Методические указания по определению вредных веществ в сварочном аэрозоле (твердая фаза и газы)

(утв. Главным государственным санитарным врачом СССР 22.12.88 N 4945-88)
Редакция от 22.12.1988 — Действует с 22.12.1988

Данный документ не поддерживается в сервисе Норматив.


УТВЕРЖДАЮ
Заместитель Главного
государственного
санитарного врача СССР
А.И.ЗАИЧЕНКО
22 декабря 1988 г. N 4945-88

МЕТОДИЧЕСКИЕ УКАЗАНИЯ ПО ОПРЕДЕЛЕНИЮ ВРЕДНЫХ ВЕЩЕСТВ В СВАРОЧНОМ АЭРОЗОЛЕ (ТВЕРДАЯ ФАЗА И ГАЗЫ)

АННОТАЦИЯ

"Методические указания по контролю воздуха при сварочных и плазменных процессах" разработаны взамен утвержденных в 1981 г. Минздравом СССР "Методических указаний на определение вредных веществ в сварочном аэрозоле (твердая фаза и газы)" N 2348-81 и в развитие ГОСТ 12.1.005-76 "ССБТ. Воздух рабочей зоны. Общие санитарно-гигиенические требования" и ГОСТ 12.1.016-79 "ССБТ. Воздух рабочей зоны. Требования к методикам измерения концентраций вредных веществ" и Методических указаний "Контроль содержания вредных веществ в воздухе рабочей зоны" N 3936-85 Минздрава СССР.

С введением настоящих Методических указаний утрачивают силу "Методические указания на определение вредных веществ в сварочном аэрозоле (твердая фаза и газы)" N 2348-81 Минздрава СССР.

Необходимость издания настоящего документа вызвана тем, что МУ N 2348-81 содержат в основном фотометрические методы, разработанные в 60-х годах, многие из которых не удовлетворяют современным требованиям, изложенным в МУ "Контроль содержания вредных веществ в воздухе рабочей зоны" N 3936-85. Кроме того, большое количество ошибок и неточностей, содержащихся в документе N 2348-81, затрудняет использование его на практике.

Внедрение новых технологий сварочных и плазменных процессов, усложнение композиций свариваемых материалов выдвигают задачу совершенствования методов санитарно-химического контроля воздуха рабочей зоны с применением современной аппаратуры.

В настоящее время получили развитие методы переменно-токовой полярографии, атомно-абсорбционной спектрофотометрии, потенциометрии с ионоселективными электродами, позволяющие значительно повысить чувствительность, селективность, точность определения и увеличить оперативность получения результатов.

Анализ оснащенности санитарно-химических лабораторий СЭС, промышленных предприятий показал, что они располагают полярографами, атомно-абсорбционными спектрофотометрами, ионоселективными электродами и др. Однако отсутствие систематизированного сборника МУ, включающего утвержденные физико-химические методы, сдерживает эксплуатацию этих приборов.

Предлагаемый документ позволяет восполнить этот пробел. В документ включено 12 новых методик взамен устаревших, остальные методики апробированы, откорректированы в соответствии с ГОСТ 12.1.016-79 и МУ N 3936-85.

Настоящие Методические указания предназначены для санитарных лабораторий промышленных предприятий и учреждений санитарно-эпидемиологической службы, осуществляющих контроль за содержанием вредных веществ в воздухе рабочей зоны, а также организаций и специалистов, проводящих работы по гигиенической оценке сварочных материалов и способов сварки, наплавки и термической резки металлов, являющихся источником выделения сварочных аэрозолей (СА), с целью проведения оздоровительных мероприятий и оценки их эффективности.

Методические указания подготовлены Киевским институтом гигиены труда и профзаболеваний (Горбань Л.Н.); Ленинградским научно-исследовательским институтом охраны труда (Буренко Т.С.); Ленинградским научно-исследовательским институтом гигиены труда и профзаболеваний (Якимова В.И.); Ордена Трудового Красного Знамени научно-исследовательским институтом гигиены труда и профзаболеваний Российской АМН (Муравьева С.И., Бабина М.Д.); Центральным научно-исследовательским институтом охраны труда (Прохорова Е.К., Зайцева З.В.).

1. ОБЩАЯ ХАРАКТЕРИСТИКА СВАРОЧНЫХ АЭРОЗОЛЕЙ

1.1. СА представляют собой сложные газо-аэрозольные смеси химических веществ, выделяющихся при дуговых, плазменных и других высокотемпературных газопламенных способах сварки, наплавки, резки и напыления металлов.

Дисперсная фаза или же твердая составляющая СА (ТССА) состоит из мельчайших частиц перенасыщенных паров металлов и других веществ, входящих в состав сварочных, присадочных, напыляемых материалов и основного металла, которые конденсируются за пределами зоны высокотемпературного нагрева.

Газовая составляющая СА (ГССА) представляет собой смесь газов, образующихся при термической диссоциации газо-шлакообразующих компонентов этих материалов (CO, CO2, HF и др.) или же за счет фотохимического действия ультрафиолетового излучения дугового разряда (плазмы) на молекулы газов воздуха (NO, NO2, O3).

1.2. Химический состав СА зависит от состава сварочных, присадочных, напыляемых материалов (электроды, проволоки, ленты, флюсы, порошки и др.), состава основного (свариваемого, направляемого либо разрезаемого) металла, режимов сварки, наплавки, резки, напыления, состава защитных газов и газовых смесей. По данным современных физико-химических исследований (рентгеноструктурного, спектрального и др. методов анализа) ТССА представляет собой сложную смесь металлов, простых и сложных оксидов металлов и шпинелей MnFe2O4, CaFe2O4, (Fe, Mn)O.Fe2O3, K2Cr2O7, Na2Cr2O7, Fe3O4 и др.), фторидов (NaF, KF, K3FeF6, K2SiF6, CaF2 и др.), силикатов (CaSiO3, -Si-O-Si-O-Si-, Fe2[SiO4], Mn2[SiO4] и др.).

1.3. Частицы ТССА - полидисперсны, имеют размеры от тысячных долей мкм до 0,4 - 0,6 мкм и более, неоднородное морфологическое строение (многослойны, многоядерны). Газы ГССА способны адсорбироваться на поверхности твердых частиц, захватываться внутрь их скоплений. При этом локальные концентрации газов, адсорбированных на частицах ТССА, могут существенно превышать их концентрации непосредственно в ГССА.

1.4. Независимо от способа высокотемпературной обработки металлов, СА могут иметь близкий химический состав и соотношение отдельных веществ - ингредиентов ТССА и ГССА. В связи с этим их целесообразно группировать в укрупненные классы газо-аэрозольных смесей относительно постоянного состава, контроль за содержанием которых в воздухе рабочей зоны допускается проводить по наиболее опасным и характерным компонентам ТССА и ГССА.

В тех случаях, когда состав известен не полностью, необходима предварительная его расшифровка для определения ведущих ингредиентов, по которым целесообразно и оправдано осуществление контроля за состоянием воздушной среды. В тех случаях, когда величина ПДК вредного вещества зависит от его процентного содержания в СА (Приложение 2, п. 12, 15), необходимо предварительно определить навеску СА на фильтре, которая должна быть не менее 5 мг.

2. ОСНОВНЫЕ ТРЕБОВАНИЯ К ОТБОРУ ПРОБ ВОЗДУХА

2.1. Отбор проб воздуха для определения уровня загрязнения воздушной среды при сварочных, наплавочных работах, резке и напылении металлов следует проводить в зоне дыхания работающих под наголовным или ручным щитом.

При измерении концентраций вредных веществ в зоне дыхания рабочих, занятых автоматическими способами сварки, наплавки и резки (контактной, под флюсом, электрошлаковой и др.) и не пользующихся защитными щитками, зоной дыхания следует считать пространство, ограниченное радиусом 50 - 60 см вокруг головы работающего.

2.2. Для характеристики общего фона загрязнения воздуха производственного помещения, где проводятся сварочные, наплавочные работы, резка и напыление металлов, отбор проб воздуха следует осуществлять в рабочей зоне на расстоянии не менее 2 м от рабочего места.

2.3. Отбор проб должен производиться при характерных производственных условиях. Любые нарушения технологического процесса (превышение либо занижение силы сварочного тока, напряжения, применение "нетипичных" сварочных и наплавочных материалов и др.) или неправильная эксплуатация оборудования и всех предусмотренных средств предотвращения загрязнения воздуха вредными веществами (устройств местной вентиляции, общеобменной вентиляции, укрытий и др.) подлежат устранению до начала проведения измерений.

2.4. Разовое определение концентраций вредных веществ должно производиться при непрерывном или последовательном отборе проб ТССА и ГССА в течение 15-минутного стандартного отрезка времени. Если чувствительность методов анализа позволяет в течение 15 минут отобрать не одну, а несколько последовательных проб, то для сопоставления с величинами ПДКм.р. концентрацию того или иного наиболее опасного и характерного вредного вещества, выделяющегося в составе ТССА и/или ГССА, следует находить как среднюю величину из результатов измерений, выполненных за указанный период времени.

Для вредных веществ, метод определения которых не позволяет обнаружить 0,5 ПДКм.р. за 15 минут отбора пробы, допускается увеличение времени отбора, но не более чем до 30 мин.

Допустимая объемная скорость отбора проб воздуха на фильтры АФА из подручного или наголовного щитка составляет 10 л/мин.

2.5. Отбор проб ТССА осуществляется на аналитические аэрозольные фильтры АФА-ХП, АФА-ВП или АФА-ХА с объемным расходом 10 - 15 л/мин. Тип фильтра, применяемого для концентрирования компонентов ТССА, определяется ходом последующего химического анализа и должен строго соблюдаться. В случаях, когда материал фильтра на ход анализа не влияет, в соответствующих разделах методик тип фильтра не указывается.

Отбор проб ГССА проводится с концентрированием в жидкостные поглотительные приборы, сорбционные трубки либо без концентрирования в медицинские шприцы или пипетки.

2.6. Если стадия технологического процесса (операции) непродолжительна и не позволяет отобрать пробу воздуха за один цикл (расплавление одного электрода, "прихватка" деталей и т.д.), отбор пробы воздуха на этот же фильтр или в один и тот же поглотитель необходимо продолжить при повторении операции.

2.7. Для получения достоверных результатов при санитарно-гигиенических исследованиях воздушной среды на каждом обследуемом рабочем месте сварщика, наплавщика, резчика металлов, операторов установок напыления порошков металлов должно быть последовательно отобрано не менее 5 проб воздуха для определения концентраций ведущего токсического ингредиента ТССА и не менее 5 проб наиболее характерного токсического ингредиента ГССА.

Средние величины из результатов выполненных измерений и их доверительный интервал следует находить с учетом требований Методических указаний "Контроль содержания вредных веществ в воздухе рабочей зоны" N 3936-85 Минздрава СССР.

2.8. Периодичность санитарного контроля за соблюдением гигиенических требований к качеству воздушной среды при выполнении сварочных, наплавочных и газорезательных работ определяется по согласованию с территориальными учреждениями санитарно-эпидемиологической службы с учетом Методических указаний "Контроль содержания вредных веществ в воздухе рабочей зоны" N 3936-85 Минздрава СССР и результатов предшествующих измерений.

2.9. Санитарный контроль воздуха рабочей зоны при сварочных, наплавочных работах, а также резке и напылении металлов, сопровождающихся выделением вредных веществ, относящихся к I и II классам опасности, следует осуществлять с помощью физико-химических методов анализа. Гравиметрический метод контроля воздуха рабочей зоны допускается в случаях загрязнения его ТССА, состоящей из веществ, относящихся к III и IV классам опасности (TiO2, окислы железа и др.), а также при оперативном контроле эффективности работы средств вентиляции по согласованию с учреждениями санитарно-эпидемиологической службы.

2.10. Для наиболее опасных и характерных вредных веществ - ингредиентов ТССА и ГССА, которые имеют соответствующую среднесменную ПДК (ПДКс.с.), допускается осуществлять контроль путем измерения среднесменных концентраций.

Для характеристики уровня среднесменных концентраций, воздействующих на рабочих-сварщиков, наплавщиков, резчиков металлов, а также обслуживающих установки для напыления металлов, занятых однотипными производственными операциями (с использованием одних и тех же электродов, проволок одного и того же диаметра, флюсов и др.; при сварке, наплавке и резке одних и тех же металлов и пр.), необходимо проводить обследование не менее 5 человеко-смен. Расчет среднесменных концентраций производится в соответствии с Методическими указаниями "Контроль содержания вредных веществ в воздухе рабочей зоны" N 3936-85 Минздрава СССР.

3. МЕТОДЫ ИЗМЕРЕНИЯ КОНЦЕНТРАЦИИ ВРЕДНЫХ ВЕЩЕСТВ В ВОЗДУХЕ

3.1. ФОТОМЕТРИЧЕСКИЕ МЕТОДЫ

Раздельное измерение концентрации железа, никеля, марганца, титана и оксидов хрома (III и VI)

Характеристика метода

Определение основано на колориметрических реакциях отдельных металлов с органическими реагентами.

Отбор проб воздуха проводится с концентрированием на фильтр.

Основные метрологические характеристики методик измерения концентраций приведены при описании определения каждого металла.

Определение отдельных металлов проводят в аликвотных частях раствора плава.

Время подготовки проб к определению 5 - 6 часов, включая отбор проб 20 минут. Время самого определения указано в каждой методике отдельно.

Приборы, аппаратура, посуда

Фотоэлектроколориметр марки ФЭК-56 М или другой системы, ГОСТ 15150-74, 1-й класс.

Аспирационное устройство.

Фильтродержатель, ТУ 95.72.05-77.

Печь муфельная, МП-2УМ.

Тигли фарфоровые, ГОСТ 9147-80Е.

Тигли платиновые, ГОСТ 6563-75.

Щипцы тигельные.

Ступка фарфоровая, ГОСТ 9147-80Е.

Колбы мерные, ГОСТ 1770-74Е, вместимостью 25, 50, 500, 1000 мл.

Цилиндры мерные, ГОСТ 1770-74Е, вместимостью 25 и 50 мл.

Пипетки, ГОСТ 20292-74Е, вместимостью 0,2, 1, 2,5 и 10 мл.

Пробирки колориметрические с пришлифованными пробками, ГОСТ 10515-75.

Стаканы химические, ГОСТ 25336-82Е.

Воронки стеклянные, ГОСТ 25336-82Е.

Реактивы, растворы, материалы

Натрий углекислый (карбонат натрия), ГОСТ 83-79, хч.

Калий азотнокислый (нитрат калия), ГОСТ 4217-77, хч.

Кислота серная, ГОСТ 4204-77, хч, 10% раствор (по объему).

Плавень: смешивают две части карбоната натрия и одну часть нитрата калия. Смесь растирают в фарфоровой ступке. Плавень хранят в банке с притертой пробкой.

Фильтры АФА-ХП, АФА-ВП или АФА-ХА, ТУ 95.743-80.

Фильтры обеззоленные "синяя лента", ГОСТ 12026-76.

Отбор пробы воздуха

Воздух с объемным расходом 5 - 15 л/мин. аспирируют через фильтр АФА. Пробы не следует хранить из-за возможных потерь шестивалентного хрома. Для определения перечисленных металлов на уровне 1/2 ПДК следует отобрать 200 л воздуха.

Подготовка пробы к раздельному измерению компонентов

Определение растворимого оксида хрома (VI) производят в водном фильтрате. Для этого фильтр с отобранной пробой помещают на чистый обеззоленный фильтр "синяя лента", вложенный в воронку, смачивают этиловым спиртом (0,2 - 0,3 мл) и обрабатывают 10 мл теплой (40 - 50 град. C) воды.

Для определения 3-валентного хрома, марганца, железа, титана и никеля фильтр АФА после обработки его водой и фильтр "синяя лента", через который фильтровали исследуемую пробу, помещают в фарфоровый тигель, подсушивают на воздухе и ставят в холодную муфельную печь, постепенно повышая температуру до 750 - 800 град. C.

После озоления фильтров тигель вынимают из муфельной печи и остаток по охлаждении тщательно смешивают и растирают лопаточкой с 0,5 - 1,0 г плавня. Далее тигель помещают в охлажденный до 300 - 400 град. C муфель, снова повышают температуру по 800 - 850 град. C и оставляют в нем тигель на 25 - 30 минут до полного сплавления смеси. По охлаждении тигля плав обрабатывают 25 мл раствора серной кислоты под тягой до полного растворения.

Примечание. При использовании фарфоровых тиглей разных партий возможно появление мути в контрольных растворах плавня за счет различного состава фарфора и качества глазури. В связи с этим обязательна постановка контрольных опытов для каждой партии тиглей с использованием чистых фильтров (не менее 5 - 7 тиглей). В случае, если оптическая плотность распоров превышает 0,04 - 0,05, партия тиглей бракуется. Для анализа могут быть использованы также платиновые или кварцевые тигли.

Измерение концентрации оксида хрома (VI)

Характеристика метода

Определение основано на реакции взаимодействия шестивалентного хрома с дифенилкарбазидом в кислой среде с образованием соединения, окрашенного в красно-фиолетовый цвет.

Нижний предел измерения содержания оксида хрома (VI) в фотометрируемом растворе составляет 0,5 мкг.

Нижний предел измерения в воздухе 0,003 мг/куб. м (при отборе 200 л воздуха).

Диапазон измеряемых концентраций от 0,003 до 0,06 мг/куб. м.

Измерению не мешает марганец. Мешают железо при содержании более 1 мг и молибден в количестве более 8 мг.

Суммарная погрешность измерения не превышает +/- 10%.

Время выполнения измерения 20 - 25 мин.

Реактивы, растворы и материалы

Калий двухромовокислый, ГОСТ 4220-75, хч.

Кислота уксусная ледяная, ГОСТ 61-75, хч.

Этиловый спирт, ГОСТ 18300-72, хч или ГОСТ 5963-67.

Дифенилкарбазид, ГОСТ 5859-78, чда, 0,5% раствор, 0,1 г дифенилкарбазида растворяют в 2,0 мл ледяной уксусной кислоты и прибавляют 20 мл этилового спирта.

Стандартный раствор оксида хрома (VI) N 1 с концентрацией 1 мг/мл готовят растворением в воде 0,1471 г двухромовокислого калия в мерной колбе вместимостью 1 л. Раствор устойчив в течение 2-х месяцев.

Стандартный раствор оксида хрома (VI) N 2 с концентрацией 10 мкг/мл готовят путем разбавления 2 мл стандартного раствора N 1 водой в мерной колбе вместимостью 200 мл. Применяют свежеприготовленный раствор.

Подготовка к измерению

Градуировочные растворы (устойчивы в течение 2-х час.) готовят согласно таблице 1.

Таблица 1

ШКАЛА ГРАДУИРОВОЧНЫХ РАСТВОРОВ ДЛЯ ОПРЕДЕЛЕНИЯ ХРОМОВОГО АНГИДРИДА

N стандартаСтандартный раствор N 2, млДистиллированная вода, млСодержание оксида хрома (VI) в градуировочном растворе, мкг
10100
20,059,950,5
30,19,901,0
40,29,802,0
50,49,604,0
60,69,406,0
70,89,208,0
81,09,0010,0

Во все пробирки шкалы добавляют по 1 мл 0,5% раствора дифенилкарбазида, взбалтывают и выдерживают 15 минут. Затем измеряют оптическую плотность при длине волны 540 нм в кюветах с толщиной поглощающего слоя 2 см по отношению к контрольному раствору (раствор N 1 таблицы).

Строят градуировочный график зависимости оптической плотности градуировочных растворов от содержания оксида хрома (VI) (мкг), проверку которого проводят 1 раз в квартал в случае использования новой партии реактивов.

Проведение измерения

9 мл водного фильтрата вносят в колориметрические пробирки и доводят объем пробы дистиллированной водой до 10 мл. Далее измерение идет аналогично приготовлению градуировочных растворов. Оптическую плотность измеряют по сравнению с контролем, который готовят одновременно и аналогично пробам.

Содержание оксида хрома (VI) в анализируемом объеме раствора пробы (мкг) определяют по градуировочному графику.

Концентрацию оксида хрома (VI) в воздухе (мг/куб. м) рассчитывают по формуле 1 (Приложение 4.2).

Измерение концентрации оксида хрома (III)

Характеристика метода

Определение основано на окислении трехвалентного хрома персульфатом аммония до шестивалентного хрома. После разрушения избытка персульфата аммония определение Cr (VI) проводят по реакции с дифенилкарбазидом.

Нижний предел измерения оксида хрома (VI) в фотометрируемом объеме раствора 0,5 мкг, оксида хрома (III) 0,4 мкг.

Нижний предел измерения оксида хрома (III) в воздухе - 0,5 мг/ куб. м (при отборе 200 л).

Диапазон измеряемых концентраций от 0,5 до 9,5 мг/куб. м.

Измерению не мешают сопутствующие металлы.

Суммарная погрешность измерения не превышает +/- 25%.

Время выполнения измерения 3 часа.

Реактивы, растворы и материалы

Аммоний надсернокислый (персульфат аммония), ГОСТ 20478-75, хч.

Серебро азотнокислое, ГОСТ 1277-75 хч, 2% раствор.

Остальные реактивы и растворы приведены выше.

Проведение измерения

В коническую колбу вносят 10 мл раствора пробы в 10% серной кислоте, добавляют 0,5 мл раствора нитрата серебра и 0,2 г персульфата аммония. Колбу ставят на газовую горелку с сеткой или электроплитку и интенсивно кипятят 20 - 25 минут. По мере испарения в колбу доливают дистиллированную воду так, чтобы объем жидкости был 10 - 15 мл. Цвет жидкости становится сначала желтым (окисление хрома), а затем розовым (окисление марганца). После полного разрушения персульфата аммония в колбу добавляют по милям раствор соляной кислоты для разрушения марганцевой кислоты. Хромовая кислота при этом не разрушается. Раствор соляной кислоты следует добавлять несколько раз по 0,3 - 0,5 мл до исчезновения розового оттенка. После разрушения марганцевой кислоты раствор охлаждают и количественно переносят в мерную колбу вместимостью 100 мл, многократно промывая коническую колбу дистиллированной водой и собирая промывные воды в ту же мерную колбу, объем которой доводят до метки водой.

Полученный раствор в количестве 1,0 мл вносят в колориметрическую пробирку, доводят до 10 мл водой и далее обрабатывают и фотометрируют аналогично градуировочным растворам для измерения концентрации оксида хрома (VI).

Содержание оксида хрома (VI) в анализируемом объеме раствора пробы (мкг) определяют по градуировочному графику.

Концентрацию оксида хрома (III) в воздухе (мг/куб. м) рассчитывают по формуле 1 (Приложение 4.2).

Коэффициент пересчета оксида хрома (VI) на оксид хрома (III) - 0,76.

Измерение концентрации марганца

Характеристика метода

Определение основано на реакции окисления соединений марганца персульфатом аммония в присутствии нитрата серебра как катализатора с образованием марганцевой кислоты, окрашенной в малиново-красный цвет.

Нижний предел измерения содержания марганца в объеме анализируемого раствора 1,0 мкг.

Нижний предел измерения в воздухе 0,05 мг/куб. м (при отборе 200 л воздуха) <*>.

<*> Расчет предела обнаружения проведен с учетом значения ПДК для Mn - 0,1 мг/куб. м.

Диапазон измеряемых концентраций для марганца от 0,05 мг/куб. м до 1,25 мг/куб. м.

Определению марганца мешает железо, влияние которого устраняют добавлением ортофосфорной кислоты. Определению не мешает хром.

Суммарная погрешность измерения не превышает +/- 20%.

Время выполнения измерения 1,5 часа.

Реактивы, растворы и материалы

Марганец сернокислый, 5-водный, ГОСТ 435-77, чда.

Серебро азотнокислое, ГОСТ 1277-75, хч, 2% раствор.

Аммоний надсернокислый, ГОСТ 20478-75, хч, 10% раствор, свежеприготовленный.

Кислота ортофосфорная, ГОСТ 6552-58, хч, 50% раствор.

Кислота серная, ГОСТ 4204-77, хч, 10% раствор.

Стандартный раствор N 1, содержащий 100 мкг/мл марганца, растворяют 0,0439 г 5-водного сернокислого марганца в мерной колбе вместимостью 200 мл в 10% растворе серной кислоты. Раствор устойчив в течение 2-х месяцев.

Стандартный раствор N 2 с концентрацией марганца 10 мкг/мл готовят разведением раствора N 1 10% раствором серной кислоты в 10 раз. Раствор свежеприготовленный.

Подготовка к измерению

Градуировочные растворы (устойчивы в течение 2-х часов) готовят согласно таблице 2.

Таблица 2

ШКАЛА ГРАДУИРОВОЧНЫХ РАСТВОРОВ ДЛЯ ОПРЕДЕЛЕНИЯ МАРГАНЦА

N стандартаСтандартный раствор N 2, млРаствор серной кислоты, 10%, млСодержание марганца в градуировочном растворе, мкг
105,00
20,14,91,0
30,24,82,0
40,44,64,0
50,64,46,0
60,84,28,0
71,04,010,0

Во все пробирки шкалы прибавляют по 0,2 мл 2% раствора нитрата серебра и по 1 мл растворов 10% персульфата аммония и 50% ортофосфорной кислоты. После прибавления каждого реактива растворы взбалтывают и погружают в кипящую баню на 5 - 10 минут.

По охлаждении растворов измеряют величину оптической плотности при 545 нм в кюветах с толщиной слоя 1 см по сравнению с контрольным раствором (раствор N 1 таблицы).

Строят градуировочный график зависимости оптической плотности растворов от содержания марганца в градуировочном растворе (мкг), проверку которого проводят 1 раз в квартал или в случае использования новой партии реактивов.

Проведение измерения

1 - 2,5 мл раствора пробы в 10% серной кислоте вносят в колориметрические пробирки, доводят до 5 мл кислотой и далее обрабатывают и фотометрируют аналогично градуировочным растворам.

Содержание марганца в анализируемом объеме раствора пробы (мкг) находят по градуировочному графику.

Концентрацию марганца в воздухе (мг/куб. м) рассчитывают по формуле 1 (Приложение 4.2).

Измерение концентрации железа

Характеристика метода

Определение основано на реакции взаимодействия ионов железа с сульфосалициловой кислотой в аммиачной среде с образованием окрашенного соединения.

Нижний предел измерения содержания железа в объеме анализируемого раствора 1 мкг.

Нижний предел измерения железа в воздухе 1,5 мг/куб. м (при отборе 200 л воздуха).

Диапазон измеряемых концентраций от 1,5 до 15 мг/куб. м.

Определению не мешают молибден, ванадий, хром, марганец. Мешают кобальт, никель в количествах более 1,2 мг, медь в количествах более 0,2 мг.

Суммарная погрешность измерения не превышает +/- 20%.

Время выполнения измерения 40 минут.

Реактивы, растворы и материалы

Железо металлическое, ТУ 6-09-3000-78, осч или ТУ 6-09-2227-81, ч.

Серная кислота, ГОСТ 4204-77, хч, 10% раствор.

Сульфосалициловая кислота, двуводная, ГОСТ 4478-78, чда, 10% раствор.

Соляная кислота, ГОСТ 3118-77, хч, раствор 1:1.

Азотная кислота, ГОСТ 4461-77, хч.

Аммиак водный, ГОСТ 3760-79, хч.

Основной раствор железа с концентрацией 1 мг/мл. 1,0000 г железа растворяют в термостойком химическом стакане вместимостью 50 - 100 мл в смеси 20 мл соляной кислоты 1:1 и 5 мл азотной кислоты. Раствор осторожно нагревают на плитке, не допуская разбрызгивания. Приливают в стаканы 10 мл дистиллированной воды и кипятят раствор до удаления паров оксида азота (IV). По охлаждении раствор количественно переносят в мерную колбу вместимостью 1 л путем многократного промывания стакана дистиллированной водой. Объем раствора доводят до метки водой.

Стандартный раствор железа N 1 с концентрацией 100 мкг/мл готовят путем соответствующего разбавления основного раствора 10% серной кислотой в мерной колбе.

Стандартный раствор железа N 2 с концентрацией 10 мкг/мл готовят разбавлением раствора N 1 в 10 раз 10% серной кислотой. Применяют свежеприготовленным.

Подготовка к измерению

Градуировочные растворы (устойчивы в течение суток) готовят согласно таблице 3.

Таблица 3

ШКАЛА ГРАДУИРОВОЧНЫХ РАСТВОРОВ ДЛЯ ОПРЕДЕЛЕНИЯ ЖЕЛЕЗА

N стандартаСтандартный раствор N 2, млРаствор серной кислоты, 10%, млСодержание железа в градуировочном растворе, мкг
105,00
20,14,91,0
30,24,82,0
40,44,64,0
50,64,46,0
60,84,28,0
71,04,010,0

Во все пробирки шкалы прибавляют по 0,5 мл 10% раствора сульфосалициловой кислоты, взбалтывают, добавляют по 1 мл концентрированного раствора аммиака, снова взбалтывают и измеряют оптическую плотность растворов при длине волны 420 - 430 нм в кюветах с толщиной слоя 1 см по сравнению с контрольным раствором (раствор N 1 таблицы).

Строят градуировочный график зависимости оптической плотности от содержания железа в градуировочном растворе (мкг), проверку которого проводят 1 раз в квартал или в случае использования новой партии реактивов.

Проведение измерения

1 мл раствора пробы в 10% серной кислоте вносят в мерную колбу вместимостью 25 мл и доводят до метки 10% серной кислотой, 2 мл полученного раствора вносят в колориметрическую пробирку, доводят объем до 5 мл кислотой и далее обрабатывают и фотометрируют аналогично градуировочным растворам. Содержание железа в анализируемом объеме раствора пробы находят по градуировочному графику.

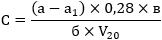
Расчет концентрации

, мг/куб. м,

где:

а - содержание железа в анализируемом объеме раствора пробы, найденное по градуировочному графику, мкг;

V - объем воздуха, отобранный для анализа и приведенный к стандартным условиям, л;

К - коэффициент пересчета железа на оксид железа - 1,43.

Измерение концентрации никеля

Характеристика метода

Фотометрическое определение основано на реакции взаимодействия иона никеля с диметилглиоксимом в щелочной среде в присутствии окислителя с образованием комплексного соединения, окрашенного в розово-коричневый цвет.

Нижний предел измерения содержания никеля в объеме анализируемого раствора 1,0 мкг.

Нижний предел измерения в воздухе 0,025 мг/куб. м (при отборе 200 л воздуха).

Диапазон измеряемых концентраций от 0,025 до 1,25 мг/куб. м.

Определению никеля не мешают железо, медь и кобальт в количествах, меньших 0,2 мг.

Суммарная погрешность измерения не превышает +/- 20%.

Время выполнения измерения 40 - 45 минут.

Реактивы, растворы, материалы

Никель сернокислый, 7-водный, ГОСТ 4465-74, хч.

Кислота серная, ГОСТ 4204-77, хч, 10% раствор.

Аммоний надсернокислый (персульфат аммония), ГОСТ 20478-75, хч, 3% раствор, свежеприготовленный.

Натрий лимоннокислый, 5,5-водный, ГОСТ 22280-76, чда, 20% раствор.

Натрия гидроксид, ГОСТ 4328-77, хч, 5% и 40% растворы.

Диметилглиоксим, ГОСТ 5828-77, чда, 1% раствор в 5% растворе гидроксида натрия.

Спирт этиловый, ГОСТ 18300-72, хч или ГОСТ 5963-67.

Аммиак водный, ГОСТ 3760-79, хч, 5% и 25% растворы.

Хлороформ, ТУ 6-09-06-800-76, хч.

Бумага лакмусовая, красная.

Стандартный раствор никеля N 1 с концентрацией 100 мкг/мл готовят путем растворения 0,0478 г сернокислого никеля в 10% растворе серной кислоты в мерной колбе вместимостью 100 мл. Устойчив 2 месяца.

Стандартный раствор никеля N 2 с концентрацией 10 мкг/мл готовят соответствующим разбавлением раствора N 1 10-процентной серной кислотой. Применяют свежеприготовленный раствор.

Подготовка к измерению

Градуировочные растворы (устойчивы в течение 2-х часов) готовят согласно таблице 4.

Таблица 4

ШКАЛА ГРАДУИРОВОЧНЫХ РАСТВОРОВ ДЛЯ ОПРЕДЕЛЕНИЯ НИКЕЛЯ

N стандартаСтандартный раствор N 2, млСерная кислота, 10% раствор, млСодержание никеля в градуировочном растворе, мкг
105,00
20,14,91,0
30,24,82,0
40,44,64,0
50,64,46,0
60,84,28,0
71,04,010,0

Во все пробирки шкалы добавляют по 0,4 мл раствора лимоннокислого натрия, 0,2 мл персульфата аммония, нейтрализуют 40% раствором едкого натра при перемешивании до слабощелочной реакции по лакмусовой бумаге, прибавляют 0,5 мл раствора диметилглиоксима и взбалтывают. Через 15 минут измеряют оптическую плотность градуировочных растворов при длине волны 530 нм в кюветах с толщиной слоя 1 см относительно контрольного раствора (раствор N 1 таблицы).

Строят градуировочный график зависимости оптической плотности от содержания никеля в градуировочном растворе (мкг), проверку графика проводят 1 раз в квартал или в случае использования новой партии реактивов.

Проведение измерения

1 - 5 мл раствора пробы в 10% серной кислоте переносят в колориметрические пробирки, доводят объем до 5 мл раствором серной кислоты и далее обрабатывают и фотометрируют аналогично градуировочным растворам.

При наличии в пробе железа, меди и кобальта в количествах, превышающих 0,2 мг, никель необходимо отделять. Для этого в делительную воронку отбирают 5 - 10 мл раствора пробы, нейтрализуют его 25% раствором аммиака до слабощелочной реакции по индикаторной бумаге, приливают 2 мл 1% раствора диметилглиоксима, 5 мл хлороформа и встряхивают 30 секунд. Хлороформенный слой, содержащий диметилглиоксиматы никеля и кобальта, отделяют. В воронку вводят еще 5 мл хлороформа и повторяют экстракцию. Хлороформенные экстракты объединяют и промывают в делительной воронке дважды 20 - 30 мл 5% раствора аммиака для удаления частично извлеченной меди.

Реэкстрагируют никель путем двукратной обработки хлороформенной вытяжки 5 мл 10% азотной кислоты. При этом комплекс разлагается и никель переходит в раствор кислоты.

1 - 5 мл полученного раствора вносят в пробирку, доводят объем до 5 мл азотной кислотой. Шкалу градуировочных растворов в этом случае также готовят с использованием азотной кислоты. Далее пробу обрабатывают и фотометрируют, как описано выше, относительно контрольного раствора, который готовят одновременно и аналогично пробе.

Содержание никеля в анализируемом объеме раствора пробы (мкг) определяют по градуировочному графику.

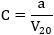
Концентрацию никеля в воздухе (мг/куб. м) рассчитывают по формуле 1 (Приложение 4.2).

Измерение концентрации титана

Характеристика метода

Определение основано на реакции взаимодействия титана с пероксидом водорода в кислой среде.

Нижний предел измерения содержания титана в объеме анализируемого раствора 10 мкг.

Нижний предел измерения титана в воздухе 6,0 мг/куб. м (при отборе 200 л воздуха).

Диапазон измеряемых концентраций в воздухе от 6 до 62 мг/куб. м.

Определению титана не мешают железо, марганец, хром. Определению мешает ванадий, который отделяют в процессе анализа.

Суммарная погрешность измерения не превышает +/- 25%.

Время выполнения измерения 20 - 25 минут.

Реактивы, растворы, материалы

Титана диоксид, ТУ 6-09-2166-77, чда.

Натрий вольфрамовокислый (вольфрамат натрия), 2-водный, ГОСТ 18289-78.

Калий сернокислый пиро (пиросульфат калия), ГОСТ 5713-75, чда.

Кислота серная, ГОСТ 4204-77, хч, 10% раствор.

Перекись водорода, ГОСТ 10929-76, хч, 3% раствор.

Натрия гидроксид, ГОСТ 4328-77, хч, 5% и 30% растворы.

Стандартный раствор, содержащий 100 мкг/мл титана, готовят из диоксида титана, предварительно прокаленного до постоянного веса. 0,1668 г двуокиси титана сплавляют с 1 - 1,5 г пиросульфата калия. Температуру печи постепенно повышают до 500 град. C и выдерживают при этой температуре 1 ч. Плав выщелачивают раствором 10% серной кислоты, переводят в мерную колбу вместимостью 1 л и доводят до метки этим же раствором. Устойчив в течение 2 месяцев.

Подготовка к измерению

Градуировочные растворы (устойчивы в течение часа) готовят согласно таблице 5.

Таблица 5

ШКАЛА ГРАДУИРОВОЧНЫХ РАСТВОРОВ ДЛЯ ОПРЕДЕЛЕНИЯ ТИТАНА

N стандартаСтандартный раствор, млРаствор серной кислоты, 10%, млСодержание титана в градуировочном растворе, мкг
105,00
20,14,910,0
30,24,820,0
40,44,640,0
50,64,460,0
60,84,280,0
71,04,0100,0

Во все пробирки шкалы добавляют по 1 мл 3% раствора перекиси водорода, взбалтывают и через 50 - 10 мин. фотометрируют при длине волны 460 - 480 нм в кюветах с толщиной слоя в 1 см по отношению к контролю (раствор N 1 по таблице).

Строят градуировочный график зависимости оптической плотности растворов от содержания титана в градуировочном растворе (мкг), проверку которого проводят 1 раз в квартал или в случае использования новой партии реактивов.

Проведение измерения

5 мл сернокислого раствора пробы вносят в мерную колбу вместимостью 25 мл и доводят до метки 10% серной кислотой. 1 мл полученного раствора вносят в колориметрическую пробирку, доводят объем до 5 мл 10% серной кислотой и далее обрабатывают и фотометрируют аналогично градуировочным растворам.

Если в пробе присутствует ванадий, который мешает определению титана, его необходимо отделить. Для этого к 5 мл разбавленного сернокислого раствора пробы прибавляют 30% раствор едкого натра (для осаждения железа и титана). Раствор нагревают на водяной бане и фильтруют. В фильтрате определяют ванадий по реакции с вольфраматом натрия (если это надо), а осадок на фильтре промывают 5% раствором едкого натра до отрицательной реакции на ванадий, растворяя его в растворе серной кислоты.

В растворе определяют титан по реакции с перекисью водорода, как описано выше.

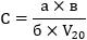
Расчет концентрации

, мг/куб. м,

где:

а - содержание титана в фотометрируемом растворе пробы, найденное по градуировочному графику, мкг;

V - объем воздуха, отобранный для анализа и приведенный к стандартным условиям, л.

Измерение концентрации меди

Характеристика метода

Определение основано на реакции взаимодействия меди с диэтилдитиокарбаматом натрия в щелочной среде с образованием окрашенного соединения.

Отбор проб проводится с концентрированием на фильтр АФА.

Нижний предел измерения содержания меди в объеме анализируемого раствора 1 мкг.

Нижний предел измерения вещества в воздухе 0,4 мг/куб. м (при отборе 20 л воздуха).

Диапазон измеряемых концентраций в воздухе от 0,4 до 8,0 мг/куб. м.

Определению мешает железо, влияние которого устраняется в процессе анализа добавлением динатриевой соли этилендиаминтетрауксусной кислоты.

Суммарная погрешность измерения не превышает +/- 25%.

Время выполнения измерения 2,5 часа, включая отбор проб 2 мин.

Приборы, аппаратура, посуда

Фотоэлектроколориметр марки ФЭК-56М или другой системы, ГОСТ 15150-74, 1-й класс.

