Постановление Правительства РФ от 26.02.2021 N 261

"О внесении изменений в Правила предоставления грантов в форме субсидий в области науки из федерального бюджета для государственной поддержки молодых российских ученых - кандидатов наук и докторов наук в целях реализации Указа Президента Российской Федерации от 9 февраля 2009 г. N 146 "О мерах по усилению государственной поддержки молодых российских ученых - кандидатов и докторов наук" (гранты Президента Российской Федерации), а также ведущих научных школ Российской Федерации"
Редакция от 26.02.2021 — Документ утратил силу, см. «Постановление Правительства РФ от 18.02.2025 N 175»

ПРАВИТЕЛЬСТВО РОССИЙСКОЙ ФЕДЕРАЦИИ

ПОСТАНОВЛЕНИЕ
от 26 февраля 2021 г. N 261

О ВНЕСЕНИИ ИЗМЕНЕНИЙ В ПРАВИЛА ПРЕДОСТАВЛЕНИЯ ГРАНТОВ В ФОРМЕ СУБСИДИЙ В ОБЛАСТИ НАУКИ ИЗ ФЕДЕРАЛЬНОГО БЮДЖЕТА ДЛЯ ГОСУДАРСТВЕННОЙ ПОДДЕРЖКИ МОЛОДЫХ РОССИЙСКИХ УЧЕНЫХ - КАНДИДАТОВ НАУК И ДОКТОРОВ НАУК В ЦЕЛЯХ РЕАЛИЗАЦИИ УКАЗА ПРЕЗИДЕНТА РОССИЙСКОЙ ФЕДЕРАЦИИ ОТ 9 ФЕВРАЛЯ 2009 Г. N 146 "О МЕРАХ ПО УСИЛЕНИЮ ГОСУДАРСТВЕННОЙ ПОДДЕРЖКИ МОЛОДЫХ РОССИЙСКИХ УЧЕНЫХ - КАНДИДАТОВ И ДОКТОРОВ НАУК" (ГРАНТЫ ПРЕЗИДЕНТА РОССИЙСКОЙ ФЕДЕРАЦИИ), А ТАКЖЕ ВЕДУЩИХ НАУЧНЫХ ШКОЛ РОССИЙСКОЙ ФЕДЕРАЦИИ

Правительство Российской Федерации постановляет:

Утвердить прилагаемые изменения, которые вносятся в Правила предоставления грантов в форме субсидий в области науки из федерального бюджета для государственной поддержки молодых российских ученых - кандидатов наук и докторов наук в целях реализации Указа Президента Российской Федерации от 9 февраля 2009 г. N 146 "О мерах по усилению государственной поддержки молодых российских ученых - кандидатов и докторов наук" (гранты Президента Российской Федерации), а также ведущих научных школ Российской Федерации, утвержденные постановлением Правительства Российской Федерации от 27 апреля 2005 г. N 260 "О мерах по государственной поддержке молодых российских ученых - кандидатов наук и докторов наук и ведущих научных школ Российской Федерации" (Собрание законодательства Российской Федерации, 2005, N 18, ст. 1686; 2009, N 22, ст. 2722; 2010, N 38, ст. 4825; 2012, N 45, ст. 6252; 2014, N 37, ст. 4951; 2016, N 24, ст. 3525; 2019, N 42, ст. 5929).

Председатель Правительства
Российской Федерации
М. МИШУСТИН

УТВЕРЖДЕНЫ
постановлением Правительства
Российской Федерации
от 26 февраля 2021 г. N 261

ИЗМЕНЕНИЯ, КОТОРЫЕ ВНОСЯТСЯ В ПРАВИЛА ПРЕДОСТАВЛЕНИЯ ГРАНТОВ В ФОРМЕ СУБСИДИЙ В ОБЛАСТИ НАУКИ ИЗ ФЕДЕРАЛЬНОГО БЮДЖЕТА ДЛЯ ГОСУДАРСТВЕННОЙ ПОДДЕРЖКИ МОЛОДЫХ РОССИЙСКИХ УЧЕНЫХ - КАНДИДАТОВ НАУК И ДОКТОРОВ НАУК В ЦЕЛЯХ РЕАЛИЗАЦИИ УКАЗА ПРЕЗИДЕНТА РОССИЙСКОЙ ФЕДЕРАЦИИ ОТ 9 ФЕВРАЛЯ 2009 Г. N 146 "О МЕРАХ ПО УСИЛЕНИЮ ГОСУДАРСТВЕННОЙ ПОДДЕРЖКИ МОЛОДЫХ РОССИЙСКИХ УЧЕНЫХ - КАНДИДАТОВ И ДОКТОРОВ НАУК" (ГРАНТЫ ПРЕЗИДЕНТА РОССИЙСКОЙ ФЕДЕРАЦИИ), А ТАКЖЕ ВЕДУЩИХ НАУЧНЫХ ШКОЛ РОССИЙСКОЙ ФЕДЕРАЦИИ

Правила предоставления грантов в форме субсидий в области науки из федерального бюджета для государственной поддержки молодых российских ученых - кандидатов наук и докторов наук в целях реализации Указа Президента Российской Федерации от 9 февраля 2009 г. N 146 "О мерах по усилению государственной поддержки молодых российских ученых - кандидатов и докторов наук" (гранты Президента Российской Федерации), а также ведущих научных школ Российской Федерации изложить в следующей редакции:

"УТВЕРЖДЕНЫ
постановлением Правительства
Российской Федерации
от 27 апреля 2005 г. N 260
(в редакции постановления
Правительства Российской Федерации
от 26 февраля 2021 г. N 261)

ПРАВИЛА ПРЕДОСТАВЛЕНИЯ ГРАНТОВ В ФОРМЕ СУБСИДИЙ В ОБЛАСТИ НАУКИ ИЗ ФЕДЕРАЛЬНОГО БЮДЖЕТА ДЛЯ ГОСУДАРСТВЕННОЙ ПОДДЕРЖКИ МОЛОДЫХ РОССИЙСКИХ УЧЕНЫХ - КАНДИДАТОВ НАУК И ДОКТОРОВ НАУК В ЦЕЛЯХ РЕАЛИЗАЦИИ УКАЗА ПРЕЗИДЕНТА РОССИЙСКОЙ ФЕДЕРАЦИИ ОТ 9 ФЕВРАЛЯ 2009 Г. N 146 "О МЕРАХ ПО УСИЛЕНИЮ ГОСУДАРСТВЕННОЙ ПОДДЕРЖКИ МОЛОДЫХ РОССИЙСКИХ УЧЕНЫХ - КАНДИДАТОВ И ДОКТОРОВ НАУК" (ГРАНТЫ ПРЕЗИДЕНТА РОССИЙСКОЙ ФЕДЕРАЦИИ), А ТАКЖЕ ВЕДУЩИХ НАУЧНЫХ ШКОЛ РОССИЙСКОЙ ФЕДЕРАЦИИ

1. Настоящие Правила определяют цели, порядок и условия предоставления грантов в форме субсидий в области науки из федерального бюджета для государственной поддержки молодых российских ученых - кандидатов наук и докторов наук и ведущих научных школ Российской Федерации (далее - научные школы) в соответствии с пунктом 7 статьи 78 и пунктом 4 статьи 78.1 Бюджетного кодекса Российской Федерации (далее - гранты).

2. Гранты предоставляются в целях финансового обеспечения затрат на проведение фундаментальных и прикладных научных исследований по приоритетным направлениям развития науки, технологий и техники Российской Федерации (далее - научные исследования) для материальной поддержки молодых российских ученых - кандидатов наук и докторов наук в целях реализации Указа Президента Российской Федерации от 9 февраля 2009 г. N 146 "О мерах по усилению государственной поддержки молодых российских ученых - кандидатов и докторов наук" и членов коллективов научных школ.

3. Гранты предоставляются в пределах лимитов бюджетных обязательств на соответствующий финансовый год и плановый период, доведенных до Министерства науки и высшего образования Российской Федерации как получателя средств федерального бюджета на цели, указанные в пункте 1 настоящих Правил.

Сведения о грантах размещаются на едином портале бюджетной системы Российской Федерации в информационно-телекоммуникационной сети "Интернет" (далее - единый портал) при формировании проекта федерального закона о федеральном бюджете (проекта федерального закона о внесении изменений в федеральный закон о федеральном бюджете).

4. Гранты предоставляются российским научным организациям или образовательным организациям высшего образования, а также организациям, осуществляющим производство научно-технической продукции, за исключением казенных учреждений, имеющим трудовые отношения с молодыми учеными и членами коллективов научных школ (далее соответственно - соискатели грантов, организации), по результатам отбора, проводимого Министерством науки и высшего образования Российской Федерации совместно с Советом по грантам Президента Российской Федерации для государственной поддержки молодых российских ученых и по государственной поддержке ведущих научных школ Российской Федерации (далее соответственно - Совет, отбор), для государственной поддержки:

научных исследований, проводимых молодыми (не достигшими 35 лет) учеными - кандидатами наук, являющимися гражданами Российской Федерации, имеющими научные достижения в соответствующем научном направлении, в том числе публикации статей в научных изданиях, индексируемых в базах данных Web of Science Core Collection и Scopus, участие в научных исследованиях, конференциях и семинарах, результаты интеллектуальной деятельности, результаты научной деятельности, результаты педагогической деятельности и общественное признание (премии, медали и другие награды) за 3-летний период, предшествующий году начала научного исследования;

научных исследований, проводимых молодыми (не достигшими 40 лет) учеными - докторами наук, являющимися гражданами Российской Федерации, имеющими научные достижения в соответствующем научном направлении, в том числе публикации статей в научных изданиях, индексируемых в базах данных Web of Science Core Collection и Scopus, участие в научных исследованиях, конференциях и семинарах, результаты интеллектуальной деятельности, результаты научной деятельности, результаты педагогической деятельности и общественное признание (премии, медали и другие награды) за 3-летний период, предшествующий году начала научного исследования;

научных исследований, проводимых научными школами.

