Приказ Ростехнадзора от 19.11.2020 N 448

"Об утверждении федеральных норм и правил в области промышленной безопасности "Инструкция по расчету и применению анкерной крепи на угольных шахтах"
Редакция от 19.11.2020 — Действует с 01.01.2021

Зарегистрировано в Минюсте России 30 декабря 2020 г. N 61961


ФЕДЕРАЛЬНАЯ СЛУЖБА ПО ЭКОЛОГИЧЕСКОМУ, ТЕХНОЛОГИЧЕСКОМУ И АТОМНОМУ НАДЗОРУ

ПРИКАЗ
от 19 ноября 2020 г. N 448

ОБ УТВЕРЖДЕНИИ ФЕДЕРАЛЬНЫХ НОРМ И ПРАВИЛ В ОБЛАСТИ ПРОМЫШЛЕННОЙ БЕЗОПАСНОСТИ "ИНСТРУКЦИЯ ПО РАСЧЕТУ И ПРИМЕНЕНИЮ АНКЕРНОЙ КРЕПИ НА УГОЛЬНЫХ ШАХТАХ"

В соответствии с подпунктом 5.2.2.16(1) пункта 5 Положения о Федеральной службе по экологическому, технологическому и атомному надзору, утвержденного постановлением Правительства Российской Федерации от 30 июля 2004 г. N 401 (Собрание законодательства Российской Федерации, 2004, N 32, ст. 3348; 2020, N 27, ст. 4248), приказываю:

1. Утвердить прилагаемые Федеральные нормы и правила в области промышленной безопасности "Инструкция по расчету и применению анкерной крепи на угольных шахтах".

2. Настоящий приказ вступает в силу с 1 января 2021 г. и действует до 1 января 2027 г.

Руководитель
А.В. АЛЕШИН

УТВЕРЖДЕНЫ
приказом Федеральной службы
по экологическому, технологическому
и атомному надзору
от 19 ноября 2020 г. N 448

ФЕДЕРАЛЬНЫЕ НОРМЫ И ПРАВИЛА
В ОБЛАСТИ ПРОМЫШЛЕННОЙ БЕЗОПАСНОСТИ "ИНСТРУКЦИЯ ПО РАСЧЕТУ И ПРИМЕНЕНИЮ АНКЕРНОЙ КРЕПИ НА УГОЛЬНЫХ ШАХТАХ"

1. Настоящие Федеральные нормы и правила в области промышленной безопасности "Инструкция по расчету и применению анкерной крепи на угольных шахтах" (далее - Инструкция) разработаны в соответствии с требованиями Федерального закона от 21 июля 1997 г. N 116-ФЗ "О промышленной безопасности опасных производственных объектов" (Собрание законодательства Российской Федерации, 1997, N 30, ст. 3588; 2018, N 31, ст. 4860).

2. Инструкция распространяется на организации, осуществляющие добычу угля (горючих сланцев) подземным способом (далее - угледобывающие организации), и обязательны для руководителей и специалистов организаций и их обособленных подразделений, занимающихся проектированием, строительством и эксплуатацией опасных производственных объектов угольной промышленности, на которых ведутся подземные горные работы (далее - шахта), конструированием, изготовлением, монтажом, эксплуатацией и ремонтом технических устройств, надзорных и контролирующих органов, профессиональных аварийно-спасательных служб или профессиональных аварийно-спасательных формирований, а также для работников иных организаций, деятельность которых связана с посещением шахт.

Инструкция предназначена для организаций и работников, занимающихся расчетом параметров анкерной крепи горной выработки при разработке документации крепления и поддержания горной выработки (далее - документация крепления), возведением крепи и контролем ее состояния.

3. Инструкция содержит порядок:

расчета параметров анкерной крепи при разработке документации крепления;

выбора конструкций анкерной крепи и средств ее усиления;

обеспечения безопасности работ при установке анкерной крепи;

выбора методов и средств контроля надежности и работоспособности анкерной крепи.

4. В Инструкции приведен порядок расчета параметров анкерной крепи для:

горных выработок и сопряжений шириной до 8 м - в приложениях N 1 и 14 к Инструкции;

боков горных выработок - в приложении N 2 к Инструкции;

горных выработок шириной 6 - 12 м - в приложениях N 3, 4 и 14 к Инструкции;

демонтажных камер - в приложении N 5 к Инструкции;

выработок, пройденных по нижнему слою мощных пластов - в приложении N 6 к Инструкции;

выработок, охраняемых "жесткими" и "податливыми" целиками - в приложении N 7 к Инструкции;

выработок, проводимым по пластам, склонным к горным ударам и внезапным выбросам угля (пород) и газа - в приложении N 8 к Инструкции;

выработок, пройденных в слабых и обводненных породах - в приложении N 9 к Инструкции;

применения комбинированных крепей - в приложении N 10 к Инструкции;

выработок, находящихся в зонах повышенных проявлений горного давления, - в приложении N 11 к Инструкции;

коротких очистных забоев - в приложении N 12 к Инструкции;

выработок, оборудованных подвесными монорельсовыми дорогами - в приложении N 13 к Инструкции.

Расчеты анкерной крепи для крепления оборудования и технических устройств к почве выработки, крепления оборудования и технических устройств к кровле выработки за дополнительные анкеры, крепления монорельсовой подвесной дороги анкерами на бесконечный подхват из специального взаимозаменяемого профиля, крепления выработок анкерной крепью ранее пройденных и закрепленных различными видами крепи должны быть разработаны угледобывающей организацией (шахтой) и содержаться в эксплуатационной документации.

5. Значения коэффициентов, приведенных в приложениях N 3 - 13 к настоящей Инструкции, уточняются по результатам научно-исследовательских работ (согласно пункту 23 Инструкции) и в процессе контрольных мероприятий (согласно пункту 18 Инструкции).

6. При разработке документации крепления и поддержания горных выработок предусматривается применение следующих способов крепления:

анкерной крепью, применяемой в качестве основной, рассчитываемой на весь срок службы горной выработки;

анкерной крепью, усиливаемой поддерживающей рамной или стоечной крепью;

анкерной крепью, усиливаемой в зонах повышенного проявления горного давления (далее - ППГД) и в зоне влияния очистных работ дополнительной приконтурной анкерной крепью и анкерами глубокого заложения;

анкерной крепью в пластовых горных выработках, поддерживаемых на границе с выработанным пространством;

анкерной крепью не только на вновь пройденные выработки, но и в качестве усиления крепи на выработки, ранее закрепленные различными видами крепи;

анкерной крепью в выработках для крепления технических устройств к почве.

7. Документация крепления разрабатывается с учетом обеспечения сохранности горной выработки в продолжение всего срока ее службы и для создания безопасных условий работ по креплению горных выработок.

8. При использовании анкерной крепи сечение горной выработки принимается прямоугольное или трапециевидное с плоской кровлей горной выработки, совпадающей с плоскостью напластования пород (угля), реже - арочное или сводчатое.

При наличии в кровле горной выработки неустойчивых пород, обрушающихся в проходческом забое до установки анкерной крепи, горные выработки проходят с присечкой этих пород. Форма горной выработки, проводимой с присечкой пород, определяется документацией крепления, утвержденной главным инженером шахты.

9. В технической документации на применение анкерной крепи указываются условия ее применения, технические характеристики, технология установки и эксплуатации.

10. Инструкция содержит порядок расчета анкерной крепи для горизонтальных и наклонных (до 35°) подземных горных выработок и их сопряжений при следующих горно-геологических и горнотехнических условиях шахт:

максимальная расчетная ширина выработки или сопряжения - не более 12 м;

поддерживаемые в ненадработанном и неподработанном, а также полностью надработанном и подработанном массивах на расстояниях, соответственно, больше ширины выработки и двенадцати мощностей пласта;

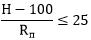
отношение глубины проведения горной выработки или сопряжения от дневной поверхности H, м к расчетному сопротивлению пород и угля в кровле на одноосное сжатие , МПа - не более 25. При величине отношения от 25 до 30 - крепление выработок и сопряжений необходимо осуществлять по двухуровневой схеме с применением анкеров глубокого заложения;

прочность на одноосное сжатие оставляемой угольной пачки в кровле горной выработки или сопряжения - не менее 6 МПа.

11. Инструкция не содержит порядка расчета анкерной крепи при проведении горных выработок в сложных горно-геологических условиях:

в зонах повышенного горного давления (далее - ПГД);

в зонах разрывных геологических нарушений;

при наличии выветренных, пластичных и мерзлых вмещающих пород.

12. Технология проведения и крепления горных выработок должна обеспечивать надежную установку анкерной крепи и устойчивое состояние пород кровли. При наличии в кровле горной выработки неустойчивых пород, обрушающихся в проходческом забое до установки анкерной крепи, горные выработки проходят с присечкой этих пород, либо в документации крепления необходимо предусматривать проведение мероприятий по предупреждению обрушений кровли (применение опережающей крепи, упрочнения пород, комбинированной подхват-затяжки, сводчатой формы кровли), а установка анкерной крепи проводится на расстоянии не более 1 м от забоя горной выработки.

13. Хранение и транспортировку к месту установки элементов анкерной крепи (замков, стержней и ампул) необходимо осуществлять в соответствии с требованиями технической документации завода-изготовителя. Не допускается использование ампул с истекшим сроком годности и ампул с поврежденной оболочкой.

14. Работники, занятые установкой анкерной крепи, должны быть ознакомлены с документацией крепления, методику контроля состояния анкерной крепи горной выработки и пройти соответствующее обучение и инструктаж по безопасному производству работ при бурении скважин (шпуров) и установки анкерной крепи.

15. Не допускается проводить затяжку гаек анкера до окончания процесса твердения состава ампул. Время твердения состава ампул устанавливается заводом-изготовителем.

16. Не допускается подвеска к анкерной крепи горно-шахтного оборудования, не предусмотренного документацией крепления или специальным проектом.

17. В документации крепления должны предусматриваться организационные и технические мероприятия по оценке состояния и работоспособности анкерной крепи.

18. Главный инженер шахты определяет периодичность контроля и перечень инженерно-технических работников шахты, осуществляющих визуальный контроль состояния анкерной крепи. При изменениях состояния анкерной крепи, связанных с проявлением горного давления, расслоения пород кровли и другими горно-геологическими и горно-технологическими условиями, принимаются меры по усилению крепи проводимой и действующей горной выработки.

19. При отсутствии геологических данных о свойствах вмещающих пород документация крепления разрабатывается на основе данных, полученных при бурении разведочных скважин (шпуров) в кровлю горной выработки и отбора керна для определения типа ее кровли, прочности, мощности, слоистости и трещиноватости пород. Разведочные скважины (шпуры) бурятся до начала проведения горной выработки в месте ее заложения (непосредственно перед засечкой горной выработки).

20. При бурении скважин (шпуров) проводится оценка прочностных свойств пород и обводненности кровли горной выработки по скорости бурения и выходу буровой мелочи. При изменении прочностных свойств пород и обводненности кровли горной выработки проводится бурение разведочных скважин (шпуров) с отбором керна. Данные, полученные при бурении разведочных скважин (шпуров), вносятся в расчет крепления. На основе полученных данных главный инженер шахты принимает решение о внесении изменений в действующую документацию крепления.

21. В месте заложения (засечки) горной выработки проводится оценка несущей способности используемых при креплении горной выработки анкеров. Оценка несущей способности применяемых анкеров определяется по несущей способности не менее трех контрольных анкеров, установленных в месте засечки горной выработки. Если несущая способность контрольных анкеров меньше принятой в документации крепления, проводится корректировка документации крепления по минимальному значению несущей способности контрольных анкеров. Оценку несущей способности применяемых анкеров при проведении (восстановлении) выработок проводят при помощи штанговыдергивателя не реже одного раза в месяц через каждые 200 м длины горной выработки, при изменении прочностных свойств и обводненности пород кровли горной выработки, при изменениях конструкции анкерной крепи, применении новых видов или составов ампул, а также технологии установки анкерной крепи.

22. При визуальном контроле работоспособности анкерной крепи проводится оценка состояния анкеров, элементов крепи, затяжки и величины смятия демпфирующих податливых элементов. Периодичность визуального контроля вне зоны влияния очистных работ - не реже одного раза в месяц, а в зонах влияния очистных работ - ежесуточно. В горных выработках с III - IV типом кровли по обрушаемости, приведенным в таблице N 4 приложения N 1 к Инструкции, а также на участках с особо сложными горно-геологическими условиями и на всех сопряжениях горных выработок контроль деформационного состояния пород кровли осуществляется реперами глубинными, установленными в скважинах через 35 - 40 м. В горных выработках с I типом кровли по обрушаемости, приведенным в таблице N 4 приложения N 1 к Инструкции, установка реперов глубинных осуществляется через 80 - 100 м. В горных выработках с породами II типа кровли по обрушаемости, приведенным в таблице N 4 приложения N 1 к Инструкции, установка реперов глубинных осуществляется через 200 - 250 м. В выработках, закрепленных анкерами первого уровня, устанавливают глубинные реперы с двумя реперами в шпуре, а в выработках с двухуровневым креплением - с тремя реперами в шпуре, причем базовый (верхний) репер должен находиться на глубине, превышающей глубину анкерования не менее одного метра.

23. По истечении пяти лет эксплуатации анкерной крепи в горных выработках главный инженер шахты должен организовать исследовательские работы самостоятельно или с привлечением научно-исследовательской организации с целью определения работоспособности анкерной крепи с использованием:

приборов для оценки прочности закрепления анкерной крепи в шахтных условиях (типа ПКА-1, ПКА-3, ВШГ-20 или аналогичных по назначению);

инструментов или приборов для оценки коррозионного износа анкерной крепи;

станков и керноотборников для взятия образцов вмещающих пород горных выработок на глубину до 10 метров, переносного и лабораторного оборудования для определения крепости образцов пород (при недостоверности геологической информации);

видеоэндоскопов для определения зон расслоения и трещиноватости пород кровли и боков.

По результатам обследования составляется акт о состоянии выработки и назначается дата следующего обследования.

24. Испытание несущей способности анкерной крепи в действующих горных выработках производится путем ее нагружения до 0,6, где - несущая способность анкера, кН.

25. На участках действующих и проводимых горных выработок с нарушенной анкерной крепью (разорванные или вырванные анкеры, разрывы подхватов и затяжки, полное смятие демпфирующих податливых элементов), расслоениями и отслоениями пород кровли более 50 мм от вышележащей породы, анкерная крепь усиливается дополнительной крепью с внесением соответствующих изменений в действующую документацию крепления.

26. Результаты контроля состояния анкерной крепи фиксируются инженерно-техническими работниками шахты в производственно-технической документации, рекомендуемый образец которой приведен в приложении N 21 к Инструкции:

в зоне опорного давления не реже 1 раза в сутки;

вне зоны опорного давления не реже 1 раза в месяц.

Приложение N 1
к Федеральным нормам и правилам
в области промышленной безопасности
"Инструкция по расчету и применению
анкерной крепи на угольных шахтах",
утвержденным приказом Федеральной службы
по экологическому, технологическому
и атомному надзору
от 19 ноября 2020 г. N 448

РАСЧЕТ ПАРАМЕТРОВ КРЕПИ ДЛЯ КРОВЛИ ГОРНЫХ ВЫРАБОТОК

I. ИСХОДНЫЕ ДАННЫЕ ДЛЯ РАСЧЕТА КРЕПИ

1. Для расчета сопротивления анкерной крепи, длины анкеров и их податливости, количества анкеров в ряду и расстояния между рядами, дополнительных средств усиления используются исходные данные:

условия проходки, охраны и поддержания горных выработок;

расчетная ширина B, м, и высота h, м, горных выработок и сопряжений в проходке;

расчетная глубина расположения горных выработок от поверхности H, м;

тип строения пород кровли горных выработок;

класс устойчивости пород непосредственной кровли горных выработок;

расчетное сопротивление пород кровли горных выработок на одноосное сжатие , МПа;

расчетная несущая способность анкеров, усиливающих стоек, рам, посадочно-защитных крепей N, кН.

2. По условиям проходки, охраны и поддержания при расчете параметров крепи рассматриваются следующие горные выработки и сопряжения:

капитальные околоствольные и магистральные горные выработки, и их сопряжения, проводимые и поддерживаемые в ненарушенные очистные работы массиве за пределами зон опорного давления, при ширине целиков больше 0,1H, но не менее 30 м;

магистральные полевые и пластовые горные выработки, и сопряжения, проводимые в массиве, а затем поддерживаемые в зоне опорного давления от очистных работ при ширине целиков меньше 0,1H, но не менее 15 м;

пластовые выемочные горные выработки, проводимые в массиве, а затем погашаемые за лавой;

пластовые выемочные горные выработки, проводимые в массиве по надработанным и подработанным участкам шахтного поля, а затем погашаемые за лавой;

пластовые выемочные горные выработки, проводимые по нижним слоям мощных пластов;

пластовые выемочные горные выработки и сопряжения, проводимые в массиве, охраняемые за отрабатываемой лавой целиком шириной не менее 15 м, а затем погашаемые за смежной лавой;

пластовые выемочные горные выработки, проводимые в массиве на удароопасных и выбросоопасных пластах, а затем погашаемые за лавой;

пластовые выемочные выработки, проводимые в массиве и охраняемые, целиками, а затем погашаемые за смежной лавой на удароопасных и выбросоопасных пластах;

на пластах, склонных к горным ударам и выбросам угля и газа, ширина целиков определяется согласно действующим нормативным документам;

пластовые выемочные выработки, проводимые в массиве и охраняемые за отрабатываемой лавой разрушающимся в выработанном пространстве целиком угля шириной (2,5 - 3,0)m, где m - мощность пласта, а затем погашаемые за смежной лавой (для мощных пластов ширина целика принимается (2,5 - 3,0)h, где h - высота выработки, м);

пластовые выемочные выработки, проводимые в массиве, затем поддерживаемые на границе с выработанным пространством и погашаемые за смежной лавой;

пластовые выемочные выработки, проводимые за отрабатываемой лавой на расстоянии свыше 200 м или после отработки лавы вприсечку к выработанному пространству с защитной полосой угля шириной 2 - 3 м и погашаемые за смежной лавой;

пластовые монтажные рассечки (камеры), проводимые в массиве (в том числе по нижнему слою мощных пластов) и погашаемые за лавой;

разрезные печи, очистные камеры и заходки при системах разработки короткими забоями;

пластовые демонтажные камеры.

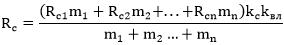
3. Расчетная ширина протяженных горных выработок принимается равной их максимальной фактической ширине в проходке. Расчетная ширина сопряжений пересекающихся горных выработок , м, определяется по формуле:

, (1)

где и - фактическая ширина пересекающихся горных выработок в проходке, м.

Расчетная ширина сопряжений с примыканием одной горной выработки к другой (основной), определяется по формуле:

, (2)

где - фактическая ширина основной более широкой горной выработки, м;

- фактическая ширина горной выработки, примыкающей к основной, м.

Если ширина сопряжения < 8 м, то к зоне сопряжения относятся также части примыкающих и пересекающихся выработок на протяжении равном 0,5 их ширины. Если ширина сопряжения 8 м, то к зоне сопряжения относятся также части примыкающих и пересекающихся выработок на протяжении равном их ширине. Расчетная высота горных выработок и сопряжений принимается равной их максимальной фактической высоте в проходке.

4. Расчетная глубина для сопряжений принимается равной фактической глубине от земной поверхности. Расчетная глубина для протяженных горизонтальных и наклонных горных выработок, участки которых находятся на разных отметках, отличающихся не более чем на 15%, принимается равной максимальной глубине. При большей разности отметок расчетная глубина горных выработок принимается по участкам с различными расчетными глубинами.

5. Расчетное сопротивление пород одноосному сжатию в массиве , МПа, следует определять отдельно для кровли и боков как усредненное по залегающим литологическим разностям, вмещающих горную выработку пород, в кровле - на высоту, равную ширине протяженных горизонтальных, наклонных горных выработок, равную B, где B - ширина выработки, м; на сопряжениях - на высоту, равную 1,5Bс, где - расчетная ширина сопряжения, м. В боках учитывается прочность пород, залегающих по высоте выработки или сопряжения.

Расчетное сопротивление пород определяется:

Для кровли ; (3)
Для кровли , (4)

где:

... - сопротивление сжатию слоев пород, МПа (при определении прочности пород по коэффициенту крепости f пересчет в МПа проводят по формуле R = 10f);

, ..., - мощности слоев пород, залегающих в кровле или в боках горной выработки, м;

- коэффициент, учитывающий нарушенность массива пород поверхностями без сцепления, либо с малой связностью. Коэффициент при отсутствии результатов по бурению с отбором керна принимается равным 0,9 для I и II типов кровли, 0,6 для III типа и 0,7 - 0,8 для IV типа кровли. При наличии результатов разведочного бурения при равным и более 30 МПа, определяется по таблице N 1 приложения. Для пород с менее 30 МПа определяется по таблице N 2 приложения.

Таблица N 1

Значения коэффициента при породах с равным и более 30 МПа

Среднее расстояние между поверхностями ослабления пород, м
Более 1,5 0,9
1,5 - 1,0 0,8
1,0 - 0,5 0,6
0,5 - 0,1 0,4
Менее 0,1 0,2

Таблица N 2

Значения коэффициента при породах с менее 30 МПа и в зонах тектонических нарушений

Характеристика места размещения выработки
Пликативные нарушения с радиусом более 300 м или дизъюнктивные - на расстоянии свыше ( - нормальная амплитуда нарушения до 10 м), то есть вне зоны влияния нарушений 0,9
Пликативные нарушения с радиусом менее 300 м или в зоне влияния дизъюнктивного нарушения на расстояниях от него до 0,6
Непосредственно в дизъюнктивных нарушениях на расстоянии от них менее , в том числе в замках тектонических нарушений 0,3

- коэффициент снижения сопротивления пород сжатию за счет воздействия влаги, указанный в таблице N 3 приложения, принимается в зависимости от прочности пород и учитывается только в случае длительного обводнения пород в горных выработках (более 6 месяцев), для остальных условий = 1.

Таблица N 3

Значения коэффициента

Сопротивление пород одноосному сжатию в образце , МПа 30 50 60 80 100 120 160 200
Значение коэффициента 0,4 0,5 0,6 0,7 0,75 0,82 0,86 0,9

При однородной кровле (I тип кровли), приведенной в таблице N 4 приложения, , определяется по формуле:

, (5)

где и - максимальное и минимальное сопротивление пород на одноосное сжатие в кровле на высоту B или , МПа.

6. Если в кровле горных выработок залегает слой прочных однородных пород с при соотношении , то расчет проводят по прочности этого слоя без учета пород, расположенных выше. При больших разбросах значений мощности слоев и их прочности необходимо принимать средние значения, если невозможно их уточнить.

Расчетное сопротивление пород кровли на одноосное сжатие в протяженных горных выработках следует считать одинаковым, если оно находится в пределах ± 30%. При этом принимается его минимальное значение. При изменении более чем на ± 30% последующий расчет параметров крепи ведется по отдельным участкам горной выработки.

7. При расчете сопротивления и длины анкеров, выделяют четыре типа кровли по обрушаемости, приведенные в таблице N 4 приложения.

Таблица N 4

Типы пород кровли по обрушаемости

I тип кровли II тип кровли III тип кровли IV тип кровли
Однородная кровля из слоистых преимущественно глинистых, песчано-глинистых и песчаных сланцев (аргиллитов и алевролитов),
()
Неоднородная кровля. Над непосредственной кровлей из слоистых сланцев мощностью от 0 до 0,3 В залегают массивные песчаники,
()
Однородная и неоднородная кровля, кровля с интенсивной кососекущей трещиноватостью в зонах тектонических пликативных и разрывных нарушений, кровля с неустойчивыми породами,
()
Пачки угля блестящего, полублестящего полуматового, матового,
()

8. При определении плотности установки анкеров, конструкции опор, затяжки, технологии крепления кровли при проходке, для всех типов кровли по обрушаемости, непосредственную кровлю над горными выработками и сопряжениями следует разделять на три класса по устойчивости, приведенные в таблице N 5 приложения.

Во всех классах устойчивость кровли оценивается за период проходческого цикла.