Аспирационное устройство.

Фильтродержатель, ТУ 95.72.05-77.

Баня водяная.

Колбы мерные, ГОСТ 1770-74Е, вместимостью 25, 100, 500 и 1000 мл.

Пипетки, ГОСТ 20292-74Е, вместимостью 1, 2, 5 и 10 мл.

Стаканы химические, ГОСТ 25336-82Е, вместимостью 50 и 100 мл.

Пробирки колориметрические с пришлифованными пробками, ГОСТ 10515-75, высотой 150 мм, внутренним диаметром 15 мм.

Реактивы, растворы, материалы

Медь сернокислая, 5-водная, ГОСТ 4165-78, хч.

Аммиак водный, ГОСТ 3760-79, чда, концентрированный 25% раствор.

Аммоний хлористый, ГОСТ 3737-72, хч.

Хлоридно-аммиачный буферный раствор. 100 г хлорида аммония растворяют в небольшом количестве воды, раствор переносят в мерную колбу вместимостью 500 мл, добавляют 100 мл концентрированного раствора аммиака и доводят объем до метки водой.

Этилендиаминтетрауксусной кислоты динатриевая соль, двуводная (Трилон Б), ГОСТ 10652-73, хч, 5% раствор.

Диэтилдитиокарбамат натрия, 3-водный, ГОСТ 8864-71, чда, 5% водный раствор. Применяют свежеприготовленным. Хранят в темной склянке.

Кислота азотная, ГОСТ 4461-77, чда, 10% раствор.

Стандартный раствор меди N 1 с концентрацией 100 мкг/мл готовят растворением 0,393 г сульфата меди (чистые, не выветренные кристаллы) в дистиллированной воде в мерной колбе вместимостью 1 л. Раствор устойчив в течение 2-х месяцев.

Стандартный раствор меди N 2 с концентрацией 10 мкг/мл готовят соответствующим разбавлением стандартного раствора N 1 водой. Применяют свежеприготовленный раствор.

Фильтры типа АФА-ХП, ТУ 95-743-80.

Отбор пробы воздуха

Воздух с объемным расходом 10 л/мин. аспирируют через фильтр АФА-ХП. Для измерения 1/2 ПДКм.р. меди достаточно отобрать 20 л воздуха. Пробы хранятся в течение месяца.

Подготовка к измерению

Градуировочные растворы (устойчивы в течение 1 часа) готовят согласно таблице.

Таблица

ШКАЛА ГРАДУИРОВОЧНЫХ РАСТВОРОВ ДЛЯ ОПРЕДЕЛЕНИЯ МЕДИ

N стандартаСтандартный раствор N 2, млВода дистиллированная, млСодержание меди в градуировочном растворе, мкг
103,00
20,12,91,0
30,22,82,0
40,52,55,0
51,02,010,0
61,41,614,0
71,61,416,0
82,01,020,0

Во все пробирки приливают по 0,7 мл буферного раствора, 0,2 мл раствора Трилона Б и 0,1 мл раствора диэтилдитиокарбамата натрия. После прибавления каждого реактива растворы осторожно перемешивают. Окрашенные растворы фотометрируют через 10 минут при длине волны 436 нм в кюветах с толщиной слоя 1 см относительно контроля (раствор N 1 шкалы стандартов).

Строят градуировочный график зависимости оптической плотности от содержания меди (мкг), проверку которого проводят 1 раз в квартал или при использовании новой партии реактивов.

Проведение измерения

Фильтр АФА помещают в химический стакан и заливают 10 мл 10% раствора азотной кислоты, раствор нагревают на кипящей водяной бане в течение 7 - 10 минут. Фильтр отжимают на стенке стакана стеклянной палочкой, промывают трижды 2 - 3 мл горячей воды и отбрасывают. Раствор выпаривают на кипящей водяной бане досуха. Приливают в стакан 3 - 5 мл воды и вновь упаривают досуха. Сухой остаток растворяют в 10 - 15 мл дистиллированной воды, фильтруют, если есть необходимость, переносят раствор количественно в мерную колбу вместимостью 25 мл и доводят до метки водой.

3 мл полученного раствора вносят в колориметрическую пробирку и далее обрабатывают и фотометрируют аналогично градуировочным растворам.

Содержание меди в анализируемом объеме раствора пробы (мкг) находят по градуировочному графику.

Концентрацию меди в воздухе (мг/куб. м) рассчитывают по формуле 1 (Приложение 4.2).

Измерение концентрации цинка и оксида цинка

Характеристика метода

Определение основано на реакции взаимодействия тетрароданоцинката с катионом родамина "C" с образованием окрашенного соединения.

Отбор проб проводится с концентрированием на фильтр.

Нижний предел измерения содержания цинка в объеме анализируемого раствора 1 мкг.

Нижний предел измерения цинка в воздухе 0,25 мг/куб. м (при отборе 10 л воздуха).

Диапазон измеряемых концентраций от 0,25 до 10,0 мг/куб. м.

Определению не мешают свинец (1:10), никель (1:100), марганец (1:100), молибден (1:50), ванадий (1:10), алюминий (1:100). Влияние железа (III) (1:5) и меди (1:10) устраняется в процессе анализа.

Суммарная погрешность измерения не превышает +/- 25%.

Время выполнения определения 40 минут, включая отбор проб 5 мин.

Приборы, аппаратура, посуда

Фотоэлектроколориметр марки ФЭК-56М или другой системы, ГОСТ 15150-74, 1-й класс.

Аспирационное устройство.

Фильтродержатель, ТУ 95.72.05-77.

Колбы мерные, ГОСТ 1770-74Е, вместимостью 100 и 500 мл.

Пипетки, ГОСТ 29292-74Е, вместимостью 1, 2, 5 и 10 мл.

Пробирки, ГОСТ 10515-75, высотой 120 мм и диаметром 15 мм.

Стаканы химические, ГОСТ 25336-82Е, вместимостью 50 мл.

Чашки фарфоровые, ГОСТ 9147-80Е.

Воронки стеклянные, ГОСТ 25336-82Е, диаметром 56 мм.

Баня водная.

Реактивы, растворы, материалы

Цинк металлический, гранулированный, ГОСТ 3640-79, в.ч.

Кислота соляная, ГОСТ 3118-77, хч, 1 М раствор.

Кислота серная, ГОСТ 4204-77, хч, 0,1 н. раствор.

Гидроксиламин солянокислый, ГОСТ 5456-65, чда, 20% раствор, свежеприготовленный (хранят в склянке из темного стекла).

Тиомочевина, ГОСТ 6344-73, хч, 10% раствор, 10 г реактива растворяют в 50 мл горячей дистиллированной воды, после охлаждения объем доводят водой до 100 мл.

Калий роданистый, ГОСТ 41399-75, хч, 20% раствор.

Родамин "C" (диэтил-мета-аминофенолфталеин), ТУ РУ 856-53, 0,2% раствор.

Натрий уксуснокислый, 3-водный, ГОСТ 199-78, 15% раствор.

Кислота уксусная, ГОСТ 61-75, хч, ледяная.

Стандартный раствор N 1 с содержанием 100 мкг/мл цинка готовят растворением навески 0,5000 г цинка металлического в 5 мл 1 М соляной кислоты при нагревании, раствор охлаждают до 20 град. C, переносят в мерную колбу вместимостью 500 мл и разбавляют до метки водой. Раствор устойчив в течение 2-х месяцев.

Стандартный раствор N 2 с содержанием 10 мкг/мл цинка готовят соответствующим разбавлением основного раствора дистиллированной водой, свежеприготовленный.

Фильтры АФА-ХП-20 или АФА-ВП-20, ТУ 95-743-80.

Бумага индикаторная универсальная, ТУ 6-09-1181-76.

Отбор проб воздуха

Воздух с объемным расходом 5 л/мин. аспирируют через фильтр АФА.

Для определения 1/2 ПДК окиси цинка достаточно отобрать 10 л воздуха. Пробы хранятся в течение 2-х недель.

Подготовка к измерению

Градуировочные растворы (устойчивы в течение 2-х часов) готовят согласно таблице.

Таблица

ШКАЛА ГРАДУИРОВОЧНЫХ РАСТВОРОВ ДЛЯ ОПРЕДЕЛЕНИЯ ЦИНКА

N стандартаСтандартный раствор N 2, млВода дистиллированная, млСодержание цинка в градуировочном растворе, мкг
105,00
20,14,91,0
30,24,82,0
40,34,73,0
50,54,55,0
60,74,37,0
71,04,010,0

Во всех пробирках шкалы устанавливают pH раствора 3 - 4, добавляя по каплям 0,1 н. серную кислоту (по индикаторной бумаге). Приливают 1 мл раствора гидроксиламина, затем через 2 минуты - 1 мл раствора ацетатного буфера, 1 мл раствора тиомочевины и 1 мл раствора роданида калия. После добавления каждого реактива раствор тщательно перемешивают. Доводят объем до 10 мл дистиллированной водой, приливают 2 мл раствора родамина "C", перемешивают и через 10 - 15 мин. измеряют оптическую плотность раствора при 610 нм в кювете с толщиной слоя 1 см по сравнению с контролем (раствор N 1 по таблице).

Строят градуировочный график зависимости оптической плотности от содержания цинка в градуировочном растворе (мкг), проверку которого проводят 1 раз в квартал или в случае использования новой партии реактивов.

Проведение измерения

Фильтр с отобранной пробой помещают в стакан и дважды промывают горячим раствором соляной кислоты 1:1 (по 5 мл). Промывные жидкости объединяют и выпаривают досуха в фарфоровой чашке на водяной бане. Сухой остаток растворяют в 10 мл дистиллированной воды. Аликвотную часть раствора (1 - 5 мл) помещают в пробирку и устанавливают pH раствора 3 - 4, добавляя 0,1 н. серную кислоту по каплям. Далее анализ идет аналогично приготовлению градуировочных растворов.

Оптическую плотность исследуемого раствора измеряют по сравнению с контролем, который готовят одновременно и аналогично пробам.

Содержание цинка в анализируемом объеме раствора пробы (мкг) находят по градуировочному графику.

Концентрацию цинка в воздухе (мг/куб. м) рассчитывают по формуле 1 (Приложение 4.2).

Коэффициент пересчета цинка на оксид цинка - 1,24.

Измерение концентрации молибдена

Характеристика метода

Определение основано на образовании оранжево-красного комплекса молибдена с роданидом аммония в присутствии восстановителя.

Отбор проб проводится с концентрированием на фильтр.

Нижний предел измерения содержания молибдена в объеме анализируемого раствора 1 мкг.

Нижний предел измерения молибдена в воздухе 1 мг/куб. м (при отборе 25 л).

Диапазон измеряемых концентраций в воздухе от 1 мг/куб. м до 10 мг/куб. м.

Определению не мешают хром и никель в соотношении 40:1, ванадий и вольфрам - 70:1, железо в количестве до 1 мг, марганец, кобальт.

Суммарная погрешность измерения не превышает +/- 20%.

Время выполнения измерения 2,5 часа, включая отбор пробы 2 мин.

Приборы, аппаратура, посуда

Фотоэлектроколориметр марки ФЭК-56М или другой системы, ГОСТ 15150-74, 1-й класс.

Аспирационное устройство.

Фильтродержатель, ТУ 95.72.05-77.

Муфельная печь, МП-2УМ.

Тигли фарфоровые, ГОСТ 9147-80С.

Щипцы тигельные.

Колбы мерные, ГОСТ 1770-74Е, вместимостью 25 и 100 мл.

Пипетки, ГОСТ 20292-74Е, вместимостью 1, 2, 5 и 10 мл.

Пробирки колориметрические с притертыми пробками, ГОСТ 10515-75.

Стаканы химические, ГОСТ 25336-82Е.

Реактивы, растворы, материалы

Аммоний молибденовокислый (молибдат аммония), 4-водный ГОСТ 3765-78, хч.

Кислота азотная, ГОСТ 4461-77, чда, разбавленная 1:1.

Кислота серная, ГОСТ 4204-77, хч, 10% и разбавленная 1:1.

Аммоний роданистый (роданид аммония), СТ СЭВ 22-75, хч, 10% раствор.

Кислота аскорбиновая, ГОСТ 4815-76, хч, 5% раствор (свежеприготовленный).

Стандартный раствор N 1, содержащий 1 мг/мл молибдена, готовят растворением 0,1840 г молибдата аммония в 100 мл 10% раствора серной кислоты. Раствор устойчив в течение 2-х месяцев.

Стандартный раствор N 2, содержащий 1 мкг/мл молибдена, готовят разбавлением раствора N 1 раствором серной кислоты в 100 раз, свежеприготовленный.

Фильтры типа АФА, ТУ 95-743-80.

Отбор пробы воздуха

Воздух с объемным расходом 10 л/мин. аспирируют через фильтр АФА, укрепленный в фильтродержателе.

Пробы хранятся в течение месяца. Для измерения 1/2 ПДКм.р. молибдена следует отобрать 25 л воздуха.

Подготовка к измерению

Градуировочные растворы (устойчивы в течение 30 мин.) готовят согласно таблице.

Таблица

ШКАЛА ГРАДУИРОВОЧНЫХ РАСТВОРОВ ДЛЯ ОПРЕДЕЛЕНИЯ МОЛИБДЕНА

N стандартаСтандартный раствор N 2, млРаствор серной кислоты, 10%, млСодержание молибдена в градуировочном растворе, мкг
104,00
20,13,91,0
30,23,82,0
40,43,64,0
50,63,46,0
60,83,28,0
71,03,010,0

Во все пробирки прибавляют по 0,5 мл раствора роданида аммония и по 0,5 мл раствора аскорбиновой кислоты. Растворы перемешивают и через 30 минут фотометрируют при длине волны 480 нм в кюветах с толщиной слоя 1 см по сравнению с контролем (раствор N 1 шкалы стандартов).

Строят градуировочный график зависимости оптической плотности от содержания молибдена (мкг), проверку которого проводят 1 раз в квартал или при использовании новой партии реактивов.

Проведение измерения

Фильтр помещают в тигель и озоляют в муфельной печи при температуре 500 град. C. По охлаждении в тигель вносят 2 мл раствора серной кислоты 1:1 и 1 мл разбавленной кислоты. Содержимое тигля осторожно выпаривают на плитке до появления белых паров серного ангидрида. По охлаждении раствор осторожно разбавляют водой и количественно переносят в мерную колбу вместимостью 25 мл. Тигель промывают водой, сливая промывные воды в колбу. Доводят объем раствора в колбе до метки водой.

1 мл раствора пробы вносят в пробирку и далее обрабатывают и фотометрируют аналогично градуировочным растворам.

Содержание молибдена в анализируемом объеме раствора пробы (мкг) находят по градуировочному графику.

Концентрацию молибдена в воздухе (мг/куб. м) рассчитывают по формуле 1 (Приложение 4.2).

Измерение концентрации кобальта и оксида кобальта

Характеристика метода

Определение основано на реакции иона кобальта с нитрозо-P-солью с образованием окрашенного в оранжево-розовый цвет соединения.

Отбор проб проводится с концентрированием на фильтр.

Нижний предел измерения содержания кобальта в объеме анализируемого раствора 0,5 мкг.

Нижний предел измерения кобальта в воздухе 0,1 мг/куб. м (при отборе 25 л воздуха).

Диапазон измеряемых концентраций в воздухе от 0,1 до 10,0 мг/куб. м.

Определению не мешают железо в соотношении 500:1, медь - 100:1, никель - 50:1.

Суммарная погрешность измерения не превышает +/- 20%.

Время выполнения измерения 2,5 часа, включая отбор проб 5 мин.

Приборы, аппаратура, посуда

Фотоэлектроколориметр марки ФЭК-56М или другой системы, ГОСТ 15150-74, 1-й класс.

Аспирационное устройство.

Фильтродержатель, ТУ 95.72.05-77.

Тигли фарфоровые, ГОСТ 9147-80Б.

Муфельная печь, МП-2УМ.

Щипцы тигельные.

Колбы мерные, ГОСТ 1770-74Е, вместимостью 100 мл.

Пипетки, ГОСТ 20292-74Е, вместимостью 0,2, 1, 2 и 5 мл.

Цилиндры мерные, ГОСТ 1770-74Е, вместимостью 25 и 50 мл.

Пробирки колориметрические с пришлифованными пробками, ГОСТ 10515-75.

Стаканы химические, ГОСТ 25336-82Е.

Реактивы, растворы, материалы

Кобальт двухлористый (хлорид кобальта), 6-водный, ГОСТ 4525-77, чда.

Кислота соляная, ГОСТ 3118-77, хч, концентрированная и 5% раствор.

Нитрозо-P-соль, ГОСТ 10553-75, чда, 0,1% раствор.

Кислота азотная, ГОСТ 4461-77, хч, концентрированная и разбавленная 1:1.

Натрий уксуснокислый (ацетат натрия), 3-водный, ГОСТ 199-78, хч, 50% и 5% растворы, свежеприготовленные.

Стандартный раствор N 1 с концентрацией 100 мкг/мл кобальта готовят растворением 0,0403 г хлорида кобальта, перекристаллизованного и высушенного на воздухе, в 100 мл дистиллированной воды в мерной колбе. Раствор устойчив в течение месяца.

Стандартный раствор N 2 с концентрацией 10 мкг/мл кобальта готовят разбавлением раствора N 1 дистиллированной водой в 10 раз.

Раствор устойчив в течение суток.

Фильтры АФА-ХА-20, ТУ 95-743-80.

Отбор пробы воздуха

Воздух с объемным расходом 10 л/мин. аспирируют через фильтр АФА-ХА-20. Пробы хранятся в течение месяца.

Для измерения 1/2 ПДК достаточно отобрать 25 л воздуха.

Подготовка к измерению

Градуировочные растворы (устойчивы в течение 30 минут) готовят согласно таблице.

Таблица

ШКАЛА ГРАДУИРОВОЧНЫХ РАСТВОРОВ ДЛЯ ОПРЕДЕЛЕНИЯ КОБАЛЬТА

N стандартаСтандартный раствор N 2, млРаствор ацетата натрия, 5%, млСодержание кобальта в градуировочном растворе, мкг
105,00
20,054,950,5
30,14,91,0
40,24,82,0
50,44,64,0
60,64,46,0
70,84,28,0
81,04,010,0

Во все пробирки прибавляют по 1 мл раствора нитрозо-P-соли, 2 мл 50% раствора ацетата натрия и погружают их в кипящую водяную баню на 3 мин. По охлаждении приливают по 2 мл азотной кислоты (1:1). После прибавления каждого реактива растворы взбалтывают. Через 15 - 20 минут измеряют оптическую плотность растворов при длине волны 420 нм в кюветах с толщиной слоя 1 см по сравнению с контролем (раствор N 1 по таблице).

Строят градуировочный график зависимости оптической плотности градуировочных растворов от содержания кобальта (мкг), проверку которого производят один раз в квартал или в случае использования новых реактивов.

Проведение измерения

Фильтр с отобранной пробой переносят в тигель и озоляют при 500 град. C. В тигель наливают 5 мл концентрированной соляной кислоты, раствор доводят до кипения и переносят в фарфоровую чашку. Тигель промывают 5 - 10 мл соляной кислоты и 10 - 15 мл воды, каждый раз перенося смывы в ту же чашку. Раствор выпаривают досуха. К сухому остатку приливают 5 - 7 мл 5% раствора ацетата натрия, тщательно растирают остаток стеклянной палочкой и раствор фильтруют через фильтр "синяя лента" диаметром 3 см в мерную колбу вместимостью 25 мл. Чашку еще 3 - 4 раза обрабатывают раствором ацетата натрия, собирая смывы в ту же колбу. Раствор в колбе доводят до метки раствором ацетата натрия и перемешивают.

1 - 5 мл полученного раствора пробы вносят в колориметрические пробирки и далее анализируют и фотометрируют аналогично градуировочным растворам.

Содержание кобальта в анализируемом объеме раствора пробы (мкг) находят по градуировочному графику.

Концентрацию кобальта в воздухе (мг/куб. м) рассчитывают по формуле 1 (Приложение 4.2).

Измерение концентрации оксидов ванадия

Характеристика метода

Определение основано на реакции окисления оксидов ванадия до пятивалентного состояния и последующем фотометрическом измерении окрашенного в пурпурный цвет комплексного соединения с 4-(2-пиридилазо) резорцином в буферном растворе с pH 6,0.

Отбор проб проводится с концентрированием на фильтр.

Нижний предел измерения концентрации оксида ванадия (V) в фотометрируемом объеме раствора составляет 2,5 мкг.

Нижний предел измерения оксида ванадия (V) в воздухе составляет 0,05 мг/куб. м (при отборе 90 л воздуха).

Диапазон измеряемых концентраций оксида ванадия (V) в воздухе от 0,05 до 1,4 мг/куб. м.

Измерению ванадия не мешают 10-кратные избытки титана, кальция, тантала, хрома (III и VI). Мешающие измерению железо, кобальт, никель, кадмий, медь, цинк, свинец, марганец, молибден, вольфрам отделяются от ванадия в ходе подготовки пробы к анализу.

Суммарная погрешность измерения не превышает +/- 25%.

Время выполнения измерения 6 ч, включая отбор пробы воздуха.

Приборы, аппаратура, посуда

Спектрофотометр или фотоэлектроколориметр.

pH-метр pH-121 или pH-340.

Аспирационное устройство.

Фильтродержатель, ТУ 95.72.05-77.

Печь муфельная, МП-2УМ.

Тигли кварцевые, ГОСТ 19908-80, или платиновые, ГОСТ 6563-75.

Щипцы тигельные.

Электроплитка.

Воронки химические, ГОСТ 25336-82.

Колбы мерные, ГОСТ 1770-74, вместимостью 25 и 1000 мл.

Пипетки, ГОСТ 20292-74, вместимостью 1, 2, 5 и 10 мл.

Реактивы, растворы и материалы

Аммоний ванадиевокислый мета (NH4VO3), ГОСТ 9336-75, чда.

Натрия гидроксид, ГОСТ 4328-77, хч, 4% раствор.

Соляная кислота, ГОСТ 3118-77, хч, разбавленная 1:1 (по объему).

Аммоний уксуснокислый, ГОСТ 3117-78, чда.

Уксусная кислота, ГОСТ 61-75, хч, 24% раствор.

Азотная кислота, ГОСТ 4461-77, хч, 50% раствор (по объему).

Калий-натрий углекислый, ГОСТ 4332-76, хч.

4-(2-пиридилазо) резорцин (ПАР), МРТУ 6-09-2882-66, 0,03% водный раствор.

Этиловый спирт, ГОСТ 5963-67.

Буферный раствор с pH 6,0 готовят путем растворения в воде 77 г уксуснокислого аммония, добавления 10 мл раствора уксусной кислоты и доведения объема в мерной колбе до 1 л дистиллированной водой (pH раствора следует проверить на pH-метре и в случае необходимости добавить кислоты или щелочи).

Стандартный раствор N 1 с концентрацией оксида ванадия (V) 1 мг/мл готовят растворением 1,286 г ванадия аммония в 1 л воды. Раствор устойчив более года.

Стандартный раствор N 2 с концентрацией оксида ванадия (V) 5,0 мкг/мл (применяют свежеприготовленным) готовят путем соответствующего разбавления водой стандартного раствора N 1.

Фильтры обеззоленные "белая лента", ТУ 6-09-1678-77.

Индикаторная бумага универсальная, ТУ 6-09-1181-76.

Фильтры АФА-ХА-20, ТУ 95-743-80.

Отбор пробы воздуха

Воздух с объемным расходом 10 л/мин. аспирируют через фильтр АФА-ХА-20, помещенный в фильтродержатель. Для измерения 1/2 ПДК (в расчете на дым ванадия (V) оксида) следует отобрать 90 л воздуха. Отобранные пробы устойчивы в течение месяца.

Подготовка к измерению

Градуировочные растворы оксида ванадия (V) (устойчивы в течение суток) готовят в мерных колбах вместимостью 25 мл. В колбы вносят стандартный раствор N 2 в количествах, указанных в таблице.

Таблица

ШКАЛА ГРАДУИРОВОЧНЫХ РАСТВОРОВ

N раствораСтандартный раствор N 2, млСодержание оксида ванадия (V) в 25 мл градуировочного раствора, мкг
100,0
20,52,5
31,05,0
42,010,0
54,020,0
68,040,0
710,050,0
815,075,0

Во все колбы добавляют по 5 мл буферного раствора, по 2 мл раствора ПАР и доводят объемы до метки дистиллированной водой. Растворы перемешивают и через 10 мин. измеряют оптическую плотность при длине волны 540 нм. Измерение проводят в кюветах с толщиной слоя 1 см по отношению к контрольному раствору.

Строят градуировочный график зависимости оптической плотности от содержания оксида ванадия (V) в растворах (мкг), проверку которого проводят 1 раз в месяц или в случае использования новой партии реактивов.

Проведение измерения

Фильтр с отобранной пробой переносят в тигель, добавляют 2 мл 50-процентного раствора азотной кислоты, выпаривают досуха на плитке. Затем пробу озоляют в муфельной печи (предварительно закрыв тигель крышкой) в течение 1 часа при постепенном повышении температуры до 500 град. C. Зольный остаток смешивают с 0,2 - 0,3 г калия-натрия углекислого, помещают для сплавления в муфельную печь, температуру которой повышают до 750 - 800 град. C и выдерживают 10 мин. Плав растворяют в воде при кипячении на плитке, содержимое количественно переносят в мерную колбу вместимостью 25 мл, добавляют 1 - 2 капли этилового спирта (для восстановления оксидов марганца, если они присутствуют), дают осадку гидроксидов скоагулироваться, раствор охлаждают и объем доводят водой до метки. Раствор пробы фильтруют через беззольный фильтр (отделяют гидроксиды железа, титана, кальция и др.) и в фильтрате определяют концентрацию оксида ванадия (V).

Для этого отбирают аликвоту фильтрата объемом 15 мл, нейтрализуют соляной кислотой по универсальной индикаторной бумаге до pH 5 - 6, добавляют 5 мл буферного раствора, 2 мл раствора ПАР и объем доводят водой до 25 мл. Оптическую плотность измеряют аналогично градуировочным растворам.

Содержание оксида ванадия (V) в анализируемом объеме раствора пробы (мкг) находят по градуировочному графику.

Концентрацию оксида ванадия (V) в воздухе (мг/куб. м) рассчитывают по формуле 1 (Приложение 4.2).

Измерение концентраций вольфрама

Характеристика метода

Определение основано на реакции взаимодействия вольфрамат-иона с роданидом аммония с образованием комплексного соединения, окрашенного в желтый цвет.

Отбор проб проводится с концентрированием на фильтр.

Нижний предел измерения содержания вольфрама в объеме анализируемого раствора 2 мкг.

Нижний предел измерения вольфрама в воздухе 1,3 мг/куб. м (при отборе 20 л воздуха).

Диапазон измеряемых концентраций в воздухе от 1,3 до 62 мг/куб. м. Определению не мешают титан, кобальт, железо, марганец, хром и ванадий.

Суммарная погрешность измерения не превышает +/- 20%.

Время выполнения измерения 1,5 часа, включая отбор пробы 2 мин.

Приборы, аппаратура, посуда

Фотоэлектроколориметр марки ФЭК-56М или другой системы, ГОСТ 15150-74, 1-й класс.

Аспирационное устройство.

Фильтродержатель, ТУ 95.72.05-77.

Печь муфельная, МП-2УМ.

Тигли фарфоровые, ГОСТ 9147-80Е.

Щипцы тигельные.

Колбы мерные, ГОСТ 1770-74Е, вместимостью 25 и 100 мл.

Пипетки, ГОСТ 20292-74Е, вместимостью 0,2, 1, 2 и 5 мл.

Пробирки колориметрические с пришлифованными пробками, ГОСТ 10515-75.

Стаканы химические, ГОСТ 25336-82, вместимостью 50 и 100 мл.

Реактивы, растворы, материалы

Натрий вольфрамовокислый (вольфрамат натрия), 2-водный, ГОСТ 18289-78, чда.

Вольфрам (VI) оксид (вольфрамовый ангидрид), ТУ 6-09-4236-76, чда.

Натрия гидроксид, ГОСТ 4328-77, хч, 10% и 2% растворы.

Олово двухлористое, ГОСТ 36-78, чда, 12% раствор в концентрированной соляной кислоте (растворяют при нагревании).

Аммоний роданистый (роданид аммония), СТ СЭВ 222-75, хч, или калий роданистый (роданид калия), ГОСТ 4139-75, хч, 25% раствор.

Стандартный раствор вольфрама N 1 с концентрацией 1 мг/мл готовят путем растворения 0,1794 г вольфрамата натрия в 2% растворе гидроксида натрия в мерной колбе вместимостью 100 мл либо растворением 0,1261 г оксида вольфрама (VI) при нагревании в 20 мл 10% раствора гидроксида натрия, количественным переведением полученного раствора в мерную колбу вместимостью 100 мл и доведением объема до метки дистиллированной водой. Раствор устойчив в течение 3 месяцев.

Стандартные растворы вольфрама N 2 и N 3 с концентрацией 100 и 10 мкг/мл готовят путем соответствующего разбавления раствора N 1 2% раствором гидроксида натрия в мерных колбах. Раствор N 2 устойчив в течение месяца, N 3 применяют свежеприготовленным.

Фильтры типа АФА, ТУ 95-743-80.

Отбор пробы воздуха

Воздух с объемным расходом 10 л/мин. аспирируют через фильтр типа АФА, помещенный в фильтродержатель.

Для измерения 1/2 ПДК достаточно отобрать 20 л воздуха.

Пробы хранятся в течение месяца.

Подготовка к измерению

Градуировочные растворы (устойчивы в течение 2 час.) готовят согласно таблице.

Таблица

ШКАЛА ГРАДУИРОВОЧНЫХ РАСТВОРОВ ДЛЯ ОПРЕДЕЛЕНИЯ ВОЛЬФРАМА

N стандартаСтандартный раствор N 3, млСтандартный раствор N 2, млГидроксид натрия, 2%, раствор, млСодержание вольфрама в градуировочном растворе, мкг
1--2,00
20,2-1,82,0
30,5-1,55,0
41,0-1,010,0
52,0-0,020,0
6-0,41,640,0
7-0,61,460,0
8-0,81,280,0
9-1,01,0100,0

Во все пробирки шкалы прибавляют по 0,2 мл раствора роданида аммония, взбалтывают, приливают по 2,8 мл раствора хлорида олова и снова взбалтывают. Через 1 час измеряют величину оптической плотности растворов при длине волны 420 нм в кюветах с толщиной слоя 1 см по сравнению с контрольным раствором (раствор N 1 таблицы).

Строят градуировочный график зависимости оптической плотности от содержания вольфрама в градуировочном растворе (мкг), проверка которого производится 1 раз в квартал или в случае использования новых реактивов.

Проведение измерения

Фильтр с отобранной пробой помещают в тигель и озоляют в муфельной печи при температуре 500 град. C, зольный остаток выдерживают в печи при температуре 500 - 600 град. C около 20 минут для получения трехокиси вольфрама. По охлаждении остаток в тигле обрабатывают 2 мл 10% раствора гидроксида натрия и нагревают до полного растворения остатка. Раствор переводят в мерную колбу вместимостью 25 мл, а тигель промывают водой, сливая ее в ту же колбу. Полученный раствор доводят до метки водой. Если раствор мутный, его центрифугируют или фильтруют.

2 мл пробы вносят в колориметрическую пробирку и далее анализируют и фотометрируют аналогично градуировочным растворам.

Содержание вольфрама в анализируемом объеме раствора пробы (мкг) находят по градуировочному графику.

Концентрацию вольфрама в воздухе (мг/куб. м) рассчитывают по формуле 1 (Приложение 4.2).

Измерение концентрации циркония и оксида циркония (IV)

Характеристика метода

Определение основано на реакции циркония-иона с пирокатехиновым фиолетовым с образованием окрашенного соединения.

Отбор проб проводится с концентрированием на фильтр.

Нижний предел измерения содержания циркония в объеме анализируемого раствора 5 мкг.

Нижний предел измерения в воздухе 0,5 мг/куб. м (при отборе 20 л воздуха).

Диапазон измеряемых концентраций в воздухе от 0,5 мг/куб. м до 20 мг/куб. м.

Определению не мешают железо, алюминий, ванадий и титан до содержания 100 мкг.

Суммарная погрешность измерения не превышает +/- 25%.

Время выполнения измерения 3 часа, включая отбор проб 2 минуты.

Приборы, аппаратура, посуда

Фотоэлектроколориметр марки ФЭК-56М или другой системы, ГОСТ 15150-74, 1-й класс.

Аспирационное устройство.

Фильтродержатель, ТУ 95.72.05-77.

Баня водяная.

Печь муфельная, МП-2УМ.

Щипцы тигельные с платиновыми наконечниками.

Центрифуга.

Тигли платиновые, ГОСТ 6563-75.

Пипетки, ГОСТ 20292-74Е, вместимостью 1, 2, 5 и 10 мл.

Колбы мерные, ГОСТ 1770-74Е, вместимостью 25, 50 и 100 мл.

Пробирки центрифужные, ГОСТ 25336-82Е, вместимостью 15 мл.

Ступка фарфоровая с пестиком, ГОСТ 9147-80Е.

Чашки фарфоровые, ГОСТ 9147-80Е.

Реактивы, растворы, материалы

Цирконий хлорокись, 8-водная, МРТУ 6-09-2901-76, хч.

Пирокатехиновый фиолетовый, ТУ 6-09-07-1087-78, чда, 0,1% раствор.

Соляная кислота, ГОСТ 3118-77, хч, 0,5 М и 2 растворы.

Аммоний уксуснокислый, ГОСТ 3117-78, хч.

Кислота уксусная ледяная, ГОСТ 61-75, хч.

Метиловый оранжевый, ГОСТ 10861-64, 0,05% раствор.

Натрий углекислый, безводный, ГОСТ 83-79, хч.

Натрий тетраборнокислый, 10-водный, ГОСТ 4199-76, хч.

Магний хлористый, безводный, МРТУ 6-09-3237-66.

Плавень: тщательно растирают в фарфоровой ступке 3 части карбоната натрия и 2 части прокаленного натрия тетрабората. К 100 г полученной смеси прибавляют 1 г безводного хлорида магния и снова растирают в однородную массу. Хранят в склянке с притертой пробкой.

Буферный раствор. 27 г ацетата аммония растворяют в 900 мл воды в мерной колбе вместимостью 1 л, прибавляют по каплям уксусную кислоту до pH 5,3 и доводят объем до метки водой.

Трилон Б, ГОСТ 10652-73, 5% раствор.

Стандартный раствор циркония N 1 с концентрацией 100 мкг/мл готовят путем растворения 0,3530 г хлорида циркония в 0,5 М растворе соляной кислоты в мерной колбе вместимостью 1 л. Раствор устойчив в течение 1 месяца.

Стандартный раствор циркония N 2 с концентрацией 10 мкг/мл готовят разбавлением основного раствора 0,5 М раствором соляной кислоты в 10 раз. Раствор устойчив в течение 2 дней.

Фильтры обеззоленные "синяя лента", ТУ 6-09-1678-77.

Фильтры типа АФА, ТУ 95-743-80.

Отбор пробы воздуха

Воздух с объемным расходом 10 л/мин. аспирируют через фильтр, АФА, помещенный в фильтродержатель.

Для определения 1/2 ПДК циркония следует отобрать 20 л воздуха. Проба сохраняется в течение 1 месяца.

Подготовка к измерению

Градуировочные растворы (устойчивы в течение 2-х часов) готовят в мерных колбах вместимостью 25 мл согласно таблице.

Таблица

ШКАЛА ГРАДУИРОВОЧНЫХ РАСТВОРОВ ДЛЯ ОПРЕДЕЛЕНИЯ ЦИРКОНИЯ

N стандартаСтандартный раствор N 2, млСоляная кислота, млСодержание циркония в градуировочном растворе, мкг
105,00
20,54,55,0
31,04,010,0
42,03,020,0
53,02,030,0
64,01,040,0

Во все колбы шкалы приливают по 2 мл раствора Трилона Б, 1 каплю метилового оранжевого и осторожно по каплям нейтрализуют раствором аммиака до перехода окраски в желтый цвет. Затем прибавляют по каплям 2 М раствор соляной кислоты до перехода окраски в оранжевый цвет, 8 - 10 мл буферного раствора, 0,7 мл раствора пирокатехинового фиолетового, доводят раствор до метки буферным раствором и перемешивают. Через 30 минут измеряют оптическую плотность раствора при длине волны 530 нм в кюветах с толщиной слоя 0,5 см относительно контрольного раствора (раствор 1 по таблице).

Строят градуировочный график зависимости оптической плотности растворов от содержания циркония (мкг), проверку которого проводят 1 раз в квартал или при использовании новой партии реактивов.

Проведение измерения

Фильтр с пробой помещают в платиновый тигель и осторожно, избегая воспламенения, озоляют на газовой горелке или в муфельной печи. К остатку добавляют 2 г плавня и помещают тигель в переднюю часть нагретой муфельной печи. После прекращения вспенивания плавня тигель продвигают на середину печи и выдерживают до полной прозрачности плава. При температуре около 900 град. C продолжают сплавление в течение 5 минут. По охлаждении в тигель наливают 10 мл воды и помещают на кипящую водяную баню.

Когда плав растворится, жидкость с осадком переносят в центрифужную пробирку, тигель промывают 2 мл воды, сливая раствор в ту же пробирку. Раствор центрифугируют при 2000 об./мин. в течение 7 - 10 минут. Затем жидкость сливают с осадка, осадок промывают водой дважды по 5 мл, каждый раз центрифугируя взвесь. Раствор отбрасывают и растворяют осадок в 10 мл 2 М раствора соляной кислоты при нагревании на кипящей водяной бане. Раствор перемешивают стеклянной палочкой и охлаждают.

1 - 5 мл полученного раствора вносят в мерную колбу вместимостью 25 мл, приливают 2 М раствор соляной кислоты до объема 5 мл и далее обрабатывают и фотометрируют аналогично градуировочным растворам.

Содержание циркония в анализируемом объеме раствора пробы (мкг) проводят по градуировочному графику.

Концентрацию циркония в воздухе (мг/куб. м) рассчитывают по формуле 1 (Приложение 4.2).

Измерение концентрации алюминия и оксида алюминия

Характеристика метода

Определение основано на реакции взаимодействия иона алюминия с хромазуролом S с образованием соединения, окрашенного в фиолетово-синий цвет.

Отбор проб проводится с концентрированием на фильтр.

Нижний предел измерения содержания алюминия - 0,3 мкг в анализируемом объеме раствора.

Нижний предел измерения алюминия в воздухе - 0,4 мг/куб. м, оксида алюминия 7,5 мг/куб. м (при отборе 80 л воздуха).

Диапазон измеряемых концентраций алюминия в воздухе от 0,4 до 30 мг/куб. м.

Определению не мешают кальций, магний, свинец, цинк, 25-кратные количества железа, никеля, меди, марганца, 2-кратные количества хрома и титана. Мешающие определению ионы фтора отделяют в ходе обработки пробы. Мешающее влияние одновалентных катионов устраняют путем разбавления пробы.

Суммарная погрешность измерения не превышает +/- 20%. Время выполнения измерения 5 - 6 часов, включая отбор пробы 8 мин.

Приборы, аппаратура, посуда

Фотоэлектроколориметр марки ФЭК-56 или другой системы, ГОСТ 15150-74, 1-й класс.

Аспирационное устройство.

Фильтродержатель, ТУ 95.72.05-77.

Печь муфельная, МП-2УМ.

