Решение ФАС РФ от 12.01.2021 N 223ФЗ-3/21

"О признании жалобы необоснованной: довод заявителя не нашел своего подтверждения"
Редакция от 12.01.2021 — Действует

ФЕДЕРАЛЬНАЯ АНТИМОНОПОЛЬНАЯ СЛУЖБА

РЕШЕНИЕ
от 12 января 2021 г. N 223ФЗ-3/21

ПО РЕЗУЛЬТАТАМ РАССМОТРЕНИЯ ЖАЛОБЫ ООО ФИРМА "ЧАЙКОВСКИЙ ПАРТНЕР" НА ДЕЙСТВИЯ (БЕЗДЕЙСТВИЕ) ЗАКАЗЧИКА ПРИ ЗАКУПКЕ ТОВАРОВ, РАБОТ, УСЛУГ В СООТВЕТСТВИИ С ФЕДЕРАЛЬНЫМ ЗАКОНОМ ОТ 18.07.2011 N 223-ФЗ "О ЗАКУПКАХ ТОВАРОВ, РАБОТ, УСЛУГ ОТДЕЛЬНЫМИ ВИДАМИ ЮРИДИЧЕСКИХ ЛИЦ"

Комиссия Федеральной антимонопольной службы по контролю в сфере закупок в составе: <...> (далее - Комиссия ФАС России),

при участии представителей:

ООО "Ч": <...>,

ПАО "Г": <...>,

рассмотрев посредством системы видео-конференц-связи жалобу ООО Фирма "Ч" б/д б/н на действия (бездействие) заказчика ПАО "Г" при проведении открытого конкурентного отбора в электронной форме на право заключения договора на поставку форменной и специальной форменной одежды для нужд подразделений ведомственной охраны ПАО "Г" (0001/20/4.6/0071725/ПАО Г) (извещение N 32009669283), в соответствии со статьей 18.1 Федерального закона от 26.07.2006 N 135-ФЗ "О защите конкуренции" (далее - Закон о защите конкуренции),

установила:

В ФАС России поступила жалоба ООО Фирма "Ч" (далее - Заявитель) б/д б/н на действия (бездействие) заказчика ПАО "Г" (далее - Заказчик) при проведении открытого конкурентного отбора в электронной форме на право заключения договора на поставку форменной и специальной форменной одежды для нужд подразделений ведомственной охраны ПАО "Г" (0001/20/4.6/0071725/ПАО Г) (извещение N 32009669283) (далее - Конкурентный отбор, Жалоба).

Федеральный закон от 18.07.2011 N 223-ФЗ "О закупках товаров, работ, услуг отдельными видами юридических лиц" (далее - Закон о закупках) устанавливает общие принципы закупки товаров, работ, услуг и основные требования к закупке товаров, работ, услуг юридическими лицами, указанными в части 2 статьи 1 Закона о закупках.

В соответствии с пунктом 1 части 1 статьи 18.1 Закона о защите конкуренции по правилам статьи 18.1 Закона о защите конкуренции антимонопольный орган рассматривает жалобы на действия (бездействие) юридического лица, организатора торгов, оператора электронной площадки, конкурсной комиссии или аукционной комиссии при организации и проведении торгов, заключении договоров по результатам торгов либо в случае, если торги, проведение которых является обязательным в соответствии с законодательством Российской Федерации, признаны несостоявшимися, а также при организации и проведении закупок в соответствии с Законом о закупках.

При этом в соответствии с частью 17 статьи 18.1 Закона о защите конкуренции при рассмотрении жалобы по существу комиссия антимонопольного органа рассматривает обжалуемые акты и (или) действия (бездействие) организатора торгов, оператора электронной площадки, конкурсной или аукционной комиссии, уполномоченного органа и (или) организации, осуществляющей эксплуатацию сетей.

Согласно части 1 статьи 2 Закона о закупках при закупке товаров, работ, услуг заказчики руководствуются Конституцией Российской Федерации, Гражданским кодексом Российской Федерации, Законом о закупках, другими федеральными законами и иными нормативными правовыми актами Российской Федерации, а также принятыми в соответствии с ними и утвержденными с учетом положений части 3 статьи 2 Закона о закупках правовыми актами, регламентирующими правила закупки.

Закупочная деятельность Заказчика регламентируется Положением о закупках товаров, работ, услуг ПАО "Г" и Компаний Группы Г, утвержденным решением Совета директоров ОАО "Г" (далее - Положение о закупке).

