МИНИСТЕРСТВО ЭКОНОМИЧЕСКОГО РАЗВИТИЯ РОССИЙСКОЙ ФЕДЕРАЦИИ
ПРИКАЗ
от 22 апреля 2021 г. N 214
О ВНЕСЕНИИ ИЗМЕНЕНИЙ В ПРИКАЗ МИНЭКОНОМРАЗВИТИЯ РОССИИ ОТ 28 ДЕКАБРЯ 2020 Г. N 872 "ОБ УТВЕРЖДЕНИИ МЕТОДИК РАСЧЕТА ПОКАЗАТЕЛЕЙ ФЕДЕРАЛЬНОГО ПРОЕКТА "АДРЕСНАЯ ПОДДЕРЖКА ПОВЫШЕНИЯ ПРОИЗВОДИТЕЛЬНОСТИ ТРУДА НА ПРЕДПРИЯТИЯХ", ВХОДЯЩЕГО В СТРУКТУРУ НАЦИОНАЛЬНОГО ПРОЕКТА "ПРОИЗВОДИТЕЛЬНОСТЬ ТРУДА"
Внести в приказ Минэкономразвития России от 28 декабря 2020 г. N 872 "Об утверждении методик расчета показателей федерального проекта "Адресная поддержка повышения производительности труда на предприятиях", входящего в структуру национального проекта "Производительность труда", изменения согласно приложению.
Министр
М.Г. РЕШЕТНИКОВ
Приложение
к приказу Минэкономразвития России
от 22.04.2021 N 214
ИЗМЕНЕНИЯ, КОТОРЫЕ ВНОСЯТСЯ В ПРИКАЗ МИНЭКОНОМРАЗВИТИЯ РОССИИ ОТ 28 ДЕКАБРЯ 2020 Г. N 872 "ОБ УТВЕРЖДЕНИИ МЕТОДИК РАСЧЕТА ПОКАЗАТЕЛЕЙ ФЕДЕРАЛЬНОГО ПРОЕКТА "АДРЕСНАЯ ПОДДЕРЖКА ПОВЫШЕНИЯ ПРОИЗВОДИТЕЛЬНОСТИ ТРУДА НА ПРЕДПРИЯТИЯХ", ВХОДЯЩЕГО В СТРУКТУРУ НАЦИОНАЛЬНОГО ПРОЕКТА "ПРОИЗВОДИТЕЛЬНОСТЬ ТРУДА"
1. Пункт 1 дополнить абзацами следующего содержания:
"Методику расчета показателя "Доля предприятий, достигших ежегодного 5% прироста производительности труда на предприятиях-участниках, внедряющих мероприятия национального проекта под федеральным и региональным управлением в течение трех лет участия в проекте" (приложение N 20);
Методику расчета показателя "Доля предприятий, достигших ежегодного 10% прироста производительности труда на предприятиях-участниках, внедряющих мероприятия национального проекта под федеральным управлением (оказание расширенной поддержки) в течение трех лет участия в проекте" (приложение N 21).".
2. В абзацах первом и пятом пункта 2 приложения N 12 к указанному приказу слова "до 2021 года" исключить.
3. Дополнить приложениями N 20 и N 21 в следующей редакции:
"Приложение N 20
к приказу Минэкономразвития России
от 28 декабря 2020 г. N 872
МЕТОДИКА
РАСЧЕТА ПОКАЗАТЕЛЯ "ДОЛЯ ПРЕДПРИЯТИЙ, ДОСТИГШИХ ЕЖЕГОДНОГО 5% ПРИРОСТА ПРОИЗВОДИТЕЛЬНОСТИ ТРУДА НА ПРЕДПРИЯТИЯХ-УЧАСТНИКАХ, ВНЕДРЯЮЩИХ МЕРОПРИЯТИЯ НАЦИОНАЛЬНОГО ПРОЕКТА ПОД ФЕДЕРАЛЬНЫМ И РЕГИОНАЛЬНЫМ УПРАВЛЕНИЕМ В ТЕЧЕНИЕ ТРЕХ ЛЕТ УЧАСТИЯ В ПРОЕКТЕ"
1. Настоящая Методика применяется для расчета показателя "Доля предприятий, достигших ежегодного 5% прироста производительности труда на предприятиях-участниках, внедряющих мероприятия национального проекта под федеральным и региональным <1> управлением в течение трех лет участия в проекте <2>" (далее - Показатель), включенного в перечень показателей федерального проекта "Адресная поддержка повышения производительности труда на предприятиях", входящего в структуру национального проекта "Производительность труда" (далее - национальный проект).
<1> Здесь и далее в документе под предприятием-участником под региональным управлением понимается предприятие - участник национального проекта, работающее при поддержке регионального центра компетенций (далее - РЦК).