Тигли платиновые, ГОСТ 6563-75.

Щипцы тигельные с платиновыми наконечниками.

Баня песчаная.

Пробирки колориметрические с пришлифованными пробками, ГОСТ 10515-75.

Пипетки, ГОСТ 20292-74Е, вместимостью 1, 2, 5, 10 мл.

Колбы мерные, ГОСТ 1770-74Е, вместимостью 50, 100, 500 мл.

Стаканы химические, ГОСТ 25336-82Е, вместимостью 25, 50, 100 мл.

Цилиндры мерные, ГОСТ 1770-74Е, вместимостью 25, 50, 100 мл.

Реактивы, растворы, материалы

Квасцы алюмокалиевые (калий-алюминий сернокислый 12-водный), ГОСТ 4329-77, чда.

Калия пиросульфат (калий сернокислый пиро), ГОСТ 7172-76, чда.

Кислота серная, ГОСТ 4204-77, хч, концентрированная и разбавленная (1:1).

Кислота фтористоводородная, ГОСТ 10484-73, чда, 45%.

Кислота аскорбиновая, ГОСТ 4815-74, хч, 1% водный раствор, свежеприготовленный.

Кислота винная, ГОСТ 5817-77, чда, 0,05% водный раствор.

Тиомочевина, ГОСТ 6344-73, хч, 5% раствор.

Кислота уксусная, ГОСТ 61-75, хч, 0,2 М раствор.

Аммиак водный, ГОСТ 3760-64, хч, 0,2 М раствор.

Буферный раствор с pH 7,5. Смешивают 49,6 мл 0,2 М раствора уксусной кислоты и 50,4 мл 0,2 М раствора аммиака. Проверка pH раствора на pH-метре обязательна. Буферный раствор устойчив в течение недели.

Хромазурол S, ТУ 6-09-4513-77, чда, 0,1% раствор. Раствор устойчив в течение месяца.

Раствор плава. Пиросульфат калия в количестве 0,5 г помещают в платиновый тигель и плавят при температуре 650 - 700 град. C. Плав растворяют в горячей воде и переводят в мерную колбу вместимостью 500 мл.

Стандартный раствор алюминия N 1 с концентрацией 100 мкг/мл готовят растворением 0,1758 г алюмокалиевых квасцов в 50 мл теплой воды с добавлением 1 мл концентрированной азотной кислоты в мерной колбе вместимостью 100 мл. После охлаждения раствор доводят до метки дистиллированной водой. Раствор устойчив в течение месяца.

Стандартные растворы N 2 и N 3 с концентрацией алюминия 10 и 1,0 мкг/мл готовят соответствующим разбавлением основного раствора раствором плава. Растворы устойчивы в течение одного дня.

Фильтры АФА-ХА или ХП, ТУ 95-743-80.

Отбор пробы воздуха

Воздух с объемным расходом 10 л/мин. аспирируют через фильтр АФА, помещенный в фильтродержатель. Для измерения 1/2 ПДК следует отобрать 80 л воздуха. Пробы хранятся в течение месяца.

Подготовка к измерению

Градуировочные растворы (устойчивы в течение 20 мин.) готовят согласно таблице.

Таблица

ШКАЛА ГРАДУИРОВОЧНЫХ РАСТВОРОВ ДЛЯ ОПРЕДЕЛЕНИЯ АЛЮМИНИЯ

N стандартаСтандартный раствор N 3, млСтандартный раствор N 2, млРаствор плава, млСодержание алюминия в градуировочном растворе, мкг
10-5,00
20,3-4,70,3
30,5-4,50,5
41,0-4,01,0
5-0,24,82,0
6-0,34,73,0
7-0,44,64,0
8-0,54,55,0

Во все пробирки вносят по 0,3 мл 1% раствора аскорбиновой кислоты, 0,25 мл 5% раствора тиомочевины, 0,2 мл 0,05% раствора винной кислоты, 4,0 мл буферного раствора и 0,3 мл 0,1-процентного раствора хромазурола S. После добавления каждого реактива содержимое пробирок перемешивают.

Через 15 минут измеряют величину оптической плотности растворов при длине волны 530 нм в кюветах с толщиной слоя 1 см по отношению к контрольному раствору (раствор N 1 таблицы).

Строят градуировочный график зависимости оптической плотности от содержания алюминия в градуировочном растворе (мкг), проверка которого проводится 1 раз в квартал в случае использования новой партии реактивов.

Проведение измерения

Фильтр АФА-ХА с пробой помещают в платиновый тигель, вносят 3 - 4 капли воды, 6 - 8 капель серной кислоты (1:1), 2 мл фтористоводородной кислоты и выпаривают до удаления паров на песчаной бане. При отборе проб на фильтры АФА-ХП кислотной обработке предшествует операция озоления фильтра при температуре 500 град. C. Затем тигель помещают в муфельную печь и прокаливают при температуре 900 - 1000 град. C в течение 5 - 10 мин. После охлаждения в тигель вносят 0,5 г пиросульфата калия, хорошо перемешивают и сплавляют, постепенно повышая температуру до 650 - 700 град. C, выдерживают при данной температуре 10 минут, затем охлаждают. Плав растворяют в горячей воде, переводят в мерную колбу вместимостью 500 мл и после охлаждения раствор в колбе доводят до метки водой.

В колориметрическую пробирку вносят 1 - 5 мл пробы и далее обрабатывают и фотометрируют аналогично градуировочным растворам.

Содержание алюминия в анализируемом объеме раствора пробы (мкг) определяют по градуировочному графику.

Концентрацию алюминия в воздухе (мг/куб. м) рассчитывают по формуле 1 (Приложение 4.2).

Коэффициент пересчета алюминия на оксид алюминия - 1,88.

Измерение концентрации магния и оксида магния

Характеристика метода

Определение основано на реакции образования окрашенного комплексного соединения магния с арсеназо-1.

Отбор проб воздуха проводится с концентрированием на фильтр.

Нижний предел измерения магния в анализируемом объеме раствора 1 мкг.

Нижний предел измерения в воздухе 1 мг/куб. м (при отборе 25 л воздуха).

Диапазон измеряемых концентраций в воздухе от 1 мг/куб. м до 20 мг/куб. м.

Определению магния не мешают алюминий, железо, медь, вольфрам.

Суммарная погрешность измерения не превышает +/- 20%.

Время выполнения измерения 2 часа, включая отбор пробы 2,5 мин.

Приборы, аппаратура, посуда

Фотоэлектроколориметр марки ФЭК-56М или другой системы, ГОСТ 15150-74, 1-й класс.

Аспирационное устройство.

Фильтродержатель, ТУ 95.72.05-77.

Печь муфельная, МП-2УМ.

Тигли платиновые, ГОСТ 6563-75.

Щипцы тигельные.

Баня водяная.

Пипетки, ГОСТ 20292-74Е, вместимостью 1, 2, 5 и 10 мл.

Колбы мерные, ГОСТ 1770-74Е, вместимостью 25, 100 и 1000 мл.

Пробирки колориметрические ГОСТ 10515-75.

Цилиндры мерные, ГОСТ 1770-74Е, вместимостью 25 мл.

Реактивы, растворы, материалы

Магний сернокислый, 7-водный, ГОСТ 4523-77, хч.

Спирт этиловый, ГОСТ 18300-72, хч.

Арсеназо-1, МРТУ 6-09-4729-79, чда, перекристаллизованный из смеси этилового спирта с водой в соотношении 1:1 с последующим промыванием полученного осадка этиловым спиртом и высушиванием его при комнатной температуре, 0,06% раствор.

Аммиак водный, ГОСТ 3760-79, чда, 0,2 М раствор (15,1 мл 25% раствора аммиака растворяют в 1000 мл дистиллированной воды).

Уксусная кислота ледяная, ГОСТ 61-75, хч, 0,2 М раствор (11,62 мл ледяной уксусной кислоты растворяют в 1000 мл дистиллированной воды); 10% раствор.

Аммиачно-ацетатный буферный раствор с pH 10,4 - 11,0. 976 мл 0,2 М раствора аммиака смешивают с 24 мл 0,2 М раствора уксусной кислоты. Раствор устойчив в течение месяца.

Триэтаноламин, ТУ 6-09-2448-72, ч, 5% водный раствор.

Калий пиросернокислый (пиросульфат), ГОСТ 7172-76, ч.

Стандартный раствор магния N 1 с концентрацией 1 мг/мл магния готовят растворением 10,1386 г сернокислого магния в дистиллированной воде в мерной колбе вместимостью 1000 мл. Объем доводят до метки дистиллированной водой. Раствор устойчив в течение месяца.

Стандартный раствор магния N 2 с концентрацией 10 мкг/мл готовят соответствующим разведением стандартного раствора N 1 дистиллированной водой в день анализа.

Фильтры типа АФА, ТУ 95-843-80.

Отбор пробы воздуха

Воздух с объемным расходом 5 - 10 л/мин. аспирируют через фильтр АФА.

Для измерения 1/2 ПДК магния достаточно отобрать 25 л воздуха.

Пробы хранятся в течение 2-х недель.

Подготовка к измерению

Градуировочные растворы (устойчивы в течение 30 мин.) готовят согласно таблице.

Таблица

ШКАЛА ГРАДУИРОВОЧНЫХ РАСТВОРОВ ДЛЯ ОПРЕДЕЛЕНИЯ МАГНИЯ

N стандартаСтандартный раствор магния N 2, млДистиллированная вода, млСодержание магния в градуировочном растворе, мкг
104,00
20,13,91,0
30,23,82,0
40,33,73,0
50,43,64,0
60,53,55,0
70,63,46,0
80,73,37,0
90,93,19,0
101,03,010,0

Во все пробирки шкалы добавляют по 1 мл раствора триэтаноламина, по 3 мл аммиачно-ацетатного буферного раствора (pH 10,4 - 11), по 2 мл 0,06% раствора арсеназо-1. После добавления каждого реактива содержимое пробирок перемешивают. Объем растворов доводят дистиллированной водой до 10 мл, перемешивают и через 15 мин. фотометрируют. Измерение оптической плотности проводят в кюветах с толщиной поглощающего слоя 2 см при 572 - 592 нм.

Строят градуировочный график зависимости оптической плотности от содержания магния в градуировочных растворах (мкг).

Проверка градуировочного графика проводится 1 раз в месяц или в случае использования новой партии реактивов.

Проведение измерения

Фильтр с пробой помещают в платиновый тигель и озоляют при 500 град. C в течение 30 минут. После охлаждения в тигель вносят 0,5 г пиросульфата калия, хорошо перемешивают и сплавляют, постепенно повышая температуру до 600 град. C, в течение 30 мин. По охлаждении плав растворяют в горячей дистиллированной воде, переносят раствор в мерную колбу вместимостью 25 мл и доводят раствор до метки водой.

0,5 - 1 мл пробы вносят в колориметрическую пробирку, доводят объем до 4,0 мл водой, и далее анализ идет аналогично приготовлению градуировочных растворов.

Оптическую плотность полученных растворов измеряют аналогично градуировочным растворам по сравнению с контролем, который готовят одновременно и аналогично пробе.

Содержание магния в анализируемом объеме раствора пробы (мкг) определяют по градуировочному графику.

Концентрацию магния в воздухе (мг/куб. м) рассчитывают по формуле 1 (Приложение 4.2).

Коэффициент пересчета магния на оксид магния 1,66.

Измерение концентрации свинца

Характеристика метода

Определение основано на взаимодействии иона свинца с сульфарсазеном с образованием комплексного соединения, окрашенного в желто-оранжевый цвет.

Отбор проб проводится с концентрированием на фильтр.

Нижний предел измерения в анализируемом объеме раствора 1 мкг.

Нижний предел намерения в воздухе 0,005 мг/куб. м (при отборе 400 л воздуха).

Диапазон измеряемых концентраций свинца в воздухе от 0,005 до 0,12 мг/куб. м.

Определению свинца не мешают цинк, медь, железо.

Суммарная погрешность намерения не превышает +/- 25%.

Время выполнения определения 1,5 часа, включая отбор пробы 20 мин.

Приборы, аппаратура, посуда

Фотоэлектроколориметр марки ФЭК-56М или другой системы, ГОСТ 15150-74.

Аспирационное устройство.

Фильтродержатель, ТУ 95.72.05-77.

Баня песчаная.

Печь муфельная, МП-2УМ.

Пробирки колориметрические, ГОСТ 10515-75, вместимостью 10 мл, с пришлифованными пробками.

Пробирки центрифужные, ГОСТ 25336-82Е.

Колбы мерные, ГОСТ 1770-74Е, вместимостью 25 и 100 мл.

Пипетки, ГОСТ 20292-74Е, вместимостью 1, 2, 5 и 10 мл.

Стаканы химические, ГОСТ 25336-82Е, вместимостью 50 и 100 мл.

Реактивы, растворы, материалы

Свинец азотнокислый, ГОСТ 4236-77, хч, перекристаллизованный и высушенный до постоянного веса.

Аммоний уксуснокислый (ацетат аммония), ГОСТ 3117-78, хч, 3% раствор.

Натрий тетраборнокислый, 10-водный (бура), ГОСТ 4199-76, хч, 0,05 М раствор, готовят растворением 9,51 г буры в 500 мл воды.

Тиомочевина, ГОСТ 6344-73, хч, 10% раствор.

Сульфарсазен, ТУ 6-09-4681-78, чда, 0,025% в 0,05 М растворе буры. Раствор устойчив в течение 2 недель.

Калий железистосинеродистый (желтая кровяная соль), ГОСТ 4207-75, хч, 1% раствор.

Азотная кислота, ГОСТ 4461-77, хч, раствор 1:3.

Стандартный раствор свинца N 1 с концентрацией 1 мг/мл готовят растворением навески азотнокислого свинца 0,1598 г в воде в мерной колбе вместимостью 100 мл. Раствор устойчив в течение месяца.

Стандартный раствор свинца N 2 с концентрацией 100 мкг/мл готовят соответствующим разбавлением стандартного раствора N 1 3% раствором ацетата аммония. Раствор устойчив в течение недели.

Стандартный раствор N 3, содержащий 10 мкг/мл свинца, готовят разбавлением стандартного раствора N 2 раствором ацетата аммония. Применяют свежеприготовленным.

Фильтры АФА-ХП-20 или АФА-ВП-20, ТУ 95-743-80.

Отбор пробы воздуха

Воздух с объемным расходом 20 л/мин. аспирируют через фильтр АФА-ХП-20, закрепленный в фильтродержатель. Для измерения 1/2 ПДК свинца следует отобрать 400 л воздуха. Пробы хранятся в течение месяца.

Подготовка к измерению

Градуировочные растворы (устойчивы в течение 5 часов) готовят согласно таблице.

Таблица

ШКАЛА ГРАДУИРОВОЧНЫХ РАСТВОРОВ ДЛЯ ОПРЕДЕЛЕНИЯ СВИНЦА

N стандартаСтандартный раствор магния N 3, млРаствор ацетата аммония 3%-ный, млСодержание свинца в градуировочном растворе, мкг
102,50
20,12,41,0
30,22,32,0
40,42,14,0
50,61,96,0
60,81,78,0
71,01,510,0

Во все пробирки шкалы добавляют по 0,2 мл 10% раствора тиомочевины (для связывания ионов меди), по 0,1 мл 1% раствора желтой кровяной соли (для связывания ионов цинка), по 0,05 М растворов буры (в качестве буферного раствора) и по 0,5 мл 0,025-процентного раствора сульфасазена. После каждого раствора содержимое пробирок перемешивают. Выдерживают 30 минут, затем фотометрируют.

Измерение оптической плотности проводят при длине волны 540 нм по сравнению с контролем (раствор N 1 по таблице) в кюветах с толщиной слоя 1 см.

Строят градуировочный график зависимости оптической плотности растворов от содержания свинца (мкг), проверку которого проводят 1 раз в квартал или при использовании новой партии реактивов.

Проведение измерения

Фильтр с пробой переносят в химический стакан, заливают 10 мл раствора азотной кислоты (1:3) и нагревают при перемешивании стеклянной палочкой на кипящей водяной бане в течение 7 - 10 минут. Фильтр отжимают стеклянной палочкой на стенке стакана, промывают дистиллированной водой дважды по 5 мл. Раствор упаривают досуха на водяной бане. В стакан добавляют 3 - 5 мл воды и вновь упаривают досуха.

В стакан приливают 5 мл 3% раствора ацетата аммония, тщательно растирая осадок палочкой. При необходимости раствор центрифугируют. 1 - 2,5 мл прозрачного раствора помещают в колориметрические пробирки и обрабатывают и фотометрируют аналогично градуировочным растворам. Измерение оптической плотности раствора пробы проводят относительно усредненного контрольного раствора, полученного путем обработки (аналогичной обработке пробы) не менее 3 - 4 чистых фильтров.

Содержание свинца в анализируемом растворе пробы (мкг) находят по градуировочному графику.

Концентрацию свинца в воздухе (мг/куб. м) рассчитывают по формуле 1 (Приложение 4.2).

Измерение концентрации борной кислоты и борного ангидрида

Характеристика метода

Определение основано на реакции борат-ионов с 1,1-диантримидом в концентрированной серной кислоте с образованием окрашенного в голубой цвет комплексного соединения.

Отбор проб воздуха проводится с концентрированием на фильтр.

Нижний предел измерения концентрации борной кислоты в анализируемом объеме раствора 1 мкг.

Нижний предел измерения в воздухе 0,3 мг/куб. м (при отборе 40 л воздуха).

Диапазон измеряемых концентраций борной кислоты в воздухе от 0,3 мг/куб. м до 37,5 мг/куб. м.

Определению не мешают металлы. Фторид-ионы мешают при соотношении концентраций борат-ионов и фтор-ионов 1:2,5 и выше.

Суммарная погрешность измерения не превышает +/- 20%.

Время выполнения измерения 1 час 20 минут, включая отбор пробы 4 минуты.

Приборы, аппаратура, посуда

Фотоэлектроколориметр ФЭК-56М или другой марки, ГОСТ 15150-74, 1-й класс точности.

Аспирационное устройство.

Фильтродержатель, ТУ 95.72.05-77.

Пробирки колориметрические с пришлифованными пробками, ГОСТ 10515-75.

Пипетки, ГОСТ 20292-74Е, вместимостью 1, 2, 5 и 10 мл. Колбы мерные, ГОСТ 177-74, вместимостью 50, 100 и 500 мл.

Чашки фарфоровые, ГОСТ 9147-73, вместимостью 50 мл.

Баня водяная.

Реактивы, растворы, материалы

Борная кислота, ГОСТ 9658-75, хч.

Серная кислота концентрированная, ГОСТ 4204-77, хч.

Диантримид, ТУ 05-9/691-77, чда, 0,4% (об.) раствор в серной кислоте. Раствор устойчив в течение 1 месяца при хранении при +4 град. C. В день анализа готовят 0,02% раствор реактива, для чего 1 объем 0,4-процентного раствора диантримида смешивают с 20 объемами серной кислоты.

Натрия гидроксид, ГОСТ 4328-77, хч, 0,01 М раствор.

Стандартный раствор N 1 борной кислоты с концентрацией 50 мкг/мл готовят растворением 0,0500 г борной кислоты с концентрированной серной кислоте в мерной колбе вместимостью 100 мл. Навеску вносят в колбу, приливают 30 - 50 мл серной кислоты, закрывают пришлифованной пробкой и осторожно перемешивают при нагревании на водяной бане до полного растворения или выдерживают в течение суток.

Раствор в колбе, охлажденный до комнатной температуре, доводят до метки серной кислотой и перемешивают.

Раствор устойчив в течение 1 месяца при хранении в стеклянной посуде, не содержащей бора.

Стандартный раствор N 2, содержащий 5 мкг/мл борной кислоты, готовят разбавлением основного раствора серной кислоты в 10 раз. Раствор устойчив в течение 6 часов.

Фильтры типы АФА, ТУ 95-743-80.

Отбор пробы воздуха

Воздух с объемным расходом 10 л/мин. аспирируют через фильтр АФА, помещенный в фильтродержатель. Для измерения 1/2 ПДК следует отобрать 40 л воздуха. Проба хранится в течение 1 месяца.

Подготовка к измерению

Градуировочные растворы готовят согласно таблице. Устойчивы в течение 2-х часов.

Таблица

ШКАЛА ГРАДУИРОВОЧНЫХ РАСТВОРОВ ДЛЯ ОПРЕДЕЛЕНИЯ БОРНОЙ КИСЛОТЫ

N стандарта Стандартный раствор N 1, мл Стандартный раствор N 2, мл Серная кислота, мл Содержание борной кислоты, мкг
1 - - 2,0 0
2 - 0,2 1,8 1,0
3 - 0,4 1,6 2,0
4 - 0,6 1,4 3,0
5 - 1,0 1,0 5,0
6 - 2,0 - 10,0
7 0,4 - 1,6 20,0
8 0,6 - 1,4 30,0

В пробирки вносят по 3 мл 0,02% (об.) раствора диантримида в серной кислоте, осторожно перемешивают и содержимое нагревают на кипящей водяной бане в течение 30 минут. По охлаждении измеряют оптическую плотность растворов при 620 нм в кюветах с толщиной слоя 1 см относительно контрольного раствора (раствор N 1 таблицы).

Строят градуировочный график зависимости оптической плотности от содержания борной кислоты в распорах (мкг), проверку которого проводят 1 раз в месяц или в случае использования новой партии реактивов.

Проведение измерения

Фильтр с пробой помещают в фарфоровую чашку и обрабатывают 7 - 10 мл горячей (70 град. C) дистиллированной воды, перемешивая стеклянной палочкой в течение 3 минут. Фильтр отжимают на стенке чашки стеклянной палочкой, промывают 10 мл воды и отбрасывают.

В чашку приливают 2 мл 0,01 М раствора гидроксида натрия, помещают на кипящую водяную баню и выпаривают досуха. В чашку приливают 10 мл серной кислоты, перемешивают содержимое стеклянной палочкой и сливают раствор в мерную колбу вместимостью 25 мл. Промывают чашку серной кислотой, собирая смывы в ту же колбу. Объем раствора в колбе доводят до метки серной кислотой и перемешивают.

0,5 - 2,0 мл раствора пробы помещают в пробирку, доводят в случае необходимости объем раствора до 2,0 мл серной кислотой и приливают 3,0 мл раствора диантримида. Дальше анализ проводят аналогично градуировочным растворам.

Оптическую плотность раствора пробы измеряют аналогично градуировочным растворам по сравнению с контролем, который готовят одновременно и аналогично пробе.

Количественное определение борной кислоты в мкг в анализируемом объеме раствора проводят по градуировочному графику.

Расчет концентрации борной кислоты в воздухе (мг/куб. м) проводят по формуле 1 (Приложение 4.2).

При определении борного ангидрида полученное значение концентрации следует умножить на коэффициент 0,57.

Измерение концентрации диоксида кремния

Характеристика метода

Определение кристаллической и аморфной (из аэрозоля конденсации) форм диоксида кремния основано на переведении их в раствор, путем сплавления со смесью двууглекислого натрия и хлорида натрия и последующей реакции образования синего кремнемолибденового комплекса.

Отбор проб проводится с концентрированием на фильтр.

Нижний предел измерения содержания диоксида кремния в объеме анализируемого раствора 2 мкг.

Нижний предел измерения диоксида кремния в воздухе 0,5 мг/куб. м (при отборе 100 л воздуха).

Диапазон измеряемых концентраций в воздухе от 0,5 до 12,5 мг/куб. м.

Определению диоксида кремния не мешают соединения фосфора.

Суммарная погрешность измерения не превышает +/- 20%.

Время выполнения измерения 7 - 8 часов, включая отбор проб 8 - 10 мин.

Приборы, аппаратура, посуда

Фотоэлектроколориметр ФЭК-56М или другой марки, ГОСТ 15150-74, 1-й класс точности.

Аспирационное устройство.

Фильтродержатель, ТУ 95.72.05-77.

Тигли платиновые, ГОСТ 6563-75, с крышками.

Печь муфельная, МП-2УМ.

Горелка газовая.

Ступка агатовая.

Палочка платиновая или алюминиевая.

Секундомер, ГОСТ 5072-79.

Щипцы тигельные с платиновым наконечником.

Воронки из полиэтилена.

Пробирки колориметрические, ГОСТ 10515-75.

Колбы мерные, 4 - 25, ГОСТ 1770-74Е, вместимостью 25, 100 и 1000 мл.

Пипетки, ГОСТ 20292-74Е, вместимостью 1, 2, 5 и 10 мл.

Цилиндры мерные, ГОСТ 1770-74Е, вместимостью 10 и 50 мл.

Сосуды полиэтиленовые.

Реактивы, растворы, материалы

Кварц чистый (горный хрусталь).

Натрий двууглекислый, ГОСТ 4201-79, хч.

Натрий хлористый, ГОСТ 4233-77, хч.

Кислота соляная, ГОСТ 3118-77, хч, разбавленная 1:1.

Кислота винная, ГОСТ 5817-77, чда, 10% раствор, свежеприготовленный.

Кислота азотная, ГОСТ 4461-77, хч, разбавленная 1:1.

Кислота аскорбиновая, ГОСТ 4815-76, хч, 1% раствор, свежеприготовленный.

Аммоний хлористый, ГОСТ 3773-72, хч, 2% раствор.

Аммоний молибденовокислый, ГОСТ 3765-78, хч, перекристаллизованный, 10% раствор. Соль растворяется в горячей воде. (В случае выпадения осадка раствор фильтруют.)

Составной плавень готовят из свежевысушенных при 105 град. C равных весовых частей двууглекислого и хлористого натрия, тщательно растертых и перемешанных в агатовой ступке. Плавень хранят в склянке с притертой пробкой.

Стандартный раствор N 1 с содержанием диоксида кремния 200 мкг/мл. Навеску тонко измельченного в агатовой ступке кварца 0,0200 г помещают в платиновый тигель и тщательно перемешивают с 1,0 г составного плавня. Тигель устанавливают в муфельную печь и сплавляют при температуре 900 град. C в течение 4 минут (по секундомеру), плав выщелачивают в несколько приемов водой в мерную колбу вместимостью 100 мл и доводят объем водой до метки. Раствор хранят в полиэтиленовом сосуде в течение одного месяца.

Стандартный раствор N 2, содержащий 20 мкг/мл диоксида кремния, готовят соответствующим разбавлением стандартного раствора N 1 водой. Применяют свежеприготовленный раствор.

Все реактивы хранят в полиэтиленовой посуде.

Фильтры АФА-ХП или АФА-ВП, ТУ 95-743-80.

Фильтры беззольные бумажные "синяя лента", диаметром 4 см, ТУ 6-09-1678-77.

Отбор пробы воздуха

Воздух с объемным расходом 15 л/мин. аспирируют через фильтр АФА. Для измерения 1/2 ПДК следует отобрать 100 л воздуха. Пробы хранятся в течение месяца.

Подготовка к измерению

Градуировочные растворы (устойчивы в течение 5 часов) готовят согласно таблице.

Таблица

ШКАЛА ГРАДУИРОВОЧНЫХ РАСТВОРОВ ДЛЯ ОПРЕДЕЛЕНИЯ ДИОКСИДА КРЕМНИЯ

N стандарта Стандартный раствор N 2, мл Дистиллированная вода, мл Содержание диоксида кремния, мкг
1 0 10,0 0
2 0,1 9,9 2,0
3 0,2 9,8 4,0
4 0,3 9,7 6,0
5 0,5 9,5 10,0
6 0,7 9,3 14,0
7 0,9 9,1 18,0
8 1,2 8,8 24,0
9 1,5 8,5 30,0
10 2,0 8,0 40,0
11 2,5 7,5 50,0

Затем во все пробирки шкалы добавляют по 1,0 мл раствора молибдата аммония и перемешивают. Через 5 мин. добавляют по 1,0 мл раствора винной кислоты, спустя 10 минут по 0,25 мл раствора аскорбиновой кислоты, перемешивают после добавления каждого реактива. Через 20 минут измеряют оптическую плотность растворов при длине волны 600 нм по отношению к контролю (раствор N 1 по таблице). Измерения проводят в кюветах с толщиной поглощающего слоя 1 см.

Строят градуировочный график зависимости оптической плотности от содержания диоксида кремния в градуировочных растворах (мкг).

Проверку градуировочного графика проводят 1 раз в квартал или в случае использования новой партии реактивов.

Проведение измерения

Для отделения цветных и тяжелых металлов, приводящих к коррозии платиновых тиглей, фильтр с пробой обрабатывают раствором кислот. Для этого фильтр заливают в химическом стакане вместимостью 50 мл 10 мл смеси из равных объемов разбавленных 1:1 соляной и азотной кислот и кипятят в течение 2 - 3 минут. Раствор фильтруют через небольшой фильтр "синяя лента" и отбрасывают. Стакан промывают дважды 10 мл воды, перенося фильтр АФА и смывы на фильтр "синяя лента".

Бумажный фильтр вместе с фильтром АФА помещают в платиновый тигель, который устанавливают в холодную муфельную печь, и осторожно высушивают, обугливают и озоляют при 500 - 600 град. C.

По охлаждении в тигель вносят 0,5 г составного плавня, который тщательно перемешивают с золой, после чего тигель закрывают крышкой и помещают в нагретую до 900 град. C печь, сплавляют до получения однородного плава в течение 10 минут. Плав выщелачивают в несколько приемов водой, раствор плава переносят в мерную колбу вместимостью 25 мл и доводят объем до метки водой. Если раствор мутный, его фильтруют.

Для анализа отбирают в колориметрическую пробирку 1,0 мл раствора, который обрабатывают и фотометрируют аналогично градуировочным растворам.

Предварительно проводят холостой опыт для проверки степени чистоты тиглей, фильтров и плавня. Значение оптической плотности холостого опыта не должно превышать 0,020.

Содержание диоксида кремния в анализируемом объеме раствора пробы (мкг) определяют по градуировочному графику.

Концентрацию диоксида кремния в воздухе (мг/куб. м) рассчитывают по формуле 1 (Приложение 4.2).

Измерение концентраций фтористого водорода и солей фтористоводородной кислоты

Характеристика метода

Определение основано на взаимодействии фтор-иона с комплексом циркония и ксиленолового оранжевого, сопровождающемся ослаблением окраски.

Отбор проб проводится с концентрированием на фильтр типа АФА (для улавливания фторидов) и последовательно присоединенную к фильтродержателю сорбционную трубку (для улавливания фтористого водорода).

Нижний предел измерения содержания фтор-иона в объеме анализируемого раствора 0,5 мкг.

Нижний предел измерения фтористого водорода в воздухе 0,1 мг/куб. м, хорошо растворимых фторидов 0,25 мг/куб. м, плохо растворимых фторидов 1,0 мг/куб. м (при отборе 10 л воздуха).

Диапазон измеряемых концентраций для фтористого водорода от 0,1 до 5,0 мг/куб. м для хорошо растворимых фторидов от 0,25 до 12,5 мг/куб. м, для плохо растворимых фторидов от 1,0 до 20 мг/куб. м.

Определению не мешают марганец, железо, хром, никель, медь, кальций в количестве до 0,4 мг, алюминий - до 0,15 мг в анализируемом объеме.

Суммарная погрешность измерения не превышает +/- 25%.

Время выполнения измерения для фтористого водорода - 1 - 1,5 часа, для растворимых фторидов - 2 часа, для нерастворимых фторидов - 5 часов, включая отбор пробы 5 мин.

Приборы, аппаратура, посуда

Фотоэлектроколориметр ФЭК-56М, ГОСТ 15150-74, 1-й класс, или другой марки по ГОСТ 12083-78.

Аспирационное устройство.

Фильтродержатель, ТУ 95.72.05-77.

Тигли платиновые, ГОСТ 6563-75.

Щипцы тигельные с платиновыми наконечниками.

Печь муфельная, МП-2УМ.

Ступка агатовая.

Баня водяная.

Груша резиновая.

Колбы мерные, ГОСТ 1770-74Е, вместимостью 25, 50, 100 и 1000 мл.

Пробирки колориметрические с пришлифованными пробками, ГОСТ 10515-75.

Пипетки, ГОСТ 20292-74Е, вместимостью 1, 2, 5 и 10 мл.

Стаканы химические, ГОСТ 25336-80Е, вместимостью 50 мл.

Колбы конические, ГОСТ 25336-80Е, вместимостью 50 и 100 мл.

Цилиндры мерные, ГОСТ 1770-74Е, вместимостью 25 и 50 мл.

Воронки стеклянные, ГОСТ 25336-82Е.

Бутыли полиэтиленовые, ТУ 6-19-45-74, вместимостью 100, 250, 500 мл.

Сорбционная трубка СТ 212, ТУ 25-1110.039.20-84. При отсутствии трубок заводского производства их изготавливают следующим образом. Стеклянную трубку длиной 150 - 170 мм и диаметром 8 - 10 мм из стекла "Пирекс" запаивают с одного конца и формируют в днище 5 - 6 отверстий диаметром 1 мм. В трубку засыпают 2 мл заранее подготовленного носителя - стеклянных гранул размером 1 - 2 мм и формируют вторую перфорированную перегородку, фиксирующую слой носителя. Для получения стеклянных гранул стеклодрот из стекла "Пирекс" дробят на шаровой мельнице или в ступке. Дробление в ступке проводят под слоем воды. Высушенные гранулы просеивают через сита, например почвенные, и собирают фракцию с размером гранул 1 - 2 мм. Гранулы тщательно промывают соляной кислотой (1:2) при кипячении, водопроводной и дистиллированной водой и высушивают.

Готовые поглотительные трубки моют раствором соляной кислоты при кипячении, затем водой до отрицательной реакции на хлор-ионы и высушивают в сушильном шкафу. Промывание удобно проводить с помощью водоструйного насоса.

Полиэтиленовая Г-образная трубка, диаметром 7 - 10 мм, длиной 7 - 10 см.

Реактивы, растворы, материалы

Все реактивы готовят на бидистиллированной воде.

Натрия фторид, ГОСТ 4463-76, хч, перекристаллизованный и высушенный до постоянного веса.

Соляная кислота, ГОСТ 3118-77, хч, концентрированная, 1 н. и 3,5 н. (точно) растворы. Титр 3,5 н. раствора устанавливают по титру 3,5 н. едкого натра в присутствии фенолфталеина.

Натрия гидроксид, ГОСТ 4328-77, хч, 3,5 н. раствор. Концентрацию едкого натра устанавливают путем титрования 1 н. соляной кислотой, приготовленной из фиксанала, в присутствии фенолфталеина.

Этиловый спирт, ректификат, ТУ 6-09-1710-77, хч, 60% раствор.

Фенолфталеин, ГОСТ 5850-72, чда, 0,1% раствор в 60% растворе этилового спирта.

Цирконил азотнокислый, двуводный, ТУ 6-09-1406-76, чда, раствор, содержащий 0,08 мг/мл цирконила. Навеску 0,080 г соли растворяют в 3,5 н. соляной кислоте в мерной колбе вместимостью 1 л. Раствор устойчив в течение 6 месяцев.

Ксиленоловый оранжевый, ТУ 6-09-1509-78, чда, 0,2% и 0,02% растворы. Для приготовления 0,2% раствора 100 мг индикатора растворяют в 50 мл воды. Раствор готов к употреблению через сутки. Устойчив при хранении в холодильнике не более 2-х недель.

0,02% раствор ксиленолового оранжевого готовят в день анализа разбавлением водой 0,2% раствора в 10 раз.

Натрий углекислый безводный, ГОСТ 83-79, хч.

Диоксид кремния, ГОСТ 9428-73, чда, мелкоистолченный в агатовой ступке порошок.

Раствор плава для приготовления градуировочных растворов для определения нерастворимых фторидов. 2,5 углекислого натрия и 0,1 г диоксида кремния помещают в платиновый тигель, закрывают крышкой и сплавляют в муфельной печи при температуре 900 град. C до получения однородного плава. По охлаждении плав растворяют в горячей бидистиллированной воде и переводят раствор в мерную колбу вместимостью 250 мл. Доводят объем до метки и перемешивают.

Глицерин, ГОСТ 6259-75, чда.

Калий углекислый безводный, ГОСТ 422-75, хч.

Поглотительный раствор для обработки сорбционных трубок: в мерную колбу вместимостью 50 мл вносят 1,5 г углекислого калия, 7,5 мл глицерина и доводят раствор до метки бидистиллированной водой.

Стандартный раствор N 1, содержащий 100 мкг/мл фтор-иона, готовят растворением 0,2210 г фторида натрия в бидистиллированной воде в мерной колбе вместимостью 1 л. Раствор устойчив в течение 2 недель при хранении в полиэтиленовой бутыли.

Стандартный раствор N 2, содержащий 5 мкг/мл фтора, готовят соответствующим разбавлением стандартного раствора N 1 водой, свежеприготовленный.

Фильтры АФА-ХП-20 или АФА-ВП-20, ТУ 95.743-80.

Фильтры бумажные беззольные "синяя лента", ТУ 6-09-1678-77.

Отбор пробы воздуха

Подготовка сорбционных трубок к отбору проб.

Перед отбором проб слой носителя в сорбционной трубке обрабатывают поглотительным раствором. Для этого с помощью пипетки вносят в трубку 0,2 мл раствора и равномерно распределяют его по поверхности стеклянных гранул с помощью резиновой груши, надетой на выходной конец трубки. Подготовленные к отбору проб трубки закрывают заглушками, маркируют с помощью отрезков лейкопластыря с номером, наклеенных на расстоянии 1,5 - 2,0 см от выходного отверстия трубок, и помещают в полиэтиленовый пакет.

Воздух с объемным расходом 2 л/мин. аспирируют через фильтр АФА и последовательно соединенные с фильтродержателем с помощью полиэтиленовой Г-образной трубки 2 сорбционные трубки, обработанные раствором углекислого калия и глицерина. Во время отбора пробы сорбционные трубки устанавливают вертикально.

Для измерения 1/2 ПДК фтористого водорода следует отобрать 10 л воздуха. Пробы сохраняются в течение 2-х недель.

Подготовка к измерению

Градуировочные растворы (устойчивы в течение 2-х часов) готовят согласно таблицам 1 и 2.

Шкала градуировочных растворов для определения фтористого водорода готовится аналогично таблице 1, но при этом в каждую пробирку шкалы добавляют 0,2 мл поглотительного раствора.

Таблица 1

ШКАЛА ГРАДУИРОВОЧНЫХ РАСТВОРОВ ДЛЯ ОПРЕДЕЛЕНИЯ ХОРОШО РАСТВОРИМЫХ ФТОРИДОВ

N стандарта Стандартный раствор N 2, мл Бидистиллированная вода, мл Содержание фтор-иона в градуировочном растворе, мкг
1 0 5,0 0
2 0,1 4,9 0,5
3 0,2 4,8 1,0
4 0,4 4,6 2,0
5 0,8 4,2 4,0
6 1,2 3,8 6,0
7 1,6 3,4 8,0
8 2,0 3,0 10,0

Таблица 2

ШКАЛА ГРАДУИРОВОЧНЫХ РАСТВОРОВ ДЛЯ ОПРЕДЕЛЕНИЯ ПЛОХО РАСТВОРИМЫХ ФТОРИДОВ

N стандарта Стандартный раствор N 2, мл Бидистиллированная вода, мл Содержание фтор-иона в градуировочном растворе, мкг
1 0 2,5 0
2 0,1 2,4 0,5
3 0,2 2,3 1,0
4 0,4 2,1 2,0
5 0,8 1,7 4,0
6 1,2 1,3 6,0
7 1,6 0,9 8,0
8 2,0 0,5 10,0

Во все пробирки шкалы для определения плохо растворимых фторидов приливают 2,5 мл раствора плава и осторожно перемешивают.

