Постановление Правительства РФ от 30.04.2021 N 687

"О государственной поддержке организаций на компенсацию части затрат, связанных с сертификацией продукции, в том числе продукции фармацевтической и медицинской промышленности, на внешних рынках"
Редакция от 30.04.2021 — Не действует Перейти в действующую
Показать изменения

ПРАВИТЕЛЬСТВО РОССИЙСКОЙ ФЕДЕРАЦИИ

ПОСТАНОВЛЕНИЕ
от 30 апреля 2021 г. N 687

О ГОСУДАРСТВЕННОЙ ПОДДЕРЖКЕ ОРГАНИЗАЦИЙ НА КОМПЕНСАЦИЮ ЧАСТИ ЗАТРАТ, СВЯЗАННЫХ С СЕРТИФИКАЦИЕЙ ПРОДУКЦИИ, В ТОМ ЧИСЛЕ ПРОДУКЦИИ ФАРМАЦЕВТИЧЕСКОЙ И МЕДИЦИНСКОЙ ПРОМЫШЛЕННОСТИ, НА ВНЕШНИХ РЫНКАХ

Правительство Российской Федерации постановляет:

1. Утвердить прилагаемые:

Правила предоставления субсидий из федерального бюджета организациям на компенсацию части затрат, связанных с сертификацией продукции, в том числе продукции фармацевтической и медицинской промышленности, на внешних рынках;

Положение об осуществлении акционерным обществом "Российский экспортный центр" функций агента Правительства Российской Федерации по вопросу о предоставлении субсидий из федерального бюджета организациям на компенсацию части затрат, связанных с сертификацией продукции, в том числе продукции фармацевтической и медицинской промышленности, на внешних рынках.

2. Согласиться с предложением Министерства промышленности и торговли Российской Федерации и акционерного общества "Российский экспортный центр" об осуществлении указанным акционерным обществом функции агента Правительства Российской Федерации по вопросу о предоставлении субсидий из федерального бюджета организациям на компенсацию части затрат, связанных с сертификацией продукции, в том числе продукции фармацевтической и медицинской промышленности, на внешних рынках, с выплатой вознаграждения за выполнение указанных функций в порядке, установленном законодательством Российской Федерации, и в пределах бюджетных ассигнований, предусмотренных в федеральном бюджете на соответствующий финансовый год и плановый период на выполнение функций агента Правительства Российской Федерации.

3. Министерству промышленности и торговли Российской Федерации и Министерству экономического развития Российской Федерации заключить от имени Правительства Российской Федерации с акционерным обществом "Российский экспортный центр" договор о выполнении функций агента Правительства Российской Федерации по вопросу о предоставлении субсидий из федерального бюджета организациям на компенсацию части затрат, связанных с сертификацией продукции, в том числе продукции фармацевтической и медицинской промышленности, на внешних рынках, предусмотрев в нем обязанность Министерства экономического развития Российской Федерации по выплате акционерному обществу "Российский экспортный центр" вознаграждения за выполнение функций агента Правительства Российской Федерации, а также порядок и условия указанной выплаты.

Председатель Правительства
Российской Федерации
М. МИШУСТИН

УТВЕРЖДЕНЫ
постановлением Правительства
Российской Федерации
от 30 апреля 2021 г. N 687

ПРАВИЛА ПРЕДОСТАВЛЕНИЯ СУБСИДИЙ ИЗ ФЕДЕРАЛЬНОГО БЮДЖЕТА ОРГАНИЗАЦИЯМ НА КОМПЕНСАЦИЮ ЧАСТИ ЗАТРАТ, СВЯЗАННЫХ С СЕРТИФИКАЦИЕЙ ПРОДУКЦИИ, В ТОМ ЧИСЛЕ ПРОДУКЦИИ ФАРМАЦЕВТИЧЕСКОЙ И МЕДИЦИНСКОЙ ПРОМЫШЛЕННОСТИ, НА ВНЕШНИХ РЫНКАХ

1. Настоящие Правила устанавливают цели, условия и порядок предоставления субсидий из федерального бюджета организациям на компенсацию части затрат, связанных с сертификацией продукции, в том числе продукции фармацевтической и медицинской промышленности, на внешних рынках, в рамках реализации федерального проекта "Промышленный экспорт" национального проекта "Международная кооперация и экспорт" (далее - субсидия).