В соответствии с частью 5 статьи 4 Закона о закупках при осуществлении закупки, за исключением закупки у единственного поставщика (исполнителя, подрядчика) и конкурентной закупки, осуществляемой закрытым способом, в единой информационной системе размещаются информация о закупке, в том числе извещение об осуществлении конкурентной закупки, документация о конкурентной закупке, за исключением запроса котировок, проект договора, являющийся неотъемлемой частью извещения об осуществлении конкурентной закупки и документации о конкурентной закупке, изменения, внесенные в эти извещение и документацию, разъяснения этой документации, протоколы, составляемые в ходе осуществления закупки, итоговый протокол, а также иная информация, размещение которой в единой информационной системе предусмотрено Законом о закупках и положением о закупке, за исключением случаев, предусмотренных частями 15 и 16 статьи 4 Закона о закупках.

В соответствии с извещением об осуществлении закупки, документацией о закупке:

1. Извещение о проведении Конкурентного отбора, документация о проведении Конкурентного отбора (далее - Извещение, Документация) размещены в ЕИС - 11.11.2020;

2. Дата окончания подачи заявок - 10.12.2020;

3. Дата рассмотрения заявок - 10.12.2020;

4. Дата подведения итогов закупки - 16.12.2020;

5. Начальная (максимальная) цена договора - 417 694 032, 81 рублей;

6. На участие в закупке подано 2 заявки, признанные соответствующими требованиям Документации;

7. По итогам Конкурентного отбора 28.12.2020 заключены договоры.

Частью 10 статьи 3 Закона о закупках предусмотрен ряд случаев, позволяющих участникам закупок обжаловать в антимонопольный орган в порядке, установленном таким органом, действия (бездействие) заказчика при закупках товаров, работ, услуг, в том числе осуществление заказчиком закупки с нарушением требований настоящего Федерального закона и (или) порядка подготовки и (или) осуществления закупки, содержащегося в утвержденном и размещенном в единой информационной системе положении о закупке такого заказчика.

Из Жалобы следует, что Заказчиком при проведении Конкурентного отбора нарушены права и законные интересы Заявителя, а именно:

1. Заказчиком ненадлежащим образом осуществлена оценка заявки Заявителя по нестоимостным критериям;

2. Заказчиком ненадлежащим образом осуществлена оценка заявки победителя закупки, а также принято неправомерное решение о допуске к участию в закупке.

Комиссией ФАС России установлено, что Жалоба Заявителя содержит основания, предусмотренные частью 10 статьи 3 Закона о закупках, следовательно, подлежит рассмотрению в порядке статьи 18.1 Закона о защите конкуренции.

Рассмотрев представленные материалы, выслушав пояснения представителя Заявителя Комиссия ФАС России установила следующее.

1. Согласно доводу Жалобы Заказчиком ненадлежащим образом осуществлена оценки заявки Заявителя по не стоимостным критериям.

В соответствии с пунктом 2 части 1 статьи 3 Закона о закупках при закупке товаров, работ, услуг заказчики руководствуются, в том числе принципом равноправия, справедливости, отсутствия дискриминации и необоснованных ограничений конкуренции по отношению к участникам закупки.

В соответствии с частью 6 статьи 3 Закона о закупках не допускается предъявлять к участникам закупки, к закупаемым товарам, работам, услугам, а также к условиям исполнения договора требования и осуществлять оценку и сопоставление заявок на участие в закупке по критериям и в порядке, которые не указаны в документации о закупке. Требования, предъявляемые к участникам закупки, к закупаемым товарам, работам, услугам, а также к условиям исполнения договора, критерии и порядок оценки и сопоставления заявок на участие в закупке, установленные заказчиком, применяются в равной степени ко всем участникам закупки, к предлагаемым ими товарам, работам, услугам, к условиям исполнения договора.

Пунктами 13, 14 части 10 статьи 4 Закона о закупках установлено, что в документации о конкурентной закупке должны быть указаны критерии оценки и сопоставления заявок на участие в такой закупке, а также порядок оценки и сопоставления заявок на участие в такой закупке.

Согласно пункту 2.5.3 Документации анализ, рассмотрение и оценка заявок проводится в соответствии с приложением 3 к Документации "Методика анализа и оценки заявок на участие в конкурентном отборе" (далее - Методика оценки).