<2> Не менее чем на 5%, по результатам первого, второго и третьего годов участия предприятия в национальном проекте "Производительность труда", следующих за базовым годом соответственно, по сравнению с предыдущим годом. Базовым годом участия предприятия в национальном проекте считается предыдущий год, если соглашение о сотрудничестве с АНО "Федеральный центр компетенций в сфере производительности труда" (далее - ФЦК) или РЦК заключено в период с 1 апреля предыдущего года по 31 марта текущего года. Текущий год определяется в качестве базового, если соглашение заключено после 1 апреля текущего года.
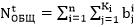
2. Показатель рассчитывается как соотношение количества предприятий, вовлеченных в национальный проект до 31 марта (включительно) года t <3>, на которых прирост производительности труда соответствует или превышает целевой показатель в 5%, к общему количеству предприятий, вовлеченных в национальный проект до 31 марта (включительно) года t, в процентах, за отчетный период по следующей формуле:
<3> Год, за который производится расчет (расчетный год).
где:
- доля предприятий в год t от общего числа предприятий, вовлеченных в национальный проект до 31 марта (включительно) года t, внедряющих мероприятия национального проекта под федеральным и региональным управлением, на которых прирост производительности труда по итогам года t составляет не менее 5% по отношению к году t-1, процентов;
- количество предприятий в году t, вовлеченных в национальный проект до 31 марта (включительно) года t, внедряющих мероприятия национального проекта под федеральным и региональным управлением, прирост производительности труда на которых составляет не менее 5% по отношению к году t-1, единиц;
- общее количество предприятий в году t, вовлеченных в национальный проект до 31 марта (включительно) года t, внедряющих мероприятия национального проекта под федеральным и региональным управлением, единиц.
, если до 31 марта года t было заключено соглашение о сотрудничестве:
- между ФЦК и предприятием j, при условии заключенного соглашения между регионом i и предприятием j;
- либо соглашение о сотрудничестве между РЦК и предприятием j, при условии заключенного соглашения между регионом i и предприятием j;
иначе .
- количество предприятий-участников, внедряющих мероприятия национального проекта под федеральным и региональным управлением в течение трех лет участия в проекте в регионе i, единиц;
n - количество субъектов Российской Федерации, единиц. В случае если расчет применяется для субъекта Российской Федерации, показатель n будет равен 1.
При расчете показателя для конкретного субъекта Российской Федерации в случае отсутствия базы для расчета показатель считается неприменимым (Н/Д) по итогам расчетного года.
В случае если расчет применяется для субъекта Российской Федерации, показатели ,
и
рассчитываются только по конкретному субъекту.
Индексы роста производительности труда предприятия рассчитываются согласно Методике расчета показателей производительности труда предприятия, отрасли, субъекта Российской Федерации, утвержденной приказом Минэкономразвития России от 28 декабря 2018 г. N 748 (с изменениями, внесенными приказом Минэкономразвития России от 3 декабря 2020 г. N 801).
3. Источником информации для расчета Показателя являются данные из налоговой отчетности предприятий - участников национального проекта.
4. Минэкономразвития России направляет в адрес ФНС России перечень предприятий - участников национального проекта с указанием полного наименования предприятия и ИНН (далее - Перечень) в срок не ранее 1 июля года, следующего за отчетным.
В случае если в Перечне содержится более 100 организаций, ФНС России в течение 30 календарных дней после получения Перечня направляет в адрес Минэкономразвития России массив обезличенной информации из налоговой отчетности предприятий - участников национального проекта в формате Excel. Информация о составе данных из налоговой отчетности предприятий - участников национального проекта приведена в таблице N 1, являющейся приложением к настоящей Методике.
В случае если в Перечне содержится от 3 до 99 организаций, ФНС России в течение 30 календарных дней после получения Перечня направляет в адрес Минэкономразвития России данные по перечню, приведенному в таблице N 2, являющейся приложением к настоящей Методике, из налоговой отчетности тех предприятий, которые в соответствии с подпунктом 1 пункта 1 статьи 102 Налогового кодекса Российской Федерации являются общедоступными, в том числе ставшими таковыми с согласия их обладателя - налогоплательщика (плательщика страховых взносов). В отношении остальных компаний Перечня данные предоставляются в агрегированном виде в формате Excel.
В случае если Минэкономразвития России не представлен Перечень, ФНС России освобождается от обязанности представления данных из налоговой отчетности предприятий.
5. Единица измерения Показателя - процент (код по ОКЕИ - 744).
6. Периодичность предоставления Показателя - ежегодно, срок - до 1 ноября года, следующего за отчетным.
7. Уровень агрегирования информации - по Российской Федерации, субъектам Российской Федерации.
8. Субъектом официального статистического учета, ответственным за формирование официальной статистической информации по Показателю, является Минэкономразвития России.
