дундай 7 8 8 Новогромово 7 8 9 Хор-Тагна 8 8 9
Егоровская 7 8 9 Новожилкино 8 8 9 Хохорск 7 8 8
Едогон 7 8 9 Новоленино 7 7 8 Хребтовая - - 6
Еланцы 9 9 > 9 Новолетники 7 8 9 Худоеланское 7 7 8
Еловка 7 8 9 Новомальтинск 7 8 9 Хужир 9 9 > 9
Енисей 7 7 8 Новониколаевск 7 8 8 Целинный 7 8 9
Ермаки 7 7 8 Новонукутский 7 8 8 Целоты 8 8 9
Железногорск-Илимский - - 6 Новостройка 8 9 > 9 Центральный Хазан 7 8 9
Железнодорожный - - 6 Новочеремхово 7 8 9 Чеботариха 7 7 8
Жигалово 7 7 8 Новочунка - 6 7 Чекановский - 6 7
Забитуй 7 8 9 Нукуты 7 7 8 Черемхово 7 8 9
Загатуй 8 8 9 Ныгда 8 8 9 Черемшанка 8 8 9
Закулей 7 7 8 Одинск 8 8 9 Черноруд 9 9 > 9
Залари 7 8 9 Оек 8 8 9 Черчет - 6 6
Залог 7 8 8 Озерный - 6 7 Чехово 7 8 8
Замзор 6 7 8 Октябрьский - 6 7 Чечуйск 6 7 7
Заречное (Качугский р-н) 8 8 9 Октябрьский 2-й 6 7 8 Чикан 7 7 8
Заречное (Тайшетский р-н) 6 6 7 Окунайский 7 8 8 Чунский - 6 7
Заречье 6 6 7   Олой 7 8 9   Чуя - 6 7
Заславская 7 7 8 Олонки 7 8 9 Шаманка 8 9 > 9
Заярск - 6 6 Ользоны 8 8 9 Шарагай 6 7 8
Звездный 6 7 7 Омолой 6 7 7 Шараты 7 7 8
Зерновое 7 8 9 Онгурен 8 9 > 9 Шеберта 7 7 8
Зима 7 8* 9* Онот 8 9 > 9 Шелаево - - 6
Змеиново 6 7 8 Орлинга 6 7 7 Шелехов 8 9* 9
Знаменка 7 7 8 Оса 7 7 8 Шелехово 6 7 7
Золотой 6 7 7 Осиновка - 6 6 Шерагул 7 7 8
Зоны 7 8 9 Парфеново 8 8 9 Шестаково - - 6
Зулумай 7 8 9 Первомайское 7 7 8 Широково 6 7 7
Иваническое 8 8 9 Перевоз 6 6 7 Ширяева 8 8 9
Игжей 7 7 8 Перфилово 7 7 8 Шиткино - 6 7
Игнино 7 7 8 Петрово 7 7 8 Шумилово - 6 7
Идеал 7 8 9 Петропавловское 6 7 7 Шумский 7 7 8
Икей 7 8 9 Пивовариха 8 8 9 Юбилейный 6 7 7
Илир 6 7 8* Подволочное 6 6 7 Юголок 6 7 8
Иргей 7 7 8 Подволошино 6 6 7 Юрты 6 6 7
Иркутск 8 8 9 Подкаменная 8 9 > 9 Янгель - - 6
Ирхидей 7 7 8 Подымахино 6 6 7 Янталь - 6 7
Ишидей 7 8 9 Покосное 6 6 7  
Казачинское 7 7 8 Покровка 7 8 9  
КАЛИНИНГРАДСКАЯ ОБЛАСТЬ
Багратионовск 6 6 7   Калининград 6 6 7   Прибрежный 6 6 7
Балтийск 6 6 7 Корнево 6 6 7 Приморск 6 6 7
Большаково - - 6 Ладушкин 6 6 7 Приморье 6 6 7
Большое Исаково 6 6 7 Луговое 6 6 7 Светлогорск 6 6 7
Гвардейск 6 6 7 Малое Луговое 6 6 7 Светлый 6 6 7
Гурьевск 6 6 7 Мамоново 6 6 7 Славск - - 6
Гусев - - 6 Неман - - 6 Советск - - 6
Донское 6 6 7 Озерки 6 6 7 Тимирязево - 6* 7*
Железнодорожный - 6 7 Озерск - - 6 Черняховск - - 6
Жилино - - 6 Пионерский 6 6 7 Янтарный 6 6 7
Зеленоградск 6 6 7 Полесск 6 6 7    
Знаменск - 6 7 Правдинск 6 6 7  
КЕМЕРОВСКАЯ ОБЛАСТЬ
Абагур 7 7 8   Киселевск 7 8 8   Поперечное 6 6 7
Абышево 6 7 8 Колба - 6 7 Постниково - - 6
Алтамаш 7 7 8 Колмогорово 6 6 7 Преображенка - - 6
Алчедат - 6 6 Колыон - - 6 Пригородный 6 7 7
Андреевка 6 6 7 Комсомольск 6 6 7 Пристань 2-ая - - 6
Анжеро-Судженск - 6* 6 Кондома 7 7 8 Притомский 7 7 8
Ариничево 7 8 8 Костенково 7 7 8 Прокопьевск 7 8* 8
Арлюк 6 6 7 Котино 7 7 8 Промышленная 7 7 8
Арсеново 7 7 8 Крапивинский 7 7 8 Промышленновский 6 6 7
Артышта 7 8 8 Краснинское 7 7 8 Проскоково - 6 6
Атаманово 7 7 8 Краснобродский 7 8 8 Раздольный 7 8 8
Банново 7 7 8 Красногорский 7 7 8 Рудничный - 6* 6
Барановка 6 6 7 Красное 7 8 8 Руднычный - - 6
Барачаты 7 7 8 Красноселка - 6 6 Салаир 7 8 8
Барзас 6 6 7 Красные Орлы - - 6 Саломатово - - 6
Бачатский 7 8 8 Красный яр - 6 7 Салтымаково 7 7 8
Безруково 7 7 8 Красулино 7 7 8 Сарбала 7 7 8
Беково 7 7 8 Кубитет - - 6 Сары-Чумыш 7 7 8
Бедово 7 7 8 Кузедеево 7 7 8 Святославка - - 6
Белогородка - - 6 Куликовка - 6 7 Серебряково 6 6 7
Белогорск 6 7 8 Кураково 6 6 7 Сидорово 7 7 8
Бенжереп 1-й 7 7 8 Курск-Смолянка - 6 6 Силино 6 7 8
Береговая 6 7 8 Лебеди 7 7 8 Симбирка - - 6
Березовка 7 7 8 Лебяжий - - 6 Сосновка (Гурьевский р-н) 7 8 8
Березово 6 7 8 Лебяжье-Асаново - 6 6 Сосновка
(Новокузнецкий р-н)
7 7 8
Березовский 6 6 7 Ленинский - - 6 Спасск 7 7 8
Берикуль - - 6 Ленинск-Кузнецкий 7 7 8 Старобачаты 7 8 8
Берикулькский 6 6 7 Листвяги 7 7 8 Старобочаты 7 8 8
Благовещенка - - 6 Листвянка - 6 6 Старопестерево 7 7 8
Бол. Барандат - 6 7 Литвиново - 6 6 Старочервово 6 7 8
Бол. Талда 7 7 8 Мазурово 6 7 8* Степной 7 7 8
Большая Талда 7 7 8 Макаракский 6 6 7 Ступишино - - 6
Большепичугино 6 6 7 Мал. Салаирка 7 8 8 Судженка - - 6
Борисово 7 7 8 Малая Салаирка 7 8 8 Суслово - - 6
Боровой 6 6 7 Малиновка 7 7 8 Таежно-Михайловка - - 6
Ботьево - 6 6   Малопесчанка - - 6   Тайга - - 6
Бурлаки 7 7 8 Мальцево - - 6 Тайжина 7 7 8
Ваганово 7 7 8 Мариинск - - 6 Талая - 6 6
Васьково 7* 7 8 Марьевка - - 6 Таловка - 6 6
Верхний Падунский 6 7 8 Междуреченск 7 7 8 Тальжино 7 7 8
Верхняя Тайменка 6 6 7 Менчереп 7 7 8 Тамбар 6 6 7
Верхний Чумыш 7 8 8 Металлплощадка 6 7 8 Тараданово 7 7 8
Верхтомское 6 6 7 Металлургов 7 7 8 Тарасово 7 7 8
Верх-Чебула - 6* 6 Михайловка 7 8 8 Таштагол 7 7 8
Вознесенка - - 6 Мозжуха 6 6 7 Темиртау 7 7 8
Глубокое 6 6 7 Мохово 7 7 8 Терентьевское 7 7 8
Горскино 7 8 8 Мрассу 7 8 9 Тисуль (Тисульский р-н) 6* 6 7
Грамотеино 7 7 8 Мундыбаш 7 7 8 Тисуль (Тяжинский р-н) - - 6
Гурьевск 7 8 8 Мурюк 6 6 7 Титово 7 7 8
Дворниково - 6 7 Мусохраново 7 7 8 Топки 6 7 7
Демьяновка 7 7 8 Мыски 7 7 8 Троицкое - - 6
Дмитриевка - - 6 Никитинский 7 7 8 Трудармейский 7 8 8
Драченино 7 7 8 Николаевка - 6 7 Туйла - - 6
Евтино 7 7 8 Николаевка 2-я - - 6 Тяжинский - - 6
Елань 7 7 8 Новый Свет - 6 7 Улановка - - 6
Елыкаево 6 7 8 Новобачаты 7 8* 8 Ур-Бедари 7 7 8
Журавлево 7 7 8 Нововосточный - - 6 Урск 7 8 8
Загорский 7 7 8 Новогеоргиевка 7 7 8 Усманка - 6 6
Зарубино 6 6 7 Новоискитимск 6 7 8 Усть-Азас 7 7 8
Звездный 6 6 7 Новокузнецк 7 7 8 Усть-Кабырза 7 7 8
Зеледеево - - 6 Новониколаевка - - 6 Усть-Колба - 6 7
Зеленовский 7 7 8 Новопестерево 7 8 8 Усть-Серта - 6* 6
Зеленогорский 7 7 8 Новоподзорново - 6 6 Усть-Сосново 6 7 7
Зырянка - 6 7 Новопокровка - 6 6 Центральный 7 7 8
Ивановка 7 7 8 Новороманово 6 6 7 Черемичкино 6 7 8
Ижморка 2-я - - 6 Новосафоновский 7 8 8 Чилису-Анзас 7 7 8
Ижморский - - 6 Новославянка - - 6 Чистогорский 7 7 8
Ильинка 7 7 8 Новостройка 6 7 8 Чкаловский 7 7 8
Инской 7 7 8 Новый Городок 7 7 8 Чувашка 7 7 8
Инюшка 7 7 8 Новый Каракан 7 7 8 Чугунаш 7 7 8
Итатский - - 6   Окунево 7 7 8   Чулым - - 6
Ишим - - 6 Опарино 6 6 7 Чумай 6 6 7
Каз 7 7 8 Ортон 7 7 8 Чусовитино 7 7 8
Кайла - - 6 Осинники 7 7 8 Шабаново 7 7 8
Кайчак 6 6 7 Осиновое Плесо 7 7 8 Шевели 7 7 8
Калары 7 7 8 Падунская 7* 7 8 Шерегеш 7 7 8
Калачево 7 7 8 Панфилово 7 7 8 Шишино 6 6 7
Калининский - - 6 Пача 6* 6 7 Щебзавод 7 8 8
Калинкино 7 7 8 Пашково - - 6 Юрга - 6 7*
Калтан 7 7 8 Первомайский - - 6 Юрга 2-я - 6 7
Каменка 7 7 8 Перехляй 7 7 8 Ягуново 6 7 8
Каменный Ключ 7 8 8 Пермяки 7 7 8 Ягуновский 6 7 8
Камышино 7 7 8 Пионер 6 7 8 Ясная Поляна 7 8 8
Карагайла 7 8 8 Плотниково 7 7 8 Ясногорский 6 7 7
Карагайлинский 7 8 8 Покровка - 6 6 Ячменюха 7 7 8
Каракан 7 7 8 Поломошное - 6 7 Яшкино - 6 6
Кедровка 6 6 7 Полуторник 6 7 8 Яшкинский - 6 6
Кемерово 6 7* 8* Полысаево 7 7 8 Яя - - 6
КИРОВСКАЯ ОБЛАСТЬ
Бахта - - 6   Кумены - - 6   Русское - - 6
Белая Холуница - - 6 Лальск - - 6 Садаковский - - 6
Большевик - - 6 Лесной - - 6 Слободской - - 6
Боровой - - 6 Луза - - 6* Созимский - - 6
Вахруши - - 6 Лянгасово - - 6 Сорда - - 6
Вятские Поляны - - 6 Мураши - - 6 Сосновка - - 6
Ганино - - 6 Мурыгино - - 6 Стрижи - - 6
Дороничи - - 6 Нагорск - - 6 Суна - - 6
Зуевка - - 6* Нижнеивкино - - 6 Торфаной - - 6
Киров - - 6 Опарино - - 6* Чистые Пруды - - 6
Кирово-Чепецк - - 6 Первомайский - - 6 Юрья - - 6
Костино - - 6 Порошино - - 6  
Красная поляна - - 6 Радужный - - 6  
КУРСКАЯ ОБЛАСТЬ
Белая - - 6   Кировский - - 6   Поныри - - 6
Белица - - 6 Коммунар - - 6 Пристень - - 6
Большое Солдатское - - 6 Конышевка - - 6 Прямицыно - - 6
Ворошнево - - 6 Коренево - - 6 Рыльск - - 6
Гирьи - - 6 Курск - - 6 Солнечный - - 6
Глушково - - 6 Курчатов - - 6 Солнцево - - 6
Горшечное - - 6 Кшенский - - 6 Суджа - - 6
Дичня - - 6 Льгов - - 6 Теткино - - 6
Замостье - - 6 Мантурово - - 6 Тим - - 6
Золотухино - - 6 Маршала Жукова - - 6 Фатеж - - 6
Иванино - - 6 Медвенка - - 6 Черемисиново - - 6
Ивановское - - 6 Новокасторное - - 6 Щигры - - 6
имени Карла Либкнехта - - 6 Обоянь - - 6 Ястребовка - - 6
Касторное - - 6 Олымский - - 6  
ЛЕНИНГРАДСКАЯ ОБЛАСТЬ
Вещево - - 6   Красносельское - - 6   Пруды - 6 7
Возрождение - 6 7 Кривко - - 6 Пушное - - 6
Выборг - 6* 7 Кузнечное - 6 7 Раздолье - - 6
Гаврилово - - 6 Лесогорский - 6 7 Ромашки - - 6
Глебычево - - 6 Мельниково - 6* 7 Рошино - - 6*
Гончарово - 6 7 Мичуринское - - 6 Саперное - - 6
Громово - - 6 Первомайское - - 6 Светогорск - 6 7
Ермилово - - 6 Перово - - 7 Селезнево - 6 7
Запорожское - - 6 Петровское - - 6 Семиозерье - - 6
Каменка - - 6 Плодовое - - 6 Снегиревка - - 6
Каменногорск - 6 7 Победа - - 6 Советский - - 6
Кирпичное - - 6 Поляны - - 6 Сосново - - 6
Кондратьево - 6 7 Починок - - 6 Суходолье - - 6
Коробицыно - - 6 Приморск - - 6 Цвелодубово - - 6
Красная Долина - - 6 Приозерск - 6* 7    
ЛИПЕЦКАЯ ОБЛАСТЬ
Аннино - - 6   Задонск - - 6   Матырский - - 6
Бутырки - - 6 Измалково - - 6 Становое - - 6
Волово - - 6 Казинка - - 6 Сырский - - 6
Газопровод - - 6 Карамышево - - 6 Тербуны - - 6
Грязи - - 6 Ключ Жизни - - 6 Усмань - - 6
Добринка - - 6 Красное - - 6 Хлевное - - 6
Доброе - - 6 Лебедянь - - 6 Ярлуково - - 6
Долгоруково - - 6 Лев Толстой - - 6*  
Елец - - 6 Липецк - - 6  
МАГАДАНСКАЯ ОБЛАСТЬ
Армань 7 8 9   Колымское 8 9 > 9   Стекольный 7 8 9
Атка 7 8 8 Кулу 7 8 9 Сусуман 7 8 9
Балаганное 7 8 9 Магадан 7 8 9 Талая 7 8 9
Беличан 8 8 9 Мадаун 7 8 8 Талон 7 8 9
Большевик 7 8 9 Меренга 8 9 > 9 Таскан 8 8 9
Бурхала 7 8 9 Мой-Уруста 7 8 8 Тауйск 7 8 9
Верхний Парень 7 7 8 Мяунджа 8 8 9 Тахтоямск 7 8 9
Верхний Ат-Урях 8 8 9 Нелькоба 7 8 8 Тополовка 7 7 8
Верхний Балыгычан 8 9 > 9 Ола 8 8 9 Уптар 8 8 9
Верхний Сеймчан 8 9 > 9 Омсукчан 8 8 9 Усть-Хакчан 8 8 9
Гадля 8 8 9 Омчак 7 8 9 Усть-Омчуг 7 7 8
Галимый 8 8 9 Оротук 7 8 9 Усть-Среднекан 8 9 9
Гарманда 7 7 8 Оротукан 8 8 9 Холодный 7 8 9
Гвардеец 7 8 9 Палатка 8* 8 9 Чайбуха 7 7 8
Гижига 7 7 8 Сеймчан 8 9 > 9* Широкий 8 8 9
Дебин 8 8 9 Синегорье 7 8 9 Штурмовой 8 8 9
Дукат 8 8 9 Сокол 8 8 9 Эвенск 7 7 8
Кадыкчан 8 8 9 Солнечный 7 8 9 Эльген 8 8 9
Карамкен 7 8 9 Сплавная 7 8 9 Ягодное 8* 8 9
