Грунты. Методы лабораторного определения физических характеристик. ГОСТ 5180-2015

(утв. Приказом Росстандарта от 03.11.2015 N 1694-СТ)
Редакция от 03.11.2015 — Действует с 01.04.2016

МЕЖГОСУДАРСТВЕННЫЙ СТАНДАРТ

ГРУНТЫ

МЕТОДЫ ЛАБОРАТОРНОГО ОПРЕДЕЛЕНИЯ ФИЗИЧЕСКИХ ХАРАКТЕРИСТИК

Soils. Laboratory methods for determination of physical characteristics

ГОСТ 5180-2015

Дата введения
1 апреля 2016 года

Предисловие

Цели, основные принципы и основной порядок проведения работ по межгосударственной стандартизации установлены в ГОСТ 1.0-92 "Межгосударственная система стандартизации. Основные положения" и ГОСТ 1.2-2009 "Межгосударственная система стандартизации. Стандарты межгосударственные, правила и рекомендации по межгосударственной стандартизации. Правила разработки, принятия, применения, обновления и отмены".

Сведения о стандарте

1 РАЗРАБОТАН Открытым акционерным обществом "Производственный и научно-исследовательский институт по инженерным изысканиям в строительстве" (ОАО "ПНИИИС")

2 ВНЕСЕН Техническим комитетом по стандартизации ТК 465 "Строительство"

3 ПРИНЯТ Межгосударственным советом по стандартизации, метрологии и сертификации (протокол от 22 июля 2015 г. N 78-П)

За принятие проголосовали:

Краткое наименование страны по МК (ИСО 3166) 004-97 Код страны по МК (ИСО 3166) 004-97 Сокращенное наименование национального органа по стандартизации
Армения AM Минэкономики Республики Армения
Беларусь BY Госстандарт Республики Беларусь
Казахстан KZ Госстандарт Республики Казахстан
Киргизия KG Кыргызстандарт
Россия RU Росстандарт
Таджикистан TJ Таджикстандарт

4 Приказом Федерального агентства по техническому регулированию и метрологии от 3 ноября 2015 г. N 1694-ст межгосударственный стандарт ГОСТ 5180-2015 введен в действие в качестве национального стандарта Российской Федерации с 1 апреля 2016 г.

5 ВЗАМЕН ГОСТ 5180-84

Информация об изменениях к настоящему стандарту публикуется в ежегодном информационном указателе "Национальные стандарты", а текст изменений и поправок - в ежемесячном информационном указателе "Национальные стандарты". В случае пересмотра (замены) или отмены настоящего стандарта соответствующее уведомление будет опубликовано в ежемесячном информационном указателе "Национальные стандарты". Соответствующая информация, уведомление и тексты размещаются также в информационной системе общего пользования - на официальном сайте Федерального агентства по техническому регулированию и метрологии в сети Интернет.

1. Область применения

Настоящий стандарт распространяется на дисперсные песчаные и глинистые грунты, устанавливает методы лабораторного определения физических характеристик, применяемые при лабораторных испытаниях грунтов в процессе инженерно-геологических изысканий для строительства.

Настоящий стандарт не распространяется на крупнообломочные грунты.

2. Нормативные ссылки

В настоящем стандарте использованы нормативные ссылки на следующие межгосударственные стандарты:

ГОСТ 166-89 (ИСО 3599-76) Штангенциркули. Технические условия

ГОСТ 1770-74 (ИСО 1042-83, ИСО 4788-80) Посуда мерная лабораторная стеклянная. Цилиндры, мензурки, колбы, пробирки. Общие технические условия

ГОСТ 6709-72 Вода. Дистиллированная. Технические условия

ГОСТ 8735-88 Песок для строительных работ. Методы испытаний

ГОСТ 8984-75 Силикагель-индикатор. Технические условия

ГОСТ 9147-80 Посуда и оборудование лабораторные фарфоровые. Технические условия

ГОСТ 10778-83 Шпатели. Технические условия

ГОСТ 12071-2013 Грунты. Отбор, упаковка, транспортирование и хранение образцов

ГОСТ 18481-81 Ареометры и цилиндры стеклянные. Общие технические условия

ГОСТ 22524-77 Пикнометры стеклянные. Технические условия

ГОСТ 24104-2001 <*> Весы лабораторные. Общие технические требования

<*> На территории Российской Федерации действует ГОСТ Р 53228-2008 "Весы неавтоматического действия. Часть 1. Метрологические и технические требования. Испытания".

ГОСТ 25100-2011 Грунты. Классификация

ГОСТ 25336-82 Посуда и оборудование лабораторные стеклянные. Типы, основные параметры и размеры

ГОСТ 28498-90 Термометры жидкостные стеклянные. Общие технические требования. Методы испытаний

ГОСТ 30416-2012 Грунты. Лабораторные испытания. Общие положения

Примечание - При пользовании настоящим стандартом целесообразно проверить действие ссылочных стандартов в информационной системе общего пользования - на официальном сайте Федерального агентства по техническому регулированию и метрологии в сети Интернет или по ежегодному информационному указателю "Национальные стандарты", который опубликован по состоянию на 1 января текущего года, и по соответствующим ежемесячным информационным указателям, опубликованным в текущем году. Если ссылочный стандарт изменен (заменен), то при пользовании настоящим стандартом следует руководствоваться заменяющим (измененным) стандартом. Если ссылочный стандарт отменен без замены, то положение, в котором дана ссылка на него, применяется в части, не затрагивающей эту ссылку.