Приложение
к Методике расчета показателя
"Доля предприятий, достигших
ежегодного 5% прироста
производительности труда
на предприятиях-участниках,
внедряющих мероприятия национального
проекта под федеральным и региональным
управлением в течение трех лет
участия в проекте", утвержденной
приказом Минэкономразвития России
от 28 декабря 2020 г. N 872
Таблица N 1
Данные из налоговой отчетности предприятий - участников национального проекта "Производительность труда"
за "____" год
| 1 | Порядковый номер предприятия | Предприятие N _ | N <1> | N + 1 | N + 2 | N + 3 |
| 2 | ID предприятия | ID предприятия | ||||
| 3 | Период | Год | ||||
| 4 | Вид деятельности | Код ОКВЭД-2 | ||||
| 5 | НД по единому сельскохоз. налогу: стр. 10 Раздел 2, тыс. рублей | Доходы ЕСХН | ||||
| 6 | НД по единому сельскохоз. налогу: стр. 20 Раздел 2, тыс. рублей | Расходы ЕСХН | ||||
| 7 | НД по налогу на прибыль: стр. 011 Прил. 1 к Листу 02, тыс. рублей | Выручка 011 | ||||
| 8 | НД по налогу на прибыль: стр. 012 Прил. 1 к Листу 02, тыс. рублей | Выручка 012 | ||||
| 9 | НД по налогу на прибыль: стр. 010 Прил. 2 к Листу 02, тыс. рублей | Прямые расходы 010 | ||||
| 10 | НД по налогу на прибыль: стр. 020 Прил. 2 к Листу 02, тыс. рублей | Прямые расходы 020 | ||||
| 11 | НД по налогу на прибыль: стр. 040 Прил. 2 к Листу 02 (без учета расходов по строкам 042 - 047, 052), тыс. рублей | Косвенные расходы 040 | ||||
| 12 | НД по налогу на прибыль: стр. 131 Прил. 2 к Листу 02, тыс. рублей | Амортизация 131 | ||||
| 13 | НД по налогу на прибыль: стр. 133 Прил. 2 к Листу 02, тыс. рублей | Амортизация 133 |
<1> N - базовый год предприятия.
| 14 | Стр. 20 раздела 1 справки 6-НДФЛ (без учета дохода по строке 025), тыс. рублей <1>. Стр. 110 раздела 2 справки 6-НДФЛ (без учета дохода по строке 111), тыс. рублей <2>. | Расходы на оплату труда | ||||
| 15 | Стр. 220 раздела 2 (сумма по всем листам при наличии более одного листа) Налоговой декларации по налогу на имущество, тыс. рублей | Налог на имущество организаций | ||||
| 16 | КНД 1151111: стр. 030 раздела 1 РСВ, тыс. рублей | Страховые взносы 030 | ||||
| 17 | КНД 1151111: стр. 050 раздела 1 РСВ, тыс. рублей | Страховые взносы 050 | ||||
| 18 | КНД 1151111: стр. 070 раздела 1 РСВ, тыс. рублей | Страховые взносы 070 | ||||
| 19 | КНД 1151111: стр. 090 раздела 1 РСВ, тыс. рублей | Страховые взносы 090 | ||||
| 20 | КНД 1151111: стр. 110 раздела 1 РСВ, тыс. рублей | Страховые взносы 110 | ||||
| 21 | РСВ: стр. 010 подразд. 1.1 прил. 1 за I кв., столбец 2, человек <3> | ССЧ Январь | ||||
| 22 | РСВ: стр. 010 подразд. 1.1 прил. 1 за I кв., столбец 3, человек | ССЧ Февраль | ||||
| 23 | РСВ: стр. 010 подразд. 1.1 прил. 1 за I кв., столбец 4, человек | ССЧ Март | ||||
| 24 | РСВ: стр. 010 подразд. 1.1 прил. 1 за II кв., столбец 2, человек | ССЧ Апрель | ||||
| 25 | РСВ: стр. 010 подразд. 1.1 прил. 1 за II кв., столбец 3, человек | ССЧ Май | ||||
| 26 | РСВ: стр. 010 подразд. 1.1 прил. 1 за II кв., столбец 4, человек | ССЧ Июнь | ||||
| 27 | РСВ: стр. 010 подразд. 1.1 прил. 1 за III кв., столбец 2, человек | ССЧ Июль | ||||
| 28 | РСВ: стр. 010 подразд. 1.1 прил. 1 за III кв., столбец 3, человек | ССЧ Август | ||||
| 29 | РСВ: стр. 010 подразд. 1.1 прил. 1 за III кв., столбец 4, человек | ССЧ Сентябрь | ||||
| 30 | РСВ: стр. 010 подразд. 1.1 прил. 1 за IV кв., столбец 2, человек | ССЧ Октябрь | ||||
| 31 | РСВ: стр. 010 подразд. 1.1 прил. 1 за IV кв., столбец 3, человек | ССЧ Ноябрь | ||||
| 32 | РСВ: стр. 010 подразд. 1.1 прил. 1 за IV кв., столбец 4, человек | ССЧ Декабрь |
<1> В соответствии с приказом ФНС России от 15 октября 2020 г. N ЕД-7-11/753@ применяется до 2020 года включительно.