Из пояснений Заказчика следует, что Заявителю не присвоено максимальное количество баллов по нестоимостным критериям оценки заявок "Опыт выполнения поставок товаров, подобных предмету закупки: (количество договоров и отзывов к ним)", "Условия гарантийного обслуживания", "Статус Участника" и "Наличие документально подтвержденных гарантий поставок".

1.1. Согласно пункту 1 раздела 2 Методики оценки установлен критерий оценки заявок участников закупки "Опыт выполнения поставок товаров, подобных предмету закупки: (количество договоров и отзывов к ним)".

Предмет оценки по указанному критерию:

1. Количество представленных в Заявке Участника договоров. Требования к представляемым договорам:

- исполнен на момент подачи Заявки;

- заключен не ранее, чем за три года до размещения Извещения в ЕИС;

- сумма договора > 20% от НМЦ предмета закупки.

2. Количество отзывов от Заказчика (Покупателя) к договорам, представленным в составе Заявки.

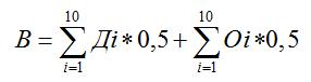
Оценка осуществляется следующим образом:

где:

"Д" - договор в составе заявки (1 балл);

"О" - отзыв к договору, представленному в составе Заявки (1 балл);

При этом если сумма слагаемых больше 10, то "В" принимается равной 10".

На заседании Комиссии ФАС России представитель Заказчика представил материалы и пояснил, что для оценки по критерию "Опыт выполнения поставок товаров, подобных предмету закупки: (количество договоров и отзывов к ним)" Заявителем представлено 12 договоров, вместе с тем к учету при присвоении баллов заявке Заявителя по указанному критерию принят только один из 12 договоров (договор N РСН-0893_18), поскольку указанный договор соответствует требованиям указанного критерия оценки и Документации.

1.2. Также, согласно пункту 5 раздела 2 Методики оценки установлен критерий оценки заявок участников закупки "Условия гарантийного обслуживания".

Для присвоения баллов по указанному критерию участнику необходимо представить документы с информацией об условиях гарантийного обслуживания.

Оценка осуществляется следующим образом:

"- 10 баллов - участником предоставляются дополнительные услуги по гарантийному обслуживанию;

- 5 баллов - участником предоставляются услуги по гарантийному обслуживанию в соответствии с условиями завода изготовителя;

- 0 баллов - участником не представлена информация об условиях гарантийного обслуживания".

На заседании Комиссии ФАС России представитель Заказчика представил материалы и пояснил, что в связи с отсутствием в составе заявки Заявителя предложений об условиях гарантийного обслуживания, а также предложений о предоставлении условий по гарантийному обслуживанию от завода изготовителя предлагаемого к поставке товара, заявке Заявителя по указанному критерию начислено 0 баллов.

1.3. Также, согласно пункту 6 раздела 2 Методики оценки установлен критерий оценки заявок участников закупки "Статус участника".

Предмет оценки указанного критерия: "наличие собственного производства 100% товара, являющегося предметом закупки. Документы, подтверждающие статус участника как официального представителя производителя, официального дистрибьютора или официального дилера 100% товара, являющегося предметом закупки".

Оценка осуществляется следующим образом: "10 баллов - производитель РФ; 7 баллов - производитель-нерезидент; 3 балла - официальный представитель производителя, официальный дистрибьютор или официальный дилер; 0 баллов - поставщик".

На заседании Комиссии ФАС России представитель Заказчика представил материалы и пояснил, что по указанному критерию заявке Заявителя присвоено 0 баллов, поскольку согласно форме N 1 (о подаче оферты) Заявитель указал, что имеет статус поставщика, при это иных документов, подтверждающих статус Заявителя как производителя-нерезидента, официального представителя производителя, официального дистрибьютора или официального дилера на всю предлагаемую к поставке продукцию в составе заявки не представлено.

1.4. Также, согласно пункту 6 раздела 2 Методики оценки установлен критерий оценки заявок участников закупки "Наличие документально подтвержденных гарантий поставок".

Оценивается объем продукции, по которой Участник представил дилерские/дистрибьюторские договоры или иные документы, подтверждающие статус дилера/дистрибьютора, либо письма с гарантией отгрузки товара в адрес Заказчика от предприятия-изготовителя (или официальных дилеров/дистрибьюторов с подтверждением дилерства/дистрибъюторства), либо документы, подтверждающие наличие товара в фактическом владении, либо является производителем данного товара

Оценка осуществляется следующим образом:

где:

Ni - цена Заявки Участника (руб. без НДС);

Nа - объем продукции, по которой Участник представил дилерские/дистрибьюторские договоры или иные документы, подтверждающие статус дилера/дистрибьютора, либо письма с гарантией отгрузки товара в адрес Заказчика от предприятия-изготовителя (или официальных дилеров/дистрибьюторов с подтверждением дилерства/дистрибъюторства), либо документы, подтверждающие наличие товара в фактическом владении, либо является производителем данного товара (руб. без НДС)".