3. Термины и определения

В настоящем стандарте применены термины по ГОСТ 25100 и ГОСТ 30416, а также следующий термин с соответствующим определением:

3.1 суммарная влажность мерзлого грунта : Отношение массы всех видов воды (ледяных включений, прослоев, линз, порового льда и незамерзшей воды) в мерзлом грунте к массе этого грунта, высушенного до постоянной массы.

4. Общие положения

4.1 Отбор, упаковку, транспортирование и хранение образцов грунта ненарушенного (монолитов) и нарушенного сложения следует проводить в соответствии с ГОСТ 12071.

4.2 Подготовку к испытаниям и определение плотности мерзлых грунтов следует проводить в помещении с отрицательной температурой на не подвергавшихся оттаиванию образцах.

4.3 Физические характеристики следует определять не менее чем для двух параллельных проб, отбираемых из исследуемого образца грунта.

4.4 Значение характеристик вычисляют как среднее арифметическое результатов параллельных определений. Разница между параллельными определениями не должна превышать значений по приложению А. Если разница превышает допустимую, количество определений следует увеличить.

4.5 При обработке результатов испытаний плотность и влажность вычисляют с точностью согласно ГОСТ 30416.

4.6 Погрешность измерения массы (взвешивания) не должна превышать: при массе от 10 до 1000 г - 0,02 г, при массе свыше 1000 г - 5 г.

4.7 Метод определения характеристики грунта выбирается в зависимости от его свойств в соответствии с приложением А ГОСТ 30416. Определение нижнего предела пластичности допускается определять методом прессования согласно приложению И. Определение плотности частиц засоленных грунтов возможно определять, используя метод двух пикнометров (приложение Л).

5. Определение влажности (в т.ч. гигроскопической) грунта методом высушивания до постоянной массы

5.1 Необходимое оборудование:

- сушильный шкаф;

- лабораторные весы по ГОСТ 24104;

- металлические или стеклянные бюксы по ГОСТ 25336;

- шпатель по ГОСТ 10778.

5.2 Подготовка к испытанию

5.2.1 Пробу грунта для определения влажности отбирают массой 15 - 50 г, помещают в заранее высушенный, взвешенный (m) и пронумерованный бюкс и плотно закрывают крышкой. При отборе пробы из образца нарушенной структуры грунт нужно тщательно перемешать, чтобы влажность распределилась по образцу равномерно. Если в исследуемом грунте присутствуют включения, то при отборе пробы на влажность нужно удалить все видимые включения.

5.2.2 Пробу грунта для определения гигроскопической влажности грунта массой 15 - 20 г следует отбирать методом квартования по ГОСТ 8735 из грунта в воздушно-сухом состоянии, растертого, просеянного сквозь сито с сеткой 1 мм и выдержанного открытым не менее 2 часа при данных температуре и влажности воздуха.

5.3 Проведение испытания

5.3.1 Пробу грунта в закрытом бюксе взвешивают.

5.3.2 Открытый бюкс помещают в нагретый сушильный шкаф. Грунт высушивают до постоянной массы при температуре (105 +/- 2)°C.

Загипсованные грунты высушивают при температуре (80 +/- 2) °C.

5.3.3 Песчаные грунты высушивают в течение 3 ч, а остальные - в течение 5 ч.

Последующие высушивания песчаных грунтов производят в течение 1 ч, а остальных - в течение 2 ч.

5.3.4 Загипсованные грунты высушивают в течение 8 ч. Последующие высушивания проводят в течение 2 ч.

5.3.5 После каждого высушивания закрытый бюкс охлаждают до температуры помещения и взвешивают.

Высушивание проводят до получения разности масс грунта с бюксом при двух последующих взвешиваниях не более 0,02 г.

5.3.6 Если при повторном взвешивании грунта, содержащего органические вещества, наблюдается увеличение массы, то за результат взвешивания принимают наименьшую массу.

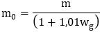
5.4 Обработка результатов

Влажность грунта w, %, вычисляют по формуле:

, (1)

где - масса влажного грунта с бюксом, г;

- масса высушенного грунта с бюксом, г;

m - масса пустого бюкса, г.

Допускается выражать влажность грунта в долях единицы.

Результаты испытаний следует внести в журнал (приложение Б).

6. Определение суммарной влажности мерзлого грунта

6.1 Необходимое оборудование

Используют оборудование по 5.1.

6.2 Подготовка к испытаниям

6.2.1 Образец мерзлого грунта массой 0,5 - 2 кг (в зависимости от криогенной текстуры грунта) помещают в полиэтиленовый пакет, плотно завязывают; для предотвращения вытекания из пакета влаги пакет с грунтом поместить в предварительно высушенную чашку.

6.2.2 Дают грунту оттаять.

6.2.3 Весь образец грунта перемешивают, доводят до однородного состояния.

6.2.4 Пробу грунта отбирают согласно 5.2.1.

6.3 Проведение испытаний

Пробу грунта в бюксе взвешивают и высушивают в соответствии с требованиями 5.3.

6.4 Обработка результатов

Суммарную влажность мерзлого грунта рассчитывают согласно 5.4 по формуле (1).

7. Определение верхнего предела пластичности - влажности грунта на границе текучести методом балансирного конуса

7.1 Границу текучести следует определять как влажность приготовленной из исследуемого грунта пасты, при которой балансирный конус погружается под действием собственной массы за 5 с на глубину 10 мм.