Результатом предоставления субсидии является обеспечение к 2024 году получения документов, подтверждающих успешную адаптацию продукции к требованиям, предъявляемым на внешних рынках, в количестве не менее 140 единиц (нарастающим итогом) в рамках реализации федерального проекта "Промышленный экспорт" национального проекта "Международная кооперация и экспорт" (далее - результат предоставления субсидии).

2. В настоящих Правилах используются следующие понятия:

"агентский договор" - заключенный между Министерством промышленности и торговли Российской Федерации и Министерством экономического развития Российской Федерации от имени Правительства Российской Федерации и акционерным обществом "Российский экспортный центр" (далее - Центр) договор о выполнении функций агента Правительства Российской Федерации по вопросу о предоставлении субсидий;

"адаптация продукции (лекарственных средств) к требованиям, предъявляемым на внешних рынках" - сертификация продукции на внешних рынках (сертификация лекарственного средства на внешних рынках);

"аффилированное лицо" - физическое и (или) юридическое лицо, способные оказывать влияние на деятельность юридических и (или) физических лиц, осуществляющих предпринимательскую деятельность (в соответствии со статьей 4 Закона РСФСР "О конкуренции и ограничении монополистической деятельности на товарных рынках" и статьей 53 Гражданского кодекса Российской Федерации);

"дата объявления конкурса" - дата начала приема заявок на участие в конкурсе, указанная в объявлении о проведении конкурса;

"заключение о подтверждении производства продукции на территории Российской Федерации" - заключение о подтверждении производства промышленной продукции на территории Российской Федерации, выданное организации в соответствии с постановлением Правительства Российской Федерации от 17 июля 2015 г. N 719 "О подтверждении производства промышленной продукции на территории Российской Федерации";

"клиническое исследование лекарственного средства" - изучение диагностических, лечебных, профилактических, фармакологических свойств лекарственного средства в процессе его применения у человека, в том числе процессов всасывания, распределения, изменения и выведения, путем применения научных методов оценок в целях получения доказательств безопасности, качества и эффективности лекарственного средства, данных о нежелательных реакциях организма человека на применение лекарственного средства и об эффекте его взаимодействия с другими лекарственными средствами и (или) пищевыми продуктами;

"лекарственные средства" - вещества или их комбинации, вступающие в контакт с организмом человека, проникающие в органы, ткани организма человека, применяемые для профилактики, диагностики (за исключением веществ или их комбинаций, не контактирующих с организмом человека), лечения заболевания, реабилитации, для сохранения, предотвращения или прерывания беременности и полученные из крови, плазмы крови, из органов, тканей организма человека или животного, растений, минералов методами синтеза или с применением биологических технологий. К лекарственным средствам относятся фармацевтические субстанции и лекарственные препараты;

"лист ожидания" - перечень организаций, прошедших конкурс, но не включенных в реестр получателей субсидии в связи с недостаточностью соответствующих бюджетных ассигнований, предусмотренных в федеральном законе о федеральном бюджете на соответствующий финансовый год и плановый период, и лимитов бюджетных обязательств, доведенных в установленном порядке до Министерства промышленности и торговли Российской Федерации как получателя средств федерального бюджета на цели, указанные в пункте 1 настоящих Правил, с которыми могут быть заключены соглашения о предоставлении субсидии при условии наличия указанных бюджетных ассигнований. Лист ожидания содержит информацию о значениях плановых показателей, необходимых для достижения результата предоставления субсидии, и планируемых объемах поставок на внешние рынки продукции (лекарственного средства) для каждой организации;