На заседании Комиссии ФАС России представитель Заказчика представил материалы и пояснил, что Заявителю по указанному критерию присвоено 9,98 балла, поскольку Заявителем в составе заявки представлены документы, подтверждающие гарантии поставки предлагаемого к поставке товара, вместе с тем указанные документы представлены не на весь объем номенклатуры предлагаемого к поставке товара, а именно не подтверждены гарантии поставок товара по позиции 33 "кашне" производителя ООО "Д".

Вместе с тем представителем Заявителя на заседании Комиссии ФАС России не представлено доказательств, а также материалов, свидетельствующих о том, что Заказчиком ненадлежащим образом осуществлена оценка заявки Заявителя по не стоимостным критериям.

Учитывая изложенное, Комиссии ФАС России не представляется возможным прийти к выводу о том, что вышеуказанные действия Заказчика противоречат требованиям Закона о закупках.

2. Согласно доводу Жалобы Заказчиком ненадлежащим образом осуществлена оценка заявки победителя закупки, а также принято неправомерное решение о допуске к участию в закупке.

На заседании Комиссии ФАС России представитель Заказчика представил документы и пояснил, что оценка заявки победителя закупки осуществлена в соответствии с Методикой оценки заявок в соответствии с представленными в составе заявки победителем документами, при этом представитель Заказчика указал, что заявка победителя закупки соответствует требованиям Документации, в связи с чем правовых оснований для отклонения заявки победителя закупки у Заказчика не имеется.

Вместе с тем представителем Заявителя на заседании Комиссии ФАС России не представлено доказательств, а также материалов, свидетельствующих о том, что Заказчиком ненадлежащим образом осуществлена оценка заявки победителя закупки, а также принято неправомерное решение о допуске к участию в закупке.

Учитывая изложенное, Комиссии ФАС России не представляется возможным прийти к выводу о том, что вышеуказанные действия Заказчика противоречат требованиям Закона о закупках.

Также, учитывая, что текст Жалобы содержит ссылку на пункт 1 части 10 статьи 3 Закона о закупках Комиссией ФАС России выявлены следующие нарушения.

3. Согласно пункту 3.2.1 Документации победитель в течение 5 рабочих дней с даты получения направленного в соответствии с пунктом 3.1 Документации уведомления организатора о результатах конкурентного отбора обязан предоставить Заказчику в 2-х экземплярах подписанный со своей стороны оригинал текста договора, подготовленный в соответствии с пунктом 3.2.2 Документации, и информацию о цепочке собственников, включая бенефициаров (в том числе конечных).

Кроме того, согласно 3.2.4 Документации Заказчик вправе отказаться от заключения договора по итогам конкурентного отбора в случае непредоставления информации о цепочке собственников, включая бенефициаров (в том числе конечных) или представления информации в неполном объеме.

Вместе с тем в случае если участником закупки является акционерное общество, акции которого свободно торгуются на рынке ценных бумаг, предоставление актуальных сведений в отношении всей цепочки собственников, включая бенефициаров (в том числе конечных), и о составе исполнительных органов, с подтверждением соответствующих документов, не представляется возможным, поскольку присутствует вероятность непредсказуемых изменений держателей акций.

Кроме того, представление сведений о своих владельцах, включая конечных бенефициаров, не влияет на исполнение обязательств по договору, а также не является подтверждением надлежащего исполнения обязательств по договору, заключаемому по результатам закупки.

Таким образом, установление данного требования в Документации ограничивает количество участников закупки, противоречит пункту 2 части 1 статьи 3 Закона о закупках и нарушает требования части 1 статьи 2 Закона о закупках.

4. Согласно пункту 1.7.9 Документаций организатор вправе запросить у участника разъяснения положений поданной им заявки, письменное согласие на исправление очевидных арифметических и грамматических ошибок в заявке Участника, а также провести обсуждение с Участниками отдельных положений их Заявок, в том числе при наличии в них неточностей, противоречивых и иных сведений, требующих проверки и уточнения (при необходимости).