Таблица N 5

Классы пород кровли по устойчивости

I класс. Неустойчивая кровля II класс. Кровля средней устойчивости III класс. Устойчивая кровля
Обрушение кровли после обнажения на расстоянии от забоя до 1 м.
Преимущественно тонкослоистые и трещиноватые глинистые сланцы с
Сохранение устойчивости при обнажении кровли на расстоянии от забоя от 1 до 3 м.
Преимущественно слоистые малотрещиноватые глинистые и песчаные сланцы с , уголь с
Сохранение устойчивости кровли при обнажении на расстоянии от забоя свыше 3 м.
Преимущественно массивные нетрещиноватые песчаники с

II. ОСНОВНЫЕ РАСЧЕТНЫЕ ПОЛОЖЕНИЯ

10. Расчет параметров анкерной крепи и дополнительных средств ее усиления проводится в зависимости от интенсивности горного давления, определяемого с учетом размеров и глубины расположения горных выработок и сопряжений от поверхности, способа и параметров их охраны от влияния очистных работ, прочности, трещиноватости и устойчивости пород кровли.

11. В качестве критерия интенсивности горного давления для расчета крепи следует принимать расчетные смещения кровли. Методика определения расчетных смещений кровли для сопряжений и различных категорий протяженных горных выработок зависит от принятых, в соответствии с разделом I приложения, исходных данных для конкретных условий и приведена в приложениях N 14 и N 18 к Инструкции.

В условиях, где расчетные смещения кровли больше 300 мм, преимущественно при поддержании горных выработок на границе с выработанным пространством, проведении их вприсечку и охране разрушающимся целиком, расчет параметров анкерной крепи проводится для смещений кровли не более 300 мм. На часть смещений более 300 мм рассчитывается крепь усиления.

Параметры анкеров глубокого заложения, рассчитываются исходя из возможности "подвески" породной пачки, состоящей из слоев различной мощности и прочности к породам за пределами свода естественного равновесия или к мощному и крепкому слою породы, находящемуся на расстоянии 3 - 6 м и более, от кровли горной выработки.

12. При определении и выборе документации крепления в зависимости от расчетных смещений и от интенсивности проявлений горного давления выделяются следующие условия поддержания горных выработок:

небольшое горное давление, при смещениях кровли меньше 50 мм;

горное давление средней интенсивности, при смещениях кровли от 50 до 200 мм включительно;

интенсивное горное давление, при смещениях кровли более 200 мм.

13. Во всех условиях интенсивности горного давления плотность установки анкеров в кровле определяется по величине смещений, проверяется и увеличивается по фактору требуемой минимальной плотности установки анкеров. В зависимости от устойчивости непосредственной кровли в классе неустойчивой кровли не меньше 1 анк/м2, в классе среднеустойчивой кровли не меньше 0,7 анк/м2 и в классе устойчивой кровли не меньше 0,5 анк/м2.

14. Во всех горных выработках и сопряжениях при расчетных смещениях кровли больше 150 мм, для исключения перегрузок, анкеры и усиливающие поддерживающие крепи устанавливаются с податливыми или с демпфирующими податливыми элементами, сминающимися при нагрузках, достигающих 80% от несущей способности анкера.

Для анкеров с частичным закреплением по длине шпура, необходимая величина податливости составляет до 20 мм при смещениях 150 мм и до 35 мм при смещениях 300 мм, а закрепленных по всей длине от 15 до 25 мм. При смещениях свыше 50 мм в горных выработках и сопряжениях, в кровле которых залегает угольный пласт и породы, отнесенные к опасным по горным ударам и выбросам, устанавливают анкеры с податливостью не менее 50 мм.

III. РАСЧЕТ ПАРАМЕТРОВ КРЕПИ ВЫРАБОТОК И СОПРЯЖЕНИЙ, ПРОВОДИМЫХ И ПОДДЕРЖИВАЕМЫХ В МАССИВЕ ВНЕ ЗОНЫ ВЛИЯНИЯ ОЧИСТНЫХ РАБОТ

15. В условиях небольшого горного давления при расчетных смещениях кровли до 50 мм горные выработки и сопряжения на весь срок службы закрепляют анкерной крепью. Для I типа кровли сопротивление анкерной крепи и длину анкеров , устанавливаемых в проходческом забое, следует принимать по таблице N 6 приложения, где указывается общая длина анкеров с учетом их замковой части и выступающей в выработку части стержня. При ширине выработки от 8 до 12 м применять двухуровневую схему крепи (приложение N 4) с длиной анкеров первого уровня не менее 2,4 м.

Таблица N 6

Параметры крепи для I типа кровли

Расчетная ширина выработок и сопряжений в проходке, м Сопротивление анкерной крепи, кН/м2 Длина анкеров, м
3,0 35 1,6
3,5 40 1,7
4,0 45 1,8
4,5 50 2,0
5,0 55 2,2
5,5 60 2,4
6,0 65 2,6
6,5 70 2,8
7,0 75 3,0
8,0 80 3,2

При II типе кровли сопротивление анкерной крепи следует принимать как для I типа кровли, а длину анкеров меньше с учетом мощности непосредственной кровли и глубины закрепления анкеров в устойчивых прочных породах более или равной 0,5 м в соответствии с таблицей N 7 приложения, где при ширине выработки от 8 до 12 м следует применять двухуровневую схему крепи (приложение N 4) с длиной анкеров первого уровня не менее 2,0 м.

Таблица N 7

Параметры крепи для II типа кровли

Расчетная ширина выработок и сопряжений в проходке, м Сопротивление анкерной крепи, кН/м2 Длина анкеров, м
3,0 35 1,4 1,5
3,5 40 1,5 1,6
4,0 45 1,6 1,7
4,5 50 1,7 1,8
5,0 55 1,8 2,0
5,5 60 1,9 2,1
6,0 65 2,0 2,2
6,5 70 2,1 2,3
7,0 75 2,2 2,4
8,0 80 2,4 2,6

При III типе кровли и принимать в соответствии с таблицей N 8 приложения, где при ширине выработки от 8 до 12 м следует применять двухуровневую схему крепи (приложение N 4) с длиной анкеров первого уровня не менее 2,4 м.

Таблица N 8

Параметры крепи для III типа кровли

Расчетная ширина выработок и сопряжений в проходке, м Сопротивление анкерной крепи, кН/м2 Длина анкеров, м
3,0 40 1,8
3,5 45 2,0
4,0 50 2,0
4,5 55 2,2
5,0 60 2,4
5,5 65 2,6
6,0 71 2,8
6,5 77 3,0
7,0 83 3,3
8,0 90 3,6

При IV типе кровли и принимать в соответствии с таблицей N 9 приложения, где при ширине выработки от 8 до 12 м следует применять двухуровневую схему крепи (приложение N 4) с длиной анкеров первого уровня не менее 2,4 м.

Таблица N 9

Параметры крепи для IV типа кровли

Расчетная ширина выработок и сопряжений в проходке, м Сопротивление анкерной крепи, кН/м2 Длина анкеров, м
3,0 40 1,9
3,5 45 2,1
4,0 50 2,3
4,5 55 2,5
5,0 60 2,7
5,5 65 2,9
6,0 70 3,2
6,5 75 3,5
7,0 80 3,8
7,5 85 4,1
8,0 90 4,5

Если мощность угольной пачки в кровле составляет 1,5 - 2,5 м, то длину анкеров принимают равной мощности угольной пачки плюс 0,6 м.

16. В условиях горного давления средней интенсивности при расчетных смещениях кровли до 300 мм, в горных выработках и сопряжениях, охраняемых целиками шириной более 0,1H м, их крепление и поддержание в течение всего срока службы следует производить одной анкерной крепью с параметрами и :

при I типе кровли в соответствии с номограммой, приведенной на рисунке 1 приложения;

при II типе кровли принимать в соответствии с номограммой на рисунке 1 приложения, а длину анкеров принимать в соответствии с таблицей N 7 приложения;

при III типе кровли сопротивление крепи и длину анкеров принимать на 10% больше рассчитанных по номограмме рисунка 1 приложения;

при IV типе кровли сопротивление крепи и длину анкеров принимать на 20% больше рассчитанных по номограмме рисунка 1 приложения.

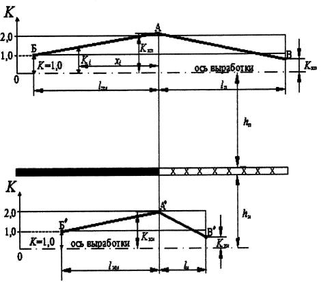
Рис. 1. Номограмма для определения параметров анкерной крепи в кровле горной выработки (пунктирной линией показан ключ к определению и по расчетным значениям ), при параметрах, выходящих за область действия данной номограммы, применять двухуровневую схему крепи, по приложению N 4 к Инструкции

17. В I и III типах кровли, при увеличении сопротивления анкерной крепи по сравнению с указанными в пунктах 15 и 16 приложения, длину анкеров можно уменьшить за счет повышения плотности установки анкеров на 10% при 1,3 и на 20% при 1,5. При этом минимальная длина анкеров равна 0,35B при I типе и 0,4B при III типе кровли.

IV. РАСЧЕТ ПАРАМЕТРОВ КРЕПИ ДЛЯ МАГИСТРАЛЬНЫХ ВЫРАБОТОК И СОПРЯЖЕНИЙ, ПОДДЕРЖИВАЕМЫХ В ЗОНЕ ОПОРНОГО ДАВЛЕНИЯ ПРИ ШИРИНЕ ЦЕЛИКОВ БОЛЬШЕ 0,05H, НО НЕ МЕНЕЕ 15 МЕТРОВ

18. В условиях небольшого горного давления при расчетных смещениях кровли до 50 мм крепление и поддержание всех горных выработок и сопряжений проводится одной анкерной крепью, устанавливаемой в проходческом забое с параметрами сопротивления анкерной крепи и длины анкеров , аналогично пункту 15 приложения в соответствии с таблицами N 6 - 9.

19. В условиях горного давления средней интенсивности крепление и поддержание всех горных выработок и сопряжений следует производить одной анкерной крепью. При расчете анкерной крепи по смещениям за весь срок службы параметры анкеров и принимать в соответствии с пунктами 16 и 17 приложения.

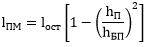
20. При смещениях , в I, III и IV типах кровли применять анкеры, устанавливаемые при проходке с и , рассчитанными по смещениям кровли до влияния очистных работ, с последующим усилением на расстоянии до лавы 0,1H анкерной крепью с параметрами и , равными:

; (6)

, (7)

где и - сопротивление анкерной крепи и длина анкеров по расчетным смещениям кровли на весь срок службы выработки.

21. При смещениях кровли, превышающих 300 мм, возможно крепление горной выработки анкерами в два уровня. и анкеров нижнего уровня принимаются по рисунку N 1 приложения, исходя из расчетных смещений кровли до начала влияния первой лавы или по принятым смещениям равным U = 150 - 200 мм.

Анкеры верхнего уровня (глубокого заложения) устанавливаются вслед за анкерами нижнего уровня при проходке горной выработки или позже на расстоянии до лавы 0,1H.

22. При расчете параметров анкеров верхнего уровня ожидаемое давление пород свода на крепь обоих уровней на 1 погонный метр длины горной выработки , кН/м, определяется по формуле:

, (8)

где:

- расчетная ширина горной выработки, являющейся основанием свода давления пород кровли, м (рассчитывается согласно приложению N 4);

- объемный вес пород кровли горной выработки, кН/м3;

- высота свода естественного равновесия пород над горной выработкой, м, определяется по формуле:

, (9)

где - коэффициент свода, определяемый по таблице N 1 приложения N 4.

Расчетное удельное давление пород свода на крепь , кН/м2, определяется по формуле:

, (10)

Ожидаемое удельное давление пород свода на крепь верхнего уровня , кН/м2, определяется по формуле:

, (11)

где - сопротивление анкерной крепи нижнего уровня, определяемое, как и сопротивление анкерной крепи , пункт 21 приложения;

- коэффициент разгрузки анкеров глубокого заложения анкерами нижнего уровня, равен:

, (12)

где - активная длина анкера нижнего уровня без выступающей части, м.

Длина анкера верхнего уровня определяется по формуле 16 в приложении N 4.

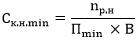
Необходимая плотность установки анкеров глубокого заложения , анк/м2, определяется по формуле:

, (13)

где - несущая способность одного анкера, кН.

Анкеры глубокого заложения (верхнего уровня) устанавливаются между рядами анкеров нижнего уровня.

Количество анкеров верхнего уровня в ряду , определяется по формуле:

, (14)

где - расстояние между рядами анкеров верхнего уровня, м.

Принцип расположения анкеров глубокого заложения представлен в пунктах 18 - 20 приложения N 4. Необходимая величина закрепления анкеров глубокого заложения в скважине не менее 1,1 м.

V. РАСЧЕТ ПАРАМЕТРОВ КРЕПИ ДЛЯ ВЫЕМОЧНЫХ ВЫРАБОТОК, ПОГАШАЕМЫХ ЗА ЛАВОЙ

23. В условиях небольшого и средней интенсивности горного давления крепление и поддержание кровли горных выработок проводится одной анкерной крепью с и , принимаемыми:

при смещениях кровли к моменту погашения горной выработки до 50 мм аналогично пункту 15 приложения;

при смещениях больше 50 мм аналогично пунктам 16 и 17 приложения.

24. В условиях, где расчетные смещения кровли в продолжение всего срока службы превышают 100 мм, при I, III и IV типах кровли, параметры анкерной крепи определяются по расчетным смещениям кровли горной выработки до влияния опорного давления погашающей лавы . На расстоянии до лавы 0,1H проводить установку анкеров усиления с и по пункту 20 приложения. Параметры сопротивления и длины анкерной крепи определяются расчетными смещениями кровли в продолжение всего срока службы горной выработки , или проводится усиление установкой в средней части горной выработки податливых стоек с сопротивлением , кН/м2, равным:

, (15)

где - требуемое, по рисунку 1 приложения, сопротивление анкерной крепи по расчетным смещениям кровли при погашении горных выработок, кН/м2;

- сопротивление установленной при проходке анкерной крепи, кН/м2.

25. В условиях проявлений горного давления, обозначенных в пункте 24, крепление горной выработки осуществляется установкой анкерной крепи по двухуровневой схеме, с расчетом параметров согласно пунктам 21 и 22 приложения. Расчетная ширина горной выработки определяется согласно приложению N 4.

VI. РАСЧЕТ ПАРАМЕТРОВ КРЕПИ ДЛЯ ВЫЕМОЧНЫХ ВЫРАБОТОК, ОХРАНЯЕМЫХ ЦЕЛИКОМ ШИРИНОЙ НЕ МЕНЕЕ 15 МЕТРОВ, А ЗАТЕМ ПОГАШАЕМЫХ ЗА СМЕЖНОЙ ЛАВОЙ

26. В условиях небольшого и средней интенсивности горного давления и расчетных смещений в течение всего срока службы при I, III и IV типах кровли до 100 мм, II типа кровли до 200 мм крепление и поддержание горной выработки производится анкерной крепью с и , принимаемыми:

при смещениях меньше 50 мм согласно пункту 15 приложения;

при смещениях больше 50 мм согласно пунктам 16 и 17 приложения.

27. В условиях, где при I, III и IV типах кровли расчетные смещения в продолжение всего срока службы превышают 100 мм, при II типе - 200 мм, применяется комбинированная крепь. Анкерная крепь, устанавливаемая при проходке горных выработок, имеет параметры и , определяемые расчетными смещениями до влияния отрабатываемой лавы согласно пункту 20. При этом, на расстоянии до лавы равному десяти процентам глубины ведения горных работ - 0,1H, крепь усиливается податливыми стойками с сопротивлением, принимаемым аналогично пункту 24 приложения.

28. При условиях, аналогичных пункту 27 приложения, вместо дополнительных стоек усиления может применяться анкерная крепь в два уровня с расчетом ее параметров по аналогии с пунктами 21, 22, 25. Расчетная ширина выработки определяется согласно приложению N 4.

VII. РАСЧЕТ ПАРАМЕТРОВ КРЕПИ ДЛЯ ВЫЕМОЧНЫХ ГОРНЫХ ВЫРАБОТОК, ОХРАНЯЕМЫХ ЦЕЛИКОМ ШИРИНОЙ 2,5 - 3,0 М, А ЗАТЕМ ПОГАШАЕМЫХ ЗА СМЕЖНОЙ ЛАВОЙ

29. При I, III и IV типах кровли, со смещениями кровли до 300 мм, в проходческом забое устанавливается анкерная крепь с и , определяемыми по расчетным смещениями кровли , до влияния первой лавы и усиливается податливыми стойками или анкерной крепью с параметрами, определяемыми аналогично пунктам 19 и 24 приложения с расчетными смещениями кровли 300 мм. При этом стоечная и анкерная крепи усиления устанавливаются на расстоянии 0,1H перед первой лавой и сохраняются до конца срока службы горной выработки.

30. При II типе кровли в условиях, где < 100 мм, а затем смещения превышают 300 мм, крепление и поддержание горных выработок проводится анкерной крепью с сопротивлением и длиной анкеров, принимаемыми по номограмме рисунка 1 приложения при U = 300 мм. Устанавливаемая при проходке анкерная крепь усиливается податливыми стойками с параметрами, определяемыми по пункту 29 приложения.

31. В выемочных горных выработках, охраняемых целиком шириной (2,5 - 3,0)m, а затем погашаемых за смежной лавой, крепление кровли анкерной крепью по двухуровневой схеме позволяет не применять стойки усиления. Параметры крепи рассчитываются аналогично пунктам 21 и 22. При этом в формуле 8 приложения расчетная ширина выработки , определяется по формуле:

, (16)

где равно 0,6 - 0,8 м. Величина выражает размер возможного разрушения боков горной выработки (отжима угля), подставив ее в формулу 8 приложения, получим:

, (17)

Далее расчет ведется по методике, изложенной в пункте 22 приложения.

VIII. РАСЧЕТ ПАРАМЕТРОВ КРЕПИ ДЛЯ ВЫЕМОЧНЫХ ГОРНЫХ ВЫРАБОТОК, ПОДДЕРЖИВАЕМЫХ НА ГРАНИЦЕ С ВЫРАБОТАННЫМ ПРОСТРАНСТВОМ

32. В выработках, поддерживаемых на границе с выработанным пространством, необходимо применять комбинированную крепь, состоящую из анкерной крепи, податливых стоек, усиливающей и посадочно-защитной крепи, устанавливаемой за отрабатываемой лавой для управления сдвижением и обрушением основной кровли с параметрами, определяемыми максимальными смещениями кровли, равными 300 мм, перед погашением горных выработок смежной лавой.

33. Анкерная крепь применяется в трех вариантах:

вариант 1 - с параметрами при проходке и ., определяемыми расчетными смещениями кровли до влияния первой лавы аналогично пунктам 15 - 17 приложения;

вариант 2 - с параметрами при проходке и , определяемыми расчетными смещениями кровли до влияния первой лавы аналогично пунктам 15 - 17 приложения и усиливаемой на расстоянии до лавы 0,1H дополнительной анкерной крепью с параметрами, определяемыми максимальным смещением кровли перед погашением горной выработки смежной лавой, равными 300 мм аналогично пункту 19 приложения;

вариант 3 - с установкой анкерной крепи в два уровня с параметрами, определяемыми по пунктам 21, 22 приложения.

34. Если параметры анкерной крепи приняты по смещениям кровли до влияния первой лавы (вариант 1), то перед ней на расстоянии 0,1H следует устанавливать податливые стойки с сопротивлением, аналогично пункту 24 приложения по смещениям . В дальнейшем за сопряжением первой лавы на расстоянии 100 - 120 м и перед второй погашающей лавой на расстоянии 50 - 60 м сопротивление податливых усиливающих стоек следует принимать в соответствии с таблицей N 10 приложения.

35. Если параметры анкерной крепи приняты по варианту 2, то податливые усиливающие стойки устанавливают только на участках интенсивного сдвижения и обрушения основной кровли за первой и перед второй лавами с сопротивлением в соответствии с таблицей N 10 приложения.

36. Сопротивление посадочно-защитной крепи, которую необходимо устанавливать вслед за подвиганием лавы, принимают с учетом ее податливости в соответствии с таблицей N 11 приложения.

Таблица N 10

Сопротивление усиливающих стоек

Тип кровли Сопротивление усиливающей крепи, кН/м при ширине выработки в проходке, м
3,0 4,0 5,0 6,0
I 300 400 500 600
II 200 300 400 500
III 300 400 500 600
IV 350 450 550 650

37. При установке анкерной крепи в два уровня расчет ее параметров проводится по пункту 31 приложения. Величина рассчитывается по формуле 16 приложения. Параметры крепи нижнего уровня рассчитываются по смещениям кровли в соответствии с рисунком N 1 приложения за период до влияния первой лавы или с ее влиянием. Стойки усиления в зонах опорного давления первой и второй лав не ставятся, однако вслед за подвиганием первой лавы необходимо устанавливать на границе с выработанным пространством двухрядную органную крепь из деревянных стоек с сопротивлением, сниженным вдвое по сравнению с данными таблицы N 11. Если стойки органной крепи обеспечивают устойчивость бока горной выработки, то посадочно-защитные тумбы не устанавливаются.

38. При поддержании горных выработок на границе с выработанным пространством, на пластах мощностью больше 3 м и расчетных смешениях до отрабатываемой лавы больше 200 мм параметры крепи необходимо принимать по результатам проведения научно-исследовательских работ с последующим консультационно-методическим сопровождением документации крепления.

Таблица N 11

Сопротивление посадочно-защитной крепи

Тип кровли Сопротивление крепи , кН/м, при мощности пласта, м
Ограниченно податливая (тумбы, органная, кусты из стоек без деревянных лежней и верхняков) Податливая (органная, кусты из стоек на деревянных лежнях и под верхняки)
  до 1,5 м 1,5 - 2,0 м 2,0 - 3,0 м до 1,5 м 1,5 - 2,0 м 2,0 - 3,0 м
I 3000 4000 5000 4500 1500 2000 2500
II 4000 4000 5500 2000 2500 3000
III 3000 4500 4500 1500 2000 2500
IV 3500   5000 2000 2500 3000

IX. РАСЧЕТ ПАРАМЕТРОВ КРЕПИ ДЛЯ КРОВЛИ ГОРНЫХ ВЫРАБОТОК, ПРОВОДИМЫХ ВПРИСЕЧКУ К ВЫРАБОТАННОМУ ПРОСТРАНСТВУ

39. В пластовых горных выработках, проводимых вприсечку к выработанному пространству за зоной обрушения и сдвижения основной кровли на расстоянии свыше 200 м от забоя отрабатываемой лавы или не менее чем через 3 месяца после отработки лавы с оставлением защитной полосы угля шириной 2 - 4 м и погашением за смежной лавой, в условиях горного давления средней интенсивности крепление и поддержание допускается производить анкерной крепью с параметрами сопротивления крепи, длины и податливости анкеров, принимаемыми по расчетным смещениям кровли в продолжение всего срока службы горной выработки аналогично пункту 16 приложения.

40. В условиях интенсивного горного давления при расчетных смещениях до 300 мм, крепление и поддержание присечных горных выработок, закрепленных при проходке анкерной крепью, которая определена по расчетным смещениям за период до влияния погашающей лавы в соответствии с пунктом 16, проводится с усилением дополнительной анкерной крепью или податливыми стойками на расстояниях 0,1H до погашающей лавы, с параметрами, принятыми в соответствии с пунктами 19, 24 приложения.

41. В условиях интенсивного горного давления крепление горных выработок анкерной крепью в два уровня с расчетом параметров по методикам, приведенным в пунктах 21, 22 приложения, величина определяется согласно приложению N 4.

42. При расчетных смещениях кровли больше 300 мм параметры крепления присечных горных выработок принимать по результатам проведения научно-исследовательских работ с последующим консультационно-методическим сопровождением документации крепления.

X. РАСЧЕТ ПАРАМЕТРОВ КРЕПИ В МОНТАЖНЫХ КАМЕРАХ ШИРИНОЙ ДО 6,0 МЕТРОВ

43. В монтажных камерах, закрепленных одной анкерной крепью, устанавливаемой в проходческом забое, при I, II и III типах кровли и всех величинах расчетных смещений, и определяются:

при смещениях меньше 50 мм по пункту 15 приложения;

при смещениях больше 50 мм по пунктам 16, 17 приложения.

