Грунты. Лабораторные испытания. Общие положения. ГОСТ 30416-2012

(утв. Приказом Росстандарта от 09.11.2012 N 707-СТ)
Редакция от 09.11.2012 — Документ не действует

МЕЖГОСУДАРСТВЕННЫЙ СТАНДАРТ

ГРУНТЫ

ЛАБОРАТОРНЫЕ ИСПЫТАНИЯ. ОБЩИЕ ПОЛОЖЕНИЯ

Soils. Laboratory testing. General

ГОСТ 30416-2012

Дата введения
1 июля 2013 года

Предисловие

Цели, основные принципы и основной порядок проведения работ по межгосударственной стандартизации установлены ГОСТ 1.0-92 "Межгосударственная система стандартизации. Основные положения" и ГОСТ 1.2-2009 "Межгосударственная система стандартизации. Стандарты межгосударственные, правила, рекомендации по межгосударственной стандартизации. Правила разработки, принятия, применения, обновления и отмены".

Сведения о стандарте

1. Разработан Научно-исследовательским, проектно-изыскательским и конструкторско-технологическим институтом оснований и подземных сооружений им. Н.М. Герсеванова (НИИОСП им. Н.М. Герсеванова), ОАО "НИЦ "Строительство".

2. Внесен Техническим комитетом по стандартизации ТК 465 "Строительство".

3. Принят Межгосударственной научно-технической комиссией по стандартизации, техническому нормированию и оценке соответствия в строительстве (приложение В к Протоколу от 4 июня 2012 г. N 40).

За принятие стандарта проголосовали:

Краткое наименование страны по МК (ИСО 3166) 004-97 Код страны по МК (ИСО 3166) 004-97 Сокращенное наименование национального органа государственного управления строительством
Азербайджан AZ Государственный комитет градостроительства и архитектуры
Армения AM Министерство градостроительства
Киргизия KG Госстрой
Молдова MD Министерство строительства и регионального развития
Россия RU Министерство регионального развития
Узбекистан UZ Госархитектстрой
Украина UA Министерство регионального развития, строительства и жилищно-коммунального хозяйства

4. Приказом Федерального агентства по техническому регулированию и метрологии от 9 ноября 2012 г. N 707-ст межгосударственный стандарт ГОСТ 30416-2012 введен в действие в качестве национального стандарта Российской Федерации с 1 июля 2013 г.

5. Взамен ГОСТ 30416-96.

Информация об изменениях к настоящему стандарту публикуется в ежегодном информационном указателе "Национальные стандарты", а текст изменений и поправок - в ежемесячном информационном указателе "Национальные стандарты". В случае пересмотра (замены) или отмены настоящего стандарта соответствующее уведомление будет опубликовано в ежемесячном информационном указателе "Национальные стандарты". Соответствующая информация, уведомление и тексты размещаются также в информационной системе общего пользования - на официальном сайте Федерального агентства по техническому регулированию и метрологии в сети Интернет.

1. Область применения

Настоящий стандарт устанавливает общие требования к методам лабораторного определения характеристик физико-механических свойств грунтов при их исследовании для строительства.

2. Нормативные ссылки

В настоящем стандарте использованы ссылки на следующие стандарты:

ГОСТ 166-89 (ИСО 3569-76). Штангенциркули. Технические условия

ГОСТ 577-68. Индикаторы часового типа с ценой деления 0,01 мм. Технические условия

ГОСТ 3749-77. Угольники поверочные 90°. Технические условия

ГОСТ 5180-84. Грунты. Методы лабораторного определения физических характеристик

ГОСТ 7328-82. Меры массы общего назначения и образцовые. Технические условия

ГОСТ 9696-82. Индикаторы многооборотные с ценой деления 0,001 и 0,002 мм. Технические условия

ГОСТ 10110-87. Круги алмазные отрезные формы 1A1R. Технические условия

ГОСТ 10197-70. Стойки и штативы для измерительных головок. Технические условия

ГОСТ 12071-2000. Грунты. Отбор, упаковка, транспортирование и хранение образцов

ГОСТ 20522-2012. Грунты. Методы статистической обработки результатов испытаний

ГОСТ 22733-2002. Грунты. Метод лабораторного определения максимальной плотности

ГОСТ 24104-2001 <*>. Весы лабораторные. Общие технические требования

<*> В Российской Федерации действует ГОСТ Р 53228-2008.

