Приказ Роспатента от 09.03.2021 N 34

"О внесении изменений в Порядок взимания лицензионных платежей за предоставление права использования результатов интеллектуальной деятельности военного, специального и двойного назначения, права на которые принадлежат Российской Федерации, их предельные размеры, сроки уплаты, а также основания для освобождения от уплаты платежей, уменьшения их размеров или возврата, утвержденный Приказом Федеральной службы по интеллектуальной собственности от 10 декабря 2012 г. N 157"
Редакция от 09.03.2021 — Действует с 09.05.2021

Зарегистрировано в Минюсте России 27 апреля 2021 г. N 63250


ФЕДЕРАЛЬНАЯ СЛУЖБА ПО ИНТЕЛЛЕКТУАЛЬНОЙ СОБСТВЕННОСТИ

ПРИКАЗ
от 9 марта 2021 г. N 34

О ВНЕСЕНИИ ИЗМЕНЕНИЙ В ПОРЯДОК ВЗИМАНИЯ ЛИЦЕНЗИОННЫХ ПЛАТЕЖЕЙ ЗА ПРЕДОСТАВЛЕНИЕ ПРАВА ИСПОЛЬЗОВАНИЯ РЕЗУЛЬТАТОВ ИНТЕЛЛЕКТУАЛЬНОЙ ДЕЯТЕЛЬНОСТИ ВОЕННОГО, СПЕЦИАЛЬНОГО И ДВОЙНОГО НАЗНАЧЕНИЯ, ПРАВА НА КОТОРЫЕ ПРИНАДЛЕЖАТ РОССИЙСКОЙ ФЕДЕРАЦИИ, ИХ ПРЕДЕЛЬНЫЕ РАЗМЕРЫ, СРОКИ УПЛАТЫ, А ТАКЖЕ ОСНОВАНИЯ ДЛЯ ОСВОБОЖДЕНИЯ ОТ УПЛАТЫ ПЛАТЕЖЕЙ, УМЕНЬШЕНИЯ ИХ РАЗМЕРОВ ИЛИ ВОЗВРАТА, УТВЕРЖДЕННЫЙ ПРИКАЗОМ ФЕДЕРАЛЬНОЙ СЛУЖБЫ ПО ИНТЕЛЛЕКТУАЛЬНОЙ СОБСТВЕННОСТИ ОТ 10 ДЕКАБРЯ 2012 Г. N 157

В целях совершенствования порядка взимания лицензионных платежей за предоставление права использования результатов интеллектуальной деятельности военного, специального и двойного назначения, права на которые принадлежат Российской Федерации, и в соответствии с пунктом 16 Правил осуществления государственными заказчиками управления правами Российской Федерации на результаты интеллектуальной деятельности гражданского, военного, специального и двойного назначения, утвержденных постановлением Правительства Российской Федерации от 22 марта 2012 г. N 233 (Собрание законодательства Российской Федерации, 2012, N 14, ст. 1637; 2017, N 36, ст. 5432), приказываю:

1. Утвердить прилагаемые изменения, которые вносятся в Порядок взимания лицензионных платежей за предоставление права использования результатов интеллектуальной деятельности военного, специального и двойного назначения, права на которые принадлежат Российской Федерации, их предельные размеры, сроки уплаты, а также основания для освобождения от уплаты платежей, уменьшения их размеров или возврата, утвержденный приказом Федеральной службы по интеллектуальной собственности от 10 декабря 2012 г. N 157 (зарегистрирован в Министерстве юстиции Российской Федерации 4 марта 2013 г., регистрационный N 27450).

2. Контроль за исполнением настоящего приказа оставляю за собой.