Клепка 8 8 9 Спорное 8 8 9 Ямск 7 8 9
МУРМАНСКАЯ ОБЛАСТЬ
Алакуртти - - 6   Кильдинстрой - - 6   Полярные Зори - 6 7
Апатиты - 6 7 Кировск - 6* 7* Полярный - - 6
Африканда - 6 7 Ковдор - 6 7 Приречный - - 6
Верхнетуломский - - 6 Кола - - 6 Ревда - - 6
Видяево - - 6 Ловозеро - - 6 Росляково - - 6
Высокий - - 6 Молочный - - 6 Сафоново - - 6
Гаджиево - - 6 Мончегорск - - 6 Североморск - - 6
Енский - 6 7 Мурманск - - 6 Скалистый - - 6
Заозерск - - 6 Мурмаши - - 6 Снежногорск - - 6
Заполярный - - 6 Нивский - 6 7 Териберка - - 6
Зашеек - 6 7 Никель - - 6 Тулома - - 6
Зверосовхоз - - 6 Оленегорск - - 6 Туманный - - 6
Зеленоборский - 6 7 Островной - - 6 Умба 6 6 7
Кандалакша - 6 7 Печенга - - 6 Шонгуй - - 6
НОВОСИБИРСКАЯ ОБЛАСТЬ
Агролес 6 7* 8   Колывань - 6 6   Пашино - 6 7
Базово - 6 7 Кольцовка - - 6 Пенек - - 6
Байкал - 6 6 Кольцово 6 6 7 Пеньково 7 7 8
Барышево 6 6 7 Комарье - - 6 Первотроицк - - 6
Безменово 7 7 8 Корнилово 6 6 7 Петровский 6 6 7
Бердск 6 7* 8* Королевка - - 6 Пихтовка - - 6
Березиково 6 7 8 Коурак 7 7 8 Плотниково 6 6 7
Березовка 6 6 7 Коченево - 6 7* Поваренка - 6 7
Березово 7 7 8 Кочки - 6 6 Половинное - - 6
Битки 6 7 8 Красная Сибирь - 6 6 Полойка - - 6
Бобровка 7 7 8 Красноглинное 6 6 7 Посевная 7 7 8
Бол. Изырак 7 7 8   Краснозерское - - 6   Преображенка 6 7 8
Болотное - 6 7* Краснообск 6 6 7 Прокудское - 6 7
Болтово 7 7 8 Красный Яр (Новосибирский р-н) - 6 7 Пролетарский 6 6 7
Большеникольское - 6 7 Красный Яр (Ордынский р-н) 6 6 7 Пушной 7 7 8
Борково 7 7 8 Криводановка - 6 7 Пятилетка 7 7 8
Боровое 6 6 7 Крутологово - - 6 Раздольное 6 6 7
Бордово 6 6 7 Кубовая - 6 7 Решеты - 6* 6
Бочкарево 7 7 8 Кудельный Ключ 6 6 7 Рогалево 6 6 7
Боярка - - 6   Кудряшовский - 6 7   Садовый - 6 7
Буготак 6 6 7 Куликовское - - 6 Сарапулка 6 6 7
Бурмистрово 6 7 8 Кунчурук - - 6 Серебрянское - - 6
Быстровка 6 7 8* Лебедевка 6 7 8 Сидоровка - - 6
Быструха - 6 7 Лебедево 6 7 8 Скала - 6 6
Вагайцево 6 6 7 Легостаево 7* 7 8 Согорное - - 6
Варламово - - 6 Лекарственное 6 6 7 Соколово - 6 6
Верх-Сузун 7 8 8 Ленинское 6 6 7 Сокур 6 6 7
Верх-Алеус 6 7 7 Лесная поляна - 6 6 Сосновка - 6 7
Верх-Ирмень 6 6 7 Линево 6 7 8 Спирино 6 7 8
Верх-Кюен 6 7 7 Листвянка 7 7 8 Станционно-Ояшинский - 6 7
Верх-Мильтюши 6 7 8 Листвянский 7 7 8 Степной 6 7 8
Верх-Тула 6 6 7 Льниха 6 6 7 Сузун 7 8 8
Верх-Чик 6 6 7 Майский 7 7 8 Сумы - - 6
Воздвиженский - - 6 Майское - - 6 Сурково 6 6 7
Восход 6 6 7 Малышево 7 8 8 Тальменка 6 7 8
Вьюны - - 6 Мамоново 7 7 8 Ташара - 6 6
Горный 6 6 7 Мамонтовое - - 6 Тогучин 6 6 7
Гусельниково 7 7 8 Марусино - 6 7 Толмачево 6 6 7
Двуречье 6 6 7 Маслянино 7 7 8 Травное - - 6
Довольное - - 6 Маюрово 6 7 8 Троицкий - - 6
Дорогино 7 7 8 Медведское 7 7 8 Тулинский 6 6 7
Дубровино - 6 6 Мереть 7 8 8 Ужаниха - 6 6
Дупленская - - 6 Мичуринский 6 6 7 Улыбино 6 7 8
Евсино 6 7 8 Мохнатый Лог - - 6 Усть-Каменка 6 7 7
Егорьевское 7 7 8 Мочище 6* 6 7 Усть-Луковка 6 6 7
Елбань 7 7 8 Мошково 6* 6 7 Усть-Чем 6 7 8
Железнодорожный 6 6 7 Мышланка 7 7 8 Устюжанино 6 7 7
Жуланка - 6 6 Нечаевский 6 6 7 Утянка - - 6*
Завьялово 6 7 8 Нижнекаменка 6 7* 7 Федосиха - 6 7
Заковряжино 7 7 8 Новоиткульское - - 6 Филиппово 6 6 7
Заречное 6 7 7 Новокремлевское - 6 6 Целинное - 6 7
Золотая грива - - 6 Новолокти 6 7 8 Чемское 6 7 8
Зудово - - 6 Новолуговое 6 6 7 Черепаново 7 7 8
Индерь - - 6 Новомихайловка - - 6 Чернаково 6 6 7
Искитим 6 7 8 Новомошковское - 6 7 Черновка - - 6
Искра 7 7 8   Новопичугово 6 6 7   Чернореченский 6 7 8
Кабинетное - - 6 Новосибирск 6* 6 7 Чик - 6 7
Кайлы 6 6 7 Новотроицк - - 6 Чикман - 6 6
Каменка 6 6 7 Новотырышкино - - 6 Чингис 7 7 8
Кандаурово - - 6 Новоцелинное - 6 6 Чистополье - 6 7
Карасево
(Болотнинский р-н)
- 6 6 Новые Решеты - 6 7 Чулым - - 6
Карасево
(Черепановский р-н)
7 7 8 Новый Шарап 6 6 7 Шагалка - - 6
Каргаполово 7 8 8 Обь 6* 6 7 Шагалово - 6 7
Керамкомбинат 6 7 8 Овчинниково - - 6 Шарчино 6 7 8
Киик 6 6 7 Огнева Заимка 7 7 8 Шахта 6 7 8
Кирза 6 7 7 Октябрьский 6 6 7 Шибково 6 7 8
Ключики 7 7 8 Ордынское 6 6 7 Шипуново 7 7 8
Козиха 6 6 7 Орехов Лог - - 6 Широкий Яр - 6 7
Кокошино - - 6 Осиновский - 6 6 Шурыгино 7 7 8
Колыбелька - - 6 Ояш - 6 6 Ярково 6 6 7
ОМСКАЯ ОБЛАСТЬ
Большие Уки - - 6*   Мангут - - 6   Оглухино - - 6
Колосовка - - 6 Называевск - - 6 Октябрьский - - 6
Крутинка - 6 7 Новокарасук - 6 7 Тюкалинск - - 6
ОРЕНБУРГСКАЯ ОБЛАСТЬ
Илек - - 6   Переволоцкий - - 6*   Ташла - - 6
Краснохолм - - 6 Привольное - - 6 Экспериментальный - - 6
Нижняя Павловка - - 6 Северное - - 6  
Первомайский - - 6 Соль-Илецк - - 6  
ОРЛОВСКАЯ ОБЛАСТЬ
Верховье - - 6   Колпна - - 6   Орел - - 6*
Глазуновка - - 6 Красная Заря - - 6 Покровское - - 6
Долгое - - 6 Ливны - - 6 Троена - - 6
Залегощь - - 6 Малоархангельск - - 6 Хомутово - - 6
Змиевка - - 6 Новосиль - - 6    
ПЕНЗЕНСКАЯ ОБЛАСТЬ
Анучино - - 6   Кикино - - 6   Пачелма - - 6*
Башмаково - - 6 Кобылкино - - 6 Сердобск - - 6
Беково - - 6 Колышлей - - 6 Тамала - - 6
Белинский - - 6 Кондоль - - 6  
Каменка - - 6* Малая Сердоба - - 6  
РОСТОВСКАЯ ОБЛАСТЬ
Аграфеновка - 6 7   Калининский - - 6   Новочеркасск - 6 7
Азов - 6 7 Каменоломни - 6 7 Новошахтинск - 6 7
Аксай - 6 7 Каменск-Шахтинский - 6* 7* Новый Егорлык - 6 7
Александровка 6* 6 7 Каргинская - - 6 Объединенный - 6 7
Алексеевка - 6 7 Кашары - - 6 Октябрьский - 6 7
Алмазный - 6 7 Керчик-Савров - 6 7 Ольгинская - 6 7
Анастасиевка - 6 7 Киреевка - 6 7 Орловский - 6 7
Апаринский - 6 7 Кировская - 6 7 Персиановский - 6 7
Арпачин - 6 7 Коксовый - - 7 Песчанокопское 6 6 7
Аютинский - 6 7 Колодези - - 6 Петровка - 6 7
Багаевская - 6 7 Константиновск - 6 7 Пешково - 6 7
Базковская - - 6 Костино-Быстрянский - - 6 Платово - 6 7
Бакланники - 6 7 Кочетовская - 6 7 Покровское - 6 7
Балко-Грузский - 6 7 Красноармейский - - 6 Политотдельское - 6 7
Барило-Крепинская - 6 7 Красновка - - 6 Порт-Катон - 6 7
Батайск - 6 7 Красногорняцкий - 6 7 Потапов - - 6
Белая Калитва - 6* 7 Краснодонецкая - 6 7 Приморка - 6 7
Белогорский - - 6 Красноярская - - 6 Прогресс - - 6
Белозерный - 6 7 Красный - 6 7 Пролетарка - 6 7
Березовка - 6 7 Красный Крым - 6 7 Пролетарск - 6 7
Бессергеневская - 6 7 Красный Кут - 6 7 Пухляковский - 6 7
Бессергеновка - 6 7 Красный Сулин - 6 7 Развильное 6 6 7
Богоявленская - 6 7 Красюковская - 6 7 Раздорская - 6 7
Богураев - 6 7 Криворожье - - 6 Рассвет - 6 7
Божковка - 6 7 Кривянская - 6 7 Ремонтное - - 6
Боковская - - 6 Круглое - 6 7 Роговский - 6 7
Большая Мартыновка - 6 7 Кружилинский - - 6 Родионово-Несветайская - 6 7
Большая Неклиновка - 6 7 Крутинский - - 6 Романовка - 6 7
Большая Орловка - 6 7 Крым - 6 7 Романовская - - 6
Большекрепинская - 6 7 Крымский - 6 7 Ростов-на-Дону - 6 7
Большемечетный - 6 7 Кугейский - 6 7 Рябичев - - 6
Большие Салы - 6 7 Куйбышево - 6 7 Ряженое - 6 7
Большинка - - 6 Кулешовка - 6 7 Рясное - 6 7
Большовская - 6* 7 Кутейниково - 6 7 Савдя - - 6
Большой Лог - 6 7 Лагутники - - 6 Садки - 6 7
Быстрогорский - - 6 Лакедемоновка - 6 7 Сальск - 6 7
Вареновка - 6 7   Латоново - 6 7   Самарское - 6 7
Верхнегрушевский - 6 7 Ленина - - 6 Самбек - 6 7
Верхнеподпольный - 6 7 Ленинаван - 6 7 Сандата 6* 6 7
Веселый
(Веселовский р-н)
- 6 7 Летник 6 6 7 Саркел - - 6
Веселый
(Мясниковский р-н)
- 6 7 Литвиновка - - 6 Селивановская - - 6
Вешенская - - 6 Лиховской - 6 7 Семикаракорск - 6 7
Вислый - 6 7 Лихой - 6 7 Синегорский - 6 7
Владимировская - 6 7 Лозной - - 6 Синявское - 6 7
Волгодонск - - 6 Лопанка - 6 7 Советская - - 6
Волошино - - 6 Лысогорка - 6 7 Соколово-Кундрюченский - 6 7
Волченский - 6 7 Майский - 6 7 Сорговый - 6 7
Гигант - 6 7 Малая Каменка - - 7* Сосны - - 7
Глубокий - - 6 Малокирсановка - 6 7 Старая Станица - - 6
Головатовка - 6 7 Мальчевская - - 6 Старокузнецов - - 6
Горный - 6 7 Манычская - 6 7 Староротовка - 6 7
Горняцкий - - 6 Маньково-Калитвенское - - 6 Старочеркасская - 6 7
Грузинов - - 6 Маркин - 6 7 Табунщиково - 6 7
Грушевская - 6 7 Маркинская - - 6 Таганрог - 6 7
Гуково - 6 7 Марс - 6 7 Таловый - 6 7
Гундоровский - 6 7 Матвеев Курган - 6 7 Тарасовский - - 6
Дегтево - - 6 Мелиховская - 6 7 Тацинская - - 6
Донецк - 6* 7* Меркуловский - - 6 Тополевый - 6 7
Донской - 6 7 Мечетинская - 6 7 Троицкое - 6 7
Дячкино - - 6 Мешковская - - 6 Углегорский - - 6
Егорлыкская - 6 7 Мигулинская - - 6 Углеродовский - 6 7
Елкин - 6 7 Миллерово - - 6 Усть-Донецкий - 6 7
Жирнов - - 6 Милютинская - - 6 Федоровка - 6 7
Заводской - - 6 Мирный - 6 7 Халыбо-Адабашев - 6 7
Займо-Обрыв - 6 7 Михайлов - - 6 Хапры - 6 7
Заплавская - 6 7 Мишкинская - 6 7 Целина - 6 7
Зверево - 6 7 Мокрый Батай - 6 7 Цимлянск - - 6
Зерноград - 6 7 Морозовск - - 6 Чалтырь - 6 7
Зимовники - - 6 Недвиговка - 6 7 Чапаев - 6 7
Золотаревка - 6 7 Нижнедонской - 6 7 Чернышевка - 6 7
Ильинка - - 6 Нижний Саловск - 6 7 Чертково - - 6
Ильичевка - 6 7 Николаевка - 6 7 Шаблиевка - 6 7
Интернациональный - 6 7   Николаевская - 6 7   Шаумяновский 6* 6 7
Кавалерский 6 6 7 Новоалександровка - 6 7 Шахты - 6 7
Катальник - 6 7 Новобатайск - 6 7 Шолоховский - - 6
Кагальницкая - 6 7 Новобессергеневка - 6 7 Щепкин - 6 7
Кадамовский - 6 7 Новозарянский - 6 7 Юдин - - 6
Казанская - - 6 Новокадамово - 6 7 Южный - - 6
Казачьи Лагери - 6 7 Новоперсиановка - 6 7 Яново-Грушевский - 6 7
Калинин - 6 7 Новороговская 6 6 7  
САМАРСКАЯ ОБЛАСТЬ
Исаклы - - 6   Клявлино - - 6   Шентала - - 6
Камышла - - 6  
САРАТОВСКАЯ ОБЛАСТЬ
Алгайский - - 6   Калининск - - 6*   Радищево - - 6
Александров Гай - - 6 Куриловка - - 6 Романовка - - 6
Аркадак - - 6 Мироновка - - 6* Ртищево - - 6
Балашов - - 6 Новоузенск - - 6 Самойловка - - 6
Дергачи - - 6 Озинки - - 6 Старый Хопер - - 6
Екатериновка - - 6 Питерка - - 6 Турки - - 6
САХАЛИНСКАЯ ОБЛАСТЬ
Адо-Тымово 9 9 > 9   Костромское 9 9 > 9   Рейдово 9 > 9 > 9
Айнское 9 9 > 9 Крабозаводское > 9 > 9 > 9 Рощино 9 9 > 9
Александровск-Сахалинский 9 9 > 9 Красная Тымь 9 9 > 9 Рыбновск 8 9 9
Анива 8 9 > 9 Красногорск 8 9 > 9 Рыбное 8 9 9
Арги-паги 8 9 > 9 Краснополье 9 9 > 9 Сабо 9 9 > 9
Арково 9 9 > 9 Курильск 9 > 9 > 9 Северо-Курильск 9 > 9 > 9
Березняки 8 9 > 9 Леонидово 9 9 > 9 Синегорск 9 9 > 9
Бошняково 9 9 > 9 Макаров 9* 9 > 9 Смирных 9 9 > 9