При определении и необходимо учитывать, что по всей длине камеры они будут одинаковыми и определяются смещениями только в случае охраны штрека целиком шириной более 0,1H. В остальных случаях - при охране штрека целиком шириной менее 0,1H, при проведении его вприсечку, при поддержании на границе с выработанным пространством для различных участков камеры на расстоянии от отработанной лавы менее 0,1H, и принимаются с учетом влияния очистных работ по расчетным смещениям кровли , определяемым по формуле:

, (18)

где - расчетное смещение кровли горной выработки, в зависимости от способа охраны. при охране целиком шириной больше 15 м и = 300 мм при охране целиком шириной (2,5 - 3,0)m, при проведении вприсечку или поддержании на границе с выработанным пространством.

44. В условиях, где не обеспечивается устойчивость монтажной камеры при расчете параметров крепи по пункту 43, а также для уменьшения трудоемкости и увеличения скорости проходки, допускается применение документации крепления с сопротивлением анкерной крепи не менее 50 кН/м2, установкой ее в проходческом забое с длиной анкеров 0,3B и плотностью в соответствии с пунктом 13 приложения, с усилением на расстоянии от забоя не более 20 м, податливыми стойками с сопротивлением не менее 60 кН/м2, определяемым в соответствии с пунктом 24 приложения, и смещениями, рассчитанными по пункту 43 приложения.

45. Во всех условиях устойчивости монтажной камеры допускается ее крепление по двухуровневой схеме в соответствии с параметрами, рассчитываемыми по методике, представленной в приложении N 4, кроме особо сложных условий.

Приложение N 2
к Федеральным нормам и правилам
в области промышленной безопасности
"Инструкция по расчету и применению
анкерной крепи на угольных шахтах",
утвержденным приказом Федеральной службы
по экологическому, технологическому
и атомному надзору
от 19 ноября 2020 г. N 448

РАСЧЕТ ПАРАМЕТРОВ КРЕПИ ДЛЯ БОКОВ ВЫРАБОТОК И СОПРЯЖЕНИЙ

1. Наряду с указанными исходными данными в пункте 1 приложения N 1 при расчете параметров анкерной крепи для боков горных выработок и сопряжений необходимо учитывать расчетную высоту горной выработки h, принимаемую равной фактической максимальной высоте в проходке. Расчетное сопротивление на сжатие слоев пород и пласта определяются в соответствии с пунктом 5 приложения N 1.

2. Определение необходимости установки анкерной крепи в боках горных выработок и сопряжений, расчет параметров крепи, принимается в зависимости от степени относительной напряженности пород и пласта, расположенных в боках выработки, рассчитываемой по формуле:

, (1)

где:

- средний объемный вес пород, принимаемый равным 0,025, МН/м3;

H - глубина расположения сопряжений, горных выработок или их участков от поверхности, м;

- расчетное сопротивление слоев, пласта и пород в боках на сжатие, определяемое исходя из результатов испытаний образцов по формуле 4 приложения N 1, МПа;

- коэффициент концентрации напряжений в боках от проходки горных выработок и сопряжений.

принимается равным 1,5 для горных выработок, равным 2,0 для сопряжений с пересекающимися горными выработками и равным 1,8 для сопряжений с примыкающей горной выработкой;

- коэффициент увеличения напряжений в боках горных выработок и сопряжений от других горных выработок.

при l 15 м равен 1, а при l < 15 м, определяется по формуле:

, (2)

где:

l - расстояние до влияющей горной выработки, м;

- коэффициент увеличения напряжений в боках горных выработок и сопряжений при расположении их в зоне влияния опорного давления от очистных работ.

при > 0,1 H равен 1, а при ширине целика менее 0,1H, определяется по формуле:

, (3)

где - максимальное значение коэффициента увеличения напряжений в боках выработок и сопряжений при расположении их в зоне влияния опорного давления от очистных работ. принимается равным 2 при I, III и IV типах кровли и равным 3 при II типе кровли.

3. В условиях, где напряжения в боках меньше расчетного сопротивления сжатию всех пород и угля в боках (), крепление боков анкерной крепью не предусматривается за исключением острых углов сопряжений, особенно в капитальных горных выработках с длительным сроком службы (> 5 лет), где необходимо устанавливать анкеры длиной 1,0 - 1,2 м с сопротивлением 10 - 15 кН/м2.

4. В условиях, где напряжения в боках превышают расчетное сопротивление сжатию наиболее слабых пород (угля) общей мощностью до 1,5 м, установку анкерной крепи проводят без расчета, с параметрами равным 20 кН/м2 и равным 1,5 м. На острых углах сопряжений в капитальных горных выработках с длительным сроком службы сопротивление крепи и длину анкеров необходимо увеличить в 1,5 раза, а расстояние между рядами анкеров принимать равным 1,0 - 1,2 м.

5. В условиях, где напряжения в боках превышают расчетное сопротивление сжатию пород (угля) общей мощностью более 1,5 м, бока горных выработок и сопряжений, прочность пород которых определяется по формуле 2 приложения N 1, необходимо закреплять анкерной крепью с параметрами и , определяемыми по номограмме рисунка 1 приложения. На острых углах сопряжений сопротивление крепи необходимо увеличить в 1,5 раза.

Рис. 1. Номограмма для определения параметров анкерной крепи в боках горной выработки (пунктирной линией показан ключ к определению и по расчетным значениям )

6. Для надежного поддержания угольного целика шириной (2,5 - 3,0)m и защитной полосы угля в присечных горных выработках во всех условиях необходимо устанавливать анкерную крепь с закреплением по всей длине скважин (шпура) с длиной анкеров, равной 2,5 м, сопротивлением 80 кН/м2.

7. При проходке горных выработок и сопряжений на пластах склонных к горным ударам и внезапным выбросам угля (породы) и газа, для исключения перегрузки, анкеры должны иметь конструктивную податливость 40 - 50 мм или демпфирующие податливые элементы.

Приложение N 3
к Федеральным нормам и правилам
в области промышленной безопасности
"Инструкция по расчету и применению
анкерной крепи на угольных шахтах",
утвержденным приказом Федеральной службы
по экологическому, технологическому
и атомному надзору
от 19 ноября 2020 г. N 448

РАСЧЕТ СМЕЩЕНИЙ ПОРОД И ВЫБОР СПОСОБОВ ПРОВЕДЕНИЯ И КРЕПЛЕНИЯ ШИРОКИХ ВЫРАБОТОК

I. ИСХОДНЫЕ ДАННЫЕ И РАСЧЕТНЫЕ ПОЛОЖЕНИЯ

1. Область действия распространяется на горные выработки шириной в проходке до 12 м, при следующих способах их охраны от влияния очистных работ:

вне влияния очистных работ при ширине охранных угольных целиков больше 0,1H, но не менее 30 м;

в зоне влияния очистных работ с шириной охранного целика более 15 м, но не менее 0,1H.

2. В зависимости от характеристики пород кровли и ширины проводимой горной выработки возможны три схемы их проведения:

схема I - проведение горной выработки сразу на полную ширину B с величиной заходки не менее шага установки крепи C (расстояние между рядами анкеров);

схема II - проведение горной выработки двумя заходками с разделением ее ширины на две части ( и );

схема III - поэтапное проведение широкой горной выработки.

Для I и II схем должно выполняться условие:

, (1)

где:

- площадь проводимой заходки, м2;

- площадь устойчивого обнажения пород кровли, зависящая от класса пород кровли по устойчивости, определяемого по таблице N 5 приложения N 1, имеет следующие значения:

I класс, неустойчивые породы - ;

II класс, породы средней устойчивости - ;

III класс, устойчивые породы - .

Величина регламентируется документацией крепления горной выработки с учетом шага установки крепи.

Для схемы I необходимо выполнение условия:

, (2)

Для схемы II необходимо выполнить условие:

(3)

I и II схемы проведения горной выработки показаны на рисунке 1 приложения.

При III схеме широкая горная выработка проводится в два этапа. На первом этапе она проводится и крепится на всю длину. На втором проводится присечка и горная выработка расширяется до проектной ширины.

3. Исходными данными при расчете показателей проявлений горного давления для определения параметров анкерной крепи широких горных выработок являются следующие:

условия проходки, охраны и поддержания горной выработки;

срок службы горной выработки t, год;

расчетная глубина размещения горной выработки от поверхности H, м;

тип строения пород кровли и их устойчивость;

мощность слоев пород , , ..., , на высоту равную ширине горной выработки B, м;

сопротивление одноосному сжатию каждого слоя пород кровли и боков горной выработки , МПа;

нарушенность пород трещиноватостью ;

направление проходки горной выработки (в крест простирания пород, по простиранию, под углом);

ширина и высота горной выработки в проходке B и h, м;

расстояние до других горных выработок l, м;

количество заходок и их ширина , , ..., ;

расстояние до очистных работ, , м;

характеристика крепи (несущая способность анкеров, тип затяжки, подхватов).

I  
а б
II  
в

Рис. 1. Технологические схемы проведения горной выработки на полную ширину B: а) - с величиной заходки равной C; б) - с величиной заходки равной 2C, в) - с разделением ширины горной выработки на две заходки и .

Основные перечисленные исходные данные, необходимые для расчета смещений пород в горных выработках, определяются и принимаются в соответствии с положениями раздела I приложения N 1 к Инструкции.

II. ПОРЯДОК РАСЧЕТА, ОПРЕДЕЛЕНИЕ СМЕЩЕНИЙ ПОРОД И ОЦЕНКА ИНТЕНСИВНОСТИ ГОРНОГО ДАВЛЕНИЯ

4. На основе геологических данных определяется тип пород по строению, обрушаемости и устойчивости согласно разделу I приложения N 1 к Инструкции. По формулам 3 и 4 приложения N 1 к Инструкции определяются расчетные сопротивления сжатию пород кровли и боков горной выработки. По изложенным требованиям раздела I приложения рассчитываются устойчивые пролеты кровли в заходках и определяется количество заходок. Рассчитываются смещения пород кровли в широкой горной выработке и в ее заходках. С учетом интенсивности проявлений горного давления выбирается вид крепи и определяются ее параметры.

5. Величину расчетных смещений пород кровли широких горных выработок, проводимых и поддерживаемых в продолжение всего срока службы вне влияния очистных работ или отделенных от них целиком шириной не менее 0,1H, определяют по формуле:

, (4)

где:

- типовые смещения кровли в горных выработках с анкерной крепью, определяемые в зависимости от глубины H и расчетного сопротивления пород в кровле одноосному сжатию по номограмме рисунка 2 приложения N 3, где смещения показаны для условий при B = 5 м, = 1, = 1, = 1, = 1;

- коэффициент, учитывающий направление проходки горных выработок, принимаемый равным 1,0 при проведении их по простиранию пород и равным 0,7 при проведении в крест простирания. При проведении горных выработок под углом к простиранию значение = 0,7 - 1,0;

Рис. 2. Типовые смещения кровли в массиве при ширине горной выработки B = 5 м и расчетном сопротивлении пород кровли одноосному сжатию , МПа.

- коэффициент, учитывающий влияние смежных параллельных горных выработок, принимаемый равным 1,0 при расстояниях от них l 15 м, а при l < 15 м, определяемый по формуле:

, (5)

- коэффициент, учитывающий отличие ширины проводимой горной выработки от B = 5 м, принимаемый равным:

, (6)

- коэффициент, учитывающий степень связывания и упрочнения пород за счет принимаемой длины закрепления стержня анкера в скважине (шпуре) скрепляющим составом:

при длине закрепления 0,5 м, = 1,0;

при длине 1,0 м = 0,85; по всей скважине (шпуре) = 0,75.

При проведении горной выработки двумя заходками с разделением ее ширины на две части и , рисунок 1 приложения, величину расчетных смещений кровли в каждой заходке определяют по формуле 4 приложения, принимая значение по общей ширине горной выработки.

6. В горных выработках, проводимых в массиве и поддерживаемых в зоне влияния очистных работ с шириной охранного целика менее 0,1H, величина расчетных смещений кровли определяется по формуле:

, (7)

где:

- смещение кровли горной выработки в зоне влияния очистных работ, определяемое в зависимости от , H и по номограмме рисунка 3 приложения;

- коэффициент, учитывающий обрушаемость основной кровли, принимаемый для легкообрушающейся кровли - 0,8, среднеообрушающейся - 1,0 и труднообрушающейся - 1,2.

Остальные входящие в формулу 7 приложения параметры указаны в расшифровке формулы 4 приложения.

7. На основании расчетной величины смещений пород кровли горных выработок за весь срок службы производится оценка условий их поддержания по интенсивности проявлений горного давления, таблица N 1 приложения.

8. Конструкцию анкерной крепи широких горных выработок выбирают в зависимости от категории интенсивности проявлений горного давления, определяемой величиной смещений кровли, таблица N 1 приложения.

9. В условиях I категории интенсивности горного давления при породах кровли II типа по обрушаемости крепление широких горных выработок осуществляется сталеполимерной анкерной крепью с металлической сварной решеткой и подхватами с установкой анкеров в один уровень. Анкеры работают по схеме "подвешивания" пород непосредственной кровли к вышележащим прочным породам.

10. Анкерную крепь устанавливают в два уровня в условиях I категории интенсивности горного давления (при наличии I и III типах кровли по обрушаемости), II и III категории интенсивности проявления горного давления.

III. ВЫБОР КОНСТРУКЦИИ АНКЕРНОЙ КРЕПИ ШИРОКИХ ВЫРАБОТОК И СПОСОБА ИХ КРЕПЛЕНИЯ

Рис. 3. Смещение кровли в массиве при охране выработок целиками в зоне очистных работ. - расчетное сопротивление пород кровли сжатию; - ширина целика

Таблица N 1

Категории интенсивности проявлений горного давления в горных выработках

Категория интенсивности проявления горного давления Условия поддержания горных выработок по интенсивности проявления горного давления Расчетные смещения пород кровли горных выработок, мм
I Небольшое горное давление До 50
II Горное давление средней интенсивности От 50 до 200
III Интенсивное горное давление Свыше 200

11. При I категории интенсивности проявления горного давления, слоистых породах кровли II типа по обрушаемости крепление осуществляется анкерами первого уровня с формированием несущей породной конструкции в виде балки или плиты.

IV. АНКЕРЫ ГЛУБОКОГО ЗАЛОЖЕНИЯ, ОБЛАСТЬ ПРИМЕНЕНИЯ, ТЕХНИЧЕСКИЕ ХАРАКТЕРИСТИКИ И ТЕХНОЛОГИЯ УСТАНОВКИ

12. Областью применения анкеров глубокого заложения на шахтах является: упрочнение кровли монтажных и демонтажных камер, крепление сопряжений горных выработок, усиление сопряжений лавы с горными выработками, крепление горных выработок, сохраняемых на границе с выбранным пространством, усиление крепи ранее пройденных горных выработок, крепление подвесных монорельсовых дорог.

13. Анкеры глубокого заложения закрепляются в шпуре ампулами на основе минеральных композиций (далее - АМК), полиэфирных смол, нагнетанием полимерных смол или минеральных композиций.

Анкеры глубокого заложения устанавливают под опорные плиты размерами 180 x 180 x 8 - 10, 250 x 250 x 8 - 10, 300 x 300 x 8 - 10 мм или отрезки специального взаимозаменяемого профиля N 17...40 (далее - СВП-17...40) или "бесконечный" подхват из СВП 17...40. Кровля полностью перетягивается решетчатой затяжкой.

Приложение N 4
к Федеральным нормам и правилам
в области промышленной безопасности
"Инструкция по расчету и применению
анкерной крепи на угольных шахтах",
утвержденным приказом Федеральной службы
по экологическому, технологическому
и атомному надзору
от 19 ноября 2020 г. N 448

РАСЧЕТ ПАРАМЕТРОВ АНКЕРНОЙ КРЕПИ ГОРНЫХ ВЫРАБОТОК ШИРИНОЙ 6 - 12 МЕТРОВ

I. ОПРЕДЕЛЕНИЕ ПАРАМЕТРОВ АНКЕРНОЙ КРЕПИ ПЕРВОГО УРОВНЯ ПРИ I КАТЕГОРИИ ИНТЕНСИВНОСТИ ГОРНОГО ДАВЛЕНИЯ

1. Для условий I категории интенсивности проявлений горного давления, при породах II-го типа по обрушаемости крепление широких горных выработок осуществляется анкерной крепью в один уровень. Сопротивление анкерной крепи и длина анкеров, устанавливаемых в один уровень, определяются по таблице N 7 приложения N 1 к Инструкции.

2. В условиях I категории интенсивности горного давления при I, III и IV типах пород кровли, анкерную крепь следует устанавливать в два уровня, параметры крепи первого уровня принимаются: длина анкера не менее 2,4 м, плотность установки анкеров не менее 1 анкера на м2.

3. При наличии в кровле горной выработки мощного угольного слоя на высоту не менее 0,8B анкерную крепь устанавливают в два уровня, параметры крепи первого уровня определяются по номограмме рисунка 1 приложения.

II. РАСЧЕТ ПАРАМЕТРОВ АНКЕРНОЙ КРЕПИ ПЕРВОГО УРОВНЯ ПРИ II И III КАТЕГОРИЯХ ИНТЕНСИВНОСТИ ПРОЯВЛЕНИЙ ГОРНОГО ДАВЛЕНИЯ

4. Расчетное удельное давление пород кровли на анкерную крепь первого уровня , кН/м2, создаваемое весом пород непосредственной кровли, определяется по формуле:

,

где - активная длина анкера первого уровня (без выступающей части), м, определяемая по формуле:

, (2)

здесь - длина анкера, м. Величина принимается не менее 2,4 м;

- выступающая внутрь горной выработки часть анкера, принимаемая не более 0,2 м;

- коэффициент пригрузки от вышележащих пород, равный 1,2 - 1,5 м;

- объемный вес пород кровли, кН/м3.

Установка анкеров первого уровня производится непосредственно у забоя вслед за обнажением кровли проводимого цикла.

Рис. 1. Номограмма для определения параметров анкерной крепи первого уровня в зависимости от прочности угольной пачки и ширины горной выработки

5. Необходимая плотность установки анкеров первого уровня , определяется по формуле:

, (3)

где - несущая способность анкера, кН.

Для обеспечения устойчивости кровли плотность установки анкеров первого уровня не должна быть меньше минимально допустимой , которая составляет при неустойчивых породах 1 анк/м2, при породах средней устойчивости - 0,7 анк/м2 и при устойчивой непосредственной кровле - 0,5 анк/м2.

6. Количество анкеров первого уровня в каждом ряду принимается:

от 3 до 4 при B = 4 м (B - ширина горной выработки);

от 4 до 5 при 4 < B < 5 м;

от 5 до 6 при 5 < B < 6 м;

от 6 до 7 при 6 < B < 7 м;

от 7 до 8 при 7 < B < 8 м;

от 8 до 9 при 8 < B < 9 м;

от 9 до 10 при 9 < B < 10 м;

от 10 < до 11 при 10 < B < 11;

от 11 < до 12 при 11 < B < 12.

7. Расстояние между рядами анкеров первого уровня определяется по формуле:

. (4)

8. Расстояние между рядами анкеров первого уровня сравнивается с допустимым по условию устойчивости контура кровли , которое вычисляется по формуле:

, (5)

где - минимально допустимая плотность анкеров.

Шаг установки анкеров первого уровня не должен быть больше , а плотность установки анкеров первого уровня должна превышать величину .

Крайние анкера первого уровня располагают с отклонением от нормали к слоистости или горизонтальной поверхности на 15 - 20° в сторону боков горной выработки, на расстоянии от них не более 0,3 м.

9. Расстояние между анкерами первого уровня в рядах определяется по формуле:

. (6)

10. Возведенное сопротивление анкерной крепи первого уровня , кН/м2, определяется по формуле:

. (7)

III. ОПРЕДЕЛЕНИЕ ПАРАМЕТРОВ АНКЕРНОЙ КРЕПИ БОКОВ ГОРНОЙ ВЫРАБОТКИ

11. Необходимость крепления боков горной выработки устанавливается сравнением прочности угля (пород) в ее боках на сжатие с возможным давлением пород на бока горной выработки.

Условие устойчивости боков имеет вид:

,

где:

k - коэффициент концентрации давления для горных выработок, пройденных в массиве угля вне зоны опорного давления или при ширине целика более 0,1 H м, но не менее 30 м, k = 1,1 - 1,2. Для монтажных камер, отделенных от выработанного пространства целиком угля не более 15 м, k - принимают равным 2,0 - 2,5;

- объемный вес пород кровли, принимается 0,025, МН/м3.

При соблюдении условия в формуле 8 приложения крепления боков не требуется ( = 0). В противном случае величина возможного разрушения боков горной выработки () принимается равной 0,6 - 0,8 м с каждой стороны.

Если отношение глубины проведения горной выработки от поверхности H, м, к расчетному сопротивлению пород в кровле на одноосное сжатие , МПа, от 25 до 30, то рассчитывается по формуле:

, (2)

где:

h - высота горной выработки, м;

- угол внутреннего трения угля в боках горной выработки, град.

12. Расчет анкеров в боках горной выработки проводится по величине относительной напряженности. Длина анкеров и необходимое сопротивление крепи определяются по номограмме рисунка 1 приложения N 2 к Инструкции. Длина анкера сравнивается с величиной , увеличенной на 0,5 м. Принимается большая величина. Расчет других параметров и установка анкеров в боках производится с учетом приложения N 2 к Инструкции.

Количество анкеров в боках принимают в зависимости от мощности разрушающихся пород (угля) в боках и составляет 1 анкер при < 1,0 м, 2 анкера при 1,0 < 2,5 м и 3 анкера в вертикальном ряду при > 2,5 м.

IV. ОПРЕДЕЛЕНИЕ ВЫСОТЫ СВОДА ЕСТЕСТВЕННОГО РАВНОВЕСИЯ

13. Высота свода естественного равновесия пород над горной выработкой определяется по формуле:

, (10)

где:

- коэффициент свода, определяемый по таблице N 1 приложения;

- расчетная ширина горной выработки, с учетом возможного разрушения (отжима угля) боков, определяемая по формуле:

. (11)

Таблица N 1

Значения коэффициента свода естественного равновесия

Прочность пород на одноосное сжатие , МПа 10 20 30 40 50 60 70 80 90 100 150 200
в горной выработке, пройденной в массиве 0,68 0,64 0,6 0,56 0,52 0,48 0,44 0,40 0,36 0,32 0,28 0,24
в зоне влияния опорного давления 0,85 0,8 0,75 0,7 0,65 0,6 0,55 0,50 0,45 0,40 0,35 0,30

V. РАСЧЕТ ПАРАМЕТРОВ АНКЕРОВ ГЛУБОКОГО ЗАЛОЖЕНИЯ

14. Ожидаемое давление пород свода естественного равновесия на один погонный метр горной выработки со стороны кровли, закрепленной анкерами глубокого заложения , определяется по формуле:

, (8)

15. Расчетное удельное давление пород свода естественного равновесия на анкеры глубокого заложения , кН/м2, определяется по формуле:

, (10)

16. Ожидаемое удельное давление пород свода естественного равновесия на анкеры глубокого заложения , кН/м2, определяется по формуле 13 приложения за вычетом доли возведенного сопротивления анкеров первого уровня, формула 7 приложения.

, (14)

где - коэффициент разгрузки анкеров глубокого заложения за счет анкеров первого уровня, определяется по выражению:

. (15)

17. Длина анкера глубокого заложения (канатного анкера) определяется по формуле:

, (16)

где:

- длина закрепления анкера глубокого заложения выше контура свода естественного равновесия, принимается 0,8 - 1,0 м;

- выступающая внутрь горной выработки часть анкера, принимаемая 0,15 - 0,2 м.

Полученную длину анкера округляют до 0,5 м в большую сторону.

18. Анкеры глубокого заложения устанавливают между рядами анкеров первого уровня.

Количество анкеров глубокого заложения в ряду принимается в зависимости от ширины горной выработки в следующей зависимости, не менее:

при B 5,5 м - 2 анкеров глубокого заложения;

5,5 < B 7 м - 3 анкеров глубокого заложения;

7 < B 9 м - 4 анкеров глубокого заложения;

9 < B 12 м - 5 - 6 анкеров глубокого заложения.

Установка анкеров глубокого заложения при среднеустойчивой непосредственной кровле проводится на расстоянии не более 20 м от забоя проводимой выработки. При мощности непосредственной кровли, превышающей активную длину анкеров первого уровня, анкеры глубокого заложения устанавливаются на расстоянии не более 10 м от забоя.