<2> В соответствии с приказом ФНС России от 15 октября 2020 г. N ЕД-7-11/753@ применяется начиная с 2021 года.
<3> В соответствии с приказом ФНС России от 10 октября 2016 г. N ММВ-7-11/551@ до 2019 года включительно применяются столбцы 3 - 5 (январь, апрель, июль, октябрь - столбец 3; февраль, май, август, ноябрь - столбец 4; март, июнь, сентябрь, декабрь - столбец 5).
Таблица N 2
Данные из налоговой отчетности предприятий - участников национального проекта "Производительность труда"
за "____" год
| 1 | Полное наименование организации | Название компании | N <1> | N + 1 | N + 2 | N + 3 |
| 2 | ИНН | ИНН | ||||
| 3 | Период | Год | ||||
| 4 | Вид деятельности | Код ОКВЭД-2 | ||||
| 5 | НД по единому сельскохоз. налогу: стр. 10 Раздел 2, тыс. рублей | Доходы ЕСХН | ||||
| 6 | НД по единому сельскохоз. налогу: стр. 20 Раздел 2, тыс. рублей | Расходы ЕСХН | ||||
| 7 | НД по налогу на прибыль: стр. 011 Прил. 1 к Листу 02, тыс. рублей | Выручка 011 | ||||
| 8 | НД по налогу на прибыль: стр. 012 Прил. 1 к Листу 02, тыс. рублей | Выручка 012 | ||||
| 9 | НД по налогу на прибыль: стр. 010 Прил. 2 к Листу 02, тыс. рублей | Прямые расходы 010 | ||||
| 10 | НД по налогу на прибыль: стр. 020 Прил. 2 к Листу 02, тыс. рублей | Прямые расходы 020 | ||||
| 11 | НД по налогу на прибыль: стр. 040 Прил. 2 к Листу 02 (без учета расходов по строкам 042 - 047, 052), тыс. рублей | Косвенные расходы 040 | ||||
| 12 | НД по налогу на прибыль: стр. 131 Прил. 2 к Листу 02, тыс. рублей | Амортизация 131 | ||||
| 13 | НД по налогу на прибыль: стр. 133 Прил. 2 к Листу 02, тыс. рублей | Амортизация 133 | ||||
| 14 | Стр. 20 раздела 1 справки 6-НДФЛ (без учета дохода по строке 025), тыс. рублей <2>. Стр. 110 раздела 2 справки 6-НДФЛ (без учета дохода по строке 111), тыс. рублей <3>. | Расходы на оплату труда | ||||
| 15 | Стр. 220 раздела 2 (сумма по всем листам при наличии более одного листа) Налоговой декларации по налогу на имущество, тыс. рублей | Налог на имущество организаций | ||||
| 16 | КНД 1151111: стр. 030 раздела 1 РСВ, тыс. рублей | Страховые взносы 030 | ||||
| 17 | КНД 1151111: стр. 050 раздела 1 РСВ, тыс. рублей | Страховые взносы 050 |
<1> N - базовый год предприятия.
<2> В соответствии с приказом ФНС России от 15 октября 2020 г. N ЕД-7-11/753@ применяется до 2020 года включительно.
<3> В соответствии с приказом ФНС России от 15 октября 2020 г. N ЕД-7-11/753@ применяется начиная с 2021 года.