ГОСТ 25100-2011. Грунты. Классификация.

Примечание. При пользовании настоящим стандартом целесообразно проверить действие ссылочных стандартов в информационной системе общего пользования - на официальном сайте Федерального агентства по техническому регулированию и метрологии в сети Интернет или по ежегодному информационному указателю "Национальные стандарты", который опубликован по состоянию на 1 января текущего года, и по выпускам ежемесячного информационного указателя "Национальные стандарты" за текущий год. Если ссылочный стандарт заменен (изменен), то при пользовании настоящим стандартом следует руководствоваться заменяющим (измененным) стандартом. Если ссылочный стандарт отменен без замены, то положение, в котором дана ссылка на него, применяется в части, не затрагивающей эту ссылку.

3. Термины и определения

В настоящем стандарте применены термины по ГОСТ 25100, а также следующие термины с соответствующими определениями:

3.1. Естественная влажность грунта (natural water content) w: отношение массы воды в объеме грунта к массе этого грунта, высушенного до постоянной массы.

3.2. Гигроскопическая влажность (hygroscopic water content) : влажность грунта в воздушно-сухом состоянии, т.е. в состоянии равновесия с влажностью и температурой окружающего воздуха.

3.3. Влажность на границе текучести (water content on liquid limit) : влажность грунта, при которой грунт находится на границе между пластичным и текучим состояниями.

3.4. Влажность на границе раскатывания (water content on plastic limit) : влажность грунта, при которой грунт находится на границе между твердым и пластичным состояниями.

3.5. Плотность грунта (soil density) : масса единицы объема грунта.

3.6. Плотность сухого грунта (dry soil density) : отношение массы грунта, за вычетом массы воды и льда в его порах, к его первоначальному объему.

3.7. Плотность частиц грунта (density of solid particles) : масса единицы объема твердых (скелетных) частиц грунта.

3.8. Воздушно-сухое состояние грунта (dry soil condition): состояние грунта, высушенного на воздухе.

3.9. Водонасыщенное состояние грунта (water saturated soil condition): состояние грунта при практически полном заполнении пор грунта водой.

3.10. Гранулометрический (зерновой) состав грунта (soil grain-size composition): количественное содержание в грунте твердых частиц того или иного размера.

3.11. Микроагрегатный состав грунта (soil microaggregate composition): количественное содержание в грунте твердых водостойких агрегированных частиц того или иного размера.

3.12. Коэффициент фильтрации (coefficient of permeability) k: скорость фильтрации воды в грунте при градиенте напора, равном единице.

3.13. Градиент напора (hydraulic gradient) J: отношение разности гидростатических напоров воды (потери напора) к длине пути фильтрации.

3.14. Вертикальное давление на образец грунта (vertical pressure on soil sample) F: отношение вертикальной нагрузки, приложенной к образцу, к площади его поперечного сечения.

3.15. Относительная вертикальная деформация образца грунта (relative vertical deformation of soil sample) : отношение абсолютной вертикальной деформации к начальной высоте образца.

3.16. Условная стабилизация деформации (stabilization of deformation): приращение деформации во времени, характеризующее практическое затухание деформации при определенной нагрузке.

3.17. Стабилизированное состояние грунта (consolidated soil state): состояние грунта, характеризуемое окончанием деформаций уплотнения под определенной нагрузкой и отсутствием избыточного давления в поровой жидкости.

3.18. Нестабилизированное состояние грунта (unconsolidated soil state): состояние грунта, характеризуемое незавершенностью деформаций уплотнения под определенной нагрузкой и наличием избыточного давления в поровой жидкости.

3.19. Консолидированно-дренированное испытание (consolidated-drained test): испытание грунта для определения характеристик прочности и деформируемости с предварительным уплотнением образца и отжатием из него воды в процессе всего испытания.

3.20. Консолидированно-недренированное испытание (consolidated-undrained test): испытание грунта для определения характеристик прочности с предварительным уплотнением образца и отжатием из него воды только в процессе уплотнения.

3.21. Неконсолидированно-недренированное испытание (unconsolidated-undrained test): испытание грунта для определения характеристик прочности без предварительного уплотнения образца при отсутствии отжатия из него воды в процессе всего испытания.

3.22. Сопротивление грунта недренированному сдвигу (undrained shear strength) : характеристика прочности грунта, определяемая значением касательного напряжения, при котором происходит разрушение в условиях отсутствия дренирования.