Руководитель
Г.П. ИВЛИЕВ

УТВЕРЖДЕНЫ
приказом Федеральной службы
по интеллектуальной собственности
от 9 марта 2021 года N 34

ИЗМЕНЕНИЯ, ВНОСИМЫЕ В ПОРЯДОК ВЗИМАНИЯ ЛИЦЕНЗИОННЫХ ПЛАТЕЖЕЙ ЗА ПРЕДОСТАВЛЕНИЕ ПРАВА ИСПОЛЬЗОВАНИЯ РЕЗУЛЬТАТОВ ИНТЕЛЛЕКТУАЛЬНОЙ ДЕЯТЕЛЬНОСТИ ВОЕННОГО, СПЕЦИАЛЬНОГО И ДВОЙНОГО НАЗНАЧЕНИЯ, ПРАВА НА КОТОРЫЕ ПРИНАДЛЕЖАТ РОССИЙСКОЙ ФЕДЕРАЦИИ, ИХ ПРЕДЕЛЬНЫЕ РАЗМЕРЫ, СРОКИ УПЛАТЫ, А ТАКЖЕ ОСНОВАНИЯ ДЛЯ ОСВОБОЖДЕНИЯ ОТ УПЛАТЫ ПЛАТЕЖЕЙ, УМЕНЬШЕНИЯ ИХ РАЗМЕРОВ ИЛИ ВОЗВРАТА, УТВЕРЖДЕННЫЙ ПРИКАЗОМ ФЕДЕРАЛЬНОЙ СЛУЖБЫ ПО ИНТЕЛЛЕКТУАЛЬНОЙ СОБСТВЕННОСТИ ОТ 10 ДЕКАБРЯ 2012 ГОДА N 157

1. В пункте 3 слова "от 5 сентября 2008 г. N 92н (зарегистрирован в Минюсте России 29.09.2008, регистрационный N 12357 <*> (далее - Приказ N 92н)" заменить словами "от 18 декабря 2013 г. N 125н (зарегистрирован в Минюсте России 10.02.2014, регистрационный N 31262 <*> (далее - Приказ N 125н)".

2. Сноску в пункте 3 изложить в следующей редакции:

"<*> (1) С изменениями, внесенными приказами Минфина России от 22.12.2014 N 160н (зарегистрирован в Минюсте России 28.01.2015, регистрационный N 35759), от 01.12.2015 N 189н (зарегистрирован в Минюсте России 26.01.2016, регистрационный N 40781), от 21.12.2016 N 239н (зарегистрирован в Минюсте России 20.01.2017, регистрационный N 45328), от 25.12.2017 N 251н (зарегистрирован в Минюсте России 22.01.2018, регистрационный N 49702), от 14.11.2018 N 231н (зарегистрирован в Минюсте России 05.12.2018, регистрационный N 52872).".

3. Пункт 4 изложить в следующей редакции:

"4. Изменение установленных в заключенных лицензионных договорах размеров платежей осуществляется в случае изменения условий контрактов с иностранными заказчиками или договоров между организацией и субъектом военно-технического сотрудничества (участником внешнеэкономической деятельности), связанных с изменением их стоимости и (или) количества единиц поставляемых видов продукции.".

4. В абзаце третьем пункта 5 слова "Приказом N 92н" заменить словами "Приказом N 125н".

5. Пункт 7 изложить в следующей редакции:

"7. За предоставление права использования РИД, права на которые принадлежат Российской Федерации, взимаются платежи.

Предельный размер платежа исчисляется государственным заказчиком по формуле:

,

где:

- предельный размер платежа, в валюте, указанной в контракте организации с иностранным заказчиком или договоре между организацией и субъектом военно-технического сотрудничества (участником внешнеэкономической деятельности) (далее - валюта контракта);

n - количество наименований вида продукции согласно контракту организации с иностранным заказчиком или договору между организацией и субъектом военно-технического сотрудничества (участником внешнеэкономической деятельности);

- стоимость i-го вида продукции согласно контракту организации с иностранным заказчиком или договору между организацией и субъектом военно-технического сотрудничества (участником внешнеэкономической деятельности), в валюте контракта;

- коэффициент, определяемый для i-го вида продукции.