Буревестник 9 > 9 > 9 Малиновка 9 9 > 9 Соболиное 8 8 9
Буюклы 9 9 > 9 Мгачи 9 9 > 9 Сокол 8 9 > 9
Быков 8 9 > 9 Молодежное 9 9 > 9 Соловьевка 8 9 9
Вал 8 9 > 9 Москальво 9 9 > 9 Стародубское 8 9 > 9*
Вахрушев 9* 9 > 9 Невельск 9 9 > 9 Таранай 9 9 > 9
Взморье 8 9 > 9 Некрасовка 9 9 > 9 Тельновский 9 9 > 9
Виахту 8 9 9 Новиково 8 8 9 Тихменево 9 9 > 9
Владимировка 9 9 > 9 Новосибирское 8 9 > 9 Томари 8 9 > 9
Воскресеновка 9 9 > 9 Новые Лангры 8 9 9 Троицкое 8 9 > 9
Воскресенское 8 9 > 9 Ноглики 8 9 9 Трудовое 8 8 9
Восток 8 9 > 9 Ныш 8 9 > 9 Тунгор 9 9 > 9
Восточный (округ Макаровский гор.) 8 9 > 9 Огоньки 9 9 > 9 Тымовское 9 9 > 9
Восточный (Охинский гор. округ) 9 9 > 9 Озерский 8 8 9 Углегорск 9 9 > 9
Восход 9 9 > 9 Озерское 8 8 9 Углезаводск 8 9 > 9
Гастелло 8 9 > 9 Ольховка 9 9 > 9 Ударный 9 9 > 9
Головнино > 9 > 9 > 9 Онор 9 9 > 9 Холмск 9 9 > 9
Горное 9 > 9 > 9 Оха 9 9 > 9 Хоэ 9 9 > 9
Горнозаводск 9 9 > 9 Охотское 8 8 9 Чапаево 8 8 9
Горячие Ключи 9 > 9 > 9 Парусное 8 9 > 9 Чапланово 9 9 > 9
Дальнее 8 9 > 9 Пензенское 8 9 > 9 Чехов 8 9 > 9
Дачное 8 9 > 9 Первомайск 8 8 9 Шахтерск 9 9 > 9
Долинск 8 9 > 9 Пиль во 9 9 > 9 Шебунино 9 9 > 9
Дуэ 9 9 > 9 Пильтун 9 9 > 9 Эхаби 9 9 > 9
Забайкалец 9 9 > 9 Победино 9 9 > 9 Южно-Курильск 9 > 9 > 9
Ильинский 8 9 > 9 Покровка 8 9 > 9 Южно-Сахалинск 8 9 > 9*
Катангли 8 9 9 Поречье (Макаровский гор. округ) 9 9 > 9 Яблочное 9 9 > 9
Кировское 9 9 > 9   Поречье
(Углегорский р-н)
9 9 > 9   Яблочный 9 9 > 9
Колендо 9 9 > 9 Поронайск 8 9 > 9* Ясное 9 9 > 9
Колхозное 9 9 > 9 Правда 9 9 > 9 Ясноморский 9 9 > 9
Корсаков 8 9* 9 Пугачево 8 9 > 9  
СВЕРДЛОВСКАЯ ОБЛАСТЬ
Азанка - - 6   Исеть - 6 7   Павда - 6 7
Арамиль - 6 7 Калиново - 6 7 Первоуральск - 6 7
Арти - - 6 Калья - 6 7 Петрокаменское - - 6
Асбест - - 6 Каменск-Уральский - - 6* Покровское
(Горноуральский горный округ)
- 6 7
Асбестовский - - 6 Карпинск - 6 7 Покровское (Каменский горный округ) - - 6
Атиг - 6 7 Карпушиха - 6 7 Покровск-Уральский - 6 7
Ачит - - 6 Качканар - 6 7 Полевской - 6 7
Аять - 6 7 Кедровое - 6 7 Полуночное - - 6
Байкалово - - 6 Кировград - 6 7 Привокзальный - - 6
Барачинский - 6 7 Клевакинское - - 6 Ревда - 6 7
Басьяновский - - 6 Ключевск - - 6 Реж - - 6
Белоречка - 6 7 Кольцово - 6 7 Рефтинский - - 6*
Белоярский - - 6 Косья - 6 7 Рудничный - - 6
Березовский - 6 7 Краснотурьинск - - 6 Сарана - - 6
Билимбай - 6 7 Красноуральск - 6 7 Сарапулка - - 6
Бисерть - 6 7 Красноуфимск - - 6 Сарга - 6 7
Бобровский - 6* 7 Кузино - 6 7 Свободный - 6 7
Большой Исток - 6 7 Кушва - 6 7 Северка - 6 7
Валериановск - 6 7 Кытлым - 6 7 Северный - 6 7
Верхнее Дуброво - - 6 Ларьковка - - 6 Североуральск - 6 7
Верхняя Пышма - 6 7 Лая - 6 7 Серов - - 6
Верх-Нейвинский - 6 7 Левиха - 6 7 Синегорский - 6 7
Верхние Серги - 6 7 Лесной - 6 7 Сосновское - - 6
Верхний Тагил - 6 7 Лобва - - 6 Среднеуральск - 6 7
Верхняя Пышма - 6 7 Лосиный - - 6 Старопышминск - 6* 7
Верхняя Салда - - 6 Малышева - - 6 Староуткинск - 6 7
Верхняя Сысерть - 6 7 Маминское - - 6 Сысерть - 6 7
Верхняя Тура - 6 7 Марсяты - - 6 Таватуй - 6 7
Верхотурье - - 6 Маслово - - 6 Тавда - - 6
Веселовка - 6 7 Михайловск - - 6 Третий Северный - 6 7
Висим - 6 7   Монетный - 6* 7*   Тугулым - - 6
Висимо-Уткинск - 6 7 Натальинск - - 6 Туринск - - 6
Волчанск - 6* 7* Невьянск - 6 7 Туринская Слобода - 6 7*
Воронцовка - - 6 Нейво-Рудянка - 6 7 Уралец - 6 7
Горноуральский - 6 7 Нейво-Шайтанский - - 6 Уральский - - 6
Горный Щит - 6 7 Нижнеиргинское - - 6 Уфимский - - 6
Двуреченск - - 6 Нижние Серги - 6* 7 Филькино - - 6
Дегтярск - 6 7 Нижний Тагил - 6 7 Цементный - 6 7
Дружинино - 6 7 Нижняя Салда - - 6 Черноисточинск - 6 7
Екатеринбург - 6 7 Нижняя Тура - 6 7 Шабровский - 6 7
Елкино - 6 7 Николо-Павловское - 6 7 Шаля - 6 7
Заречный - - 6 Новая Ляля - - 6 Шамары - 6 7
Зюзельский - 6 7 Новоасбест - 6 7 Широкая Речка - 6 7
Ивдель - - 6 Новоуральск - 6 7 Шувакиш - 6 7
Изумруд - - 6 Новоуткинск - 6 7 Щелкун - 6 7
Ис - 6 7 Озерный - - 6 Юшала - - 6
ТАМБОВСКАЯ ОБЛАСТЬ
Бондари - - 6   Мичуринск - - 6   Ржакса - - 6
Тавриловка 2-я - - 6 Мордова - - 6 Сатинка - - 6
Дмитриевка - - 6 Мордово - - 6 Сосновка - - 6
Жердевка - - 6 Моршанск - - 6* Строитель - - 6
Знаменка - - 6 Мучкапский - - 6 Тамбов - - 6
Инжавино - - 6 Новая ляда - - 6 Токаревка - - 6
Калинин - - 6 Новопокровка - - 6 Уварово - - 6
Кирсанов - - 6 Петровское - - 6 Умет - - 6
Котовск - - 6 Пичаево - - 6    
Кузьмино-Гать - - 6 Рассказово - - 6  
ТОМСКАЯ ОБЛАСТЬ
Аэропорт - - 6   Кисловка - - 6   Нелюбино - - 6
Богашево - - 6 Кожевниково - - 6 Октябрьское - - 6
Воронино - - 6 Копылово - - 6 Рассвет - - 6
Вороново - - 6 Красный Яр - - 6* Самусь - - 6
Зональная Станция - - 6 Курлек - - 6 Светлый - - 6
Зоркальцево - - 6 Лоскутово - - 6 Северск - - 6
Зырянское - - 6* Лучаново - - 6 Семилужки - - 6
Итатка - - 6 Малиновка - - 6 Тимирязевское - - 6
Калтай - - 6 Мельниково - - 6 Томск - - 6
Кандинка - - 6 Молодежный - - 6 Турунтаево - - 6
Кафтанчиково - - 6 Моряковский Затон - - 6 Черная Речка - - 6
ТЮМЕНСКАЯ ОБЛАСТЬ
Абатское - 6 7   Каскара - 6 7*   Патрушева - - 6
Андреевский - - 6 Киева - - 6 Перевалово - - 6
Аромашево - 6* 6 Кулаково - 6* 6 Плешково - 6 7
Бердюжье - - 6 Лебедевка - 6* 6 Покровское - 6 7
Богандинский - - 6 Лесное - 6 7 Салаирка - 6 7
Большие Ярки - - 6 Луговое - 6* 6 Северо-Плетнево - 6 7
Большое Сорокино - - 6 Мальково - 6 6 Ситниково - 6* 6
Борки - 6 7 Маслянский - 6 7 Сладково - - 6
Боровский - - 6 Мелиораторов - 6 6 Созоново - 6 7
Вагай - - 6 Мизоново - 6 7 Стрехнино - 6 7
Велижаны - 6 7 Московский - - 6 Тоболово - 6 7
Викулово - - 6 Нариманова - 6 7 Тюмень - 6* 7*
Винзили - - 6 Нижняя Тавда - 6* 6 Тюнево - 6 7
Голышманово - 6 7 Новая Заимка - - 6 Успенка - - 6
Горьковка - - 6 Новоселезнево - - 6 Ушакова - - 6
Ембаево - 6 6 Новотарманский - 6 6 Червишево - - 6
Заводоуковск - - 6* Новый Тап - 6 7 Чикча - 6 6
Иска - 6 7 Октябрьский - 6 7 Юргинское - 6 7
Ишим - 6 7 Омутинское - 6* 6 Ялуторовск - - 6
Казанское - - 6 Онохино - - 6 Яр - 6 6
Каменка - 6* 6 Падун - - 6 Ярково - 6 7*
ЧЕЛЯБИНСКАЯ ОБЛАСТЬ
Аргаяш - - 7   Кундравы - 6* 7   Полетаево - - 6
Багаряк - - 6 Куса - - 6 Рощино - - 6
Бакал - - 6 Кыштым - 6 7 Сатка - - 6
Бердяуш - - 6 Ларино - - 6 Снежинск - 6 7
Бутаки - - 6 Ленинск - 6 7 Сулея - - 6
Варламово - - 6 Магнитка - 6 7 Сыростан - 6 7
Верхний Уфалей - 6 7 Межевой - - 6 Трехгорный 1-й - - 6
Вишневогорск - 6 7 Миасс - 6 7 Тургояк - 6 7
Демарино - - 6 Мирный - - 6 Тюбук - 6* 7
Долгодеревенское - - 6 Нижний Уфалей - 6 7 Уйское - - 6
Златоуст - 6* 7 Новобурино - - 6 Чебаркуль - 6 7
Карабаш - 6 7 Новогорный - 6 7 Челябинск - - 6*
Касли - 6 7 Нязепетровск - - 7* Черемшанка - 6 7
Коелга - - 6 Озерск - 6 7 Юрюзань - - 6*
Кунашак - - 6 Первомайский - - 6  
АЛТАЙСКИЙ КРАЙ
10 лет Октября 6 7 7   Колыванское 7 7 8   Поломошное 6 6 7
12 лет Октября 7 8 8 Колывань 7 8 8 Полуямки - - 6
Акимовка 7 8 8 Комариха 7 8 9 Пономарево 7 8 9
Акулово 7 7 8 Комарская 7 7 8 Поперечное 7* 7 8
Акутиха 7 8 8 Коминтерн - - 6 Порожнее 6 7 7
Аламбай 7 7 8 Комсомольский (Мамонтовский р-н) 6 6 7 Порошино 7 8 8
Алейск 7 7 8 Комсомольский (Павловский р-н) 7 8 8 Поспелиха 7 7 8
Александровка (Локтевский р-н) 7 8 8 Контошино 7 8 8 Поспелихинский 7 7 8
Александровка (Суетский р-н) - 6 6   Корболиха 7 8 8   Правда - 6 6
Александровский 7 8 8 Корнилово 7 7 8 Пригородный 7 8 8
Алексеевка 8 8 9 Коробейниково 7 8 9 Приозерный 7 8 9
Аллак 7 8 8 Коротояк - - 6 Пролетарка 8 8 9
Алтай 7 8 8 Корчино 6 6 7 Прослауха 6 7 7
Алтайский 8 8 9 Косиха 7 8 8 Протасово - - 6
Алтайское 8 8 9 Костин Лог 6 6 7 Прутской 7 8 8
Ананьевка - - 6 Кочки - 6 6 Прыганка 6 7 7
Андроново 6 7 8 Красногорское 7 8 8 Пуштулим 7 7 8
Анисимово 7 7 8 Краснодарское 7 8 9 Пятков Лог - - 6
Антипино 7 8 8 Краснознаменка 7 8 8 Раздольное - - 6
Антоньевка 8 8 9 Краснознаменский 7 8 8 Разумовка - - 6
Ануйское 7 8 9   Краснощеково 7 8 8   Ракиты
(Михайловский р-н)
- 6 6
Арбузовка 7 7 8 Красноярка (Топчихинский р-н) 7 8 8 Ракиты
(Рубцовский р-н)
7 7 8
Ащигуль - - 6 Красноярка (Усть-Пристанский р-н) 7 8 9 Рассказиха 7 8 8
Ая 8 8 9 Красноярское 7 7 8 Ребриха 7* 7 8
Баево 6 6 7 Краснояры 7 8 8 Речкуново 7 8 8
Барановка 7 8 8 Красный Яр (Советский р-н) 7 8 8 Рогозиха 7 7 8
Барнаул 7 8 8 Красный Яр (Шипуновский р-н) 7 7 8 Родино (Родинский р-н) - - 6
Бастан - - 6 Крестьянка 6 6 7 Родино
(Шипуновский р-н)
6 7 7
Баталово 6 7 7 Кривое - 6 6 Рожнев Лог 6 7 7
Баюновские Ключи 7 8 8 Круглое 7 7 8 Романово 6 6 6
Безголосово 7 7 8 Кругло-Семенцы 7 7 8 Россоши 8 8 9
Безрукавка 7 7 8 Крутиха 7 7 8 Рубцовск 7 8* 8
Белово 6 7 7 Крутишка 7 7 8 Рыбное 7 8* 8
Беловский 7 8 8 Кубанка 7 8 8 Саввушка 7 8 8
Белоглазово 7 8 8 Кузнецово 7 8 8 Савинка 7 7 8
Белое (Алтайский р-н) 8 8 9 Кузнечиха 7 8 9 Садоводов 7 8 8
Белое (Троицкий р-н) 7 8 8 Кузьминка 7 8 8 Садовый 7 8 8
Белокуриха 8 8 9 Куйбышево (Краснощековский р-н) 7 8 8 Сайдып 7 7 8
Белояровка 7 7 8 Куйбышево (Угловский р-н) 7 7 8 Самарка
(Локтевский р-н)
7 8 8
Белоярск 7 8 8 Курочкино 7 8 8 Самарка
(Рубцовский р-н)
7 8 8
Бельмесево 7 8 8 Курья 7 8 8 Самсоново 7 8 9
Береговое - 6 6 Кучук 7 8* 8 Санниково 7 8 8
Березовка
(Красногорский р-н)
7 8 8 Куяган 8 8 9 Сараса 8 8 9
Березовка
(Краснощековский р-н)
7 8 9 Куяча 8 8 9 Саратовка 7 8 8
Березовка (Первомайский р-н) 7 8 8 Кытманово 7 8 8 Свердлово - - 6
Березово 7 7 8 Лазурка 7 8 8 Свердловское - - 6
Березовский - 6 7 Лаптев лог 7 7 8 Светлоозерское 7 8 8
Березовское - 6 6 Ларичиха 7 8 8 Светлый 6 6 7
Беспаловский 7 8 8 Лебедино - - 6 Северка - - 6
Бешенцево 7 8 8 Лебяжье
(гор. округ Барнаул)
7 8 8 Северное 7 7 8
Бийск 7 8 8 Лебяжье
(Егорьевский р-н)
6 7 7 Северный 7 7 8
Благовещенка - - 6   Лебяжье
(Павловский р-н)
7 7 8   Селиверстово 6 6 6
Бобково 7 7 8 Леньки - - 6 Семеновка - - 6
Бобровка 7 8 8 Лесное 7 8 8 Семено-Красилово 7 8 8
Бол. Калтай 7 7 8 Линевский 7 8 8 Сентелек 8 8 9
Бол. Шелковка 7 7 8 Листвянка 7 8 8 Сетовка 7 8 9
Большепанюшево 7 7 8   Лобаниха 6 7 7   Сибирские Огни 7 8 8
Борзовая Заимка 7 8 8 Логовское 7 8 8 Сибирский (ЗАТО Сибирский) 7 8 8
Борисово 7 7 8 Ложкино 7 8 8 Сибирский (Первомайский р-н) 7 8 8
Борисовский - 6 6 Локоть 7 8 8 Сибирячиха 8 8 9