3.23. Предел прочности на одноосное сжатие (uniaxial compressive strength) : отношение вертикальной нагрузки на образец грунта, при которой происходит его разрушение, к площади поперечного сечения образца.

3.24. Коэффициент сжимаемости (coefficient of compressibility) : отношение относительной вертикальной деформации (изменения коэффициента пористости) к давлению, вызвавшему эту деформацию.

3.25. Абсолютное суффозионное сжатие (total suffusion compression) : уменьшение первоначальной высоты образца грунта в результате сжатия при постоянном вертикальном давлении и непрерывной фильтрации жидкости, вызывающей химическую суффозию.

3.26. Относительное суффозионное сжатие (relative suffusion compression) : отношение абсолютного суффозионного сжатия к высоте образца грунта естественной влажности при природном давлении.

3.27. Начальное давление суффозионного сжатия (initial pressure of suffusion compression) : минимальное давление, при котором проявляется суффозионное сжатие грунта.

3.28. Коэффициент оттаивания (thawing coefficient) : показатель деформируемости, характеризующий осадку мерзлого грунта при его оттаивании без нагрузки.

3.29. Коэффициент нелинейной деформации (nonlinear deformation modulus): показатель, характеризующий зависимость деформаций ползучести мерзлого грунта от напряжений и времени.

3.30. Коэффициент поперечного расширения (коэффициент Пуассона) (Poisson's ratio) v: показатель деформируемости, характеризующий отношение поперечных и продольных деформаций грунта.

3.31. Коэффициент вязкости (viscosity coefficient) : показатель деформируемости, характеризующий скорость пластично-вязкого течения сильнольдистого мерзлого грунта, зависящий от времени действия нагрузки и значения отрицательной температуры грунта.

3.32. Коэффициент фильтрационной (coefficient of consolidation) и вторичной консолидации : показатели, характеризующие скорость деформации грунта при постоянном давлении за счет фильтрации воды и ползучести грунта .

3.33. Эквивалентное сцепление (equivalent cohesion of soil) : комплексная характеристика прочности мерзлого грунта, учитывающая как собственно сцепление, так и наличие внутреннего трения.

3.34. Угол внутреннего трения (internal friction angle) : параметр прямой зависимости сопротивления грунта срезу от вертикального давления, определяемый как угол наклона этой прямой к оси абсцисс.

3.35. Удельное сцепление грунта (specific cohesion of soil) c: параметр прямой зависимости сопротивления грунта срезу от вертикального давления, определяемый как отрезок, отсекаемый этой прямой на оси ординат.

3.36. Структурная прочность: вертикальное напряжение в образце грунта, соответствующее началу перехода от упругих к пластическим деформациям сжатия.

3.37. Модуль деформации (deformation modulus) E: коэффициент пропорциональности линейной связи между приращениями давления на образец и его деформацией.

3.38. Модуль сдвига (shear modulus) G: характеристика деформируемости, определяемая отношением интенсивности касательных напряжений к интенсивности деформаций сдвига.

3.39. Оттаивающий грунт (thawing soil): грунт, в котором при переходе из мерзлого состояния в талое разрушаются криогенные структурные связи.

3.40. Максимальная плотность (стандартная плотность) (maximal dry soil density) : наибольшая плотность сухого грунта, которая достигается при испытании грунта методом стандартного уплотнения.

3.41. Оптимальная влажность (optimal humidity) : значение влажности грунта, соответствующее максимальной плотности сухого грунта.

4. Общие положения

4.1. Метод определения характеристик физико-механических свойств грунтов устанавливают в программе испытаний в зависимости от стадии проектирования, грунтовых условий, вида и уровня ответственности проектируемых зданий и сооружений.

4.2. Область применения методов лабораторных испытаний физико-механических свойств грунтов в зависимости от вида грунта приведена в Приложении А.

4.3. Отбор, упаковку, транспортирование и хранение образцов грунта, предназначенных для лабораторных испытаний, проводят по ГОСТ 12071.

4.4. Испытания проводят на образцах грунта ненарушенного сложения с естественной влажностью и в водонасыщенном состоянии или на искусственно приготовленных пробах и образцах с заданными плотностью и влажностью, значения которых устанавливают в программе испытаний.

При определении характеристик прочности и деформируемости образцы грунта ненарушенного сложения должны иметь ориентацию, соответствующую природному залеганию, если иное не определено в техническом задании.