19. Плотность установки анкеров глубокого заложения определяется по формуле:

, (17)

где - несущая способность анкера глубокого заложения, кН.

20. Расстояние между рядами анкеров глубокого заложения и анкеров первого уровня одинаково, так как анкера глубокого заложения устанавливают между рядами анкеров первого уровня.

Количество анкеров глубокого заложения в ряду принимается по пункту 18 приложения и проверяется по формуле:

. (18)

Если расстояние между рядами анкеров глубокого заложения не увязано с расстоянием , то величина определяется по формуле 18 приложения по принятому количеству в рядах.

21. Расстояние между анкерами глубокого заложения в рядах определяется по формуле:

,

где 2,0 - суммарное расстояние от крайних анкеров глубокого заложения до боков камеры, м.

22. Возведенное сопротивление анкеров глубокого заложения , кН/м2, определяется по формуле:

. (20)

23. Общее сопротивление анкеров первого уровня и анкеров глубокого заложения определяется по формуле:

. (21)

24. Выполняется проверка надежности установленной анкерной крепи по условиям:

суммарное сопротивление крепи больше удельного давления пород свода ;

для предотвращения обрушения скрепленных анкерами первого уровня пород их удельное давление , кН/м2, определяемое по формуле 22 приложения, должно быть меньше возведенного сопротивления канатных анкеров .

, (22)

где - активная длина анкеров (первого уровня), м.

При несоблюдении вышеназванных условий необходимо увеличить количество канатных анкеров в их рядах.

25. Во всех случаях при одноуровневой или двухуровневой схеме крепления кровли широких горных выработок (линейная часть) при их ширине более 9 м под верхняками анкерной крепи первого уровня следует устанавливать стойки усиления в один ряд. При высоте выработки более 3,5 м допускается крепить по двухуровневой схеме без стоек усиления с обязательным расположением датчиков контроля деформационного состояния пород кровли (реперы глубинные с контролем не менее трех уровней) через 35 - 40 м.

VI. КРЕПЛЕНИЕ МОНТАЖНОЙ КАМЕРЫ ПУТЕМ СОЗДАНИЯ НЕСУЩЕГО СЛОЯ ДОСТАТОЧНОЙ МОЩНОСТИ

26. Крепление кровли камеры осуществляется анкерами ампульного, ампульно-нагнетательного или нагнетательного исполнения в один уровень в комбинации с необходимыми подхватами и затяжками. Область применения распространяется на монтажные камеры породы кровли, которых относятся к I и II типам по обрушаемости, при условии заполнения шпуров (скважин) скрепляющим раствором по всей длине.

27. Длина анкеров в данном случае определяется по формуле:

, (23)

где:

- мощность несущего слоя, м;

- выступающая часть анкера, м.

28. Мощность несущего слоя рассчитывается по формуле:

 

где:

- коэффициент концентрации напряжений в массиве при проведении монтажной камеры, = 2,5 - 2,7;

- коэффициент упрочнения пород за счет анкерования. При установке анкерной крепи нормально к напластованию при полном заполнении шпура скрепляющим раствором = 1,5 - 2,0;

- коэффициент пригрузки нижнего слоя кровли, = 2,5 - 3,0.

29. Удельная нагрузка на анкерную крепь, кН/м2, рассчитывается по формуле:

, (25)

где - коэффициент запаса, = 1,2 - 1,7.

30. Количество анкеров в ряду, необходимое для создания несущего слоя, рассчитывается по формуле:

, (26)

где:

- принятое по условиям обеспечения устойчивости кровли расстояние между рядами анкеров, м;

- несущая способность анкера, кН.

31. Требуемое расстояние между анкерами в рядах определяется по формуле 6 приложения.

Приложение N 5
к Федеральным нормам и правилам
в области промышленной безопасности
"Инструкция по расчету и применению
анкерной крепи на угольных шахтах",
утвержденным приказом Федеральной службы
по экологическому, технологическому
и атомному надзору
от 19 ноября 2020 г. N 448

РАСЧЕТ АНКЕРНОЙ КРЕПИ ДЕМОНТАЖНЫХ КАМЕР

I. ФОРМИРОВАНИЕ ДЕМОНТАЖНОЙ КАМЕРЫ ИЗ ОЧИСТНОГО ЗАБОЯ

1. Способы сооружения демонтажной камеры:

формирование камеры из очистного забоя;

заблаговременная проходка камеры и введение в нее механизированного комплекса (расчет параметров анкерной крепи предварительно пройденной демонтажной камеры выполняется по результатам проведения научно-исследовательских работ с последующим консультационно-методическим сопровождением документации крепления).

Расчет параметров анкеров первого уровня на участке формирования демонтажной камеры под механизированный комплекс выполняется по методике раздела II и формулам 1 - 3 приложения N 4 к Инструкции.

2. Расчет параметров анкеров первого уровня в демонтажной дорожке выполняется по методике раздела II и формулам 1 - 7 приложения N 4 к Инструкции. Нагрузка на анкеры при этом определяется весом пород непосредственной кровли с учетом пригрузки от вышележащих пород. При определении расстояния между рядами анкеров первого уровня по формуле 4 приложения N 4 к Инструкции за значение ширины демонтажной дорожки принимается расстояние от края жесткого перекрытия секции до бока демонтажной камеры.

3. Нагрузка на крепь обоих уровней определяется весом пород в пределах свода естественного равновесия. Расчетная ширина демонтажной дорожки, определяется по формуле:

, (1)

где - радиус зоны предельного состояния пород, параметры которого приведены в таблице N 1 приложения, м.

Таблица N 1

Размер зоны предельного состояния угля в боку демонтажной камеры

Площадь сечения выработки, S, м2 Глубина работ, H, м Угол внутреннего трения угля, градусы
30 35 40
Сопротивление угля сжатию, , МПа
10 15 20 10 15 20 10 15 20
12 100 2,4 2,2 2,0 2,4 2,2 2,1 2,4 2,2 2,0
200 3,0 2,7 2,4 2,9 2,6 2,4 2,8 2,5 2,4
300 3,0 3,0 2,8 3,0 2,9 2,7 3,0 2,8 2,6
400 600 На всех позициях размер зоны принимается 3,0 м
16 100 2,8 2,5 2,4 2,8 2,5 2,4 2,7 2,5 2,4
200 3,0 3,0 2,8 3,0 3,0 2,8 3,0 2,9 2,7
300 600 = 3,0
20 100 3,0 2,8 2,6 3,0 2,8 2,7 3,0 2,8 2,7
200 600 = 3,0

4. Высота пород свода естественного равновесия над горной выработкой, определяется по формуле:

, (2)

где - коэффициент свода естественного равновесия, определяемый по таблице N 1 приложения N 4 к Инструкции.

5. Ожидаемое давление пород свода естественного равновесия на один погонный метр демонтажной дорожки со стороны кровли , закрепленной анкерной крепью, определяется по формуле:

, (3)

где - объемный вес пород кровли, кН/м3.

Рис. 1. Крепление демонтажной камеры при ее формировании из очистного забоя: I - участок формирования демонтажной камеры под механизированный комплекс; II - участок транспортировки в демонтажной камере; 1 - анкеры первого уровня; 2 - канатные анкеры; 3 - анкеры в грудь забоя

6. Расчетное удельное давление пород свода естественного равновесия на крепь , кН/м2, определяется по формуле:

. (4)

7. Длина канатных анкеров (анкеров глубокого заложения) , устанавливаемых в кровлю демонтажной дорожки, определяется по формуле 16 приложения N 4 к Инструкции.

8. Удельное возведенное сопротивление крепи первого уровня, приходящееся на 1 м2 кровли при фактической ширине горной выработки , определяемой по формуле 1 приложения, равно:

, (5)

где:

- количество анкеров в ряду;

- несущая способность анкера первого уровня, кН;

- расстояние между рядами анкеров первого уровня, определяемое по пунктам 7 приложений N 3 и N 4 к Инструкции, м.

9. Расчетное удельное сопротивление канатных анкеров (анкеров глубокого заложения) , рассчитывается по формуле:

, (6)

где - коэффициент разгрузки канатных анкеров (анкеров глубокого заложения), определяемый по формуле 15 приложения N 4 к Инструкции.

10. Необходимая плотность установки канатных анкеров (анкеров глубокого заложения) - , определяется по формуле:

. (7)

Количество канатных анкеров (анкеров глубокого заложения) в ряду принимается по пункту 18 приложения N 4 к Инструкции и проверяется по формуле:

. (8)

Расстояние между канатными анкерами (анкерами глубокого заложения) в рядах , рассчитывается по формуле:

. (9)

Возведенное сопротивление канатных анкеров (анкеров глубокого заложения) - , определяется по формуле:

. (10)

11. Проверка надежности установленной анкерной крепи в кровле выполняется по условиям пункта 24 приложения N 4 к Инструкции.

Суммарное возведенное сопротивление анкеров глубокого заложения (канатных анкеров) и доля сопротивления анкеров первого уровня должно быть больше удельного давления пород свода естественного равновесия:

. (11)

Удельное давление пород, скрепленных анкерами первого уровня, определяемое по формуле 22 приложения N 4 к Инструкции, должно быть меньше возведенного сопротивления канатных анкеров:

. (12)

12. При сооружении демонтажной камеры крепление ее бока проводится только со стороны угольного массива, при проведении последнего цикла демонтажной дорожки следом за комбайном.

Длина анкеров, устанавливаемых в боку, определяется по формуле:

, (13)

где - радиус зоны предельного состояния пород, параметры которого приведены в таблице N 1 приложения, м;

- величина закрепления анкера, принимается не менее 0,5 м;

- выступающая часть анкера, м.

Расстояния между рядами анкеров, устанавливаемых в боках и кровле, принимаются равными. Анкеры устанавливаются с подхватами и затяжкой. Количество анкеров в ряду принимается в соответствии с пунктом 12 приложения N 4 к Инструкции.

Приложение N 6
к Федеральным нормам и правилам
в области промышленной безопасности
"Инструкция по расчету и применению
анкерной крепи на угольных шахтах",
утвержденным приказом Федеральной службы
по экологическому, технологическому
и атомному надзору
от 19 ноября 2020 г. N 448

КРЕПЛЕНИЕ ПОДГОТОВИТЕЛЬНЫХ ВЫРАБОТОК, ПРОЙДЕННЫХ ПО НИЖНЕМУ СЛОЮ МОЩНЫХ ПЛАСТОВ

1. При слоевой разработке мощных пологих пластов и последовательной отработке слоев в нисходящем порядке на шахтах применяются три основные схемы расположения слоевых горных выработок в толще пласта: под целиками угля, под выработанным пространством и одна под другой. В наиболее благоприятных условиях находятся горные выработки нижнего слоя, расположенные непосредственно под горными выработками верхнего слоя.

2. Надежность поддержания горных выработок в нижнем слое зависит от мощности межслоевой угольной пачки, оставляемой между штреками верхнего и нижнего слоя, прочности и трещиноватости угля.

3. Крепление слоевых горных выработок, пройденных по нижним слоям мощных пластов, анкерной крепью возможно, если расчетная прочность на сжатие угольной пачки в кровле выработки 6,0 МПа и выполняется соотношение:

, (1)

где - мощность угольной пачки, м;

B - ширина горной выработки, м.

РАСЧЕТ ПАРАМЕТРОВ АНКЕРНОЙ КРЕПИ В ВЫРАБОТКАХ, РАСПОЛОЖЕННЫХ ПО НИЖНЕМУ СЛОЮ

4. Сопротивление и длина анкерной крепи для схемы расположения слоевых горных выработок одна под другой определяются по номограмме, представленной на рисунке N 1 приложения, с учетом прочности межслоевой угольной пачки на сжатие и ширины горной выработки.

5. Необходимое количество анкеров в ряду, определяется по формуле:

, (2)

где:

- принятое расстояние между рядами анкеров, м;

- несущая способность анкера, кН.

6. Расстояние между анкерами в ряду вычисляется по формуле 6 приложения N 4 к Инструкции.

7. Определение параметров анкерной крепи горных выработок, пройденных по почве мощного пласта при системе разработки с выпуском подкровельной толщи, осуществляется аналогично пунктам 4 - 6 приложения.

8. Крепление монтажной камеры анкерной крепью по нижнему слою допускается только при расположении ее в массиве угля относительно монтажной камеры верхнего слоя. В этом случае необходимо определить зону максимума опорного давления от краевой части массива монтажной камеры верхнего слоя и монтажную камеру нижнего слоя располагать за пределами этой зоны, рисунок 2 приложения. Размеры зоны определяются с учетом релаксации напряжений и зависят от прочности угля, мощности вынимаемого верхнего слоя и глубины работ. Монтажную камеру нижнего слоя необходимо располагать на расстоянии 2, определяемом по рисунку 2 приложения.

9. Расчет параметров анкерной крепи в монтажной камере нижнего слоя необходимо вести по двухуровневой схеме.

10. Расчет параметров анкерной крепи в монтажной камере при отработке мощного пласта системой с выпуском подкровельной толщи вести по двухуровневой схеме, при этом параметры анкеров первого уровня определяют в соответствии с пунктами 4 - 6 приложения, параметры анкеров глубокого заложения - в соответствии с приложением N 4 к Инструкции, длина канатных анкеров принимается на 1,0 - 1,2 м больше мощности угольной пачки.

Рис. 1. Номограмма для определения параметров анкерной крепи в горных выработках, пройденных по нижнему слою:
- сопротивление анкерной крепи, кН/м2; - расчетное сопротивление кровли сжатию, МПа; B - ширина горной выработки, м

Рис. 2. Номограмма для определения зоны максимума опорного давления от краевой части массива камеры верхнего слоя

Приложение N 7
к Федеральным нормам и правилам
в области промышленной безопасности
"Инструкция по расчету и применению
анкерной крепи на угольных шахтах",
утвержденным приказом Федеральной службы
по экологическому, технологическому
и атомному надзору
от 19 ноября 2020 г. N 448

РАСЧЕТ ПАРАМЕТРОВ АНКЕРНОЙ КРЕПИ СПАРЕННЫХ ВЫРАБОТОК

1. Расчет параметров анкерной крепи в горных выработках, охраняемых "жесткими" целиками - целиками между спаренными горными выработками, деформации которых незначительны, и горные выработки не оказывают влияния друг на друга (далее - "жесткие" целики), проводится в соответствии с приложением N 2 к Инструкции.

2. При подготовке выемочных столбов спаренными горными выработками все многообразие способов и приемов их расположения, проведения и крепления выработок сводится к трем основным схемам подготовки выемочных участков:

первая схема - проведения одиночных и спаренных горных выработок при оконтуривании подготавливаемого выемочного участка в зоне, где очистные работы ранее не проводились (рисунок 1 приложения);

вторая схема - проведения спаренных горных выработок в зоне (рисунок 2 приложения) и впереди зоны влияния очистных работ (рисунок 3 приложения);

третья схема - проведения одиночной горной выработки в зоне опорного давления, вызванного отработкой смежной лавы (рисунок 4 приложения).

3. Характерной особенностью первой схемы (рисунок 1 приложения), является то, что горные выработки проводятся вне зоны влияния очистных работ. Вместе с тем, одновременное проведение горных выработок А и Б при определенном расстоянии между их забоями приведет к наложению возникающих в период их проведения зон повышенного горного давления. Для безопасности ведения работ необходимо постоянно обеспечивать опережение забоя А относительно забоя Б не менее:

, (1)

где:

, - ширина горных выработок, м;

- ширина целика, м.

Рис. 1. Схема проведения спаренных выработок при оконтуривании нового выемочного столба:
- опережение забоя отстающей горной выработки от сбойки спаренных горных выработок; - опережение передового забоя относительно отстающего

4. Аналогичное положение зон повышенного горного давления возникает при одновременном проведении забоя Б и сбойки С. Наложение зон не произойдет, если сбойку С проводить с определенным отставанием от забоя Б. Величина опережения регламентируется следующим соотношением:

. (2)

Проходка сбоек относительно осей горных выработок осуществляется как под прямым, так и под острым углами. При проходке спаренных горных выработок одним комбайном сбойки следует располагать под острым углом 50 - 60°.

Вторая схема (рисунок 2 приложения) отличается от рассмотренной (первой) тем, что спаренные горные выработки проводятся в зоне влияния очистных работ.

Рис. 2. Схема проведения спаренных горных выработок в зоне влияния очистных работ впереди лавы: - ширина зоны влияния очистных работ; - опережение забоя проходимой сбойки относительно линии лавы

В этом случае в качестве критерия интенсивности горного давления используется расчетное смещение кровли с анкерной крепью, определяемое из выражения:

, (3)

где:

- коэффициент, учитывающий степень связывания и упрочнения пород при различных конструкциях и способах закрепления, принимаемый равным 1 для замковых клинораспорных и сталеполимерных анкеров при длине закрепления до 0,5 м; 0,85 - при длине закрепления 1,0 м; 0,75 - при закреплении по всей длине шпура (скважины);

- смещения пород на сопряжениях в зоне влияния очистных работ, определяемые по формулам 4 - 6 приложения:

смещение пород кровли в вентиляционной горной выработке, охраняемой целиками шириной (2,5 - 3,0)m и погашаемой за следующим очистным забоем, определяется по формуле:

; (4)

смещение кровли в конвейерной горной выработке, охраняемой целиками шириной (2,5 - 3,0)m и погашаемой за очистным забоем, определяется по формуле:

; (5)

смещение кровли в конвейерной горной выработке, охраняемой целиками шириной (2,5 - 3,0)m и временно сохраняемой за очистным забоем для транспортирования угля, определяется по формуле:

. (6)

В приведенных формулах 4 - 6 приложения величина определяется из выражения:

. (7)

Расшифровка и определение входящих в формулы 4 - 6 приложения показателей приводится в пунктах 11 - 13 приложения N 14 к Инструкции.

5. Схема рисунка 3 приложения отражает проведение спаренных горных выработок впереди зоны влияния очистных работ. Схема применяется, когда забой проводимой подготовительной горной выработки значительно опережает линию очистного забоя.

Рис. 3. Схема проведения спаренных горных выработок впереди зоны влияния очистных работ. - ширина зоны влияния очистных работ

В этом случае забои проводимых горных выработок в период их проходки не подвержены влиянию повышенного горного давления, вызванного ведением очистных работ, поэтому величины опережения передового забоя В относительно отстающего забоя А и отстающего А относительно сбойки С принимаются такими же, как и для первой схемы.

Величины смещения кровли в конвейерной горной выработке А в зоне влияния очистных работ, необходимые для разработки документации крепления на сопряжении лавы с горной выработкой, определяются аналогично схеме 2 рисунка 2 приложения.

6. На рисунке 4 приложения показан способ проведения одиночной горной выработки в зоне остаточного опорного давления, вызванного отработкой смежной лавы. Соседняя лава отработана. Выработка А проходится как одиночная на незначительном удалении от отработанного столба.

Рис. 4. Схема проведения одиночной горной выработки в зоне остаточного опорного давления, вызванного отработкой смежной лавы

Рассматриваемый случай относится к варианту охраны вентиляционной горной выработки целиком угля шириной не менее 15 м. Расчет параметров крепи для выемочных горных выработок производить в соответствии с разделом VI приложения N 1 к Инструкции.

Количество анкеров в боках принимать в соответствии с пунктом 12 приложения N 4 к Инструкции.

Анкеры в боках располагать так, чтобы они пересекали наиболее слабые слои угля и пород с отклонением от напластования на 15 - 30°. Расстояние от верхнего ряда анкеров до кровли не более 0,5 м.

7. Параметры анкерной крепи в боках сопряжений определяются по номограмме рисунка 1 приложения N 2 к Инструкции.

Приложение N 8
к Федеральным нормам и правилам
в области промышленной безопасности
"Инструкция по расчету и применению
анкерной крепи на угольных шахтах",
утвержденным приказом Федеральной службы
по экологическому, технологическому
и атомному надзору
от 19 ноября 2020 г. N 448

РАСЧЕТ ПАРАМЕТРОВ АНКЕРНОЙ КРЕПИ ГОРНЫХ ВЫРАБОТОК НА ПЛАСТАХ, СКЛОННЫХ К ГОРНЫМ УДАРАМ И ВНЕЗАПНЫМ ВЫБРОСАМ УГЛЯ (ПОРОД) И ГАЗА

I. ОБЩИЕ ПОЛОЖЕНИЯ

1. Применение анкерной крепи на пластах склонных к горным ударам и внезапным выбросам угля (породы) и газа не увеличивает риски удароопасности и выбросоопасности при проведении и дальнейшей эксплуатации горных выработок.

2. При проведении горных выработок по пластам, склонным к горным ударам и внезапным выбросам угля (пород) и газа, необходимо выполнять профилактические мероприятия с целью приведения массива в безопасное состояние.

3. Выполнение профилактических мероприятий, оказывает влияние на условия проведения выработок, изменяет геомеханические и деформационные состояния горного массива, снижает прочность пород и увеличивает их смещения.

4. При расчете параметров анкерной крепи горных выработок, проводимых по пластам склонным к горным ударам и внезапным выбросам угля (породы) и газа, необходимо учитывать влияние на геомеханическое состояние вмещающих пород следующих профилактических мероприятий:

региональная предварительная подработка и (или) надработка массива с последующим проведением в нем подготовительных горных выработок;

бурение разгрузочных скважин в окружающем угольном массиве в период проведения горной выработки;

выполнение гидрообработки угольного массива.

II. УСЛОВИЯ ВОЗМОЖНОСТИ ПРИМЕНЕНИЯ АНКЕРНОЙ КРЕПИ В ГОРНЫХ ВЫРАБОТКАХ ПРИ ПРЕДВАРИТЕЛЬНОЙ ПОДРАБОТКЕ МАССИВА

5. Для возможности применения анкерной крепи в горных выработках, проходимых по ранее подработанным пластам, необходимо выполнение следующих условий:

определение допустимой кратности отношения глубины работ (H) к средневзвешенной расчетной прочности пород кровли подработанного пласта .

определение высоты зоны пород интенсивной трещиноватости в подработанном массиве для исключения размещения горной выработки в этой зоне.

6. Возможность применения анкерной крепи в горных выработках, проводимых на подработанных пластах, по критерию соотношения глубины работ и средневзвешенной расчетной прочности пород кровли подработанного пласта допускается, если выполняется выражение:

, (1)

где H - глубина расположения горной выработки на подработанном пласте, м;

- средневзвешенная расчетная прочность пород (угля) кровли подработанного пласта, определяемая по формуле:

для породы:

, (2)

для угля:

, (3)

здесь - сопротивление пород кровли горной выработки на одноосное сжатие, рассчитываемое по пункту 5 приложения N 1 к Инструкции;

- расстояние от отработанного пласта в кровлю по нормали до уровня расположения горной выработки на подработанном пласте, м;

m - мощность подрабатывающего пласта, м.

7. Область применения анкерной крепи в горных выработках, проводимых на подработанных пластах, определяется соотношением расстояния от отработанного пласта в кровлю по нормали до уровня расположения горной выработки на подработанном пласте и высоты зоны интенсивной трещиноватости. Допускается применение анкерной крепи, если выполняется соотношение:

, (4)

где:

- коэффициент трещинообразования, который изменяется в пределах 1,375 - 1,75 и принимается в зависимости от исходной прочности пород подработанной толщи на сжатие по графику рисунка 1 приложения;

- мощность обрушившейся толщи пород, м, равная:

, (5)

здесь - коэффициент разрыхления пород, определяемый опытным путем или ориентировочно принимаемый по таблице N 1 приложения.

При этом проведение горных выработок на участках подработки допускается не ранее 6 - 12 месяцев со дня окончания подработки после активной стадии сдвижения пород кровли.

8. Расчет параметров анкерной крепи ведется в соответствии с положениями разделов данной Инструкции до начала проведения горных выработок, после определения критериальных параметров, подтверждающих возможность применения анкерной крепи в горных выработках на пластах, склонных к горным ударам и внезапным выбросам угля (породы) и газа и осуществления региональных мероприятий по приведению массива в безопасное состояние предварительной подработкой. При этом за исходную расчетную прочность породы (угля) на подработанном участке принимается величина , определяемая по формулам 2 и 3 приложения.