Научной школой считается сложившийся коллектив исследователей численностью не менее 10 человек, связанных с проведением научных исследований по общему научному направлению и объединенных совместной научной деятельностью. Такой коллектив должен осуществлять подготовку научных кадров по образовательным программам по направлению научных исследований и иметь в своем составе:

руководителя, являющегося гражданином Российской Федерации, возраст которого на 1 января года начала научного исследования не должен превышать 50 лет, которым за 5-летний период, предшествующий году начала научного исследования, подготовлено минимум 3 кандидата, которым присуждены ученые степени кандидата наук и (или) ученые степени доктора наук;

исследователей, в том числе молодых, не достигших 35 лет, имеющих научные достижения в соответствующем научном направлении, в том числе публикации статей в научных изданиях, индексируемых в базах данных Web of Science Core Collection и Scopus, участие в научных исследованиях, конференциях и семинарах, результаты интеллектуальной деятельности, результаты научной деятельности, результаты педагогической деятельности и общественное признание (премии, медали и другие награды) за 3-летний период, предшествующий году начала научного исследования (далее - молодые ученые).

5. Способом проведения отбора является конкурс на получение гранта (далее - конкурс).

Конкурс в целях финансового обеспечения научных исследований, осуществляемых кандидатами наук и докторами наук проводится ежегодно, конкурс в целях финансового обеспечения научных исследований научных школ проводится один раз в 2 года.

Конкурс признается несостоявшимся, если по истечении установленного срока подачи заявок на участие в конкурсе (далее - заявки) подана только одна заявка или не подано ни одной заявки.

В целях проведения конкурса Министерство науки и высшего образования Российской Федерации:

определяет условия конкурса с учетом требований, установленных настоящими Правилами;

создает конкурсную комиссию и определяет порядок ее формирования и регламент работы;

устанавливает форму отчета о проведении научного исследования; осуществляет организационно-техническое и информационное обеспечение деятельности Совета;

размещает на едином портале и официальном сайте Министерства науки и высшего образования Российской Федерации в информационно-телекоммуникационной сети "Интернет" (далее - официальный сайт) объявление о проведении конкурса не менее чем за 30 календарных дней до истечения срока подачи заявок.

6. В объявлении о проведении конкурса указываются:

место нахождения, почтовый адрес, адрес электронной почты Министерства науки и высшего образования Российской Федерации;

доменное имя, и (или) сетевой адрес, и (или) указатель страниц сайта в информационно-телекоммуникационной сети "Интернет", на котором обеспечивается проведение конкурса (далее - сайт конкурса);

порядок предоставления участнику конкурса разъяснений положений объявления о проведении конкурса, даты начала и окончания срока такого предоставления;

требования к участникам конкурса;

условия и результат предоставления гранта, а также показатели, необходимые для достижения результата предоставления гранта;

срок (дата и время начала и окончания), место и порядок подачи заявок;

требования, предъявляемые к форме и содержанию заявок, подаваемых участниками конкурса, которые включают в том числе согласие на публикацию (размещение) в информационно-телекоммуникационной сети "Интернет" информации об участнике конкурса и о подаваемой им заявке, а также согласие соискателя гранта на обработку персональных данных;

порядок внесения участниками конкурса изменений в заявки, а также отзыва заявок, порядок и основания возврата заявок участникам конкурса;

критерии оценки заявок по перечню согласно приложению (далее - критерии), порядок рассмотрения и оценки заявок;

порядок заключения соглашения о предоставлении гранта по итогам конкурса, в том числе срок, в течение которого победитель (победители) конкурса должен подписать соглашение о предоставлении гранта, а также условия признания победителя (победителей) конкурса уклонившимся от заключения соглашения о предоставлении гранта;

срок размещения результатов конкурса на едином портале, сайте конкурса и официальном сайте (не более 14 календарных дней, следующих за днем определения победителей конкурса).

К объявлению о проведении конкурса прилагаются формы документов для подготовки участниками конкурса заявок.

7. Министерство науки и высшего образования Российской Федерации вправе вносить изменения в объявление о проведении конкурса и отказаться от проведения конкурса в течение первой половины установленного срока подачи заявок.

Изменения в объявлении о проведении конкурса, информация об отказе от проведения конкурса размещаются на едином портале, сайте конкурса и официальном сайте.

8. Организация на 1-е число месяца, предшествующего месяцу, в котором планируется проведение конкурса, должна соответствовать следующим требованиям:

а) организация не имеет неисполненной обязанности по уплате налогов, сборов, страховых взносов, пеней, штрафов и процентов, подлежащих уплате в соответствии с законодательством Российской Федерации о налогах и сборах;

б) организация не имеет просроченной задолженности по возврату в федеральный бюджет субсидий, бюджетных инвестиций, предоставленных в том числе в соответствии с иными нормативными правовыми актами, и иной просроченной (неурегулированной) задолженности перед Российской Федерацией;

в) организация не находится в процессе реорганизации (за исключением реорганизации в форме присоединения к юридическому лицу, являющемуся участником отбора, другого юридического лица), ликвидации, в отношении ее не введена процедура банкротства, ее деятельность не приостановлена в порядке, предусмотренном законодательством Российской Федерации;

г) организация не является получателем средств из федерального бюджета в соответствии с иными нормативными правовыми актами на цели, установленные пунктом 2 настоящих Правил;

д) организация не является иностранным юридическим лицом, а также российским юридическим лицом, в уставном (складочном) капитале которого доля участия иностранных юридических лиц, местом регистрации которых является государство или территория, включенные в утвержденный Министерством финансов Российской Федерации перечень государств и территорий, предоставляющих льготный налоговый режим налогообложения и (или) не предусматривающих раскрытия и предоставления информации при проведении финансовых операций (офшорные зоны), в совокупности превышает 50 процентов;

е) организация должна иметь материально-техническую базу и технологические возможности для достижения целей предоставления грантов, указанных в пункте 2 настоящих Правил;

ж) в реестре дисквалифицированных лиц отсутствуют сведения о дисквалифицированных руководителе организации, членах коллегиального исполнительного органа, лице, исполняющем функции единоличного исполнительного органа, или главном бухгалтере организации.