"организация" - юридическое лицо, зарегистрированное на территории Российской Федерации, либо физическое лицо, зарегистрированное в качестве индивидуального предпринимателя в соответствии с законодательством Российской Федерации;

"преквалификация лекарственного средства Всемирной организацией здравоохранения" - услуга, оказываемая Всемирной организацией здравоохранения для оценки качества, безопасности и эффективности лекарственных средств;

"продукция" - продукция, в том числе продукция фармацевтической и медицинской промышленности, включенная в перечень продукции для целей реализации государственной поддержки организаций, реализующих корпоративные программы повышения конкурентоспособности, утвержденный Министерством промышленности и торговли Российской Федерации, а также сборочные комплекты продукции, за исключением лекарственных средств и продукции, относящейся к сфере деятельности Министерства энергетики Российской Федерации;

"регистрация лекарственного средства" - экспертиза качества и экспертиза отношения ожидаемой пользы к возможному риску применения лекарственного средства с целью последующего допуска к обращению на рынке;

"реестр получателей субсидии" - перечень организаций, прошедших конкурс, с которыми могут быть заключены соглашения о предоставлении субсидии в пределах лимитов бюджетных обязательств, доведенных до Министерства промышленности и торговли Российской Федерации как получателя средств федерального бюджета на цели, указанные в пункте 1 настоящих Правил;

"сборочные комплекты продукции" - сборочный комплект средств железнодорожного транспорта (группа составных частей товарных позиций 8601 - 8608 ТН ВЭД ЕАЭС) и сборочный комплект средств наземного транспорта (группа составных частей товарных позиций 8701 - 8705 ТН ВЭД ЕАЭС (за исключением кода ТН ВЭД ЕАЭС 8701 90), поставляемых для окончательной сборки продукции;

"сертификация лекарственных средств на внешних рынках" - комплекс работ (мероприятий), направленных на предоставление уполномоченными органами иностранных государств решения о допуске лекарственных средств российского производства к обращению на рынке иностранных государств, включающий (но не ограничивающийся) клинические исследования лекарственных средств и (или) проведение инспекции на соответствие требованиям правил надлежащей производственной практики, регистрацию лекарственных средств и (или) преквалификацию лекарственных средств Всемирной организацией здравоохранения, необходимых для поставки лекарственных средств на внешние рынки;

"сертификат соответствия" - документ, полученный по результатам сертификации продукции на внешнем рынке и (или) сертификации производства продукции, процедур регистрации и оценки соответствия продукции и (или) производителя (поставщика) продукции для целей свободного обращения, выданный уполномоченным и (или) аккредитованным (нотифицированным) органом по оценке соответствия или уполномоченным органом по регистрации;

"сертификация продукции на внешних рынках" - комплекс работ (мероприятий), осуществляемых в целях оценки соответствия продукции, в том числе процедуры регистрации и оценки соответствия продукции и (или) производителя (поставщика) продукции для целей свободного обращения, и (или) производства продукции обязательным требованиям и (или) требованиям заказчиков (в случае наличия указанных требований в договоре поставки продукции), предъявляемым на внешних рынках, на которые поставлена продукция либо планируется ее поставка;

"соглашение о реализации корпоративной программы повышения конкурентоспособности" - соглашение, заключенное в соответствии с Правилами заключения соглашений о реализации корпоративных программ повышения конкурентоспособности и формирования единого перечня организаций, заключивших соглашения о реализации корпоративной программы повышения конкурентоспособности, утвержденными постановлением Правительства Российской Федерации от 23 февраля 2019 г. N 191 "О государственной поддержке организаций, реализующих корпоративные программы повышения конкурентоспособности, и внесении изменения в Правила предоставления из федерального бюджета субсидии в виде имущественного взноса Российской Федерации в государственную корпорацию "Банк развития и внешнеэкономической деятельности (Внешэкономбанк)" на возмещение части затрат, связанных с поддержкой производства высокотехнологичной продукции".

3. Субсидии предоставляются организациям по результатам конкурса, который проводится при определении получателя субсидии исходя из наилучших условий достижения результата предоставления субсидии.