Таблица N 1

Значения коэффициента разрыхления пород

Вынимаемая мощность подрабатывающего пласта, м Прочность пород непосредственной кровли подрабатывающего пласта, МПа Коэффициент разрыхления пород,
до 1,0 до 30 1,15 - 1,20
30 - 50 1,20 - 1,25
1,0 - 2,0 до 30 1,25 - 1,30
30 - 50 1,30 - 1,35
2,0 - 3,0* до 30 1,30 - 1,35
30 - 50 1,35 - 1,40

При m > 3,0 принимается - 1,4.

Рис. 1. Изменение коэффициента трещиноватости пород от их предела прочности на сжатие

III. РАСЧЕТ ПАРАМЕТРОВ АНКЕРНОЙ КРЕПИ ПРИ ПРИМЕНЕНИИ РАЗГРУЗОЧНЫХ СКВАЖИН

9. По горно-геологической характеристике участка определяем тип кровли по обрушаемости и устойчивости по таблицам N 4 и N 5 приложения N 1 к Инструкции.

10. Определяем расчетное сопротивление пород кровли на сжатие на участках без разгрузки по формуле 3 приложения N 1 к Инструкции.

11. В зависимости от прочности пород кровли, места расположения горной выработки, способа охраны, размеров охранных целиков, конструкции анкерной крепи, в соответствии с формулами и графиками, приведенными в Инструкции, определяем величину расчетных смещений кровли при отсутствии разгрузочных скважин.

12. Определяем средневзвешенное сопротивление угля в массиве, разгруженного скважинами по формуле:

, (6)

где - прочность на сжатие угля в массиве, МПа;

- сопротивление на сжатие угля в зоне влияния разгрузочных скважин, МПа, определяется по формуле:

, (7)

здесь m - мощность угольного пласта, м;

D - диаметр скважины, м;

- мощность пласта с учетом пробуренной скважины, м, равная:

, (8)

- общая длина участка массива угля, разбуренного разгрузочными скважинами;

- длина участка массива, ослабленного скважинами, м, равная:

, (9)

здесь - число пробуренных скважин;

- длина участка массива, не нарушенного скважинами, м, равная:

. (10)

13. Определяем коэффициент влияния разгрузочных скважин на смешение кровли горной выработки, закрепленной анкерной крепью:

, (11)

где:

- объемный вес угля, подставляемый здесь в МН/м3;

H - глубина расположения горной выработки, м;

- средневзвешенная прочность угля в массиве, разбуренном скважинами, определяемая по формуле 7 приложения.

14. Определяем величину смещения кровли горной выработки с учетом влияния разгрузочных скважин:

, (12)

где:

- смещение кровли без влияния разгрузочных скважин;

- коэффициент влияния разгрузочных скважин на величину смещения кровли, определенный по формуле 12 приложения.

15. По величине смещения кровли в соответствии с разделами данной Инструкции, определяем необходимое сопротивление анкерной крепи и длину анкеров .

16. В соответствии с разделами Инструкции в зависимости высоты h и расчетной ширины горной выработки B принимаем необходимое количество анкеров в рядах кровли и боков .

17. Требуемое расстояние между рядами анкеров в кровле и боках горной выработки определяется по формулам:

; (13)
, (14)

где:

, - несущая способность анкерной крепи в кровле и боках горной выработки, кН;

, - необходимое сопротивление анкерной крепи в кровле и боках горной выработки, кН/м2;

, - количество анкеров в рядах кровли и боков, шт.

IV. РАСЧЕТ ПАРАМЕТРОВ АНКЕРНОЙ КРЕПИ С ПРИМЕНЕНИЕМ ГИДРООБРАБОТКИ

18. Определяется тип кровли по обрушаемости и устойчивости, расчетное сопротивление пород кровли сжатию , МПа, и величина расчетных смещений кровли в соответствии с приложениями N 1, 3, 7, 8, 14, 16, 17 к Инструкции.

19. Определяется влажность горной породы в естественном состоянии W, %, и при полном влагонасыщении , %.

20. По результатам лабораторных испытаний определяем прочность на сжатие угольного массива в естественном состоянии , МПа, в сухом состоянии , МПа, и при полном влагонасыщении , МПа.

21. Определяется прочность угольного массива на сжатие после гидрообработки, по формуле:

, (15)

где:

- прочность на сжатие горной породы в сухом состоянии, МПа;

- прочность на сжатие горной породы при полном влагонасыщении, МПа;

W - влажность горной породы, %;

- влажность породы при полном влагонасыщении, %.

22. Определяем коэффициент влияния гидрообработки на смещение кровли горной выработки, закрепленной анкерной крепью:

. (16)

23. Величина смещений кровли горной выработки после гидрообработки угольного массива определяется по формуле:

, (17)

где - величина смещения кровли, определяемая без учета гидрообработки, мм.

24. Сопротивление анкерной крепи , кН/м2, и длина анкеров , м, определяется по величине , мм, в соответствии с приложением N 1 к Инструкции. Количество анкеров в рядах по кровле , шт., определяют в соответствии с пунктом 16 приложения.

25. Расстояние между рядами анкеров в кровле , м, и боках горной выработки , м, определяется по формулам 14 - 15 приложения.

Приложение N 9
к Федеральным нормам и правилам
в области промышленной безопасности
"Инструкция по расчету и применению
анкерной крепи на угольных шахтах",
утвержденным приказом Федеральной службы
по экологическому, технологическому
и атомному надзору
от 19 ноября 2020 г. N 448

РАСЧЕТ ПАРАМЕТРОВ КРЕПИ ГОРНЫХ ВЫРАБОТОК, ПРОЙДЕННЫХ В СЛАБЫХ И ОБВОДНЕННЫХ ПОРОДАХ

I. СЛАБЫЕ И ТРЕЩИНОВАТЫЕ ПОРОДЫ

1. В слабых, трещиноватых и тонкослоистых породах с расчетной прочностью пород кровли менее 25 МПа и угля - менее 10 МПа, пород в боках - менее 20 МПа и угля менее - 6 МПа анкерная крепь в сочетании с металлическими подхватами и решетчатыми затяжками применяется при условии упрочнения пород и угля нагнетанием в них вяжущих растворов с доведением расчетного сопротивления до вышеназванных величин.

2. Технология ведения работ по упрочнению трещиноватых пород, окружающих горные выработки, выбор и расчет параметров упрочнения, выполняются по соответственным нормативным документам и другим методическим пособиям.

3. В слабых, трещиноватых и тонкослоистых породах, в том числе и в упрочненных вяжущими составами, анкеры закрепляют по всей длине скважины (шпура).

II. ОБВОДНЕННЫЕ ПОРОДЫ

4. В горных выработках с обводненными породами происходит их разупрочнение, и, поэтому расчетное сопротивление пород сжатию должно корректироваться из-за их увлажнения. При этом величину контактирующих с водой пород необходимо уменьшить: для песчаников на 20%, для алевролитов на 40% и для аргиллитов на 50%.

При наличии конкретных данных о сопротивлении пород сжатию значение коэффициента , снижающего расчетную прочность пород, принимается по таблице N 3 приложения N 1 к Инструкции.

Закрепление анкерных стержней в горных выработках с обводненными породами осуществлять ампулами с минеральной композицией.

5. При необходимости осуществляется гидроизоляция приконтурных пород с созданием защитного водонепроницаемого слоя вокруг горной выработки. Для этого применяется двухкомпонентная полиуретановая смола.

6. После обработки массива определяется изменение прочности пород за счет воздействия смол. Расчет ожидаемых смещений кровли и необходимых параметров крепи выполняется по приложениям N 3, 7, 8, 14, 16, 17 к Инструкции.

Приложение N 10
к Федеральным нормам и правилам
в области промышленной безопасности
"Инструкция по расчету и применению
анкерной крепи на угольных шахтах",
утвержденным приказом Федеральной службы
по экологическому, технологическому
и атомному надзору
от 19 ноября 2020 г. N 448

КОМБИНИРОВАННЫЕ КРЕПИ

I. ОБЛАСТЬ ПРИМЕНЕНИЯ КОМБИНИРОВАННЫХ КРЕПЕЙ И ИХ КОНСТРУКТИВНЫЕ СОСТАВЛЯЮЩИЕ

1. Комбинированная крепь (анкерная крепь в сочетании с другими типами ограждающей или поддерживающей крепи) применяется в горных выработках, расположенных в зонах геологических нарушений, выветренных и обводненных пород, при наличии тонких прослойков угля, кальцита или углистых аргиллитов в пределах глубины заделки анкеров, в капитальных горных выработках повышенной ответственности с длительным сроком эксплуатации и в подготовительных горных выработках при интенсивном горном давлении.

2. Комбинированная крепь применяется в следующих сочетаниях:

анкерная и набрызг-бетонная крепь;

анкерная с металлическими подхватами, с шайбами или опорными плитами, с затяжкой в виде сварной металлической решетки и набрызг-бетонная крепь;

анкерная и подпорная крепь.

3. Варианты и параметры комбинированной крепи принимаются и рассчитываются в зависимости от состояния устойчивости пород в горных выработках таблица N 1 приложения.

Таблица N 1

Категории устойчивости пород

Категория устойчивости пород Оценка состояния устойчивости пород Смещения кровли горной выработки U, мм
I устойчивые До 50
II среднеустойчивые 50 - 200
III неустойчивые 200 - 500
IV очень неустойчивые более 500

При не трещиноватых породах I категории устойчивости, когда смещения кровли не превышают 50 мм, горная выработка крепится одной анкерной крепью с опорными плитами и решетчатой затяжкой, либо только подпорной или набрызг-бетонной крепью, толщина которой принимается 40 - 50 мм.

В горных выработках с трещиноватыми породами кровли, отнесенными к I категории устойчивости, необходимо устанавливать анкерную крепь с опорными плитами и металлической сеткой в комбинации с подпорной или набрызг-бетонной крепью, толщина которой принимается 40 - 50 мм.

В горных выработках с породами II категории устойчивости, когда смещения кровли достигают 100 - 200 мм, применять комбинированную крепь, состоящую из анкеров с металлическими подхватами, решетчатой затяжки и подпорной или набрызг-бетонной крепью, толщина которой принимается 80 - 100 мм.

4. Комбинированная крепь возводится в следующем порядке. Сначала устанавливают анкерную крепь, затем подпорную или набрызг-бетонную. В породах III и IV категории устойчивости сначала устанавливают подпорную крепь или, в качестве временной, наносят на контур кровли и боков горной выработки слой набрызг-бетона, поверх которого устанавливают анкеры с металлической сеткой или сварной решеткой, и наносят второй слой.

II. РАСЧЕТ ПАРАМЕТРОВ КОМБИНИРОВАННОЙ КРЕПИ, СОСТОЯЩЕЙ ИЗ АНКЕРОВ И НАБРЫЗГ-БЕТОННОЙ КРЕПИ, ПРИ ГОРНОМ ДАВЛЕНИИ СРЕДНЕЙ ИНТЕНСИВНОСТИ

5. Ожидаемые смещения кровли в горной выработке, закрепленной анкерной крепью в комбинации с набрызг-бетонной, определяются по формуле:

, (1)

где:

- смещения кровли горной выработки, закрепленной анкерной крепью в сочетании с набрызг-бетонной, мм;

- смещения заанкерованной кровли горной выработки, расположенной в осадочных породах вне зоны влияния очистных работ, мм. Определяются по формуле (7) в приложении N 17 к Инструкции;

- коэффициент влияния набрызг-бетонной крепи на снижение смещений пород в горной выработке, таблица N 2 приложения.

Таблица N 2

Значения коэффициента

Толщина набрызг-бетонной крепи , мм 25 50 75 100 125
Коэффициент 0,70 0,65 0,60 0,55 0,50

6. Необходимое сопротивление анкерной крепи , кН/м2, и длина анкеров , м, для обеспечения поддержания горной выработки совместно анкерной и набрызг-бетонной крепью определяются по значению ожидаемых смещений кровли и ширине горной выработки в проходке B до 6 м, рисунок 1, приложение N 1 к Инструкции. При ширине выработки более 6 м расчет проводится в соответствии с приложениями N 3, 4 к Инструкции.

Толщина набрызг-бетона принимается с учетом класса устойчивости пород и положений пункта 3 приложения так, чтобы смещения кровли увязывались с параметрами анкерной крепи, определяемыми по рисунку 1 приложения N 1 к Инструкции, и не превысили допустимых величин для обеспечения эксплуатационного состояния горной выработки.

По полученному значению необходимого сопротивления анкерной крепи, , кН/м2, и расчетной несущей способности принятого одного анкера , кН, в соответствии с Инструкцией определяется количество анкеров в рядах , требуемое расстояние между анкерами в ряду , м, и расстояние между рядами анкеров , м. Выполняется проверка расстояний между рядами анкеров по условию обеспечения необходимой плотности их установки П, анк/м2.

Расчет параметров анкерной крепи в боках горной выработки выполняется по приложению N 2 к Инструкции.

III. РАСЧЕТ ПАРАМЕТРОВ КОМБИНИРОВАННОЙ КРЕПИ, СОСТОЯЩЕЙ ИЗ АНКЕРНОЙ И ПОДПОРНОЙ КРЕПИ

7. При использовании анкерной крепи в комбинации с подпорными крепями несущая способность комбинированной системы определяется как сумма несущих способностей, входящих в комбинацию анкерной и подпорной крепи:

, (2)

где:

- несущая способность комбинированной крепи, кН/м2;

- несущая способность анкерной крепи, кН/м2;

- несущая способность подпорной крепи, кН/м2.

8. Величина смещений кровли в горной выработке компенсируется анкерной и подпорной крепями. Величина смещений, приходящихся на анкерную крепь , должна быть не более 300 мм. Величина смещений компенсируется подпорной крепью и определяется по формуле:

. (3)

Общие смещения пород U для горизонтальных и наклонных горных выработок, расположенных вне зоны влияния очистных работ, определяются по приложению N 17 к Инструкции.

9. Принимая допустимую величину смещений , приходящихся на анкерную крепь (она составляет 30 - 40% от общих смещений U, но не более 300 мм), и определяем по рисунку 1 приложения N 1 к Инструкции. Далее по формуле 3 приложения определяем величину смещений , приходящихся на подпорную крепь, и все расчеты ее параметров выполняются по приложению N 17 к Инструкции.

Выбираем подходящий для рассматриваемых условий тип крепи, рассчитываем необходимую плотность установки и проверяем соответствие конструктивной податливости подпорной крепи ожидаемым смещениям пород.

Для обеспечения совместной работы анкерная крепь скрепляется с подпорной крепью. Это выполняется установкой дополнительных продольных металлических подхватов, соединенных со стержнями анкеров и подпорной крепью.

Приложение N 11
к Федеральным нормам и правилам
в области промышленной безопасности
"Инструкция по расчету и применению
анкерной крепи на угольных шахтах",
утвержденным приказом Федеральной службы
по экологическому, технологическому
и атомному надзору
от 19 ноября 2020 г. N 448

РАСЧЕТ ПАРАМЕТРОВ АНКЕРНОЙ КРЕПИ ПОДГОТОВИТЕЛЬНЫХ ГОРНЫХ ВЫРАБОТОК, НАХОДЯЩИХСЯ В ЗОНАХ ПОВЫШЕННЫХ ПРОЯВЛЕНИЙ ГОРНОГО ДАВЛЕНИЯ

1. Зоны ППГД образуются в области концентрации напряжений в массиве пород от целиков и краевых частей, оставленных при разработке смежных участков или пластов.

Построение параметров этих зон отличается от зон ПГД.

В отличие от зон ПГД, зоны ППГД не опасны по горным ударам, выбросам угля (породы) и газа.

2. Основными параметрами зоны ППГД являются: дальность влияния по нормали от отрабатываемого пласта в кровлю и почву , соответственно при подработке и надработке (рисунок 1 приложения), протяженность зон влияния кромки пласта в направлении выработанного пространства и , протяженность влияния кромки пласта в направлении массива угля и .

3. Дальность влияния кромки пласта (краевой части или целика) определяется по формулам:

в кровле: ; (1)
в почве: , (2)

где - ширина зоны остаточного опорного давления, м, определяемая по формуле:

, (3)

здесь - коэффициент, учитывающий обрушаемость основной кровли влияющего пласта, равный 0,8; 1,0; 1,2 соответственно для легко-, средне- и труднообрушающейся кровли;

- средневзвешенная прочность на сжатие вмещающих горную выработку пород, МПа;

- коэффициент размерности, равный 1, МПа/м;

- вынимаемая мощность пласта, м;

- коэффициент, учитывающий процентное содержание песчаников в породах междупластья, выраженный десятичной дробью.

При движущемся очистном забое ширина зоны опорного давления увеличивается в 1,5 раза.

Рис. 1. Зона ППГД от краевой части пласта

4. Положение границы зоны ППГД в направлении выработанного пространства определяется расстояниями (при подработке) и (при надработке), вычисляемыми по формулам:

в кровле: ; (4)
в почве: , (5)

где и - расстояние от влияющего пласта до горной выработки в кровле и в почве, м.

5. В направлении массива угля положение границы зоны ППГД определяется в зависимости от указанных выше величин по формулам:

в кровле: ; (6)
в почве: . (7)

6. В таблице N 1 приложения приведены значения ширины зоны остаточного опорного давления в диапазоне глубин 300 - 900 м и мощности пласта 1,0 - 4,5 м.

7. Смещения пород в горных выработках, проводимых после отработки сближенного пласта и расположенных в зоне ППГД от краевой части смежного пласта U, мм, определяются по формуле:

, (8)

где - смещение пород в горных выработках, не испытывающих влияния зон ППГД, мм, определяется в соответствии с приложениями N 3, 7, 8, 14, 18 к Инструкции.

- коэффициент увеличения смещений пород кровли горных выработок в зонах ППГД или их снижения в зонах разгрузки. Для горных выработок, расположенных в надработанном массиве , в подработанном массиве .

Таблица N 1

Ширина зоны остаточного опорного давления, , м

H, м m, м , МПа H, м m, м , МПа
30 60 90 30 60 90
300 1,0 0,8 32 25 20 700 1,0 0,8 46 34 29
1,0 40 31 24 1,0 57 43 37
1,2 48 38 34 1,2 72 54 46
2,0 0,8 37 29 26 2,0 0,8 53 39 34
1,0 46 36 32 1,0 66 49 42
1,2 56 44 39 1,2 79 59 51
3,0 0,8 42 33 29 3,0 0,8 60 45 38
1,0 53 41 37 1,0 75 56 48
1,2 63 49 44 1,2 90 67 58
4,5 0,8 50 39 35 4,5 0,8 71 53 45
1,0 62 49 44 1,0 89 66 57
1,2 75 59 52 1,2 107 80 68
500 1,0 0,8 39 30 26 900 1,0 0,8 51 38 32
1,0 49 38 33 1,0 64 47 40
1,2 59 45 39 1,2 77 57 48
2,0 0,8 46 35 30 2,0 0,8 59 44 37
1,0 57 43 38 1,0 74 55 47
1,2 68 52 45 1,2 89 66 56
3,0 0,8 52 39 34 3,0 0,8 67 50 42
1,0 65 49 43 1,0 84 62 53
1,2 78 59 51 1,2 101 74 63
4,5 0,8 61 47 40 4,5 0,8 80 59 50
1,0 77 58 51 1,0 99 73 63
1,2 92 70 67 1,2 119 88 75

В горных выработках, расположенных в зоне ППГД, расчет смещений пород проводится с учетом их местоположения относительно проекции кромки краевой части. На рисунке 2 приложения показана схема влияния краевой части на массив.

8. Коэффициент изменения смещений относительно имеет максимальное значение на проекции кромки пласта и в точках А и .

На расстоянии и в сторону массива коэффициент равен 1,0 (точки Б и ) на расстоянии и в сторону выработанного пространства и меньше единицы.

9. Величины коэффициентов и при расположении горной выработки над или под кромкой отработанного угольного пласта определяются по рисунку 3 приложения. Значения коэффициента разгрузки при подработке находятся по таблице N 2 приложения, при надработке - по таблице N 3 приложения.

Рис. 2. Схема влияния на формирование зон ППГД краевой части пласта:
K - коэффициент смещений пород от влияния кромки пласта; и - коэффициенты увеличения смещений пород над и под кромкой пласта (точки А, А'), , - коэффициенты разгрузки в подработанном и надработанном массиве; , - протяженность влияния кромки пласта в направлении массива угля; , - протяженность зон влияния кромки пласта в направлении выработанного пространства; , - расстояние от влияющего пласта до горной выработки в кровле и в почве

Рис. 3. График определения и при заложении горной выработки над или под кромкой пласта на расстоянии , или при соответствующих значениях или

10. Закономерность изменения коэффициента смещений принята линейной в промежутках между точками на отрезках БА и АВ в подработанном массиве, точками и в надработанном массиве. Величина коэффициента определяется графически по рисунку 2 приложения.

Аналитически коэффициент для надработанного массива при расположении горной выработки со стороны выработанного пространства (при ), определяется по формуле:

. (9)

Таблица N 2

Значения коэффициента разгрузки при подработке

Содержание песчаника в толще, % Величина при , м
10 20 30 40 60 80 100 120 140 160 180 200
До 50 0,52 0,53 0,54 0,58 0,60 0,64 0,68 0,73 0,83 0,80 0,88 1,0
51 - 75 0,58 0,60 0,61 0,62 0,64 0,66 0,69 0,73 0,83 0,86 0,90 1,0
76 - 100 0,65 0,66 0,67 0,68 0,70 0,72 0,75 0,78 0,82 0,87 0,92 1,0

Таблица N 3

Коэффициент разгрузки при надработке

, м 5 10 20 30 40 50 70 100
0,40 0,50 0,65 0,80 0,90 0,95 0,97 1,00

При расположении горной выработки со стороны массива (при ):

. (10)

Для подработанного массива при определении коэффициента в формулы 9 - 10 приложения подставляются соответственно , , , .

11. При расположении горных выработок под (над) неразрушенным целиком угля смещения пород в них, U, мм, определяются по формуле:

, (11)

где - смещение пород в горных выработках, не испытывающих влияния зон ППГД, мм, определяется в соответствии с приложениями N 3, N 7, N 8, N 14, N 17 к Инструкции;

- коэффициент изменения смещений в зоне влияния неразрушаемого целика.

Ширина неразрушаемого целика определяется по формуле:

, (12)

где:

- минимальная ширина неразрушаемого целика, м;

- коэффициент влияния основной кровли пласта, на котором оставлен целик, равный 0,8 - для легкообрушающейся кровли, 1,0 - для среднеобрушающейся кровли и 1,2 - для труднообрушающейся кровли;

H - глубина залегания целика от поверхности, м;

- прочность угля целика на одноосное сжатие, МПа;

- вынимаемая мощность, м.

12. Минимальная ширина неразрушаемого целика , определяется по рисунку 4 приложения.

Рис. 4. Номограмма для определения минимальной ширины неразрушаемого целика

Для графического определения коэффициента увеличения смещений во всей области влияния целика на рисунке 5 приложения в произвольном масштабе построен влияющий пласт с целиком, ширина которого удовлетворяет условию . На расстояниях и параллельно влияющему пласту проведены оси выше- и нижерасположенных горных выработок. С левой стороны рисунка перпендикулярно оси горной выработки, построена шкала значений коэффициента увеличения смещений . Через кромки целика проведены вертикальные линии, от которых отложены расстояния и , на их концах отложены коэффициенты изменения в начальных точках зоны и и в створе с кромкой целика и . Все перечисленные выше расстояния и коэффициенты определяются по формулам и графикам, приведенным выше, при анализе влияния краевой части пласта.

Рис. 5. Графики для определения коэффициента изменения смещений пород в горных выработках над и под целиком

13. Коэффициенты увеличения смещений пород от целика для горных выработок, попадающих над или под его кромку, и определяются по формулам:

; (13)
. (14)

14. Коэффициенты увеличения смещений и на участках горных выработок, попадающих над или под центр целика (точки О и ), определяют по формулам:

; (15)
. (16)

15. Полученные коэффициенты изменения смещений пород в горных выработках, расположенных в частях зон ППГД, используются для определения ожидаемых смещений кровли по формуле 8 приложения. Дальнейший расчет параметров анкерной крепи ведется в соответствии с Инструкцией.

16. Анкерная крепь в зонах ППГД на удароопасных пластах должна применяться с обязательным выполнением мероприятий по приведению угольного пласта в неудароопасное состояние.