| 18 | КНД 1151111: стр. 070 раздела 1 РСВ, тыс. рублей | Страховые взносы 070 | ||||
| 19 | КНД 1151111: стр. 090 раздела 1 РСВ, тыс. рублей | Страховые взносы 090 | ||||
| 20 | КНД 1151111: стр. 110 раздела 1 РСВ, тыс. рублей | Страховые взносы 110 | ||||
| 21 | РСВ: стр. 010 подразд. 1.1 прил. 1 за I кв., столбец 2, человек <1> | ССЧ Январь | ||||
| 22 | РСВ: стр. 010 подразд. 1.1 прил. 1 за I кв., столбец 3, человек | ССЧ Февраль | ||||
| 23 | РСВ: стр. 010 подразд. 1.1 прил. 1 за I кв., столбец 4, человек | ССЧ Март | ||||
| 24 | РСВ: стр. 010 подразд. 1.1прил. 1 за II кв., столбец 2, человек | ССЧ Апрель | ||||
| 25 | РСВ: стр. 010 подразд. 1.1 прил. 1 за II кв., столбец 3, человек | ССЧ Май | ||||
| 26 | РСВ: стр. 010 подразд. 1.1 прил. 1 за II кв., столбец 4, человек | ССЧ Июнь | ||||
| 27 | РСВ: стр. 010 подразд. 1.1 прил. 1 за III кв., столбец 2, человек | ССЧ Июль | ||||
| 28 | РСВ: стр. 010 подразд. 1.1 прил. 1 за III кв., столбец 3, человек | ССЧ Август | ||||
| 29 | РСВ: стр. 010 подразд. 1.1 прил. 1 за III кв., столбец 4, человек | ССЧ Сентябрь | ||||
| 30 | РСВ: стр. 010 подразд. 1.1 прил. 1 за IV кв., столбец 2, человек | ССЧ Октябрь | ||||
| 31 | РСВ: стр. 010 подразд. 1.1 прил. 1 за IV кв., столбец 3, человек | ССЧ Ноябрь | ||||
| 32 | РСВ: стр. 010 подразд. 1.1 прил. 1 за IV кв., столбец 4, человек | ССЧ Декабрь |
<1> В соответствии с приказом ФНС России от 10 октября 2016 г. N ММВ-7-11/551@ до 2019 года включительно применяются столбцы 3 - 5 (январь, апрель, июль, октябрь - столбец 3; февраль, май, август, ноябрь - столбец 4; март, июнь, сентябрь, декабрь - столбец 5).
Приложение N 21
к приказу Минэкономразвития России
от 28 декабря 2020 г. N 872
МЕТОДИКА
РАСЧЕТА ПОКАЗАТЕЛЯ "ДОЛЯ ПРЕДПРИЯТИЙ, ДОСТИГШИХ ЕЖЕГОДНОГО 10% ПРИРОСТА ПРОИЗВОДИТЕЛЬНОСТИ ТРУДА НА ПРЕДПРИЯТИЯХ-УЧАСТНИКАХ, ВНЕДРЯЮЩИХ МЕРОПРИЯТИЯ НАЦИОНАЛЬНОГО ПРОЕКТА ПОД ФЕДЕРАЛЬНЫМ УПРАВЛЕНИЕМ (ОКАЗАНИЕ РАСШИРЕННОЙ ПОДДЕРЖКИ) В ТЕЧЕНИЕ ТРЕХ ЛЕТ УЧАСТИЯ В ПРОЕКТЕ"
1. Настоящая Методика применяется для расчета показателя "Доля предприятий, достигших ежегодного 10% прироста производительности труда на предприятиях-участниках, внедряющих мероприятия национального проекта под федеральным управлением (оказание расширенной поддержки) в течение трех лет участия в проекте <1>" (далее - Показатель), включенного в перечень показателей федерального проекта "Адресная поддержка повышения производительности труда на предприятиях", входящего в структуру национального проекта "Производительность труда" (далее - национальный проект).
<1> Не менее чем на 10%, по результатам первого, второго и третьего годов участия предприятия в национальном проекте "Производительность труда", следующих за базовым годом соответственно, по сравнению с предыдущим годом. Базовым годом участия предприятия в национальном проекте "Производительность труда" считается предыдущий год, если соглашение о сотрудничестве с АНО "Федеральный центр компетенций в сфере производительности труда" (далее - ФЦК) или региональным центром компетенций (далее - РЦК) заключено в период с 1 апреля предыдущего года по 31 марта текущего года. Текущий год определяется в качестве базового, если соглашение заключено после 1 апреля текущего года.
2. Показатель рассчитывается как соотношение количества предприятий, вовлеченных в национальный проект до 31 марта (включительно) года t <2>, внедряющих мероприятия национального проекта под федеральным управлением (оказание расширенной поддержки), на которых прирост производительности труда соответствует или превышает целевой показатель в 10%, к общему количеству предприятий, вовлеченных в национальный проект до 31 марта (включительно) года t, внедряющих мероприятия национального проекта под федеральным управлением (оказание расширенной поддержки), в процентах, за отчетный период по следующей формуле:
<2> Год, за который производится расчет (расчетный год).
- доля предприятий в год t от общего числа предприятий, вовлеченных в национальный проект до 31 марта (включительно) года t, внедряющих мероприятия национального проекта под федеральным управлением (оказание расширенной поддержки), на которых прирост производительности труда по итогам года t составляет не менее 10% по отношению к году t-1, процентов;
- количество предприятий в году t, вовлеченных в национальный проект до 31 марта (включительно) года t, внедряющих мероприятия национального проекта под федеральным управлением (оказание расширенной поддержки), прирост производительности труда на которых составляет не менее 10% по отношению к году t-1, единиц;
- общее количество предприятий в году t, вовлеченных в национальный проект до 31 марта (включительно) года t, внедряющих мероприятия национального проекта под федеральным управлением (оказание расширенной поддержки), единиц.