7.2 Необходимое оборудование:

- сушильный шкаф;

- лабораторные весы по ГОСТ 24104;

- металлические или стеклянные бюксы по ГОСТ 25336;

- балансирный конус Васильева с цилиндрической чашкой;

- фарфоровая по ГОСТ 9147 или металлическая чашка диаметром 7 - 8 см;

- шпатель по ГОСТ 10778;

- ступка с пестиком по ГОСТ 9147;

- сито с отверстием 1 мм по действующей нормативной документации <*>;

- мелкая терка;

- вазелин.

<*> На территории Российской Федерации действует ГОСТ Р 51568-99 "Сита лабораторные из металлической проволочной сетки. Технические условия".

Примечание - Балансирный конус представляет собой металлический пенетрационный конус (угол при вершине 30°) с двумя противовесами, жестко закрепленными на нем так, что центр тяжести устройства в рабочем положении опущен ниже вершины конуса для устойчивости при измерениях. Конус имеет кольцевую риску - 10 мм от вершины и общую массу (76 +/- 0,2) г. Комплектуется чашкой для грунтовой пасты и подставкой.

7.3 Подготовка к испытаниям

7.3.1 Для определения границы текучести используют монолиты или образцы нарушенного сложения, для которых требуется сохранение природной влажности.

Для грунтов, содержащих органические вещества и илы, границу текучести определяют сразу после вскрытия образца, не допускается использование данных грунтов в воздушно-сухом состоянии.

Для грунтов, не содержащих органических веществ, возможно использование образцов грунтов в воздушно-сухом состоянии.

7.3.2 Образец грунта природной влажности разминают шпателем в чашке или натирают на мелкой терке с добавкой дистиллированной воды (вода должна соответствовать ГОСТ 6709 по показателям pH и удельной электропроводности (УЭП), если это требуется, удалив из него растительные остатки крупнее 1 мм, отбирают из размельченного грунта методом квартования по ГОСТ 8735 пробу массой около 100 г. При наличии в грунтовой пасте включений размером более 1 мм требуется пропустить грунтовую пасту сквозь сито с сеткой N 1.

Пробу выдерживают в закрытом стеклянном сосуде не менее 2 ч. Для тяжелых суглинков и глин время выдержки увеличить до 6 ч.

7.3.3 При проведении испытания с использованием образца грунта в воздушно-сухом состоянии его растирают в фарфоровой ступке или в растирочной машине, не допуская дробления частиц грунта и одновременно удаляя из него растительные остатки крупнее 1 мм, просеивают сквозь сито с сеткой 1 мм. Прошедший сквозь сито грунт увлажняют дистиллированной водой (вода должна соответствовать ГОСТ 6709 по показателям pH и УЭП) до состояния густой пасты, перемешивая шпателем, и выдерживают в закрытом стеклянном сосуде согласно 7.3.2.

7.3.4 Для удаления избытка влаги из образцов илов производят обжатие грунтовой пасты, помещенной в хлопчатобумажную ткань между листами фильтровальной бумаги, под давлением (пресс, груз). Грунтовую пасту из илов не допускается выдерживать в закрытом стеклянном сосуде.

7.3.5 Добавлять сухой грунт в грунтовую пасту не допускается.

7.4 Проведение испытаний

7.4.1 Подготовленную грунтовую пасту тщательно перемешивают шпателем и небольшими порциями плотно (без воздушных полостей) укладывают в цилиндрическую чашку. Поверхность пасты заглаживают шпателем вровень с краями чашки.

7.4.2 Балансирный конус, смазанный тонким слоем вазелина, подводят к поверхности грунтовой пасты так, чтобы его острие касалось пасты. Затем плавно отпускают конус, позволяя ему погружаться в пасту под действием собственного веса.

7.4.3 Погружение конуса в пасту в течение 5 с на глубину 10 мм показывает, что грунт имеет влажность, соответствующую границе текучести.

7.4.4 При погружении конуса в течение 5 с на глубину менее 10 мм, грунтовую пасту извлекают из чашки, присоединяют к оставшейся пасте, добавляют немного дистиллированной воды (вода должна соответствовать ГОСТ 6709 по показателям pH и УЭП), тщательно перемешивают ее и повторяют операции, указанные в 7.4.1 - 7.4.3.

7.4.5 При погружении конуса за 5 с на глубину более 10 мм грунтовую пасту из чашки перекладывают в фарфоровую чашку, слегка подсушивают на воздухе, непрерывно перемешивая шпателем и повторяют операции, указанные в 7.4.1 - 7.4.3.

7.4.6 По достижении границы текучести (7.4.3) из пасты отбирают пробы массой 15 - 30 г для определения влажности в соответствии с требованиями 5.2 - 5.3.

7.5 Обработка результатов

Влажность грунта на границе текучести рассчитывают в соответствии с требованием 5.4.

Результаты испытаний следует внести в журнал (приложение В).

8. Определение нижнего предела пластичности - влажности грунта на границе раскатывания

8.1 Границу раскатывания (пластичности) следует определять как влажность приготовленной из исследуемого грунта пасты, при которой паста, раскатываемая в жгут диаметром 3 мм, начинает распадаться на кусочки длиной 3 - 10 мм.

8.2 Необходимое оборудование

- сушильный шкаф;

- лабораторные весы по ГОСТ 24104;

- металлические или стеклянные бюксы по ГОСТ 25336;

- балансирный конус Васильева с цилиндрической чашкой;

- фарфоровая по ГОСТ 9147 или металлическая чашка диаметром 7 - 8 см;

- шпатель по ГОСТ 10778;

- ступка с пестиком по ГОСТ 9147;

- сито с отверстием 1 мм по действующей нормативной документации;

- мелкая терка;

- вазелин.