Приложение N 12
к Федеральным нормам и правилам
в области промышленной безопасности
"Инструкция по расчету и применению
анкерной крепи на угольных шахтах",
утвержденным приказом Федеральной службы
по экологическому, технологическому
и атомному надзору
от 19 ноября 2020 г. N 448

РАСЧЕТ ПАРАМЕТРОВ АНКЕРНОЙ КРЕПИ КОРОТКИХ ОЧИСТНЫХ ЗАБОЕВ

I. ОБЩИЕ ПОЛОЖЕНИЯ

1. К системам разработки короткими забоями относятся: камерная, камерно-столбовая и короткими столбами.

2. Технология выемки определяется типом применяемого выемочного и транспортного оборудования, способом крепления и типом применяемой крепи. Горные выработки проводятся только по пласту. Одновременно проводится не менее трех, параллельных штреков главных направлений. Ширина камер изменяется в зависимости от горно-геологических условий от 5 до 12 м, длина их достигает в отдельных случаях 150 м.

3. Все многообразие систем разработки сводится к нескольким типичным схемам, которые представлены на рисунках 1 - 2 приложения. Штреки главного направления проходят до границ шахтного поля, а отработка камер ведется в направлении от границ к стволу.

Вначале проходят от четырех до шести камер, которые практически являются выемочными штреками, затем обратным ходом отрабатывают нарезанные полосы, при этом линия забоя располагается перпендикулярно или по диагонали к их продольной оси. Большое внимание уделяется вопросу выемки оставленных целиков. Схема работ по частичному извлечению целиков приведена на рисунке 3 приложения.

Рис. 1. Схема отработки угольного пласта камерно-столбовой системой с выемкой угля заходками

Рис. 2. Схема отработки угольного пласта камерной системой с барьерными целиками

Рис. 3. Схема ведения работ по частичному погашению горных выработок: 1 - универсальная врубовая машина; 2 - буровая машина для обуривания забоя; 3 - взрывная отбойка; 4 - погрузочная машина; 5 - самоходная вагонетка; 6 - буровой станок для анкерной крепи; 7 - приемная часть магистрального конвейера

II. ОПРЕДЕЛЕНИЯ ШИРИНЫ И ПАРАМЕТРОВ КРЕПЛЕНИЯ КРОВЛИ КАМЕР

4. Выбор ширины камер производится по технологическим соображениям исходя из условий эффективной работы, затем для принятого пролета камеры определяется мощность несущего слоя пород, который необходимо скрепить анкерной крепью, в результате чего будет обеспечено устойчивое состояние кровли камеры. При этом глубина анкерования кровли должна быть равна мощности этого слоя, а плотность установки анкеров определяться необходимым сопротивлением крепи.

5. Если на некотором расстоянии от кровли камеры расположен слой крепкой породы ( 60 МПа), то длину анкеров в камере необходимо выбрать из тех соображений, чтобы сравнительно слабые породные слои подвешивались к этому крепкому слою. В этом случае длину анкеров, их сопротивление, количество анкеров в ряду и расстояние между рядами анкеров определяются в соответствии с разделами I - III приложения N 1 к Инструкции.

6. При камерной системе разработки управление кровлей осуществляется с помощью целиков, а пролеты камер выбираются исходя из устойчивости пород. Ширина камеры принимается равной устойчивому пролету кровли , м, который определяется по формуле:

, (1)

где:

- устойчивый пролет кровли, м;

- мощность нижнего слоя кровли, м;

- безразмерный коэффициент (для условий пологих пластов Кузбасса равный 0,7 - 0,8);

- коэффициент концентрации давления в месте закрепления нижнего слоя кровли ( = 1,5 - 2,0);

- объем вес пород (подработанной толщи), МН/м3;

H - глубина разработки, м;

- прочность пород (нижнего слоя кровли) на одноосное сжатие, МПа;

- коэффициент пригрузки нижнего слоя кровли;

- объемный вес нижнего слоя кровли, МН/м3.

7. Ширина междукамерного ленточного целика при чередовании камер и целиков определяется решением равенства относительно :

, (2)

где:

A - ширина камеры, м, принимается равной или меньшей ;

- ширина междукамерного целика, м;

- коэффициент запаса;

- кубиковая прочность угля на сжатие, МПа;

- коэффициент формы, равный:

, (3)

здесь - вынимаемая мощность пласта, м.

8. Глубина работ при необходимости сохранения земной поверхности принимается равной фактическому расстоянию от кровли пласта до земной поверхности.

В остальных случаях, H, м, принимается равной мощности непосредственной кровли, но не менее 2A.

9. Мощность несущего слоя, , м, определяется по формуле:

, (4)

где:

A - ширина камеры, м;

- объемный вес пород, МН/м3;

- коэффициент закрепления кровли на опорах, равный 1,41 - 1,63;

- коэффициент пригрузки вышележащих пород, равный 2,5 - 3,0;

- коэффициент влияния опорного давления от ранее отработанных камер, равный 2,5;

- коэффициент влияния трещиноватости пород кровли, равный в зависимости от типа кровли 0,6 - 0,9;

- коэффициент увеличения прочности пород за счет анкерования, равный 1,3 - 1,4.

10. Длина анкеров, определяется по формуле:

, (5)

где:

- глубина запаса длины анкера выше несущего слоя, принимаемая 0,5;

- длина выступающей части анкера, равная 0,15 - 0,2 м.

11. Перед расчетом по формуле 4 приложения, необходимо представить расчетную схему, выбрать значения коэффициентов, входящих в эту формулу, и определить средневзвешенное значение прочности пород на одноосное сжатие по формуле 3 приложения N 1 к Инструкции.

12. Необходимое сопротивление анкерной крепи, , кН/м2, определяется, исходя из обеспечения "подшивки" несущего слоя к вышерасположенным устойчивым породам, вес которого зависит от мощности и плотности пород:

, (6)

где:

- коэффициент запаса, = 1,2 - 1,7;

- объемный вес пород кровли, кН/м3.

13. Требуемое количество анкеров в ряду, , определяется по формуле:

, (7)

где:

- принятое расстояние между рядами анкеров, м;

- несущая способность одного анкера, кН.

Полученное расчетом количество анкеров в ряду округляется в большую сторону до 0,5.

Приложение N 13
к Федеральным нормам и правилам
в области промышленной безопасности
"Инструкция по расчету и применению
анкерной крепи на угольных шахтах",
утвержденным приказом Федеральной службы
по экологическому, технологическому
и атомному надзору
от 19 ноября 2020 г. N 448

РАСЧЕТ ПАРАМЕТРОВ АНКЕРОВ В ГОРНЫХ ВЫРАБОТКАХ, ОБОРУДОВАННЫХ ПОДВЕСНЫМИ МОНОРЕЛЬСОВЫМИ ДОРОГАМИ

I. РАСЧЕТ ПАРАМЕТРОВ АНКЕРНОЙ КРЕПИ КРОВЛИ ГОРНЫХ ВЫРАБОТОК С УЧЕТОМ ПРИГРУЗКИ ОТ ПОДВЕСНОЙ МОНОРЕЛЬСОВОЙ ДОРОГИ

1. Кровля горных выработок, в которых предусматривается применение подвесной монорельсовой дороги (далее - ПМД), испытывает при ее эксплуатации действие дополнительных нагрузок (в том числе, динамических). Это обстоятельство должно быть учтено при определении параметров анкерной крепи путем увеличения значения расчетной удельной нагрузки на величину пригрузки , создаваемой перевозимым по ПМД грузом.

Значение находится из выражения:

, (1)

где:

- максимальная статическая нагрузка на одну подвеску, кН;

- расстояние между подвесками ПМД, м;

- коэффициент, учитывающий влияние на кровлю динамических нагрузок, возникающих при перевозке грузов.

Расчет величин и проводится в соответствии с разделом II приложения.

Параметры анкерной крепи кровли горной выработки с ПМД определяются в следующем порядке: по Инструкции находится значение удельной нагрузки на анкеры , которая увеличивается на значение , после чего по суммарной расчетной нагрузке + выбирается необходимые тип и параметры анкерной крепи кровли.

II. РАСЧЕТ ПАРАМЕТРОВ АНКЕРОВ, СЛУЖАЩИХ ДЛЯ ПОДВЕШИВАНИЯ МОНОРЕЛЬСОВОЙ ДОРОГИ

2. Анкеры для подвешивания монорельсовой дороги к кровле горной выработки устанавливаются дополнительно к основной крепи горной выработки. Расчет параметров анкеров, служащих для крепления ПМД, проводится исходя из максимального веса перевозимого груза, величины допустимой нагрузки на одну подвеску монорельсового пути и необходимого коэффициента запаса, учитывающего возможные динамические перегрузки системы, определяемые производителем ПМД.

3. Максимальная статическая нагрузка на одну подвеску , кН, определяется по формуле:

, (2)

где:

- максимально-допустимый вес перевозимого груза, приходящийся на отрезок дороги , кН;

- участок монорельсовой дороги, м, в пределах которого происходит ее наибольшее нагружение (рисунок 1 приложения), определяется приходящимся на него количеством грузовых тележек q и рассчитывается исходя из технических характеристик ПМД, допустимого веса перевозимого груза и грузоподъемности грузовой тележки;

- суммарный вес навесного (подъемного) оборудования на участке дороги , кН;

- коэффициент, величина которого зависит от количества несущих тележек, попадающих на два смежных рельса относительно точки подвеса и определяется по формуле:

;   (3)
,

здесь - минимальное расстояние между несущими тележками, м;

- расстояние между подвесками ПМД, м.

Рис. 1. Схема к расчету нагрузок на подвески ПМД

4. Исходя из конструкции подвесок и их несущей способности , расстояние между подвесками выбирают с таким расчетом, чтобы выполнялось условие:

, (4)

где - коэффициент запаса, учитывающий динамические перегрузки системы, определяемый производителем ПМД и принимается равным не менее трех.

Под подвеской понимается конструкция, состоящая из растяжек-подвесов - системы, соединенных между собой стержней, цепей, хомутов, болтов на одну точку крепления монорельса. Таким образом, одна подвеска может состоять как из одной, так и из нескольких растяжек. Если последние сходятся в одной точке крепления монорельса, то несущая способность всей подвески может не равняться сумме несущих способностей ее отдельных растяжек-подвесов. Поэтому, под величиной следует понимать минимальную нагрузку, при которой происходит разрушение хотя бы одного элемента подвески, приводящее к выходу ее из строя.

Если неравенство (4) приложения не выполняется, необходимо: уменьшить вес перевозимого груза , либо увеличить несущую способность подвесок , либо сократить расстояние между ними , либо увеличить количество грузовых тележек q.

Рис. 2. Варианты подвешивания ПМД: а - на одном анкере с жестким креплением; б - на двух анкерах с жестким креплением; в - на одном анкере и цепи; г - на двух анкерах и цепях

Суммарный вес перевозимого груза и навесного оборудования , приходящийся на количество грузовых тележек q, не должен превышать их несущей способности .

5. Длина прямолинейных секций принимается не более 3,2 м. Расстояние между подвесками не должно допускать прогиба монорельса между ними более 1/200 длины секции спецпрофиля. Найденное расстояние между подвесками , равное шагу установки подвешивающих анкеров проверяется на соответствие этим требованиям.

6. Необходимая несущая способность анкеров , служащих для подвешивания ПМД, определяется исходя из несущей способности одной подвески , ее конструкции (количества закрепляющих подвеску анкеров ) и коэффициента запаса :

. (5)

По найденной величине выбираются соответствующий ей диаметр анкерных стержней.

7. Длина анкеров подвески монорельсовой дороги должна быть больше длины анкеров первого уровня, установленных в кровле горной выработки. Величина , рассчитывается по формуле:

, (6)

где - расчетная длина анкеров первого уровня (с учетом длины выступающей в горную выработку части анкерного стержня);

- величина заглубления подвешивающих ПМД анкеров над анкерами первого уровня, которая принимается равной не менее 0,5 м для II типа кровли по обрушаемости, и не менее 1,0 м для I, III и IV типа кровли по обрушаемости (рисунок 3 приложения).

Длина закрепляющей втулки должна быть не менее 1,1 м.

8. Для подвески монорельсовой дороги могут быть использованы специальные анкеры необходимой несущей способности, указанной в пункте 5 приложения.

Рис. 3. Пример крепления ПМД

Приложение N 14
к Федеральным нормам и правилам
в области промышленной безопасности
"Инструкция по расчету и применению
анкерной крепи на угольных шахтах",
утвержденным приказом Федеральной службы
по экологическому, технологическому
и атомному надзору
от 19 ноября 2020 г. N 448

РАСЧЕТ ПАРАМЕТРОВ АНКЕРНОЙ КРЕПИ СОПРЯЖЕНИЙ

I. ОБЩИЕ ПОЛОЖЕНИЯ И ИСХОДНЫЕ РАСЧЕТНЫЕ ДАННЫЕ

1. Виды сопряжений одиночных горных выработок представлены на рисунке 1 приложения. Сопряжения горных выработок подразделяются на прямоугольные (а, в) и остроугольные (б).

Рис. 1. Виды сопряжений горных выработок: а - прямое пересечение; б - косое пересечение; в - прямое ответвление; г - остроугольное пересечение; д - ответвление по кривой; е, ж - соединения двух горных выработок в одну; з - двустороннее ответвление; и - пересечение с разносом горных выработок; к - сопряжение трех горных выработок (треугольный узел); л, м - примыкание горных выработок

2. При проведении и поддержании парных горных выработок в условиях динамических проявлений горного давления (пласты, опасные по горным ударам, внезапным выбросам угля (породы) и газа) все работы по проходке сбоек между ними с определением безопасного расстояния засечки сбойки до ближнего забоя проводимой горной выработки, принятию минимального опережения одного проходческого забоя относительно другого и расчету ширины податливого целика между выработками следует выполнять с учетом требований соответствующих нормативных документов, регламентирующих безопасные условия работы.

3. Сбойка парных горных выработок и крепление их сопряжений проводится с отставанием от ближнего проходческого забоя на расстояние не менее , определяемым по формуле:

, (1)

где:

, - соответственно ширина каждой парной горной выработки в проходке, м;

- ширина целика между горными выработками, м, а опережение передового проходческого забоя по отношению к забою другой выработки принимается не менее , определяемого из выражения:

. (2)

4. Существенное влияние на устойчивость сопряжений и сопрягающихся горных выработок оказывает форма их сечения, которая выбирается с учетом интенсивности проявлений горного давления, материала и типа крепи. При анкерной крепи форма сопряжений принимается прямоугольной или трапециевидной с плоской кровлей, совпадающей с поверхностями напластования пород, а в пластовых выемочных горных выработках - с кровлей пласта. В неустойчивых породах и на сопряжениях с большим пролетом принимается сводчатая форма сечения.

5. Расчетная глубина расположения сопряжения от земной поверхности принимается, как и для протяженных горных выработок, по пункту 4 приложения N 1 к Инструкции.

6. Расчетная ширина сопряжений принимается по пункту 3 приложения N 1 к Инструкции в зависимости от вида сопряжения.

Расчетная ширина сопряжений, пересекающихся и ответвляющихся горных выработок, рисунок 1 (а, б, з, к) приложения, определяется по формуле:

, (3)

где и - фактическая ширина пересекающихся горных выработок в проходке, м.

Расчетная ширина сопряжений с соединением, ответвлением и примыканием одной горной выработки к другой, рисунок 1 (в, г, д, е, ж, и, л, м) и рисунок 2 (а, б, в) приложения, определяются по формуле:

, (4)

где - фактическая ширина главной горной выработки в проходке, м;

- фактическая ширина, примыкающей, ответвляющейся, соединяющейся горной выработки, м.

Рис. 2. Виды сопряжений при проведении спаренных выработок:
а, в - прямоугольные; б - остроугольные

Расчетная ширина сопряжений подготовительной горной выработки с очистным забоем, рисунок 3 приложения, принимается равной ширине подготовительной горной выработки в проходке. Расчетная высота сопрягающихся горных выработок и сопряжений принимается равной их максимальной фактической высоте в проходке.

7. Расчетные сопротивления пород одноосному сжатию в массиве следует определять отдельно для кровли, боков и почвы:

в кровле - для всех слоев пород на высоту, равную 1,5 расчетной ширины сопряжения;

в боках - на фактическую высоту сопряжения с учетом всех слоев пород и угля;

в почве - на глубину, равную расчетной ширине сопряжения.

Для ряда смежных слоев с изменчивостью до 30% принимается для всего сопряжения усредненное значение расчетного сопротивления пород сжатию, определяемое по формуле:

, (5)

Входящие в формулу параметры расшифрованы в формуле 3 приложения N 1 к Инструкции.

8. Выбор типа крепи и определение ее параметров для сопряжений горных выработок производится на основе расчета смещений пород и ожидаемых нагрузок на крепь с учетом размеров и формы поперечного сечения, характеристик прочности, слоистости, трещиноватости, тектонической нарушенности и устойчивости пород в кровле, боках и почве, а также с учетом интенсивности горного давления на различных стадиях поддержания сопряжений, обусловленной глубиной от поверхности и степенью влияния на сопряжения других горных выработок и очистных работ.

В Инструкции рассматриваются методики расчета смещений пород кровли, когда применяется анкерная крепь. Заанкерованные породы упрочняются, в результате чего смещения кровли снижаются примерно вдвое по сравнению с перемещением пород на контуре кровли в горных выработках, закрепляемых рамной податливой крепью.

Рис. 3. Сопряжения очистного забоя с подготовительной горной выработкой: а - с погашаемой; б - с горной выработкой, сохраняемой за первым очистным забоем; в, г - с повторно используемой; д, е - с проводимой вприсечку к выработанному пространству (при сплошной присечке или при оставлении полосы угля шириной 2 - 4 м); ж, з - с горной выработкой, охраняемой целиком шириной меньше 0,1H, но не менее 15 м; и, к, л - с горной выработкой, охраняемой целиком (2,5 - 3,0) т (при погашении одной из парных горных выработок за очистным забоем или при ее временном сохранении для целей транспортирования угля); м, н - с горной выработкой, оформляемой за очистным забоем

Особенностью методики расчета смещений пород на контуре сопряжений, приведенной в разделе, является то, что рассматриваются смещения еще незаанкерованных пород контура горной выработки, и поэтому их величина в цифровом выражении больше, чем при установленных анкерах.

В формулах таблицы N 1 приложения смещения породе типовых условиях в зоне влияния очистных работ (, , , ) приводятся, как суммарное смещение почвы и кровли (конвергенция). Однако в результате пересчета посредством коэффициента формулы таблицы N 1 приложения выражают смещения только кровли в незаанкерованном состоянии.

Смещения кровли, определяемые по формулам таблицы N 1, посредством коэффициента 0,5 формул 27 - 28 приложения переводятся в уровень расчетов смещений заанкерованных пород кровли по приложению N 17 к Инструкции, и параметры крепи рассчитываются единообразным способом по всей Инструкции.

9. Сопряжения очистных забоев со штреками могут быть закреплены анкерами без применения передвижной механизированной крепи сопряжений при использовании двухуровневой схемы крепления.

II. РАСЧЕТ СМЕЩЕНИЙ ПОРОД НА СОПРЯЖЕНИЯХ ГОРНЫХ ВЫРАБОТОК И ОЦЕНКА ИНТЕНСИВНОСТИ ПРОЯВЛЕНИЙ ГОРНОГО ДАВЛЕНИЯ

10. Величина смещения пород на сопряжениях горизонтальных и наклонных горных выработок, находящихся вне зоны влияния очистных работ, определяется по формуле:

, (6)

где - смещение пород, мм, принятое за типовое и определяемое по рисунку 4 приложения в зависимости от расчетного сопротивления пород кровли, почвы или боков и глубины расположения сопряжения от поверхности H;

- коэффициент влияния угла падения вмещающих пород и направления проходки горной выработки относительно постирания пород, определяемый по таблице N 2 приложения;

- коэффициент направления смещений пород: при определении смещений со стороны почвы или кровли (в вертикальном направлении) = 1; при определении боковых смещений пород (в горизонтальном направлении) определяют по таблице N 2 приложения, где при поддержании сопряжений очистного забоя со спаренной горной выработкой, охраняемой целиком угля и погашаемой с его извлечением и вентиляционной горной выработкой, охраняемой целиком шириной 15 - 0,1H, м, подвергающейся влиянию первой лавы и сохраняемой за вторым очистным забоем, расчет смешений пород кровли производится так же, как для схемы, представленной на рисунке 3 приложения.

Таблица N 1

Формулы для расчета смещений кровли на сопряжениях

Вид сопряжения и расчетная формула смещений пород для его участка 10 м впереди очистного забоя, рисунок 3 приложения на участках сопряжения в зависимости от типа кровли Позиция на рисунке 3 приложения
В створе с очистным забоем 10 м сзади очистного забоя
I, IV II III I II III
1 2 3 4 5 6 7 8
1. С вентиляционной или конвейерной выработкой, погашаемой за первым очистным забоем при отработке первого столба в выемочном участке
1,3 1,2 1,4 - - - а
2. То же, сохраняемой за первым очистным забоем при отработке первого столба в выемочном участке и с конвейерной горной выработкой при отработке последующих столбов
1,3 1,2 1,4 1,8 1,6 2,0 б
3. То же, используемой повторно и погашаемой за вторым очистным забоем
1,5 1,3 1,6 - - - в
4. То же, используемой повторно и сохраняемой за вторым очистным забоем для целей прямоточного проветривания
1,3 1,3 1,6 1,8 1,6 2,0 г
5. То же, проводимой вприсечку к выработанному пространству всплошную
1,2 1,3 1,5 - - - д
6. То же, проводимой вприсечку к выработанному пространству с оставлением полосы угля шириной 2 - 4 м
1,1 1,2 1,4       е
7. С конвейерной горной выработкой, охраняемой целиками угля шириной от 15 м до 0,1H м и погашаемой за очистным забоем
1,4 1,3 1,6 - - - ж
8. То же, временно сохраняемой за очистным забоем для целей транспортирования угля
1,4 1,3 1,6 2,0 1,8 2,2 ж
9. С вентиляционной горной выработкой, охраняемой целиком шириной 15 м - 0,1H м и погашаемой за вторым очистным забоем
1,3 1,2 1,4 - - - 3
10. То же, податливыми целиками шириной 2,5 - 3,0 m и погашаемой за вторым очистным забоем
1,2 1,3 1,6 - - - и
11. С конвейерной выработкой, охраняемой податливыми целиками шириной 2,5 - 3,0 m и погашаемой за очистным забоем
1,3 1,2 1,4 - - - K
12. То же, шириной 2,5 - 3,0 m и временно сохраняемой за очистным забоем для целей транспортирования угля
1,3 1,2 1,4 1,6 1,4 1,8 л
13. С вентиляционной или конвейерной выработками, оформленными за очистным забоем при отработке первого столба в выемочном участке.
1,2 1,0 1,3 1,6 1,4 1,8 м
14. С вентиляционной горной выработкой, оформленной за очистным забоем, используемой повторно и погашаемой за очистным забоем второй лавы.
1,3 1,2 1,4 - - - н

Таблица N 2

Значения коэффициентов и

Направление проходки выработки Коэффициенты при углах падения пород , град.
до 20 21 - 30
По простиранию 1,0 0,35 0,95 0,55
Вкрест простирания 0,7 0,55 0.60 0,80
Под углом к простиранию 0,85 0,45 0,80 0,65

- коэффициент влияния размеров сопряжения, который определяют для кровли и почвы по формуле 7, для боков - 7 приложения:

; (7)

. (8)

Коэффициент влияния времени на смещения пород для горных выработок, срок службы которых менее 15 лет, определяется по графику, рисунок 5 приложения при сроке службы более 15 лет и H/R < 60 коэффициент = 1.

Коэффициент вредного воздействия горных выработок характеризует степень увеличения смещений пород на участках сопряжений по сравнению с одиночной выработкой, где = 1:

, (9)

где:

- коэффициент взаимовлияния сопрягающихся горных выработок, определяемый по таблице N 3 приложения;

- коэффициент влияния других смежных горных выработок, расположенных относительно участков сопряжений на расстояниях менее допустимых , определяемых по формуле 11 приложения:

, (10)

здесь - расстояние между сопряжением и соседней горной выработкой при отсутствии ее влияния, равное:

, (11)

здесь - ширина соседней горной выработки, м;

- коэффициент взаимовлияния соседних горных выработок, определяемый по таблице N 4 приложения, где в числителе для выработок с углом падения пород до 35°, в знаменателе - при свыше 35°.