Информация о результатах рассмотрения заявок на участие в конкурсе (далее - заявки), об участниках конкурса и результатах конкурса, в том числе о заключенных с участниками конкурса соглашениях о предоставлении субсидии, является информацией ограниченного доступа.

4. Субсидии предоставляются в пределах лимитов бюджетных обязательств, доведенных до Министерства промышленности и торговли Российской Федерации как получателя средств федерального бюджета на цели, указанные в пункте 1 настоящих Правил (далее - лимиты бюджетных обязательств).

Субсидия предоставляется организации на компенсацию части затрат, фактически понесенных организацией, связанных с сертификацией продукции на внешних рынках или сертификацией лекарственного средства на внешних рынках.

5. Показателями, необходимыми для достижения результата предоставления субсидии, являются:

а) при сертификации продукции на внешних рынках:

количество полученных организацией сертификатов соответствия (не менее 1 единицы);

осуществление поставки на внешние рынки продукции, в отношении которой организацией получена субсидия, на сумму, превышающую сумму полученной субсидии не менее чем в 10 раз в течение срока, не превышающего 3 календарных лет со дня получения сертификата соответствия (при этом объем поставки в год, следующий за годом получения сертификата соответствия, должен составлять не менее 100 процентов суммы полученной субсидии);

б) при сертификации лекарственного средства на внешних рынках: количество полученных организацией документов, подтверждающих успешное завершение фазы клинических исследований, необходимых для регистрации лекарственных средств на внешних рынках (не менее 1 единицы по каждой фазе клинических исследований) и (или) подтверждающих успешное прохождение преквалификации лекарственного средства Всемирной организацией здравоохранения (не менее 1 единицы);

осуществление поставки на внешние рынки лекарственного средства, в отношении которого организацией получена субсидия на сертификацию лекарственного средства на внешних рынках, на сумму, превышающую сумму полученной субсидии не менее чем в 10 раз в течение срока, не превышающего 5 календарных лет со дня завершения клинических исследований и регистрации лекарственного средства и (или) прохождения преквалификации лекарственного средства Всемирной организацией здравоохранения (при этом объем поставки в год, следующий за годом завершения клинических исследований и регистрации лекарственного средства и (или) прохождения преквалификации лекарственного средства Всемирной организацией здравоохранения, должен составлять не менее 60 процентов суммы полученной субсидии).

6. Субсидия предоставляется:

а) при сертификации продукции на внешних рынках на компенсацию части затрат, фактически понесенных организацией не ранее 12 месяцев, предшествующих дате объявления конкурса, и в течение не более 12 месяцев с даты объявления конкурса;

б) при сертификации лекарственных средств на внешних рынках - на компенсацию части затрат, фактически понесенных организацией не ранее 12 месяцев, предшествующих дате объявления конкурса, и в течение не более 36 месяцев с даты объявления конкурса.

7. В целях реализации настоящих Правил и формирования предельных объемов государственной поддержки устанавливается распределение лимитов бюджетных обязательств по таким группам отраслей промышленности, как отрасли машиностроения, производство лекарственных средств, обрабатывающие отрасли промышленности (химическая промышленность, металлургическая промышленность и лесопромышленный комплекс), а также прочие отрасли промышленности (далее - отраслевые лимиты).

Отраслевые лимиты устанавливаются Министерством промышленности и торговли Российской Федерации на год, в котором проводится конкурс. Значения отраслевых лимитов выражаются в процентах от лимитов бюджетных обязательств, доведенных до Министерства промышленности и торговли Российской Федерации в отчетном году.

Значения отраслевых лимитов указываются в объявлении о проведении конкурса. В случае если по результатам проведения конкурса и предоставления субсидии в соответствии с настоящими Правилами не исчерпаны лимиты бюджетных обязательств по одной или нескольким из указанных групп отраслей промышленности, перераспределение указанных объемов осуществляется Министерством промышленности и торговли Российской Федерации в следующем порядке:

в первую очередь - отрасли машиностроения;

во вторую очередь - производство лекарственных средств;

в третью очередь - обрабатывающие отрасли промышленности;

в четвертую очередь - прочие отрасли промышленности.