8.3 Подготовка к испытаниям

Подготовку грунта производят в соответствии с 7.3 или используют часть грунта (40 - 50 г), подготовленного для определения текучести.

8.4 Проведение испытаний

8.4.1 Подготовленную грунтовую пасту тщательно перемешивают, берут небольшой кусочек и раскатывают ладонью на стеклянной или пластмассовой пластинке до образования жгута диаметром около 3 мм. Также допускается раскатывание жгута пальцами одной руки по ладони другой. Если при этой толщине жгут сохраняет связность и пластичность, его собирают в комок и вновь раскатывают до образования жгута диаметром около 3 мм. Раскатывать следует, слегка нажимая на жгут, длина жгута не должна превышать ширины ладони. Раскатывание продолжают до тех пор, пока жгут не начинает распадаться по поперечным трещинам на кусочки длиной 3 - 10 мм.

8.4.2 Кусочки распадающегося жгута собирают в бюксы, накрываемые крышками. Когда масса грунта в стаканчиках достигнет 10 - 15 г, определяют влажность в соответствии с требованиями 5.2 - 5.3.

8.5 Обработка результатов

Влажность грунта на границе раскатывания рассчитывают в соответствии с требованиями 5.4.

Результаты испытаний следует внести в журнал (приложение В).

9. Определение плотности грунта (в т.ч. мерзлого) методом режущего кольца

9.1 Необходимое оборудование

- кольцо-пробоотборник;

- кольцо-насадка;

- лабораторные весы по ГОСТ 24104;

- штангенциркуль по ГОСТ 166;

- нож;

- винтовой пресс;

- пластинки с гладкой поверхностью (из стекла, металла и т.д.);

- плоская лопатка;

- вазелин или консистентная смазка.

9.2 Подготовка к испытаниям

9.2.1 Согласно требованиям таблицы 1 выбирают режущее кольцо-пробоотборник.

Таблица 1

Наименование и состояние грунтов Размеры кольца-пробоотборника
Толщина стенки, мм Диаметр внутренний
d, мм
Высота h Угол заточки наружного режущего края
Немерзлые глинистые грунты 1,5 - 2,0 >= 50 0,8d >= h > 0,3d Не более 30°
Немерзлые и сыпучемерзлые песчаные грунты 2,0 - 4,0 >= 70 d >= h > 0,3d Не более 30°
Мерзлые глинистые грунты 3,0 - 4,0 >= 80 h = d 45°

9.2.2 Кольца-пробоотборники изготавливают из стали с антикоррозионным покрытием или из других материалов, не уступающих по твердости и коррозионной стойкости.

9.2.3 Кольца нумеруют, штангенциркулем измеряют внутренний диаметр и высоту с погрешностью не более 0,1 мм и взвешивают. По результатам измерений вычисляют объем кольца с точностью до 0,1 см3.

9.2.4 Пластинки с гладкой поверхностью (из стекла, металла и т.д.) нумеруют и взвешивают.

9.3 Проведение испытания

9.3.1 Кольцо-пробоотборник смазывают с внутренней стороны тонким слоем вазелина или консистентной смазки.

9.3.2 Верхнюю зачищенную плоскость образца грунта выравнивают, срезая излишки грунта ножом, устанавливают на ней режущий край кольца и винтовым прессом или вручную через насадку слегка вдавливают кольцо в грунт, фиксируя границу образца для испытаний. Затем грунт снаружи кольца обрезают на глубину 5 - 10 мм ниже режущего края кольца, формируя столбик диаметром на 1 - 2 мм больше наружного диаметра кольца. Периодически, по мере срезания грунта, легким нажимом пресса или насадки насаживают кольцо на столбик грунта, не допуская перекосов. После заполнения кольца грунт подрезают на 8 - 10 мм ниже режущего края кольца и отделяют его.

Грунт, выступающий за края кольца, срезают ножом, зачищают поверхность грунта вровень с краями кольца и закрывают торцы пластинками.

9.3.3 При пластичном или сыпучем грунте кольцо плавно, без перекосов вдавливают в него и удаляют грунт вокруг кольца. Затем зачищают поверхность грунта, накрывают кольцо пластинкой и подхватывают его снизу плоской лопаткой.

9.3.4 Кольцо с грунтом и пластинками взвешивают.

9.4 Обработка результатов

Плотность грунта , г/см3, вычисляют по формуле

, (2)

где - масса грунта с кольцом и пластинками, г;

- масса кольца, г;

- масса пластинок, г;

V - внутренний объем кольца, см3.

Результаты испытаний следует внести в журнал (приложение Г).

10. Определение плотности грунта методом взвешивания в воде

10.1 Необходимое оборудование

- нож;

- лабораторные весы по ГОСТ 24104;

- нить;

- парафин;

- песчаная баня;

- штатив.

10.2 Подготовка к испытаниям

10.2.1 Вырезают образец грунта объемом не менее 50 см3 и придают ему округлую форму, срезая острые выступающие части.

10.2.2 Образец обвязывают тонкой прочной нитью со свободным концом длиной 15 - 20 см, имеющим петлю для подвешивания к серьге весов.

10.2.3 Парафин, не содержащий примесей, нагревают до температуры 57 °C - 60 °C.

10.3 Проведение испытания

10.3.1 Обвязанный нитью образец грунта взвешивают.