Образцы грунта естественной влажности испытывают непосредственно после их изготовления.

4.5. Форму и размеры образцов грунта определяют в зависимости от метода испытаний, а также от свойств самого грунта (способности сохранять форму, наличия включений и т.д.).

Минимальный размер испытуемых образцов должен быть не менее пятикратного размера максимальной фракции грунта (включений, агрегатов).

4.6. Нагрузки, задаваемые при испытаниях, должны назначаться с учетом передаваемых на основание давлений и глубины отбора образцов грунта.

4.7. За результат испытаний принимают среднеарифметическое значение параллельных определений, предусмотренных для соответствующего метода.

4.8. Погрешность измерений при испытаниях не должна превышать:

0,02 г - при измерении массы образца;
0,1 мм " " геометрических размеров образца и рабочего (режущего) кольца;
0,01 мм " " деформаций образца;
5% " " прикладываемой нагрузки от ступени нагрузки;
0,1 °C " " температуры воздуха в помещении с отрицательной температурой.

4.9. При обработке результатов испытаний плотность грунта вычисляют с точностью 0,01 г/см3, влажность до 30% включительно - 0,1%, влажность выше 30% - 1%, угол внутреннего трения - 1°, удельное сцепление - 1 кПа, абсолютную вертикальную деформацию образца - 0,01 мм, относительную вертикальную деформацию образца - 0,001, относительную объемную деформацию образца - 0,001.

4.10. Статистическую обработку результатов определений характеристик физико-механических свойств грунтов, используемых при проектировании оснований и фундаментов зданий и сооружений, проводят по ГОСТ 20522.

4.11. Испытания немерзлых грунтов проводят в помещениях с температурой воздуха (22 +/- 2) °C.

4.12. Испытания мерзлых грунтов проводят в помещении с регулируемой отрицательной температурой, холодильных камерах, а также в шурфах или подземных лабораториях, расположенных в толще многолетнемерзлых грунтов.

Технология изготовления образцов и проведения испытаний должна обеспечивать сохранность мерзлого состояния грунта, недопущение сколов и других нарушений поверхности образца.

4.13. В помещении для проведения испытаний мерзлых грунтов должна поддерживаться заданная программой испытаний температура воздуха, отклонения от которой не должны превышать +/- 0,1 °C, +/- 0,2 °C и +/- 0,5 °C при температуре испытаний соответственно от 0 °C до минус 1 °C; ниже минус 2 °C до минус 5 °C и ниже минус 5 °C.

4.14. Измерения температуры воздуха в процессе испытаний мерзлых грунтов следует проводить одновременно с измерением деформаций образца грунта по двум лабораторным термометрам (или другим термоизмерительным устройствам), расположенным по обе стороны установки для испытаний так, чтобы их ртутный резервуар или датчик находился на уровне образца грунта на расстоянии не более 0,5 м от него.

4.15. В период подготовки и проведения испытаний необходимо предусматривать меры по предохранению образцов немерзлых грунтов от высыхания, а мерзлых - от иссушения.

Для предохранения образцов грунта от иссушения следует предусматривать создание защитных оболочек, прокладку образцов снегом или льдом, помещение установок для испытаний под чехлы.

4.16. Для водонасыщения (доувлажнения) образцов грунта и в качестве фильтрующей жидкости следует применять воду питьевого качества, если в задании не приведены указания по использованию дистиллированной воды, грунтовой воды с места отбора образца, а также водных вытяжек или химических растворов заданного состава.

4.17. При использовании в качестве реактивов опасных (едких, токсичных) веществ следует руководствоваться требованиями безопасности, изложенными в нормативных документах на эти реактивы.

4.18. Результаты лабораторных испытаний заносят в журналы (ведомости), содержащие данные о месте отбора образцов (монолитов) и другие необходимые характеристики грунта.

Страницы журнала должны быть пронумерованы. Журнал должен быть подписан руководителем лаборатории и исполнителями.

5. Подготовка образцов грунта для испытаний

5.1. Изготовление образца дисперсного грунта ненарушенного сложения методом режущего кольца

5.1.1. Для изготовления образца грунта применяют следующие оборудование и материалы:

- режущее кольцо (цилиндрическая форма с режущим краем, рабочее кольцо прибора для испытаний);

- гладкие пластинки (стекло, металл и т.п.);

- винтовой пресс;

- насадка для вдавливания колец;

- выталкиватель для извлечения образца из кольца;

- штангенциркуль по ГОСТ 166;

- плоская лопатка;

- нож с прямым лезвием;

- лабораторные весы по ГОСТ 24104 с гирями по ГОСТ 7328.