Растворы всех трех шкал обрабатывают одинаково: прибавляют по 1,6 мл азотнокислого цирконила, через 5 минут по 1,6 мл 0,02-процентного раствора ксиленолового оранжевого, перемешивают и через 3 - 5 минут измеряют оптическую плотность растворов при длине волны 540 нм в кюветах с толщиной слоя 2 см по отношению к соответствующему контрольному раствору (растворы N 1 по таблицам). Готовят не менее 3-х контрольных растворов для каждой шкалы.

За 3 - 5 минут до измерения оптической плотности контрольные растворы, относящиеся к определенной градуировочной шкале, сливают в одну пробирку и перемешивают.

В связи с тем, что с увеличением содержания фтор-ионов в градуировочных растворах наблюдается ослабление окраски, для получения градуировочной кривой, исходящей из нулевой точки, необходимо изменить порядок измерения оптической плотности. Для этого контрольный раствор помещают в левый световой пучок фотоэлектроколориметра, а анализируемый раствор - в правый.

Строят градуировочные графики зависимости оптической плотности градуировочных растворов от содержания фтор-иона для определения фтористого водорода и фторидов с использованием соответствующих шкал.

Проверка градуировочных графиков проводится 1 раз в месяц или в случае использования новой партии реактивов.

Проведение измерения

Определение фтористого водорода

Содержимое сорбционных трубок анализируют отдельно, результаты суммируют.

Сорбционную трубку тщательно вытирают фильтровальной бумагой и помещают в пробирку слоем стеклянных гранул вниз. Вводят внутрь трубки 10 мл бидистиллированной воды и через 10 - 15 мин. путем 5 - 8-кратного прокачивания ее через слой стеклянных гранул с помощью резиновой груши (не допуская попадания раствора внутрь груши), переводят пробу в раствор. Затем трубку удаляют из пробирки, вытесняя остатки раствора грушей, отбирают на анализ 2 - 5 мл раствора в колориметрические пробирки, доводят объем раствора до 5 мл водой и обрабатывают и фотометрируют аналогично градуировочным растворам.

Определение растворимых фторидов

Фильтр с отобранной пробой помещают в стакан вместимостью 50 мл, наливают около 8 мл горячей бидистиллированной воды, осторожно перемешивают и фильтруют через беззольный бумажный фильтр в мерную колбу вместимостью 25 мл. Операцию повторяют трижды. После охлаждения объем в колбе доводят до 25 мл водой. На анализ отбирают в колориметрические пробирки 2 - 5 мл раствора пробы, доводят объем до 5 мл водой и далее обрабатывают и анализируют аналогично градуировочным растворам.

Определение нерастворимых фторидов

Фильтр АФА после удаления с него растворимых фторидов и беззольный фильтр, через который проводилось фильтрование, помещают в платиновый тигель, осторожно обугливают и озоляют в муфельной печи при температуре 500 град. C. Затем тигель охлаждают, добавляют в него 500 мг углекислого натрия и 10 мг двуокиси кремния и выдерживают в муфельной печи при температуре 900 град. C в течение часа. После сплавления пробу растворяют в горячей воде, постепенно переводя ее в мерную колбу вместимостью 50 мл. Для анализа в колориметрические пробирки отбирают аликвотную часть 2,5 мл, доводят объем до 5 мл водой, прибавляют 1,6 мл раствора азотнокислого цирконила и тщательно перемешивают. Пробы выдерживают 30 минут на кипящей водяной бане для устранения влияния алюминия. После охлаждения добавляют 1,6 мл 0,02-процентного раствора ксиленолового оранжевого и через 3 - 5 минут фотометрируют аналогично градуировочным растворам.

Содержание фтористого водорода и фторидов в анализируемом растворе пробы (мкг) определяют по соответствующему градуировочному графику.

Концентрацию фтористого водорода и фторидов в воздухе (по фтор-иону) рассчитывают по формуле 1 (Приложение 4.2).

Измерение концентрации озона

Метод 1

Характеристика метода

Метод основан на реакции озонолиза эвгенола с образованием формальдегида, поглощении последнего раствором серной кислоты с последующим определением по реакции с фенилгидразином.

Отбор проб проводится на систему, включающую сорбционную трубку с пленкой раствора эвгенола в уксусной кислоте и последовательно соединенные с ней поглотительные приборы, заполненные раствором серной кислоты.

Нижний предел измерения содержания озона в объеме анализируемого раствора 0,57 мкг.

Нижний предел измерения озона в воздухе 0,04 мг/куб. м (при отборе 30 л воздуха).

Диапазон измеряемых концентраций от 0,04 до 2,0 мг/куб. м.

Определению озона не мешает двуокись азота. Определению мешает формальдегид.

Суммарная погрешность измерения не превышает +/- 25%.

Время выполнения измерения 50 минут, включая отбор пробы 10 мин.

Приборы, аппаратура, посуда

Фотоэлектроколориметр ФЭК-56М, ГОСТ 15150-74, 1-й класс, или другой марки по ГОСТ 12083-78.

Аспирационное устройство.

Сорбционная трубка СТ 212, ТУ 25-1110.039.20-84. (Трубка из стекла "Пирекс" диаметром 10 мм, длиной 200 мм со слоем стеклянной крошки (2 мл) размером 1 - 2 мм, помещенным между двумя перфорированными перегородками.)

Поглотительные приборы Рыхтера, длиной 170 мм, диаметром 20 мм.

Колбы мерные, ГОСТ 1770-74Е, вместимостью 25 и 50 мл.

Пипетки, ГОСТ 20292-74Е, вместимостью 1, 2, 5 и 10 мл.

Пробирки химические, ГОСТ 25336-82Е, размером 15 x 100 мм.

Пробирки колориметрические, ГОСТ 10515-75, размером 15 x 100 мм.

Колбы конические, ГОСТ 25336-82, вместимостью 200 мл.

Г-образная стеклянная трубка, диаметром 0,6 - 1,0 см и длиной колен 2,5 - 3 см.

Реактивы, растворы, материалы

Формалин, СТУ 43-182-61, 40% раствор.

Йод, ТУ 6-09-2540-72, 0,1 н. раствор, готовят из фиксанала.

Натрий серноватистокислый (тиосульфат натрия), ТУ 6-09-2540-72, 0,1 н. раствор, готовят из фиксанала.

Натрия гидроксид, ГОСТ 4328-77, хч, 10% раствор.

Кислота соляная, ГОСТ 3118-77, хч, 10% раствор.

Крахмал растворимый, ГОСТ 10163-62, ч, 0,5-процентный раствор.

Кислота уксусная, ледяная, ГОСТ 61-75, хч.

4-аллил-2-метоксифенол (эвгенол), ТУ 18-16-134-83, 10% раствор в уксусной кислоте.

Кислота серная, ГОСТ 4204-77, хч, 20% раствор (по весу) и 0,02 М раствор.

Этиловый спирт, ГОСТ 5962-67, ректификат.

Фенилгидразин солянокислый, ГОСТ 5834-73, чда, 1% раствор, свежеприготовленный, отфильтрованный.

Хлорамин Б, ТУ 6-09-3021-73, хч, 0,5% раствор, отфильтрованный. Устойчив в течение недели.

Основной раствор формальдегида. Готовят 1% раствор формалина и количество формальдегида в нем определяют титриметрически. В колбу 200 мл вводят 1 мл 1-процентного раствора формалина, приливают 10 мл воды и добавляют из бюретки 10 мл раствора йода. Затем по каплям прибавляют 10% раствор гидроксида натрия до получения светло-желтого окрашивания. Оставляют на 10 мин., затем добавляют 2 мл 10% раствора соляной кислоты до полного выделения йода, опять оставляют на 10 мин. и оттитровывают раствор тиосульфатом натрия с крахмалом в качестве индикатора. В таких же условиях оттитровывают и контрольный раствор. Разность между объемом раствора тиосульфата, пошедшим на контрольное титрование и титрование раствора формалина, равно количеству мл раствора йода, пошедшего на окисление формальдегида. 1 мл 0,1 н. раствора йода соответствует 1,5 мг формальдегида. Рассчитывают содержание формальдегида в 1 мл основного раствора.

Стандартный раствор формальдегида N 1 с концентрацией 1 мг/мл готовят соответствующим разбавлением основного раствора формальдегида 0,02 М раствором серной кислоты. Раствор устойчив в течение не менее 6 месяцев.

Стандартные растворы формальдегида N 2 с концентрацией 10 мкг/мл и N 3 с концентрацией 1 мкг/мл готовят соответствующим разбавлением раствора N 1 0,02 М раствором серной кислоты непосредственно перед употреблением.

Отбор пробы воздуха

Подготовка сорбционных трубок к отбору проб воздуха.

Трубки промывают с помощью водоструйного насоса или резиновой груши растворами обычных моющих средств, затем водопроводной и дистиллированной водой, после чего сушат при температуре 120 - 150 град. C.

Слой стекла в вертикально поставленной входным отверстием вверх сорбционной трубке смачивают 0,15 мл уксуснокислого раствора эвгенола. С помощью груши, надетой на выходной конец трубки, равномерно распределяют раствор по поверхности стеклянной крошки. Обработанная сорбционная трубка сохраняется в течение суток.

Подготовленная сорбционная трубка используется для однократного отбора пробы воздуха.

Воздух с объемным расходом 3 л/мин. аспирируют через сорбционную трубку, установленную вертикально входным отверстием вниз, соединенную посредством Г-образной трубки с двумя последовательно соединенными поглотительными приборами, содержащими по 5 мл 0,02 М раствора серной кислоты.

Пробы хранятся в течение суток. Для измерения 1/2 ПДК озона следует отобрать 30 л воздуха.

Подготовка к измерению

Градуировочные растворы (устойчивы в течение 20 минут) готовят согласно таблице.

Таблица

ШКАЛА ГРАДУИРОВОЧНЫХ РАСТВОРОВ ДЛЯ ОПРЕДЕЛЕНИЯ ОЗОНА

N стандарта Стандартный раствор N 3, мл Стандартный раствор N 2, мл Серная кислота, 0,02 М раствор, мл Содержание формальдегида в градуировочном растворе, мкг
1 0 - 2,5 0
2 0,2 - 2,3 0,2
3 0,5 - 2,0 0,5
4 1,0 - 1,5 1,0
5 2,0 - 0,5 2,0
6 - 0,3 2,2 3,0
7 - 0,5 2,0 5,0
8 - 0,7 1,8 7,0
9 - 1,0 1,5 10,0

Во все пробирки шкалы прибавляют по 0,5 мл этилового спирта и по 0,5 мл раствора солянокислого фенилгидразина. Содержимое пробирок осторожно перемешивают и спустя 15 минут добавляют по 0,5 мл раствора хлорамина. Выдерживают 10 минут, прибавляют по 1,0 мл серной кислоты, перемешивают и через 10 минут измеряют оптическую плотность растворов при длине волны 400 нм в кюветах с толщиной поглощающего слоя 10 мм относительно контрольного раствора. Соблюдение сроков внесения реактивов и фотометрирования обязательно.

Строят градуировочный график зависимости оптической плотности растворов от содержания в них формальдегида (мкг).

Проверка градуировочного графика проводится 1 раз в месяц или в случае использования новой партии реактивов.

Проведение измерения

Содержимое поглотительных приборов анализируют отдельно, результаты суммируют. Из каждого поглотительного прибора в колориметрические пробирки вносят по 2,5 мл раствора пробы, доводят объем до 5,0 мл 0,02 М раствором серной кислоты и далее обрабатывают и фотометрируют аналогично градуировочным растворам.

Содержание формальдегида в анализируемом объеме раствора пробы (мкг) определяют по градуировочному графику.

Концентрацию озона в воздухе (C мг/куб. м) вычисляют по формуле:

,

где:

а - содержание формальдегида в анализируемом объеме раствора пробы, найденное по градуировочному графику, мкг;

в - общий объем раствора пробы, мл;

б - объем раствора пробы, взятый для анализа, мл;

- объем воздуха, отобранный для анализа и приведенный к стандартным условиям, л;

1,6 - коэффициент пересчета формальдегида на озон;

1,77 - эмпирический коэффициент, характеризующий выход формальдегида в результате реакции озона с эвгенолом.

Метод 2

Характеристика метода

Метод основан на реакции озона с йодистым калием с выделением йода, который образует окрашенный продукт с солянокислым диметил-n-фенилендиамином.

Отбор проб проводится с концентрированием в раствор йодида калия.

Нижний предел измерения содержания в объеме анализируемого раствора 0,4 мкг.

Нижний предел измерения в воздухе 0,05 мг/куб. м (при отборе 10 л воздуха).

Диапазон измеряемых концентраций в воздухе от 0,05 мг/куб. м до 1,3 мг/куб. м.

Влияние окислов азота устраняется в процессе отбора пробы.

Суммарная погрешность измерения не превышает +/- 15%.

Время выполнения измерения 40 - 45 минут, включая отбор пробы 20 минут.

Приборы, аппаратура, посуда

Фотоколориметр ФЭК-56, ГОСТ 15150-74, 1-й класс, или другой марки по ГОСТ 12083-78.

Аспирационное устройство.

Печь муфельная, МП-2УМ.

Поглотительные приборы Рыхтера, длиной 170 мм, диаметром 20 мм.

Пробирки колориметрические с пришлифованными пробками, ГОСТ 10515-75.

Пипетки, ГОСТ 25336-84Е, вместимостью 1, 2, 5 и 10 мл.

Цилиндры мерные, ГОСТ 1770-74Е.

Колбы мерные, ГОСТ 1774-74Е, вместимостью 100 и 1000 мл.

Стаканы химические, ГОСТ 25336-82Е, вместимостью 50 и 500 мл.

Воронка стеклянная, ГОСТ 25336-82Е.

Воронка Бюхнера, ГОСТ 25336-82Е.

Термометр на 100 град. C.

Эксикатор, ГОСТ 25336-82.

Фильтрующий патрон: стеклянная трубка диаметром 6 мм, длиной 80 мм, имеющая дно с отверстиями 0,5 мм. Со стороны перфорированного дна в трубку помещают слой силикагеля длиной 5 мм, далее слой поглотительного порошка длиной 60 мм и слой полихрома длиной 2 - 3 мм, слегка уплотненный.

Г-образная стеклянная трубка, диаметром 6 мм и длиной колен 2,5 - 3 см.

Реактивы, растворы, материалы

Йод, 0,01 н. раствор, готовят из фиксанала, ТУ 6-09-2540-72.

Калий йодистый, ГОСТ 4232-74, хч, 1% раствор, хранят в склянке из темного стекла.

Спирт этиловый, ректификованный, ГОСТ 18300-72.

N,N-Диметил-n-фенилендиамин дигидрохлорид, ТУ 6-09-1903-77, чда, 0,02% раствор в этаноле. Готовят в перекристаллизованной соли. Раствор устойчив в течение 2 недель. Для перекристаллизации диметил-n-фенилендиамина солянокислого 6 г вещества вносят в термостойкий стакан, добавляют 90 мл 96% спирта и помещают в водяную баню, имеющую температуру 90 - 98 град. C.

Содержимое стакана перемешивают стеклянной палочкой до полного растворения вещества. Раствор быстро фильтруют через складчатый фильтр, фильтрат помещают на водяную баню с температурой 90 град. C. После закипания раствора быстро и осторожно добавляют ацетон до заметного помутнения раствора (160 мл). Раствор снова помещают на водяную баню, перемешивают и потирают стеклянной палочкой по стенкам стакана до выпадания осадка.

Затем к раствору с осадком добавляют 120 мл ацетона и помещают стакан в емкость со льдом. Через 10 - 15 минут раствор декантируют с осадка. К осадку добавляют 60 мл ацетона, перемешивают и осадок отфильтровывают через бумажный фильтр на воронке Бюхнера. Осадок с фильтра переносят в стакан, прибавляют 60 мл спирта и повторяют операцию перекристаллизации, как описано выше.

Осадок после второй перекристаллизации промывают на воронке Бюхнера под вакуумом ацетоном дважды по 50 мл. Полученный продукт сушат между листами фильтровальной бумаги, помещают в эксикатор над прокаленной окисью кальция и защищают от света. Высушенную соль хранят в склянке с притертой пробкой в темноте.

Натрия гидроксид, ГОСТ 4328-77, хч.

Азотная кислота, ГОСТ 4461-77, хч, 0,1 н. и 10% растворы.

Серебро азотнокислое, ГОСТ 1277-75, хч, 1% раствор.

Ацетон, ГОСТ 2603-71, чда.

Соляная кислота, ГОСТ 3118-77, хч, 25% и 0,1 н. растворы.

Серная кислота, ГОСТ 4204-77, хч.

Хрома (VI) оксид (хромовый ангидрид), ГОСТ 3776-78, чда.

Кальций хлористый плавленный, ГОСТ 4460-77.

Силикагель марки АСК, фракция 0,25 - 0,5 мм; силикагель кипятят в течение часа с 25% раствором соляной кислоты, затем отмывают водой до отрицательной реакции на ион хлора (реакция с раствором азотнокислого серебра). Силикагель сушат в сушильном шкафу, а затем прокаливают в муфельной печи при 480 - 500 град. C в течение 2-х часов. Хранят в банке с притертой пробкой.

Поглотительный порошок для отделения мешающих примесей.

К 47 г силикагеля, нагретого до 35 - 40 град. C, добавляют при непрерывном перемешивании 20 мл раствора хромового ангидрида в концентрированной серной кислоте (на 20 мл кислоты - 0,6 г хромового ангидрида) до получения однородной массы оранжевого цвета; полученный поглотительный порошок хранят в банке с притертой пробкой в эксикаторе над прокаленным хлоридом кальция.

Стандартный раствор йода с концентрацией 10 мкг/мл готовят перед употреблением в мерной колбе вместимостью 100 мл; вносят 0,8 мл 0,01 н. раствора йода и доводят до метки 1% раствором йодистого калия.

Фильтры бумажные беззольные "синяя лента", ТУ 6-09-1678-77.

Отбор пробы воздуха

Воздух с объемным расходом 0,5 л/мин. аспирируют через фильтрующий патрон и последовательно соединенные с ним 2 поглотительных прибора, содержащих по 7 мл 1% раствора йодистого калия.

Фильтрующий патрон должен располагаться вертикально, дном с отверстиями вниз.

Для измерения 1/2 ПДК озона следует отобрать 10 л воздуха.

Пробы не хранятся.

Подготовка к измерению

Градуировочные растворы (устойчивы в течение 15 минут) готовят согласно таблице.

Таблица

ШКАЛА ГРАДУИРОВОЧНЫХ РАСТВОРОВ ДЛЯ ОПРЕДЕЛЕНИЯ ОЗОНА

N стандарта Стандартный раствор йода, мл Раствор йодида калия, 1%, мл Содержание в градуировочном растворе, мкг
йода озона
1 0 5,0 0 0
2 0,2 4,8 2,0 0,378
3 0,4 4,6 4,0 0,756
4 0,6 4,4 6,0 1,134
5 0,8 4,2 8,0 1,512
6 1,0 4,0 10,0 1,89

Во все пробирки шкалы прибавляют по 0,5 мл 0,02% раствора солянокислого диметилпарафенилендиамина, перемешивают, выдерживают 10 мин. и измеряют оптическую плотность растворов при длине волны 490 нм в кюветах с толщиной слоя 1 см относительно контрольного раствора (раствор N 1 по таблице).

Строят градуировочный график зависимости оптической плотности раствора от содержания озона (мкг).

Проверка градуировочного графика проводится 1 раз в квартал или в случае использования новой партии реактивов.

Проведение измерения

1 - 5 мл раствора из поглотительного прибора вносят в пробирку, доводят объем до 5,0 мл 1% раствором йодида калия и далее обрабатывают и фотометрируют аналогично градуировочным растворам.

Содержание озона в анализируемом объеме раствора пробы (мкг) определяют по градуировочному графику.

Концентрацию озона в воздухе рассчитывают по формуле 1 (Приложение 4.2).

Коэффициент пересчета йода на озон - 0,189.

Измерение концентрации оксидов азота (II) и (IV)

Характеристика метода

Метод основан на реакции взаимодействия оксидов азота (VI) с реактивом Грисса-Илосвая с образованием окрашенного в красный цвет соединения.

Для определения оксида азота (II) его окисляют в ходе отбора пробы до оксида азота (IV) раствором, содержащим перманганат калия и серную кислоту.

Отбор проб проводится с концентрированием в раствор йодида калия.

Нижний предел измерения содержания оксида азота (IV) в анализируемом объеме пробы 0,3 мкг, оксида (II) - 0,2 мкг.

Нижний предел измерения оксида азота (IV) в воздухе 1 мг/куб. м, оксида азота (II) - 0,65 мг/куб. м (при отборе 0,6 л воздуха).

Диапазон измеряемых концентраций оксида азота (IV) - от 1 до 42 мг/куб. м, оксида азота (II) - от 0,65 до 27 мг/куб. м.

Измерению не мешают другие газовые компоненты сварочного аэрозоля.

Суммарная погрешность измерения не превышает +/- 25%.

Время выполнения анализа, включая время отбора пробы, 40 мин.

Приборы, аппаратура, посуда

Фотоэлектроколориметр ФЭК-56М, ГОСТ 15150-74, 1-й класс, или другой марки по ГОСТ 12083-78.

Аспирационное устройство.

Поглотительные приборы с пористой пластинкой.

Пробирки колориметрические с пришлифованными пробками, ГОСТ 10515-75.

Пипетки, ГОСТ 20292-74Е, вместимостью 1, 2, 5 и 10 мл.

Колбы мерные, ГОСТ 1770-74Е, вместимостью 100 и 250 мл.

Реактивы, растворы, материалы

Натрий азотнокислый, ГОСТ 4197-74, хч.

Калий йодистый, ГОСТ 42-32-74, хч, 8% раствор (хранится в темной склянке).

Натрий сернистокислый, ГОСТ 195-77, 0,01 н. раствор свежеприготовленный.

Кислота сульфаниловая, ГОСТ 5821-78, чда.

Кислота уксусная, ГОСТ 61-75, хч, 10% раствор.

Альфа-нафтиламин, ГОСТ 8827-74, чда.

Реактив Грисса-Илосвая:

а) 0,83 г сульфаниловой кислоты растворяют в мерной колбе, вместимостью 250 мл, в 10-процентной уксусной кислоте;

б) 0,166 г - альфа-нафтиламина помещают в колбу и добавляют 30 мл дистиллированной воды, колбу нагревают на кипящей водяной бане до образования на дне лиловой капли. Раствор фильтруют в мерную колбу вместимостью 250 мл и доводят объем до метки 10% уксусной кислотой.

Растворы "а" и "б" сохраняют в склянках темного стекла с притертыми пробками. Перед употреблением для получения реактива Грисса-Илосвая оба раствора смешивают в соотношении 1:1.

Кислота серная, ГОСТ 4204-77, разбавленная 1:2.

Калий марганцевокислый, ГОСТ 20490-75, хч, 5% раствор.

Окислительный раствор: к 20 мл раствора марганцевокислого калия приливают 2 мл серной кислоты; этого количества окислительной смеси достаточно для отбора 10 проб воздуха. Реактив готовится в день отбора проб.

Стандартный раствор оксида азота (IV) N 1 с концентрацией 100 мкг/мл готовят растворением навески 0,0150 г азотистокислого натрия в 8% растворе йодида калия в мерной колбе вместимостью 100 мл. Раствор устойчив в течение месяца.

Стандартный раствор оксида азота N 2 с концентрацией 1 мкг/мл готовят разбавлением раствора N 1 в 100 раз 8% раствором йодида калия. Применяют свежеприготовленным.

Фильтры бумажные обеззоленные, ТУ 6-09-1678-77.

Отбор пробы воздуха

Воздух со скоростью 0,1 л/мин. аспирируют через систему, состоящую из 3-х поглотительных приборов - 1 и 3, содержащих по 10 мл 8% раствора йодида калия, и поглотителя с 20 мл окислительной смеси (2), помещенного между ними. В первом поглотителе идет поглощение оксида азота (IV) из воздуха, во втором - проходит окисление оксидов азота (II) из воздуха до оксида азота (IV), который поглощается в 3-м поглотителе. Для измерения 1/2 ПДК оксида азота (IV) следует отобрать 0,6 л воздуха. Пробы не хранятся.

Подготовка к измерению

Градуировочный раствор (устойчив в течение 5 часов) готовят согласно таблице.

Таблица

ШКАЛА ГРАДУИРОВОЧНЫХ РАСТВОРОВ ДЛЯ ОПРЕДЕЛЕНИЯ ОКСИДА АЗОТА

N градуировочного раствора Стандартный раствор N 2, мл Йодид калия, 8% раствор, мл Содержание оксида азота (IV) в градуировочном растворе, мкг
1 0 5,0 0
2 0,3 4,7 0,3
3 1,0 4,0 1,0
4 2,0 3,0 2,0
5 4,0 1,0 4,0
6 5,0 0,0 5,0

В пробирки шкалы добавляют по 1 мл реактива Грисса-Илосвая. Через 15 - 20 мин. во все пробы приливают по 0,1 мл раствора сульфита натрия, перемешивают и измеряют оптическую плотность окрашенных растворов при длине волны 510 - 540 нм в кювете с толщиной слоя 1 см относительно контрольного раствора (раствор N 1 таблицы).

Строят градуировочный график зависимости оптической плотности растворов от содержания в них оксида азота (IV) (мкг), проверку которого проводят 1 раз в квартал или при использовании новой партии реактивов.

Проведение измерения

Раствор пробы из первого и третьего поглотителя, в количестве 2 и 5 мл, вносят в колориметрические пробирки; 2 мл пробы доводят до объема 5 мл раствором йодида калия. Далее растворы обрабатывают и фотометрируют аналогично градуировочным растворам.

Содержание оксида азота (IV) в анализируемом растворе пробы определяют по градуировочному графику.

Концентрацию оксида азота (IV) в воздухе (мг/куб. м) рассчитывают по формуле 1 (Приложение 4.2).

Коэффициент пересчета содержания оксида азота (IV) в оксид азота (II) - 0,65.

3.2. ПОЛЯРОГРАФИЧЕСКИЕ МЕТОДЫ

Измерение концентраций меди, никеля, кадмия, цинка

Характеристика метода

Метод основан на восстановлении ионов меди, никеля, кадмия и цинка на ртутно-капельном электроде на фоне хлоридно-аммиачного буферного раствора в присутствии сульфита натрия.

Отбор проб воздуха проводится с концентрированием на фильтр АФА.

Потенциал восстановления относительно донной ртути меди - 0,35 В, никеля - 0,92 В, кадмия - 0,66 В, цинка - 1,2 В.

Нижний предел измерения в полярографируемом растворе составляет для меди, никеля, кадмия и цинка 0,1 мкг/мл.

Нижний предел измерения указанных металлов в воздухе 0,02 мг/куб. м (при отборе 150 л воздуха).

Диапазон измеряемых концентраций в воздухе для меди от 0,02 до 7,0 мг/куб. м, никеля от 0,02 до 8,0 мг/куб. м, кадмия от 0,02 до 3,0 мг/куб. м и цинка от 0,02 до 7,0 мг/куб. м.

Определению не мешает алюминий, свинец, серебро, кремний. Железо не мешает в количестве до 20 мкг в полярографируемом объеме пробы.

Суммарная погрешность измерения не превышает +/- 25%.

Время выполнения измерения 4 часа, включая отбор пробы воздуха 10 минут.

Приборы, аппаратура, посуда

Полярограф ПУ-1 или другой системы с ртутно-капельным электродом (с записью полярограмм в переменно-токовом и постоянно-токовом режимах), ГОСТ 22261-76.

Аспирационное устройство.

Фильтродержатель, ТУ 95.72.05-77.

Печь муфельная, МП-2УМ.

Щипцы тигельные.

Баня водяная.

Тигли фарфоровые, ГОСТ 9147-80Е.

Чашки фарфоровые, ГОСТ 9147-80Е.

Колбы мерные, ГОСТ 1770-74Е, вместимостью 25, 50, 100 и 1000 мл.

Пипетки мерные, ГОСТ 20292-74Е, вместимостью 1, 2, 5 и 10 мл.

Стаканы химические, ГОСТ 25336-82Е.

Пробирки с пришлифованными пробками, ГОСТ 10515-75.

Реактивы, растворы, материалы

Медь металлическая, электролитическая, ГОСТ 859-78.

Никель металлический, ГОСТ 849-70.

Кадмий гранулированный, ТУ 6-09-3097-78, чда.

Цинк металлический, гранулированный, ГОСТ 989-75, хч.

Аммиак водный, ГОСТ 3760-79, хч, 25% раствор.

Аммония хлорид, ГОСТ 3773-72, хч.

Натрий сернистокислый, ГОСТ 195-77, чда, насыщенный раствор, свежеприготовленный.

Кислота соляная, ГОСТ 3118-77, хч, концентрированная.

Кислота азотная, ГОСТ 4461-77, хч, концентрированная, 1:1 и 3:2.

Стандартный раствор меди N 1 с концентрацией 1 мг/мл меди. 1,0000 г электролитической меди помещают в фарфоровую чашку и растворяют при нагревании в 20 - 25 мл азотной кислоты (1:1). Раствор выпаривают до небольшого объема (2 - 3 мл), приливают 15 мл концентрированной соляной кислоты и вновь выпаривают до небольшого объема. Выпаривание проводят 2 раза, каждый раз с 5 мл соляной кислоты. Растворенный в воде остаток количественно переносят в мерную колбу вместимостью 1000 мл. К раствору добавляют 50 мл соляной кислоты и доводят до метки дистиллированной водой. Раствор устойчив более года.

Стандартный раствор меди N 2 с концентрацией 10 мкг/мл готовят разбавлением раствора N 1 дистиллированной водой и применяют свежеприготовленным.

Стандартный раствор никеля N 1 с концентрацией 1 мг/мл: 1,000 г металлического никеля растворяют при нагревании на водяной бане в фарфоровой чашке в 10 мл разбавленной азотной кислоты (3:2). Содержимое чашки упаривают до объема 3 мл, растворяют в 30 - 40 мл воды и количественно переносят в мерную колбу вместимостью 1000 мл. Доводят объем раствора до метки дистиллированной водой и перемешивают. Раствор устойчив более года.

Стандартный раствор никеля N 2 с концентрацией 10 мкг/мл готовят соответствующим разбавлением раствора N 1 дистиллированной водой и применяют свежеприготовленным.

Стандартный раствор кадмия N 1 с концентрацией 1 мг/мл. Навеску 1,0000 г кадмия помещают в фарфоровую чашку и растворяют при нагревании в 20 - 25 мл азотной кислоты (1:1). Раствор упаривают до небольшого объема (2 - 3 мл), приливают 15 мл концентрированной соляной кислоты и вновь упаривают до небольшого объема. Выпаривание повторяют еще 2 раза каждый раз с 5 мл соляной кислоты. После охлаждения в чашку приливают 50 мл соляной кислоты, количественно переносят раствор в мерную колбу вместимостью 1000 мл, доводят раствор до метки водой и тщательно перемешивают. Раствор устойчив более года.

Стандартный раствор кадмия N 2 с концентрацией 10 мкг/мл готовят разбавлением стандартного раствора N 1 дистиллированной водой и применяют свежеприготовленным.

Стандартный раствор цинка N 1 с концентрацией 1 мг/мл получают растворением 1,0000 г металлического гранулированного цинка в 15 мл концентрированной соляной кислоты. Раствор переносят в мерную колбу вместимостью 10000 мл и доводят до метки водой. Раствор устойчив более года.

Стандартный раствор цинка N 2 с концентрацией 10 мкг/мл готовят разбавлением стандартного раствора N 1 дистиллированной водой и применяют свежеприготовленным.

Хлоридно-аммиачный буферный раствор: 50 г хлорида аммония растворяют в дистиллированной воде в мерной колбе вместимостью 1000 мл, добавляют 25 г сернистокислого натрия, 75 мл 25% раствора аммиака и объем доводят до метки водой. Раствор устойчив в течение 2 недель.

Ртуть металлическая, ГОСТ 4658-73, хч.

Аргон в баллоне, ГОСТ 10157-79.

Фильтр АФА-ХА-20, ТУ 95.743-80.

Бумага индикаторная универсальная, ТУ 6-09-1181-76.

Отбор проб воздуха

Воздух с объемным расходом 10 л/мин. аспирируют через фильтр АФА-ХА-20, укрепленный в фильтродержателе. Для измерения 1/2 ПДК меди, никеля, кадмия и цинка достаточно отобрать 150 л воздуха. Пробы хранятся в течение 2-х недель.

Подготовка к измерению

Градуировочные растворы (устойчивы в течение 2 часов) готовят согласно таблицам 1 - 4.

Таблица 1

ШКАЛА ГРАДУИРОВОЧНЫХ РАСТВОРОВ ДЛЯ ОПРЕДЕЛЕНИЯ МЕДИ

N стандарта Стандартный раствор N 2, мл Дистиллированная вода, мл Содержание меди в градуировочном растворе, мкг
1 0 8,5 0
2 0,1 8,4 1,0
3 0,2 8,3 2,0
4 0,5 8,0 5,0
5 1,0 7,5 10,0
6 2,0 6,5 20,0
7 3,0 5,5 30,0
8 4,0 4,5 40,0

Таблица 2

ШКАЛА ГРАДУИРОВОЧНЫХ РАСТВОРОВ ДЛЯ ОПРЕДЕЛЕНИЯ НИКЕЛЯ

N стандарта Стандартный раствор N 2, мл Дистиллированная вода, мл Содержание никеля в градуировочном растворе, мкг
1 0 8,5 0
2 0,1 8,4 1,0
3 0,2 8,3 2,0
4 0,5 8,0 5,0
5 1,0 7,5 10,0
6 2,0 6,5 20,0
7 3,0 5,5 30,0
8 4,0 4,5 40,0
9 5,0 3,5 50,0

Таблица 3

ШКАЛА ГРАДУИРОВОЧНЫХ РАСТВОРОВ ДЛЯ ОПРЕДЕЛЕНИЯ КАДМИЯ

N стандарта Стандартный раствор N 2, мл Дистиллированная вода, мл Содержание кадмия в градуировочном растворе, мкг
1 0 8,5 0
2 0,1 8,4 1,0
3 0,2 8,3 2,0
4 0,5 8,0 5,0
5 1,0 7,5 10,0
6 1,5 7,0 15,0
7 2,0 6,5 20,0

Таблица 4

ШКАЛА ГРАДУИРОВОЧНЫХ РАСТВОРОВ ДЛЯ ОПРЕДЕЛЕНИЯ ЦИНКА

N стандарта Стандартный раствор N 2, мл Дистиллированная вода, мл Содержание цинка в градуировочном растворе, мкг
1 0 8,5 0
2 0,1 8,4 1,0
3 0,2 8,3 2,0
4 0,5 8,0 5,0
5 1,0 7,5 10,0
6 2,0 6,5 20,0
7 3,0 5,5 30,0
8 4,0 4,5 40,0

Растворы градуировочных шкал оттитровываются по каплям раствором аммиака до pH 8 (по индикаторной бумаге). Затем в пробирки добавляют по 1 мл хлоридно-аммиачного буфера, по 0,5 мл свежеприготовленного насыщенного раствора сульфита натрия, доводят объем до 10 мл водой, перемешивают, выдерживают 10 минут, переносят в электролитическую ячейку и полярографируют.

Режим полярографирования переменно-токовый (на примере ПУ-1), поляризующее напряжение от -0,15 до -1,5 В; амплитуда квадратно-волновой формы 30 мВ; задержка 4,1 с; скорость развертки 5 мВ/с; поляризация катодная; диапазон тока 0,5 x 1; координаты самописца: X = 2 x 100 мВ/см, Y = 1 x 100 мкА/см.

Высоту пика меди измеряют при E1/2 = -0,35 В; никеля при E1/2 = -0,92 В; кадмия при E1/2 = -0,66 В; цинка при E1/2 = -1,2 В.

Строят градуировочные графики зависимости высот пиков меди, никеля, кадмия и цинка (мм) от содержания этих веществ в растворе (мкг).

Проверка градуировочного графика проводится 1 раз в месяц или в случае использования новой партии реактивов.

Проведение измерения

Фильтр с отобранной пробой осторожно переносят в фарфоровый тигель и озоляют в муфельной печи при температуре 500 - 600 град. C в течение 30 минут. После охлаждения золу растворяют в 5 мл концентрированной соляной кислоты. Содержимое тигля выпаривают до влажных солей на кипящей водяной бане, остаток растворяют в нескольких миллилитрах горячей воды и переносят количественно в мерную колбу вместимостью 25 мл, обмывая тигель водой. Раствор в колбе доводят до метки водой и перемешивают.

1 - 8 мл полученного раствора вносят в пробирку, доводят объем до 8,5 мл водой и далее обрабатывают и полярографируют аналогично градуировочным растворам.

Содержание меди, кадмия, никеля и цинка в анализируемом объеме раствора пробы (мкг) определяют по соответствующим градуировочным графикам или методом добавок.

Концентрацию металлов в воздухе (мг/куб. м) рассчитывают по формулам 1 или 4, 5 (Приложение 4.2 или 4.3).

Измерение концентраций меди, никеля и кобальта

Характеристика метода

Метод основан на восстановлении диметилглиоксиматных комплексов меди, никеля, кобальта на ртутно-капельном электроде на фоне хлоридно-аммиачного буферного раствора в присутствии сульфита натрия. Потенциал восстановления относительно донной ртути меди - 0,25 В; никеля - 0,86 В; кобальта - 1,02 В.

Отбор проб воздуха проводится с концентрированием на фильтр.

Нижний предел измерения в полярографируемом растворе составляет для меди 0,3 мкг/мл, кобальта 0,02 мкг/мл, никеля 0,01 мкг/мл.

Нижний предел измерения в воздухе меди 0,5 мг/куб. м, кобальта 0,03 мг/куб. м, никеля 0,02 мг/куб. м (при отборе 50 л воздуха).

Диапазон измеряемых концентраций в воздухе для меди от 0,5 до 10 мг/куб. м, для никеля от 0,02 до 1,0 мг/куб. м, для кобальта от 0,03 до 1,0 мг/куб. м.

Измерению не мешают алюминий, кремний, свинец, цинк.

Железо не мешает определению при содержании более 20 мкг в полярографируемом объеме раствора.

Суммарная погрешность измерения не превышает +/- 20%.

Время выполнения измерений 4 часа, включая отбор проб 4 минуты.

Приборы, аппаратура, посуда

Полярограф ПУ-1 или другой системы с ртутно-капельным электродом с записью полярограмм в переменно-токовом режиме, ГОСТ 22261-76.

Аспирационное устройство.

Фильтродержатель, ТУ 95.72.05-77.

Печь муфельная, МП-2УМ.

Щипцы тигельные.

Баня водяная.

Чашки фарфоровые, ГОСТ 9147-80Е.

Тигли фарфоровые, ГОСТ 9147-80Е.

Колбы мерные, ГОСТ 1770-74Е, вместимостью 25, 50, 100, 500 и 1000 мл.

Пипетки мерные, ГОСТ 20292-74Е, вместимостью 1, 2, 5 и 10 мл.

Стаканы химические, ГОСТ 25336-82Е.

Пробирки с пришлифованными пробками, ГОСТ 10515-75.

Реактивы, растворы, материалы

Медь металлическая, электролитическая, ГОСТ 859-78.

Кобальт сернокислый, семиводный, ГОСТ 4462-78, хч.

Никель металлический, ГОСТ 849-70, марка Н.О.

Аммиак водный, ГОСТ 3760-79, хч, 25% и 1 М растворы.

Аммоний хлористый, ГОСТ 3773-72, хч.