10.3.2 Образец грунта покрывают парафиновой оболочкой, погружая его на 2 - 3 с в нагретый парафин. При этом пузырьки воздуха, обнаруженные в застывшей парафиновой оболочке, удаляют, прокалывая их и заглаживая места проколов нагретой иглой. Эту операцию повторяют до образования плотной парафиновой оболочки.

10.3.3 Охлажденный парафинированный образец взвешивают.

10.3.4 Затем парафинированный образец взвешивают в сосуде с водой. Для этого над чашей весов устанавливают подставку для сосуда с водой так, чтобы исключить ее касание к чаше весов (или снимают подвес с чашей с серьги, уравновесив весы дополнительным грузом). К серьге коромысла подвешивают образец и опускают в сосуд с водой. Объем сосуда и длина нити должны обеспечить полное погружение образца в воду. При этом образец не должен касаться дна и стенок сосуда.

Примечание - Допускается применять метод обратного взвешивания. На чашу циферблатных весов устанавливают сосуд с водой и взвешивают его. Затем в жидкость догружают образец, подвешенный к штативу, и вновь взвешивают сосуд с водой и погруженным в нее образцом.

10.3.5 Взвешенный образец вынимают из воды, промокают фильтровальной бумагой и взвешивают для проверки герметичности оболочки. Если масса образца увеличилась более чем на 0,02 г по сравнению с первоначальной, образец следует забраковать и повторить испытание с другим образцом.

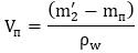
10.4 Обработка результатов

10.4.1 Плотность грунта , г/см3, вычисляют по формуле:

, (3)

где m - масса образца грунта до парафинирования, г;

- масса парафинированного образца грунта, г;

- результат взвешивания образца в воде - разность масс парафинированного образца и вытесненной им воды, г;

- плотность парафина, принимаемая равной 0,900 г/см3;

- плотность воды при температуре испытаний, г/см3.

Примечание - Плотность парафина следует уточнять для каждой партии парафина. Плотность воды, в зависимости от температуры, следует принимать по справочному приложению И.

10.4.2 При применении метода обратного взвешивания плотность грунта вычисляют по формуле

, (4)

где m, , - то же, что и в формуле (3);

- масса сосуда с водой, г;

- масса сосуда с водой и погруженным в нее парафинированным образцом, г.

Результаты испытаний следует внести в журнал (приложение Д).

11. Определение плотности мерзлого грунта методом взвешивания в нейтральной жидкости

11.1 Необходимое оборудование

- нейтральная жидкость (керосин, лигроин и др.);

- ареометр по ГОСТ 18481;

- нить;

- весы лабораторные по ГОСТ 24104;

- штатив.

11.2 Подготовка к испытаниям

11.2.1 Образец грунта и нейтральная жидкость (керосин, лигроин и др.) должны иметь отрицательную температуру.

11.2.2 Образец грунта отбирают округлой формы массой 100 - 150 г и обвязывают нитью (10.2.2). Для грунтов с немассивной криогенной текстурой масса образца может быть увеличена.

11.2.3 Определяют плотность нейтральной жидкости ареометром при температуре испытания.

11.3 Проведение испытаний

11.3.1 Обвязанный нитью образец грунта взвешивают.

11.3.2 Затем образец взвешивают, погрузив его в нейтральную жидкость. Взвешивание производят в соответствии с указаниями 10.3.4.

11.4 Обработка результатов

Плотность грунта , г/см3, вычисляют по формуле

, (5)

где m - масса образца (до погружения), г;

- результат взвешивания образца в нейтральной жидкости - разность масс образца и вытесненной им жидкости, г;

- плотность нейтральной жидкости при температуре испытаний, г/см3.

При применении метода обратного взвешивания плотность грунта вычисляют по формуле

, (6)

где m и - то же, что и в формуле (5);

- масса сосуда с нейтральной жидкостью, г;

- масса сосуда с нейтральной жидкостью и погруженным в нее образцом, г.

Результаты испытаний следует внести в журнал (приложение Е).

12. Определение плотности скелета (сухого) грунта расчетным методом

12.1 Для определения плотности сухого грунта предварительно определяют влажность грунта и его плотность при этой влажности в соответствии с требованиями разделов 5 - 6 и 9 - 11 настоящего стандарта.

12.2 Плотность сухого грунта , г/см3, вычисляют по формуле

, (7)

где - плотность грунта, г/см3;

w - влажность грунта, %.

13. Определение плотности частиц грунта пикнометрическим методом

Примечание - Плотность частиц грунта определяется отношением массы частиц грунта к их объему.

13.1 Необходимое оборудование

- пикнометры емкостью 100, 200 см3 по ГОСТ 22524;

- сушильный шкаф;

- лабораторные весы по ГОСТ 24104;

- металлические или стеклянные бюксы по ГОСТ 25336;

- термометр по ГОСТ 28498;

- песчаная баня;

- дистиллированная вода по ГОСТ 6709;

- ступка с пестиком по ГОСТ 9147;

- сито с отверстием 2 мм по действующей нормативной документации.

13.2 Подготовка к испытаниям

13.2.1 Образец грунта в воздушно-сухом состоянии размельчают в фарфоровой ступке, отбирают методом квартования по ГОСТ 8735 среднюю пробу массой 100 - 200 г и просеивают сквозь сито с сеткой 2 мм, остаток на сите растирают в ступке и просеивают сквозь то же сито.

13.2.2 Из перемешанной средней пробы берут навеску грунта из расчета 15 г на каждые 100 мл емкости пикнометра и высушивают до постоянной массы в соответствии с требованиями 5.2 - 5.3. Навеску заторфованного грунта или торфа следует отбирать из средней пробы из расчета 5 г сухого грунта на каждые 100 мл емкости пикнометра, которая в этом случае должна быть не менее 200 мл.