Бориха 7 8 8 Лосиха 7 8 8 Сидоровка - 6 6
Боровиха 7 8 8 Луговое (Каменский р-н) 7 7 8 Симоново 6 6 7
Боровлянка 7 8 8 Луговое
(Тальменский р-н)
7 8 8 Ситниково 6 6 7
Боровое 7 7 8 Луговское 7 8 8 Слюдянка 8 8 9
Боровское 6 6 7 Луковка - 6 7 Смазнево 7 7 8
Боронский - - 6 Лютаево 8 8 9 Смирново 7 7 8
Бор-Форпост - 6 6 Макарово 7 7 8 Смоленское 7 8 9
Бочкари 7 7 8 Макарьевка (Алтайский р-н) 8 8 9 Советский Путь 7 8 8
Брусенцово 7 8 8 Макарьевка (Красногорский р-н) 7 7 8 Советское 7 8 9
Бугрышиха 7 8 9 Макарьевка (Топчихинский р-н) 7 7 8 Совхозный 7 8 8
Буканское 6 6 7 Малый Башелак 7 8 9 Соколово 7 8 8
Буланиха 7 8 8 Малые Бутырки 6 6 7 Солдатово 7 8 9
Бурановка 7 7 8 Малая Шелковка 7 7 8 Солонешное 8 8 9
Бураново 7 8 8 Малахово 7 8 8 Солоновка 8 8 9
Буян 7 7 8 Малиновка 6 7 7 Солтон 7 7 8
Быково 7 8 8 Малиновое Озеро - 6 6 Сорокино 7 8 8
Быстрый Исток 7 8 8 Малиновский - 6 6 Сорочий Лог 7 8 8
Быстрянка 7 8 9 Маловолчанка 6 7 7 Сосновка 7 7 8
Вавилон 7 7 8 Малоенисейское 7 8 8 Сосновый Лог 7 8 8
Велижанка - 6 6 Малый Бащелак 7 8 9 Соусканиха 7 7 8
Верхнее Ануйское 7 8 9 Малышев Лог 6 6 7* Среднесибирский 7 8 8
Верхний Бехтемир 7 7 8 Мамонтово 6 6 7 Сростки 7 8 8
Верхняя Бобровка 7 8 8 Маралиха
(Краснощековский р-н)
7 8 8 Сросты 6 6 7
Верхнее Жилино 7 8 8 Маралиха (Чарышский р-н) 7 8 9 Стан-Бехтемир 7 8 8
Верх-Марушка 7 7 8 Марковка - - 6 Староалейское 7 8 8
Верх-Неня 7 7 8 Мартовка - - 6 Старобелокуриха 8 8 9
Верх-Озерное 7 8 8 Мартыново 7 7 8 Стародраченино 7 7 8
Верх-Чуманка 6 6 7 Марушка 7 8 8 Староперуново 7 8 8
Верх-Аллак 7 7 8 Масальский 7 8 8 Старый Тогул 7 8 8
Верх-Ануйское 7 8 9 Маяк 7 8 9 Степное - - 6
Верх-Камышенка 7 8 9 Мезенцево 7 7 8 Степное Озеро - - 6
Верх-Катунское 7 8 8 Мельниково 6 6 7 Степной Кучук - - 6
Верхний Кучук 7 7 8 Мирный (Зональный р-н) 7 8 8 Столбово 7 7 8
Верх-Обский 7 8 8   Мирный (Родинский р-н) - - 6   Стуково 7 8 8
Верх-Пайва - 6 7 Михайловка 8 8 9 Суворовка - - 6
Верх-Суетка - - 6 Михайловское - 6* 6 Суетка 7 8 8
Веселоярск 7 8 8 Мичурино - - 6 Сузоп 7 7 8
Ветреннотелеутское 7 7 8 Мормыши 6 6 7 Сунгай 7 8 8
Вишневка 7 8 8 Моховское 7* 7 8* Суслово 6 6 7
Власиха 7 8 8 Налобиха 7 8 8 Сухая Чемровка 7 8 8
Воеводское 7 8 8 Наумовка 7 7 8 Сычевка 8 8 9
Вознесенка - 6 6 Научный Городок 7 8 8 Талица 7 8 8
Володарка 7 8 8 Ненинка 7 7 8 Таловка 7 8 8
Волчиха - 6 6 Нечунаево 7 7 8 Тальменка 7 8* 8
Волчно-Бурлинское 6 6 7 Нижняя Суетка - - 6 Тамбовский - 6 6
Ворониха 6 6 7 Нижнекаменка 8 8 9 Титовка 6 6 7
Воскресенка 7 7 8 Нижнеозерное 7 8 9 Тишинка 7 7 8
Вострово - 6 6 Нижнепайва - 6 7 Тогул 7 8 8
Вылково 6 6 7 Нижнечуманка 6 6 7 Токарево 6 6 7
Высокая Грива 6 6 7 Нижний Кучук - - 6 Толстая Дубрава 7 8 9
Вяткино 7 8 8 Нижняя Гусиха 7 8 9 Толстовский 7 7 8
Георгиевка (Локтевский р-н) 7 8 8 Нижняя Ненинка 7 7 8 Топольное 8 8 9
Георгиевка (Ребрихинский р-н) 6 6 7 Нижняя Суетка - - 6 Топчиха 7 7 8
Гилевка 6* 6 6 Николаевка (Михайловский р-н) - - 6 Точильное 8 8 9
Гилев-Лог - 6 6 Николаевка (Поспелихинский р-н) 7 8 8 Третьяково 7 8 8
Гилево 7 8 8 Никольск 7 8 8 Троицкое 7 8 8
Глубокое - 6 6 Нов. Чемровка 7 8 8 Трусово 7 8 8
Глушинка 7 8 8 Новая Чемровка 7 8 8 Тугозвоново 7 8 9*
Глядень - - 6 Новенское 7 8 8 Тулата 8 8 9
Голуха 7 7 8 Новиково 7 7 8 Туманово 8 8 9
Гонохово 6 6 7 Новичиха 6 6 7 Тумановский - 6 6
Гоношиха 7 7 8 Новоалейское 7 8 8 Тундриха 7 7 8
Гордеевский 7 8 8 Новоалександровка 7 8 8 Тюменцево 7 7 8
Горновое 7 8 8 Новоалтайск 7 8 8 Тягун 7 8* 8
Горняк 7 8 8 Новобураново 7 8 9 Тяхта 7 8 8
Горьковское 7 7 8 Нововознесенка - - 6 Угловское 6 6 7
Грановка - 6 6 Новодраченино 7 7 8 Украинка 6 6 7
Гришино 7 8 8 Новоегорьевское 6 7* 7 Уксунай 7 8 8
Грязново 7 7 8 Новоеловка 7 8 8 Урлапово 6 6 7
Гуселетово 6 6 7   Новозыково 7 8 9   Урожайное 7 8 9*
Дальний 7 8 8 Новозыряново 7 7 8 Урываево - - 6
Дегтярка - - 6 Новоивановка 6 7 7 Урывки 6 6 7
Дектярка - - 6 Новоильинка - - 6 Урюпино 7 7 8
Дмитро-Титово 7 8 8 Новоиушино 7 8 8 Успенка 7 8 8
Долганка 6 7 7 Новокалманка 7 8 9 Усть-Алейка 7 8 8
Долгово 6 6 7 Новокаменка 7 7 8 Усть-Ануй 7 8 8
Дружба 7 7 8 Новокопылово 7 8 8 Усть-Белое 7 8 8
Думчево 7 7 8 Новокормиха - - 6 Усть-Волчиха - 6 6
Екатерининское 7 8 8 Новомоношкино 7 8 8 Усть-Гавриловка 7 8 8
Еланда 7 8 8 Новониколаевка 7 8 8 Усть-Иша 7 8 9
Елбанка 7 8 9 Новообинка 7 8 9 Усть-Калманка 7 8 9
Елунино 7 8 8 Новообинцево 7 8 8 Усть-Камышенка 7 8 9
Ельцовка 7 7 8 Новоперуново 7 7 8 Усть-Козлуха 7 8 9
Енисейское 7 8 8 Новопокровка 7 8 9 Усть-Мосиха 7 7 8
Ермачиха 6 6 7 Новоромановка 7 8 8 Усть-Порозиха 7 8 9
Ермошиха 7 8 8 Новороманово 7 8 8 Усть-Пустынка 7 8 9
Жилино 7 8 8 Новосиликатный 7 8 8 Усть-Таловка 7 8 8
Жуланиха 7 7 8 Новосклюиха 7 7 8 Усть-Чарышская Пристань 7 8 9*
Журавлиха 7 7 8 Новотроицк 7 7 8 Усятское 7 8 8
Заветы Ильича 7 7 8 Новотырышкино 8 8 9 Утянка - - 6
Заводское 7 8 8 Новофирсово 7 8 8 Факел Социализма 7 7 8
Заводской 7 7 8 Новошипуново 7 8 9 Фоминское 7 8 8
Завьялово - 6 6 Новоярки 7 7 8 Фунтики 7 7 8
Зайцево 7 8 8 Новые Зори 7 8 8 Хабазино 7 8 8
Закладное - 6 6 Овечкино 6 6 7 Хабары - - 6
Заковряшино 7 7 8 Овсянниково 7 7 8 Хайрюзовка 7 8 8
Залесово 7 7 8 Огни 8 8 9 Харитоново 6 6 7
Заречное 7 8 8 Озерки 7 8 8 Харлово 7 8 8
Заринск 7 7 8 Озерно-Кузнецово 6 6 7 Хлебороб 7 7 8
Заря 7 8 8 Озерно-Кузнецовский лесхоз 6 6 7 Хлопуново 7 7 8
Затон 7 8 8 Озимая 7 7 8 Хмелевка 7 7 8
Зеленая Дубрава 7 7 8 Октябрьский (Змеиногорский р-н) 7 8 8 Хомутино 7 8 8
Зеленая Поляна - - 6 Октябрьский (Зональный р-н) 7 8 8 Целинное 7 8 8
Зеленая Роща 7 7 8 Октябрьский (Кытмановский р-н) 7 8 8 Целинный - - 6
Зеленый Дол 7 8 9   Омутское 7 8 8   Центральное - 6 6
Зеленый Луг - - 6 Орлеан - - 6 Центральный 7 8 8
Зеркалы 6 6 7 Орлово - - 6 Чарышское
(Усть-Калманский р-н)
7 8 9
Зимари 7 8 8 Осколково 7 8 8 Чарышское (Чарышский р-н) 8* 8 9
Зимино 7 7 8 Островное 6 6 7 Чаузово 7 8 8
Змеиногорск 7 8 8 Отрадное 7 8 8 Чеканиха 7 8 9
Знаменка - - 6 Павловка 6 6 7 Черемное 7 8* 8
Золотуха 7 8 8 Павловск 7 8* 8 Черемушкино 7 7 8
Зональное 7 8 8 Паклино 6 6 7 Черемшанка (Ельцовский р-н) 7 7 8
Зудилово 7 8 8 Панкрушиха 6 6 7 Черемшанка (Тюменцевский р-н) 6 7 7
Зятькова Речка - - 6 Паново 6 7* 7 Черкасово 7 8 8
Зятьково 6 6 7 Парфеново 7 7 8 Чернавка - 6 6
Ивановка 7 8 8 Паутово 7 8 9 Черная Курья 6 6 7
Ильинка
(Шелаболихинский р-н)
7 7 8 Первокаменка 7 8 8 Черновая 8 8 9
Ильинка
(Шипуновский р-н)
7 8 8 Первомайский (Мамонтовский р-н) 6 6 7 Чинета 7 8 9
Имени Владимира Ильича - - 6 Первомайский (Третьяковский р-н) 7 8 8 Чистоозерка - 6 6
Имени Мамонтова 7 7 8 Первомайский (Шипуновский р-н) 7 7 8 Чистюнька 7 8* 8
Иня 7 8 8 Первомайское (Бийский р-н) 7 8 8 Шадрино 7 8 8
Кабаково 7 7 8 Первомайское (Первомайский р-н) 7 8 8 Шадринцево 7 7 8
Кабаново 7 8 9 Переясловка 7 7 8 Шадруха 6 6 7
Кадниково 6 6 7 Петровка 7 8 8 Шалап 7 7 8
Казанцево 7 8 8 Петропавловское 8* 8 9 Шарчино 6 7 7
Каип - - 6 Петрушиха 7 8 8 Шаталовка - - 6
Калманка 7 8 8 Петухи - - 6 Шатуново 7 7 8
Калмыцкие Мысы 7 8 8 Пещерка 7 7 8 Шахи 7 8 8
Камень-на-Оби 7 8* 8 Плесо-Курья - - 6 Шебалино 7 7 8
Камышенка 8 8 9 Плешково 7 8 8 Шелаболиха 7 8* 8
Карабинка 7 7 8 Плоское 7 8 8 Шилово 7 7 8
Карамышево 7 8 8 Плоскосеминский 7 7 8 Шимолино - - 6
Каркавино 7 8 8 Плотава (Алейский р-н) 7 8 8 Шипуниха 7 8 8
Карповка 6 7 7 Плотава (Баевский р-н) 6 7 7 Шипуново 7 7 8
Карпово Второе 7 8 8 Плотинная 7 8 8 Шишкино 7 8 8
Кашино 7 7 8 Плотниково 7 8 8 Шпагино 7 8 8
Кашкарагаиха 7 8 8 Победим 7 7 8 Шубенка 7 8 8
Каяушка - - 6 Повалиха 7 8 8 Шубинка 6 7 8
Киприно 7 8 8 Подборный 7 7 8 Шульгин Лог 7 8 9
Кировский (Локтевский р-н) 7 8 8 Подойниково 6 6 7 Шульгинка 7 8 8
Кировский (Смоленский р-н) 7 8 9   Подстепное 6 6 7   Шумилиха 6 7 7
Кировский (Топчихинский р-н) 7 8 8 Покровка
(Мамонтовский р-н)
6 6 7 Шумиха 7 8 8
Кировское 7 7 8 Покровка (Родинский р-н) - - 6 Юдихи 7 7 8
Клепечиха 6 7 7 Покровска 7 8 8 Южный 7 8 8
Клепиково 7 8 8 Полевое - - 6 Яготино - - 6
Клочки 7 7 8 Полевой - - 6 Яново 7 7 8
Ключи - - 6 Полковниково 7 8 8 Ярославцев Лог - - 6
Кокши 7 8 8 Половинкино 7 8 8 Ясная Поляна 7 7 8
Колово 8 8 9  
ЗАБАЙКАЛЬСКИЙ КРАЙ
Абагайтуй - 6 7   Казаново 7 8 9   Приисковый 7 8 9
Ага 7* 7 8 Кайдалово 7 7 8 Размахнино 7 7 9*
Ага-Хангил 6 7 8 Кайластуй - 6 7 Савва-Борзя - 6 7
Агинское 6 7 8 Кактолга 6 6 7 Савватеево 7 8 9
Адриановка 7* 7 8 Калангуй 6 7 7 Сахюрта 6 7 7
Аксеново-Зиловское 6 7 7 Калга - 6 7 Сбега 6 7 7
Акурай 6 6 7 Калинино 7 8 9 Селинда - 6 7
Акша 6 6 7 Капцегайтуй - 6 7 Семиозерный 7 7 8
Александровка 7 7 8 Карымское 7 7 8 Сивяково 7 8 9
Александровский Завод 6 6 7 Катаево 8 8 9 Смоленка 7 8 9
Алеур 7 7 8 Катангар 8 8 9 Соктуй-Милозан - 6 7
Алия 7 8 9 Кличка - 6 7 Соловьевск - 6 7
Алтан 6 6 7 Ключевский 6 7 7 Солонечный 6 6 7
Алханай 6 7* 7 Ключевское 6 6 7 Сохондо 7 8 9
Альбитуй 7 8 9 Ковыли - 6 7 Средний Калар 8 9 9
Амазар 7 7 8 Козлово 6 6 7 Среднеаргунск - 6 7
Амитхаша 6 7 8 Кокуй 7 8 9 Средняя Борзя - 6 7
Арахлей 7 8 8 Кокуй 1-й 6 6 7 Средняя Олекма 7 7 8
Арбагар 7 8 9 Кокуй 2-й 6 6 7 Сретенск 7 8 9
Аргунск - 6 7 Колочное 2-е 7 8 9 Староцурухайтуй - 6 7
Аренда 7 7 8 Комсомольское 7 7 8 Старый Олов 7 7 8
Арта 7 8 9 Кондуй 6 6 7 Степной - 6 7
Архангельское 7 8 9 Конкино 7 8 9 Степь 6 7 8
Атамановка 7 8 9 Копунь 7 7 8 Судунтуй 6 6 7
Бада 7 8 9 Коротково 7 8 9 Тайна 6 6 7
Байгул 7 7 8   Красная Ималка 6 6 7   Талман-Борзя - 6 7
Байхор 7 8 9 Краснокаменск - 6 7 Танга 7 8 9
Балей 7 7 8 Красноярово 6 6 7 Таптанай 6 6 7
Бальзино 6 7 7 Красный Великан - 6 7 Таптугары 7 7 8
Бальзой 7 8 9 Красный Чикой 7 8 9 Тарбагатай 8 8 9
Баляга 8 8 9 Ксеньевка 6 7 7 Тарбальджей 6 6 7
Баляга-Катангар 8 8 9 Куанда 9 9 > 9 Татаурово 7 8 9
Батакан 6 7 8 Кузнецово 6 6 7 Токчин 6 6 7
Безречная 6 6 7 Куйтун - 6 7 Толбага 8 8 9
Беклемишево 7 8 8 Кулусутай 6 6 7 Тохтор 6 6 7
Биликтуй 6 6 7 Кункур 6 6 7 Трубачево 6 6 7
Билитуй - 6 7 Курорт Дарасун 6 7 8 Тунгокочен 6 7 7
Билютуй 6 6 7 Курорт-Дарасун 6 7 8 Тупик 6 7 7
Бищигино 7 8 9 Курулга 6 6 7 Турга 6 7 7
Богдановка - 6 7 Курунзулай 6 6 7 Тыргетуй 7 7 8
Богомягково 7 7 8 Кусоча 6 6 7 Убур-Тохтор 6 6 7