При этом:

а) если при производстве поставляемой продукции используются только РИД, права на которые принадлежат исключительно Российской Федерации (в отношении которых Российская Федерация является единственным правообладателем), то

,

где:

- предельный коэффициент, установленный для соответствующего вида продукции в соответствии с Приложением N 4 к настоящему Порядку;

б) если при производстве поставляемой продукции наряду с РИД, права на которые принадлежат исключительно Российской Федерации (в отношении которых Российская Федерация является единственным правообладателем), используются также РИД, права на которые принадлежат Российской Федерации и организации совместно и (или) права на которые принадлежат не Российской Федерации, то

,

где:

- корректирующий коэффициент для i-го вида продукции.".

6. Дополнить пункт 7 подпунктами 7.1 - 7.5 следующего содержания:

"7.1 Для определения корректирующего коэффициента организация формирует перечень составных частей финального образца вооружения и военной техники (категории финальных образцов вооружения и военной техники указаны в Приложении N 4 к настоящему Порядку) или финального образца изделия двойного назначения, к которому относится (в состав которого входит) поставляемая продукция (работы, услуги) (далее - финальный образец).

Перечень составных частей формируется организацией в соответствии со схемой деления финального образца до второго уровня деления (раскрытия) изделия на составные части включительно при условии, что каждая составная часть содержит два и более элементов, относящихся к устройствам (совокупностям элементов, представляющим единую конструкцию). С этой целью используется схема деления финального образца, полученная в соответствии с ГОСТ Р 2.711-2019 "Единая система конструкторской документации. Схема деления изделия на составные части" (утвержден и введен в действие Приказом Федерального агентства по техническому регулированию и метрологии от 27 апреля 2019 года N 179-ст).

В случае если данное условие не выполняется, уровень деления финального образца повышается до первого уровня. В предельном случае финальный образец рассматривается как единое целое, без его деления на составные части.

При формировании перечня составных частей финального образца должны быть обеспечены полнота и соответствие устанавливаемым в настоящем пункте условиям деления финального образца на составные части.

7.2 РИД, используемый при производстве поставляемой продукции, исключительное право на который принадлежит иному, кроме Российской Федерации, правообладателю (далее - РИД организации, во множественном числе - РИД организаций), учитывается вне зависимости от его участия в исполнении контракта с иностранным заказчиком. К РИД организации также относятся результаты интеллектуальной деятельности, исключительное право на которые принадлежит иному правообладателю и Российской Федерации совместно.

Для определения величины корректирующего коэффициента в качестве РИД организации учитываются:

1) изобретение (техническое решение, относящееся к устройству, веществу, способу, в том числе к применению устройства, вещества или способа по определенному назначению), полезная модель (техническое решение, относящееся к устройству), которые непосредственно использованы в составной части финального образца, нескольких его составных частях одновременно или в целом в финальном образце;

2) изобретение (техническое решение, относящееся к способу), с помощью которого получена составная часть финального образца и (или) ее компоненты;

3) промышленный образец, использованный непосредственно в финальном образце;

4) программа для ЭВМ, база данных, с помощью которых обеспечивается функционирование и (или) изготовление составной части финального образца и (или) в целом финального образца, его применение по назначению;

5) секрет производства (ноу-хау), охраняющий содержание патентоспособного технического решения (решений), относящегося:

к устройству, веществу, способу, в том числе к применению устройства, вещества или способа по определенному назначению, которые реализованы в составной части финального образца, нескольких его составных частях одновременно или в целом в финальном образце;

к способу, с помощью которого получена составная часть финального образца и (или) ее компоненты.

Патентоспособность технического решения, охраняемого в качестве секрета производства (ноу-хау), подтверждается результатами проведенных патентных исследований.

Сведения о РИД организаций оформляются согласно рекомендуемому образцу, приведенному в Приложении N 5 к настоящему Порядку.

7.3 Корректирующий коэффициент для каждого вида поставляемой в соответствии с контрактом продукции определяется по формуле:

,

где - аддитивный коэффициент:

.