считается следующим образом:
, если до 31 марта года t было заключено соглашение о сотрудничестве между ФЦК и предприятием j, при условии заключенного соглашения между регионом i и предприятием j
иначе .
- количество предприятий - участников, внедряющих мероприятия национального проекта под федеральным управлением (оказание расширенной поддержки) в течение трех лет участия в проекте в регионе i, единиц;
n - количество субъектов в Российской Федерации, единиц. В случае если расчет применяется для субъекта Российской Федерации, показатель n будет равен 1.
При расчете показателя для конкретного субъекта Российской Федерации в случае отсутствия базы для расчета показатель считается неприменимым (Н/Д) по итогам расчетного года.
В случае если расчет применяется для субъекта Российской Федерации, показатели ,
и
рассчитываются только по конкретному субъекту.
Индексы роста производительности труда предприятия рассчитываются согласно Методике расчета показателей производительности труда предприятия, отрасли, субъекта Российской Федерации, утвержденной приказом Минэкономразвития России от 28 декабря 2018 г. N 748 (с изменениями, внесенными приказом Минэкономразвития России от 3 декабря 2020 г. N 801).
3. Источником информации для расчета Показателя являются данные из налоговой отчетности предприятий - участников национального проекта.
4. Минэкономразвития России направляет в адрес ФНС России перечень предприятий - участников национального проекта с указанием полного наименования предприятия и ИНН (далее - Перечень) в срок не ранее 1 июля года, следующего за отчетным.
В случае если в Перечне содержится более 100 организаций, ФНС России в течение 30 календарных дней после получения Перечня направляет в адрес Минэкономразвития России массив обезличенной информации из налоговой отчетности предприятий - участников национального проекта в формате Excel. Информация о составе данных из налоговой отчетности предприятий - участников национального проекта приведена в таблице N 1, являющейся приложением к настоящей Методике.
В случае если в Перечне содержится от 3 до 99 организаций, ФНС России в течение 30 календарных дней после получения Перечня направляет в адрес Минэкономразвития России данные по перечню, приведенному в таблице N 2, являющейся приложением к настоящей Методике, из налоговой отчетности тех предприятий, которые в соответствии с подпунктом 1 пункта 1 статьи 102 Налогового кодекса Российской Федерации являются общедоступными, в том числе ставшими таковыми с согласия их обладателя - налогоплательщика (плательщика страховых взносов). В отношении остальных компаний Перечня данные предоставляются в агрегированном виде в формате Excel.
В случае если Минэкономразвития России не представлен Перечень, ФНС России освобождается от обязанности представления данных из налоговой отчетности предприятий.
5. Единица измерения Показателя - процент (код по ОКЕИ - 744).
6. Периодичность предоставления Показателя - ежегодно, срок - до 1 ноября года, следующего за отчетным.
7. Уровень агрегирования информации - по Российской Федерации, субъектам Российской Федерации.
8. Субъектом официального статистического учета, ответственным за формирование официальной статистической информации по Показателю, является Минэкономразвития России.
Приложение
к Методике расчета показателя
"Доля предприятий, достигших
ежегодного 10% прироста
производительности труда
на предприятиях-участниках,
внедряющих мероприятия национального
проекта под федеральным управлением
(оказание расширенной поддержки)
в течение трех лет участия
в проекте", утвержденной приказом
Минэкономразвития России
от 28 декабря 2020 г. N 872
Таблица N 1
Данные из налоговой отчетности предприятий - участников национального проекта "Производительность труда"
за "____" год
| 1 | Порядковый номер предприятия | Предприятие N | N <1> | N + 1 | N + 2 | N + 3 |
| 2 | ID предприятия | ID предприятия | ||||
| 3 | Период | Год | ||||
| 4 | Вид деятельности | Код ОКВЭД-2 | ||||
| 5 | НД по единому сельскохоз. налогу: стр. 10 Раздел 2, тыс. рублей | Доходы ЕСХН | ||||
| 6 | НД по единому сельскохоз. налогу: стр. 20 Раздел 2, тыс. рублей | Расходы ЕСХН | ||||
| 7 | НД по налогу на прибыль: стр. 011 Прил. 1 к Листу 02, тыс. рублей | Выручка 011 | ||||
| 8 | НД по налогу на прибыль: стр. 012 Прил. 1 к Листу 02, тыс. рублей | Выручка 012 | ||||
| 9 | НД по налогу на прибыль: стр. 010 Прил. 2 к Листу 02, тыс. рублей | Прямые расходы 010 | ||||
| 10 | НД по налогу на прибыль: стр. 020 Прил. 2 к Листу 02, тыс. рублей | Прямые расходы 020 | ||||
| 11 | НД по налогу на прибыль: стр. 040 Прил. 2 к Листу 02 (без учета расходов по строкам 042 - 047, 052), тыс. рублей | Косвенные расходы 040 | ||||
| 12 | НД по налогу на прибыль: стр. 131 Прил. 2 к Листу 02, тыс. рублей | Амортизация 131 | ||||
| 13 | НД по налогу на прибыль: стр. 133 Прил. 2 к Листу 02, тыс. рублей | Амортизация 133 |
<1> N - базовый год предприятия.