9. Для участия в конкурсе организация представляет в Министерство науки и высшего образования Российской Федерации через сайт конкурса в электронном виде заявку, включающую в том числе:

а) сопроводительное письмо;

б) следующие сведения и документы, приведенные в приложении N 1 к заявке:

сведения о соискателе гранта;

описание научного исследования;

техническое задание;

перечень показателей, необходимых для достижения результата предоставления гранта и их значения;

план работ;

перечень затрат, источником финансового обеспечения которых является грант;

сведения о соисполнителях соискателя гранта - для кандидатов наук и докторов наук;

сведения о составе научной школы;

в) следующие документы, приведенные в приложении N 2 к заявке:

копии наиболее важных научных работ (не более 3 работ) соискателя гранта. По монографиям представляются только аннотации объемом до 2 страниц машинописного текста;

выписка из протокола заседания ученого (научно-технического) совета организации или подразделения организации (при наличии) о выдвижении соискателя гранта, содержащая краткое описание научных достижений и участия соискателя гранта в научной (научно-исследовательской) деятельности;

копия паспорта соискателя гранта и копии паспортов молодых ученых - для научных школ;

копия диплома о присуждении ученой степени;

справка с места работы, подтверждающая трудовые отношения организации с соискателем гранта на дату подачи заявки;

оформленное на официальном бланке согласие органа государственной власти или органа местного самоуправления, осуществляющих функции и полномочия учредителя в отношении бюджетных или автономных учреждений участников конкурса, на участие таких бюджетных или автономных учреждений в конкурсе и последующее заключение с Министерством науки и высшего образования Российской Федерации соглашения о предоставлении гранта (за исключением бюджетных и автономных учреждений, функции и полномочия учредителя в отношении которых осуществляет Министерство науки и высшего образования Российской Федерации или Правительство Российской Федерации).

10. Организация имеет право подать несколько заявок по числу соискателей гранта. Каждый соискатель гранта имеет право представить свою работу только в рамках одной заявки.

Заявка, подготовленная соискателем гранта, должна быть изложена на русском языке. Допускается представление наиболее важных научных работ соискателя гранта на иностранном языке.

Организация несет все расходы, связанные с подготовкой и представлением соискателем гранта заявки.

Участник конкурса вправе изменить заявку до истечения установленного срока подачи заявок и отозвать поданную заявку до размещения результатов конкурса на едином портале и официальном сайте.

11. Конкурсная комиссия:

а) рассматривает поступившие заявки для определения соответствия участников конкурса и представленных ими заявок требованиям, указанным в объявлении о проведении конкурса и предусмотренным настоящими Правилами;

б) обеспечивает экспертизу заявок, соответствующих требованиям объявления о проведении конкурса и настоящим Правилам, с целью определения их соответствия критериям;

в) направляет в Совет заявки по результатам экспертизы, предусмотренной подпунктом "б" настоящего пункта, для проведения экспертной оценки и подготовки предложений Совета по определению победителей конкурса (далее - предложения).

12. Конкурсная комиссия в течение 10 рабочих дней со дня окончания приема заявок определяет соответствие участников конкурса, поданных ими заявок и предлагаемых для конкурса научных исследований требованиям, указанным в объявлении о проведении конкурса.

Результаты рассмотрения конкурсной комиссией заявок фиксируются в протоколе конкурсной комиссии.

13. Информация об участниках конкурса, заявки которых были рассмотрены, включая информацию об участниках конкурса, заявки которых были отклонены (с указанием причин отклонения), в том числе в связи с их несоответствием конкретным положениям объявления о проведении конкурса с указанием таких положений, а также информация о том, что конкурс не состоялся, размещаются на едином портале, официальном сайте и сайте конкурса не позднее 5 рабочих дней, следующих за днем подписания конкурсной комиссией протокола рассмотрения заявок.

14. Оценка заявок осуществляется в соответствии с критериями.

Срок для оценки заявок не может превышать 60 рабочих дней после размещения на едином портале и официальном сайте информации о результатах рассмотрения заявок.

В рамках оценки заявок Министерство науки и высшего образования Российской Федерации организует привлечение экспертов с целью осуществления экспертизы документов, указанных в пункте 9 настоящих Правил, по критериям. Для оценки используется 100-балльная шкала.

Итоговое количество баллов, выставляемых заявке, определяется как сумма баллов, выставленных по каждому критерию.

На основании результатов оценки заявок конкурсной комиссией каждой заявке присваивается порядковый номер по мере уменьшения итогового балла заявки.

Результаты экспертизы представляются Министерством науки и высшего образования Российской Федерации на рассмотрение в Совет.

Совет проводит экспертную оценку результатов экспертизы, представленных Министерством науки и высшего образования Российской Федерации, и готовит предложения, которые оформляются протоколом заседания Совета и направляются в Министерство науки и высшего образования Российской Федерации.