Вместе с тем возможность участия в закупке с учетом указанного положения Документации зависит от волеизъявления Заказчика, поскольку применение Заказчиком права запрашивать дополнительно информацию может применяться не в равной степени к участникам закупки, что ограничивает количество участников закупки и ставит в неравное положение.

Таким образом, действия Заказчика, установившего указанное положение Документации, ограничивают количество участников закупки и противоречат пункту 2 части 1 статьи 3 Закона о закупках и нарушают часть 1 статьи 2 Закона о закупках.

5. Согласно пункту 2 части 10 статьи 4 Закона о закупках в закупочной документации должны быть указаны в том числе, требования к содержанию, форме, оформлению и составу заявки на участие в закупке.

В соответствии с регламентом представления образцов продукции образцы продукции предоставляются по каждой номенклатурной позиции (каждому техническому заданию). Количество и размерные ряды по усмотрению участника.

При этом срок предоставления образцов: не позднее 3-х рабочих дней до плановой даты подведения итогов закупки.

Вместе с тем согласно статье 456 Гражданского Кодекса Российской Федерации, продавец обязан передать покупателю товар, предусмотренный договором купли-продажи. Если иное не предусмотрено договором купли-продажи, продавец обязан одновременно с передачей вещи передать покупателю ее принадлежности, а также относящиеся к ней документы (сертификаты соответствия, технический паспорт, сертификат качества и т.п.), предусмотренные законом, иными правовыми актами или договором.

Учитывая изложенное, требование о представлении на этапе подачи заявки образцов предлагаемого к поставке товара в соответствии с требованиями Документации, обременяют участника закупки заблаговременно произвести/приобрести указанную в техническом задании Документации продукцию, что накладывается на участника закупки дополнительные финансовые расходы.

Кроме того, в случае, если участник закупки не является производителем предлагаемого к поставке товара, в отсутствие обязанности производителя/дилера предлагаемого к поставке товара как-либо реагировать на соответствующие запросы участников закупки о представлении образцов товара, возможность участников закупки подать заявку на участие в закупке в соответствии с вышеуказанными требованиями Документации всецело зависит от волеизъявления третьих лиц - производителя/дилера, его официального представителя.

На основании вышеизложенного, Комиссия ФАС России приходит к выводу о том, что вышеуказанное требование является избыточным, поскольку для его исполнения Заказчик устанавливает необходимость для участника закупочной процедуры, в том числе произвести/приобрести соответствующий товар для его представления до подведения итогов закупки.

Таким образом, действия Заказчика, установившего указанные положения Документации, ограничивают количество участников закупки, противоречат пункту 2 части 1 статьи 3 Закона о закупках и нарушают требования пункта 2 части 10 статьи 4 Закона о закупках, что содержит признаки состава административного правонарушения, ответственность за совершение которого предусмотрена частью 7 статьи 7.32.3 Кодекса Российский Федерации об административных правонарушениях.

На основании вышеизложенного и в соответствии с частью 17 статьи 18.1 Закона о защите конкуренции Комиссия ФАС России

решила:

1. Признать жалобу ООО Фирма "Ч" (ИНН: <...>, ОГРН: <...>) б/д б/н на действия (бездействие) заказчика ПАО "Г" (ИНН: <...>, ОГРН: <...>) при проведении открытого конкурентного отбора в электронной форме на право заключения договора на поставку форменной и специальной форменной одежды для нужд подразделений ведомственной охраны ПАО "Г" (0001/20/4.6/0071725/ПАО Г) (извещение N 32009669283) необоснованной.

2. Признать ПАО "газпром" нарушившим часть 1 статьи 2, пункт 2 части 10 статьи 4 Федерального закона от 18.07.2011 N 223-ФЗ "О закупках товаров, работ, услуг отдельными видами юридических лиц".

3. Обязательное к исполнению предписание, направленное на устранение выявленных нарушений, в соответствии с принятым решением от 12.012021 N 223ФЗ-3/21 не выдавать, поскольку по итогам Конкурентного отбора 28.12.2020 заключены договоры.

4. Передать соответствующему должностному лицу Управления контроля размещения государственного заказа ФАС России материалы дела от 12.01.2021 N 223ФЗ-3/21 для рассмотрения вопроса о возбуждении дела об административном правонарушении.

Решение может быть обжаловано в арбитражный суд в течение трех месяцев со дня его вынесения.