Натрий сернистокислый, ГОСТ 195-77, хч, безводный.

Кислота азотная, ГОСТ 4461-77, хч.

Кислота соляная, ГОСТ 3118-77, хч, концентрированная.

Хлоридно-аммиачный буферный раствор: 50 г хлористого аммония растворяют в дистиллированной воде в мерной колбе вместимостью 1000 мл, добавляют 25 г сернистокислого натрия, 75 мл 25% раствора аммиака и объем раствора доводят до метки.

Диметилглиоксим, ГОСТ 5828-77, хч.

4 x М раствор диметилглиоксима в 1 М аммиаке готовят растворением 0,018 г диметилглиоксима в 40 мл 1 М аммиака.

Стандартный раствор меди N 1. 1,0000 г металлической меди помещают в фарфоровую чашку и растворяют при нагревании в 20 - 25 мл азотной кислоты (1:1). Раствор выпаривают до небольшого объема (2 - 3 мл), приливают 15 мл концентрированной соляной кислоты и вновь выпаривают до небольшого объема. Выпаривание проводят 2 раза, каждый раз с 5 мл соляной кислоты, переливают раствор в мерную колбу вместимостью 100 мл и доводят объем до метки дистиллированной водой. В 1 мл полученного раствора содержится 1 мг меди. Раствор устойчив более года.

Стандартные растворы меди N 2 с концентрацией 10 мкг/мл готовят путем соответствующего разбавления водой стандартного раствора N 1 и применяют свежеприготовленным.

Стандартный раствор никеля N 1. 1,0000 г металлического никеля растворяют при нагревании на водяной бане в фарфоровой чашке в 10 мл разбавленной азотной кислоты (3:2). Содержимое чашки выпаривают до объема 3 мл, растворяют в 30 - 40 мл воды и доводят объем раствора до метки в мерной колбе вместимостью 1000 мл. В 1 мл раствора содержится 1 мг никеля. Раствор устойчив более года.

Стандартные растворы никеля N 2 и N 3 с концентрациями соответственно 10 мкг/мл и 1 мкг/мл готовят путем соответствующего разбавления водой стандартных растворов N 1 и N 2 и применяют свежеприготовленными.

Стандартный раствор кобальта N 1 с концентрацией 1 мг/мл. 4,7700 г сернокислого кобальта растворяют в мерной колбе вместимостью 1000 мл в дистиллированной воде.

Стандартные растворы кобальта N 2 и N 3 с концентрациями соответственно 10 мкг/мл и 1 мкг/мл готовят путем соответствующего разбавления водой стандартных растворов N 1 и применяют свежеприготовленными.

Ртуть металлическая, ГОСТ 4658-73, хч.

Аргон в баллоне, ГОСТ 10157-79.

Фильтр типа АФА, ТУ 95.743-80.

Бумага индикаторная универсальная, ТУ 6-09-1181-76.

Отбор пробы воздуха

Воздух с объемным расходом 15 л/мин. аспирируют через фильтр АФА.

Для измерения 1/2 ПДК меди, никеля, кобальта следует отобрать 50 л воздуха. Пробы хранятся не менее 2-х недель.

Подготовка к измерению

Градуировочные растворы (устойчивы в течение 45 минут) готовят согласно таблицам 1 - 3.

Таблица 1

ШКАЛА ГРАДУИРОВОЧНЫХ РАСТВОРОВ ДЛЯ ОПРЕДЕЛЕНИЯ МЕДИ

N стандарта Стандартный раствор N 2, мл Вода дистиллированная, мл Содержание меди в градуировочном растворе, мкг
1 0 8,2 0
2 0,3 7,9 3,0
3 0,4 7,8 4,0
4 0,5 7,7 5,0
5 0,6 7,6 6,0
6 0,7 7,5 7,0
7 0,8 7,4 8,0
8 0,9 7,3 9,0
9 1,0 7,2 10,0

Таблица 2

ШКАЛА ГРАДУИРОВОЧНЫХ РАСТВОРОВ ДЛЯ ОПРЕДЕЛЕНИЯ НИКЕЛЯ

N стандарта Стандартный раствор N 3, мл Вода дистиллированная, мл Содержание никеля в градуировочном растворе, мкг
1 0 8,2 0
2 0,1 8,1 0,1
3 0,2 8,0 0,2
4 0,3 7,9 0,3
5 0,4 7,8 0,4
6 0,5 7,7 0,5
7 0,6 7,6 0,6
8 0,7 7,5 0,7
9 0,8 7,4 0,8
10 0,9 7,3 0,9
11 1,0 7,2 1,0

Таблица 3

ШКАЛА ГРАДУИРОВОЧНЫХ РАСТВОРОВ ДЛЯ ОПРЕДЕЛЕНИЯ КОБАЛЬТА

N стандарта Стандартный раствор N 3, мл Вода дистиллированная, мл Содержание кобальта в градуировочном растворе, мкг
1 0 8,2 0
2 0,2 8,0 0,2
3 0,3 7,9 0,3
4 0,4 7,8 0,4
5 0,5 7,7 0,5
6 0,6 7,6 0,6
7 0,7 7,5 0,7
8 0,8 7,4 0,8
9 0,9 7,3 0,9
10 1,0 7,2 1,0

Во все пробирки шкал для определения меди, никеля и кобальта добавляют по 0,3 мл раствора диметилглиоксима, по 1 мл хлоридно-аммиачного буфера, по 0,5 мл свежеприготовленного насыщенного раствора сернистокислого натрия и перемешивают. Перед проведением измерений градуировочные растворы выдерживают не менее 15 минут.

Градуировочные растворы заливают в электролизер и полярографируют. Режим полярографирования переменно-токовый (на примере ПУ-1), поляризующее напряжение от -0,1 В до -1,5 В; амплитуда квадратно-волновой формы 30 мВ; задержка - 3,8 с; скорость развертки 5 мВ/с; поляризация катодная: диапазон тока - 0,5 x 1; координаты самописца: X = 2 x 100 мВ/см; Y = 5 x 10 мкА/см.

Высоту пика меди измеряют при потенциале E1/2 = -0,25 В, никеля - 0,86 В, кобальта - 1,02 В.

Строят градуировочные графики зависимости высот пиков меди, никеля и кобальта (мм) от их содержания в растворе (мкг).

Проверка градуировочного графика проводится 1 раз в неделю или в случае использования новой партии реактивов.

Проведение измерения

Фильтр с отобранной пробой переносят в фарфоровый тигель и озоляют в муфельной печи при температуре 500 град. C в течение 30 минут.

После охлаждения зольный остаток растворяют в 5 мл концентрированной соляной кислоты, упаривают до влажных солей, переносят в мерную колбу вместимостью 25 мл, доводят объем до метки водой и перемешивают.

Отбирают в пробирку 0,5 - 3 мл раствора пробы, доводят объем до 10 мл дистиллированной водой и оттитровывают раствор концентрированным раствором аммиака до pH 9 (по индикаторной бумаге) (1 - 3 капли).

Далее раствор обрабатывают и полярографируют аналогично градуировочным растворам.

Содержание меди, никеля и кобальта в анализируемом объеме раствора пробы (мкг) определяют по соответствующему градуировочному графику или методом добавок.

Концентрацию вещества в воздухе (мг/куб. м) рассчитывают по формулам 1 или 4, 5 (Приложение 4.2 или 4.3).

Измерение концентрации железа, титана, молибдена, оксидов хрома (III и VI) и ванадия

Характеристика метода

Определение основано на переведении металлов и их оксидов в раствор (при этом хром (III) в процессе окислительного охлаждения пробы переходит в хром (VI) с последующим полярографированием раствора на ртутно-капельном электроде в переменно-токовом режиме). В качестве фонового электролита для определения железа, молибдена, титана и хрома (VI) применяют ацетатный буферный раствор с pH 5,5 в присутствии Трилона Б. Потенциал восстановления железа - 0,23 В, титана - 0,6 В, молибдена - 0,9 В, хрома (VI) - 1,25 В относительно донной ртути.

Определение ванадия проводят на фоне аммиачно-ацетатного буферного раствора с pH 9,5 в присутствии Трилона Б. Потенциал восстановления ванадия - 1,23 В.

На фоновом электролите с pH 5,5 хром и ванадий выходят одним пиком при потенциале - 1,25 В, а при pH 9,5 определение ванадия селективно в присутствии хрома.

С целью раздельного определения того и другого элемента пользуются тремя градуировочными графиками, два из которых (на хром и ванадий) строят на фоновом электролите с pH 5,5 и одним (на ванадий) - при pH 9,5. Определение хрома проводится по разности двух измерений.

Отбор проб воздуха проводится с концентрированием на фильтр АФА.

Нижний предел измерения ионов металлов в полярографируемом растворе составляет для железа 1 мкг/мл, титана 0,1 мкг/мл, молибдена 0,2 мкг/мл, хрома (VI) 0,1 мкг/мл, ванадия 0,1 мкг/мл.

Нижний предел измерения в воздухе железа 2 мг/куб. м, титана 0,2 мг/куб. м, молибдена 0,4 мг/куб. м, хрома (VI) 0,005 мг/куб. м, хрома (III) 0,2 мг/куб. м, ванадия 0,06 мг/куб. м (при отборе 300 л воздуха).

Диапазон измеряемых концентраций для железа от 2 до 83 мг/куб. м, титана от 0,2 до 104 мг/куб. м, молибдена от 0,4 до 104 мг/куб. м, хрома (VI) от 0,005 до 0,1 мг/куб. м, хрома (III) от 0,2 до 42 мг/куб. м, ванадия от 0,04 до 8,3 мг/куб. м.

Определению не мешают другие сопутствующие металлы.

Суммарная погрешность измерения не превышает +/- 25%.

Время выполнения измерения 5 часов, включая время отбора пробы 15 минут.

Приборы, аппаратура, посуда

Полярограф ПУ-1 или другой системы с ртутно-капельным электродом (с записью полярограмм в переменно-токовом и постоянно-токовом режимах), ГОСТ 22261-76.

Аспирационное устройство.

Фильтродержатель, ТУ 95.72.05-77.

Печь муфельная, МП-2УМ.

Щипцы тигельные.

Баня водяная.

Баня песчаная.

Секундомер, ГОСТ 5072-79.

Тигли фарфоровые, ГОСТ 9147-80Е.

Чашки фарфоровые, ГОСТ 9147-80Е.

Колбы мерные, ГОСТ 1770-74Е, вместимостью 25, 50, 100 и 1000 мл.

Пробирки колориметрические с пришлифованными пробками, ГОСТ 10515-75.

Пипетки, ГОСТ 20292-74Е, вместимостью 1, 2, 5 и 10 мл.

Стаканы химические, ГОСТ 25336-82Е, вместимостью 50 мл.

Секундомер, ГОСТ 5072-79.

Реактивы, растворы, материалы

Железо металлическое восстановленное, ТУ 6-09-2227-72, хч.

Титана двуокись, ТУ 6-09-2166-77, чда.

Аммоний молибденовокислый, 4-водный, ГОСТ 3765-78, хч.

Калий двухромовокислый, ГОСТ 4220-75, хч.

Аммоний метаванадиевокислый (ванадат аммония), ГОСТ 9336-75, чда.

Калий сернокислый пиро (пиросульфат калия), ГОСТ 7172-76, чда.

Кислота соляная, ГОСТ 3118-77, хч.

Натрий углекислый, безводный, ГОСТ 83-79, хч.

Калий азотнокислый, ГОСТ 4217-77, хч.

Кислота серная, ГОСТ 4204-77, хч, 5% и 10% растворы.

Кислота уксусная ледяная, ГОСТ 61-75, хч, 4 М раствор.

Аммиак водный, ГОСТ 3760-79, хч, 25% раствор.

Натрий уксуснокислый, 3-водный, ГОСТ 199-78, хч.

Трилон Б, ГОСТ 10682-73, хч, 0,1 М раствор.

Ацетатный буферный раствор (pH 5,5) готовят следующим образом: растворяют в воде 49 г ацетата натрия, добавляют 20 мл 4 М уксусной кислоты и объем доводят до 200 мл дистиллированной водой.

Плавень (смесь солей для получения плава). Готовят растиранием в ступке двух частей карбоната натрия и одной части нитрата калия. Хранят в склянке с притертой пробкой.

Стандартный раствор железа N 1 с концентрацией 0,2 мг/мл готовят растворением 0,2000 г металлического железа в 10 мл концентрированной соляной кислоты при нагревании. Раствор количественно переносят в мерную колбу вместимостью 1000 мл и доводят до метки дистиллированной водой. Устойчив в течение 6 месяцев.

Стандартный раствор железа N 2 с концентрацией 10 мкг/мл готовят соответствующим разбавлением стандартного раствора N 1 дистиллированной водой. Используют свежеприготовленный раствор.

Стандартный раствор титана N 1 с концентрацией 100 мкг/мл готовят сплавлением 0,1668 г диоксида титана, высушенного до постоянного веса, на газовой горелке с 6,0 г пиросульфата калия и растворением плава в 5% серной кислоте в мерной колбе вместимостью 1000 мл. Устойчив в течение 6 месяцев.

Стандартный раствор титана N 2 с концентрацией 10 мкг/мл готовят разбавлением раствора N 1 в 10 раз дистиллированной водой непосредственно перед употреблением.

Стандартный раствор молибдена N 1 с концентрацией 1 мг/мл готовят растворением 0,1845 г молибдата аммония в воде в мерной колбе вместимостью 100 мл. Устойчив в течение 6 месяцев.

Стандартный раствор молибдена N 2 с концентрацией 10 мкг/мл готовят соответствующим разбавлением стандартного раствора N 1 в 100 раз дистиллированной водой непосредственно перед употреблением.

Стандартный раствор хрома (VI) N 1 с концентрацией, соответствующей концентрации оксида хрома (VI) 1 мг/мл, готовят растворением 0,1471 г дважды перекристаллизованного бихромата калия в воде в мерной колбе вместимостью 1000 мл. Устойчив в течение 6 месяцев.

Стандартный раствор хрома (VI) N 2 с концентрацией, соответствующей концентрации оксида хрома (VI) 10 мкг/мл, готовят разбавлением стандартного раствора N 1 в 100 раз дистиллированной водой непосредственно перед употреблением.

Стандартный раствор ванадия N 1 с концентрацией, соответствующей концентрации оксида ванадия (V) 1 мг/мл, готовят растворением 1,2860 г метаванадата аммония в воде, содержащей 0,2 мл аммиака, в мерной колбе вместимостью 1000 мл. Раствор устойчив в течение 6 месяцев.

Стандартный раствор ванадия N 2 с концентрацией, соответствующей концентрации оксида ванадия (V) 10 мкг/мл, готовят разбавлением раствора N 1 в 100 раз дистиллированной водой в день анализа.

Ртуть металлическая, ГОСТ 4658-73, хч.

Аргон в баллоне, ГОСТ 10157-79.

Индикаторная бумага универсальная, ТУ 6-09-1181-76.

Фильтры обеззоленные "синяя лента", ТУ 6-09-1678-77, диаметром 4 см.

Фильтры АФА-ХА-20, ТУ 95.743-80.

Отбор пробы воздуха

Воздух с объемным расходом 20 л/мин. аспирируют через фильтр АФА-ХА-20, помещенный в фильтродержатель. Для определения 1/2 ПДК следует отобрать 300 л воздуха. Пробы не следует хранить из-за возможных потерь шестивалентного хрома.

Подготовка к измерению

Градуировочные растворы (устойчивы в течение 2-х часов) готовят согласно таблицам 1 - 6.

Таблица 1

ШКАЛА ГРАДУИРОВОЧНЫХ РАСТВОРОВ ДЛЯ ОПРЕДЕЛЕНИЯ ЖЕЛЕЗА

N стандарта Стандартный раствор N 2, мл Дистиллированная вода, мл Концентрация железа в градуировочном растворе, мкг/мл
1 0 7,0 0
2 1,0 6,0 1,0
3 2,0 5,0 2,0
4 3,0 4,0 3,0
5 4,0 3,0 4,0

Таблица 2

ШКАЛА ГРАДУИРОВОЧНЫХ РАСТВОРОВ ДЛЯ ОПРЕДЕЛЕНИЯ ТИТАНА

N стандарта Стандартный раствор N 2, мл Дистиллированная вода, мл Концентрация титана в градуировочном растворе, мкг/мл
1 0 7,0 0
2 0,1 6,9 0,1
3 0,2 6,8 0,2
4 0,5 6,5 0,5
5 1,0 6,0 1,0
6 2,0 5,0 2,0
7 3,0 4,0 3,0
8 4,0 3,0 4,0
9 5,0 2,0 5,0

Таблица 3

ШКАЛА ГРАДУИРОВОЧНЫХ РАСТВОРОВ ДЛЯ ОПРЕДЕЛЕНИЯ МОЛИБДЕНА

N стандарта Стандартный раствор N 2, мл Дистиллированная вода, мл Концентрация молибдена в градуировочном растворе, мкг/мл
1 0 7,0 0
2 0,2 6,8 0,2
3 0,5 6,5 0,5
4 1,0 6,0 1,0
5 2,0 5,0 2,0
6 3,0 4,0 3,0
7 4,0 3,0 4,0
8 5,0 2,0 5,0

Таблица 4 - 5

ШКАЛА ГРАДУИРОВОЧНЫХ РАСТВОРОВ ДЛЯ ОПРЕДЕЛЕНИЯ ОКСИДОВ ХРОМА ИЛИ ВАНАДИЯ

N стандарта Стандартный раствор N 2, хрома или ванадия, мл Дистиллированная вода, мл Концентрация оксида хрома (VI) или оксида ванадия (V) в градуировочном растворе, мкг/мл
1 0 7,0 0
2 0,1 6,9 0,1
3 0,2 6,8 0,2
4 0,5 6,5 0,5
5 1,0 6,0 1,0
6 1,5 5,5 1,5
7 2,0 5,0 2,0

Таблица 6

ШКАЛА ГРАДУИРОВОЧНЫХ РАСТВОРОВ ДЛЯ ОПРЕДЕЛЕНИЯ ОКСИДА ВАНАДИЯ (V) ПРИ pH 9,5

N стандарта Стандартный раствор N 2, мл Дистиллированная вода, мл Концентрация оксида ванадия (V) в градуировочном растворе, мкг/мл
1 0,0 7,0 0
2 0,1 6,9 0,1
3 0,2 6,8 0,2
4 0,5 6,5 0,5
3 1,0 6,0 1,0
6 1,5 5,5 1,5
7 2,0 5,0 2,0

Во все пробирки шкал N 1 - 5 добавляют по 2 мл ацетатного буферного раствора, 1 мл Трилона Б и перемешивают. Градуировочные растворы заливают в электролизер, продувают 5 минут аргоном и полярографируют в диапазоне потенциалов -0,1 + -1,5 В. Режим полярографирования (на примере ПУ-1) 2-электродный ТАСТ-режим, амплитуда квадратно-волновой формы 30 мВ, задержка 3,6 с, скорость развертки 5 мВ/с, поляризация катодная, диапазон тока 0,5 x 1. Координаты самописца X = 2 x 100 мВ/см, Y = 5 x 10 мкА/см.

Во все пробирки шкалы N 6 (на ванадий) добавляют по 2 мл ацетатного буфера, 1 мл Трилона Б, 0,15 мл аммиака и перемешивают (pH полученного раствора ~ 9,5).

Градуировочные растворы заливают в электролизер, продувают аргоном в течение 5 мин. и полярографируют в диапазоне потенциалов -0,9 + -1,5 В в тех же условиях, что и для остальных градуировочных шкал.

Строят градуировочные графики зависимости высот пиков железа, молибдена, титана, оксида хрома (VI) и оксида ванадия (V) (мм) от концентрации в растворе (мкг/мл) при pH 5,5 и график зависимости высоты пика ванадия от его концентрации в растворе (мкг/мл) при pH 9,5.

Проверку градуировочных графиков проводят 1 раз в месяц или в случае использования новой партии реактивов.

Проведение измерения

Фильтр с отобранной пробой переносят в стаканчик, отмывают несколькими порциями горячей (40 - 50 град. C) воды, фильтруют через небольшой беззольный фильтр и по охлаждении доводят объем раствора до 10 мл водой. Фильтрат используют для определения водорастворимого хрома (VI). Для этого отбирают 6 мл фильтрата, доводят объем до 7,0 мл водой и далее обрабатывают и полярографируют аналогично градуировочным растворам шкалы N 6.

Фильтр с нерастворившейся частью пробы и бумажный фильтр переносят в фарфоровый тигель, осторожно высушивают и озоляют при температуре 550 град. C. Зольный остаток смешивают с 0,5 г плавня и помещают тигель в охлажденную до 300 град. C муфельную печь, постепенно повышая температуру до 850 - 860 град. C. Сплавляют в течение 30 минут до получения однородного плава. Плав растворяют в 10% серной кислоте, дважды упаривая до влажных солей. Содержимое тигля растворяют в небольшом количестве 10% серной кислоты и количественно переносят в мерную колбу вместимостью 50 мл. Объем раствора в колбе доводят до метки 10% серной кислотой (раствор А).

10 мл раствора А переносят в мерную колбу вместимостью 25 мл, нейтрализуют раствором аммиака до pH 5,0 (по индикаторной бумаге), доводят до метки водой и перемешивают (раствор Б).

Для определения железа, титана, молибдена и хрома (III) отбирают в пробирку 0,2 - 2 мл раствора Б, доводят до 7,0 мл водой и далее обрабатывают и полярографируют аналогично градуировочным растворам шкал 1 - 5.

Для определения ванадия 1 - 6 мл раствора Б вносят в пробирку, нейтрализуют раствор аммиаком по каплям до pH 7, доводят объем до 7,0 мл водой и далее обрабатывают и полярографируют аналогично градуировочным растворам шкалы N 6 (pH конечного раствора должен быть 9,5).

Концентрацию оксида хрома (VI) в анализируемом объеме раствора пробы (мкг/мл) определяют по градуировочному графику N 4.

Концентрацию железа, титана, молибдена и оксида ванадия (V) (мкг/мл) определяют соответственно по градуировочным графикам N 1, 2, 3 и 6.

Для расчета концентрации оксида хрома (III) по градуировочному графику N 6 (при pH 9,5) определяют концентрацию оксида ванадия (V) в анализируемом растворе (мкг/мл). Находят соответствующую этой концентрации высоту пика оксида ванадия (V) по градуировочному графику N 5 для определения оксида ванадия (V) при pH 5,5 (h1), которую вычитают из величины пика оксида хрома (VI) и оксида ванадия (V), полученного при полярографировании раствора пробы с pH 5,5 (h). Значение разности высот пиков (h - h1) соответствует концентрации оксида хрома (VI) в полярографируемом растворе пробы, которую определяют по градуировочному графику N 4.

Для определения концентрации оксида хрома (III) полученное значение умножают на коэффициент 0,76.

Концентрацию металлов и их оксидов в воздухе (мг/куб. м) рассчитывают по формуле 3 (Приложение 4.2).

Измерение концентрации железа и марганца

Характеристика метода

Метод основан на восстановлении ионов железа и марганца на ртутно-капельном электроде на фоне раствора триэтаноламина с добавлением соляной кислоты и едкого натра.

Отбор проб воздуха проводится с концентрированием на фильтр АФА.

Потенциал восстановления относительно донной ртути железа - 1,06 В; марганца - 0,5 В.

Нижний предел измерения в полярографируемом растворе составляет для железа 0,2 мкг/мл, для марганца 0,2 мкг/мл.

Нижний предел измерения в воздухе железа 0,05 мг/куб. м, марганца 0,05 мг/куб. м (при отборе 200 л воздуха).

Диапазон измеряемых концентраций для железа и марганца от 0,05 до 12,5 мг/куб. м.

Определению железа мешает хром.

Определению марганца мешает медь.

Суммарная погрешность измерения не превышает +/- 20%.

Время выполнения измерения 3,5 часа, включая отбор пробы 15 мин.

Приборы, аппаратура, посуда

Полярограф ПУ-1 или другой системы с ртутным капельным электродом с записью полярограмм в переменно-токовом режиме, ГОСТ 22261-76.

Аспирационное устройство.

Фильтродержатель, ТУ 95.72.05-77.

Печь муфельная, МП-2УМ.

Щипцы тигельные.

Баня песчаная.

Ступка фарфоровая, ГОСТ 9147-80Е.

Тигли фарфоровые, ГОСТ 9147-80Е, с крышками.

Колбы мерные, ГОСТ 1770-74Е, вместимостью 25, 50, 100, 250, 500 и 1000 мл.

Пробирки с пришлифованными пробками, ГОСТ 10515-75.

Воронки стеклянные, ГОСТ 25336-82Е.

Палочки стеклянные, ГОСТ 25336-82Е.

Пипетки, ГОСТ 20292-74Е, вместимостью 0,2, 1, 2, 5 и 10 мл.

Реактивы, растворы, материалы

Железо металлическое восстановленное, ТУ 6-09-2227-72, хч.

Марганца сульфат, 5-водный, ТУ 6-09-01-218-74, чда.

Триэтаноламин, ТУ 6-09-2448-72, ч, 0,5 М раствор.

Натрия гидроксид, ГОСТ 4328-77, хч, 10% раствор.

Кислота соляная, ГОСТ 3118-77, концентрированная и 0,5 М раствор.

Кислота серная, ГОСТ 4204-77, чда, 10% раствор.

Кислота азотная, ГОСТ 4461-77, хч, концентрированная.

Аммиак водный, ГОСТ 3760-79, чда, 25% раствор.

Натрия карбонат, безводный, ГОСТ 83-79, хч.

Калия нитрат, ГОСТ 4217-77, хч.

Плавень (смесь солей для получения плавня) готовят растиранием в фарфоровой ступке 2 частей карбоната натрия и 1 части нитрата калия. Плавень хранят в банке с притертой пробкой.

Стандартный раствор железа N 1: навеску металлического железа 0,2000 г растворяют в 10 мл концентрированной соляной кислоты при нагревании на песчаной бане, количественно переносят в мерную колбу вместимостью 1000 мл и доводят дистиллированной водой до метки. В 1 мл раствора содержится 200 мкг железа. Раствор устойчив в течение месяца.

Стандартный раствор железа N 2 с концентрацией 10 мкг/мл готовят разбавлением в 20 раз раствора N 1 водой, свежеприготовленный.

Стандартный раствор марганца N 1: 4,3880 г сульфата марганца растворяют в воде в мерной колбе вместимостью 1000 мл и доводят дистиллированной водой до метки. В 1 мл раствора содержится 1 мг марганца. Устойчив в течение 6 месяцев.

Стандартный раствор марганца N 2 с концентрацией 10 мкг/мл готовят разбавлением в 100 раз раствора N 1 водой, свежеприготовленный.

Ртуть металлическая, ГОСТ 4658-73, хч.

Аргон в баллоне, ГОСТ 10157-79.

Фильтр АФА-ХП-20, ТУ 95.743-80.

Бумага индикаторная лакмусовая красная, ТУ 6-09-3403-78.

Отбор пробы воздуха

Воздух с объемным расходом 15 л/мин. аспирируют через укрепленный в фильтродержателе фильтр АФА-ХП-20.

Для измерения 1/2 ПДК железа и марганца следует отобрать 200 л воздуха. Отобранные пробы хранятся в течение 2-х недель.

Подготовка к измерению

Градуировочные растворы (устойчивы в течение 2-х час.) готовят согласно таблицам 1 - 2.

Таблица 1

ШКАЛА ГРАДУИРОВОЧНЫХ РАСТВОРОВ ДЛЯ ОПРЕДЕЛЕНИЯ ЖЕЛЕЗА

N стандарта Стандартный раствор железа N 2, мл Дистиллированная вода, мл Содержание железа в градуировочном растворе, мкг
1 0 7,5 0
2 0,2 7,3 2,0
3 0,4 7,1 4,0
4 0,6 6,9 6,0
5 0,8 6,7 8,0
6 1,0 6,5 10,0

Таблица 2

ШКАЛА ГРАДУИРОВОЧНЫХ РАСТВОРОВ ДЛЯ ОПРЕДЕЛЕНИЯ МАРГАНЦА

N стандарта Стандартный раствор марганца N 2, мл Дистиллированная вода, мл Содержание марганца в градуировочном растворе, мкг
1 0 7,5 0
2 0,2 7,3 2,0
3 0,4 7,1 4,0
4 0,6 6,9 6,0
5 0,8 6,7 8,0
6 1,0 6,5 10,0

Во все пробирки шкал добавляют по 1 мл 0,5 М соляной кислоты, по 1 мл 0,5 М триэтаноламина, по 0,5 мл 10% гидроксида натрия и перемешивают содержимое. Градуировочные растворы переносят в электролизер, продувают аргоном в течение 5 мин. и полярографируют.

Режим полярографирования переменно-токовый (на примере ПУ-1), трехэлектродный ТАСТ-режим: поляризующее напряжение от -0,3 В до -1,3 В; амплитуда квадратно-волновой формы 12 мВ; задержка 3,8 с; скорость развертки 9 мВ; поляризация катодная; диапазон тока 0,5 x 1; координаты самописца: X = 2 x 100 мВ/см; Y = 1 x 100 мкА/см.

Высоту пика железа измеряют при потенциале E1/2 = -1,06 В, марганца - 0,5 В.

Строят градуировочные графики зависимости высот пиков железа и марганца (мм) от их содержания в анализируемом растворе (мкг).

Проверка градуировочных графиков проводится 1 раз в неделю или в случае использования новой партии реактивов.

Проведение измерения

Фильтр с пробой помещают в фарфоровый тигель, накрывают крышкой и осторожно озоляют. Зольный остаток по охлаждении тщательно перемешивают и растирают лопаточкой с 0,5 г плавня. Далее тигель помещают в охлажденную до 350 - 400 град. C муфельную печь, повышают температуру до 800 - 850 град. C, при которой выдерживают тигель в течение 25 - 30 минут до полного сплавления смеси.

После охлаждения тигля содержимое растворяют в 25 мл 10% серной кислоты. 0,1 - 5 мл пробы доводят до 7,5 мл водой и нейтрализуют аммиаком (по лакмусу).

Далее обработка пробы и полярографирование проводятся аналогично градуировочным растворам.

Содержание железа и марганца в анализируемом объеме раствора пробы (мкг) определяют по соответствующему градуировочному графику или методом добавок.

Концентрацию железа и марганца в воздухе (в мг/куб. м) рассчитывают по формулам 1, 4 и 5 (Приложения 4.2, 4.3).

Коэффициент пересчета железа на оксид железа - 1,43.

Измерение концентрации вольфрама

Метод основан на восстановлении вольфрамат-ионов на ртутно-капельном электроде на фоне раствора, содержащего хлорат калия, серную и миндальную кислоты.

Потенциал восстановления вольфрамат-ионов относительно насыщенного каломельного электрода - 0,6 В.

Отбор проб воздуха проводится с концентрированием на фильтр.

Нижний предел измерения в полярографируемом растворе составляет 0,05 мкг/мл.

Нижний предел измерения в воздухе 2,5 мг/куб. м (при отборе 20 л воздуха).

Диапазон измеряемых концентраций для вольфрама от 2,5 до 40 мг/куб. м.

Определению вольфрама не мешает присутствие 100-кратных по отношению к вольфраму количеств никеля, кобальта, железа, хрома, титана, алюминия. Мешает молибден.

Суммарная погрешность измерения не превышает +/- 20%.

Время выполнения измерения 4,0 часа, включая время отбора пробы воздуха 2 минуты.

Приборы, аппаратура, посуда

Полярограф ПУ-1 или другой системы с ртутным капельным электродом с записью полярограмм в переменно-токовом режиме, ГОСТ 22261-76.

Аспирационное устройство.

Фильтродержатель, ТУ 95.72.05-77.

Печь муфельная, МП-2УМ.

Щипцы тигельные.

Баня песчаная.

Ступка фарфоровая, ГОСТ 9147-80Е.

Тигли кварцевые, ГОСТ 19908-80.

Пробирки с пришлифованными пробками, ГОСТ 10515-75.

Колбы мерные, ГОСТ 1770-74Е, вместимостью 25, 50 и 100 мл.

Пипетки, ГОСТ 20292-74Е, вместимостью 1, 2, 5 и 10 мл.

Цилиндры мерные, ГОСТ 1770-74Е, вместимостью 10, 15 и 25 мл.

Воронки химические стеклянные, ГОСТ 25336-82Е.

Палочки стеклянные, ГОСТ 25336-82Е.

Реактивы, растворы, материалы

Натрий вольфрамовокислый, 2-водный, ГОСТ 18289-78, чда.

Калия пиросульфат, ГОСТ 7172-76, чда.

Натрия гидроксид, ГОСТ 4328-77, хч, 5% раствор.

Калий хлорноватокислый (хлорат калия), ГОСТ 4235-77, хч, 0,5 М раствор.

Кислота серная, ГОСТ 4204-77, хч, 1 М раствор.

Кислота миндальная, ТУ 6-09-2943-77, ч, 0,1 М раствор (устойчив в течение недели при хранении в темном месте).

Стандартный раствор вольфрама N 1 с концентрацией 1,0 мг/мл готовят растворением 1,7940 г натрия вольфрамовокислого в дистиллированной воде в мерной колбе вместимостью 1000 мл. Раствор устойчив более года. Стандартные растворы N 2 и N 3 с концентрацией вольфрама 100 мкг/мл (устойчив в течение недели) и с концентрацией 5 мкг/мл (применяют свежеприготовленным) готовят соответствующим разбавлением стандартного раствора N 1 дистиллированной водой.

Ртуть металлическая, ГОСТ 4658-73, хч.

Аргон в баллоне, ГОСТ 10157-79.

Фильтр типа АФА, ТУ 95.743-80.

Отбор пробы воздуха

Воздух с объемным расходом 10 л/мин. аспирируют через фильтр АФА, помещенный в фильтродержатель. Для определения 1/2 ПДК достаточно отобрать 20 л воздуха. Пробы хранятся не менее месяца.

Подготовка к измерению

Градуировочные растворы (устойчивы в течение 2 часов) готовят согласно таблице.

Таблица

ШКАЛА ГРАДУИРОВОЧНЫХ РАСТВОРОВ ДЛЯ ОПРЕДЕЛЕНИЯ ВОЛЬФРАМА

N стандарта Стандартный раствор N 3, мл Вода дистиллированная, мл Содержание вольфрама в градуировочном растворе, мкг
1 0 2 0
2 0,1 1,9 0,5
3 0,2 1,8 1,0
4 0,5 1,5 2,5
5 1,0 1,0 5,0
6 1,2 0,8 6,0
7 1,6 0,4 8,0

Во все пробирки шкалы добавляют по 5,0 мл 1 М раствора серной кислоты, по 2,0 мл 0,5 М раствора хлората калия, по 1,0 мл 0,1 М раствора миндальной кислоты. Раствор переносят в электролизер и продувают аргоном в течение 5 - 7 минут, затем полярографируют.

Режим полярографирования переменно-токовый (на примере ПУ-Г), трехэлектродный ТАСТ-режим; поляризующее напряжение от -0,4 до -0,1 В; амплитуда квадратно-волновой формы 12 мВ; период капания 3 - 4 с; задержка 2,8 с; поляризация катодная; диапазон тока 0,5 x 100; координаты самописца: X = 2 x 100 мВ/см; Y = 1 x 100 мкА/см. Высоту пика вольфрама измеряют при потенциале E1/2 = -0,6 В.

Строят градуировочный график зависимости высоты пика вольфрама (мм) от его содержания в растворе (мкг).

Проверка градуировочного графика проводится 1 раз в 2 недели или в случае использования новой партии реактивов.

Проведение измерения

Фильтр с отобранной пробой переносят в кварцевый тигель, озоляют в муфельной печи при постепенном повышении температуры до 500 град. C. Зольный остаток выдерживают в печи при температуре 600 град. C около 20 мин. для получения оксида вольфрама (VI). По охлаждении остаток в тигле обрабатывают 2 мл 10% раствора гидроксида натрия и нагревают до полного растворения остатка. Раствор количественно переносят в мерную колбу вместимостью 50 мл и доводят до метки водой. Для анализа отбирают 0,5 мл полученного раствора, приливают 1,5 мл воды и далее обрабатывают и полярографируют аналогично градуировочным растворам.

Содержание вольфрама в анализируемом объеме раствора пробы (мкг) определяют по градуировочному графику или методом добавок.

Концентрацию вольфрама в воздухе (мг/куб. м) рассчитывают по формулам 1 или 4, 5 (Приложения 4.2, 4.3).

Измерение концентрации молибдена

Характеристика метода

Метод основан на восстановлении ионов молибдена на ртутно-капельном электроде на фоне смеси растворов серной кислоты, хлората калия и миндальной кислоты.

Потенциал восстановления молибдена относительно донной ртути равен 0,52 В.

Отбор проб воздуха проводится с концентрированием на фильтр.

Нижний предел измерения в полярографируемом растворе составляет 0,01 мкг/мл.

Нижний предел измерения в воздухе 0,5 мг/куб. м (при отборе 20 л воздуха).

Диапазон измеряемых концентраций в воздухе от 0,5 до 25 мг/куб. м.

Определению молибдена мешают титан и вольфрам.

Суммарная погрешность измерения не превышает +/- 20%.

Время выполнения измерения около 2,5 часа, включая отбор пробы 2 минуты.

Приборы, аппаратура, посуда

Полярограф ПУ-1 или другой системы с ртутно-капельным электродом с записью полярограмм в переменно-токовом режиме, ГОСТ 22261-76.

Аспирационное устройство.

Фильтродержатель, ТУ 95.72.05-77.

Печь муфельная, МП-2УМ.

Щипцы тигельные.

Баня песчаная.

Ступка фарфоровая, ГОСТ 9147-80Е.

Тигли фарфоровые, ГОСТ 9147-80Е.

Пробирки с пришлифованными пробками, ГОСТ 10515-75.

Пипетки, ГОСТ 20292-74Е, вместимостью 1, 2, 5 и 10 мл.

Колбы мерные, ГОСТ 1770-74Е, вместимостью 25, 50, 100 и 1000 мл.

Цилиндры мерные, ГОСТ 1770-74Е, вместимостью 25 мл.

Палочки стеклянные, ГОСТ 25336-82Е.

Воронки стеклянные, ГОСТ 25336-82Е, вместимостью 50 мл.

Реактивы, растворы, материалы

Молибдат аммония, 4-водный, ГОСТ 3765-78, хч.

Калия хлорат (хлорноватокислый), ГОСТ 4235-77, хч, 0,5 М раствор.

Серная кислота, ГОСТ 4294-77, концентрированная, 1,0 М и 10% растворы.

Азотная кислота, ГОСТ 4461-77, хч.

Калий азотнокислый, ГОСТ 4217-77, хч.

Натрий углекислый, ГОСТ 83-79, хч.

Миндальная кислота, ТУ 6-09-8943-77, хч, 0,5 М раствор (устойчив неделю при хранении в темном месте).

Плавень. Готовят растиранием в ступке двух частей натрия углекислого и одной части калия азотнокислого (по массе).

Стандартный раствор молибдена N 1 с концентрацией 1 мг/мл. Готовят растворением 1,8450 г молибдата аммония в воде в мерной колбе вместимостью 1000 мл. Раствор устойчив в течение года.

Стандартный раствор N 2 с концентрацией молибдена 10 мкг/мл готовят путем соответствующего разбавления раствора N 1. Раствор применяют свежеприготовленным.

Стандартный раствор N 3 с концентрацией молибдена 1 мкг/мл готовят разбавлением раствора N 2 в 10 раз, свежеприготовленный.

Ртуть металлическая, ГОСТ 4658-73, хч.