Допускается использовать грунт в воздушно-сухом состоянии, определив его гигроскопическую влажность.

13.2.3 Дистиллированную воду следует прокипятить в течение 1 ч и хранить в закупоренной бутыли.

13.3 Проведение испытаний

13.3.1 Пикнометр, наполненный на 1/3 дистиллированной водой, взвешивают. Затем через воронку всыпают в него высушенную пробу грунта и снова взвешивают.

13.3.2 Пикнометр с водой и грунтом взбалтывают и ставят кипятить на песчаную баню. Продолжительность спокойного кипячения (с момента начала кипения) должна составлять: для песков и супесей - 30 мин, для суглинков и глин - 1 ч.

13.3.3 После кипячения пикнометр следует охладить и долить дистиллированной водой до мерной риски на горлышке, а если пикнометр с капилляром в пробке - до шейки пикнометра.

Пикнометр охлаждают до комнатной температуры в ванне с водой. Температуру пикнометра определяют по температуре воды в ванне, измеряемой с точностью до +/- 0,5 °C термометром, расположенным в средней части ванны между пикнометрами.

13.3.4 После охлаждения пикнометра следует поправить положение мениска воды в нем, добавляя из капельницы дистиллированную воду. В пикнометре с мерной риской низ мениска должен совпадать с ней. Возможные капли воды выше риски удаляют фильтровальной бумагой. Пикнометр с капилляром доливают примерно до середины шейки пикнометра, закрывают пробку и удаляют выступившую из капилляра воду фильтровальной бумагой. Проверяют отсутствие пузырьков воздуха под пробкой и при их наличии вновь доливают воду.

Пикнометр вытирают снаружи и взвешивают.

13.3.5 Далее выливают содержимое пикнометра, ополаскивают его, наливают в него дистиллированную воду и выдерживают в ванне с водой при той же температуре. Затем выполняют операции, указанные в 13.3.4, и взвешивают пикнометр с водой.

Примечание - При большом количестве испытаний следует заранее определить объемы пикнометров (до мерной риски) и их массы с водой при различных температурах, находящихся в интервале температур испытаний.

Объем пикнометра , см3, вычисляют по формуле

, (8)

где - масса пикнометра с дистиллированной водой (или нейтральной жидкостью) - при температуре тарировки, г;

- масса пустого пикнометра, г;

- плотность воды (или нейтральной жидкости) при той же температуре, г/см3, (см. приложение И - для дистиллированной воды).

Массу пикнометра с дистиллированной водой или нейтральной жидкостью , г, при температуре испытаний вычисляют по формуле 9:

, (9)

где - плотность воды (или нейтральной жидкости) при температуре испытаний.

13.4 Обработка результатов

Плотность частиц грунта , г/см3, вычисляют по формуле

, (10)

где - масса сухого грунта, г;

- масса пикнометра с водой и грунтом после кипячения при температуре испытания, г;

- масса пикнометра с водой при той же температуре, г;

- плотность воды при той же температуре, г/см3.

Примечание - Массу сухого грунта определяют как разность результатов двух взвешиваний, выполненных 13.3.1.

В случае использования грунта в воздушно-сухом состоянии вычисляют по формуле

, (11)

где m - масса пробы воздушно-сухого грунта, г;

- гигроскопическая влажность грунта, %.

Результаты испытаний следует внести в журнал (приложение Ж).

14. Определение плотности частиц грунта пикнометрическим методом с нейтральной жидкостью

14.1 Необходимое оборудование

- пикнометры емкостью 100, 200 см3 по ГОСТ 22524;

- сушильный шкаф;

- лабораторные весы по ГОСТ 24104;

- металлические или стеклянные бюксы по ГОСТ 25336;

- термометр по ГОСТ 28498;

- муфельная печь;

- нейтральная жидкость;

- ареометр для нейтральной жидкости по ГОСТ 18481;

- силикагель-индикатор ГОСТ 8984;

- фарфоровые ступка с пестиком по ГОСТ 9147;

- сито с отверстием 2 мм по действующей нормативной документации.

14.2 Подготовка к испытаниям

14.2.1 Подготовку пробы грунта производят в соответствии с указаниями 13.2.1 и 13.2.2.

14.2.2 Нейтральная жидкость (например, керосин) должна быть обезвожена и профильтрована. Керосин обезвоживают путем взбалтывания его с силикагелем, прокаленным в муфельной печи при температуре 500 °C в течение 4 ч. Силикагель берут из расчета 250 г на 1 л керосина.

Плотность керосина после обезвоживания и очистки должна быть установлена с помощью ареометра.

14.3 Проведение испытаний

Испытания проводят в соответствии с указаниями 13.3.1 - 13.3.5, применяя обезвоженный керосин вместо дистиллированной воды и вакуумирование вместо кипячения: степень разряжения при вакуумировании следует определять по началу выделения пузырьков воздуха; вакуумирование следует продолжать до прекращения выделения пузырьков, но не менее 1 ч. При всех взвешиваниях температура керосина должна быть постоянной, в пределах +/- 1 °C.

14.4 Обработка результатов

Плотность частиц грунта , г/см3, определенную с помощью нейтральной жидкости, вычисляют по формуле

, (12)

где - масса сухого грунта, г;

- масса пикнометра с керосином и грунтом, г;

- масса пикнометра с керосином, г;

- плотность керосина при температуре испытания, г/см3.