| 14 | Стр. 20 раздела 1 справки 6-НДФЛ (без учета дохода по строке 025), тыс. рублей <1>. Стр. 110 раздела 2 справки 6-НДФЛ (без учета дохода по строке 111), тыс. рублей <2>. | Расходы на оплату труда | ||||
| 15 | Стр. 220 раздела 2 (сумма по всем листам при наличии более одного листа) Налоговой декларации по налогу на имущество, тыс. рублей | Налог на имущество организаций | ||||
| 16 | КНД 1151111: стр. 030 раздела 1 РСВ, тыс. рублей | Страховые взносы 030 | ||||
| 17 | КНД 1151111: стр. 050 раздела 1 РСВ, тыс. рублей | Страховые взносы 050 | ||||
| 18 | КНД 1151111: стр. 070 раздела 1 РСВ, тыс. рублей | Страховые взносы 070 | ||||
| 19 | КНД 1151111: стр. 090 раздела 1 РСВ, тыс. рублей | Страховые взносы 090 | ||||
| 20 | КНД 1151111: стр. 110 раздела 1 РСВ, тыс. рублей | Страховые взносы 110 | ||||
| 21 | РСВ: стр. 010 подразд. 1.1 прил. 1 за I кв., столбец 2, человек <3> | ССЧ Январь | ||||
| 22 | РСВ: стр. 010 подразд. 1.1 прил. 1 за I кв., столбец 3, человек | ССЧ Февраль | ||||
| 23 | РСВ: стр. 010 подразд. 1.1 прил. 1 за I кв., столбец 4, человек | ССЧ Март | ||||
| 24 | РСВ: стр. 010 подразд. 1.1 прил. 1 за II кв., столбец 2, человек | ССЧ Апрель | ||||
| 25 | РСВ: стр. 010 подразд. 1.1 прил. 1 за II кв., столбец 3, человек | ССЧ Май | ||||
| 26 | РСВ: стр. 010 подразд. 1.1 прил. 1 за II кв., столбец 4, человек | ССЧ Июнь | ||||
| 27 | РСВ: стр. 010 подразд. 1.1 прил. 1 за III кв., столбец 2, человек | ССЧ Июль | ||||
| 28 | РСВ: стр. 010 подразд. 1.1 прил. 1 за III кв., столбец 3, человек | ССЧ Август | ||||
| 29 | РСВ: стр. 010 подразд. 1.1 прил. 1 за III кв., столбец 4, человек | ССЧ Сентябрь | ||||
| 30 | РСВ: стр. 010 подразд. 1.1 прил. 1 за IV кв., столбец 2, человек | ССЧ Октябрь | ||||
| 31 | РСВ: стр. 010 подразд. 1.1 прил. 1 за IV кв., столбец 3, человек | ССЧ Ноябрь | ||||
| 32 | РСВ: стр. 010 подразд. 1.1 прил. 1 за IV кв., столбец 4, человек | ССЧ Декабрь |
<1> В соответствии с приказом ФНС России от 15 октября 2020 г. N ЕД-7-11/753@ применяется до 2020 года включительно.
<2> В соответствии с приказом ФНС России от 15 октября 2020 г. N ЕД-7-11/753@ применяется начиная с 2021 года.
<3> В соответствии с приказом ФНС России от 10 октября 2016 г. N ММВ-7-11/551@ до 2019 года включительно применяются столбцы 3 - 5 (январь, апрель, июль, октябрь - столбец 3; февраль, май, август, ноябрь - столбец 4; март, июнь, сентябрь, декабрь - столбец 5).