Министерство науки и высшего образования Российской Федерации определяет победителей конкурса на основе экспертной оценки и предложений, оформленных протоколом заседания Совета.

15. Итоги конкурса размещаются Министерством науки и высшего образования Российской Федерации на официальном сайте, едином портале и сайте конкурса не позднее 14-го календарного дня, следующего за днем определения победителей конкурса, уведомление об итогах конкурса направляется победителям конкурса не позднее 2 рабочих дней со дня принятия Министерством науки и высшего образования Российской Федерации соответствующего решения. Решение Министерства науки и высшего образования Российской Федерации об определении победителей конкурса, оформленное соответствующим протоколом, является основанием для заключения соглашения о предоставлении гранта между Министерством науки и высшего образования Российской Федерации и победителем конкурса.

16. Основаниями для отклонения конкурсной комиссией заявки на стадии ее рассмотрения и оценки являются:

а) поступление заявки после окончания срока подачи заявок;

б) несоответствие организации требованиям, предусмотренным пунктом 8 настоящих Правил;

в) несоответствие заявки требованиям к форме и содержанию, установленным в объявлении о проведении конкурса;

г) недостоверность представленной участником конкурса информации, в том числе информации о его месте нахождения и об адресе;

д) получение соискателем гранта стипендии Президента Российской Федерации молодым ученым и аспирантам, осуществляющим перспективные научные исследования и разработки по приоритетным направлениям модернизации российской экономики, или персональной стипендии имени Ж.И. Алферова для молодых ученых в области физики и нанотехнологий.

17. Соглашение о предоставлении гранта, дополнительное соглашение к указанному соглашению, в том числе дополнительное соглашение о расторжении соглашения о предоставлении гранта (при необходимости), заключаются между Министерством науки и высшего образования Российской Федерации и получателем гранта в форме электронного документа в государственной интегрированной информационной системе управления общественными финансами "Электронный бюджет" в соответствии с типовой формой, установленной Министерством финансов Российской Федерации. Соглашение о предоставлении гранта заключается в срок, не превышающий 30 рабочих дней со дня принятия Министерством науки и высшего образования Российской Федерации решения, указанного в пункте 15 настоящих Правил. В соглашении о предоставлении гранта указываются:

а) цель, условия, размер и порядок предоставления гранта (включая сроки (периодичность) перечисления гранта получателю и указание счета, на который перечисляется грант, с учетом положений, установленных бюджетным законодательством Российской Федерации) и направления затрат, источником финансового обеспечения которых является грант;

б) результат предоставления гранта и значения показателей, необходимых для достижения результата предоставления гранта, предусмотренные пунктом 21 настоящих Правил;

в) условие о применении к получателю гранта штрафных санкций в соответствии с пунктом 29 настоящих Правил;

г) формы отчетности получателя гранта при исполнении соглашения о предоставлении гранта, сроки и порядок их представления;

д) обязательство получателя гранта представлять в Министерство науки и высшего образования Российской Федерации отчеты в порядке и в сроки, которые установлены соглашением о предоставлении гранта и настоящими Правилами;

е) согласие получателя гранта на осуществление Министерством науки и высшего образования Российской Федерации и органами государственного финансового контроля обязательных проверок соблюдения целей, условия и порядка предоставления гранта, а также обязательство получателя гранта по включению в договоры (соглашения), заключенные в целях исполнения обязательств по соглашению о предоставлении гранта, положений о согласии лиц, являющихся поставщиками (подрядчиками, исполнителям), на проведение указанных проверок;

ж) условие о согласовании новых условий соглашения о предоставлении гранта или о расторжении соглашения о предоставлении гранта при недостижении согласия по новым условиям в случае уменьшения Министерству науки и высшего образования Российской Федерации как получателю бюджетных средств ранее доведенных до Министерства лимитов бюджетных обязательств, указанных в пункте 3 настоящих Правил, приводящего к невозможности предоставления гранта в размере, определенном в соглашении о предоставлении гранта;

з) запрет на приобретение получателем гранта, а также иными юридическими лицами, получающими средства на основании договоров, заключенных с получателем гранта, за счет гранта иностранной валюты, за исключением операций, осуществляемых в соответствии с валютным законодательством Российской Федерации при закупке (поставке) высокотехнологичного импортного оборудования, сырья и комплектующих изделий, а также иных операций, связанных с достижением указанных в пункте 2 настоящих Правил целей предоставления гранта;

и) положения о казначейском сопровождении, установленные правилами казначейского сопровождения в соответствии с бюджетным законодательством Российской Федерации;

к) условия и сроки расторжения соглашения о предоставлении гранта в одностороннем порядке Министерством науки и высшего образования Российской Федерации, в том числе в случае:

реорганизации (за исключением реорганизации в форме присоединения к юридическому лицу, являющемуся получателем гранта, другого юридического лица) или прекращения деятельности получателя гранта;

нарушения получателем гранта целей, порядка и условий предоставления гранта;

признания Советом отчета за первый год предоставления гранта неудовлетворительным;

недостижения согласия по новым условиям соглашения о предоставлении гранта в соответствии с подпунктом "ж" настоящего пункта;

л) возможности возмещения (компенсации) за счет средств гранта затрат (части затрат), произведенных получателем гранта из собственных средств до заключения соглашения о предоставлении гранта, при условии представления в территориальный орган Федерального казначейства документов, подтверждающих оплату произведенных получателем гранта затрат (части затрат).