Результаты испытаний следует внести в журнал (приложение Ж).

Приложение А
(обязательное)

ДОПУСТИМАЯ РАЗНИЦА R РЕЗУЛЬТАТОВ ПАРАЛЛЕЛЬНЫХ ОПРЕДЕЛЕНИЙ

Влажность грунта w, %
до 5 > 5 > 10 > 50 > 100
r, % 0,2 0,6 2,0 4,0 5,0
Влажность грунта на границе текучести , %
до 80 80 и более
r, % 2,0 4,0
Влажность грунта на границе раскатывания , %
до 40 40 и более
r, % 2,0 4,0
Плотность грунта , г/см3
Песчаные грунты Глинистые грунты
r, г/см3 0,04 0,03
Плотность частиц грунта , г/см3
До 2,75 2,75 и более
r, г/см3 0,02 0,03

Приложение Б
(рекомендуемое)

ЖУРНАЛ ОПРЕДЕЛЕНИЯ ВЛАЖНОСТИ ГРУНТА

N п/п Дата Лабораторный номер образца Номер выработки Глубина отбора образца грунта, м Номер бюкса Масса бюкса m, г Масса влажного грунта с бюксом , г Масса высушенного грунта с бюксом и крышкой , г Влажность w, %
1-е взвешивание 2-е взвешивание Отдельной пробы Средняя
1 2 3 4 5 6 7 8 9 10 11 12
                     

Приложение В
(рекомендуемое)

ЖУРНАЛ ОПРЕДЕЛЕНИЯ ГРАНИЦ ТЕКУЧЕСТИ И РАСКАТЫВАНИЯ ГЛИНИСТЫХ ГРУНТОВ

N п/п Дата Лабораторный номер образца Номер выработки Глубина отбора образца грунта, м Граница текучести
Номер бюкса Масса бюкса m, г Масса влажного грунта с бюксом , г Масса высушенного грунта с бюксом , г Граница текучести , %
1-е взвешивание 2-е взвешивание отдельной пробы средняя
1 2 3 4 5 6 7 8 9 10 11 12
                     

Продолжение

Граница раскатывания Число пластичности , %, Примечания
Номер бюкса Масса бюкса m, г Масса влажного грунта с бюксом , г Масса высушенного грунта с бюксом , г Граница раскатывания , %
1-е взвешивание 2-е взвешивание Отдельной пробы Средняя
13 14 15 16 17 18 19 20 21
               

Приложение Г
(рекомендуемое)

ЖУРНАЛ ОПРЕДЕЛЕНИЯ ПЛОТНОСТИ ГРУНТА МЕТОДОМ РЕЖУЩЕГО КОЛЬЦА

N п/п Дата Лабораторный номер образца Номер выработки Глубина отбора образца грунта, м Номер кольца Номер пластинок Масса кольца с грунтом и пластинками , г Масса кольца , г Масса пластинок, г Масса грунта, г Объем грунта V, см3 Плотность грунта , г/см3
верхней нижней верхней нижней образца средняя
1 2 3 4 5 6 7 8 9 10 11 12 13 14 15 16
                             

Приложение Д
(рекомендуемое)

ЖУРНАЛ ОПРЕДЕЛЕНИЯ ПЛОТНОСТИ ГРУНТА МЕТОДОМ ВЗВЕШИВАНИЯ В ВОДЕ ПАРАФИНИРОВАННЫХ ОБРАЗЦОВ

N п/п Дата Лабораторный номер образца грунта Номер выработки Глубина отбора образца грунта, м Масса, г Плотность , г/см3
грунта до парафинирования парафинированного грунта парафинированного грунта в воде контрольное взвешивание парафинированного грунта образца средняя
1 2 3 4 5 6 7 8 9 10 11
                   

Приложение Е
(рекомендуемое)

ЖУРНАЛ ОПРЕДЕЛЕНИЯ ПЛОТНОСТИ ГРУНТА МЕТОДОМ ВЗВЕШИВАНИЯ ОБРАЗЦА В НЕЙТРАЛЬНОЙ ЖИДКОСТИ

N п/п Дата Лабораторный номер образца Номер выработки Глубина отбора образца грунта, м Масса, г Температура жидкости, °C Плотность нейтральной жидкости , г/см3 Плотность , г/см3
образца в воздухе образца в нейтральной жидкости образца средняя
1 2 3 4 5 6 7 8 9 10 11
                   

Приложение Ж
(рекомендуемое)

ЖУРНАЛ ОПРЕДЕЛЕНИЯ ПЛОТНОСТИ ЧАСТИЦ ГРУНТА ПИКНОМЕТРИЧЕСКИМ МЕТОДОМ

N п/п Дата Лабораторный номер образца Номер выработки Глубина отбора образца, м Номер пикнометра Масса, г Температура воды (керосина), °C Плотность частиц грунта , г/см3
пикнометра, заполненного водой (керосином) на 1/3 его емкости пикнометра, заполненного водой (керосином) на 1/3 его емкости и грунтом пикнометра с водой (керосином) и грунтом пикнометра с водой (керосином) сухого грунта образца средняя
1 2 3 4 5 6 7 8 9 10 11 12 13 14
                         

Приложение И
(справочное)

ПЛОТНОСТЬ ВОДЫ ПРИ РАЗЛИЧНЫХ ТЕМПЕРАТУРАХ

Температура, °C Плотность, г/см3 Температура, °C Плотность, г/см3
0 - 12 1,000 24 - 27 0,997
12 - 18 0,999 29 - 30 0,996
19 - 23 0,998 31 - 33 0,995

Приложение К
(рекомендуемое)

ОПРЕДЕЛЕНИЕ ГРАНИЦЫ РАСКАТЫВАНИЯ (ПЛАСТИЧНОСТИ) МЕТОДОМ ПРЕССОВАНИЯ

К.1 Границу раскатывания допускается определять как влажность грунтовой пасты, устанавливающуюся после прессования ее в контакте с целлюлозой (фильтровальной бумагой) под давлением 2 МПа (20 кг/см2) до завершения водоотдачи грунта.