- фактическое расстояние между сопряжением и другими горными выработками, м. При следует принимать .

11. При подготовке выемочных столбов парными горными выработками коэффициент для сопряжений горных выработок с их сбойками, при целике между горными выработками менее 15 м, определяется по формуле:

, (12)

где - ширина целика, м.

Таблица N 3

Значения коэффициента

Вид сопряжения Значение Примечание
Прямое пересечение 1,6 Рисунок 1а приложения
Косое пересечение 1,6 Рисунок 1б приложения
Прямое ответвление 1,4 Рисунок 1в приложения
Остроугольное ответвление 1,4 Рисунок 1г, 1д приложения
Соединение двух горных выработок в одну 1,4 Рисунок 1е, 1ж приложения
Двустороннее ответвление 1,6 Рисунок 1з приложения
То же, с разносом горных выработок 1,6 Рисунок 1м приложения
Соединение трех горных выработок (треугольный узел) 1,6 Рисунок 1к приложения
Примыкание горных выработок 1,2 Рисунок 1л, 1м приложения

а)

б)

Рис. 4. Графики для определения типового смешения пород :
а - для общего определения; б - для небольших глубин

Рис. 5. График для определения коэффициента , при t от 1 года до 15 лет

Таблица N 4

Значения коэффициента

Глубина расположения горной выработки, м Коэффициент при расчетном сопротивлении , МПа
до 30 от 30 до 60 от 60 до 90 более 90 до 30 от 30 до 60 от 60 до 90 более 90
горные выработки по простиранию горные выработки вкрест простирания
До 300 3,5/2,0 1,8/1,6 1,5/1,3 1,2/1,0 1,8 1,5 1,2 1,0
301 - 600 4,0/2,5 2,0/1,8 1,7/1,5 1,4/1,2 2,2 1,8 1,5 1,2
601 - 900 4,5/3,0 2,5/2,2 2,0/1,7 1,6/1,4 2,6 2,1 1,7 1,4
901 - 1200 5,0/3,5 3,5/3,0 2,5/2,0 1,8/1,6 3,0 2,5 2,0 1,5
Более 1200 5,5/4,0 4,0/3,5 3,0/2,3 2,0/1,8 3,4 2,9 2,4 1,7

12. Величина смещения пород на сопряжениях подготовительных горных выработок с очистным забоем, рисунок 3 приложения определяется:

для участка сопряжения 10 м впереди очистного забоя в зоне опорного давления по формулам 7 - 12 приложения приведенным в таблице N 1 приложения.

для участка сопряжения в створе с очистным забоем и участка 10 м позади очистного забоя смещения, рассчитанные по формулам 7 - 12 приложения, увеличиваются на соответствующий коэффициент , зависящий от типа кровли. Этот коэффициент увеличения смещений пород на участках сопряжения от интенсивного воздействия очистных работ приведен в таблице N 1 приложения.

В формулах, содержащихся в таблице N 1 приложения:

- смещения пород на сопряжении со стороны кровли, мм;

- смещения пород кровли сопряжения в период его службы вне зоны влияния очистных работ, мм, определяемые по формуле 6 приложения;

- смещения пород в зоне временного опорного давления очистного забоя, мм, определяемые по рисунку 6 приложения;

- коэффициент, учитывающий обрушаемость основной кровли, принимаемый равным 1,0 для I, III и IV типов кровли и 1,2 для II типа кровли;

- коэффициент, учитывающий влияние площади сечения сопряжения в свету до осадки, определяемый по таблице N 5 приложения (площадь сечения сопряжения определяется по его расчетной ширине);

Таблица N 5

Значения коэффициента

S, м2 10 12 14 16 18 20 22 24
1,0 1,1 1,2 1,25 1,35 1,45 1,6 1,8

- коэффициент, характеризующий долю смещений пород кровли в общих смещениях пород на сопряжении, определяемый по рисунку 7 приложения;

- смещения пород кровли в присечной горной выработке вне влияния подготавливаемой лавы, мм, определяются по формуле:

, (13)

здесь - смещения пород при проведении горной выработки вприсечку к выработанному пространству, мм, рисунок 8 приложения;

- смещения пород кровли в присечной горной выработке вне влияния подготавливаемой лавы, мм, определяются по формуле:

, (14)

здесь - смещения пород при проведении горной выработки вприсечку к выработанному пространству, мм, рисунок 8 приложения;

- средняя скорость смещений пород, мм/мес., в течение двух месяцев после проходки забоя присечной горной выработки, рисунок 9 приложения;

- коэффициент, учитывающий влияние места расположения присечной горной выработки относительно границы выработанного пространства, принимаемый при определении смещений кровли 1,0 для полной присечки и 0,7 при оставлении полосы угля шириной 2 - 4 м;

- смещения пород, мм, в присечной горной выработке в зоне влияния временного опорного давления собственной лавы, рисунок 10 приложения;

- вынимаемая мощность пласта, м;

- коэффициент, учитывающий влияние податливых искусственных ограждений, принимаемый 0,2 - для органной крепи; 0,15 - для железобетонных тумб; 0,1 - для литых полос из быстротвердеющих материалов; 0,2 - для породных полос при пневмозакладке; 0,3 - для бутокостров, костров из шпал; 0,4 - для породных полос, выкладываемых вручную и костров из круглого леса; 0,1 - для обрушившихся пород с помощью органной крепи;

- коэффициент влияния времени поддержания горной выработки между отработкой первого и второго очистного забоев, принимаемый по таблице N 6 приложения.

а

б

Рис. 6. Графики смещений пород в зоне временного опорного давления очистного забоя: а - общий; б - для небольших глубин

Рис. 7. Графики определения коэффициента

Таблица N 6

Значения коэффициента

Время поддержания выработки между первой и второй лавами, лет 0,5 1,0 1,5 2,0 3,0 4,0
0,6 0,75 0,9 1,0 1,10 1,15

- смещения пород, мм, в горной выработке за период влияния временного опорного давления первой лавы, определяемые по рисунку 11 приложения с учетом ширины целика ;

- смещения пород, мм, позади забоя первой лавы, определяемые по рисунку 12 приложения;

- скорость смещений пород в зоне остаточного опорного давления в горных выработках с охраной угольными целиками, мм/мес, рисунок 13 приложения;

t - время поддержания горной выработки в зоне остаточного опорного давления первой или второй лавы, мес. При воздействии опорного давления более одного года принимают , где - коэффициент влияния времени, принимаемый по таблице N 7 приложения.

а)

б)

Рис. 8. Графики смещений пород в присечных горных выработках вне зоны влияния собственного очистного забоя:
а - общий; б - для небольших глубин

а)

б)

Рис. 9. Графики скорости смещений пород в присечных горных выработках вне зоны влияния собственного очистного забоя: а - общий; б - для небольших глубин

а)

б)

Рис. 10. Графики смещений пород в присечных горных выработках в зоне влияния собственного очистного забоя:
а - общий; б - для небольших глубин

Таблица N 7

Значения коэффициента

Количество, лет Значение при , МПа
40 60 80
2 1,05 1,0 1,0
3 1,10 1,05 1,0
4 1,15 1,07 1,0
5 1,20 1,10 1,0

13. На основании расчетной величины смещений пород на контуре поперечного сечения сопряжений и участков сопрягающихся горных выработок за весь срок службы , необходимо производить оценку интенсивности проявлений горного давления по пункту 7 приложения N 3 к Инструкции и таблице N 8 приложения.

Рис. 11. Номограмма для определения смещений

Рис. 12. Номограмма для определения смещений

Таблица N 8

Категории интенсивности проявлений горного давления

Условия поддержания сопряжений горных выработок по интенсивности проявления горного давления (I - III - категории интенсивности) Смещения пород, мм
I. Небольшое давление До 50
II. Средней интенсивности Свыше 50, до 200
III. Интенсивное давление Свыше 200

Рис. 13. Номограмма для определения скорости смещения пород

III. РАСЧЕТ ПАРАМЕТРОВ АНКЕРНОЙ КРЕПИ СОПРЯЖЕНИЙ

14. Расчет параметров анкерной крепи и дополнительных средств ее усиления для сопряжений производится в зависимости от интенсивности горного давления, способа и параметров охраны горных выработок от влияния очистных работ, прочности, трещиноватости и устойчивости пород в кровле.

15. В качестве критерия интенсивности горного давления для расчета крепи принимаются расчетные смещения кровли с анкерной крепью , определяемые для сопряжения вне влияния очистных работ и в зоне их влияния соответственно по формулам:

; (15)

, (16)

где - коэффициент, учитывающий степень связывания и упрочнения пород при различных конструкциях и способах закрепления, принимаемый равным 1,0 для замковых клинораспорных и сталеполимерных анкеров при длине закрепления до 0,5 м; = 0,85 при длине закрепления ампулами 1,0 м; 0,75 - при закреплении анкера по всей длине скважины (шпура);

- смешения пород на сопряжениях вне зоны влияния очистных работ, определяемые по формуле 6 приложения;

- смещения пород на сопряжениях в зоне влияния очистных работ, определяемые по формулам 7 - 12 приложения.

При расчетных смещениях свыше 300 мм, расчет параметров анкерной крепи проводится из требования обеспечения максимальных смещений кровли не более 300 мм.

16. В условиях небольшого горного давления при расчетных смешениях кровли до 50 мм сопротивление анкерной крепи и длина анкеров принимаются в зависимости от типа кровли по таблице N 9 приложения.

17. В условиях горного давления средней интенсивности и интенсивного при расчетных смещениях кровли до 300 мм сопротивление анкерной крепи и длина определяются:

при I типе кровли по номограмме, приведенной на рисунке 1 приложения N 1 к Инструкции;

при II типе кровли принимать в соответствии с номограммой рисунка 1 приложения N 1 к Инструкции, а длину анкеров по таблице N 9 приложения;

при III и IV типах кровли сопротивление крепи и длину анкеров следует принимать на 10% и 20% соответственно, больше по сравнению с расчетными, по рисунку 1 приложения N 1 к Инструкции;

при II типе кровли приведенные в таблице N 9 приложения параметры длины анкеров , соответствуют мощности непосредственной кровли до 0,3B и закреплению анкеров в устойчивых прочных породах мощностью более 0,5 м. При ширине выработки от 8,5 до 12 м применять двухуровневую схему крепи с длиной анкеров первого уровня не менее 2,0 м при I и II типах кровли и не менее 2,4 м при III и IV типах кровли.

Таблица N 9

Параметры анкерной крепи

Расчетная ширина сопряжений в проходке B, м Сопротивление анкерной крепи при типах кровли, кН/м2 Длина анкеров l при типах кровли и мощности непосредственной кровли , м
I и II III и IV I III III и IV
< 0,2B > 0,2B
4,0 45 50 2,0 1,5 1,7 2,3
4,5 50 55 2,2 1,6 1,8 2,4
5,0 55 60 2,3 1,7 2,0 2,6
5,5 60 65 2,4 1,8 2,1 2,8
6,0 65 71 2,5 1,9 2,2 2,9
6,5 70 77 2,6 2,0 2,3 3,0
7,0 75 83 2,7 2,2 2,4 3,2
8,0 80 90 2,8 2,4 2,6 3,4
8,5 85 97 3,0 2,6 2,8 3,6

18. Для обеспечения рабочего состояния сопряжений выемочных горных выработок с очистным забоем и сопряжений подготавливающих горных выработок в зоне влияния очистных работ при расчетных смещениях > 300 м анкерную крепь следует усиливать рамной крепью, податливыми стойками или дополнительными анкерами. При этом параметры основной анкерной крепи принимают по рисунку 1 приложения N 1 к Инструкции для = 300 мм, а крепь усиления рассчитывается по формулам:

для податливых стоек и рам: ; (17)
для дополнительных анкеров: ; (18)
  , (19)

где:

- сопротивление крепи усиления, кН/м2;

- длина дополнительного анкера усиления, м;

и - параметры сопротивлении анкерной крепи и длины анкеров, требуемые по расчетным смещениям кровли в продолжение всего срока службы, определяются по рисунку 1 приложения;

- сопротивление установленной при проходке анкерной крепи, кН/м2.

Дополнительные средства крепления и в том числе стойки усиления можно заменить анкерной крепью, устанавливаемой в два уровня, как это показано для различных вариантов охраны горных выработок в приложении N 1 к Инструкции.

19. В качестве критерия интенсивности горного давления для расчета крепи в боках сопряжений следует принимать по аналогии с приложением N 2 к Инструкции степень относительной напряженности пород и пласта , определяемую по формуле:

, (20)

где:

- средний объемный вес пород, принимаемый равным 0,026 МН/м3;

H - глубина расположения сопряжений от поверхности, м;

- расчетное сопротивление слоев, пласта и пород в боках на сжатие, МПа;

- коэффициент концентрации напряжений в боках при проходке и поддержании сопряжений, принимаемый:

для сопряжений с пересекающимися горными выработками - 1,6, рисунок 1 (а, б, з) приложения;

для сопряжений с примыкающими горными выработками - 1,4, рисунок 1 (в, г, д, е, ж, и, к, л, м) приложения;

для сопряжений выемочных горных выработок с очистным забоем, рисунок 3 приложения - 2,3 при III типе кровли, 3,0 при I и IV, 4,5 при II типе кровли;

- коэффициент увеличения напряжения в боках сопряжений от других горных выработок, который при l 15 равен 1, а при l < 15, определяется по формуле:

, (21)

здесь l - расстояние до влияющей горной выработки;

- коэффициент увеличения напряжений в боках сопряжений при расположении их в зоне влияния опорного давления от очистных работ, который при 0,1H равен 1, а при ширине целика менее 0,1H, определяется по формуле:

, (22)

здесь принимается равным 2 при I, III и IV типах кровли и равным 3 при II типе кровли. Для сопряжений выемочных горных выработок с очистным забоем, рисунок 3 приложения; коэффициенты и в формуле 20 приложения принимается равными 1.

В условиях, где напряженность в боках меньше расчетного сопротивления сжатию всех, в том числе и наиболее слабых слоев пород и угля в боках:

, (23)

крепление боков анкерной крепью не предусматривается, за исключением острых углов сопряжений, особенно в капитальных горных выработках с длительным сроком службы (более 5 лет), где следует устанавливать анкеры длиной 1 - 1,2 м с сопротивлением 10 - 15 кН/м2.

Если напряженность в боках превышает расчетное сопротивление сжатию только слабых пород и угля общей мощностью до 1,5 м, но меньше сопротивления сжатию других пород, предусматривается установка в этих породах (пласте) анкерной крепи, с сопротивлением анкерной крепи и длину анкеров на сопряжениях принимается соответственно равными 20 кН/м2 и 1,5 м. На острых углах сопряжений капитальных горных выработок с длительным сроком службы сопротивление крепи и длину анкеров следует увеличить в 1,5 раза, а расстояние между рядами анкеров принимать 1,0 - 1,2 м.

20. Крепь с рассчитанными параметрами устанавливается на самом сопряжении, а также на участках по обе стороны от сопрягающихся горных выработок в зависимости от расчетной ширины.

Если ширина сопряжения < 8 м, то к зоне сопряжения относятся также части примыкающих и пересекающихся выработок на протяжении равном 0,5 их ширины. Если ширина сопряжения 8 м, то к зоне сопряжения относятся также части примыкающих и пересекающихся выработок на протяжении равном их ширине. Расчетная высота горных выработок и сопряжений принимается равной их максимальной фактической высоте в проходке.

Приложение N 15
к Федеральным нормам и правилам
в области промышленной безопасности
"Инструкция по расчету и применению
анкерной крепи на угольных шахтах",
утвержденным приказом Федеральной службы
по экологическому, технологическому
и атомному надзору
от 19 ноября 2020 г. N 448

ВЫБОР КОНСТРУКЦИЙ АНКЕРНОЙ КРЕПИ

1. Выбор конструкции анкерной крепи, состоящей из анкеров, опорных элементов и затяжки определяется:

назначением;

сроком службы;

формой и размером горных выработок;

интенсивностью горного давления;

степенью устойчивости пород в кровле и боках горных выработок и сопряжений.

2. Длина закрепления анкеров в скважине (шпуре) в зависимости от диаметра стержня , диаметра ампулы , диаметра скважины и суммарной длины устанавливаемых ампул определяется по рисунку 1 приложения.

Анкеры с закреплением стержней минеральной композицией применяются в следующих случаях:

в горных выработках со сроком службы более 10 лет;

в горных выработках, пройденных по пластам весьма склонных к самовозгоранию;

в горных выработках с обводненными породами.

3. При закреплении стержней анкеров в скважинах (шпурах) ампулами с быстротвердеющими смолами, время отверждения первой (глубокой) ампулы должно быть минимальным, а остальных ампул с замедленным сроком отверждения - в соответствии с действующими инструкциями по их применению.

4. Все принятые для применения конструкции анкерной крепи должны иметь соответствующие сертификаты с указанием в технических характеристиках значений минимальной прочности на разрыв по резьбе, гайке, соединению стержней и другим ослабленным сечениям.

Рис. 1. Номограмма для определения длины закрепления стержня анкера в скважине (шпуре)

5. При проектировании анкерной крепи расчетная несущая способность принимается по минимальной прочности стержней на разрыв или минимальной прочности их закрепления в скважине (шпуре) на длине меньше 1 м с учетом уменьшения несущей способности на 20% при работе анкеров в обычных и на 40% в неблагоприятных условиях. При использовании анкерной крепи в горных выработках и сопряжениях сроком службы до 40 лет с сухими породами в кровле и при влажности воздуха меньше 85% анкеров принимается в соответствии с таблицей N 1 приложения.

Для горных выработок и сопряжений со сроком службы свыше 40 лет и в обводненных породах следует принимать на 20% меньше указанных в таблице N 1 приложения.

Расчетную несущую способность анкеров из специальных стержней (из высокопрочной стали со специальной резьбой, из нескольких свитых прутков, из арматурных канатов, из стеклопластика) следует принимать в соответствии с технической документацией, с учетом уменьшения расчетной несущей способности в различных условиях работы анкеров.

Принятую при проектировании расчетную несущую способность анкеров с длинной закрепления стержня меньше 1 м необходимо корректировать в соответствии с фактической, определяемой экспериментально в шахтных условиях.

Таблица N 1

Несущая способность анкерной крепи

Характеристика Расчетная несущая способность анкера , кН при длине закрепления, м
0,5 1,0 по всей длине скважины
Анкеры из стержней винтового профиля из стали А400С, А500С      
  N 16 100 100 120
  N 20 125 125 160
  N 25 185 185 240
Анкеры из стержней периодического профиля из стали А400С, А500С с метрической или трапециевидной резьбой 120 120 140
Анкеры из стержней диаметром 20 мм с метрической резьбой      
  из стали Ст.5 70 90 100
  из стали Ст.3 60 70 75
Анкеры из стержней диаметром 24 мм с метрической резьбой      
  из стали Ст.5 100 120 130
  из стали Ст.3 85 100 105

6. Различные конструкции клинораспорных металлических анкеров целесообразно применять в кровле горных выработок в условиях небольшого и средней интенсивности горного давления и залегании в месте закрепления клинораспорного замка нетрещиноватых пород прочностью на сжатие свыше 30 МПа.

Расчетная несущая способность клинораспорных анкеров принимается по минимальной прочности закрепления их замков. Предварительно при проектировании клинораспорных анкеров принимается равной 50 кН.

7. В боках горных выработок и сопряжений допускается применение различных конструкций сталеполимерных, сталеминеральных, клинораспорных металлических, стеклопластиковых, а в условиях относительной напряженности пласта меньше 2 - клинораспорных деревянных анкеров, с расчетной несущей способностью, при диаметре стержня 40 мм, равной 20 кН.

8. В качестве демпфирующих податливых элементов анкеров применяются: податливые опорные пластины, отрезки металлических трубок с внутренним диаметром 26 - 28 мм и толщиной стенок 3,0 - 3,5 мм, отрезки из уголка, швеллера, спецпрофиля, дерева и другие, надеваемые на анкеры между верхняком и натяжной гайкой, смятие которых происходит при нагрузках на анкеры до 0,8.

9. В качестве опорных элементов анкеров в кровле применяются верхняки длиной, равной ширине горных выработок и сопряжений или составные верхняки, соединяющие все анкеры в рядах в единую совместно работающую систему. Также применимы опорные плиты (с размерами не менее 250 x 250 мм и толщиной не менее 6 мм) с полной перетяжкой кровли металлической решетчатой затяжкой, выполненной из проволоки диаметром не менее 5 мм и размером ячейки не более 100 x 100 мм.

Усилие прорыва отверстия опорного элемента должно соответствовать несущей способности анкера. Устанавливаемые гибкие гофрированные подхваты (штрипсы) должны применяться вместе с шайбами размером не менее 180 x 180 мм и толщиной не менее 5 мм или не менее 100 x 100 мм и толщиной не менее 8 мм.

10. В боках горных выработок и сопряжений разрешается применять опорные плиты, подхваты, связывающие анкеры в рядах в единую систему, металлические полосы или гибкие гофрированные подхваты (штрипсы). При этом в пластовых подготовительных горных выработках в качестве опорных подхватов также допускается применять стеклопластиковые полосы или деревянные распилы со стороны отрабатываемой лавы.

11. Критериями качественной установки анкеров являются:

выступающая в выработку часть анкера не должна превышать 150 мм;

гайка на анкере должна быть затянута с моментом: для кровли - не менее 200 Н·м, для бока - не менее 100 Н·м;

диаметр скважины (шпура) превышает диаметр стержня анкера в пределах 5 - 10 мм;

длина скважин принимается с учетом толщины затяжки, верхняка и элементов податливости на 50 - 150 мм меньше длины стержней;

скважины должны быть прямолинейны с выступами до ± 0,5 мм и очищены от штыба.

Проверка усилия затяжки гаек выполняется при помощи динамометрического ключа.

12. В кровле горных выработок и их сопряжений необходимо устанавливать металлические затяжки из решеток или сетки, либо из стеклопластиковых тканей (решетки), а в условиях обрушающейся в проходческом забое неустойчивой кровли комбинированные подхват-затяжки.

Для крепления боков горных выработок допускается применять частичную затяжку лишь в условиях разрушения наиболее слабых слоев пород. В условиях разрушения пород на всю высоту горных выработок и сопряжений необходимо проводить затяжку боков, в капитальных горных выработках и их сопряжениях металлическими решетками и сетками, а в выемочных горных выработках деревом или сетками и тканями.

Приложение N 16
к Федеральным нормам и правилам
в области промышленной безопасности
"Инструкция по расчету и применению
анкерной крепи на угольных шахтах",
утвержденным приказом Федеральной службы
по экологическому, технологическому
и атомному надзору
от 19 ноября 2020 г. N 448

ПРОЕКТИРОВАНИЕ ДОКУМЕНТАЦИИ КРЕПЛЕНИЯ И ПОДДЕРЖАНИЯ ПОДГОТОВИТЕЛЬНЫХ ВЫРАБОТОК АНКЕРНОЙ КРЕПЬЮ

1. По выбранным конструкциям анкеров - расчетной несущей способности , сопротивлению анкерной крепи в кровле и в боках , а также принятому количеству анкеров в рядах кровли и боках , рассчитывается требуемое расстояние между рядами, устанавливаемых при проходке горной выработки анкеров в кровле и в боках по формулам:

; (1)

. (2)

При разрушении только отдельных слабых пород (пласта) в боках, вместо высоты горной выработки h допускается подставлять в формулу 2 приложения значение разрушенной части пород в боках по высоте горной выработки, м.

При проектировании анкерной крепи количество анкеров первого уровня в рядах в кровле следует принимать в зависимости от расчетной ширины горных выработок и сопряжений В. Количество анкеров в рядах должно составлять:

от 4 до 5 при 4 < B 5 м;

от 5 до 6 при 5 < B 6 м;

от 6 до 7 при 6 < B 7 м и от 7 до 8 при 7 < B 8,5 м.

Количество анкеров в боках в ряду следует принимать в зависимости от мощности разрушающихся пород (пласта) и должно составлять:

1 при m < 1,0 м;

2 при 1,0 < m 2,5 м;

3 и более при m > 2,5 м. 4.