18. Получатель гранта для подтверждения соответствия требованиям, предусмотренным пунктом 8 настоящих Правил, представляет в Министерство науки и высшего образования Российской Федерации в электронном виде через сайт конкурса в течение 3 рабочих дней со дня размещения результатов конкурса на едином портале, официальном сайте и сайте конкурса следующие документы (за исключением документов, которые были представлены на конкурс):

справка, подписанная руководителем получателя гранта (иным уполномоченным лицом), по состоянию на 1-е число месяца, предшествующего месяцу, в котором планируется заключение соглашения о предоставлении гранта, подтверждающая отсутствие у получателя гранта неисполненной обязанности по уплате налогов, сборов, страховых взносов, пеней, штрафов и процентов, подлежащих уплате в соответствии с законодательством Российской Федерации о налогах и сборах;

справка, подписанная руководителем получателя гранта (иным уполномоченным лицом), подтверждающая отсутствие у получателя гранта на 1-е число месяца, предшествующего месяцу, в котором планируется заключение соглашения о предоставлении гранта, просроченной задолженности по возврату в федеральный бюджет субсидий, бюджетных инвестиций, предоставленных в том числе в соответствии с иными нормативными правовыми актами, и иной просроченной (неурегулированной) задолженности по денежным обязательствам перед Российской Федерацией;

справка, подписанная руководителем получателя гранта (иным уполномоченным лицом), по состоянию на 1-е число месяца, предшествующего месяцу, в котором планируется заключение соглашения о предоставлении гранта, подтверждающая, что организация не находится в процессе реорганизации (за исключением реорганизации в форме присоединения к юридическому лицу, являющемуся получателем гранта, другого юридического лица), ликвидации, в отношении получателя гранта не введена процедура банкротства, деятельность получателя гранта не приостановлена в порядке, предусмотренном законодательством Российской Федерации;

справка, подписанная руководителем получателя гранта (иным уполномоченным лицом), по состоянию на 1-е число месяца, предшествующего месяцу, в котором планируется заключение соглашения о предоставлении гранта, подтверждающая, что получатель гранта не является получателем средств из федерального бюджета в соответствии с иными нормативными правовыми актами на цели, установленные настоящими Правилами;

справка, подписанная руководителем получателя гранта (иным уполномоченным лицом), по состоянию на 1-е число месяца, предшествующего месяцу, в котором планируется заключение соглашения о предоставлении гранта, подтверждающая, что получатель гранта не является иностранным юридическим лицом, а также российским юридическим лицом, в уставном (складочном) капитале которого доля участия иностранных юридических лиц, местом регистрации которых является государство или территория, включенные в утвержденный Министерством финансов Российской Федерации перечень государств и территорий, предоставляющих льготный налоговый режим налогообложения и (или) не предусматривающих раскрытия и предоставления информации при проведении финансовых операций (офшорные зоны), в совокупности превышает 50 процентов;

справка, подписанная руководителем получателя гранта (иным уполномоченным лицом), по состоянию на 1-е число месяца, предшествующего месяцу, в котором планируется заключение соглашения о предоставлении гранта, подтверждающая, что в реестре дисквалифицированных лиц отсутствуют сведения о дисквалифицированных руководителе получателя гранта, членах коллегиального исполнительного органа, лице, исполняющем функции единоличного исполнительного органа, или главном бухгалтере получателя гранта.

Министерство науки и высшего образования Российской Федерации рассматривает представленные получателем гранта документы, а также иные документы, указанные в объявлении о проведении конкурса, в течение 14 рабочих дней со дня их поступления в Министерство и принимает решение о заключении соглашения о предоставлении гранта либо направляет в адрес получателя гранта мотивированный отказ в заключении такого соглашения.

19. Получатель гранта в порядке, предусмотренном постановлением Правительства Российской Федерации от 12 апреля 2013 г. N 327 "О единой государственной информационной системе учета научно-исследовательских, опытно-конструкторских и технологических работ гражданского назначения", направляет в Министерство науки и высшего образования Российской Федерации сведения о проведении научно-исследовательских, опытно-конструкторских и технологических работ гражданского назначения.

По итогам прикладных научных исследований и (или) экспериментальных разработок получатель гранта получает охраняемый результат интеллектуальной деятельности, предусмотренный Гражданским кодексом Российской Федерации.

20. Основаниями для отказа получателю гранта в предоставлении гранта являются:

а) несоответствие представленных документов положениям, предусмотренным пунктом 18 настоящих Правил, или непредставление (представление не в полном объеме) указанных документов;

б) установление факта недостоверности представленной информации.

21. Результатом предоставления гранта является научное исследование, проведенное в соответствии с условиями соглашения о предоставлении гранта.