Большие Боты 7 7 9 Кутугай 6 6 7 Угдан 7 8 9
Большая Речка 7 8 9 Кыкер 6 7 7 Узон 6 6 7
Большая Тура 7 7 8 Кыра 6 6 7 Укурей 7 7 8
Большой Зерентуй 6 6 7 Ленинский (Улетовский р-н) 7 7 8 Укурик 7 8 9
Боржигантай 7 7 8 Ленинский (Читинский р-н) 7 7 8 Улан - 6 7
Борзя 6 6 7 Лесной Городок 7 8 9 Улан-цацык 6 6 7
Бохто 6 6 7 Линево Озеро 7 8 9 Улача 6 6 7
Брусиловка - 6 7 Ложниково 6 7 8 Улеты 7 8 9
Будулан 6 6 7 Любовь 6 6 7 Ульхун-Партия 6 6 7
Буйлэсан 6 6 7 Маккавеево 7 7 8 Ульякан 6 7 7
Букачача 6 7 7 Мал. Тонтой 7 7 8 Улятуй 6 7 8
Булдуруй 1-й - 6 7 Малета 8 8 9 Унда 7 7 8
Булум 6 6 7 Малоархангельск 7 8 9 Ундино-Поселье 7 7 8
Бура - 6 7 Малышево 6 7 8 Урда-Ага 6 7 7
Бурукан 6 7 8 Мангут 6 6 7 Урейск 6 6 7
Бурулятуй 6 7 8 Манкечур 6 6 7 Урлук 7 8 9
Бутунтай - 6 7 Маньково 6 6 7 Уровские Ключи 6 6 7
Бухта 6 7 7 Маргуцек - 6 7 Урульга 7 7 8
Бушулей 6 7 8 Матусово 7 7 8 Урулюнгуй - 6 7
Бырка - 6 7 Менза 6 7 8 Усть-Иля 6 6 7
Бытэв 6 6 7 Мильгидун 6 7 8 Усть-Ималка - 6 7
Васильевский хутор - 6 7   Мирная 6 6 7   Усть-Каренга 7 7 8
Верхние Куларки 6 7 7 Мироново 7 7 9 Усть-Карск 6 7 8
Верхний Ульхун 6 6 7 Мирсаново 7 8 9 Усть-Наринзор 7 8 9
Верхний Пасучей 6 6 7 Митрофаново 7 8 9 Усть-Обор 8 8 9
Верхний Шаранай 6 7 8 Михайловка - 6 7 Усть-Озерная 6 6 7
Верхний Шергольджин 7 8 9 Михайло-павловск 6 6 7 Усть-Тасуркай - 6 7
Верхний Калгукан - 6 7 Могзон 7 8 9 Усть-Теленгуй 7 8 9
Верхний Ульхун 6 6 7 Могойтуй 7* 7 8 Усугли 6 7 7
Верхняя Куэнга 7 8 9 Могоча 6 7 8* Утан 7 7 8
Верхняя Хила 7 7 8 Моклакан 7 7 8 Ушарбай 7 7 8
Верх-Усугли 6 7 7 Молодежный - 6 7 Ушмун 6 7 8
Верх-Чита 7 8 9 Молодовск 7 8 9 Фирсово 7 8 9
Вершино-Дарасунский 6 7 8 Мордой 6 6 7 Хада-Булак 6 6 7
Вершино-Шахтаминский 6 6 7 Мулино - 6 7 Хадакта 7 8 9
Гавань 6 6 7 Нагорный 7 8 9 Хапчеранга 6 6 7
Газимурский Завод 6 7* 7 Надежный 6 6 7 Хара-Бырка 6 7 8
Галкино 7 7 8 Нарасун 6 6 7 Харагун 7 8 9
Гаур 7 7 8 Нарын Талача 7 7 8 Харанор - 6 7
Георгиевка 6 6 7 Неляты 9 9 > 9 Харауз 8 8 9
Глинка 7 8 9 Нерчинск 7 8 9 Хара-Шибирь 7 7 9
Глинянка 7 7 8 Нерчинский Завод - 6 7 Хилогосон 7 8 8
Горбуновка - 6 7 Нижнее Гирюнино 6 7 7 Хилок 7 8 8
Горекацан 7 8 9 Нижний Ильдикан 7 7 8 Хойто-Ага 6 7 7
Горный 7 8 9 Нижний Калгукан - 6 7 Холбон 7 8 9
Горный Зерентуй - 6 7 Нижние Ключи 7 8 9 Холуй-База 6 6 7
Гуля 7 7 8 Нижний Кокуй 7 7 8 Хохотуй 7 8 9
Гунэй 6 6 7 Нижний Стан 6 7 8 Хушенга 7 8 9
Давенда 6 7 7 Нижний Цасучей 6 6 7 Цаган-Ола 7 8* 9
Дарасун 7 7 8 Нижняя шахтама 6 7 7 Цаган-Олуй 6 6 7
Даурия - 6 7 Николаевка 6 6 7 Цаган-Челутай 6 7 8
Долгокыча 6 7 7 Николаевское 7 8 9 Целинный - 6 7
Домна 7 8 9 Новая Кука 7 8 9 Цокто-Хангил 6 7 7
Доно 6 6 7 Новая Заря 6 6 7 Цугол 6 7 8
Доронинское 7 8 9 Новая Чара 9* 9 > 9 Чалдонка 6 7 7
Досатуй - 6 7 Новоберезовское 7 7 8 Чапо-Олого 8 9 > 9
Дровяная 7 8 9 Новоборзинское 6 6 7 Чара 8 9 > 9
Дульдурга 6 6 7 Новодоронинск 7 7 8 Чашино-Ильдикан - 6 7
Дунаево 7 8 9   Новоивановка - 6 7   Челутай 6 7 8
Дурбачи - 6 7 Новоильинск 7 7 8 Черемхово
(Красночикойский р-н)
7 8 9
Дурой - 6 7 Новокручининский 7 7 8 Черемхово (Улетовский р-н) 7 8 9
Единение 6 7 8 Новоорловск 6 7 8 Чернышевск 7 7 8
Елизаветино 7 7 8 Новопавловка 8 8 9 Чикичей 7 8 9
Жидка 7 7 8 Новотроицк 7 7 8 Чингильтуй - 6 7
Жимбира 7 7 8 Новоцурухайтуй - 6 7 Чиндагатай 6 6 7
Жиндо 1-е 7 8 9 Новый Акатуй 6 6 7 Чиндалей 6 6 7
Жипхеген 7 8 9* Новый Дурулгуй 6 6 7 Чиндант 2-й 6 6 7
Жирекен 6 7 8 Новый Олов 6 7 8 Чирон 7 8 9
Забайкальск - 6 7 Норинск - 6 7 Чита 7 8 9
Заречное 6 7 7 Нуринск 6 7 8 Чупрово - 6 7
Заречный 7 8 9 Октябрьский - 6 7 Шара 6 6 7
Засопка 7 8 9 Олекан 6 7 8 Шаранча 6 6 7
Захарово 7 8 9 Оленгуй 7 7 8 Шелопугино 6 7 8
Зеленое Озеро 6 7 7 Олинск 6 7 8 Шерловая Гора 6 6 7
Зерен 6 6 7 Оловянная 6 7 8 Шивия (Калганский р-н) - 6 7
Знаменка 7 7 8 Олочи - 6 7 Шивия
(Шелопугинский р-н)
7 7 8
Золотореченск 6 7 7 Онон 7 8 9 Шилка 7 8 9
Зоргол - 6 7 Онон-Борзя 6 6 7 Шилкинский Завод 6 7 8
Зугалай 7 7 9* Ононское 7 8 9 Шимбилик 7 8 9
Зугмара 8 8 9 Орловский 6 7 8 Широкая (Газимуро-Заводский р-н) 6 6 7
Зуткулей 6 6 7 Орой 6 6 7 Широкая (Нерчинско-Заводский р-н) - 6 7
Зюльзя 6 7 8 Ортуй 6 7 7 Шишкино 7 8 9
Икабья 8 9 > 9 Первомайский 7 8 9 Шоноктуй 6 6 7
Икшица 7 7 8 Передняя Бырка 6 6 7 Шумунда 6 6 7
Илим 7 7 8 Пески 8 8 9 Энгорок 7 8 9
Иля 6 7 7 Петровск-Забайкальский 8 8 9 Юбилейный - 6 7
Ингода 7 8 9 Пешково 7 8 9 Южный Аргалей 6 7 7
Итака 6 7 7 Погодаево - 6 7 Яблоново 7 8 9
Кадахта 7 7 8 Пограничный - 6 7 Явленка - 6 7
Кадая - 6 7 Правые Кумаки 7 7 9 Ясная 6 7* 7
Казаковский промысел 7 7 8 Приаргунск - 6 7 Ясногорск 6 7 7
КАМЧАТСКИЙ КРАЙ
Анавгай 8 8 9   Кострома 8 9 > 9   Петропавловск-Камчатский 9 9 > 9
Апача 8 8 9 Крутоберегово > 9 > 9 > 9 Пионерский 9 9 > 9
Апука 8* 8 9 Крутогорово 7 7 7 Раздольный 9 9 > 9
Атласово 8 9 9 Крутогоровский 7 7 7 Седанка 7 7 8
Ачайваям 7 8 9 Лазо 8 9 9 Слаутное 7 8 9
Аянка 6 7 8 Лесная 7 8 8 Соболево 7 7 8
Вилючинск 9 9 > 9 Лесной 8 9 > 9 Сокоч 8 9 9
Воямполка 7 7 8 Манилы 7 7 8 Средние пахачи 8 8 9
Вулканный 9 9 > 9 Мильково 8 8 9 Таежный 8 9 9
Вывенка 8 9 > 9 Моховая 9 9 > 9 Таловка 8 8 9
Долиновка 8 8 9 Начики 8 9 > 9* Термальный 9 9 > 9
Елизово 9 9 > 9 Николаевка 9 9 > 9 Тигиль 7 7 8
Запорожье 9 9 > 9 Никольское > 9 > 9 > 9 Тиличики 8 9 > 9
Ивашка 8 9* 9 Озерновский 9 9 > 9 Тымлат 8 8 9
Ичинский 7 7 7 Оклан 7 8 9 Усть-Большерецк 8 8 8
Каменское 7 8 9 Октябрьский 8 8 9 Устьевое 7 7 8
Карага 8 8 9 Оссора 8 8 9 Усть-Камчатск > 9 > 9 > 9
Ключи 9 9 > 9 Пакачи 8 8 9 Усть-Хайрюзово 7 7 7
Ковран 7 7 7 Палана 7 7 8 Хаилино 8 9 > 9
Козыревск 8 8 9 Паратунка 9 9 > 9 Хайрюзово 7 7 7
Корф 8 9 > 9 Парень 7 7 8 Шаромы 8 8 9
Коряки 8 9 > 9 Пахачи 8 8 9 Эссо 8 8 9
КРАСНОДАРСКИЙ КРАЙ
Абинск 8 8 9   Каменный 6 6 7   Первомайский (гор. округ Горячий Ключ) 8 8 9
Абрау-Дюрсо 8 8 9 Камышеватская 6 6 7 Первомайский (Красноармейский р-н) 8 8 9
Агой 8 8 9 Каневская 6 6 7 Первомайский (Кущевский р-н) 6 6 7
Агроном 7 7 8 Канеловская 6 6 7 Первомайский (Ленинградский р-н) 6 6 7
Агуй-Шапсуг 8 8 9 Карла Маркса 7 7 8 Первореченское 7 7 8
Адагум 8 8 9 Кеслерово 8 8 9 Передовая 7 8 9
Адербиевка 8 8 9 Киевское 8 8 9 Переправная 7 8 9*
Азовская 8 8 9 Кирилловка 8 8 9 Переясловская 6 7 7
Александровка (Ейский р-н) 6 6 7 Кирова 6 7 7 Песчаный 6 7 7
Александровка (Кущевский р-н) - 6 7 Кирпильская 7* 7 8 Петровская 8* 8 9
Александровский 7* 7 8 Кирпичное 8 8 9 Петропавловская 7 7 8
Алексеевская 6 6 7 Кисляковская 6 6 7 Пластуновская 7 7 8
Алексее-Тенгинская 7* 7 8 Ковалевское 6 7 8* Платнировская 7 7 8
Альтмец 8 8 9   Колосистый 7 8 9*   Плодородный 7 8 9*
Анапа 8 8 9 Комсомолец 6 6 7 Пляхо 8 8 9
Анапская 8 8 9 Комсомольский (Гулькевичский р-н) 6 7 7 Подгорная 7 8 9*
Анастасиевская 8 8 9 Комсомольский (Кореновский р-н) 6 7 7 Подгорная Синюха 7 8 8
Андреевская 7 8 8 Коноково 7 7 8 Полтавская 8* 8 9
Андрюки 8 8 9 Константиновская 7 7 8 Полтавченское - 6 7
Апшеронск 8 8 9 Копанская 6 6 7 Попутная 7 7 8
Армавир 7 7 8 Копанской 7 8 9* Приазовская 7* 7 8
Армянский 8 8 9 Кореновск 7 7 8 Прибрежный 8 8 9
Архангельская 6 6 7 Коржевский 8 8 9 Привольная 6 6 7
Архипо-Осиповка 8 8 9 Коржи 6 6 7 Привольный 6 6 7
Атаманская 6 6 7 Костромская 7 8 8 Пригородный 6 6 7
Афипский 8* 8 9 Краевско-Армянское 8 8 9 Придорожная 6 7 7
Ахметовская 8 8 9 Красная Поляна (гор. округ Армавир) 7 7 8 Прикубанский 7 7 8
Ахтанизовская 8 8 9 Красная Поляна (гор. округ Сочи) 8 9 9 Приморский 6 7 7
Ахтарский 6 7 8 Красноармейский 8 8 9 Приморско-Ахтарск 6 7 8
Ахтырский 8 8 9 Красногвардеец 6 6 7 Приреченский 8 8 9
Ачуево 7 8 8 Краснодар 7 8 9* Прогресс 6 7 7
Бабиче-Кореновский 7* 7 8 Красное - 6 7 Протичка 8 8 9
Баговская 8 8 9 Краснооктябрьская 6 6 7 Протоцкие 7 8 9*
Бакинская 8 8 9 Краснопартизанское 6 6 7 Прохладный 7 7 8
Балковская 6 6 7 Красносельский 6 7 7 Прочноокопская 7 7 8
Бараниковский 8 8 9 Красносельское 7 7 8 Псебай 8 8 9
Барановка 8 8 9 Краснофлотский 6 6 7 Пушкинское 6 7 7
Батуринская 6 7 7 Красный Октябрь 8 8 9 Пшада 8 8 9
Беднягина 7 7 8 Кривенковское 8 8 9 Пшехская 7 8 9
Безлесный 6 7 7 Кропоткин 6 7* 7 Пятигорская 8 8 9
Безымянное 8 8 9   Кроянское 8 8 9   Пятихатки 8 8 9
Бейсуг 6 6 7 Крупская 6 6 7 Раевская 8 8 9
Бейсужек Второй 6 7 8* Крыловская (Крыловский р-н) 6 6 7 Раздольная 7 7 8
Белая Глина 6 6 7 Крыловская (Ленинградский р-н) 6 6 7 Раздольное - 6 7
Белозерный 7 8 9 Крымск 8 8 9 Рассвет
(гор. округ Анапа)
8 8 9
Белореченск 7 8 8 Кубанская 8 8 9 Рассвет
(Староминский р-н)
6 6 7
Белый
(Ленинградский р-н)
6 6 7 Кубанская Степь 6 6 7 Рисовый 8 8 9
Белый
(Темрюкский р-н)
8 8 9 Кубанский (Белореченский р-н) 7 8 9 Рисоопытный 8 8 9
Беноково 7 8 8 Кубанский
(Новопокровский р-н)
6 6 7 Роговская 7 7 8
Беранда 8 8 9 Кубань 6 7 7 Родники 7 8 8
Береговое 8 8 9   Кугоейская - 6 7   Родниковская 7 7 8
Березанская 6 7 7 Кулешовка 6 6 7 Родниковский 7 7 8
Березовый 7 8 8 Куликовский 6 6 7 Рудь 7 7 8
Бесленеевская 8 8 9 Курганинск 7 7 8 Рязанская 7 7 8
Бесскорбная 7 7 8 Кургоковский 7 7 8 Садки 7 7 8
Бесстрашная 7 8 9 Куринская 8 8 9 Садовый
(Отрадненский р-н)
7 8 8
Бестужевское 8 8 9 Курчанская 8 8 9 Садовый (Славянский р-н) 8 8 9
Бжедуховская 7 8 8 Кутаис 8 8 9 Саратовская 8 8 9
Бичевый 6 6 7 Кухаривка 6 6 7 Саук-Дере 8 8 9
Благовещенская 8 8 9 Кущевская 6* 6 7 Светлая Заря 7 7 8
Благодарное 7 8* 8 Лабинск 7 7 8 Светлый Путь Ленина 8 8 9
Бойкопонура 7 7 8 Ладожская 7* 7 8* Свободное 6 7 7
Бойко-Понура 7 7 8 Лазурный 7 8* 8 Свободный 6 7 8
Большой Кичмай 8 8 9 Лебеди 7 7 8 Северин 6 7 7
Болгов 7 7 8 Ленина 7 8 8 Северный 6 6 7
Большие Хутора 8 8 9 Ленинградская 6 6 7 Северокубанский 6 7 7
Большой Бейсуг 6 7 7 Ленинский 7 7 8 Северская 8 8 9
Борисовка 8 8 9 Лермонтово 8 8 9 Семигорский 8 8 9
Бородинская 6 7 7 Ловлинская 6 7 7 Семисводный 8 8 9
Братковское 6 7 8* Лорис 7 8 8 Сенной 8 8 9
Братский (Тихорецкий р-н) 6 6 7 Лосево 6 6 7 Сергей-Поле 8 8 9
Братский
(Усть-Лабинский р-н)
7 7 8 Луч 7 7 8 Сергиевская 7 7 8
Бриньковская 6 7 7 Львовское 8* 8 9 Скобелевская 6 7 7
Брюховецкая 6 7 8* Ляпино 7 7 8 Славянск-на-Кубани 8 8 9
Бузиновская 6 7 7 Майкопское 6 7 7 Сладкий 7 7 8
Бураковский 7* 7 8 Маламино 7 7 8 Смоленская 8 8 9