Аргон в баллоне, ГОСТ 10157-79.

Фильтр типа АФА, ТУ 95.743-80.

Отбор пробы воздуха

Воздух с объемным расходом 10 л/мин. аспирируют через фильтр АФА. Для измерения 1/2 ПДК молибдена достаточно отобрать 20 л воздуха. Отобранные пробы хранятся не менее 2-х недель.

Подготовка к измерению

Градуировочные растворы (устойчивы в течение 45 минут) готовят согласно таблице.

Таблица

ШКАЛА ГРАДУИРОВОЧНЫХ РАСТВОРОВ ДЛЯ ОПРЕДЕЛЕНИЯ МОЛИБДЕНА

N стандарта Стандартный раствор N 3, мл Вода дистиллированная, мл Содержание молибдена в градуировочном растворе, мкг
1 0 2 0
2 0,1 1,9 0,1
3 0,2 1,8 0,2
4 0,4 1,6 0,4
5 0,6 1,4 0,6
6 0,8 1,2 0,8
7 1,0 1,0 1,0

Во все пробирки шкалы прибавляют по 5 мл 1 М раствора серной кислоты, затем по 2 мл 0,5 М раствора хлората калия и по 1 мл 0,5 М раствора миндальной кислоты.

Через 30 мин. градуировочные растворы заливают в электролизер, продувают аргоном и полярографируют.

Режим полярографирования переменно-токовый (на примере ПУ-1), двухэлектродный ТАСТ-режим; поляризующее напряжение от -0,4 В до -0,7 В; амплитуда квадратно-волновой формы 12 мВ; задержка 3,8 с; скорость развертки 9 мВ/с; поляризация катодная; диапазон тока 1 x 10; координаты самописца: X = 2 x 100 мВ/см; Y = 1 x 100 мкА/см.

Высоту пика молибдена измеряют при E1/2 = -0,52 В.

Строят градуировочный график зависимости высоты пика молибдена от его содержания в растворе (мкг). Проверка градуировочного графика проводится 1 раз в 2 недели или в случае использования новой партии реактивов.

Проведение измерения

Фильтр с отобранной пробой переносят в фарфоровый тигель и добавляют по 0,2 мл концентрированных серной и азотной кислот. Содержимое тигля выпаривают на песчаной бане. Далее фильтр с пробой озоляют в муфельной печи, закрыв тигель крышкой, в течение 1 часа при постепенном повышении температуры до 500 град. C.

Тигель постепенно охлаждают, золу тщательно смешивают с 0,5 г плавня, помещают в муфельную печь, охлажденную до 300 град. C, повышают температуру до 800 град. C и оставляют на 30 мин. до полного сплавления смеси. Затем плав растворяют при нагревании в 5 мл 10% раствора серной кислоты и упаривают до влажных солей. Остаток растворяют в 5 мл 10% серной кислоты, раствор количественно переносят в мерную колбу вместимостью 100 мл, смывая тигель водой, и доводят объем до метки водой. На анализ отбирают в пробирки 0,2 - 2,0 мл раствора пробы, доводят объем до 2,0 мл водой и далее обрабатывают и полярографируют аналогично градуировочным растворам.

Содержание молибдена в анализируемом объеме раствора пробы (мкг) определяют по градуировочному графику или методом добавок.

Концентрацию молибдена в воздухе (мг/куб. м) рассчитывают по формулам 1 или 4, 5 (Приложения 4.2, 4.3).

Измерение концентрации титана

Характеристика метода

Метод основан на восстановлении ионов титана на ртутно-капельном электроде на фоне серной кислоты в присутствии хлората калия и щавелевой кислоты.

Потенциал восстановления титана относительно хлоридсеребряного электрода - 0,2 В.

Отбор проб воздуха проводится с концентрированием на фильтр.

Нижний предел измерений титана в полярографируемом растворе составляет 0,05 мкг/мл.

Нижний предел измерения в воздухе 1,3 мг/куб. м (при отборе 20 л воздуха).

Диапазон измеряемых концентраций в воздухе от 1,3 до 63 мг/куб. м.

Определению мешает молибден.

Суммарная погрешность измерения не превышает +/- 25%.

Время выполнения измерений 3 часа, включая отбор пробы воздуха 2 минуты.

Приборы, аппаратура, посуда

Полярограф ПУ-1 или другой системы с ртутным электродом (с записью полярограмм в переменно-токовом и постоянно-токовом режимах), ГОСТ 22261-76.

Аспирационное устройство.

Фильтродержатель, ТУ 95.72.05-77.

Печь муфельная, МП-2УМ.

Горелка газовая.

Тигли платиновые, ГОСТ 6563-75, или кварцевые, ГОСТ 19908-80.

Щипцы тигельные с платиновыми наконечниками.

Колбы мерные, ГОСТ 1770-74Е, вместимостью 25, 50, 100, 500 и 1000 мл.

Пипетки мерные, ГОСТ 20292-74Е, вместимостью 1, 2, 5 и 10 мм.

Воронки стеклянные, ГОСТ 25336-82Е.

Цилиндры мерные, ГОСТ 1770-74Е, вместимостью 25 мл.

Пробирки с пришлифованными пробками, ГОСТ 10515-75.

Реактивы, растворы, материалы

Титана двуокись, ТУ 6-09-2166-77, чда.

Калия пиросульфат, ГОСТ 7172-76, чда.

Серная кислота, ГОСТ 4204-77, хч, концентрированная, 1 М и 0,5 М растворы.

Щавелевая кислота, 2-водная, ГОСТ 22180-76, хч, 0,5 М раствор.

Калий хлорноватокислый (хлорат), ГОСТ 4235-77, хч, 0,5 М раствор.

Стандартный раствор титана N 1 с концентрацией 100 мкг/мл. 0,1668 г высушенной до постоянного веса двуокиси титана сплавляют на газовой горелке в платиновом или кварцевом тигле с 3 г пиросульфата калия до получения прозрачного плава. После остывания плав растворяют при нагревании в 0,5 М серной кислоте, переносят в мерную колбу вместимостью 1000 мл и доводят объем до метки 0,5 М раствором серной кислоты. Раствор устойчив в течение 1 месяца.

Стандартный раствор N 2 с концентрацией титана 10 мкг/мл готовят разбавлением в 10 раз раствора N 1 водой. Раствор устойчив в течение суток.

Стандартный раствор N 3 с концентрацией титана 1 мкг/мл готовят разбавлением раствора N 2 водой. Применяют свежеприготовленным.

Ртуть металлическая, ГОСТ 4658-73, хч.

Аргон в баллоне, ГОСТ 10157-79.

Фильтр типа АФА, ТУ 95.743-80.

Отбор пробы воздуха

Воздух с объемным расходом 10 л/мин. аспирируют через фильтр АФА. Для измерения 1/2 ПДК титана достаточно отобрать 20 л воздуха. Пробы хранятся 2 недели.

Подготовка к измерению

Градуировочные растворы (устойчивы в течение 2-х часов) готовят согласно таблице.

Таблица

ШКАЛА ГРАДУИРОВОЧНЫХ РАСТВОРОВ ДЛЯ ОПРЕДЕЛЕНИЯ ТИТАНА

N стандарта Стандартный раствор N 3, мл Стандартный раствор N 2, мл Дистиллированная вода, мл Содержание титана в градуировочном растворе, мкг
1 2 3 4 5
1 0 - 1,0 0
2 0,5 - 0,5 0,5
3 - 0,1 0,9 1,0
4 - 0,2 0,8 2,0
5 - 0,3 0,7 3,0
6 - 0,4 0,6 4,0
7 - 0,5 0,5 5,0

Во все пробирки шкалы добавляют по 5 мл 1 М раствора серной кислоты, по 2 мл 0,5 М раствора хлората калия, по 2 мл 0,5 М раствора щавелевой кислоты. После добавления каждого реагента содержимое пробирок тщательно перемешивают. Перед проведением полярографирования градуировочные растворы выдерживают не менее 15 минут.

Градуировочные растворы в порядке возрастания концентрации заливают в электролизер, продувают в течение 5 мин. аргоном, затем полярографируют.

Режим полярографирования переменно-токовый (на примере ПУ-1), поляризующее напряжение от +0,1 В до -0,6 В; амплитуда квадратно-волновой формы 30 мВ; задержка 5,8 с; скорость развертки 5 мВ/с; поляризация катодная; диапазон тока 1 x 1; координаты самописца: X = 2 x 100 мВ/см; Y = 1 x 100 мкА/см.

Высоту пика титана измеряют при E1/2 = -0,2 В.

Строят градуировочный график зависимости высоты пика титана (мм) от его содержания в растворе (мкг). Проверка градуировочного графика проводится 1 раз в неделю или в случае использования новой партии реактивов.

Проведение измерения

Фильтр с пробой озоляют в платиновом или кварцевом тигле при 500 град. C и сплавляют с 0,5 г пиросульфата калия на газовой горелке до получения прозрачного плава. После сплавления плав растворяют в 0,5 М растворе серной кислоты при нагревании, раствор количественно переносят в мерную колбу вместимостью 50 мл и доводят объем до метки этим раствором.

0,2 - 1,0 мл раствора переносят в пробирку, доводят объем до 1,0 мл водой и далее обрабатывают и полярографируют аналогично градуировочным растворам.

Содержание титана в анализируемом объеме раствора пробы (мкг) определяют по градуировочному графику или методом добавок.

Концентрацию титана в воздухе (мг/куб. м) рассчитывают по формулам 1 или 4, 5 (Приложения 4.2, 4.3).

Измерение концентрации свинца, олова, кадмия и меди

Характеристика метода

Определение основано на восстановлении ионов свинца, олова, меди и кадмия на ртутно-капельном электроде на фоне 2% раствора щавелевой кислоты.

Потенциал восстановления относительно донной ртути меди - 0,36 В, свинца - 0,68 В, олова - 0,74 В, кадмия - 0,84 В.

Отбор проб воздуха проводится с концентрированием на фильтр.

Нижний предел измерения в полярографируемом растворе составляет для свинца 0,01 мкг/мл, олова 0,05 мкг/мл, меди 0,003 мкг/мл и кадмия 0,01 мкг/мл.

Нижний предел измерения в воздухе составляет для свинца и кадмия 0,005 мг/куб. м, для олова 0,025 мг/куб. м, для меди 0,002 мг/куб. м (при отборе 20 л воздуха).

Диапазон измеряемых концентраций в воздухе свинца и кадмия от 0,005 до 0,5 мг/куб. м, олова от 0,025 до 1,0 мг/куб. м, меди от 0,002 до 0,005 мг/куб. м.

Измерению не мешает цинк.

Суммарная погрешность измерения не превышает +/- 25%.

Время выполнения измерения около 2 часов, включая время отбора проб 2 минуты.

Приборы, аппаратура, посуда

Полярограф ПУ-1, ППТ-1 или другой системы с ртутно-капельным электродом с записью полярограмм в переменно-токовом режиме, ГОСТ 22261-76.

Аспирационное устройство.

Фильтродержатель, ТУ 95.72.05-77.

Баня водяная.

Колбы мерные, ГОСТ 1770-74Е, вместимостью 50, 100 и 1000 мл.

Пипетки, ГОСТ 20292-74Е, вместимостью 1, 2, 5 и 10 мл.

Стаканы химические, ГОСТ 25336-82Е, вместимостью 50 и 100 мл.

Воронки стеклянные, ГОСТ 25336-82Е.

Реактивы, растворы, материалы

Все растворы готовят на бидистиллированной воде.

Свинец азотнокислый, ГОСТ 4236-77, хч, перекристаллизованный из воды и высушенный до постоянного веса при температуре 110 град. C.

Олово четыреххлористое, 5-водное, ТУ 6-09-3084-76.

Медь сернокислая, 5-водная, ГОСТ 4165-78, хч.

Кадмий азотнокислый: 4-водный, ГОСТ 6262-79, хч.

Азотная кислота, ГОСТ 4461-77, хч, разбавленная 1:1.

Щавелевая кислота, ГОСТ 22180-76, осч, 2% раствор.

Стандартный раствор свинца N 1 с концентрацией 1 мг/мл готовят растворением 0,1600 г азотнокислого свинца в воде в мерной колбе вместимостью 100 мл. Устойчив в течение 6 месяцев.

Стандартный раствор свинца N 2 с концентрацией 100 мкг/мл готовят путем разбавления стандартного раствора N 1 в 10 раз водой в мерной колбе. Устойчив 2 недели.

Стандартный раствор свинца N 3 с концентрацией 1 мкг/мл готовят соответствующим разбавлением раствора N 2 2% щавелевой кислоты в мерной колбе и применяют свежеприготовленным.

Стандартный раствор олова N 1 с концентрацией 1 мкг/мл готовят растворением 0,2965 г четыреххлористого олова в воде в мерной колбе вместимостью 100 мл. Устойчив 6 месяцев.

Стандартный раствор олова N 2 с концентрацией 100 мкг/мл готовят соответствующим разбавлением раствора N 1 водой в мерной колбе. Устойчив в течение 2 недель.

Стандартные растворы олова N 3 и 4 с концентрацией 10 и 1 мкг/мл готовят разбавлением раствора N 2 2% раствором щавелевой кислоты и применяют свежеприготовленными.

Стандартный раствор меди N 1 с концентрацией 1 мкг/мл готовят путем растворения 3,9293 г сернокислой меди, 5-водной, в воде в мерной колбе вместимостью 1 л. Устойчив 6 месяцев.

Стандартный раствор меди N 2 с концентрацией 100 мкг/мл готовят разбавлением раствора N 1 водой в 10 раз.

Стандартные растворы меди N 3 и N 4 с концентрацией 1,0 и 0,1 мкг/мл готовят разбавлением раствора N 2 2% раствором щавелевой кислоты в мерных колбах. Растворы не хранятся.

Стандартный раствор кадмия N 1 с концентрацией 1 мг/мл готовят растворением 0,2744 г азотнокислого кадмия в воде в мерной колбе вместимостью 100 мл. Устойчив в течение 6 месяцев.

Стандартный раствор кадмия N 2 с концентрацией 100 мкг/мл готовят разбавлением раствора N 1 водой в 10 раз в мерной колбе. Устойчив в течение 2 недель.

Стандартный раствор кадмия N 3 с концентрацией 1 мкг/мл готовят разбавлением раствора N 2 в 100 раз 2% раствором щавелевой кислоты и применяют свежеприготовленным.

Ртуть металлическая, ГОСТ 4658-73, хч.

Аргон в баллоне с редуктором, ГОСТ 10157-79, или азот в баллоне, ГОСТ 9293-74, очищенный от примеси кислорода.

Фильтр АФА-ХП-20, ТУ 95.743-80.

Отбор пробы воздуха

Воздух с объемным расходом 10 л/мин. аспирируют через фильтр АФА-ХП-20, укрепленный в фильтродержателе. Для определения 1/2 ПДК достаточно отобрать 20 л воздуха. Проба хранится не менее 2 недель.

Подготовка к измерению

Градуировочные растворы (устойчивы в течение 3 часов) готовят согласно таблицам 1 - 4.

Таблица 1

ШКАЛА ГРАДУИРОВОЧНЫХ РАСТВОРОВ ДЛЯ ОПРЕДЕЛЕНИЯ СВИНЦА

Номер стандарта Стандартный раствор N 3, мл Щавелевая кислота 2% раствор, мл Концентрация свинца в градуировочном растворе, мкг/мл
1 0 10,0 0
2 0,1 9,9 0,01
3 0,3 9,7 0,03
4 0,6 9,4 0,06
5 1,0 9,0 0,10
6 2,0 8,0 0,20
7 5,0 5,0 0,50
8 10,0 - 1,00

Таблица 2

ШКАЛА ГРАДУИРОВОЧНЫХ РАСТВОРОВ ДЛЯ ОПРЕДЕЛЕНИЯ ОЛОВА

Номер стандарта Стандартный раствор N 4, мл Стандартный раствор N 3, мл Щавелевая кислота 2% раствор, мл Концентрация олова в градуировочном растворе, мкг/мл
1 0 - 10,0 0
2 0,5 - 9,5 0,05
3 1,0 - 9,0 0,10
4 2,0 - 8,0 0,20
5 5,0 - 5,0 0,50
6 10,0 - 0 1,00
7 - 1,5 8,5 1,50
8 - 2,0 8,0 2,00

Таблица 3

ШКАЛА ГРАДУИРОВОЧНЫХ РАСТВОРОВ ДЛЯ ОПРЕДЕЛЕНИЯ МЕДИ

Номер стандарта Стандартный раствор N 4, мл Щавелевая кислота 2% раствор, мл Концентрация меди в градуировочном растворе, мкг/мл
1 0 10,0 0
2 0,3 9,7 0,003
3 0,4 9,6 0,004
4 0,5 9,5 0,005
5 0,6 9,4 0,006
6 0,8 9,2 0,008
7 1,0 9,0 0,010

Таблица 4

ШКАЛА ГРАДУИРОВОЧНЫХ РАСТВОРОВ ДЛЯ ОПРЕДЕЛЕНИЯ КАДМИЯ

Номер стандарта Стандартный раствор N 3, мл Щавелевая кислота 2% раствор, мл Концентрация кадмия в градуировочном растворе, мкг/мл
1 0 10,0 0
2 0,1 9,9 0,01
3 0,2 9,8 0,02
4 0,5 9,5 0,05
5 1,0 9,0 0,10
6 2,0 8,0 0,20
7 5,0 5,0 0,50
8 10,0 0 1,00

Градуировочные растворы последовательно заливают в электролизер, продувают в течение 5 минут аргоном или азотом и полярографируют.

Режим полярографирования на полярографе ППТ-1: переменно-токовый, поляризующее напряжение от -0,275 В до 0,9 В, скорость развертки 4 мВ/сек., амплитуда 4 мВ, период капания 3 - 4 сек., диапазон тока 0,5 - 40 (x 100).

Режим полярографирования на приборе ПУ-1: переменно-токовый, трехэлектродный ТАСТ-режим; поляризующее напряжение от -0,1 до -1,0 В; амплитуда квадратно-волновой формы 50 мВ; задержка 4,1 с; скорость развертки 2 мВ/с; поляризация катодная; координаты самописца: X = 2 x 100 мВ/см; Y = 5 x 10 мкА/см.

Высоту пика меди измеряют при E1/2 = -0,36 В, свинца - 0,68 В, олова - 0,74 В, кадмия - 0,84 В.

Строят градуировочные графики зависимости высот пиков (мм) свинца, олова, меди и кадмия от концентрации их в растворе (мкг/мл).

Проверка градуировочных графиков проводится 1 раз в 2 недели или в случае использования новой партии реактивов и растворов.

Проведение измерения

Фильтр с отобранной пробой переносят в химический стакан, заливают 10 мл азотной кислоты (1:1) и нагревают на кипящей водяной бане в течение 5 - 10 минут при перемешивании стеклянной палочкой. Фильтр отжимают на стенке стакана, промывают дважды 5 - 7 мл воды, промывные воды сливают в тот же стакан, после чего фильтр удаляют из стакана. Раствор выпаривают на кипящей водяной бане досуха. Для полного удаления паров азотной кислоты приливают 5 мл воды и упаривают вновь досуха. Сухой остаток растворяют в 10 мл 2% щавелевой кислоты. Раствор переносят в электролизер, продувают в течение 5 минут аргоном или азотом и полярографируют аналогично градуировочным растворам.

Концентрацию свинца, олова, меди и кадмия в полярографируемом растворе пробы (мкг/мл) определяют по соответствующим градуировочным графикам или методом добавок.

Концентрацию металлов в воздухе (мг/куб. м) рассчитывают по формулам 3 или 4, 5 (Приложения 4.2 и 4.3)

3.3. ИОНОМЕТРИЧЕСКИЕ МЕТОДЫ

Измерение концентраций борной кислоты и борного ангидрида

Характеристика метода

Определение основано на измерении потенциала тетрафторборатного электрода на фоне фосфатного буферного раствора с pH 5,4 после переведения борат-ионов в тетрафторборат-ионы по реакции с фтористоводородной кислотой.

Отбор проб воздуха проводится с концентрированием на фильтр.

Нижний предел измерения борной кислоты в растворе - 0,1 мкг/мл.

Нижний предел измерения в воздухе: борной кислоты - 0,3 мг/куб. м, борного ангидрида - 0,2 мг/куб. м (при отборе 40 л воздуха).

Диапазон измеряемых концентраций борной кислоты от 0,3 до 250 мг/куб. м, борного ангидрида - от 0,2 до 143 мг/куб. м.

Определению не мешают фосфаты, фториды, карбонаты, 100-кратные количества ионов меди, цинка, никеля, марганца, алюминия.

Суммарная погрешность измерения не превышает +/- 15%.

Время выполнения измерения 45 мин., включая отбор проб 4 мин.

Приборы, аппаратура, посуда

pH-метр типа pH-121, pH-340 или иономер ЭВ-74.

Электрод индикаторный тетрафторборатный, ЭМ-BF4-01, ТУ 25-05-2721-80.

Электрод сравнения, хлоридсеребряный ЭЛВ-1 МЗ, ГОСТ 16286-70.

Мешалка магнитная.

Аспирационное устройство.

Фильтродержатель, ТУ 95.72.05-77.

Колбы мерные, ГОСТ 1770-74Е, вместимостью 25, 100 и 1000 мл.

Пипетки, ГОСТ 20292-74Е, вместимостью 1, 2, 5 и 10 мл.

Стаканы полиэтиленовые, вместимостью 25 и 50 мл.

Бутыли полиэтиленовые, ТУ 6-19-45-74, вместимостью 100 и 1000 мл.

Секундомер, ГОСТ 5072-79.

Баня водяная.

Реактивы, растворы, материалы

Кислота борная, ГОСТ 9658-75, хч.

Натрия тетрафторборат, ТУ 6-09-1460-76, хч, 0,1 М раствор.

Кислота фтористоводородная, ГОСТ 1048-73, хч.

Аммиак водный, ГОСТ 3760-64, хч.

Калий фосфорнокислый однозамещенный, ГОСТ 4198-75, чда, 0,067 М раствор. Готовят растворением 9,078 г соли в воде в мерной колбе вместимостью 1 л.

Натрий фосфорнокислый двузамещенный двуводный, ГОСТ 245-76, чда, 0,067 М раствор. Готовят растворением 11,876 г соли в воде в мерной колбе вместимостью 1 л.

Буферный раствор с pH 5,4. В мерную колбу вместимостью 1 л вносят 31 мл раствора фосфорнокислого двузамещенного натрия и доводят объем до метки раствором фосфорнокислого однозамещенного калия. Раствор хранят в полиэтиленовой бутыли. Раствор устойчив в течение 2-х месяцев.

Стандартный раствор борной кислоты N 1 с концентрацией 1 мг/мл готовят растворением 0,1000 г борной кислоты в дистиллированной воде в мерной колбе вместимостью 100 мл. Основной стандартный раствор следует хранить в полиэтиленовой бутыли. Раствор устойчив в течение 2 месяцев.

Стандартный раствор N 2 с концентрацией тетрафторборат-ионов, соответствующей концентрации борной кислоты 100 мкг/мл, получают следующим образом: в полиэтиленовый стакан вносят 2,5 мл стандартного раствора борной кислоты N 1 с концентрацией 1 мг/мл и 7,5 мл дистиллированной воды. К раствору прибавляют 0,2 мл концентрированной фтористоводородной кислоты и выдерживают на водяной бане при температуре 50 - 60 град. C в течение 30 мин. После охлаждения в стакан приливают 0,1 мл концентрированного раствора аммиака, количественно переносят содержимое стакана в мерную колбу вместимостью 25 мл и перемешивают. Раствор устойчив в течение 2-х недель при хранении в полиэтиленовой бутыли.

Стандартный раствор N 3 с концентрацией тетрафторборат-ионов, соответствующей содержанию борной кислоты 10 мкг/мл, готовят разбавлением в 10 раз стандартного раствора N 2 водой. Устойчив в течение 2 дней.

Фильтр АФА-ХП-20, АФА-ВП-20, АФА-ХА-20, ТУ 95.743-80.

Отбор пробы воздуха

Воздух с объемным расходом 10 л/мин. аспирируют через фильтр АФА, закрепленный в фильтродержателе. Для измерения 1/2 ПДК следует отобрать 40 л воздуха. Пробы хранятся в течение не менее двух недель.

Подготовка к измерению

Новый тетрафторборатный электрод вымачивают в 0,1 М растворе тетрафторбората натрия в течение 24 часов и затем 2 часа в дистиллированной воде. Далее электрод отмывают до потенциала ~ 250 мВ. Перед измерениями проверяют крутизну характеристики электрода (S). Если , электрод пригоден к работе.

Градуировочные растворы (устойчивы в течение одного дня) готовят согласно таблице в мерных колбах вместимостью 25 мл.

Таблица

ШКАЛА ГРАДУИРОВОЧНЫХ РАСТВОРОВ ДЛЯ ОПРЕДЕЛЕНИЯ БОРНОЙ КИСЛОТЫ

N стандарта Стандартный раствор N 3, мл Стандартный раствор N 2, мл Концентрация борной кислоты в градуировочном растворе, мкг/мл
1 - - 0 0
2 0,25 - 0,1 5,793
3 1,00 - 0,4 5,190
4 - 0,5 2,0 4,490
5 - 1,0 4,0 4,190
6 - 2,5 10,0 3,793
7 - 10,0 40,0 3,190
8 - 20,0 80,0 2,889

Во все колбы шкалы прибавляют по 5 мл фосфатного буферного раствора, доводят объем до метки водой и перемешивают.

Полученные растворы последовательно в порядке возрастания концентраций переносят в полиэтиленовый стакан, вместимостью 50 мл, отпускают в него измерительный электрод, хлоридсеребряный электрод сравнения, якорь магнитной мешалки и измеряют величину электродного потенциала при постоянном перемешивании магнитной мешалкой. Показания снимают через 3 минуты.

Строят градуировочный график зависимости потенциала электрода от отрицательного логарифма концентрации тетрафторборат-ионов (), выраженной в г-ион/л. Проверку градуировочного графика проводят по нескольким точкам в день анализа проб.

Проведение измерения

Фильтр переносят в полиэтиленовый стакан вместимостью 25 - 50 мл и отмывают 4 - 5 раз горячей (70 град. C) дистиллированной водой порциями по 5 мл при перемешивании стеклянной палочкой. Фильтр отжимают на стенке стакана, сливая раствор в мерную колбу вместимостью 25 мл. После охлаждения раствора до комнатной температуры доводят содержимое колбы до метки водой и перемешивают.

5 мл раствора пробы помещают в полиэтиленовый стакан вместимостью 25 мл, прибавляют 5 мл воды и 0,2 мл концентрированной фтористоводородной кислоты. Раствор выдерживают на водяной бане с температурой 50 - 60 град. C в течение 30 минут, после чего пробу охлаждают до комнатной температуры и приливают 0,1 мл концентрированного раствора аммиака. Содержимое стакана количественно переносят в мерную колбу вместимостью 25 мл, приливают 5 мл фосфатного раствора, доводят объем до метки водой и перемешивают.

Полученный раствор возвращают в полиэтиленовый стакан и измеряют величину электродного потенциала аналогично градуировочным растворам.

Содержание борной кислоты в анализируемом объеме раствора пробы в г-ион/л определяют по градуировочному графику.

Расчет концентрации

Концентрацию борной кислоты (C) в воздухе (мг/куб. м) вычисляют по формуле:

,

где:

а - anti() - антилогарифм концентрации тетрафторборат-ионов, выраженной в г-ион/л;

86,8 x 1000 - коэффициент пересчета концентрации тетрафторборат-иона из г-ион/л в мкг/мл;

0,71 - коэффициент пересчета концентрации тетрафторборат-иона на концентрацию борной кислоты;

25 - общий объем раствора пробы, мл;

5 - объем пробы, взятый для анализа, мл;

- объем воздуха, отобранный для анализа и приведенный к стандартным условиям, л. Коэффициент пересчета борной кислоты на борный ангидрид - 0,57.

Измерение концентрации фтористого водорода и солей фтористоводородной кислоты

Характеристика метода

Определение основано на измерении потенциала фторидного электрода на фоне 0,1 М раствора цитрата натрия с pH 5,2 - 5,6.

Отбор проб проводится с концентрированием на фильтр типа АФА, помещенный в фильтродержатель (для улавливания фторидов), и соединенную с ним сорбционную трубку (для улавливания фтористого водорода) (метод 1) или с использованием системы двух последовательно соединенных фильтродержателей, в один из которых помещен фильтр АФА (для улавливания фторидов), а во второй - беззольный фильтр "белая лента", импрегнированный двузамещенным фосфатом калия (для улавливания фтористого водорода) (метод 2).

Нижний предел измерения концентрации фтор-ионов в растворе 0,04 мкг/мл.

Нижний предел измерения концентрации в воздухе фтористого водорода 0,1 мг/куб. м, хорошо растворимых фторидов 0,25 мг/куб. м, плохо растворимых фторидов 1,0 мг/куб. м (при отборе 10 л воздуха).

Диапазоны измеряемых концентраций фтористого водорода от 0,1 до 5,0 мг/куб. м, хорошо растворимых фторидов от 0,25 до 12,5 мг/куб. м, плохо растворимых от 1,0 до 50,0 мг/куб. м.

Определению не мешают вещества, присутствующие в воздухе при процессах сварки.

Суммарная погрешность измерения не превышает +/- 15%.

Время выполнения измерения 40 минут, включая отбор пробы 3 мин.

Приборы, аппаратура, посуда

pH-метр типа pH-121, pH-340 или иономер ЭВ-74.

Мешалка магнитная ММ-2 или аналогичная.

Электрод фторидный, ЭF-У1, ТУ 48-1301-61-78.

Электрод хлоридсеребряный, ЭВЛ-1МЗ, ГОСТ 16286-70.

Аспирационное устройство.

Фильтродержатель, ТУ 95.72.05-77, с двумя конусами.

Печь муфельная, МП-2УМ.

Тигли платиновые с крышками, ГОСТ 6563-75.

Щипцы тигельные.

Груша резиновая.

Колбы мерные, ГОСТ 1770-74Е, вместимостью 25, 50, 100 и 1000 мл.

Пипетки, ГОСТ 20292-74Е, вместимостью 1, 2, 5 и 10 мл.

Стаканы химические, ГОСТ 25336-80Е, вместимостью 50 и 100 мл.

Цилиндры мерные, ГОСТ 1770-74Е, вместимостью 25 и 50 мл.

Бутыли полиэтиленовые, ТУ 6-19-45-74, вместимостью 100, 250 и 500 мл.

Мензурка полиэтиленовая, вместимостью 30 мл (аптечная).

Воронка стеклянная, ГОСТ 25336-82Е.

Сорбционная трубка стеклянная с насадкой из стеклянной крошки, СТ 212 или 312, ТУ 25-1110.039.20-84.

Полиэтиленовая Г-образная трубка, диаметром 7 - 10 мм, длиной 7 - 10 см.

Реактивы, растворы, материалы

Натрий фтористый, ГОСТ 4463-76, хч, перекристаллизованный из воды с осаждением этиловым спиртом и высушенный до постоянного веса при температуре 105 - 110 град. C, 0,1 М, 0,01 М, 0,001 М, 0,0001 М, 0,00001 М растворы. Для получения 0,1 М раствора 4,1990 г фтористого натрия растворяют в дистиллированной воде в мерной колбе вместимостью 1 л. Путем соответствующего разбавления водой 0,1 М раствора получают серию растворов меньшей концентрации. Растворы хранят в полиэтиленовых бутылях.

Натрий углекислый безводный, ГОСТ 83-79, хч.

Борная кислота, ГОСТ 9656-75, хч.

Натрий лимоннокислый, трехзамещенный (цитрат натрия), ГОСТ 22280-76, чда.

Этиловый спирт-ректификат, ГОСТ 5963-67 или ГОСТ 18300-72, перегнанный.

Кислота соляная, ГОСТ 3118-77, хч.

Глицерин, ГОСТ 6259-75, чда.

Калий углекислый безводный, ГОСТ 83-79, хч.

Калий фосфорнокислый двузамещенный, ГОСТ 2493-75, хч, чда, 10% водный раствор, хранят в полиэтиленовой емкости.

Буферный раствор с pH 5,2 - 5,6. Готовят растворением 35,76 г цитрата натрия в мерной колбе вместимостью 1 л в 500 мл дистиллированной воды. После растворения соли в колбу приливают 6,2 мл концентрированной соляной кислоты, 100 мл этилового спирта, доводят раствор до метки водой и тщательно перемешивают. Раствор устойчив в течение 2-х недель.

Поглотительный раствор для обработки сорбционных трубок. В мерную колбу вместимостью 50 мл вносят 1,5 г карбоната калия, 7,5 мл глицерина, доводят раствор до метки водой и перемешивают. Раствор устойчив в течение 2-х месяцев.

Основной раствор фторида натрия с концентрацией фтор-ионов 100 мкг/мл готовят растворением 0,2210 г фторида натрия в дистиллированной воде в мерной колбе вместимостью 1000 мл.

Раствор хранят в полиэтиленовой бутыли. Устойчив в течение 2-х недель.

Стандартный раствор с концентрацией фтор-ионов 10 мкг/мл готовят соответствующим разбавлением основного раствора буферным раствором. Раствор устойчив в течение недели.

Фильтры типа АФА.

Фильтры обеззоленные "синяя лента" и "белая лента", ТУ 6-09-1678-77.

Отбор пробы воздуха

Метод 1

Подготовка сорбционных трубок к отбору проб. Слой стеклянных гранул в трубке смачивают с помощью пипетки 0,2 мл поглотительного раствора карбоната калия и глицерина. Раствор распределяют по поверхности гранул с помощью резиновой груши, надетой на выходной конец трубки. Трубки закрывают заглушками и помещают в полиэтиленовый мешок. Срок хранения подготовленных трубок 2 недели.

Воздух с объемным расходом 3 л/мин. аспирируют через фильтр типа АФА, помещенный в фильтродержатель, и соединенную с ним с помощью Г-образной полиэтиленовой трубки сорбционную трубку. Во время отбора пробы трубка устанавливается вертикально.

Для измерения 1/2 ПДК фтористого водорода и солей фтористоводородной кислоты следует отобрать 10 л воздуха.

Пробы сохраняются в течение 2-х недель.

Метод 2

Подготовка фильтров для отбора проб.

Из фильтров "белая лента" вырезают кружки диаметром, равным диаметру фильтродержателя, и погружают их в 10% раствор фосфорнокислого калия, помещенного в полиэтиленовую емкость. После смачивания фильтры вынимают пинцетом и помещают в вертикальном положении в полиэтиленовые мензурки по нескольку штук для высыхания при комнатной температуре. Высушенные фильтры хранят в полиэтиленовой емкости с закрытой крышкой. Для выбора фильтров, содержащих минимальное количество фтора, следует из разных партий фильтров "белая лента" выбрать по 5 штук и после вышеуказанной обработки их 10% раствором фосфорнокислого калия провести анализ раствора по методике, описанной ниже. Партию фильтров, в которой обнаружено больше 1 мкг фтор-ионов, бракуют.

Воздух с объемным расходом 3 - 5 л/мин. аспирируют через систему двух последовательно соединенных фильтродержателей, в один из которых помещен фильтр АФА, а в другой - бумажный фильтр "белая лента", пропитанный раствором фосфорнокислого калия и высушенный.

Для измерения 1/2 ПДК фтористого водорода и солей фтористоводородной кислоты достаточно отобрать 10 л воздуха. Пробы хранятся в герметичной полиэтиленовой емкости или полиэтиленовом пакете в течение 1 месяца.

Подготовка к измерению

Подготовка фторидного электрода. Новый фторидный электрод выдерживают в 0,001 М растворе фтористого натрия в течение 24 часов и затем 2 часа в дистиллированной воде. Далее электрод отмывают до потенциала E = 300 - 330 мВ.

Проверяют крутизну характеристики электрода, для чего измеряют его потенциал в двух растворах фтористого натрия 0,0001 М и 0,00001 М и рассчитывают крутизну характеристики электрода по формуле:

,

где:

и - значения потенциалов для первого и второго растворов фтористого натрия, мВ;

и - отрицательные логарифмы концентрации ионов фтора первого и второго растворов.

Если , электрод пригоден к работе.

Градуировочные растворы (устойчивы в течение 2-х часов) готовят согласно таблице.

Таблица

ШКАЛА ГРАДУИРОВОЧНЫХ РАСТВОРОВ ДЛЯ ОПРЕДЕЛЕНИЯ ФТОРА

N стандарта Стандартный раствор N 2, мл Отрицательный логарифм концентрации фтора (pF) Концентрация фтора в градуировочном растворе, мкг/мл
1 2 3 4
1 0 - 0
2 0,1 5,66 0,04
3 0,2 5,38 0,08
4 0,25 5,26 0,1
5 0,75 4,8 0,3
6 1,25 4,58 0,5
7 2,5 4,28 1,0
8 3,75 4,10 1,5
9 5,0 3,96 2,0

Градуировочные растворы готовят согласно таблице в мерных колбах вместимостью 25 мл, доводя объем в каждой колбе до метки буферным раствором. Измеряют потенциал фторидного электрода в градуировочных растворах, относительно хлоридосеребряного электрода сравнения, используя для измерения стеклянный стакан вместимостью 50 мл. Измеряют потенциал фторидного электрода при постоянном перемешивании раствора магнитной мешалкой до установления постоянного значения (10 - 3 минуты).

Измерения проводят в порядке возрастания концентрации фтор-иона. Перед измерением потенциала в каждом градуировочном растворе электроды осушают фильтровальной бумагой, обязательно помещают в контрольный раствор (раствор N 1 шкалы стандартов) и выдерживают в нем до установления первоначального значения потенциала фторидного электрода в этом растворе.

При выдерживании фторидного электрода в контрольном растворе до установления первоначального потенциала целесообразно использовать отдельный якорь магнитной мешалки ("вертушку").

После проведения измерений электроды оставляют в растворе, соответствующем средней точке шкалы стандартов.

Строят градуировочный график зависимости электродного потенциала (E, мВ) от отрицательного логарифма концентрации фтор-иона, выраженной в г-ион/л (pF). Проверка градуировочного графика проводится каждые 2 - 3 дня или в случае использования новой партии реактивов.

Проведение измерения

Определение концентрации фтористого водорода

Метод 1

Сорбционную трубку протирают фильтровальной бумагой и помещают в высокий стакан вместимостью 100 мл входным отверстием вниз. Пленку поглотительного раствора смывают 25 мл буферного раствора, приливая его с помощью пипетки в трубку. Тщательно перемешивают раствор в стакане путем многократного прокачивания его через сорбционную трубку с помощью резиновой груши, надетой на выходной конец трубки. (Раствор не должен попадать в грушу!) Раствор переносят в измерительный стакан вместимостью 50 мл, опускают в него якорь магнитной мешалки, фторидный и хлоридсеребряный электроды и измеряют электродный потенциал после установления постоянного значения.

Перед измерением потенциала в растворе пробы якорь магнитной мешалки, фторидный и хлоридсеребряный электроды осушают фильтровальной бумагой, промывают контрольным буферным раствором и выдерживают в нем до установления первоначального значения, после чего вновь осушают и погружают их в анализируемый раствор.

Аналогично поступают после измерения каждого анализируемого раствора.

Метод 2

При отборе пробы воздуха на фильтр, импрегнированный фосфатом калия, фильтр помещают в полиэтиленовую мензурку, приливают 5 мл буферного раствора и перемешивают полиэтиленовой или стеклянной палочкой. Фильтр отжимают на стенке мензурки, раствор сливают в мерную колбу вместимостью 25 мл. Обработку фильтра повторяют еще 4 раза, каждый раз перенося смывы в ту же колбу. При этом степень десорбции фтор-ионов достигает 97%. Раствор в колбе доводят до метки буферным раствором, перемешивают, переносят в измерительный стакан. Измерение потенциала проводят так же, как указано выше.