Показателями, необходимыми для достижения результата предоставления гранта, являются:

количество научных публикаций (монографии, учебники, учебные пособия, статьи, тезисы докладов и другие публикации);

количество публикаций в научных изданиях, индексируемых в базе данных Web of Science Core Collection;

количество публикаций в научных изданиях, индексируемых в базе данных Scopus;

количество публикаций в российских отраслевых научных изданиях, входящих в перечень ведущих рецензируемых научных журналов и изданий, размещенных в Российском индексе научного цитирования;

количество докладов и сообщений на конференциях, в том числе международных;

количество учебных курсов (лекции, семинары, практические занятия);

количество результатов интеллектуальной деятельности (изобретения, базы данных, полезные модели, промышленные образцы, программы для электронных вычислительных машин, секрет производства (ноу-хау);

количество подготовленных диссертаций на соискание ученой степени под руководством кандидата наук, доктора наук и руководителя научной школы.

22. Перечисление гранта осуществляется:

а) юридическим лицам, за исключением бюджетных (автономных) учреждений, в случае если грант подлежит в соответствии с бюджетным законодательством Российской Федерации казначейскому сопровождению, - на казначейский счет для осуществления и отражения операций с денежными средствами юридических лиц, не являющихся участниками бюджетного процесса, бюджетными и автономными учреждениями, открытый в территориальном органе Федерального казначейства, не позднее 2-го рабочего дня после представления в территориальный орган Федерального казначейства получателем гранта распоряжений о совершении казначейских платежей для оплаты денежного обязательства получателя гранта;

б) юридическим лицам, за исключением бюджетных (автономных) учреждений, в случае если грант не подлежит в соответствии с бюджетным законодательством Российской Федерации казначейскому сопровождению, - на расчетные счета, открытые получателям гранта в российских кредитных организациях, в сроки, установленные соглашением о предоставлении гранта;

в) бюджетным учреждениям - на лицевые счета, открытые в территориальном органе Федерального казначейства или финансовом органе субъекта Российской Федерации, в сроки, установленные соглашением о предоставлении гранта;

г) автономным учреждениям - на лицевые счета, открытые в территориальном органе Федерального казначейства, финансовом органе субъекта Российской Федерации, или на расчетные счета в российских кредитных организациях в сроки, установленные соглашением о предоставлении гранта.

23. Гранты выделяются ежегодно в течение 2 лет.

Размер гранта кандидатам наук составляет 600 тыс. рублей ежегодно, включая оплату их труда и труда соисполнителей научного исследования.

В число соисполнителей научного исследования должно входить не менее одного молодого (не достигшего 35 лет) ученого, студента, аспиранта, являющихся гражданами Российской Федерации. Размер оплаты труда кандидата наук и соисполнителей научного исследования не может превышать 360 тыс. рублей в год.

Размер гранта докторам наук составляет 1 млн рублей ежегодно, включая оплату их труда и труда соисполнителей научного исследования.

В число соисполнителей научного исследования должно входить не менее 3 молодых (не достигших 35 лет) ученых, студентов, аспирантов, являющихся гражданами Российской Федерации. Размер оплаты труда доктора наук и соисполнителей научного исследования не может превышать 600 тыс. рублей в год.

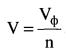
Размер гранта, предоставляемого научным школам на соответствующий финансовый год, определяется по формуле:

,

где:

- объем бюджетных ассигнований федерального бюджета, предусмотренных Министерству науки и высшего образования Российской Федерации на соответствующий финансовый год на цели, указанные в пункте 2 настоящих Правил;

n - ежегодное количество грантов.

Размер средств, расходуемых на оплату труда членов коллектива научной школы, определяется соглашением о предоставлении гранта, и не может превышать 50 процентов общей суммы гранта.

При этом не менее 50 процентов средств, расходуемых на оплату труда, направляется молодым ученым научной школы.

Материальная поддержка кандидатов наук, докторов наук, членов коллективов научных школ и соисполнителей научного исследования (оплата труда) за счет средств гранта осуществляется сверх заработной платы, установленной организацией, с которой они состоят в трудовых отношениях.

24. Грант предоставляется на финансовое обеспечение и (или) возмещение (компенсацию) следующих затрат:

а) оплата труда кандидатов наук, докторов наук и членов коллективов научных школ в соответствии с пунктом 23 настоящих Правил, а также исполнителей, привлекаемых к выполнению научного исследования по договорам гражданско-правового характера;

б) налоги, сборы и иные платежи в бюджеты бюджетной системы Российской Федерации;

в) приобретение оборудования для проведения научного исследования;

г) приобретение материалов и комплектующих для оборудования, необходимого для проведения научного исследования;

д) оплата командировочных расходов и участия руководителя научного исследования, соисполнителей научного исследования, членов коллективов научных школ в конференциях, научных семинарах и симпозиумах;

е) затраты на опубликование научных работ по направлению научного исследования кандидата наук, доктора наук и членов коллективов научных школ;

ж) оплата работ, выполняемых сторонними организациями;

з) компенсация затрат организации по предоставлению условий для выполнения работ по гранту в размере, не превышающем 10 процентов суммы гранта, включая:

затраты на коммунальные услуги;

затраты на приобретение услуг связи;

затраты на приобретение транспортных услуг;

затраты на оплату труда работников, которые не принимают непосредственное участие в выполнении работ по гранту;

затраты на прочие общехозяйственные нужды.

25. Расходование средств грантов осуществляется получателем гранта с согласия кандидата наук, доктора наук или руководителя научной школы.