Ванновское 6 7 7 Малороссийский 6 6 7 Советская 7 7 8
Варваровка 8 8 9 Малотенгинская 7 8 8 Советский (Гулькевичский р-н) 6 7 7
Варениковская 8 8 9 Мартанская 7 8 9 Советский (Ейский р-н) 6 6 7
Варнавинское 8 8 9 Марьино 7 7 8 Советский (Тимашевский р-н) 7 7 8
Васюринская 7 7 8 Марьянская 7 8 9 Совхозный 8 8 9
Великовечное 7 7 8 Махошевская 7 8 8 Соколовское 6 7 7
Венцы 6 7 7 Маяк 7 8 8 Соленое 8 8 9
Верхнебаканский 8 8 9 Медведовская 7 7 8 Солохаул 8 8 9
Верхнеимеретинская Бухта 8 8 9 Мезмай 8 8 9 Сочи 8 8 9
Веселая 6 6 7 Мерчанское 8 8 9 Спокойная 7 8 8
Веселовка 8 8 9   Мессажай 8 8 9   Средние Чубурки - 6 7
Веселое 8 8 9 Мингрельская 8 8 9 Средний Челбас 6 6 7
Веселый 7 7 8 Мингрельское 8 8 9 Ставропольская 8 8 9
Вимовец 7* 7 8 Мирской 6 6 7 Старая Станица 7 7 8
Виноградный (гор. округ Анапа) 8 8 9 Михайловская 7 7 8 Старовеличковская 7 7 8
Виноградный (Темрюкский р-н) 8 8 9 Михайловский Перевал 8 8 9 Стародеревянковская 6 6 7
Витязево 8 8 9 Михайловское 8 8 9 Староджерелиевская 7 8 9*
Владимировка 8 8 9 Мичуринский 7 7 8 Старокорсунская 7 8* 8
Владимирская 7 7 8 Молдаванское 8 8 9 Старолеушковская 6 6 7
Воздвиженская 7 7 8 Молдовка 8 8 9 Староминская 6 6 7
Вознесенская 7 7 8 Молодежный 7 8 9 Старомышастовская 7 7 8
Возрождение 8 8 9 Молькино 8* 8 9 Старонижестеблиевская 7 8 9
Волковка 8 8 9 Моревка 6 6 7 Старотитаровская 8 8 9
Вольное 7 7 8 Мостовской 7 8 8 Старощербиновская 6 6 7
Воронежская 7 7 8 Мысхако 8 8 9 Степная 7 7 8
Воронцовская 7 8 9* Надежная 7 8 9* Степной (Ейский р-н) 6 6 7
Воскресенский 8 8 9 Натухаевская 8 8 9 Степной (Кавказский р-н) 6 6 7
Восточная 7* 7 8 Неберджаевская 8 8 9 Степной
(Курганинский р-н)
7 7 8
Восточный 7 7 8 Небуг 8 8 9 Стрелка 8 8 9
Восточный Сосык 6 6 7 Незаймановский 6 7 7 Суворовское 7 7 8
Восход 6 7 7 Незамаевская 6 6 7 Суздальская 8* 8 9
Вперед 8 8 9 Незамаевский 6 6 7 Сукко 8 8 9
Выселки 6 7 7 Некрасовская 7 7 8 Супсех 8 8 9
Высокий 7 7 8 Нефтегорск 8 8 9 Таманский 8 8 9
Высокое 8 8 9 Нефтяная 8 8 9 Тамань 8 8 9
Вышестеблиевская 8 8 9 Нещадимовский 8 8 9 Танцура Крамаренко 7 7 8
Газырь 6 6 7 Нижегородская 8 8 9 Тбилисская 6 7 7
Гайдук 8 8 9 Нижнебаканская 8 8 9 Тверская 8 8 9
Гай-Кодзор 8 8 9 Нижнебаканский 8 8 9 Текос 8 8 9
Галицын 7 8 9 Нижняя Шиловка 8 8 9 Тельман 6 7 7
Гаркуша 8 8 9 Николаевка 6 6 7 Темижбекская 6 7* 7
Геймановская 6 7 7 Николаевская 7 8* 8 Темиргоевская 7 7 8
Геленджик 8 8 9 Николаенко 8 8 9 Темрюк 8 8 9
Георгиевское 8 8 9 Николенское 6 7 7 Тенгинка 8 8 9
Гирей 6 7 7 Новоалексеевская 7 7 8 Тенгинская 7 7 8
Глафировка 6 6 7 Новоалексеевское 7 7 8 Терновская 6 6 7
Глебовка - 6 7 Новобейсугская 6 7 7 Тимашевск 7 7 8
Глебовское 8 8 9   Новоберезанский 6 7 7   Тихорецк 6 6 7
Глубокий 7 7 8 Нововеличковская 7 8* 8 Трехсельское 7 7 8
Голубая Нива 7 8 8 Нововладимировская 6 7 7 Троицкая 8 8 9
Голубицкая 8 8 9 Новогражданская 6 7 7 Трудобеликовский 8 8 9
Горное Лоо 8 8 9 Новодеревянковская 6 6 7 Туапсе 8 8 9
Горный 8 8 9 Новоджерелиевская 7 7 8 Тысячный 6 7 7
Горькая Балка 6 6 7 Новодмитриевская 8 8 9 Тюменский 8 8 9
Горячий Ключ 8 8 9 Новодонецкая 6 7* 7 Убеженская 7 7 8
Гостагаевская 8 8 9 Новое Село 6 6 7 Удобная 7 8 8
Гражданский 6 6 7 Новоивановская 6 6 7 Украинский 7 7 8
Гречаная Балка 7 7 8 Новоивановский 6 7 7 Уманский 6 6 7
Гривенская 7 8* 8 Новокорсунская 7* 7 8 Унароково 7 7 8
Григорьевская 8 8 9 Новокубанск 7* 7 8* Упорная 7 8 8
Гришковское 7 8 8 Новолабинская 7 7 8 Упорный 6 6 7
Губская 8* 8 9 Новолеушковская 6 6 7 Урупский (Отрадненский р-н) 7 8 8
Гулькевичи 6 7 7 Новолокинская 6 6 7 Урупский (Успенский р-н) 7 7 8
Гусаровское 7 7 8 Новомалороссийская 6 7* 7 Успенская 6 6 7
Двубратский 7 7 8 Новоминская 6 6 7 Успенское 7 7 8
Дефановка 8 8 9 Новомихайловская - 6 7 Усть-Лабинск 7 7 8
Джигинка 8 8 9 Новомихайловский 8 8 9 Уташ 8 8 9
Джубга 8 8 9 Новомихайловское (Гулькевичский р-н) 6 7 7 Фастовецкая 6 6 7
Джумайловка 7 7 8 Новомихайловское (Кущевский р-н) - 6 7 Федоровская 8 8 9
Дивноморское 8 8 9 Новомышастовская 7 8 9 Фонталовская 8 8 9
Динская 7 7 8 Новониколаевская 7 7 8 Хадыженск 8 8 9
Дмитриевская 6 6 7 Новопавловка 6 6 7 Ханьков 8 8 9
Днепровская 7 7 8 Новопашковская 6 6 7 Харьковский 7 7 8
Долгогусевский 7 8 8 Новопетровская 6 6 7 Холмская 8 8 9
Должанская 6 6 7 Новопластуновская 6 6 7 Холмский 8 8 9
Дружный 7 8 9 Новоплатнировская 6 6 7 Хоперская 6 6 7
Дядьковская 7 7 8 Новопокровская 6 6 7 Целинный 7 8 8
Ейск 6 6 7 Новопокровский (Новопокровский р-н) 6 6 7 Цемдолина 8 8 9
Ейское Укрепление 6 6 7 Новопокровский (р-н Приморско-Ахтарский) 7 7 8 Центральный 6 6 7
Екатериновка 6 6 7 Новорождественская 6 6 7 Цибанобалка 8 8 9
Екатериновский 8 8 9 Новороссийск 8 8 9 Цыпка 8 8 9
Елизаветинская 7 8 9 Новосельское 7 7 8 Чамлыкская 7 7 8
Елизаветинское 7 8 9 Новосергиевская 6* 6 7 Чаплыгин 6 7 8*
Еремизино-Борисовская 6 6 7   Новосергиевское 6 6 7   Чебурголь 7 8 8
Ерик 8 8 9 Новотитаровская 7 8* 8 Чебургольская 7 8 8
Железный 7 7 8 Новоукраинский 8 8 9 Чекон 8 8 9
Журавская 6 7 8* Новоукраинское 6 7 7 Челбасская 6 6 7
Журавский 6 7 8 Новощербиновская 6 6 7 Чепигинская 6 7 7
Забойский 7 8 8 Новоясенская 6 6 7 Черниговская 7 8 9
Заветный 7 7 8 Новые Поляны 8 8 9 Черниговское 8 8 9
Запорожская 8 8 9 Образцовый 6 6 7 Черноерковская 8 8 9
Заречный
(Белореченский р-н)
7 8 8 Октябрьская 6 6 7 Черноморский 8 8 9
Заречный
(Выселковский р-н)
6 7 7 Октябрьский (Ейский р-н) 6 6 7 Шабановское 8 8 9
Заря 8 8 9 Октябрьский (Красноармейский р-н) 8 8 9 Шабельское 6 6 7
Зассовская 7 8 8 Октябрьский (Курганинский р-н) 7 7 8 Шаумян 8 8 9
Знаменский 7 8 8 Октябрьский (Ленинградский р-н) 6 6 7 Шевченко 6 7 7
Ивановская 7 8 9 Октябрьский (Павловский р-н) 6 6 7 Шевченковское 6 6 7
Ильинская 6 6 7 Октябрьский (Северский р-н) 8 8 9 Шедок 8* 8 9
Ильинское - 6 7 Октябрьский (Тбилисский р-н) 6 7 7 Шепси 8 8 9
Ильич 8 8 9 Октябрьский (Туапсинский р-н) 8 8 9 Широчанка 6 6 7
Ильский 8 8 9 Ольгинка 8 8 9 Школьное 7 7 8
Имени Максима Горького 6 6 7 Ольгинская 6 7 8* Школьный 8 8 9
Имеретинская 8 8 9 Ольгинский 8 8 9 Шкуринская 6 6 7
Имеритинская 8 8 9 Ольховский 7 7 8 Щербиновский 6 6 7
Индустриальный 7 8 8 Отважная 7 8 9 Экономическое 8 8 9
Ирклиевская 6 6 7 Отдаленный 8 8 9 Эриванская 8 8 9
Кабардинка 8 8 9 Отрадная
(Отрадненский р-н)
7 8 8 Юбилейный 8 8 9
Кабардинская 8 8 9 Отрадная (Тихорецкий р-н) 6 6 7 Юго-Северная 6 6 7
Кавказская 6 7* 7 Отрадо-Кубанское 6 7 7 Южная Озереевка 8 8 9
Казанская 6 7 7 Отрадо-Ольгинское 6 7 7 Южный
(Белореченский р-н)
7 8 8
Казачий 7 7 8 Павловская 6 6 7 Южный (Динской р-н) 7 8 8
Каладжинская 7 8 9* Павловский 8 8 9 Южный (Крымский р-н) 8 8 9
Калинина 8 8 9 Парковый 6 6 7 Южный
(Курганинский р-н)
7 7 8
Калинино 7 8 8 Пашковский 7 8 9 Южный
(Усть-Лабинский р-н)
6 7 8
Калининская 7 7 8 Пенькозавод 7 8 9 Юровка 8 8 9
Калниболотская 6 6 7 Первая Синюха 7 7 8 Ярославская 7 7 8
Калужская 8 8 9 Первомайский (Белореченский р-н) 7 7 8 Ясенская 6 6 7
КРАСНОЯРСКИЙ КРАЙ
Абан - 6 7   Иннокентьевка 7 8 9   Паново - - 6
Агинское 7 8 9 Ирбейское 7 7 8 Парная 6 6 7
Айтат - - 6 Ирша 6 7 8 Партизанское 7 8 9
Александровка (Боготольский р-н) - - 6 Кавказское 7 7 8 Первоманск 7 7 8
Александровка (Ирбейский р-н) 7 7 8 Казанцево 7 7 8 Переясловка 7 7 8
Александровка (Казачинский р-н) - - 6 Казачинское - - 6 Петропавловка (Абанский р-н) - 6 7
Александровка (Рыбинский р-н) 6 7 8 Камарчага 7 7 8 Петропавловка (Балахтинский р-н) 6 6 7
Александро-Ерша 6 6 7 Канифольный 6 6 7 Пинчуга - - 6
Алексеевка 7 7 8 Канск 6 7* 8* Подгорный 6 7 8
Амонаш 6 7 8 Каптырево 7 8 9 Подсопки 6 6 7
Анаш 6 7 8 Карапсель 6 6 7 Поймо-Тины 6 6 7
Ангарский - - 6 Каратузское 7 7 8 Поканаевка - 6 7
Анцирь 6 6 8 Касьяново 6 7 8 Покровка - 6 7
Апано-Ключи - 6 7 Качулька 7 7 8 Почет - - 6
Арадан 7 8 8 Кедровый 6 6 7 Предивинск - - 6
Арейское 6 7 8 Кежма - - 6 Преображенка - - 6
Арефьево - - 6 Кирсантьево - - 6 Преображенский - 6 6
Артемовск 7 7 8 Кияй 7 8 9 Приморск 6 7 8
Артюгино - - 6 Ключи - - 6 Приреченск 6 6 7
Атаманово 6 6 7 Кодинск - - 6 Прихолмье 7 7 8
Ачинск - - 6 Кожаны 6 7 7 Причулымский - - 6
Балай 7 7 8 Кожелак 7 8 9 Проспихино - - 6
Балахта 6 7 8 Козулька 6* 6 7 Пятково - - 6
Балахтон 6 6 7 Колбинский 7 7 8 Ражъезжее 7 8 9
Бартат - 6 7 Кома 6 7 8 Рассвет - - 6
Бархатово 6 7 8 Кононово 6 6 7 Ровное 6 7 8
Беллык 7 7 8 Кордово 7 7 8 Рождественское - - 6
Белый Яр - - 6 Кортуз 7 7 8 Российка - - 6
Беляки - - 6 Кочергино 7 7 8 Роща 7 7 8
Березовка 7* 7 8 Кошурниково 7 7 8 Рощинский 7 7 8
Березовский 7 7 8 Красинка - - 6 Рудяное 6 6 7
Березовское (Курагинский р-н) 7 7 8 Красная Поляна - 6 7 Рыбное 7 7 8
Березовское (Шарыповский р-н) - 6 6 Красная Сопка 6 6 7 Сагайское 7 7 8
Благовещенка 7 7 8 Красногорьевский - - 6 Салба 7 7 8
Бобровка - - 6   Краснокаменск 7 7 8   Самойловка - 6 7
Боготол
(Боготольский р-н)
- - 6 Краснотуранск 7 7 8 Сахапта 6 6 7
Боготол (городской округ Боготол) - - 6   Красноярск 7* 7 8   Саянский 7 8* 9*
Богучаны - - 6 Красные Ключи - - 6 Светлолобово 6 7 7
Большая Мурта - - 6 Красный Завод - - 6 Селиваниха 7 7 8
Бол. Улуй - - 6 Красный Курыш 6 6 7 Семенниково 7 8 9
Болтурино - - 6 Красный Маяк 6 7 8 Сивохино - - 6
Большая Ирба 7 7 8 Критово - - 6 Сизая 7 8 9
Большая Косуль - - 6 Крутояр 6 6 7 Сизое 7 8 9
Большая Мурта - - 6 Кулижниково 7 8 9 Синеборск 7 7 8
Большая Ничка 7 7 8 Кулун 6 6 7 Соколовка 6 6 7
Большая Салба 7 7 8 Курагино 7 7 8 Солгон 6 6 7
Большая Салырь - - 6 Курай - 6 7 Солнечный 6 6 7
Большая Уря 6 7 8 Курбатово - - 6 Солонцы 6 7 8
Большие Ключи 6 7 8 Куреж 7 7 8 Сосновоборск 6 7 8
Большие Сыры 7 7 8 Курское 7 7 8 Сотниково 6 6 7
Большой Арбай 7 8 9 Кучердаевка 6 7 8 Средняя Агинка 7 8 9
Большой Ильбин 7 8 9 Кучерово 6 6 7 Старая копь 7 7 8
Большой Телек 7 7 8 Кытат - - 6 Старцево 6 7 8*
Большой Улуй - - 6 Лазарево - - 6 Степановка 7 8 9
Большой Унгут 7 7 8 Лазурный 6 6 7 Степной 6 6 7
Большой Хабык 7 7 8 Лапшиха - - 6 Степной Баджей 7 8 9
Бородино 6 7 8 Лебедевка 7 7 8 Стойба 7 8 9
Борск 6 6 7 Лебяжье 7 7 8 Стретенка 6 6 7
Брагино 7 7 8 Левоямное - 6 6 Субботино 7 8 9
Бражное 6 7 8 Леонтьевка - - 6 Сухобузимское 6* 6 7
Быстрая 7 7 8 Локшино 6 6 7 Сухово - - 6
Бычки - - 6 Лугавское 7 7 8 Сухоной 7 8 9