Таблица N 2
Данные из налоговой отчетности предприятий - участников национального проекта "Производительность труда"
за "____" год
| 1 | Полное наименование организации | Название компании | N <1> | N + 1 | N + 2 | N + 3 |
| 2 | ИНН | ИНН | ||||
| 3 | Период | Год | ||||
| 4 | Вид деятельности | Код ОКВЭД-2 | ||||
| 5 | НД по единому сельскохоз. налогу: стр. 10 Раздел 2, тыс. рублей | Доходы ЕСХН | ||||
| 6 | НД по единому сельскохоз. налогу: стр. 20 Раздел 2, тыс. рублей | Расходы ЕСХН | ||||
| 7 | НД по налогу на прибыль: стр. 011 Прил. 1 к Листу 02, тыс. рублей | Выручка 011 | ||||
| 8 | НД по налогу на прибыль: стр. 012 Прил. 1 к Листу 02, тыс. рублей | Выручка 012 | ||||
| 9 | НД по налогу на прибыль: стр. 010 Прил. 2 к Листу 02, тыс. рублей | Прямые расходы 010 | ||||
| 10 | НД по налогу на прибыль: стр. 020 Прил. 2 к Листу 02, тыс. рублей | Прямые расходы 020 | ||||
| 11 | НД по налогу на прибыль: стр. 040 Прил. 2 к Листу 02 (без учета расходов по строкам 042 - 047, 052), тыс. рублей | Косвенные расходы 040 | ||||
| 12 | НД по налогу на прибыль: стр. 131 Прил. 2 к Листу 02, тыс. рублей | Амортизация 131 | ||||
| 13 | НД по налогу на прибыль: стр. 133 Прил. 2 к Листу 02, тыс. рублей | Амортизация 133 | ||||
| 14 | Стр. 20 раздела 1 справки 6-НДФЛ (без учета дохода по строке 025), тыс. рублей <2>. Стр. 110 раздела 2 справки 6-НДФЛ (без учета дохода по строке 111), тыс. рублей <3>. | Расходы на оплату труда | ||||
| 15 | Стр. 220 раздела 2 (сумма по всем листам при наличии более одного листа) Налоговой декларации по налогу на имущество, тыс. рублей | Налог на имущество организаций | ||||
| 16 | КНД 1151111: стр. 030 раздела 1 РСВ, тыс. рублей | Страховые взносы 030 | ||||
| 17 | КНД 1151111: стр. 050 раздела 1 РСВ, тыс. рублей | Страховые взносы 050 | ||||
| 18 | КНД 1151111: стр. 070 раздела 1 РСВ, тыс. рублей | Страховые взносы 070 |
<1> N - базовый год предприятия.
<2> В соответствии с приказом ФНС России от 15 октября 2020 г. N ЕД-7-11/753@ применяется до 2020 года включительно.
<3> В соответствии с приказом ФНС России от 15 октября 2020 г. N ЕД-7-11/753@ применяется начиная с 2021 года.
| 19 | КНД 1151111: стр. 090 раздела 1 РСВ, тыс. рублей | Страховые взносы 090 | ||||
| 20 | КНД 1151111: стр. 110 раздела 1 РСВ, тыс. рублей | Страховые взносы 110 | ||||
| 21 | РСВ: стр. 010 подразд. 1.1 прил. 1 за I кв., столбец 2, человек <1> | ССЧ Январь | ||||
| 22 | РСВ: стр. 010 подразд. 1.1 прил. 1 за I кв., столбец 3, человек | ССЧ Февраль | ||||
| 23 | РСВ: стр. 010 подразд. 1.1 прил. 1 за I кв., столбец 4, человек | ССЧ Март | ||||
| 24 | РСВ: стр. 010 подразд. 1.1 прил. 1 за II кв., столбец 2, человек | ССЧ Апрель | ||||
| 25 | РСВ: стр. 010 подразд. 1.1 прил. 1 за II кв., столбец 3, человек | ССЧ Май | ||||
| 26 | РСВ: стр. 010 подразд. 1.1 прил. 1 за II кв., столбец 4, человек | ССЧ Июнь | ||||
| 27 | РСВ: стр. 010 подразд. 1.1 прил. 1 за III кв., столбец 2, человек | ССЧ Июль | ||||
| 28 | РСВ: стр. 010 подразд. 1.1 прил. 1 за III кв., столбец 3, человек | ССЧ Август | ||||
| 29 | РСВ: стр. 010 подразд. 1.1 прил. 1 за III кв., столбец 4, человек | ССЧ Сентябрь | ||||
| 30 | РСВ: стр. 010 подразд. 1.1 прил. 1 за IV кв., столбец 2, человек | ССЧ Октябрь | ||||
| 31 | РСВ: стр. 010 подразд. 1.1 прил. 1 за IV кв., столбец 3, человек | ССЧ Ноябрь | ||||
| 32 | РСВ: стр. 010 подразд. 1.1 прил. 1 за IV кв., столбец 4, человек | ССЧ Декабрь |
<1> В соответствии с приказом ФНС России от 10 октября 2016 г. N ММВ-7-11/551@ до 2019 года включительно применяются столбцы 3 - 5 (январь, апрель, июль, октябрь - столбец 3; февраль, май, август, ноябрь - столбец 4; март, июнь, сентябрь, декабрь - столбец 5).".