26. Получатель гранта по окончании 1-го и 2-го года предоставления гранта представляет в Министерство науки и высшего образования Российской Федерации не позднее 30 рабочего дня, следующего за отчетным годом, отчеты:

о проведении научного исследования в соответствии с формой, установленной Министерством науки и высшего образования Российской Федерации и предусмотренной соглашением о предоставлении гранта;

о достижении значений показателей, необходимых для достижения результата предоставления гранта, по форме, определенной типовыми формами соглашений, установленными Министерством финансов Российской Федерации;

о расходах, источником финансового обеспечения которых является грант, по форме, определенной типовыми формами соглашений, установленными Министерством финансов Российской Федерации.

Министерство науки и высшего образования Российской Федерации организует привлечение экспертов с целью осуществления экспертизы представленных отчетов.

Результаты экспертизы отчетов представляются Министерством науки и высшего образования Российской Федерации на рассмотрение в Совет.

Совет проводит экспертную оценку представленных отчетов и готовит предложения, которые оформляются протоколом заседания Совета и направляются в Министерство науки и высшего образования Российской Федерации.

В случае признания Советом отчета за 1 -й год предоставления гранта удовлетворительным Министерство науки и высшего образования Российской Федерации продолжает финансирование научного исследования на 2-й год.

В случае признания Советом отчета за 1-й год предоставления гранта неудовлетворительным Министерство науки и высшего образования Российской Федерации прекращает финансирование научного исследования на 2-й год с последующим расторжением соглашения о предоставлении гранта.

Остатки субсидии, не использованные в 1-й год предоставления гранта, в случае признания отчетов о проведении научного исследования за этот год удовлетворительными, могут быть использованы во 2-й год предоставления гранта на цели, указанные в пункте 2 настоящих Правил, в соответствии с порядком, установленным Правительством Российской Федерации.

27. Министерство науки и высшего образования Российской Федерации и орган государственного финансового контроля проводят обязательные проверки соблюдения получателями грантов целей, условий и порядка предоставления гранта, установленных настоящими Правилами и соглашением о предоставлении гранта.

Министерство науки и высшего образования Российской Федерации принимает решение о приостановлении предоставления гранта в случае нарушения получателем гранта целей, условий и порядка предоставления гранта, представления недостоверной информации о проводимом научном исследовании.

28. В случае нарушения получателем гранта условий, установленных соглашением о предоставлении гранта, выявленного в том числе по фактам проверок, проведенных Министерством науки и высшего образования Российской Федерации и (или) органом государственного финансового контроля, а также в случае недостижения значений результатов и показателей, необходимых для достижения результата предоставления гранта, часть средств гранта в сумме установленного нарушения подлежит возврату в федеральный бюджет:

а) на основании требования Министерства науки и высшего образования Российской Федерации - не позднее 10-го рабочего дня со дня получения получателем гранта указанного требования;

б) на основании представления или предписания органа государственного финансового контроля - в сроки, установленные в соответствии с бюджетным законодательством Российской Федерации.

29. В случае признания отчета, указанного в абзаце третьем пункта 26 настоящих Правил, неудовлетворительным к получателю гранта применяются штрафные санкции, размер которых (А) определяется по формуле:

,

где:

V - размер средств федерального бюджета, фактически использованных за отчетный период для финансового обеспечения проводимых научных исследований;

М - общее количество показателей, необходимых для достижения результата предоставления гранта, указанное в соглашении о предоставлении гранта;

n - количество показателей, необходимых для достижения результата предоставления гранта, достигнутое значение которых ниже целевого значения, указанного в соглашении о предоставлении гранта, на отчетный период;

- значение i-го показателя, необходимого для достижения результата предоставления гранта, достигнутое на отчетный период;

- значение i-го показателя, необходимого для достижения результата предоставления гранта, установленное в соглашении о предоставлении гранта, на отчетный период.

Приложение
к Правилам предоставления грантов
в форме субсидий в области науки
из федерального бюджета
для государственной поддержки
молодых российских ученых - кандидатов наук
и докторов наук в целях реализации
Указа Президента Российской Федерации
от 9 февраля 2009 г. N 146
"О мерах по усилению государственной
поддержки молодых российских ученых -
кандидатов и докторов наук"
(гранты Президента Российской Федерации),
а также ведущих научных школ
Российской Федерации

ПЕРЕЧЕНЬ КРИТЕРИЕВ ОЦЕНКИ ЗАЯВОК

Критерий оценки заявок Количеств о баллов
I. Опыт и достижения соискателя гранта (от 0 до 75 баллов)
1. Опыт участия в научных исследованиях по выбранному направлению научного исследования 0-10
2. Количество и уровень публикаций в научных изданиях, индексируемых в базе данных Web of Science Core Collection и Scopus 0-30
3. Количество докладов и сообщений на конференциях, в том числе международных, представленных по тематике научного исследования 0-15
4. Количество и уровень полученных результатов интеллектуальной деятельности по тематике научного исследования 0- 10
5. Научная и (или) педагогическая деятельность 0-5
6. Общественное признание (награды - благодарности, грамоты, премии, медали, дипломы, почетные звания и др.) 0-5
II. Актуальность и научная новизна проекта (от 0 до 25 баллов)  
7. Актуальность планируемого научного исследования, значимость ожидаемых результатов и их вклад в реализацию приоритетов научно-технологического развития Российской Федерации 0-10
8. Новизна планируемого научного исследования 0- 15"