5.1.2. Размеры режущего кольца выбирают в зависимости от метода испытаний и применяемого оборудования.

5.1.3. Режущее кольцо перед употреблением должно быть проверено: при помещении кольца торцами на гладкую пластинку не должно быть видимых зазоров между краем кольца и пластинкой.

5.1.4. Образец грунта изготавливают в следующем порядке:

- режущее кольцо смазывают с внутренней стороны тонким слоем вазелина или консистентной смазки;

- кольцо ставят режущим краем на выровненную и зачищенную горизонтальную поверхность монолита грунта и винтовым прессом или вручную через насадку слегка вдавливают в грунт, обозначая границу образца для испытаний;

- грунт снаружи кольца обрезают на глубину 5 - 10 мм ниже режущего края кольца, формируя столбик диаметром на 1 - 2 мм больше наружного диаметра кольца. Периодически, по мере срезания грунта, легким нажимом надвигают кольцо на столбик грунта, не допуская перекоса, до полного заполнения кольца. Образование зазоров между грунтом и рабочим кольцом не допускается. В грунт (сыпучий или пластичный), из которого не удается вырезать столбик, кольцо вдавливают и удаляют грунт вокруг кольца;

- верхний торец образца зачищают ножом вровень с краем кольца и накрывают пластинкой;

- подрезают столбик грунта на 10 мм ниже режущего края кольца и отделяют его. При вдавливании кольца подхватывают его снизу плоской лопаткой;

- переворачивают кольцо, зачищают другой торец образца вровень с краем кольца и также накрывают пластинкой.

5.1.5. При необходимости образец извлекают из кольца с помощью выталкивателя, измеряют диаметр образца в трех поперечных сечениях и высоту не менее чем по трем образующим.

За начальную высоту и диаметр образца принимают их среднеарифметические значения.

Образец взвешивают.

5.1.6. При изготовлении образцов мерзлого грунта ненарушенного сложения предварительно выпиливают из монолита заготовки в виде призм, размеры основания и высота которых должны превышать требуемые размеры образцов. Нарезанные заготовки подбирают в группы с идентичной криогенной текстурой.

Все операции по изготовлению образцов мерзлого грунта необходимо проводить в утепленных перчатках.

5.1.7. Подготовленные образцы мерзлого грунта герметизируют (например, полиэтиленовой пленкой) и помещают в эксикатор, находящийся в помещении с отрицательной температурой воздуха. Дно эксикатора должно быть покрыто льдом или снегом.

Образцы мерзлого грунта допускается хранить не более 10 сут.

5.1.8. Непосредственно перед испытанием образцы мерзлого грунта выдерживают не менее 12 ч в установке для испытаний при температуре испытания.

5.2. Изготовление образцов полускального грунта

Образцы полускального грунта изготавливают в форме круглых цилиндров или прямоугольных параллелепипедов, методика приведена в Приложении Б.

5.3. Изготовление образцов дисперсного грунта нарушенного сложения с заданными значениями плотности и влажности

Образцы дисперсного грунта нарушенного сложения с заданными значениями плотности сухого грунта и влажности изготавливают в рабочих кольцах или разъемных формах, методика приведена в Приложении В.

5.4. Среднюю пробу грунта для определения физических характеристик (кроме влажности), не требующих образцов ненарушенного сложения, отбирают методом квартования.

При квартовании конус грунта разравнивают и делят взаимно перпендикулярными линиями, проходящими через центр, на четыре части. Две любые противоположные четверти берут в пробу. Последовательным квартованием сокращают пробу в два, четыре раза и т.д. до получения пробы соответствующей массы.

Из пробы могут быть отобраны навески грунта в соответствии с методикой испытания.

6. Требования к установкам для проведения испытаний, приборам и оборудованию

6.1. Установки для проведения испытаний должны размещаться на жестком горизонтальном основании, исключающем ударные и вибрационные воздействия на приборы и образцы грунта.