К.2 Необходимое оборудование

- сушильный шкаф;

- лабораторные весы по ГОСТ 24104;

- металлические или стеклянные бюксы по ГОСТ 25336;

- фарфоровая по ГОСТ 9147 или металлическая чашка диаметром 7 - 8 см;

- шпатель по ГОСТ 10778;

- фарфоровые ступка с пестиком по ГОСТ 9147;

- сито с отверстием 1 мм по действующей нормативной документации;

- фильтровальная бумага;

- деревянные или металлические пластинки;

- пресс.

К.3 Подготовка к испытанию

Подготовку грунта проводят в соответствии с 7.3 или используют часть грунта (40 - 50 г), подготовленного для определения текучести.

К.4 Проведение испытаний

К.4.1 Шаблон толщиной 2 мм с отверстием 5 см укладывают на хлопчатобумажную ткань и заполняют грунтовой пастой, подготовленной по 7.3 настоящего стандарта. Избыток пасты срезают ножом вровень с поверхностью шаблона. Шаблон удаляют, а полученный образец покрывают сверху такой же тканью.

К.4.2 Снизу и сверху подготовленного образца укладывают по 20 листов фильтровальной бумаги размерами 9 x 9 см. Подготовленный образец помещают между деревянными или металлическими пластинками и создают с помощью пресса давление на образец 2 МПа (20 кг/см2) в течение 10 мин.

К.4.3 Затем проводят контроль завершения водоотдачи грунта. Для этого снимают давление пресса, вынимают образец и, удалив фильтровальную бумагу и ткань, сгибают образец пополам. Границу раскатывания считают достигнутой, если образец на сгибе дает трещину.

К.4.4 При отсутствии трещины определение повторяют на новой порции пасты, увеличив длительность прессования на 10 мин по сравнению с длительностью предыдущего испытания. Повторные прессования повторяют до тех пор, пока не будет достигнута граница раскатывания грунта в соответствии с п. К.4.3 настоящего приложения.

К.4.5 По достижении границы раскатывания сразу определяют влажность образца в соответствии с указаниями раздела 5 настоящего стандарта.

К.4.6 Для контроля применимости метода для грунтов, поступающих в лабораторию, не менее 20% общего числа образцов из каждого инженерно-геологического элемента следует испытывать параллельно методом раскатывания согласно указаниям раздела 8 настоящего стандарта. Метод прессования допускается применять только при получении сопоставимых результатов контрольных определений.

Приложение Л
(рекомендуемое)

ОПРЕДЕЛЕНИЕ ПЛОТНОСТИ ЧАСТИЦ ЗАСОЛЕННЫХ ГРУНТОВ В ВОДЕ МЕТОДОМ ДВУХ ПИКНОМЕТРОВ

Л.1 Необходимое оборудование

- пикнометры емкостью 100, 200 см3 по ГОСТ 22524;

- сушильный шкаф;

- лабораторные весы по ГОСТ 24104;

- металлические или стеклянные бюксы по ГОСТ 25336;

- термометр по ГОСТ 28498;

- песчаная баня;

- дистиллированная вода по ГОСТ 6709;

- фарфоровые ступка с пестиком по ГОСТ 9147;

- сито с отверстием 2 мм по действующей нормативной документации.

Л.2 Подготовка к испытанию

Подготовку образцов грунта к испытаниям следует проводить в соответствии с указаниями 13.2 настоящего стандарта.

Л.3 Проведение испытаний

Л.3.1 Выполняют операции, указанные в 13.3.1 - 13.3.3 настоящего стандарта.

Л.3.2 С помощью резиновой груши следуют осторожно отсасывать осветленную жидкость из верхней части пикнометра в малый пикнометр, объем которого не должен превышать 60% - 80% объема основного пикнометра. Положение мениска в малом пикнометре устанавливают согласно 13.3.4 настоящего стандарта, добавляя в него по каплям осветленный солевой раствор из большого пикнометра, при этом, не допуская взмучивания осадка в большом пикнометре.

Малый пикнометр с жидкостью следует вытереть насухо и взвесить.

Л.3.3 Солевой раствор из малого пикнометра и суспензию из большого пикнометра выливают, прополаскивают их дистиллированной водой, наливают дистиллированную воду и выдерживают в ванне с водой.

Л.3.4 Далее выполняют операции, указанные в 13.3.4 настоящего стандарта, и взвешивают пикнометры с водой.

Л.4 Обработка результатов

Л.4.1 Плотность частиц засоленного грунта , г/см3, вычисляют по формуле

, (Л.1)

где - масса грунта в пикнометре, г;

- масса большого пикнометра (пустого), г;

- масса большого пикнометра с водой и грунтом, г;

- масса большого пикнометра с водой, г;

- масса малого пикнометра (пустого), г;

- масса малого пикнометра с водой, г;

- масса малого пикнометра с солевым раствором, г;

- плотность растворимых солей (допускается принимать = 2,20 г/см3);

- плотность воды при температуре испытания, г/см3.