Вагино - - 6 Маганск 7 7 8 Сучково - - 6
Васильевка 6 6 7 Мазульский - - 6 Сушиновка 7 7 8
Вахрушево - - 6 Майское Утро 7 7 8 Тагара - - 6
Верхнеусинское 7 8 8 Малая Минуса 7 7 8 Таежное 6 6 7
Верхний Ададым - 6 6 Малиновка - - 6 Талажанка - - 6
Верхний Ингаш 6 6 7 Малый Имыш 6 6 7 Таловка - - 6
Верхний Кужебар 7 8 9 Манзя - - 6 Талое 7 7 8
Верхняя Уря 7 7 8 Маринино 7 7 8 Танзыбей 7 8 9
Вершино-Рыбное 7 8 9 Машуковка - - 6 Тарутино - - 6
Веселое - - 6 Межево 7 7 8 Тасеево - - 6
Вознесенка 7* 7 8 Межово - 6 7 Таскино 7 7 8
Вороковка - - 6   Мельничное 7 7 8   Тесь 7 7 8
Восточное
(Краснотуранский р-н)
7 7 8 Мигна 7 8 9 Тигрицкое 7 7 8
Восточное (Уярский р-н) 7 7 8 Миндерла 6 6 7 Тиличеть - 6 6
Выезжий Лог 7 8 9 Минино 6 7 8 Тинской 6 6 7
Высотино - 6 7 Минусинск 7 7 8 Тины 6 6 7
Галанино - - 6 Михайловка (Дзержинский р-н) - 6 7 Толстихино 7 7 8
Гаревое - 6 7 Михайловка (Емельяновский р-н) - 6 6 Толстый мыс 6 7 7
Георгиевка 6 6 7 Михайловка (Ужурский р-н) 6 6 7 Троицк - - 6
Гладково 7 8 9 Можарка 7 7 8 Тубинск 7 7 8
Глядень - 6 7 Мокруша 6 6 7 Тугач 7 8 9
Горный - - 6 Мокрушинское - - 6 Тумаково 6 7 8
Городок 7 7 8 Момотово - - 6 Турово - 6 7
Горячегорск 6 6 7 Моторское 7 8 8 Тюльково 6 7 8
Гремучий - - 6 Нагорное 7 8 9 Тюхтет - - 6
Григорьевка 7 8 9 Назарово - 6* 6 Удачное - - 6
Громадск 6 7 8 Нарва 7 8 9 Ужур 6 6 7
Грузенка 6 7 7 Нахвальское - 6 7 Унер 7 8 9
Далай 6 6 7 Невонка - - 6 Урал 6 7 8
Двинка - - 6 Недокура - - 6 Успенка (Ирбейский р-н) 7 8 9
Двуречное 7 7 8 Нижнесуэтук 7 8 8 Успенка (Рыбинский р-н) 6 7 8
Денисово - 6 7 Нижние Куряты 7 7 8 Усть-Каначуль 6 7 8
Детлово 7 7 8 Нижний Ингаш 6 6 7 Устьянск 6 6 7
Дзержинское - 6 7 Нижний Кужебар 7 7 8 Усть-Яруль 6 7 8
Дивногорск 7* 7 8 Нижний Тонай - 6 7 Устюг 6 6 7
Добромысловка 7 7 8 Нижняя Пойма 6 6 7 Уяр 7 7 8
Долгий Мост - 6 7 Никольск - 6 7 Фаначет - - 6
Дорохово - 6* 6 Никольское 6 6 7 Филимоново 6 7 8
Дрокино 6 7 8 Новая Еловка - - 6 Хандала - - 6
Дубинино 6 6 7 Новая Солянка 6 7 8 Хандальск - - 6
Дудовка - - 6 Новая Сыда 7 7 8 Холмогорское 6 6 7
Екатериновка 7 7 8 Новоалександровка 6 6 7 Хребтовый - - 6
Еловка
(Балахтинский р-н)
6 7 8 Новоберезовка 7 7 8 Центральный 7 7 8
Еловка (р-н Большемуртинский) - 6 7 Новобирилюссы - - 6 Чайковский - - 6
Еловое 6 7 8* Новогородка 6 6 7 Частоостровское 6 6 7
Емельяново 6 7* 8* Новокамала 6 7 8 Черемушка 7 7 8
Ермаковское 7 8 9 Новомитрополька - - 6 Черемушки 7 7 8
Есаулово 6 7 8 Новониколаевка 6 7 8 Черемшанка 7 7 8
Жеблахты 7 8 8   Новоникольск - - 6   Чечеул 6 7 8
Железногорск 6 7* 7 Новопокровка 6 6 7 Чибижек 7 7 8
Жуковка 6 6 7 Новополтавка 7 8 9 Чистое Поле 6 7 7
Заледеево - - 6 Новопятницкое 7 7 8 Чунояр - - 6
Заозерка - 6 7 Новоселово 6 7 8* Чухломино 6 7 8
Заозерный 6 7 8 Новотроицк - - 6 Шадрино 6 6 7
Запасной Имбеж 7 8 9 Новотроицкое (Идринский р-н) 7 7 8 Шалинское 7 7 9*
Зареченка - - 6 Новотроицкое (Минусинский р-н) 7 7 8 Шалоболино 7 7 8
Зачулымка - - 6 Новоуспенка - 6 7 Шарыпово 6 6 7
Зеледеево 6 7 8 Новохайский - - 6 Шеломки - 6 7
Зеленогорск 6 7* 8* Новочернореченский - 6 6 Шиверский - - 6
Зеленый Бор 7 7 8 Овсянка 7 7 8 Шила - 6 7
Знаменка 7 7 8 Огур 7 7 8 Ширыштык 7 8 9
Зыково 7 7 8 Ойский 7 8 9 Шошино 7 7 8
Ивановка (Ермаковский р-н) 7 7 8 Октябрьский - - 6 Шуваево 6 7* 7
Ивановка (Ирбейский р-н) 7 7 8 Орешное 7 8 9 Шушенское 7 7 8
Ивановка
(Нижнеингашский р-н)
6 6 7 Орловка
(Бирилюсский р-н)
- - 6 Шушь 6 6 7
Ивановка
(Партизанский р-н)
7 8 9 Орловка
(Дзержинский р-н)
- 6 7 Щетинкино 7 7 8
Иджа 7 8 9 Орье 8 8 9 Элита 6 7 8
Идринское 7 7 8 Осиновый Мыс - - 6 Юдино 7 7 8
Иланский 6 6 7 Отношка - - 6 Южно-Александровка 6 7 8
Ильинка
(Нижнеингашский р-н)
6 6 7 Отрок 7 7 8 Юксеево - 6 6
Ильинка (Ужурский р-н) 6 6 7 Павловка (Назаровский р-н) - - 6 Яркино - - 6
Ильичево 7 8* 9* Павловка
(Нижнеингашский р-н)
6 6 7 Ястребово - 6 6
Имисское 7 7 8 Памяти 13 Борцов 6 6 7    
ПЕРМСКИЙ КРАЙ
Александровск - 6 7   Култаево - - 6   Сараны - 6 7
Ашап - - 6 Кунгур - - 6 Сарс - - 6
Белоево - - 6 Курашим - - 6 Северный Коспашский - 6 7
Березники - 6 7 Кусье-Александровский - 6 7 Серга - - 7*
Березовка - 6 7 Кушмангорт - - 6 Сива - - 6*
Беркутово - - 6 Кыласово - - 6 Сим - 6 7
Бершеть - - 6 Кын - 6 7 Скальный - 6 7
Валай - 6 7 Ленск - - 6 Скобелевка - - 6
Верещагино - - 6* Лобаново - - 6 Сокол - - 6
Верх-Иньва - - 6 Луньевка - 6 7 Соликамск - 6* 7*
Верхнечусовские Городки - 6 7 Лысьва - 6 7 Сретенское - - 6
Вознесенское - - 6   Ляды - - 7*   Старый Бисер - 6 7
Всеволодо-Вильва - 6 7 Лямино - 6 7 Стряпунята - - 6
Всесвятская - 6 7 Майкор - - 6 Суда - - 6
Гамово - - 6 Майский - - 6 Суксун - - 6
Горнозаводск - 6 7 Медведка - 6 7 Сылва - 6 7
Горный - - 6 Менделеево - - 6 Теплая Гора - 6 7
Гремячинск - 6 7 Моховое - - 6 Тохтуева - 6 7
Григорьевское - - 6 Мулянка - - 6 Тюлькино - - 6
Губаха - 6 7 Мысы - - 6 Тюш - - 6
Дивья - 6 7 Нагорнский - 6 7 Углеуральский - 6 7
Добрянка - - 6 Неволино - - 6 Уинское - - 6
Ергач - - 6 Нердва - - 6 Уральский - - 6
Железнодорожный - 6 7 Нестюково - - 6 Усолье - 6 7
Звездный - - 6 Нововильвенский - 6 7 Усть-Качка - - 6
Зюкайка - - 6 Новоильинский - - 6 Усть-Кишерть - - 6
Ильинский - - 6 Новые Ляды - - 6 Усть-Черная - - 6
Калинино - - 6 Ныроб - - 6 Усьва - 6 7
Калино - 6 7 Нытва - - 6 Ферма - - 6
Карагай - - 6 Оверята - - 6 Филипповка - - 6
Карьер Известняк - 6 7 Октябрьский - - 6 Фролы - - 6
Керчевский - - 6 Орда - - 6 Центральный Коспашский - 6 7
Кизел - 6 7 Орел - - 7 Чайковская - - 6
Ключи - - 6 Пашия - 6 7 Чердынь - - 6
Комарихинский - 6 7 Пермь - - 7* Чермоз - - 6
Комсомольский - - 6 Песьянка - - 6 Черное - 6 7
Кондратово - - 6 Петровка - - 6 Чусовой - 6 7
Кордон (Кишертский р-н) - 6 7 Платошино - - 6 Шадейка - - 6
Кордон (Косинский р-н) - - 6 Плеханово - - 6 Шахта - 6 7
Кормовище - 6 7 Пожва - - 6 Широковский - 6 7
Коса - - 6 Полазна - - 6 Шумихинский - 6 7
Кочево - - 6 Половинка - 6 7 Юбилейный - 6 7
Кояново - - 6 Половодово - 6 7 Юг - - 6
Красновишерск - 6 7 Посад - - 6 Юго-Камский - - 6*
Краснокамск - - 6 Промысла - 6 7 Южный Коспашский - 6 7
Красный Берег - 6 7 Родники - 6 7 Юрла - - 6
Красный Восход - - 6 Рудничный - 6 7 Юсьва - - 6
Кудымкар - - 6 Рябинино - - 6 Яйва - 6 7
Кукуштан - - 6 Савино - - 6    
ПРИМОРСКИЙ КРАЙ
Абрамовка 6 6 7   Кипарисово 6 6 7   Посьет 6 6 7
Авангард 6 6 8 Кировский 6 6 7 Преображение 6 7 8
Авдеевка 6 6 7 Кневичи 6 6 7 Преображенка 6 6 7
Агзу 6 6 7 Кокшаровка 6 7 8 Прилуки 6 6 7
Александровка 6 6 7 Комаровка 6 6 7 Приморский 6 6 7
Алтыновка 6 6 7 Комиссарово 6 6 7 Прохладное 6 6 7
Амгу 7 7 8 Корсаковка 6 6 7 Прохоры 6 6 7
Андреевка 6 6 7 Краскино 6 6 7 Путятин 6 6 7
Анна 6 6 7 Краснореченский 6 7 8 Пшеницыно 6 7 8
Антоновка (Кировский р-н) 6 6 7 Красный Кут 6 6 7 Раздольное 6 6 7
Антоновка (Чугуевский р-н) 6 7 8 Красный яр 6 7 8 Ракитное 6 7 7
Анучино 6 6 7 Кремово 6 6 7 Раковка 6 6 7
Ариадное 6 7 8 Кролевцы 6 6 7 Реттиховка 6 6 7
Арсеньев 6 7* 7 Кронштадка 6 6 7 Рождественка 6 6 7
Артем 6 6 7 Крыловка 6 7 7 Романовка 6 6 7
Артемовский 6 6 7 Курское 6 6 7 Рощино 6 7 8
Астраханка 6 6 7 Лазо (Дальнереченский гор. округ) 6 6 7 Рудная Пристань 7 7 8
Барабаш 6 6 7 Лазо (Лазовский р-н) 6 7 8 Рудный 6 7 8
Барабаш-Левада 6 6 7 Лесозаводск 6 6 7 Ружино 6 6 7
Барано-Оренбургское 6 6 7 Летно-Хвалынское 6 6 7 Руновка 6 6 7
Беневское 6 7 8 Ливадия 6 6 7 Русский 6 6 7
Березовка 6 7 8 Липовцы 6 6 7 Сальское 6 6 7
Благодатное 6 6 7 Лукьяновка 6 7 7 Самарга 6 7 8
Боголюбовка 6 7 8 Лучегорск 6 6 7 Самарка 6 7 8
Богуславка 6 6 7 Лучки 6 6 7 Саратовка 6 7 8
Большой Камень 6 6 7 Любитовка 6 7 8 Светлая 7 7 8
Борисовка 6 6 7 Ляличи 6 6 7 Светлогорье 6 6 7
Бровничи 6 6 7 Максимовка 7 7 8 Свиягино 6 6 7
Булыга-Фадеево 6 7 8 Малая Кема 7 7 8 Серафимовка 6 7 7
Буссевка 6 6 7 Малиново 6 7 8 Сергеевка (Партизанский р-н) 6 6 8
Вадимовка 6 6 7 Маргаритово 6 7 7 Сергеевка (Пограничный р-н) 6 6 7
Валентин 6 7 7 Марково 6 6 7 Сержантово 7 7 8
Варфоломеевка 6 7 7 Мартынова Поляна 6 7 8 Сибирцево 6 6 7
Васильковка 6 6 7 Марьяновка 6 7 7 Сиваковка 6 6 7
Вассиановка 6 6 7 Междуречье 6 7 7 Синий Гай 6 6 7
Веденка 6 6 7 Мельники 6 6 7 Славянка 6 6 7
Верхний Перевал 6 7 7   Мельничное 6 7 8   Смоляниново 6 6 7
Верхняя Бреевка 6 7 8 Меркушевка 6 6 7 Соболиный 6 7 8
Веселый Яр 6 7 8 Милоградово 6 7 7 Соколовка 6 7 8
Вишневка 6 6 7 Михайловка 6 6 7 Спасск-Дальний 6 6 7
Владивосток 6 6 7 Многоудобное 6 6 7 Спасское 6 6 7
Владимиро-Александровское 6 6 8 Молчановка 6 6 8 Староварваровка 6 6 7
Владимировка 6 6 7 Монастырище 6 6 7 Старосысоевка 6 6 7
Владимиро-Петровка 6 6 7 Моряк-Рыболов 6 7 7 Старый Ключ 6 6 7
Воздвиженка 6 6 7 Муравейка 6 6 7 Степное 6 6 7
Вознесенка 6 6 7 Нагорное 6 6 7 Стретенка 6 6 7
Волчанец 6 6 7 Находка 6 6 8* Суражевка 6 6 7
Вольно-Надеждинское 6 6 7 Невское 6 6 7 Тавричанка 6 6 7
Воскресенка 6 6 7 Нежино 6 6 7 Таежное 6 7 8
Восток 6 7 8 Нестеровка 6 6 7 Терней 7 7 8
Вострецово 6 7 8 Николаевка 6 6 8 Тигровой 6 6 7
Врангель 6 6 8 Новицкое 6 6 8 Тимирязевский 6 6 7
Высокогорск 6 7 8 Нововладимировка 6 6 7 Тимофеевка 7 7 8
Гайворон 6 6 7 Новогеоргиевка 6 6 7 Тихменево 6 6 7
Галенки 6 6 7 Новодевица 6 6 7 Троицкое 6 6 7
Глубинное 6 7 8 Новокачалинск 6 6 7 Трудовое 6 6 7
Гоголевка 6 6 7 Новокрещенка 6 7 8 Турий Рог 6 6 7
Горбатка 6 6 7 Новомихайловка 6 7 8 Уборка 6 7 8
Горное 6 6 7 Новонежино 6 6 7 Увальное 6 6 7
Горнореченский 6 7 8 Новоникольск 6 6 7 Углекаменск 6 6 8
Горные Ключи 6 6 7 Новопокровка 6 7 8 Угловое 6 6 7
Горный 6 7 8 Новороссия 6 6 7 Уссурийск 6 6 7
Гражданка 6 6 7 Новоселище 6 6 7 Уссурка 6 6 7
Григорьевка 6 6 7 Новосельское 6 6 7 Установка 6 7 7
Дальнегорск 7* 7 8 Новостройка 6 6 7 Усть-Соболевка 7 7 8
Дальнереченск 6 6 7 Новосысоевка 6 7 7 Федосьевка 6 6 7
Дальний Кут 6 7 8 Новошахтинский 6 6 7 Фокино 6 6 7
Дмитриевка 6 6 7 Новый 6 6 7 Фроловка 6 6 8
Дубовское 6 6 7 Октябрьское 6 6 7 Хасан - 6 7
Дунай 6 6 7 Олений 6 6 7 Хвалынка 6 6 7
Духовское 6 6 7 Ольга 6 7 8* Хвищанка 6 7 7
Екатериновка 6 6 8* Орехово 6 7 8 Хмыловка 6 6 8
Жариково 6 6 7   Осиновка 6 6 7   Хороль 6 6 7
Заветное 6 7 8 Павлофедоровка 6 6 7 Хрустальный 6 7 8
Заводской 6 6 7 Павло-Федоровка 6 6 7 Центральное 6 6 7