Анкеры в кровле располагать с отклонением крайних анкеров от нормали к напластованию на угол 15 - 20° и на расстоянии их от боков не более 0,3 м. 5. Анкеры в боках следует располагать так, чтобы они пересекали наиболее слабые слои угля и пород, т.е. с отклонением от напластования на угол 15 - 30°, расстояние от кровли выработки до верхнего ряда анкеров должно быть не более 0,5 м.

2. Проводится сравнение расчетного шага установки анкеров по условию интенсивности горного давления с требуемым по условию минимальной плотности установки анкеров П в зависимости от степени устойчивости пород в кровле и степени разрушения боков, которая составляет: 1 анк/м2 при неустойчивых; 0,7 анк/м2 при средней устойчивости; 0,5 анк/м2 при устойчивых породах в непосредственной кровле и 0,4 анк/м2 при разрушающихся породах в боках. По условию устойчивости пород шаг установки анкеров соответственно в кровле и боках определяется по формулам:

; (3)

. (4)

Проектный шаг установки анкерной крепи в кровле и боках при проходке принимают по наименьшим значениям, и округляют до второго знака. Например, при расчетном = 1,27 м проектное принимают 1,2 м.

3. По принятому проектному шагу установки анкерной крепи в кровле, в документации крепления с ее усилением дополнительной анкерной крепью, рамами или стойками усиления производится расчет требуемого на шаг установки крепи количества усиливающих анкеров, рам или стоек по формулам:

; (5)

, (6)

где:

- сопротивление крепи усиления кН/м2 принимают в соответствии с расчетными для различных сопряжений;

- несущая способность анкера, кН;

- несущая способность рамной крепи или стоек усиления, кН;

и принимают в расчет согласно заявленным производителем данных.

Полученное расчетом проектное количество усиливающих анкеров, рам или стоек округляют в большую сторону до 0,5.

4. В соответствии с Инструкцией выбираются конструкции и типоразмеры опорных элементов, затяжек в кровле и боках, а также определяют технологию и технику для крепления горной выработки.

5. На основании сравнения различной документации крепления по трудоемкости, материалоемкости, стоимости крепления и поддержания, а также по другим факторам, принимается проектная документация крепления.

6. Уменьшение длины анкеров, плотности установки анкерной крепи, крепи усиления и посадочно-защитной крепи, по сравнению с требуемыми по Инструкции, допускается по результатам проведения научно-исследовательских работ с последующим консультационно-методическим сопровождением документации крепления.

7. За пределами действия Инструкции, а также на этапе внедрения на шахте, анкерную крепь применять по документации крепления, с проведением научно-исследовательских работ и консультационно-методическим сопровождением. Документация должна предусматривать дополнительные меры безопасности и постоянное наблюдение за проявлениями горного давления и состоянием крепи.

Приложение N 17
к Федеральным нормам и правилам
в области промышленной безопасности
"Инструкция по расчету и применению
анкерной крепи на угольных шахтах",
утвержденным приказом Федеральной службы
по экологическому, технологическому
и атомному надзору
от 19 ноября 2020 г. N 448

ОПРЕДЕЛЕНИЕ РАСЧЕТНЫХ СМЕЩЕНИЙ КРОВЛИ В ПРОТЯЖЕННЫХ ГОРНЫХ ВЫРАБОТКАХ С АНКЕРНОЙ КРЕПЬЮ

1. В горных выработках, проводимых в массиве и поддерживаемых в продолжение всего срока службы вне зоны влияния очистных работ (при ширине целика больше 0,1H и не менее 30 м), величина расчетных смещений кровли , определяется по формуле:

, (1)

где:

- типовые смещения кровли, определяемые в зависимости от глубины H и расчетного сопротивления пород в кровле сжатию по номограмме на рисунке 1 приложения, при B = 5 м, = 1, = 1, = 1 и = 1;

- коэффициент, учитывающий расположение горных выработок, принимаемый равным 1 для штреков, уклонов, бремсбергов и сопряжений и равным 0,7 для квершлагов;

- коэффициент, учитывающий отличие расчетной ширины горных выработок и сопряжений от B = 5 м, рассчитываемый по формуле:

; (2)

- коэффициент, учитывающий влияние других смежных горных выработок, принимаемый равным 1 при расстояниях от них l 15 м, а при l < 15 м, определяемый по формуле:

; (3)

- коэффициент, учитывающий степень связывания и упрочнения пород различными конструкциями анкеров, принимаемый для замковых, клинораспорных и сталеполимерных анкеров при длине их закрепления в скважине 0,5 м равным 1,0, при длине закрепления ампулами 1 м равным 0,85 и при закреплении по всей длине скважины (шпура) - 0,75.

Рис. 1. Расчетные смещения кровли в массиве при B = 5 м

2. В горных выработках, проводимых в массиве, а затем поддерживаемых в зоне влияния очистных работ при ширине целика 0,1H > > 15 м, величина расчетных смещений кровли , определяется по формуле:

, (4)

где:

- расчетные смещения кровли в период охраны целиком шириной 0,1H > > 15 м, определяемые в зависимости от , H и по рисунку 2;

- коэффициент, учитывающий обрушаемость основной кровли, принимаемый равным 1 для I и III типов кровли и 1, 2 - для II типа кровли.

Рис. 2. Расчетные смещения кровли при охране горной выработки целиками

3. В пластовых выемочных горных выработках, проводимых в массиве, охраняемых за лавой целиком 0,1H > > 15 м, а затем, погашаемых за смежной лавой, определение расчетных смещений кровли в продолжение всего срока службы, производится по формуле:

, (5)

где - дополнительные смещения от влияния погашающей лавы, определяются по рисунку 3 приложения.

4. В пластовых горных выработках, проводимых в массиве и погашаемых лавой, величина расчетных смещений кровли, определяется по формуле:

, (6)

где - расчетные смещения кровли в период влияния опорного давления на протяжении 0,1H от погашающей лавы, определяемые в зависимости от H и по рисунку 4 приложения.

5. В пластовых горных выработках, пройденных в массиве, а затем охраняемых разрушающимся в выработанном пространстве целиком шириной 2,5 - 3 мощности пласта или поддерживаемых на границе с выработанным пространством и охраняемых посадочно-защитной крепью, расчетные смещения кровли до первой отрабатываемой лавы определяются по пункту 4 приложения. На весь период поддержания таких горных выработок, до их погашения смежной лавой, при расчете документации крепления, в период интенсивного горного давления, во всех условиях, принимаются равными 300 мм.

6. В пластовых горных выработках, проводимых "вприсечку" к выработанному пространству, с защитной угольной полосой шириной 2 - 4 м на расстоянии от отрабатываемой лавы больше 200 м и, погашаемых смежной лавой, величина расчетных смещений кровли , определяется по формуле:

, (7)

где:

- расчетные смещения кровли при проходке горной выработки, определяемые в зависимости от H и по рисунку 5 приложения;

- расчетные смещения кровли в период влияния погашающей лавы, определяемые в зависимости от H и по рисунку 6 приложения.

Рис. 3. Расчетные смещения кровли горной выработки в зоне влияния погашающей лавы

Рис. 4. Расчетные смещения кровли горной выработки в зоне влияния погашающей лавы

Рис. 5. Смещения кровли при проходке присечной горной выработки

Рис. 6. Расчетные смещения в присечной горной выработке в зоне влияния погашающей лавы

Приложение N 18
к Федеральным нормам и правилам
в области промышленной безопасности
"Инструкция по расчету и применению
анкерной крепи на угольных шахтах",
утвержденным приказом Федеральной службы
по экологическому, технологическому
и атомному надзору
от 19 ноября 2020 г. N 448

АНКЕРЫ, ПРИМЕНЯЕМЫЕ НА ШАХТАХ

Таблица N 1

Характеристика анкеров, рекомендуемых к применению на шахтах

N п/п Тип анкера Конструктивное наименование Область применения
1 Сталеполимерные из проката винтового профиля А16В,
АКМ АВ16
Уголь при 6 МПа, порода при 10 МПа, подвеска монорельсовых дорог
А20В, АК20В,
АКМ АВ20, АКВ, АВ20П, АСП20В
А25В,
АКМ АВ25
2 Сталеполимерные из круглого стального профиля АСП-20, АСП-24, АКС-20, АКМ АМ20, Уголь при 6 МПа, порода при 20 МПа
АКМ АМ16
3 Сталеполимерные из проката периодического профиля АК-22,
АКС-22,
АКМ АМ16 (20, 25)
Уголь при 6 МПа, порода при 10 МПа
4 Сталеполимерный со сварными стержнями АКМ16, АКМ20, АКМ25 Уголь при 6 МПа, порода при 10 МПа
5 Канатные АК01, АК02, АК01-08 (-14, -25, - 32), В породе и угле.
КАГ-20 В породе.
В борту выработки
АС-25В В породе и угле
6 Сталеминеральные АКМ АВ, АКМ АМ, АКМ В породе и угле
АСМ-1, АСМ-2 В породе
7 Сталеорганический   В породе и угле при 40 - 50 МПа
8 Металлический замковый ШК-1М Уголь при > 8 МПа
Порода при 40 МПа
9 Полимерные БПА В породе и угле
10 Анкер для подвески МПД АК01-121,
АК01-125,
АК01-25 совместно с гайкой-подвесом
В породе и угле

L, мм d, мм A, мм Разрывное усилие, кН Допускаемая нагрузка, кН Удлинение, % Масса, кг
1600 М20 23 100 60 3 ... 4 4,1
1800 4,6
2000 5,1
2100 5,4
2300 5,9
2500 6,4
3000 7,6
1600 М24 27 140 85 5,8
1800 6,5
2000 7,2
2100 7,6
2300 8,3
2500 9,0
3000 10,0

Рис. 1. Сталеполимерные анкеры АСП, АКМ АМ из прокатов круглого профиля: 1 - стержень анкера; 2 - шайба опорная; 3 - гайка. Материал стержня - ВСт3. B = 60 ... 100 мм

а

б

в

Рис. 2. Общий вид основных типов сталеполимерных анкеров, применяемых на шахтах Кузбасса: 1 - стержень анкера; 2 - шайба опорная; 3 - гайка. Материал стержня - А400-14-1-5254-94. а, б - представители группы сталеполимерных анкеров из круглого профиля (анкер типа АКМ20 и анкер типа АК-20 (АГПС)); в - представитель группы сталеполимерных анкеров из арматурной стали периодического профиля (сталеполимерный анкер типа АК-22)

L, мм Номер профиля Разрывное усилие, кН Допускаемая нагрузка, кН Удлинение, % Масса, кг
1600 22 125 96 2 ... 3 4,1
1800 4,6
2000 5,1
2200 5,35
2500 5,85
3000 6,35

Рис. 3. Сталеполимерный анкер АК-22 (АКМ АМ) из проката периодического профиля:
1 - стержень анкера; 2 - шайба опорная; 3 - гайка. Материал стержня - А400С

L, мм Номер профиля d, мм d1, мм Разрывное усилие, кН Допускаемая нагрузка, кН Удлинение, % Масса, кг
2500 20 22,5 28 164 126 2 ... 3 7,14
3000 8,41
3500 9,68
4000 10,96
4500 12,23
5000 13,5
2500 25 27,9 33 241 185 10,8
3000 12,79
3500 14,77
4000 16,75
4500 18,73
5000 20,72

Рис. 4. Составные сталеполимерные анкеры из прокатов винтового профиля (АС20В и АС25В):
1, 2 - стержень анкера; 3 - гайка; 4 - шайба опорная; 5 - муфта. Материал стержней - Ав400С, муфты - сталь 30ХГСА

L, мм Номер профиля d, мм Разрывное усилие, кН Допускаемая нагрузка Удлинение, % Масса, кг
1400 16 18,3 129 100 2 ... 3 2,99
1600 3,31
1800 3,64
2000 3,96
2200 4,29
2500 4,78
2800 5,27
3000 5,59
1600 20 22,5 164 126 4,70
1800 5,21
2000 5,72
2200 6,23
2500 6,99
2800 7,75
3000 8,26
2000 25 27,9 185 185 8,61
2200 9,40
2500 10,59
2800 11,78
3000 12,58

Рис. 5. Сталеполимерные анкеры из прокатов винтового профиля N 16, 20, 25 (А16В, АМК АВ16, А20В, АМК АВ20, А25В, АМК АВ25, АК20В, АКВ):
1 - стержень анкера; 2 - гайка; 3 - шайба опорная. Материал стержня - Ав400С

а

б

в

Рис. 6. Сталеполимерные анкеры из арматурной стали винтового профиля:
а - анкер СА-20; б - А20В (АКМ АВ); в - анкер типа АМК (сварной стержень); 1 - стержень; 2 - сферическая шайба; 3 - гайка

L, мм Разрывное усилие, кН Допускаемая нагрузка, кН Удлинение, % Масса, кг
1600 164 126 2 ... 3 5,22
1800 5,73
2000 6,24
2200 6,75
2500 7,51
2800 8,27
3000 8,78

Рис. 7. Сталеполимерный анкер со сварными стержнями:
1 - стержень анкера сварной, 2 - гайка, 3 - шайба опорная. Стержень из арматуры винтового профиля N 20 сварен встык со стержнем арматурным из периодического профиля N 22. Материал стержня - Ав400С

а

б

Наименование L, мм Диаметр стержня, мм Допустимая нагрузка, кН Удлинение, % Масса, кг
АК01-08 2000 9,35 80 < 1,3 1,85
3000 2,3
4000 2,7
АК01-14 3000 12,4 145 4,5
4000 5,2
5000 6,0
6000 6,7
7000 7,4
АК01 3000 15,2 210 5,5
4000 6,6
5000 7,7
6000 8,8
7000 9,9
8000 11,0
9000 12,1

Рис. 8. Общий вид канатных анкеров:
а - канатный анкер АК01 (-08, -14) для химических и минеральных скрепляющих составов; б - канатный анкер КАГ-20; 1 - стержень анкера сварной, 2 - гайка, 3 - шайба опорная

Стержень из арматуры винтового профиля сварен встык с канатом диаметром 20 мм.

АК01 (-25, -32)

АК01-08

АК01-14

Рис. 9. Общий вид канатных анкеров типа АК01

Рис. 10. Общий вид канатного анкера типа АК02.
Предназначен для ампульно-нагнетательного или нагнетательного закрепления

Рис. 11. Канатный анкер АК01-121 (125)
Предназначен для подвешивания монорельсовой подвесной дороги

Рис. 12. Канатный анкер АК01-25 с гайкой-подвесом.
Предназначен для упрочнения пород кровли и подвешивания МПД

Рис. 13. Общий вид анкеров, в том числе применяемых для крепления ампулами с минеральной композицией:
а, б, в - анкер типа АМК АМ; г - анкер типа АКМ АВ; д, е, ж - анкер типа АКМ; з - АСМ-1; и - анкер АСМ-2

Рис. 14. Сталеорганический анкер:
1 - стержень анкера; 2 - опорная плитка; 3 - опорная шайба; 4 - деревянная втулка. Разрывное усилие - 95 кН.
Допускаемая нагрузка - 70 кН. Марка стали - Ст3. Масса 1 м анкера - 2,8 кг

L, мм Разрывное усилие, кН Допускаемая нагрузка, кН Удлинение, % Масса, кг
1000 100 60 3 ... 4 3,35
1200 3,84
1400 4,34
1600 4,83
1800 5,33
2000 5,82
2200 6,31
2400 6,81

Рис. 15. Металлический замковый анкер ШК-1М:
1 - стержень анкера; 2 - полувтулки; 3 - шайба опорная; 4 - гайка. Материал стержня - ВСт3

Рис. 16. Стеклопластиковый полимерный анкер АС-14Ш:
1 - стержень анкера, 2 - гайка, 3 - опорная шайба.
Прочность на срез - 50 кН. Допускаемая нагрузка на срез - 39 кН. Масса - 0,7 ... 0,85 кг

Диаметр шпура, мм 25 - 30
Диаметр композитной арматуры не менее, мм 20
Длина анкера, мм 1400 ... 3000
Габаритные размеры муфты
Длина не менее, мм 220
Резьба М22
Длина резьбовой части не менее, мм 185
Расчетная несущая способность, тс 8
Разрывное усилие не менее, тс 13
Рекомендуемая величина предварительного натяжения, тс 2 - 3

Рис. 17. Базальто-пластиковый анкер (БПА)

Приложение N 19
к Федеральным нормам и правилам
в области промышленной безопасности
"Инструкция по расчету и применению
анкерной крепи на угольных шахтах",
утвержденным приказом Федеральной службы
по экологическому, технологическому
и атомному надзору
от 19 ноября 2020 г. N 448

КОНСТРУКЦИИ ОПОРНЫХ ЭЛЕМЕНТОВ И ЗАТЯЖЕК

Ниже приведены примеры конструкций опорных элементов и затяжек.

Номер профиля L, мм H, мм Количество отверстий Предельная нагрузка на изгиб, кН Масса, кг
  2800 94 3 125 47,8
3600 4 61,4
3900 4 66,5
4200 5 71,6
2800 110 3 190 61,2
3600 4 78,7
3900 4 85,2
4200 5 91,8

Предельная нагрузка на изгиб - это максимальная сосредоточенная сила, воспринимаемая подхватом, приложенная между двумя соседними отверстиями с установленными анкерами.

Рис. 1. Подхваты из спецпрофилей СВП17, СВП22. Материал - ВСт5

Материал - Ст3пс5
Номер швеллера B, мм H, мм L, мм Кол. Отверстий Предельная нагрузка на растяжение, кН Масса, кг
8 80 40 2800 3 250 19,6
3600 4 25,2
3900 4 27,3
4200 5 29,4
10 100 46 2800 3 310 23,9
3600 4 30,7
3900 4 33,3
4200 5 35,9

Рис. 2. Подхваты из швеллеров N 8, 10, 12

Материал - Ст3кп
Толщина листа L, мм Кол. Отверстий Предельная нагрузка на растяжение, кН Масса, кг
2 2800 3 80 13,4
3600 4 17,3
3900 4 18,7
4200 5 20,1
2,5 2800 3 100 16,7
3600 4 21,4
3900 4 23,2
4200 5 25

Рис. 3. Подхват гофрированный из листа

Рис. 4. Подхват из полосы. Усилие продавливания через гайку S32 - 170 кН. Масса - 5,5 кг. Предельная нагрузка на растяжение - 80 кН. Материал - Ст3кп

Размеры, мм Усилие продавливания, кН Масса, кг
S A B H
3 150 150 3 100 0,51
4 150 150 4 140 0,68
5 150 150 5 170 0,85
3 150 150 3 100 0,69
4 150 150 4 140 0,92
5 150 150 5 170 1,14

Рис. 5. Подхват плоский из листа

B, мм H, мм S, мм D, мм Масса, кг
200 26 3 33 1,02
27 4 1,36
28 5 1,7
300 57 5 33 или 25 3,87
58 6 4,64

Рис. 6. Подхват с кольцевым выступом. Предельная нагрузка на сжатие - 160 кН. Материал - Ст3кп

Рис. 7. Подхват со сферическим выступом. Предельная нагрузка на сжатие - 200 кН. Материал - Ст3кп

Материал прутков диаметром 4 ... 6 мм - проволока 4-С (5-С или 6-С) прутков диаметром 6,5 мм - катанка 6,5 Ст3пс

d, мм A1, мм A2, мм B, мм L, мм Несущая способность, кН/м2 Удельная масса, кг/м2 Срок службы, лет
4 50 50 500 ... 1200 1000 ... 2400 12 4 10
50 100 11 3
100 100 10 2
100 150 9 1,7
5 50 50 500 ... 1200 1000 ... 2400 18 6.2 15
50 100 17 4,7
100 100 15 3,1
100 150 13 2,6
100 200 12 2,4
6 50 50 500 ... 1200 1000 ... 2400 19 8,9 15
50 100 18 6,7
100 100 17 4,5
100 150 15 3,7
100 200 13 3,4
6,5 50 50 500 ... 1200 1000 ... 2800 20 10,5 15
50 100 19 7,9
100 100 18 5,3
100 150 16 4,4
100 200 14 4
80 250 13 4,3

Рис. 8. Затяжки решетчатые (ЗР)

Рис. 9. Составной арочный верхняк из швеллера или спецпрофиля для горных выработок шириной B от 4,5 до 5,5 м

Соединения полуарок с помощью металлической планки, приваренной к одной полуарке с отверстиями для анкера на расстоянии 100 мм от ее конца.

Технические характеристики

Типоразмер L, мм b, мм c, мм l, мм S, мм P, мм Масса, кг
ММ-0,5 525 200 87,5 2,0 4,0 5,17 2,38
Nr24-1,8 1800 115 40 6,0 3,0 3,0 6,4
Nr24-2,2 2200 115 40 6,0 3,0 3,0 7,1
Nr24-2,6 2600 115 40 6,0 3,0 3,0 9,2

Рис. 10. Решетчатая затяжка с ромбическими ячейками

Типоразмер Размер ячейки, мм Диаметр проволоки, мм Ширина сетки, b Масса, кг/м2
ЗС-1 25 x 25 2,5 1000 3,7
ЗС-1,5 30 x 30 3,0 1500 6,6

Рис. 11. Стальная плетеная одинарная сетка

Приложение N 20
к Федеральным нормам и правилам
в области промышленной безопасности
"Инструкция по расчету и применению
анкерной крепи на угольных шахтах",
утвержденным приказом Федеральной службы
по экологическому, технологическому
и атомному надзору
от 19 ноября 2020 г. N 448

ПРИМЕРЫ УЗЛОВ ПОДАТЛИВОСТИ АНКЕРНОЙ КРЕПИ С ДЕМПФИРУЮЩИМИ ЭЛЕМЕНТАМИ

Рис. 1. Элементы податливости из:
а - податливой опорной пластины; б - трубки; в - швеллера; г - уголка; д - деревянного бруса; е - спецпрофиля СВП-17

Приложение N 21
к Федеральным нормам и правилам
в области промышленной безопасности
"Инструкция по расчету и применению
анкерной крепи на угольных шахтах",
утвержденным приказом Федеральной службы
по экологическому, технологическому
и атомному надзору
от 19 ноября 2020 г. N 448

(рекомендуемый образец)

УТВЕРЖДАЮ:
  Главный инженер шахты
   
  "__" _____________ 20__ г.

АКТ
ИСПЫТАНИЯ АНКЕРОВ НА НЕСУЩУЮ СПОСОБНОСТЬ

от "__" ____________ 20__ г.

Комиссия в составе:    
     
Провела испытания несущей способности анкеров, установленных в  
N п/п Место заложения анкеров (привязка к МТ или ПК) Нагрузка на анкер, кН Смещение анкера в шпуре, мм Примечание
1        
2        
3        
Выводы:  
Подписи: 1.    
  2.    

ЛИСТ
ЖУРНАЛА ПО КОНТРОЛЮ ЗА СОСТОЯНИЕМ ВЫРАБОТКИ И ПОКАЗАНИЯМИ РЕПЕРНЫХ СТАНЦИЙ ВНЕ ЗОНЫ ОПОРНОГО ДАВЛЕНИЯ

(рекомендуемый образец)

УТВЕРЖДАЮ:
  Главный инженер шахты
   
  "__" _____________ 20__ г.
Место заложения замерной станции (указывается с привязкой к МТ или ПК) Дата установки Показания реперных станций Примечание
Уровень "A" (Нижний репер) Уровень "B" (Средний репер) Уровень "C" (Верхний репер)
1 2 3 4 5 6
           
Дата снятия показаний  
Ответственный исполнитель  
  (фамилия, имя, отчество (при наличии), подпись)

Заполняется 1 раз в месяц (на каждый месяц новый лист). Журнал должен быть пронумерован и прошнурован.

ЛИСТ
ЖУРНАЛА ПО КОНТРОЛЮ ЗА СОСТОЯНИЕМ ВЫРАБОТКИ И ПОКАЗАНИЯМИ РЕПЕРНЫХ СТАНЦИЙ В ЗОНЕ ОПОРНОГО ДАВЛЕНИЯ

Место заложения замерной станции (указывается с привязкой к МТ или ПК) Дата установки Показания реперных станций Примечание
уровень "A" (нижний репер) уровень "B" (средний репер) уровень "C" (верхний репер)
1 2 3 4 5 6
           
Дата снятия показаний  
Ответственный исполнитель  
  (фамилия, имя, отчество (при наличии), подпись)

Заполняется 1 раз в месяц (на каждый месяц новый лист). Журнал должен быть пронумерован и прошнурован.