6.2. Механизмы для нагружения образца грунта (рычажные, гидравлические, пневматические, электромеханические и др.) должны обеспечивать:

- центрированную (соосную) передачу нормальной нагрузки на образец грунта и ее вертикальность;

- приложение касательной нагрузки в строго фиксированной плоскости среза;

- возможность нагружения образца грунта ступенями или непрерывно при заданной постоянной скорости деформирования образца;

- постоянство давления на каждой ступени нагружения.

6.3. Устройства для измерения деформаций образца грунта в процессе испытания (приборы для автоматической записи деформаций, индикаторы часового типа и т.п.) должны обеспечивать погрешности измерений не более указанных в 4.7.

6.4. Приборы для испытания грунтов необходимо тарировать не реже одного раза в год для учета их собственных деформаций при определении деформаций образца грунта.

6.5. Измерительные приборы должны периодически подвергаться метрологическим поверкам и иметь ведомость поправок в пределах рабочего диапазона каждого прибора.

6.6. Части установок и приборы, соприкасающиеся с водой и грунтом, должны быть изготовлены из коррозионно-стойких материалов.

Приложение А
(рекомендуемое)

МЕТОДЫ ЛАБОРАТОРНЫХ ИСПЫТАНИЙ ГРУНТОВ

Таблица А.1

Характеристика грунта Метод определения Область применения метода
Влажность Влажность, в т.ч. гигроскопическая Высушивание до постоянной массы Все грунты
Суммарная влажность Средней пробой Мерзлые грунты со слоистой и сетчатой криогенной текстурой
Влажность границы текучести Пенетрация конусом Глинистые грунты
Влажность границы раскатывания Раскатывание в жгут Глинистые грунты
Прессование Глинистые грунты
Оптимальная влажность Метод лабораторного определения максимальной плотности Все грунты, кроме органо-минеральных, органических и содержащих частицы крупнее 20 мм
Плотность Плотность грунта Режущим кольцом Грунты, легко поддающиеся вырезке или не сохраняющие свою форму без кольца, сыпучемерзлые и с массивной криогенной текстурой
Взвешивание в воде парафинированных образцов Глинистые немерзлые грунты, склонные к крошению или трудно поддающиеся вырезке
Взвешивание в нейтральной жидкости Мерзлые грунты
Плотность сухого грунта Расчетный Все грунты
Плотность частиц грунта Пикнометрический с водой Все грунты, кроме засоленных и набухающих
Пикнометрический с нейтральной жидкостью Засоленные и набухающие грунты
Двумя пикнометрами Засоленные грунты
Максимальная плотность грунта Метод лабораторного определения максимальной плотности Все грунты, кроме органо-минеральных, органических и содержащих частицы крупнее 20 мм
Состав Гранулометрический (зерновой) состав Ситовой без промывки водой Пески с крупностью зерен от 10 до 0,5 мм
Ситовой с промывкой водой Пески с крупностью зерен от 10 до 0,1 мм
Ареометрический Глинистые грунты
Гранулометрический (зерновой) и микроагрегатный состав Пипеточный Глинистые грунты
Содержание растительных остатков Выделение сухим или мокрым способом Пески и глинистые грунты
Содержание гумуса Оксидометрический после удаления хлоридов Пески и глинистые грунты, содержащие менее 10% гумуса
Сухое сжигание после удаления карбонатов Пески и глинистые грунты, содержащие более 10% гумуса
Водопроницаемость Коэффициент фильтрации При постоянном градиенте напора Пески и глинистые грунты
Деформируемость немерзлых грунтов Модуль деформации; коэффициент поперечной деформации Дренированное испытание при трехосном сжатии Все дисперсные грунты
Коэффициент сжимаемости; модуль деформации Компрессионное сжатие Все дисперсные грунты
Коэффициент фильтрационной и вторичной консолидации Глинистые, органо-минеральные и органические грунты
Структурная прочность Глинистые и органо-минеральные грунты
Относительная просадочность при заданном давлении Компрессионное сжатие по схеме "одной кривой" Глинистые грунты и пески пылеватые (просадочные разности)
Относительная просадочность при различных давлениях и начальное просадочное давление Компрессионное сжатие по схеме "двух кривых"
Относительное набухание при различных давлениях и давление набухания Компрессионное сжатие Глинистые набухающие грунты
Относительная усадка (по высоте, диаметру, объему) При свободной трехосной деформации
Относительное суффозионное сжатие при заданном давлении Компрессионное сжатие по схеме "одной кривой" Засоленные (содержащие легко- и среднерастворимые соли) пески (кроме гравелистых), супеси и суглинки
Относительное суффозионное сжатие при различных давлениях и начальное давление суффозионного сжатия Компрессионное сжатие по схеме "трех кривых"
Прочность немерзлых грунтов Предел прочности на одноосное сжатие Одноосное сжатие Полускальные грунты и глинистые водонасыщенные грунты, сохраняющие форму без кольца
Сопротивление недренированному сдвигу Неконсолидированно-недренированное испытание при трехосном сжатии Глинистые, органо-минеральные и органические водонасыщенные грунты в нестабилизированном состоянии
Угол внутреннего трения; удельное сцепление Консолидированно-недренированное испытание при трехосном сжатии Все дисперсные грунты
Консолидированно-дренированное испытание при трехосном сжатии
Сопротивление срезу; угол внутреннего трения; удельное сцепление Одноплоскостной консолидированно-дренированный (медленный) срез Пески (кроме гравелистых и крупных); глинистые и органо-минеральные грунты
Одноплоскостной неконсолидированный быстрый срез Глинистые и органо-минеральные водонасыщенные грунты с
Прочность и деформируемость мерзлых грунтов Коэффициент сжимаемости Компрессионное сжатие Глинистые пластично-мерзлые грунты
Коэффициент оттаивания;
коэффициент сжимаемости при оттаивании
Компрессионное сжатие Пески (кроме гравелистых), глинистые и заторфованные грунты
Предел прочности на одноосное сжатие;
модуль линейной деформации;
коэффициент поперечного расширения;
коэффициент нелинейной деформации;
коэффициент вязкости для сильнольдистых грунтов
Одноосное сжатие Пески (кроме гравелистых и заторфованных), глинистые грунты (кроме заторфованных)
Предельно длительное значение эквивалентного сцепления Испытание шариковым штампом Пески мелкие и пылеватые, глинистые грунты с содержанием органического вещества не более 10%
Сопротивление срезу по поверхности смерзания Одноплоскостной срез Пески (кроме гравелистых), глинистые грунты с содержанием органического вещества не более 10%
Прочность оттаивающих грунтов Угол внутреннего трения; удельное сцепление Одноплоскостной срез по поверхности мерзлого грунта Пески мелкие и пылеватые, глинистые и органо-минеральные грунты
Примечание. Методы определения прочности и деформируемости мерзлых грунтов не распространяются на сыпучемерзлые грунты.