- коэффициент, определяемый на основе соотношения количества составных частей финального образца, к которому относится (в состав которого входит) поставляемая продукция (работы, услуги), в которых использован хотя бы один РИД организаций, с общим количеством составных частей данного финального образца:

,

где N - общее количество составных частей финального образца, определенных в соответствии с пунктом 7.1 настоящего Порядка;

- весовой коэффициент объекта интеллектуальной собственности, относящегося к РИД организаций и использованного в j-той составной части финального образца, определяемый в соответствии со значениями, указанными в Таблице 1 настоящего Порядка.

В случае если в j-той составной части финального образца не использовано ни одного РИД организаций, = 0.

В случае если в j-той составной части финального образца использовано более одного РИД организаций, в определении учитывается объект интеллектуальной собственности с наибольшим весовым коэффициентом .

Таблица 1

Объект интеллектуальной собственности
Изобретение 0,5
Полезная модель 0,3
Промышленный образец 0,2
Программа для ЭВМ 0,2
База данных 0,2
Секрет производства (ноу-хау) 0,5/0,3

В случае если объект интеллектуальной собственности, относящийся к РИД организаций, охраняется в качестве секрета производства (ноу-хау) и удовлетворяет (или удовлетворял на момент создания) условиям патентоспособности в качестве изобретения, что подтверждается результатами патентных исследований, проведенных в соответствии с ГОСТ Р 15.011-96 "Система разработки и постановки продукции на производство. Патентные исследования. Содержание и порядок проведения" (принят и введен в действие Постановлением Госстандарта России от 30 января 1996 года N 40), весовой коэффициент такого объекта интеллектуальной собственности принимается равным 0,5. В случае полезной модели, соответственно - 0,3.

Если в финальном образце, к которому относится (в состав которого входит) поставляемая продукция (работы, услуги), использован промышленный образец, коэффициент принимается равным 0,2, если без учета данного промышленного образца значение коэффициента ниже 0,2. В противном случае, значение коэффициента принимается равным величине, полученной без учета промышленного образца.

Если РИД организации использован в нескольких составных частях финального образца одновременно или в финальном образце в целом, при определении коэффициента данный РИД организации учитывается применительно к каждой из составных частей, в которой он использован.

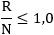
- коэффициент, определяемый на основе соотношения количества РИД организаций, используемых при производстве финального образца, к которому относится (в состав которого входит) поставляемая продукция (работы, услуги), и количества его составных частей, определенных в соответствии с пунктом 7.1 настоящего Порядка:

= 0 при условии, если ;

= 0,1 при условии, если ;

= 0,15 при условии, если ;

= 0,25 при условии, если ;

,

где R - коэффициент, характеризующий качественный состав РИД организаций, используемых при производстве финального образца, к которому относится (в состав которого входит) поставляемая продукция (работы, услуги);

К - количество РИД организаций, используемых при производстве финального образца;

N - общее количество составных частей финального образца, определенных в соответствии с пунктом 2.1 настоящей Методики;

- весовой коэффициент k-го объекта интеллектуальной собственности, относящегося к РИД организаций и используемого при производстве финального образца поставляемой продукции, определяемый в соответствии со значениями, указанными в Таблице 1 настоящего Порядка.

- коэффициент, определяемый на основе соотношения количества объектов интеллектуальной собственности из числа РИД организаций, созданных организациями за счет собственных средств и права на которые оформлены (в том числе получены патенты, свидетельства, изданы приказы о введении режима конфиденциальности) в текущем году (на дату направления сведений, подготовленных в соответствии с настоящим Порядком, государственному заказчику) и (или) в течение трех лет, предшествующих текущему году (далее - новые РИД организаций, в единственном числе - новый РИД организации), используемых при производстве финального образца, к которому относится (в состав которого входит) поставляемая продукция (работы, услуги), и количества его составных частей, определенных в соответствии с пунктом 7.1 настоящего Порядка:

= 0 при условии, если r = 0;

= 0,1 при условии, если ;

= 0,2 при условии, если ,

где r - количество новых РИД организаций, используемых при производстве финального образца;

N - общее количество составных частей финального образца, определенных в соответствии с пунктом 7.1 настоящего Порядка.