Загорное 6 7 7 Пантелеймоновка 6 6 7 Черниговка 6 6 7
Занадворовка 6 6 7 Партизанск 6 6 8* Черноручье 6 7 8
Зарубино 6 6 7 Первомайское 6 6 7 Чернышевка 6 6 7
Зеленовка 6 6 7 Перетычиха 6 7 7 Чистоводное 6 7 8
Зеркальное 7 7 8 Пермское 6 7 7 Чкаловское 6 6 7
Золотая Долина 6 6 8 Петровка 6 6 7 Чугуевка 6 7 8
Ивановка 6 6 7 Пластун 7 7 8 Ширяевка 6 6 7
Игнатьевка 6 6 7 Пограничный 6 6 7 Шкотово 6 6 7
Измайлиха 6 7 8 Подъяпольское 6 6 7 Штыково 6 6 7
Ильинка 6 6 7 Пожарское 6 6 7 Шумный 6 7 8
Кавалерово 6 7 8 Покровка 6 6 7 Щербаковка 6 7 7
Каменка 7 7 8 Попова 6 6 7 Яблоновка 6 7 7
Камень-Рыболов 6 6 7 Поповка 6 6 7 Яковлевка 6 7 7
Киевка 6 7 8 Поречье 6 6 7 Ярославский 6 6 7
СТАВРОПОЛЬСКИЙ КРАЙ
Айгурский 6 6 7   Каменная Балка (Благодарненский р-н) 6 6 7   Перевальный 7 7 8
Александрийская 7 8 8 Каменнобродская 7 7 8 Передовой 6 7 8
Александрия 6 7 7 Каново 7 8 8 Петропавловское 6 6 7
Александровское 7 7 8 Кара-Тюбе 7 7 8 Побегайловка 8 8 9
Алексеевское 6 6 7 Кармалиновская 6 7 8 Подгорная 7 8 8
Аликоновка 8 8 9 Каясула 7 7 8 Подкумок 8 8 9
Алтухов 6 6 7 Кевсала 6 6 7 Подлесное 6 6 7
Анджиевский 7 8 9 Кендже-Кулак 6 6 7 Поддужное 7 7 8
Андрей-Курган 6 7 7 Киевка 6 6 7 Покойное 6 7 7
Апанасенковское 6 6 7 Кисловодск 8 8 9 Покровское 6 6 7
Арзгир 6 6 7 Китаевское 6 7 7 Полтавское 7 8 9
Архангельское 6 7 7 Коммаяк 7 7 8 Правокумское 6 7 7
Архиповское 7 7 7 Комсомолец 7 8 8 Прасковея 6 7 7
Ачикулак 7 7 8 Константиновская 8 8 9 Преградное 6 6 7
Баклановская 6 7 8 Константиновское 6 7 7 Преображенское 6 7 7
Балахановское 7 8 8 Кочубеевское 7 8 8 Привольное 6 6 7
Балковский 7 7 8 Красногвардейское 6 6 7 Прикалаусский 6 6 7
Балтийский 7 8 8 Красное 7 7 8 Прикумское 8 8 9
Барсуковский 7 8 9 Краснозоринский 6 7 8 Приозерское 6 6 7
Безопасное 6 6 7   Краснокумское 7 8 8   Прогресс 8 8 9
Бекешевская 8 8 9 Красночервонный 6 7 7 Просянка 6 7 7
Белые копани 6 6 7 Красноярский 7 8 9 Птичье 6 7 7
Бешпагир 7 7 8 Красноярское 7 8 9 Пятигорск 8 8 9
Благодарный 6 6 7 Красный Маныч 6 6 7 Рагули 6 6 7
Благодатное 6 7 7 Красный Октябрь 6 7 7 Радуга 6 6 7
Богдановка 7 8 8 Красочный 6 6 7 Раздольное 6 7 8
Бол. Джалга 6 6 7 Круглолесское 7 7 8 Расшеватская 6 6 7
Большая Джалга 6 6 7 Крымгиреевское 7 8 8 Рогатая Балка 6 7 7
Большевик 6 6 7 Кугульта 6 7 7 Родниковское 6 6 7
Боргустанская 8 8 9 Куликовы Копани 6 6 7 Родыки 6 6 7
Бородыновка 8 8 9 Курсавка 7 8 9 Рождественская 7 7 8
Буденновск 6 7 7 Курская 7 8 8 Розовка 7 7 8
Бурлацкое 6 6 7 Куршава 7 8 9 Рощино 7 8 8
Бурукшун 6 6 7 Кучерла 6 6 7 Русское 8 8 9
Варенниковское 7 7 8 Ладовская Балка 6 6 7 Рыздвяный 7 7 8
Величаевское 6 6 7 Левокумка 7 8 9 Саблинское 7 7 8
Верхнерусское 7 7 8 Левокумское 6 7 7 Садовое 6 6 7
Верхнестепной 7 8 8 Лермонтов 8 8 9 Светлоград 6 7* 7
Винодельненский 6 6 7 Летняя Ставка 6 6 7 Светлый 6 7* 7
Винсады 8 8 9 Лиман 6 6 7 Свободы 8 8 9
Владимировка 6 7 7 Луначарский 8 8 9 Северное 7 7 8
Водораздел 7 8 9 Лысогорская 7 8 9 Сенгилеевское 7 7 8
Воздвиженское 6 6 7 Малая Джалга 6 6 7 Серафимовское 6 6 7
Вознесеновская 6 6 7 Малые Ягуры 6 6 7 Сергиевское 7 7 8
Ворововсколесская 7 8 9 Малый Барханчак 6 6 7 Советская 7 8 8
Воровсколесская 8* 8 9 Манычское 6 6 7 Советское Руно 6 6 7
Восточный 7 7 8 Марьины Колодцы 7 8 8 Солдато-Александровское 7 7 8
Вревское 7 7 8 Махмуд-Мектеб 7 7 8 Солнечнодольск 7 7 8
Высоцкое 7 7 8 Медвеженский 6 6 7 Соломенское 7 7 8
Галюгаевская 8 8 9 Минеральные Воды 8* 8 9 Солуно-Дмитриевское 7 8 9
Георгиевск 7 8 8 Мирное 6 6 7 Сотниковское 6 6 7
Георгиевская 7 8 8 Мирный 7 8 8 Спасское 6 6 7
Горнозаводское 7 8 8 Михайловск 7 7 8 Спицевка 7 7 8
Горькая Балка 7 7 8 Московское 7 7 8 Спорный 7 7 8
Горьковский 6 6 7 Нагутское 7 8 8 Средний 7 7 8
Горячеводский 8 8 9 Надежда 7 8* 8 Ставрополь 7 8* 9*
Гофицкое 6 7 7   Надзорное 7 8 8   Ставропольский 6 7 7
Гражданское 8 8 9 Невинномысск 7 8 9* Стародворцовский 7 8 9
Графский 8 8 9 Нежинский 8 8 9 Стародубское 7 7 7
Грачевка 7 7 8 Незлобная 7 8 8 Староизобильная 7 7 8
Греческое 7 8 8 Нефтекумск 6 7 7 Старомарьевка 7 7 8
Григорополисская 6 7 7 Нижняя Александровка 7 8 8 Степное 7 8* 8
Грушевское 7 7 8 Нижнезольский 7 8 8 Стодеревская 8 8 9
Демино 7 8 8 Нижнеподкумский 8 8 9 Суворовская 8 8 9
Дербетовка 6 6 7 Николина Балка 6 6 7 Султан 7 8 8
Дивное 6 6 7 Николо-Александровское 6 6 7 Суркуль 7 8 9
Дмитриевское 6 6 7 Нины 7 7 8 Сухая буйвола 6 7 7
Добровольное 6 6 7 Новая Кугульта 6 6 7 Татарка 7 8 9
Долиновка 7 7 8 Новая Деревня 7 8 8 Тахта 6 6 7
Донская Балка 6 7 7 Новая Жизнь 6 6 7 Темижбекский 6 7 7
Донское 6 7 8* Новкус-Артезиан 7 7 8 Темнолесская 7 8 9
Дубовка 7 7 8 Новоалександровск 6 7 7 Терский 7 7 8
Елизаветинское 6 7 7 Новоблагодарное 8 8 9 Тищенское 6 7 8*
Ессентуки 8 8 9 Новозаведенное 7 7 8 Толстово-Васюковское 6 6 7
Ессентукская 8 8 9 Новоизобильный 6 7 8 Томузловское 6 7 7
Железноводск 8 8 9 Новокавказский 7 7 8 Труновское 6 7 7
Железноводский 8 8 9 Новокумский 6 7 7 Тугулук 6 7 8
Журавское 6 7 7 Новомарьевская 7 7 8 Тукуй-Мектеб 7 7 8
Заветное 7 8 8 Новомихайловское 6 6 7 Турксад 6 6 7
Заря 6 7 7 Новопавловск 7 8 9* Ульяновка 7 8 9
Затеречный 6 7 7 Новоромановское 6 6 7 Урожайное 6 7 7
Зеленогорский 8 8 9 Новоселицкое 6 7 7 Урожайный 8 8 9
Зеленокумск 7 7 8 Новотерский 8 8 9 Урухская 7 7 8
Зимняя ставка 6 6 7 Новотроицкая 7 7 8 Фазанный 7 8 8
Золотаревка 6 6 7 Новоульяновский 7 7 8 Цимлянский 7 8 9
Зольская 8 8 9 Новый 7 8 8 Чернолесское 6 7 7
Зункарь 7 7 8 Новый Маяк 7 7 8 Чограйский 6 6 7
Изобильный 7 7 8 Новый Янкуль 7 8 8 Шангала 6 6 7
Им. Кирова 6 7 7 Обильное 7 7 8 Шаумянский 7 8 8
Им. Тельмана 8 8 9 Овощи 6 6 7 Шведино 6 6 7
имени Кирова 6 7 7 Озек-Суат 6 7 7 Шишкино 6 7 7
Иноземцево 8 8 9 Октябрьское 6 6 7 Шпаковское 7 7 8
Ипатово 6 6 7 Ольгино 7 7 8 Щелкан 6 7 7
Иргаклы 7 7 8   Орловка
(Буденновский р-н)
6 7 7   Эдельбай 6 6 7
Искра 6 6 7 Орловка (Кировский р-н) 7 8 8 Эдиссия 7 8 8
Казгулак 6 6 7 Острогорка 8 8 9 Этока 8 8 9
Казинка 7 8 9 Отказное 7 7 8 Юца 8 8 9
Казьминское 7 8 8 Падинское 7 7 8 Янкуль 7 8 8
Калиновское 7 7 8 Пелагиада 7 7 8 Ясная Поляна 8 8 9
Камбулат 6 6 7 Первомайский 7 8 9 Ясный 6 6 7
Каменная Балка (Арзгирский р-н) 6 6 7 Первомайское 6 6 7  
ХАБАРОВСКИЙ КРАЙ
Амурск 7* 7 8   Заозерное 6 7 7   Охотск 7 7 8
Анастасьевка 6 6 7 Известковый 7 7 8 Переяславка 6 6 7
Аян 7 7 8 Ильинка 6 6 7 Пивань 6 7 8
Березовый 7 7 8 имени Полины Осипенко 7 7 8 Полетное 6 6 7
Бикин 6 6 7 Иннокентьевка 6 7 7 Ракитное 6 6 7
Бичевая 6 6 7 Калинка 6 6 7 Санболи 7 7 8
Богородское 7 7 8 Князе-Волконское 6 6 7 Селихино 6 7 8
Болонь 7 7 8 Комсомольск-на-Амуре 7* 7 8 Сергеевка 6 6 7
Большая Картель 6 7 8 Корфовский 6 6 7 Сита 6 6 7
Бриакан 7 7 8 Краснореченское 6 6 7 Снежный 7 7 8
Булава 7 7 8 Лазарев 8 8 9 Советская Гавань 7 7 8
Бычиха 6 7 7 Лермонтовка 6 6 7 Согда 7 7 8
Ванино 7 7 8 Лесопильное 6 6 7 Солнечный 7 7 8
Вознесенское 6 7 8 Лидога 6 6 7 Сосновка 6 6 7
Восточное 6 7* 7 Литовко 7 7 8 Софийск 7 7 8
Высокогорный 7 7 8 Литовко 7 7 8 Средний Ургал 7 7 8
Вяземский 6 6 7 Лососина 7 7 8 Сукпай 6 6 8
Вятское 6 6 7 Маго 7 7 8 Таежное 6 6 7
Гайтер 6 7 8 Майский 7 7 8 Токи 7 7 8
Галкино 6 7* 7 Матвеевка 6 7 7 Тополево 6 7 7
Гаровка 1-я 6 6 7 Маяк 6 6 7 Троицкое 6 6 7
Гаровка 2-я 6 6 7 Мирное 6 7 7 Тырма 7 7 8
Георгиевка 6 6 7 Мичуринское 6 7 8* Уктур 7 7 8
Горин 7 7 8 Многовершинный 7 7 8 Хабаровск 6 7+ 8*
Горный 7 7 8 Могилевка 6 6 7 Хор 6 6 7
Гродеково 6 6 7 Молодежный 6 7 8 Хурба 7* 7 8
Гурское 7 7 8 Монгохто 7 7 8 Хурмули 7 7 8
Де-Кастри 7 8 8 Мухен 6 6 7 Циммермановка 7 7 8
Джонка 6 7 7   Некрасовка 6 6 7   Чегдомын 7 7 8
Дормидонтовка 6 6 7 Николаевск-на-Амуре 7 8* 8 Черная Речка 6 6 7
Дружба 6 6 7 Новый Мир 6 7 8 Черняево 6 6 7
Дубовый Мыс 6 6 7 Новый Ургал 7 7 8 Эворон 7 7 8
Дуки 7 7 8 Октябрьский 7 7 8 Эльбан 7 7 8
Заветы Ильича 7 7 8 Осиновая Речка 6 7* 7 Ягодный 7 7 8
ГОРОД ФЕДЕРАЛЬНОГО ЗНАЧЕНИЯ СЕВАСТОПОЛЬ
Андреевка 8 8 9   Кача 8 8 9   Севастополь 8 8 9
Балаклава 8 8 > 9* Орлиное 8 9 >9 Солнечное 8 8 9
Верхнесадовое 8 8 9 Полюшко 8 8 9 Терновка 8 8 9
Инкерман 8 8 9 Сахарная Головка 8 8 9 Штурмовое 8 8 9
ЧУКОТСКИЙ АВТОНОМНЫЙ ОКРУГ
Айон - - 6   Канчалан 6 7 8   Певек - - 6
Алискерово - 6 7 Кепервеем 6 6 7 Провидения 6 7 8
Алькатваам 7 7 9 Комсомольский - 6 6 Рыркарпий 6 6 7
Амгуэма 6 7 8 Конергино 6 7 7 Рыткучи - - 6
Анадырь 6 7 8 Краснено 6 7 8 Сиреники 6 7 8
Апапельгино - - 6 Красноармейский - 6 6 Снежное 6 6 7
Бараниха - 6 6 Лаврентия 6 7 8 Тавайваам 6 7 8
Беринговский 7 7 8 Ламутское 6 7 8 Угольные Копи 6 7 7
Билибино - 6 7 Ленинградский 6 6 7 Урелики 6 7 8
Биллингс 6 6 7 Лорино 7 7 8 Усть-Белая 6 6 7
Быстрый - - 6 Марково 6 6 7 Уэлькаль 6 7 7
Ваеги 6 7 8 Мейныпильгино 7 7 8 Хатырка 7 7 8
Валькумей - - 6 Мыс Шмидта 6 6 7 Чуванское 6 7 8
Ванкарем 7 7 8 Нагорный 7 7 8 Шахтерский 6 7 7
Весенний 6 6 7 Нешкан 7 8 9 Эгвекинот 6 7 7
Встречный - 6 7 Новое Чаплино 6 7 8 Энмелен 6 7 7
Дальний - - 6 Нунлигран 6 7 7 Энурмино 7 7 8
Золотогорье 6 7 7 Нутэпэльмен 7 7 8 Янракыннот 6 7 8
Илирней 6 6 7 Омолон - 6 7 Янранай - - 6
Инчоун 7 7 8 Островное 6 6 7  
Иультин 6 7 7 Отрожный 6 6 7

Карты общего сейсмического районирования территории Российской Федерации - ОСР-2016

Приложение Б. - Исключено. (в ред. Изменения N 1, утв. Приказом Минстроя РФ от 26.12.2019 N 886/пр)

Приложение В. - Исключено. (в ред. Изменения N 1, утв. Приказом Минстроя РФ от 26.12.2019 N 886/пр)

Приложение Г. - Исключено. (в ред. Изменения N 1, утв. Приказом Минстроя РФ от 26.12.2019 N 886/пр)

БИБЛИОГРАФИЯ

(в ред. Изменения N 1, утв. Приказом Минстроя РФ от 26.12.2019 N 886/пр)

[1] Федеральный закон от 29 декабря 2004 г. N 190-ФЗ "Градостроительный кодекс Российской Федерации"

[2] Федеральный закон от 21 июля 1997 г. N 116-ФЗ "О промышленной безопасности опасных производственных объектов"

[3] Постановление Государственного комитета Российской Федерации по строительству и жилищно-коммунальному хозяйству от 1 июля 2002 г. N 76 "О Порядке подтверждения пригодности новых материалов, изделий, конструкций и технологий для применения в строительстве"

[4] СН 481-75 Инструкция по проектированию, монтажу и эксплуатации стеклопакетов