Приложение Б
(рекомендуемое)

МЕТОДИКА ИЗГОТОВЛЕНИЯ ОБРАЗЦОВ ПОЛУСКАЛЬНОГО ГРУНТА

Б.1. Для изготовления образцов для испытаний полускального грунта применяют следующие оборудование и материалы:

- токарный станок с высотой центров не менее 200 мм;

- сверлильный станок с набором коронарных сверл;

- шлифовальный станок;

- машина камнерезная по ГОСТ 10110;

- дисковая пила;

- стойка типа С-III по ГОСТ 10197 с индикатором часового типа по ГОСТ 577 или многооборотным по ГОСТ 9696;

- угольник поверочный 90° типа УП по ГОСТ 3749;

- штангенциркуль по ГОСТ 166;

- лекальная линейка;

- весы лабораторные по ГОСТ 24104 с гирями по ГОСТ 7328;

- сосуд для насыщения образцов грунта водой.

Б.2. Образцы грунта изготавливают в форме круглых цилиндров или прямоугольных параллелепипедов и отшлифовывают их торцевые поверхности.

Б.3. Проверяют параллельность торцевых поверхностей и их перпендикулярность боковой поверхности.

Параллельность торцевых поверхностей контролируют металлической линейкой или индикатором по двум взаимно перпендикулярным диаметрам (или сторонам параллелепипеда). Отклонение допускается не более 0,1 мм по длине диаметра.

Отклонение от перпендикулярности торцевых поверхностей боковой поверхности образца контролируют угольником в четырех точках каждой торцевой поверхности, смещенных относительно друг друга на 90°. В этих же точках измеряют диаметр (или стороны торцевой грани) и высоту образца. Отклонения при каждом измерении не должны превышать 1,0 мм по длине диаметра (или стороне торцевой грани) и высоте образца.

Длина взаимно перпендикулярных диаметров (или размеров сторон) поперечных сечений, измеряемых штангенциркулем в верхней, средней и нижней частях образца, не должна отличаться более чем на 1,0 мм.