В случае если поставляемая продукция была произведена ранее трех лет, предшествующих текущему году, и при этом организация продолжает производство и поставку аналогичной продукции для государственных нужд, РИД организации, созданный организацией уже после того, как была произведена поставляемая продукция, также учитывается в качестве нового РИД организации.

7.4 При поставке составных (запасных) частей, технической документации, работ и услуг, в том числе, в рамках организации совместных предприятий, лицензионного производства используется значение корректирующего коэффициента, определенное для соответствующего финального образца, к которому относится (в состав которого входит) поставляемая продукция (работы, услуги).

7.5 Расчет и обоснование величины корректирующего коэффициента представляется для согласования государственному заказчику.

Для проведения экспертизы обоснованности данных, предоставляемых организацией для определения корректирующего коэффициента, расчета и обоснования величины корректирующего коэффициента государственным заказчиком при необходимости могут привлекаться специализированные организации или эксперты.".

7. Пункт 8 изложить в следующей редакции:

"8. Использование РИД при производстве поставляемой продукции и права на них подтверждаются одновременно:

выписками из бухгалтерской отчетности организаций, в которых отражена информация о постановке каждого из используемых РИД на бухгалтерский учет в качестве нематериальных активов;

актами о внедрении (использовании) РИД;

актами (выписками из актов) обязательной и (или) инициативной инвентаризации (при наличии), проведенной в соответствии с Положением об инвентаризации прав на результаты научно-технической деятельности, утвержденным постановлением Правительства Российской Федерации от 14 января 2002 г. N 7 "О порядке инвентаризации и стоимостной оценке прав на результаты научно-технической деятельности" (Собрание законодательства Российской Федерации, 2002, N 3, ст. 218; 2018, N 41, ст. 6247), в отношении поставляемой продукции.".

8. Пункт 9 изложить в следующей редакции:

"9. Платежи перечисляются организацией:

- единовременным платежом в размере 100 % после получения организацией средств, предусмотренных контрактом с иностранным заказчиком или договором между организацией и субъектом военно-технического сотрудничества (участником внешнеэкономической деятельности), при условии:

а) разовой оплаты продукции;

б) если в ходе реализации контракта или договора между организацией и субъектом военно-технического сотрудничества (участником внешнеэкономической деятельности) организацией (организациями), участвующей в производстве поставляемой продукции, выполнялись научно-исследовательские, опытно-конструкторские и (или) технологические работы, результаты которых были использованы при производстве поставляемой продукции;

- поэтапными платежами, пропорциональными доле суммы, получаемой организацией, из общей суммы средств, предусмотренных контрактом с иностранным заказчиком или договором между организацией и субъектом военно-технического сотрудничества (участником внешнеэкономической деятельности), при условии поэтапной оплаты на дату выписки из банка (иного документа), подтверждающей получение организацией средств, за исключением случаев, предусмотренных подпунктом "б" пункта 9.".

9. В Приложении N 1:

а) пункт 1 изложить в следующей редакции:

"1. Реквизиты, включая банковские, организации, должность, фамилия, имя, отчество ее руководителя (лица, уполномоченного подписать лицензионный договор)";

б) пункт 2 изложить в следующей редакции:

"2. Копия договора между организацией и субъектом военно-технического сотрудничества (участником внешнеэкономической деятельности) и выписка из контракта субъекта военно-технического сотрудничества (участника внешнеэкономической деятельности) с иностранным заказчиком с указанием: названия, номера и даты контракта, страны и организации импортера, наименования работ (услуг), общей стоимости контракта, сроков и графика этапов работ, условий оплаты работ, а также положений, касающихся определения условий использования РИД, передаваемых иностранным заказчикам, и (или) обеспечения их правовой охраны, или копия контракта субъекта военно-технического сотрудничества (участника внешнеэкономической деятельности) с иностранным заказчиком.";

в) пункт 5 изложить в следующей редакции:

"5. Выписки из бухгалтерской отчетности организаций, в которых отражена информация о постановке каждого из используемых РИД на бухгалтерский учет в качестве нематериальных активов.";