Определение концентрации хорошо растворимых солей фтористоводородной кислоты

Фильтр АФА с отобранной пробой помещают в воронку с бумажным фильтром "синяя лента" и смывают дробными порциями буферным раствором в мерную колбу вместимостью 25 мл. Доводят объем раствора до метки буфером. 10 мл полученного раствора вносят в колбу вместимостью 25 мл, доводят объем до метки буферным раствором, перемешивают, переливают в электролитическую ячейку и измеряют потенциал фторидного электрода аналогично градуировочным растворам, как описано выше.

Определение концентрации плохо растворимых солей фтористоводородной кислоты

Фильтр АФА после обработки буферным раствором помещают в платиновый тигель, подсушивают и озоляют в муфельной печи при температуре 400 - 500 град. C. К остатку прибавляют 0,5 г карбоната натрия и 0,05 г борной кислоты, закрывают платиновой крышкой и сплавляют при 950 - 1000 град. C в течение 15 - 20 минут. После охлаждения плав растворяют в 20 мл воды, подкисленной 1 мл концентрированной соляной кислоты, при перемешивании на магнитной мешалке. Раствор количественно переносят в мерную колбу вместимостью 25 мл и доводят объем до метки водой (pH раствора 3 - 5).

2,5 мл полученного раствора плава вносят в мерную колбу вместимостью 25 мл и доводят до метки буферным раствором.

Раствор переносят в электролитическую ячейку и измеряют значение потенциала фтористого водорода, как описано выше.

Расчет концентраций фтористого водорода и солей фтористоводородной кислоты в воздухе

По градуировочному графику определяют соответствующий величине потенциала отрицательный логарифм концентрации фтор-иона (pF), выраженной в г-ион/л.

Концентрацию фтористого водорода в воздухе (C мг/куб. м) вычисляют по формуле:

.

Концентрацию солей фтористоводородной кислоты в воздухе (по фтор-иону) вычисляют по формуле:

,

где:

а - anti() - антилогарифм концентрации фтор-иона, выраженной в г-ион/л;

19 x - коэффициент пересчета концентрации фтор-иона из г-ион/л в мкг/мл;

в - объем раствора пробы, взятый для анализа, мл;

25 - общий объем раствора пробы, мл;

- объем воздуха, отобранный для анализа и приведенный к стандартным условиям, л.

3.4. АТОМНО-АБСОРБЦИОННЫЕ МЕТОДЫ

Измерение концентрации кобальта, никеля, меди, цинка, кадмия, свинца, железа, марганца, молибдена, олова, вольфрама, оксида ванадия и оксидов хрома

Характеристика метода

Метод основан на измерении абсорбции атомами исследуемого элемента резонансного излучения с соответствующей длиной волны. Атомизация осуществляется в пламени.

Отбор проб производится с концентрированием на фильтр.

Нижние пределы измерения металлов в растворе, в воздухе и диапазоны измеряемых концентраций в воздухе представлены в таблице 1.

Таблица 1

Элемент Оптимальный рабочий диапазон концентраций металла в фотометрируемом объеме раствора, мкг/мл Нижний предел измерения концентрации металла в воздухе, мг/м3 Объем отобранного воздуха, л Диапазон измеряемых концентраций в воздухе, мг/м3
1 2 3 4 5
Кобальт 0,1 - 20 0,01 100 0,01 - 2,0
Никель 0,05 - 5,0 0,005 100 0,005 - 0,5
Медь 0,2 - 50 0,02 100 0,02 - 5,0
Цинк 0,1 - 50 0,01 100 0,01 - 5,0
Марганец 0,2 - 30 0,02 100 0,02 - 3,0
Кадмий 0,2 - 20 0,02 100 0,02 - 2,0
Свинец 0,2 - 20 0,007 300 0,007 - 0,7
Хром 0,1 - 100 0,005 200 0,005 - 5,0
Олово 2 - 200 0,2 100 0,2 - 20
Железо 0,1 - 100 0,01 100 0,01 - 10,0
Молибден 5,0 - 200 0,5 100 0,5 - 20,0
Ванадий 1,5 - 150 0,05 300 0,05 - 5,0
Вольфрам 100 - 1500 3,3 300 3,3 - 50

Измерение концентрации каждого металла специфично в присутствии остальных при использовании моноэлементных ламп с полым катодом.

В присутствии относительно высоких концентраций железа из-за спектральных наложений последнее мешает определению ряда металлов, в частности кобальта и никеля. В этих случаях необходимо устанавливать концентрацию железа и вводить его в градуировочные растворы для определения указанных металлов в тех же количествах.

Суммарная погрешность измерений не превышает +/- 20%.

Время выполнения измерений (при условии определения всех элементов из одной пробы) 5 - 6 часов, включая отбор пробы 10 - 15 минут.

Аппаратура, приборы, посуда

Атомно-абсорбционный спектрофотометр любого типа с чувствительностью по определяемым элементам не ниже указанной в таблице 1.

Набор моноэлементных ламп с полым катодом в соответствии со списком определяемых элементов.

Аспирационное устройство.

Фильтродержатель, ТУ 95.72.05-77.

Баня песчаная, ТУ 46-775-77.

Тигли фарфоровые низкие N 3 и крышки к ним с ушками, ГОСТ 9447-78.

Стаканы химические, ГОСТ 1770-74, вместимостью 50 мл.

Пробирки химические, ГОСТ 25336-82, размером 15 x 150 мм.

Колбы мерные, ГОСТ 1770-74Е, вместимостью 50, 100 и 1000 мл.

Пипетки, ГОСТ 20292-74Е, вместимостью 1, 2, 5 и 10 мл.

Воронки стеклянные, ГОСТ 25336-82Е.

Флаконы и банки полиэтиленовые цилиндрические, ТУ 6-19-45-74, вместимостью 500 и 1000 мл.

Вся посуда обрабатывается в течение нескольких часов азотной кислотой, разбавленной 1:1, с последующим ополаскиванием бидистиллированной водой.

Реактивы, растворы, материалы

Все растворы готовят на бидистиллированной воде.

Аммоний ванадиевокислый, мета, ГОСТ 9336-75, чда.

Железо металлическое, восстановленное, ТУ 6-09-2227-72, хч.

Кадмия оксид, ГОСТ 11120-75, чда.

Кобальт (II) азотнокислый, 6-водный, ТУ 6-09-20-85-75, осч.

Марганец (II) сернокислый, 5-водный, ГОСТ 435-77, чда.

Медь (II) сернокислая, 5-водная, ГОСТ 4165-78, хч.

Никель двухлористый, 6-водный, ГОСТ 4038-79, хч.

Олово гранулированное, ТУ 6-09-2704-78, чда.

Свинец гранулированный, ТУ 6-09-3523-74, г.

Калий хромовокислый, ГОСТ 4458-75, хч.

Цинк гранулированный, ГОСТ 989-75, хч.

Молибдена (VI) оксид, ТУ 6-09-4471-77, хч.

Натрий вольфрамовокислый, 2-водный, ГОСТ 18289-78, чда.

Натрия гидроксид, ГОСТ 4328-77, хч, 2% и 10% растворы.

Спирт этиловый, ГОСТ 5962-67, ректификат.

Азотная кислота, ГОСТ 11125-73, осч, концентрированная, разбавленная 1:1 и 2 М раствор.

Соляная кислота, ГОСТ 14261-77, осч, концентрированная, 2 М раствор.

Хлорная кислота, ТУ 6-09-2878-73, хч.

Серная кислота, ГОСТ 4204-77, хч, 10% раствор.

Основные стандартные растворы с концентрацией каждого металла 1 мг/мл готовят из соответствующих металлов, их солей или оксидов (таблица 2) путем растворения взятых навесок в растворах кислот, щелочей или воде, переведения растворов в мерные колбы вместимостью 1 л и доведения объемов до метки водой. Растворы хранят в полиэтиленовых флаконах. Устойчивы в течение 6 месяцев.

Рабочие стандартные растворы с концентрацией металла 10 мкг/мл и менее готовят соответствующим разбавлением основного стандартного раствора водой непосредственно перед употреблением.

Ацетилен, ГОСТ 5457-75, в баллоне с редуктором.

Пропан, ГОСТ 5542-78, в баллоне с редуктором.

Закись азота, Государственная фармакопея СССР, статья 455, 10-е издание, 1968 г.

Фильтры АФА-ХА-20, ТУ 95-743-80.

Бумажные фильтры обеззоленные, ТУ 6-09-1678-77, "белая лента", "красная лента".

Таблица 2

ПРИГОТОВЛЕНИЕ ОСНОВНЫХ СТАНДАРТНЫХ РАСТВОРОВ

Элемент Исходный реагент Навеска, г Растворитель Концентрация металла, мг/мл
1 2 3 4 5
Кобальт Кобальт азотнокислый, 6-водный 4,9386 Вода 1,0
Никель Никель двухлористый, 6-водный 4,0490 -"- 1,0
Медь Медь (II) сернокислая, 5-водная 3,9295 -"- 1,0
Ванадий Аммоний ванадиевокислый, мета 2,2964 -"- 1,0
Хром Калий хромовокислый 3,7346 -"- 1,0
Марганец Марганец сернокислый, 5-водный 4,3881 10% раствор серной кислоты 1,0
Цинк Цинк гранулированный 1,0000 50 мл 5 М раствора соляной кислоты 1,0
Кадмий Кадмия оксид 1,1422 20 мл 5 М раствора соляной кислоты 1,0
Свинец Свинец гранулированный 1,0000 50 мл 2 М раствора азотной кислоты 1,0
Олово Олово гранулированное 1,0000 200 мл концентрированной соляной кислоты и 5 мл концентрированной азотной кислоты 1,0
Железо Железо металлическое 1,0000 20 мл 5 М раствора соляной кислоты и 5 мл концентрированной азотной кислоты 1,0
Вольфрам Натрий вольфрамовокислый, 2-водный 1,7942 100 мл 2% раствора гидроксида натрия 1,0
Молибден Молибдена оксид (VI) 1,5003 10 мл 10% раствора гидроксида натрия 1,0

Отбор проб воздуха

Воздух с объемным расходом 10 - 20 л/мин. аспирируют через фильтр АФА-ХА-20. Для измерения 1/2 ПДК металла следует отобрать 100 - 300 л воздуха (таблица 1). Отобранные пробы сохраняются в течение 2-х недель. Пробы, содержащие оксид хрома (VI), не хранятся.

Подготовка к измерению

Для построения градуировочных графиков готовят градуировочные растворы для определения каждого металла (не менее 4 - 5 концентраций), исходя из диапазона измеряемых концентраций (таблица 1) с использованием стандартных растворов с концентрацией 10 мкг/мл.

Градуировочные растворы подают в атомизатор и измеряют величину светопоглощения при соответствующей длине волны, указанной в таблице 3. Аналогично измеряют аналитический сигнал контрольного раствора. Условия фотометрирования представлены в таблице 3. Насадки для горелок выбирают в соответствии с типом пламени.

Таблица 3

УСЛОВИЯ СПЕКТРОФОТОМЕТРИРОВАНИЯ

Элемент Длина волны, нм Ширина щели, мм Тип пламени
Кобальт 240,7 0,2 Пропан - воздух
Никель 232,0 0,2 -"-
Медь 324,7 0,7 -"-
Марганец 279,5 0,7 -"-
Цинк 213,9 0,7 -"-
Кадмий 228,8 0,2 -"-
Свинец 283,3 0,7 -"-
Хром 357,9 0,7 Ацетилен - воздух
Железо 248,3 0,2 -"-
Молибден 313,3 0,7 -"-
Ванадий 318,5 0,7 Ацетилен - закись азота
Олово 235,5 0,2 -"-
Вольфрам 255,1 0,2 -"-

Проводят пять параллельных измерений каждой концентрации. Для каждого металла строят градуировочный график зависимости величины светопоглощения растворов от концентрации металла в растворе (мкг/мл). Проверку градуировочных графиков по нескольким точкам осуществляют в день анализа проб.

Проведение измерения

При наличии хрома (VI) фильтр с отобранной пробой помещают на стеклянную воронку, смачивают 2 - 3 каплями этилового спирта и обрабатывают 10 мл теплой воды. Фильтрат подают в атомизатор и анализируют на содержание хрома (VI). Для определения остальных металлов подсушенный фильтр переносят в тигель и обрабатывают 1 мл концентрированной соляной кислоты и 0,5 мл концентрированной азотной кислоты.

Затем к раствору добавляют 1 мл хлорной кислоты. Тигель ставят на песчаную баню и медленно упаривают до влажных солей. Охлажденный остаток растворяют в 10 мл воды. Раствор при необходимости фильтруют, подают в атомизатор и фотометрируют аналогично градуировочным растворам. Одновременно с пробами аналогичным образом обрабатывают 3 - 5 чистых фильтров той же партии (контрольные пробы).

Концентрацию металла в мкг/мл в анализируемой пробе находят по градуировочным графикам.

Концентрацию металла в воздухе (мг/куб. м) рассчитывают по формуле 3 (Приложение 4.2).

Коэффициент пересчета хрома на оксид хрома (VI) - 1,92.

Коэффициент пересчета хрома на оксид хрома (III) - 1,46.

Коэффициент пересчета ванадия на оксид ванадия (V) - 1,58.

Измерение концентрации оксида алюминия

Характеристика метода

Метод основан на измерении абсорбции атомами алюминия резонансного излучения с длиной волны 309,3 нм. Атомизация осуществляется в пламени ацетилен - закись азота.

Отбор проб воздуха проводится с концентрированием на фильтр.

Нижний предел измерения содержания алюминия в растворе 1 мкг/мл.

Нижний предел измерения оксида алюминия в воздухе 1 мг/куб. м (при отборе 50 л воздуха).

Диапазон измеряемых концентраций оксида алюминия в воздухе от 1 до 100 мг/куб. м.

Определению не мешают 10-кратные количества марганца, 50-кратные количества хрома, свинца, никеля, титана, стронция, кремния, железа, цинка, бария, фтора.

Суммарная погрешность измерения не превышает +/- 20%.

Время выполнения измерения, включая отбор проб, 1,5 часа.

Приборы, аппаратура, посуда

Атомно-абсорбционный спектрофотометр с атомизацией в пламени.

Аспирационное устройство.

Фильтродержатель, ТУ 95.72.05-77.

Тигли платиновые, ГОСТ 6563-75.

Щипцы тигельные с платиновыми наконечниками.

Печь муфельная, МУ-2УМ.

Колбы мерные, ГОСТ 1770-74Е, вместимостью 25, 50 и 100 мл.

Пипетки, ГОСТ 20292-74Е, вместимостью 1, 2, 5 и 10 мл.

Пробирки химические, ГОСТ 10515-75, размером 15 x 150 мм.

Реактивы, растворы, материалы

Алюминий гранулированный, ТУ 6-09-3742-74, чда.

Калия пиросульфат (калий сернокислый пиро), ГОСТ 7172-76, чда.

Кислота соляная, ГОСТ 3118-77, хч, разбавленная 1:1.

Стандартный раствор N 1 с концентрацией алюминия 1 мг/мл готовят растворением 0,1000 г алюминия в 20 мл соляной кислоты (1:1). Раствор количественно переводят в мерную колбу вместимостью 100 мл и доводят до метки водой.

Стандартный раствор N 2 с концентрацией алюминия 100 мкг/мл (устойчив в течение недели) готовят соответствующим разбавлением стандартного раствора N 1 дистиллированной водой.

Ацетилен, ГОСТ 5457-75, в баллоне с редуктором.

Закись азота, Гос. фармакопея СССР, 1968, статья 455, 10-е издание.

Фильтры АФА-ХП, АФА-ВП и АФА-ХА, ТУ 95.743-80.

Отбор проб воздуха

Воздух с объемным расходом 10 л/мин. аспирируют через фильтр АФА, помещенный в фильтродержатель. Для измерения 1/2 ПДК достаточно отобрать 50 л воздуха. Отобранные пробы хранятся в течение месяца.

Подготовка к измерению

Градуировочные растворы (устойчивы в течение рабочего дня) готовят согласно таблице.

Таблица

ШКАЛА ГРАДУИРОВОЧНЫХ РАСТВОРОВ ДЛЯ ОПРЕДЕЛЕНИЯ АЛЮМИНИЯ

Номер стандарта Ст. раствор N 1, мл Дистиллированная вода, мл Концентрация алюминия в градуировочном растворе, мкг/мл
1 0,0 10,0 0,0
2 0,1 9,9 1,0
3 0,2 9,8 2,0
4 0,5 9,5 5,0
5 1,0 9,0 10,0
6 2,0 8,0 20,0
7 5,0 5,0 50,0
8 10,0 0,0 100,0

Градуировочные растворы подают в распылительную камеру прибора, где происходит разложение растворов в атомные пары, и измеряют поглощение излучения при длине волны 309,3 нм.

Условия фотометрирования:

Длина волны - 309,3 нм.

Ширина щели - 0,2 мм.

ФЭУ - 39 А.

Постоянная времени - 1 или 5.

Поддиапазон измерений 2:1 или 5:1.

Сигнал - 3.

Расход ацетилена - 700 л/ч.

Расход закиси азота - 400 л/ч.

Строят градуировочный график зависимости значения светопоглощения растворов от концентрации алюминия (мкг/мл), проверку которого проводят по нескольким точкам в день анализа проб.

Проведение измерения

Фильтр с отобранной пробой помещают в платиновый тигель и озоляют при температуре 500 град. C. После охлаждения в тигель вносят 0,5 г пиросульфата калия, хорошо перемешивают и сплавляют, постепенно повышая температуру до 650 - 700 град. C, выдерживают при данной температуре 10 мин. По охлаждении плав растворяют в горячей воде и количественно переносят в мерную колбу вместимостью 25 мл. Анализируемый раствор пробы подают в атомизатор прибора и фотометрируют аналогично градуировочным растворам. Подобным образом анализируют "холостую" пробу.

Концентрацию алюминия в мкг/мл в анализируемом растворе находят по градуировочному графику.

Концентрацию оксида алюминия в воздухе (мг/куб. м) рассчитывают по формуле 3 (Приложение 4.2).

Коэффициент пересчета алюминия на оксид алюминия - 1,88.

Измерение концентрации оксида кальция

Характеристика метода

Метод основан на измерении абсорбции атомами кальция резонансного излучения с длиной волны 429,7 нм. Атомизация осуществляется в пламени.

Отбор проб воздуха проводится с концентрированием на фильтр.

Нижний предел измерения содержания оксида кальция в растворе 0,5 мкг/мл.

Нижний предел измерения в воздухе 0,25 мг/куб. м (при отборе 20 л воздуха).

Диапазон измеряемых концентраций в воздухе от 0,25 до 12,5 мг/куб. м.

Определению не мешают 10-кратные количества марганца, 25-кратные количества хрома и цинка, 50-кратные количества железа, 100-кратные количества никеля.

Мешает титан, даже следы. Мешающее влияние титана устраняется проведением атомизации пробы в пламени закись азота - ацетилен.

Суммарная погрешность измерения не превышает +/- 20%.

Время выполнения измерений 30 минут, включая отбор пробы 10 минут.

Приборы, аппаратура, посуда

Атомно-абсорбционный спектрофотометр с атомизацией в пламени.

Аспирационное устройство.

Фильтродержатель, ТУ 95.72.05-77.

Колбы мерные, ГОСТ 1770-74Е, вместимостью 25, 50 и 100 мл.

Стаканы химические, ГОСТ 25336-82Е, вместимостью 50 мл.

Пипетки, ГОСТ 20292-74Е, вместимостью 1, 2, 5 и 10 мл.

Пробирки химические, ГОСТ 10515-75, размером 15 x 150 мм.

Реактивы, растворы, материалы

Кальция оксид, ГОСТ 8677-66, хч.

Спирт этиловый, ГОСТ 18300-72.

Кислота азотная, ГОСТ 4461-77, хч, 5% раствор.

Стандартный раствор N 1 оксида кальция с концентрацией 1 мг/мл готовят растворением 0,1000 г оксида кальция в 5% растворе азотной кислоты в мерной колбе вместимостью 100 мл. Раствор устойчив в течение месяца.

Стандартные растворы N 2 с концентрацией оксида кальция 100 мкг/мл (устойчив в течение недели) и N 3 с концентрацией 10 мкг/мл (устойчив в течение рабочего дня) готовят путем соответствующего разбавления стандартного раствора N 1 5% раствором азотной кислоты.

Ацетилен, ГОСТ 5457-75, в баллоне с редуктором.

Фильтр типа АФА, ТУ 95.743-80.

Отбор проб воздуха

Воздух с объемным расходом 10 л/мин. аспирируют через фильтр типа АФА, помещенный в фильтродержатель. Для измерения 1/2 ОБУВ, установленного для аэрозолей щелочей (ориентировочный), достаточно отобрать 20 л воздуха.

Отобранные пробы хранятся в течение 2 недель.

Подготовка к измерению

Градуировочные растворы (устойчивы в течение суток) готовят согласно таблице.

Таблица

ШКАЛА ГРАДУИРОВОЧНЫХ РАСТВОРОВ ДЛЯ ОПРЕДЕЛЕНИЯ ОКСИДА КАЛЬЦИЯ

Номер стандарта Стандартный раствор N 3, мл Стандартный раствор N 2, мл Азотная кислота, 5% раствор, мл Концентрация оксида кальция в градуировочном растворе, мкг/мл
1 0 0 10,0 0
2 0,5 - 9,5 0,5
3 1,0 - 9,0 1,0
4 - 0,5 9,5 5,0
5 - 1,0 9,0 10,0
6 - 2,5 7,5 25,0

Градуировочные растворы подают в распылительную камеру прибора, где происходит разложение растворов в атомные пары, и измеряют поглощение излучения при длине волны 422,7 нм.

Условия фотометрирования:

Длина волны - 422,7 нм.

Ширина щели - 0,1 мм.

ФЭУ - 39 А.

Постоянная времени - 1.

Поддиапазон измерений - 1:1.

Сигнал - 2.

Расход ацетилена - 130 л/ч.

Расход воздуха - 680 л/ч.

Строят градуировочный график зависимости величины светопоглощения растворов от концентрации оксида кальция в мкг/мл, проверку которого проводят по нескольким точкам в день анализа проб.

Проведение измерения

Фильтр с отобранной пробой помещают в стакан, смачивают 2 - 3 каплями этанола и обрабатывают 10 мл 5% раствора азотной кислоты. Выдерживают при перемешивании в течение 10 минут, затем фильтр отжимают и раствор переливают в пробирку. При необходимости раствор фильтруют через фильтр "синяя лента".

Анализируемый раствор пробы подают в атомизатор прибора и фотометрируют аналогично градуировочным растворам.

Концентрацию оксида кальция в анализируемом растворе пробы в мкг/мл находят по градуировочному графику.

Концентрацию оксида кальция в воздухе (мг/куб. м) рассчитывают по формуле 3 (Приложение 4.2).

3.5. ГАЗОХРОМАТОГРАФИЧЕСКИЕ МЕТОДЫ

Измерение концентрации оксида углерода <*>

<*> Допускается измерение концентрации оксида углерода с помощью индикаторных трубок по ГОСТ 12.1.014-84.

Характеристика метода

Определение основано на использовании метода реакционной газовой хроматографии, включающего разделение оксида углерода и сопутствующих компонентов на колонке с молекулярными ситами, конверсию оксида углерода в метан и детектирование метана пламенно-ионизационным детектором.

Отбор проб проводится без концентрирования.

Нижний предел измерения в хроматографируемом объеме воздуха - 0,001 мкг.

Нижний предел измерения в воздухе 0,5 мг/куб. м.

Диапазон измеряемых концентраций оксида углерода в воздухе от 0,5 до 500 мг/куб. м.

Определению не мешают двуокись углерода, метан и другие углеводороды.

Суммарная погрешность измерения не превышает +/- 4%.

Время измерения 10 минут, включая отбор пробы.

Приборы, аппаратура, посуда

Хроматограф с пламенно-ионизационным детектором, ТУ 25-05.2.815-82.

Колонка хроматографическая из нержавеющей стали длиной 2 м и внутренним диаметром 3 мм.

Метанатор - трубка из нержавеющей стали длиной 25 см и внутренним диаметром 3 мм.

Аспирационное устройство.

Система газоснабжения СГС-2, ТУ 6-09-1.550.044-72.

Микрокомпрессор ВК-1, ТУ 25-06.926-77.

Печь муфельная электрическая, ТУ 16-931-098-67 или ПМ-2УМ.

Набор сит "Физприбор".

Секундомер, ГОСТ 5072-79.

Шприцы цельностеклянные, ТУ 64-1-1279-75, вместимостью 100 мл.

Пипетки газовые, ГОСТ 1770-74, вместимостью 250, 500 мл.

Реактивы, растворы, материалы

Натрия хлорид, ГОСТ 4233-77, хч, насыщенный раствор.

Молекулярные сита CaA, ТУ 38401-231-78.

Проволока нихромовая марки Х20Н80, ГОСТ 12766-67.

Газообразный воздух в баллоне с редуктором или от микрокомпрессора, ГОСТ 11882-73.

Газообразный азот (или гелий) в баллоне с редуктором, ГОСТ 9293-74.

Газообразный водород в баллоне с редуктором, ГОСТ 3022-80, или от системы газоснабжения.

Аттестованная смесь оксида углерода в баллоне с редуктором (выпускаются Балашихинским кислородным заводом).

Отбор проб воздуха

Отбор проб воздуха проводят в газовые пипетки или цельностеклянные шприцы. Десятикратный объем воздуха протягивают с помощью аспирационного устройства со скоростью 0,1 - 0,5 л/мин. Пипетки закрывают заглушками.

Срок хранения проб, отобранных в газовые пипетки, 2 недели.

Подготовка к измерению

Подготовка метанатора.

Нихромовую проволоку диаметром 0,15 - 0,24 мм нарезают кусочками до 3 мм, прокаливают в муфеле при температуре 1000 град. C в течение двух часов. Охлажденным катализатором механически заполняют метанатор, концы которого закрывают пробками из стекловаты. Метанатор, согнутый в виде U-образной трубки, помещают в испаритель, изолируют стекловатой и закрывают металлическим кожухом. Собирают газовую схему согласно рисунку и проводят активацию катализатора в течение 6 часов в токе водорода при температуре 325 град. C (нагрев метанатора обеспечивается термостатом испарителя).

Молекулярные сита CaA измельчают, отсеивают фракцию 0,25 - 0,5 мм и прокаливают при температуре 350 град. C в течение четырех часов. Охлажденным в эксикаторе адсорбентом механически заполняют колонку.

Перед началом работы адсорбент дополнительно активизируют пропусканием газа-носителя (при отсоединенном выходе колонки) при температуре 250 град. C в течение пяти часов.

Ввод пробы в хроматограф осуществляют краном - дозатором через дозирующую петлю объемом 2 мл. Для этого 20 мл воздуха отбирают из баллона с аттестованной смесью углерода и продувают дозирующую петлю через кран-дозатор.

Условия анализа:

Длина колонки 2 м

Диаметр колонки 3 мм

Наполнитель колонки молекулярные сита CaA,

фракция 0,25 - 0,5 мм

Температура колонки 80 град. C

Температура метанатора 325 град. C

Газ-носитель азот или гелий

Скорость потока газа-носителя 35 мл/мин.

Скорость потока водорода 35 мл/мин.

Скорость потока воздуха 270 мл/мин.

Скорость диаграммной ленты 10 мм/мин.

Объем анализируемой пробы 2 мл

Ориентировочное время удерживания CO 1 мин. 50 сек.

Проведение измерения

При определении оксида углерода в газовой фазе пробу воздуха из пипетки или шприца вытесняют в дозирующую петлю насыщенным раствором хлорида натрия.

Количественное определение оксида углерода проводят методом сравнения. Для этого перед анализом пробы и после анализа вводят в хроматограф аттестованную смесь оксида углерода аналогично пробам.

Концентрация оксида углерода и аттестованной смеси должна быть близка по величине к анализируемой.

Расчет концентрации

Концентрацию оксида углерода "C" (мг/куб. м) воздуха вычисляют по формуле:

,

где:

а - количество оксида углерода в объеме аттестованной смеси,

введенной в хроматограф, мкг;

- высота пика оксида углерода в аттестованной смеси, мм;

- высота пика оксида углерода в пробе, мм;

v - объем дозы, мл;

- коэффициент пересчета.

3.6. ТИТРИМЕТРИЧЕСКИЕ МЕТОДЫ

Измерение концентрации оксида кальция

Характеристика метода

Определение основано на осаждении кальция в виде оксалата, переведении его в раствор путем обработки серной кислотой и титровании оксалат-ионов раствором перманганата калия.

Отбор проб воздуха проводится с концентрированием на фильтр.

Нижний предел измерения оксида кальция в анализируемом объеме раствора 14,0 мкг.

Нижний предел измерения в воздухе 0,25 мг/куб. м (при отборе 280 л воздуха).

Диапазон измеряемых концентраций в воздухе от 0,25 до 5,0 мг/куб. м.

Определению не мешают железо, марганец, магний, алюминий.

Суммарная погрешность измерения не превышает +/- 25%.

Время выполнения измерения 2,5 часа, включая отбор проб 30 минут.

Приборы, аппаратура, посуда

Микробюретка, ГОСТ 1770-74Е, вместимостью 2 мл.

Центрифуга электрическая лабораторная.

Аспирационное устройство.

Фильтродержатель, ТУ 95.72.05-77.

Баня водяная.

Стаканы химические, ГОСТ 25336-82Е.

Пробирки центрифужные, ГОСТ 25336-82.

Пипетки, ГОСТ 20292-74Е, вместимостью 1, 2, 5 и 10 мл.

Цилиндры мерные, ГОСТ 1770-74Е, вместимостью 25, 50 и 100 мл.

Колбы мерные, ГОСТ 1770-74Е, вместимостью 100 и 1000 мл.

Реактивы, растворы, материалы

Кислота азотная, ГОСТ 4461-77, хч, 2% и 10% растворы.

Кислота серная, ГОСТ 4204-77, хч, 1 н. раствор.

Аммиак водный, ГОСТ 3760-64, хч, чда, концентрированный и 2% раствор.

Аммоний щавелевокислый, 1-водный, ГОСТ 5712-78, хч, насыщенный на холоду.

Спирт этиловый, ГОСТ 18300-72 или 5963-67.

Калий марганцевокислый, ТУ 6-09-2540-72, 0,01 н. раствор, готовят из фиксанала.

Фильтры типа АФА, ТУ 95-743-80.

Фильтры бумажные, обеззоленные, ТУ 6-09-1678-77, "синяя лента".

Бумага индикаторная, универсальная pH 1 - 10, ТУ 6-09-1881-71.

Отбор проб

Воздух с объемным расходом 15 - 20 л/мин. аспирируют через фильтр АФА, помещенный в фильтродержатель. Для измерения 1/2 ОБУВ, установленного для аэрозолей и щелочей (ориентировочный), следует отобрать 280 л воздуха. Отобранные пробы хранятся в течение 2 недель.

Проведение измерения

Фильтр с отобранной пробой помещают в стакан, смачивают 2 - 3 каплями спирта и обрабатывают 10 мл 10% раствора азотной кислоты. Оставляют на 10 - 15 минут, затем фильтр отжимают, а раствор фильтруют.

2 мл азотнокислого раствора пробы помещают в центрифужную пробирку и нейтрализуют сначала концентрированным раствором аммиака (0,2 - 0,25 мл), а затем 2% раствором аммиака до pH 5 - 6; если pH раствора будет щелочным, его снова нейтрализуют 2% раствором азотной кислоты (по универсальной индикаторной бумаге). После этого в пробирку приливают 1 мл насыщенного раствора щавелевокислого аммония, взбалтывают и оставляют на 30 минут. По истечении этого времени раствор центрифугируют в течение 5 минут, затем раствор сливают, внешние стенки пробирки вытирают фильтровальной бумагой, а внутреннюю смывают 5 мл 2% раствора аммиака и снова центрифугируют. Обработку повторяют 2 - 3 раза.

Отмытый осадок оксалата кальция растворяют в 2 мл 1 н. раствора серной кислоты. Пробирку помещают в водяную баню и нагревают до 70 - 75 град. C. Горячий раствор титруют в пробирке 0,01 н. раствором перманганата калия до розовой окраски, не исчезающей в течение 1 минуты. В таких же условиях ставят контрольный опыт с фильтром и реактивами.

Расчет концентрации

Концентрацию оксида кальция "C" в воздухе (мг/куб. м) вычисляют по формуле:

,

где:

- количество раствора перманганата калия, пошедшее на титрование контрольного раствора, мл;

а - количество раствора перманганата калия, пошедшее на титрование пробы, мл;

в - общий объем раствора пробы, мл;

б - объем пробы, взятый на титрование, мл;

0,28 - коэффициент пересчета (1 мл 0,01 н. раствора перманганата калия соответствует 0,28 мг CaO);

- объем воздуха, отобранный для анализа и приведенный к стандартным условиям, л.

Приложение 1

ФИЗИКО-ХИМИЧЕСКИЕ СВОЙСТВА ВРЕДНЫХ ВЕЩЕСТВ, ВЫДЕЛЯЮЩИХСЯ В ВОЗДУХ ПРИ ПРОВЕДЕНИИ ДУГОВЫХ И ПЛАЗМЕННЫХ ПРОЦЕССОВ

N Вещество Химическая формула Молекулярная масса Агрегатное состояние вещества Плотность, г/см3 Тпл., °C Ткип., °C Растворимость Примечание
в воде в кислотах в щелочах
1 2 3 4 5 6 7 8 9 10 11 12
1 Азота (II) оксид NO 30,0 Газ без цвета и запаха 1,34 х -163,6 -151,8 0,047 (20 град.) н.р. н.р.  
2 Азота (IV) оксид NO2 46,0 Газ буро-красного цвета с характерным запахом 3,3 х -10,2 22,4 х.р. - -  
3 Алюминий Al 26,9 Металл серебристо-белого цвета 2,70 660 2500 н.р. р. р. При нагревании растворим в органических кислотах
4 Алюминия оксид Al2O3 101,9 Аморфный порошок белого цвета 3,50 - 3,97 2050 2980 н.р. почти н.р. почти н.р. В растворимое состояние переводят путем сплавления со щелочами или пиросульфатом калия
5 Борный ангидрид B2O3 69,6 Бесцветные гигроскопические кристаллы 1,78 - 1,85 557 1860 х.р. - х.р.  
6 Борная кислота H3BO3 61,8 Бесцветные кристаллы 1,43 - 1,49 185 - р. - х.р. Растворяется в этаноле, глицерине
7 Ванадий V 50,9 Металл серебристого цвета 6,11 1715 3400 н.р. р. в азотной, плавиковой кислотах и царской водке н.р.  
8 Ванадия оксид (V) (ванадиевый ангидрид) V2O5   Кристаллы красно-желтого или красного цвета 3,36 670 - р. х.р. х.р.  
9 Ванадия оксид (III) V2O3 149,8 Черный кристаллический порошок 5,84 1970 - н.р. сл.р.
(х.р. в кипящей азотной кислоте, плавиковой кислоте)
н.р.  
10 Вольфрам W 183,8 Металл светло-серого цвета 19,3 3410 5930 - х.р. в.р. смеси с плавиковой и азотной кислот в кипящих щелочах При прокаливании до 400 - 500 °C превращается в трехокись вольфрама
11 Вольфрама оксид (VI) WO3 231,8 Тяжелый порошок канареечного цвета 7,16 1470 - н.р. только в плавиковой кислоте р. Возгоняется при температурах выше 1750 °C
12 Железо Fe 55,8 Металл серебристо-белого цвета 7,87 1539 3200 н.р. х.р. пр. н.р. в конц. растворах серной кислоты н.р. Окисляется в присутствии влаги и кислорода
13 Железа оксид (III) Fe2O3 159,7 Кристаллы от темно-красного до черно-фиолетового цвета 4,69 - 5,25 1562 - н.р. х.р. н.р.  
14 Кадмий Cd 112,4 Металл серебристо-белого цвета 8,65 321,03 767 - х.р. - В порошке загорается
15 Кадмия оксид CdO 128,3 Кристаллы или аморфная масса коричневого цвета 8,15 - крист.
6,95 - аморф.
900 - сл.р. х.р. -  
16 Кальция оксид CaO 56,0 Аморфный порошок белого цвета 3,16 2580 2850 х.р. х.р. -  
17 Кобальт Co 58,9 Металл, похожий на сталь с синеватым отливом 8,84 1492 3100 н.р. р. в разбавленной азотной и серной кислотах, в царской водке -  
18 Кобальта оксид CoO 74,9 Порошок оливково-зеленого цвета 5,68 1935 - н.р. л.р. н.р. При 2800° разлагается с потерей кислорода
19 Магний Mg 24,3 Металл серебристо-белого цвета 1,74 651 1107 р. при нагревании х.р. - Растворяется при нагревании в спирте
20 Магния оксид (магнезия) MgO 40,3 Рыхлый порошок белого цвета 3,5 - 3,9 2500 2800 - х.р. -  
21 Марганец Mn 54,9 Металл серебристо-белого цвета 7,2 - 7,4 1244 2095 - х.р. - Растворим в уксусной кислоте
22 Марганца оксид MnO 70,9 Кристаллы серо-зеленого цвета 5,18 1650 - мало р. р. - При 3400° возгоняется с диссоциацией
23 Марганца диоксид MnO2 86,9 Порошок от серого до серо-черного цвета 5,026 - - мало р. х.р. н.р. Растворим в перекиси водорода, особенно хорошо в кислой среде
24 Медь Cu 63,5 Металл красноватого цвета 8,92 1083 2350 н.р. р. н.р.  
25 Меди оксид (II) CuO 79,5 Кристаллы или порошок черного цвета 6,4 - 6,45 - - н.р. х.р. -  
26 Молибден Mo 95,9 Металл светло-серого цвета 10,2 2630 4800 н.р. р. в царской водке, смеси азотной и плавиковой кислот, в концентрированной азотной и при нагревании в концентрированной серной кислотах сл.р.  
27 Молибдена оксид (VI) MoO3 143,9 Бесцветные кристаллы с зеленоватым оттенком 4,69 795 1155 мало р. р. в плавиковой и конц. серной кислотах легко р. Растворим в растворах аммиака и карбонатов
28 Никель Ni 58,7 Металл 8,90 1453 3000 н.р. х.р. н.р.  
29 Никеля оксид NiO 74,7 Кристаллы зеленого цвета 7,45 1950 - н.р. х.р. н.р. При прокаливании переходит в серо-черные кристаллы, трудно растворимые в кислотах
30 Озон O3 48 Газ голубоватого цвета с резким запахом, взрывоопасен 2,145 х -192,7 -111,9 р. р. в уксусной кислоте - Растворим в тетрахлорметане
31 Олово Sn 118,7 Металл серого цвета с синеватым оттенком 11,34 327,4 1740 н.р. х.р. в азотной, крепкой соляной кислотах р. при кипячении  
32 Свинец Pb 207,2 Металл серого цвета с синеватым оттенком 11,34 327,4 1740 сл.р. при доступе кислорода воздуха х.р. в азотной кислоте, при доступе кислорода в уксусной и разбавленных минеральных тр.р.  
33 Свинца оксид PbO 223,2 Рыхлый порошок желтого или красного цвета 9,35 и 9,63 886 1472 почти н.р. х.р. р. Тр.р. в растворах ацетата, тартрата аммония
34 Титан Ti 47,9 Металл серебристо-белого цвета 4,5 1670 3227 н.р. р. в горячей азотной, плавиковой и при нагревании в разбавленной соляной кислотах н.р.  
35 Титана диоксид TiO2 79,9 Порошок белого цвета 4,18 - 4,25 1850 ок. 3000 н.р. н.р. - В раствор может быть переведен при длительном кипячении с концентрированной серной кислотой, взаимодействием с плавиковой кислотой или сплавлением с гидросульфатом натрия или калия
36 Углерода монооксид (угарный газ) CO 28,0 Газ без цвета и запаха - -191,5 -205 тр.р. - -  
37 Фтористый водород HF 20,0 Бесцветный газ 0,9885 (12°) (жидкого) -83,37 19,43 х.р. - х.р.  
38 Фторид натрия NaF 42,0 Бесцветные кристаллы 2,79 992 1695 4,1 (20°) - - Не растворим в спирте
39 Фторид калия KF 58,1 Бесцветные кристаллы 2,505 857 1500 96,0 (25°) - - Расплывается на воздухе
40 Фторид лития LiF 25,9 Бесцветные кристаллы 2,635 (20°) 870 1681 0,25 (20°) х.р. азотной, серной и плавиковой кислотах р. при нагревании Не растворим в органических растворителях
41 Фторид алюминия AlF3 84,0 Бесцветные кристаллы 3,10 1040 1256 0,56 (25°) р. только в кипящей серной кислоте н.р.  
42 Фторид кальция CaF2 78,1 Бесцветные кристаллы 3,18 1360 2500 0,017 (20°) - -  
43 Криолит Na3AlF6   Бесцветные кристаллы 2,95 - 3,01 1000 - 1009 - 0,035 (25°) - р. при кипячении  
44 Хром Cr 52,00 Металл серо-стального цвета, хрупкий 7,19 1890 2480 н.р. х.р. в разбавленных растворах соляной и серной кислот, т.р. в конц. азотной и серной кислотах н.р.  
45 Хрома оксид (III) Cr2O3 152,0 Кристаллы темно-зеленого цвета 5,21 2275 - н.р. тр.р. н.р. Легко переходит в раствор с раствором щелочного бромата при нагревании
46 Хрома оксид (VI) CrO3 100,0 Кристаллические иглы темно-красного цвета 2,80 170 - 196 - х.р. х.р. х.р. Сильный окислитель, легко восстанавливается до Cr (III). Не растворяется в уксусной кислоте
47 Цинк Zn 65,4 Блестящий металл голубовато-серебристого цвета 7,14 419,5 906 +/- 1 н.р. х.р. р.  
48 Цинка оксид ZnO 81,4 Порошок бесцветный или кристаллы гексогональной формы 5,70 - - тр.р. х.р. р. T возг. 1800 °C. Растворим в аммиаке
49 Цирконий Zr 91,2 Металл, похожий на сталь 6,49 1857 3600 н.р. н.р. на холоде, р. в горячей 60% серной кислоте, царской водке, плавиковой кислоте н.р.  
50 Циркония диоксид 123,2   Порошок белого цвета. Имеет несколько модификаций 5,73 2900 4300 н.р. Слабопрокаленный р. в кислотах. Сильнопрокаленный - только в плавиковой и конц. серной кислотах - Может быть переведен в раствор путем сплавления со щелочами или карбонатами щелочных металлов