Б.4. Образец грунта, предназначенный для испытания в воздушно-сухом состоянии, высушивают на воздухе до тех пор, пока разница в его массе будет не более (0,5 +/- 0,1) г в сутки.

Б.5. Подготовку образцов, предназначенных для испытаний в водонасыщенном состоянии, проводят следующим образом: образцы помещают в сосуд с дистиллированной водой, погружая их в воду на 1/3 высоты. Через 6 ч уровень воды в сосуде поднимают до верха образцов (не заливая их сверху) и оставляют образцы в таком положении до полного насыщения водой. Насыщение условно считают законченным, когда приращение массы образца в сутки будет менее 1 - 2 г. Перед взвешиванием торцевые грани образца обтирают влажной выжатой марлей.

Приложение В
(рекомендуемое)

МЕТОДИКА ИЗГОТОВЛЕНИЯ ОБРАЗЦОВ ГРУНТА С ЗАДАННЫМИ ЗНАЧЕНИЯМИ ВЛАЖНОСТИ И ПЛОТНОСТИ СУХОГО ГРУНТА

В.1. Для подготовки образца грунта нарушенного сложения с заданными значениями влажности и плотности сухого грунта необходимо грунт просушить, растереть пестиком с резиновым наконечником до исчезновения комков, просеять через сито с отверстиями 2 мм и определить влажность по ГОСТ 5180.

Для получения заданного значения влажности в грунт необходимо добавить расчетное количество воды , см3, определяемое по формуле

, (В.1)

где - масса исследуемого грунта при влажности w, г;

и w - соответственно заданная и исходная влажности грунта, д. е.;

- плотность воды, равная 1 г/см3.

После увлажнения грунт следует тщательно перемешать и поместить в эксикатор (для равномерного распределения влаги) не менее чем на 2 ч с последующим контрольным определением влажности.

В.2. Уплотнение подготовленного в соответствии с В.1 грунта до заданной плотности сухого грунта следует проводить в рабочих кольцах прибора, применяя один из следующих методов: послойное трамбование; обжатие под прессом; уплотнение в приборе стандартного уплотнения падающим грузом.

Для подготовки образца, не сохраняющего форму, рабочее кольцо должно быть с жестким дном.

При уплотнении послойным трамбованием или обжатием под прессом следует предварительно рассчитать массу грунта, которая в объеме рабочего кольца обеспечит заданную плотность сухого грунта , по формуле

, (В.2)

где - внутренний объем рабочего кольца, см3.

При использовании прибора стандартного уплотнения для получения необходимо предварительно определить последовательным приближением высоту сбрасывания груза и число ударов.

В.3. Подготовку образцов насыпного грунта с заданными значениями влажности и плотности сухого грунта следует проводить по В.1, просеивая грунт через сито с отверстиями 10 мм.

Для получения заданного значения влажности (оптимальный или имеющейся в источнике получения ) в грунт необходимо добавить количество воды , определенное по формуле (В.1).

Уплотнение подготовленного грунта до заданной плотности сухого грунта следует проводить в рабочем кольце прибора обжатием под прессом в соответствии с В.2.

Заданная плотность сухого грунта, соответствующая и , определяется по кривой стандартного уплотнения данного грунта, построенной по ГОСТ 22733. Влажности соответствует максимальная плотность сухого грунта ; влажности соответствует плотность сухого грунта на правой ветви кривой стандартного уплотнения.

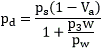
При отсутствии приборов стандартного уплотнения максимальную плотность сухого грунта , г/см3 (при данной влажности), можно ориентировочно определить по формуле

, (В.3)

где - плотность частиц, г/см3;

- содержание воздуха в грунте максимальной плотности, д. е.;

w - фактическая (заданная) влажность грунта, д. е.

Ориентировочные значения составляют:

0,065 - для песков и супесей с ;

0,035 - для супесей с ;

0,035 - для суглинков с ;

0,045 - для суглинков с .

В.4. Расчетное количество воды , см3, необходимое для повышения влажности образцов просадочного грунта ненарушенного сложения с естественной влажностью до значения , определяют по формуле

. (В.4)

После впитывания воды образец в рабочем кольце необходимо поместить на 1 сут в эксикатор, затем взвесить, определить плотность грунта и уточнить полученное значение влажности по формуле

. (В.5)