г) пункт 6 изложить в следующей редакции:

"копии актов (выписки из актов) обязательной и (или) инициативной инвентаризации (при наличии), проведенной в соответствии с Положением об инвентаризации прав на результаты научно-технической деятельности, утвержденным постановлением Правительства Российской Федерации от 14 января 2002 г. N 7 "О порядке инвентаризации и стоимостной оценке прав на результаты научно-технической деятельности", в отношении поставляемой продукции.";

д) дополнить пунктом 7 следующего содержания:

"7. Копии актов о внедрении (использовании) РИД.";

е) дополнить пунктом 8 следующего содержания:

"8. Перечень составных частей образцов поставляемой продукции, в которой использованы РИД.".

10. В Приложении N 4 абзац пятый пункта 1 таблицы "Значения предельных коэффициентов, устанавливаемых по видам продукции военного, специального и двойного назначения, при производстве которой используются результаты интеллектуальной деятельности, права на которые принадлежат Российской Федерации" изложить в следующей редакции:

"работы и услуги, выполняемые в интересах заказчика в отношении продукции военного назначения (в соответствии с категориями 1.2, 1.3, 2.2, 2.3, 3.2, 3.3, 4.2, 4.3, 5.2, 5.3, 6.2, 6.3, 7.2, 7.3, 8.2, 8.3, 9.2, 9.3, 10.2, 10.3, 11.2, 12.2, 12.3, 13.2, 13.3, 14.2, 14.3, 15.2, 15.3, 16.2, 16.3, 17.2, 17.3, 18.2, 18.3, 19.1, 20.1, 21.2, 21.3, 22.2, 22.3 Классификатора)".

11. Дополнить Приложением N 5 согласно приложению к настоящим Изменениям.

Приложение
к Изменениям, вносимым
в Порядок взимания лицензионных платежей
за предоставление права использования
результатов интеллектуальной деятельности военного,
специального и двойного назначения,
права на которые принадлежат Российской Федерации,
их предельные размеры, сроки уплаты,
а также основания для освобождения от уплаты платежей,
уменьшения их размеров или возврата,
утвержденный приказом Федеральной службы
по интеллектуальной собственности
от 10 декабря 2012 года N 157

"Приложение N 5
к Порядку взимания лицензионных платежей
за предоставление права использования
результатов интеллектуальной деятельности военного,
специального и двойного назначения,
права на которые принадлежат Российской Федерации,
их предельные размеры, сроки уплаты,
а также основания для освобождения от уплаты платежей,
уменьшения их размеров или возврата

Рекомендуемый образец

ТАБЛИЦА - РИД ОРГАНИЗАЦИЙ

N п/п Наименование образца поставляемой продукции Наименование составной части образца поставляемой продукции, в которой использован РИД организации Наименование РИД организации Наименование элемента (узла, блока) составной части образца поставляемой продукции, в котором использован РИД организации <1> Сведения о правообладателе Реквизиты правоподтверждающего документа <2> Дата постановки РИД организации на бухгалтерский учет организации-правообладателя Реквизиты документа, подтверждающего использование РИД организации <3> Новые РИД организаций <4>
1 2 3 4 5 6 7 8 9 10

<1> В соответствии с документом, подтверждающим использование РИД организации.

<2> Номер и дата выдачи патента, свидетельства о государственной регистрации РИД организации, номер и дата приказа, иного документа, подтверждающего введение в отношении РИД организации его правообладателем режима конфиденциальности, договора об отчуждении исключительного права, иного договора о распоряжении исключительным правом с указанием сторон договора.

<3> Акт о внедрении (использовании) РИД организации.

<4> При заполнении данной графы указываются в том числе год создания РИД, в ходе каких работ он создан (реквизиты утвержденного технического задания, кем и когда утверждено, и (или) отчета о проведенной научно-исследовательской, опытно-конструкторской или технологической работе). Дополнительно сведения о каждом новом РИД организации указываются в соответствующей графе настоящей Таблицы.