Приложение 2

ПРЕДЕЛЬНО ДОПУСТИМЫЕ КОНЦЕНТРАЦИИ ВРЕДНЫХ ВЕЩЕСТВ, ВЫДЕЛЯЮЩИХСЯ В ВОЗДУХ В ВИДЕ ТВЕРДОЙ И ГАЗОВОЙ СОСТАВЛЯЮЩИХ СВАРОЧНЫХ АЭРОЗОЛЕЙ

NN пп Вещество ПДК в воздухе рабочей зоны (м.р./с.с <*>). мг/м3 Класс опасности Наименование нормативного документа
1 2 3 4 5
Твердая составляющая сварочного аэрозоля (ТССА)
1. Алюминий, его сплавы, алюминия оксид (в том числе с примесью диоксида кремния) в виде аэрозоля конденсации 2,0 4 ГОСТ 12.1.005-76 "Воздух рабочей зоны" (Таблица 5)
2. Борная кислота 10,0 4 СН 245-71
3. Бора оксид 5,0 4 ПДК вредных веществ в воздухе рабочей зоны N 841-70 от 30.04.70
4. Ванадия (V) оксид (дым) 0,1 1 ГОСТ 12.1.005-76 (Таблица 4)
5. Ванадия (III) оксид 0,5 2 -"-
6. Вольфрам 6,0 3 -"-
7. Железо - - -
8. Железа оксид 6,0 4 Ориентировочная ПДК
9. Кадмий и его неорганические соединения 0,1/0,01 <*> 1 ПДК вредных веществ в воздухе рабочей зоны (Перечень N 27, N 4114-86)
10. Кальция оксид - - -
11. Кобальт металлический, кобальта оксид 0,5 2 ГОСТ 12.1.005-76 (Таблица 4)
12. Кремния диоксид аморфный в смеси с оксидами марганца в виде аэрозоля конденсации с содержанием каждого из них более 10% 1,0 3 ГОСТ 12.1.005-76 (Таблица 5)
13. Магний 1,0 3 Ориентировочная
14. Магния оксид 10,0 4 Ориентировочная
15. Марганец      
при его содержании в сварочном
аэрозоле а) до 20%
0,2 2 ПДК. Перечень N 29, N 4280-87
б) от 20% до 30% 0,1 2 -"-
16. Медь металлическая 1/0,5 <*> 2 ГОСТ 12.1.005-76 (Таблица N 4)
17. Молибден металлический 4/0,5 <*> 2 ПДК. Перечень N 23, N 2961-84
18. Никель металлический, его оксиды (в пересчете на никель) 0,05 1 ПДК. Перечень N 14, N 2114-79
19. Олово 2,0 - Ориентировочная ПДК вредных веществ в воздухе и воде. Справочное пособие для выбора и гигиенической оценки методов обезвреживания промышленных отходов. Л.: Химия, 1975, с. 15
20. Свинец и его неорганические соединения 0,01/0,007 <*> 1 ГОСТ 12.1.005-76 (Таблица 4)
21. Титан, титана диоксид 10,0 4 ГОСТ 12.1.005-76 (Таблица 5)
22. Фтористоводородной кислоты соли
а) хорошо растворимые
1,0/0,2 <*>   ПДК. Перечень N
б) плохо растворимые 2,5/0,2 <*>
23. Хрома (III) оксид 1,0 2 ГОСТ 12.1.005-76 (Таблица 4)
24. Хрома (VI) оксид 0,01 1 -"-
25. Цинка оксид 0,5 2 ПДК. Перечень N 14, N 2114-79
26. Цирконий металлический, циркония диоксид 6,0 3 ГОСТ 12.1.005-76 (Таблица 4)
Газовая составляющая сварочного аэрозоля (ГССА)
27. Азота диоксид 2,0 3 ПДК. Перечень N 14, N 2114-79
28. Озон 0,1 1 ГОСТ 12.1.005-76 (Таблица 4)
29. Углерода монооксид 20,0 4 -"-
30. Фтористый водород 0,5/0,1 <*> 2 ПДК. Перечень N 31

<*> С.с. - средняя сменная концентрация.

Приложение 3

ПРАВИЛА ТЕХНИКИ БЕЗОПАСНОСТИ ПРИ РАБОТЕ В ЛАБОРАТОРИИ С ВРЕДНЫМИ ВЕЩЕСТВАМИ И АППАРАТУРОЙ

Все сотрудники лабораторий, производящих химические и физико-химические исследования, должны соблюдать "Правила техники безопасности и производственной санитарии", разработанные и утвержденные МЗ СССР от 2 октября 1981 г. N 2455-81.

Ниже приведены основные положения этих "Правил".

1. К работе допускаются только лица, прошедшие инструктаж по технике безопасности (под расписку) в соответствии с правилами при работе в физико-химической лаборатории и инструкцией по противопожарной безопасности.

2. При работе с огнеопасными веществами (натрий, бензин, эфир и др.) надевается маска из органического стекла. В случае проведения указанных работ в комнате должно находиться не менее двух человек.

3. Переливание концентрированных кислот, растворов щелочей, аммиака и др. из больших бутылей в меньшие производится с помощью сифона и воронки. В качестве защитной одежды пользуются резиновыми перчатками и фартуками. Необходимо также надевать на лицо защитные очки или маску. Пролитые кислоты и щелочи следует осторожно нейтрализовать, большие количества засыпать песком.

4. Пересыпание едких щелочей производят в защитной маске или очках, резиновых перчатках и фартуке.

5. Ядовитые или причиняющие ожоги жидкости (растворы солей ртути, бензола, концентрированные кислоты, щелочи и др.) набираются только с помощью пипеток с насадками. Категорически запрещается производить отбор указанных жидкостей ртом.

6. При работе с легковоспламеняющимися веществами (эфир, бензол, петролейный эфир и др.) не должно быть по соседству огня и включенных электроплиток.

Нагревание этих веществ можно проводить на предварительно нагретой водяной или масляной бане. Проводить нагрев легковоспламеняющихся жидкостей на открытом огне и плитках открытого типа запрещается.

7. Общий запас одновременно хранящихся в каждом помещении легковоспламеняющихся жидкостей (ЛВЖ) не должен превышать суточного запаса, но быть не более 5 л.

8. Нагревание и перегонка более 1 л ЛВЖ производится только с разрешения заведующего лабораторией, в присутствии старшего научного сотрудника и с обязательной защитой лиц работающих масками.

9. В случае пролива ртути необходимо немедленно собрать ее механическим путем (с помощью резиновой груши, амальгамированной медной пластинки). Остаточное количество ртути обезвреживают 20-процентным раствором хлорного или 0,1-процентным подкисленным раствором марганцевокислого калия (1 г КМnО4 и 5 мл соляной кислоты в 1 л воды).

10. При ожогах кислотами и щелочами пораженный участок кожи сразу промывают большим количеством воды, затем на обожженное место накладывают примочку: при ожогах кислотой - из 2-процентного раствора соды, при ожогах щелочью - из слабого 1-процентного раствора уксусной кислоты.

11. При повреждении едкими веществами глаз их немедленно промывают большим количеством воды и затем 3-процентным раствором бикарбоната натрия (соды).

12. При термических ожогах 1 степени накладывают различные примочки: 96-процентный спирт или 2-процентный свежий раствор питьевой соды.

13. Для ликвидации случайно возникшего пожара пользуются только углекислотными огнетушителями, песком, асбестовыми одеялами. Последними также пользуются для тушения загоревшейся одежды.

14. При обнаружении запаха газа перекрывают общий кран вне лаборатории и сообщают об этом в аварийную службу.

15. При работе с физико-химической аппаратурой необходимо соблюдать правила работы с электротехническими устройствами с напряжением до 1000 В, опасным для жизни.

16. При работе с газовыми баллонами необходимо соблюдать требования ГОСТов 12.1.004-76. ССБТ "Пожарная безопасность. Общие требования" и 12.1.010-76. ССБТ "Взрывобезопасность. Общие требования".

Приложение 4

РАСЧЕТ КОНЦЕНТРАЦИИ ВРЕДНЫХ ВЕЩЕСТВ В ВОЗДУХЕ

4.1. Приведение объема отобранного воздуха к стандартным условиям

Объем воздуха, аспирированного при отборе проб, приводят к стандартным условиям: температуре 20 град. C и барометрическому давлению 760 мм рт. ст. (101,33 кПа) по формуле:

,

где:

- объем воздуха при температуре в месте отбора пробы, л;

P - атмосферное давление, мм рт. ст.;

t - температура воздуха в месте отбора пробы, град. C.

Для упрощения расчетов можно пользоваться коэффициентами К, вычисленными для температур в пределах от 6 до 40 град. C и давлений от 730 до 780 град. C (97,33 - 104,0 кПа), которые приведены во всех руководствах по анализу воздушной среды и в сборниках методических указаний на методы определения вредных веществ в воздухе.

4.2. Расчет результатов анализа с использованием градуировочных графиков

В тех случаях, когда градуировочный график для измерения концентрации вещества строят в координатах "величина аналитического сигнала - содержание вещества в градуировочном растворе (мкг)", концентрацию вещества в воздухе (C) вычисляют по формуле:

, мг/куб. м, (1)

где:

а - количество вещества, найденное в анализируемом объеме

раствора пробы по градуировочному графику, мкг;

б - объем раствора пробы, взятый на анализ, мл;

в - общий объем раствора пробы, мл;

- объем отобранного на анализ воздуха, приведенный к стандартным условиям (температуре 20 град. C и атмосферному давлению 760 мм рт. ст. (101 кПа), л.

В случае, когда для анализа берут всю пробу, формула расчета упрощается:

, мг/куб. м. (2)

Если градуировочный график строят в координатах "величина аналитического сигнала - концентрация определяемого вещества в растворе (мкг/мл)", формула приобретает вид:

, мг/куб. м, (3)

где а - концентрация вещества в анализируемом растворе, мкг/мл.

4.3. Расчет результатов анализа с использованием метода добавки

Для расчета результатов полярографического анализа, наряду с методом градуировочного графика, используется метод добавок.

Для этого пробу, подготовленную для анализа (), полярографируют и вычисляют высоту полученного пика (). Затем в полярографическую ячейку добавляют небольшой объем (~ 0,5 мл) стандартного раствора определяемого металла () с известной концентрацией () и снова снимают полярограмму, после чего вычисляют высоту полученного суммарного пика (). Стандартный раствор следует добавлять в таком количестве, чтобы высота пика увеличилась в 1,5 - 2 раза в ходе записи полярограммы при том же диапазоне тока.

Концентрацию металла () в исследуемом растворе (мкг/мл) рассчитывают по формуле:

. (4)

Концентрацию металла (C) в воздухе (мг/куб. м) вычисляют по формуле:

, (5)

где:

- концентрация металла в исследуемом растворе, мкг/мл;

- общий объем исследуемого раствора пробы, мл;

- объем исследуемого раствора, взятого на анализ, мл;

- объем раствора, подготовленного для полярографирования, мл;

- объем воздуха, отобранный для анализа и приведенный к стандартным условиям, л.

Приложение 5

РАСЧЕТ ПОГРЕШНОСТИ ИЗМЕРЕНИЯ КОНЦЕНТРАЦИЙ ВРЕДНЫХ ВЕЩЕСТВ В ВОЗДУХЕ

Расчет погрешности измерения проводится в соответствии с ГОСТ 12.1.016-79 с Изменениями N 1 (опубликовано: Государственные стандарты СССР. Информационный указатель, 1983, N 9, с. 237 - 240).

Приложение 6

ПРИМЕРНЫЙ ПЕРЕЧЕНЬ ОСНОВНЫХ ЭЛЕМЕНТОВ И СОЕДИНЕНИЙ, ВЫДЕЛЯЮЩИХСЯ В СОСТАВЕ ТССА И ГССА ПРИ ПРОЦЕССАХ СВАРКИ, НАПЛАВКИ, НАПЫЛЕНИЯ И РЕЗКИ МЕТАЛЛОВ, А ТАКЖЕ НАИБОЛЕЕ ХАРАКТЕРНЫЕ И ОПАСНЫЕ ВРЕДНЫЕ ВЕЩЕСТВА (III III), ПО КОТОРЫМ НЕОБХОДИМО ПРОВОДИТЬ КОНТРОЛЬ ВОЗДУШНОЙ СРЕДЫ В ЗОНЕ ДЫХАНИЯ РАБОТАЮЩИХ И В ВОЗДУХЕ РАБОЧЕЙ ЗОНЫ

Технологический процесс Вид сварочных (наплавочных) материалов, их тип и марка Твердая фаза (ТССА) Газы (ГССА)
Mn F-ион фторидов CrO3 Cr2O3 Ni Cu Al2O3 MgO Mo V V2O5 Co B2O3 W Zr FeO (Fe2O3) Si TiO2 ZnO HF CO NO2 O3
хорошо раств. плохо раств.
1 2 3 4 5 6 7 8 9 10 11 12 13 14 15 16 17 18 19 20 21 22 23 24 25 26
А. Ручная дуговая сварка: Электроды с покрытием (тип):                                       Во всех случаях сварки сталей, покрытых антикоррозийными цинкосодержащими грунтами, и оцинкованной стали        
1) Углеродистых, низколегированных и легированных конструкционных сталей, в том числе:                                                
а) углеродистых и низколегированных сталей общего назначения 1) рутиловый (АНО-1, РБУ-4, АНО-4, АНО-13, АНО-18, АНО-19, АНО-20, ОЗС-4, ОЗС-6, ОЗС-12, ОЗС-17Н, МР-3, РБУ-5, НЭ-46 и др.) III III III                               + + +   III III III III III III +
2) ильменитовый (АНО-6, АНО-6М, АНО-17, ОСЗ-21, ОСЗ-23 и др.) III III III                               + +     III III III III III III +
3) кислый (СМ-5 и др.) III III III                               + +       III III III III III III +
4) кисло-целлюлозный (ОМА-2 и др.) III III III                               + +       III III III III III III +
5) целлюлозный (ВСЦ-4, ВСЦ-4А и др.) III III III                               + +       III III III III III III +
6) специальный (ОЗС-16 и др.) III III III                               + +       III III III III III III +
7) основной (УОНИ-13/45, УОНИ-13/55, УОНИ-13/55К, УОНИ-13/65, АНО-9, АНО-10, АНО-11, АНО-Д, АНО-Т, СМ-11, ДСК-50, УП-1/55, ОЗС-25, СК-2-50, ТМУ-21, ЭТМ-2У, ВСФ-65У, ВСФ-85, К-5А, ИТС-4 и др.) III III III III III III III III III                           + +     III III III III III III +  
8) рутилово-основной (ОЗС-22Н и др.) III III III III III III III III III                           + + +   III III III III III III +  
б) сталей типа 09Г2С и 10ХСНД основной (ОЗС-22Р) III III III III III III III III III III III III III III III III III III                     + +     III III III III III III +  
(ОЗС-20Н, ОЗС-20Р) III III III III III III III III III     III III III                     + +     III III III III III III + +
(ВПА) III III III III III III III III III III III III III III III III III III                     + + +   III III III III III III + +
в) низколегированной атмосферокоррозионностойкой стали типа 10ХНДП основной (ОЗС-18) III III III III III III III III III III III III III III III III III III                     + +     III III III III III III + +
г) низколегированных перлитных сталей типа 06Г2 НАБ, 10ХГНМАЮ и др. основной (ОЗС-24) III III III III III III III III III     III III III       III III III             + +     III III III III III III + +
д) легированных сталей и сталей повышенной прочности основной (УОНИ-13/85У, УОНИ-13/85) III III III III III III III III III             III III III             + +     III III III III III III + +
-"- (ВСФ-65, ВСФ-75) III III III III III III III III III             III III III III III III III III III         + +     III III III III III III + +
-"- (НИАТ-3М, ОЗШ-1) III III III III III III III III III III III III III III III         III III III             + +     III III III III III III + +
е) литейных сталей 27ХГСНМЛ, 35ХГСЛ, высокопрочных сталей 30ХГСА и др. основной (Н-17/СВ-ВЛ-1ДГ) III III III III III III III III III III III III III III III III III III       +             + +     III III III III III III +  
ж) легированных теплоустойчивых сталей 1) рутилово-основной (ОЗС-11) III III III III III III III III III III III III III III III         +             + +     III III III + + +
2) основной (ТЛМ-14, ЦУ-2ХМ, ЦЛ-38, УОНИ-13/45МХ) III III III III III III III III III III III III III III III         +             + +     III III III III III III + +
-"- (ТМЛ-3У, ЦЛ-20, ЦЛ-39, ЦЛ-17, ЦЛ-20Б, ЦЛ-17-63) III III III III III III III III III III III III III III III         + III III III III III III         + +     III III III III III III + +
-"- (ЦЛ-41) III III III III III III III III III III III III III III III III III III                     + +     III III III III III III + +
-"- (ЗИО-20) III III III III III III III III III III III III III III III III III III       +             + +     III III III III III III + +
-"- (ЦЛ-20-67) III III III III III III III III III III III III III III III III III III       + III III III III III III         + +     III III III III III III + +
-"- (ЦЛ-21) III III III III III III III III III III III III III III III   +     +             + +     III III III III III III + +
-"- (ПТ-30) III III III III III III III III III     III III III       +             + +     III III III III III III + +
-"- (РТ-45) III III III III III III III III III III III III III III III III III III +     +             + +     III III III III III III + +
з) высоколегированных сталей 1) рутиловый (ОЗЛ-22, ОЗЛ-14А, ОЗЛ-17У) III III III     III III III III III III III III III                     + + +     III III III III III III +
-"- (ОЗЛ-20) III III III     III III III III III III III III III       +             + + +     III III III III III III +
2) рутилово-основной (АНВ-34, ОЗЛ-36, ОЗЛ-9А, ОЗЛ-19, АНВ-13, АНВ-27, АНВ-23) III III III III III III III III III III III III III III III III III III                     + + +   III III III III III III + +
-"- (АНВ-17, НИАТ-1, АНВ-26, ОЗЛ-27, ИМЕТ-10, ОЗЛ-28) III III III III III III III III III III III III III III III III III III       +             + + +   III III III III III III + +
-"- (ОЗЛ-17У, ОЗЛ-37-1) III III III III III III III III III III III III III III III III III III +     +             + + +          
-"- (АНВ-28) III III III III III III III III III III III III III III III III III III +     + III III III III III III         + + +   III III III III III III + +
-"- (АНВ-20) III III III III III III III III III III III III III III III III III III       +         +   + + +   III III III III III III III III III +
  3) основной (УОНИ-13/НЖ, ЛМЗ-1, УОНИ-13/НЖ2, ОЗЛ-5, ОЗЛ-7, ЦЛ-11, НБ-38, Л-40М, ЦТ-15, ЦТ-15-1, ОЗЛ-3, ЗИО-3, ЦЛ-9, ОЗЛ-6, ОЗЛ-8, ЗИО-8, ЦЛ-25, ГС-1, ЦЛ-33, ОЗЛ-29, НИИ-48Г, ОЗЛ-19, ЦТ-16, ЦТ-16-1, КТИ-7А, ОЗЛ-31) III III III III III III III III III III III III III III III III III III                     + +     III III III III III III + +
основной (НИАТ-6АМ, АНВ-26, НЖ-13, ОЗЛ-25Б, ЦТ-28, ОЗЛ-2, ОЗЛ-25, ОЗЛ-35, АНЖР-1, АНЖР-2, АНЖР-3У, НИАТ-5) III III III III III III III III III III III III III III III III III III       +         +   + + +   III III III III III III + +
-"- (ЗИ-ИМ-1)   III III III III III III III III III III III III III III III                 +   + +     III III III III III III + +
-"- (КТИ-10, ЦЛ-32, КТИ-5) III III III III III III III III III III III III III III III III III III       + III III III III III III     +   + +     III III III III III III + +
4) специальный (ОЗЛ-23) III III III III III III III III III     III III III                     + +     III III III III III III + +
-"- (ОЗЛ-21) III III III III III III III III III III III III III III III III III III       +         +   + +     III III III III III III + +
2) Чугуна и заварка дефектов чугунного литья Электроды с покрытием (тип):                                                
1) кислый (ОЗЧ-2) III III III III III III III III III       III III III                   + +     III III III III III III + +
2) основной (МНЧ-2, ОЗЧ-3, ОЗЧ-4) III III III III III III III III III     III III III III III III                   + +     III III III III III III + +
-"- (ОЗЖЧ-1) III III III III III III III III III       III III III +                 + +     III III III III III III + +
-"- (ЦЧ-4, ЦЧ-4А) III III III III III III III III III               III III III III III III         + +     III III III III III III + +
3) Алюминия, заварка литья из алюминиево-кремнистых сплавов типа АЛ-4, АЛ-9 и др. Электроды с покрытием (тип) специальный (ОЗА-1, ОЗА-2, 4ф-4аКр, А1-1Ф1) III III III III III III III III III         III III III                 + + +   III III III III III III + +
4) Алюминиево-марганцовистых бронз типа Бр АМц-9-2, алюминиево-никелевых бронз типа БрАЧ и др. и заварки дефектов литья галогенидный (ЛКЗ-АБ) III III III III III III III III III     III III III III III III +                 + +     III III III III III III + +
5) Меди специальный (Комсомолец-100) III III III III III III III III III       III III III                   + +     III III III III III III + +
6) Оловянисто-фосфористой бронзы и заварки дефектов литья основной (ОЗБ-1) III III III III III III III III III       III III III                   + +     III III III III III III + +
7) Латуни основной (ОБ-5) III III III III III III III III III     III III III III III III                         + III III III III III III + +
8) Никеля, биметалла (никель - сталь), сплава НМЖМЦ 28-2, 5-1 (монель) рутилово-основной (В-56У, "Прогресс-50", Н-50, Н-37, Имет-7, Имет-10) III III III III III III III III III     III III III III III III +                 +   +   III III III III III III + +
Б. Ручная дуговая наплавка углеродистых, низко-, средне- и высоколегированных сталей различного значения (в т.ч. штампов, режущего инструмента, жаропрочных деталей и пр.) 1) Электроды с покрытием (тип):                                                
- основной (ОЗН-250У, ОЗН-300У, ОЗН-350У, ОЗН-400У, У340п/б) III III III III III III III III III                           + +     III III III III III III +  
-"-"- (ОЗШ-3, 12АН/ЛИВТ) III III III III III III III III III III III III III III III                       + +     III III III III III III + +
-"-"- (С-1 (ГН-1)) III III III III III III III III III     III III III                                    
-"-"- (УОНИ-13/НЖ, ОМГ-Н, ЗИО-8, ЦНИИН-4, ЦН-6Л, ЦН-16) III III III III III III III III III III III III III III III III III III                     + +     III III III III III III + +
-"- (ВСН-10, ЦН-12М, ЭА-898/21Б, ЭА-855/51, УОНИ-13/Н1-БК, ЭА-582/23, ЭА-400/10У, ЭА-400/10Т, ЭА-395/9 III III III III III III III III III III III III III III III III III III                     + +   Nb+ III III III III III III + +
-""-""- (ЭН-60М, НР-70, 13КН/ЛИВТ, ОЗШ-1) III III III III III III III III III III III III III III III                       + +     III III III III III III + +
-""-""- (ОЗИ-3, ОЗШ-2, ТК-3Н) III III III III III III III III III III III III III III III         + III III III III III III     +   + +     III III III III III III + +
-""-""- (УОНИ-13/4Х10В5МФ, ВПИ-1) III III III III III III III III III III III III III III III III III III         III III III III III III     +   + +     III III III III III III + +
  -""-""- (ОЗШ-4) III III III III III III III III III III III III III III III III III III       + III III III III III III III III III       + +     III III III III III III + +
-""-""- (ЦИ-1М, ИТ-10, ВСН-6) III III III III III III III III III III III III III III III           III III III III III III     +           III III III III III III + +
-""-""- (ЖСН-60Р) III III III III III III III III III III III III III III III         + III III III III III III     +   + +     III III III III III III + +
-""-""- (ОЗИ-4, ОЗИ-5) III III III III III III III III III III III III III III III         + III III III III III III III III III   +   + +     III III III III III III + +
-""-""- (ЦН-2) III III III III III III III III III III III III III III III               III III III   +   + +     III III III III III III + +
-""-""- (ЭНУ-2, ВСН-8, Т-590, Т-620) III III III III III III III III III III III III III III III                 III III III +   + +     III III III III III III + +
-""-""- (ВСН-9) III III III III III III III III III III III III III III III III III III               III III III     + +     III III III III III III + +
2) Литые прутки для дуговой наплавки сталей неплавящимся (вольфрамовым электродом)                                                
- (ПрС2, ПрС1) III III III     III III III III III III III III III                 +   + +         III III III III III III
- (ПрС27) III III III     III III III III III III III III III                 +   + +         III III III III III III
- (Пр-В3К)       III III III III III III III III III             III III III   +   + +         III III III III III III
- (Пр-В3К-Р) III III III     III III III III III III III III III             III III III   +   + +         III III III III III III
3) Смеси порошков для наплавки сталей неплавящимся электродом                                                
- (С-2М) III III III     III III III III III III                   +   + +         III III III III III III
- (БХ, КБХ)       III III III III III III                 III III III +   + +         III III III III III III
- (ФБХ6-2) III III III     III III III III III III                 III III III +   + +         III III III III III III
- (ПС-15-30, ПС-14-60, ПС-14-80) III III III     III III III III III III III III III III III III             III III III +   + +         III III III III III III
  Вольфрамовые электроды:                                                
РУЧНАЯ ДУГОВАЯ СВАРКА И НАПЛАВКА МЕТАЛЛОВ НЕПЛАВЯЩИМСЯ (ВОЛЬФРАМОВЫМ) ЭЛЕКТРОДОМ В ЗАЩИТНЫХ ГАЗАХ (АРГОН, ГЕЛИЙ, АЗОТ), ГАЗОВЫХ СМЕСЯХ. - ЭВИ-1, ЭВИ-2                             III III         +V2O3     III III III III
- ЭВЛ                             III III         +La     III III III III
- ЭВЧ                             III III               III III III III
- ЭВТ                             III III         +Th     III III III III
- Релит-3, Релит-Т3, АНЛ-3 и др.                             III III               III III III III
В том числе:                                                  
1. Сталей различного назначения <**> Присадочные проволоки, содержащие легирующие элементы, обозначаемые в наименовании буквами <*>:                                                
Б - ниобий                             +         +     III III III III
Г - марганец III III                           +   +           III III III III
В - вольфрам                             +   III III           III III III III
Д - медь           III III                 +   +           III III III III
К - кобальт                         III III   +   +           III III III III
М - молибден                   III III         +   +           III III III III
Н - никель         III III                   +   +           III III III III
Р - бор                           III III +   +           III III III III
С - кремний                             +   + III III         III III III III
Т - титан                             +   III III   +       III III III III
Ф - ванадий                     III III III III     +   +           III III III III
Х - хром       III III III III                   +   +           III III III III
Ю - алюминий               III III             +   +           III III III III
Ц - цирконий                             +   III III     +     III III III III
2. Алюминия и его сплавов в среде аргона, гелия или их смесей Присадочные электродные проволоки:                                                
В том числе, марок:                                                  
а). АД0 а). СвАД0               III III             +               III III III III
б). АД1 б). СвАК5             III III III III             +               III III III III
- СвАМг3               III III III III           +     +         III III III III
- СвАМг6 +             III III III III           +               III III III III
- СвАМц +             III III             +               III III III III
в). АМц в). СвАК5, +           III III III III             +               III III III III
СвАМг3, СвАМг6 и СвАМц то же, что и в п. "б" +             III III III III           +     +         III III III III
г). АМг3 г). СвАК5, +           III III III III III III           +     +         III III III III
СвАМг3, +             III III III III           +     +         III III III III
СвАМц +             III III III III           +     +         III III III III
д). АМг6 д). СвАМг6 +             III III III III           +         +Be?     III III III III
е). АВ е). СвАК5 +       +   III III III III III III           +     +         III III III III
ж). АД 33 ж). СвАК5         +   III III III III III III           +     +         III III III III
3. Магния и его сплавов, в том числе: Присадочные электродные проволоки:                                                
МА2-1, МА-8, МА-9, МА-11 - МА2-1, МА-5, МА-9                 III III           +               III III III III
- МЛ-7 +             + III III           + +     +       III III III III
4. Меди и бронз Присадочные электродные проволоки:                                                
- раскисленная медь             III III               +               III III III III
- медно-никелевая МНЖКТ 5-1-0,2-0,2 +         III III III III               +   + +         III III III III
- бронзовая Бр.КМц 3-1, Бр.ОЦ4-3 +           III III               +         +     III III III III
5. Титана и сплавов на его основе Присадочные электродные проволоки:                                                
- ВТ1-00                             +       III III       III III III III
- ВТ2               +             +       III III       III III III III
- СПТ-2               +     +       + +     III III       III III III III
6. Никеля и его сплавов, в том числе: Присадочные электродные проволоки:                                                
а). ЭП 495, ЭП 490 а). ЭИ639, Н70М27           III III       +         +               III III III III
б). ОХ15Н55М16В б). ЭП 567       + + III III       +         +               III III III III
Г. МЕХАНИЗИРОВАННАЯ (ПОЛУАВТОМАТИЧЕСКАЯ И АВТОМАТИЧЕСКАЯ) ДУГОВАЯ СВАРКА И НАПЛАВКА:                                                  
1. Сталей различного назначения в защитной среде CO2 и газовых смесях Проволоки сплошного сечения, в том числе:                                                
1.1. углеродистых и низколегированных сталей 1.1. Св-12ГС, Св-08Г2С, Св-08ГС III III                               + +       III III + +
1.2. низколегированных сталей 10ХСНД 1.2. Св-18ХГС, III III   +     +                     + +       III III + +
Св-08ХГ2С III III   +                           + +       III III + +
1.3. низколегированных теплоустойчивых сталей типа 30ХГСА, МА, 20ХМА, МФЛ и др. 1.3. Св-08ХГСМА, Св-10ХГ2СМА, Св-08ХГСМФА, Св-08Х3Г2СМ III III     +                         + +       III III + +
1.4. средне- и высоколегированных сталей 1.4. Св-08Х20Н9Г7Т, Св-08Х21Н10Г6 III III     +   III III                     + +       III III + +
- Св-20Х13 III III     III III III III                       + +       III III + +
- Св-08Х16Н8М2, Св-06Х24Н6ТАФМ +     III III III III III III       +             + +       III III + +
- Св-01Х19Н9, Св-Х18Н8Г2Б, Св-07Х18Н9ТЮ, Св-06Х19Н9Т, Св-08Х19Н9Ф2С2 и др. +     III III III III III III                     + +       III III + +
1.5. сварка углеродистых и низколегированных сталей 2. Порошковые проволоки самозащитные:                                                
- рутил-органические (ПП-АН1, ПП-1ДСК) III III                               + + +     III III +  
- карбонатно-флюоритные (ПП-АН3, ПП-АН7, ПП-АН2М, СП-1, СП-2, ППВ-5, ПП-АН-11, ПП-АН23 III III III III III III         +                 + + +   III III + +  
- флюоритный тип (ПП-2ДСК) III III III III III III         +                 + +     III III + +  
2.1. Порошковые проволоки для сварки в защищенной среде CO2 (тип):                                                
- рутиловый (ПП-АН8, ПП-АН10, ПП-АН13, ПП-АН21 и др.) III III III III III III                           + + +   III III + +  
- рутил-флюоритный (ПП-АН22, ПП-АН4, ПП-АН9, ПП-АН18, ПП-АН20 и др.) III III III III III III                           + + +   III III + +  
- карбонатно-флюоритный (ПП-АН5) III III III III III III                           + + +   III III III III +  
  2.3. Специального назначения самозащитные:                                                
- карбонатно-флюоритные (ПП-АН15, ПП-АН19, ПП-АН19Н, ПП-АНЗС, ПП-АН6) III III III III III III                           + + +   III III + +  
- тот же тип (ПП-АНВ1, ПП-АНВ2, ПП-АНА1) III III III III III III III III III III III III                     + +   +Nb III III + +  
- (ПП-АНВ3) III III III III III III III III III III                       + +     III III + +  
1.6. Наплавка поверхностных слоев на детали 4. Порошковая проволока наплавочная самозащитная:                                                
- ПП-Нп-10Х14Т III III III III III III III III III III                       + + +   III III + +  
- ПП-Нп-30Х5Г2СМ III III III III III III III III III III         +             + + +   III III + +  
- ПП-Нп-200Х17ТС2ГР III III III III III III III III III III                 III III     + + +   III III + +  
- ПП-Нп-25ХБФМС III III III III III III III III III III         + III III III III         + +     III III + +  
- ПП-Нп-250Х10Б8СТ   III III III III III III III III                             +Nb III III + +  
- ПП-Нп-80Х20РЗТ III III III III III III III III III III                 III III     + + +   III III + +  
- ПП-Нп-10Х15Н2Т III III III III III III III III III III III III                     + + +   III III + +  
- ПП-Нп-14СТ III III III III III III                           + + +   III III + +  
- ПП-Нп-19СТ, ПП-Нп-50Х3СТ III III III III III III III III III III                       + + +   III III + +  
1.7. Сварка (наплавка) и заварка дефектов чугунного литья а) Проволока сплошного сечения ПАНЧ-11 +         III III +                   + +       + + +
б) Порошковые проволоки самозащитные: (ПП-АНЧ2, ПП-АНЧ5) III III III III III III         +                 + + +   III III + +  
1.8. Сварка и наплавка сталей под флюсом а) флюсы наплавленные (АН-60, АН-348А, АН-348В, ОСЦ-45, АН-47, АН-22, АН-65, АН-17М, АН-43, АН-26С, АН-20С, АН-8, АН-25 и др.) III III III III III III         + +               + + +   III III +    
б) флюсы керамические (АНК-30) III III III III III III             +             + +     III III +    
(АНК-35 и др.) III III III III III III                           + +     III III +    
1.9. Сварка цветных металлов и сплавов под флюсом, в том числе: Флюсы плавленные и керамические:                                                
а) меди и латуни а) АН-26С, АН-60, КМ-1, К-13 III III III III III III       +                     + +   III III +    
б) никеля б) ЖМ-1 III III III III III III     +               +             III III +    
в) алюминия в) ЖА-64, ЖА-64А, МАТИ-10 + III III III III         +                         III III      
8. Электрошлаковая сварка меди Флюс АН-М10   III III III III       III III                       + + III III +    
9. Полуавтоматическая и автоматическая сварка и наплавка цветных металлов (алюминия, меди, титана и др.) в защитных газах См. раздел "В" п. п. 2, 3, 4, 5 и 6
Д. ПЛАЗМЕННАЯ СВАРКА И РЕЗКА МЕТАЛЛОВ Выбор ингредиентов ТССА при контроле воздушной среды при плазменной сварке осуществляется с учетом состава используемого электродного (присадочного) материала, а при резке - исходя из состава разрезаемого металла <*> III III III III
Е. ГАЗОВАЯ (АЦЕТИЛЕН-КИСЛОРОДНАЯ) РЕЗКА И СВАРКА МЕТАЛЛОВ Выбор ингредиентов ТССА тот же, что и при плазменной сварке и резке металлов III III III III  

<*> Содержание легирующих элементов, если оно не превышает 1%, ставится после соответствующей буквы в целых единицах (проценты). Первые две цифры (для конструкционных марок сталей) обозначают число сотых процентов углерода. Например, марка проволоки (или стали) 12ХНЗ означает, что в стали содержится 0,12% C, около 1% Cr и около 3% никеля.

<**> В случае одновременного присутствия в проволоке нескольких легирующих элементов аналитическому определению в воздухе подлежат те из них, которые относятся к I - II классам опасности. Железо и вольфрам присутствуют во всех образующихся ТССА.

<*> Дополнительные сведения о составе ТССА содержатся в "Санитарных правилах на устройство и эксплуатацию оборудования для плазменной обработки материалов" N 4053-85 Минздрава СССР.

Приложение 7

ПРИНЦИПИАЛЬНАЯ СХЕМА ГАЗОХРОМАТОГРАФИЧЕСКОЙ СИСТЕМЫ ДЛЯ ОПРЕДЕЛЕНИЯ ОКСИДА УГЛЕРОДА (II)

1 - кран-дозатор
2 - хроматографическая колонка
3 - метанатор
4 - детектор
5 - усилитель
6 - потенциометр