8. В целях проведения конкурса не позднее чем за 3 календарных дня до даты объявления конкурса Центр размещает в государственной информационной системе промышленности в открытом доступе в информационно-телекоммуникационной сети "Интернет" (далее - система) объявление о проведении конкурса с указанием:

а) сроков проведения конкурса, даты и времени начала (окончания) подачи (приема) заявок организаций - участников конкурса. Сроки приема заявок составляют не менее 30 календарных дней, следующих за днем размещения объявления о проведении конкурса;

б) места нахождения, почтового адреса, адреса электронной почты Центра;

в) результата предоставления субсидии в соответствии с пунктом 1 настоящих Правил и показателей, необходимых для достижения результата предоставления субсидии, в соответствии с пунктом 5 настоящих Правил;

г) доменного имени, и (или) сетевого адреса, и (или) указателей страниц системы, посредством которой обеспечивается проведение конкурса;

д) требований к организациям в соответствии с пунктом 10 настоящих Правил и перечня документов, представляемых организациями для подтверждения их соответствия указанным требованиям, в соответствии с пунктами 11 - 14 настоящих Правил;

е) порядка подачи заявок организациями и требований, предъявляемых к содержанию заявок, а также информации о необходимости заполнения в системе заявок по определенной в системе форме;

ж) порядка отзыва заявок, порядка их возврата организациям, определяющего в том числе основания для возврата заявок, порядка внесения изменений в заявки;

з) правил рассмотрения и оценки заявок в соответствии с пунктами 15 - 18 настоящих Правил;

и) порядка предоставления организациям разъяснений положений объявления о проведении конкурса, даты начала и окончания срока такого предоставления;

к) срока, в течение которого организация, включенная по результатам конкурса в реестр получателей субсидии, должна подписать соглашение о предоставлении субсидии в соответствии с пунктом 21 настоящих Правил;

л) условий признания организации, включенной в реестр получателей субсидии, уклонившейся от заключения соглашения о предоставлении субсидии. Организация признается уклонившейся от заключения соглашения о предоставлении субсидии в случае отказа организации от его заключения и (или) его неподписания организацией в сроки, установленные пунктом 21 настоящих Правил;

м) значений отраслевых лимитов, установленных в соответствии с пунктом 7 настоящих Правил;

н) даты подписания протокола рассмотрения заявок в системе в соответствии с подпунктом "б" пункта 15 настоящих Правил;

о) сроков и порядка уведомления организаций о результатах конкурса;

п) рекомендаций по заполнению и (или) рекомендуемых форм документов, представляемых организацией в составе заявки.

9. Центр не позднее 5 календарных дней с даты объявления конкурса направляет с использованием системы извещения о проведении конкурса организациям, зарегистрированным в системе, в форме уведомления в личном кабинете пользователя и (или) сообщения посредством электронной почты.

10. Субсидии предоставляются организациям, которые по состоянию на дату не ранее чем за 30 календарных дней до дня подачи заявки соответствуют следующим требованиям:

а) организация не получает в течение 12 месяцев, предшествующих дате объявления конкурса, средства из федерального бюджета на цели, указанные в пункте 1 настоящих Правил, в соответствии с иными нормативными правовыми актами Российской Федерации;

б) у организации отсутствуют просроченная задолженность по возврату в федеральный бюджет субсидий, бюджетных инвестиций, предоставленных в том числе в соответствии с иными правовыми актами, и иная просроченная (неурегулированная) задолженность по денежным обязательствам перед Российской Федерацией;

в) у организации отсутствует неисполненная обязанность по уплате налогов, сборов, страховых взносов, пеней, штрафов и процентов, подлежащих уплате в соответствии с законодательством Российской Федерации о налогах и сборах;

г) организация не находится в процессе реорганизации (за исключением реорганизации в форме присоединения к организации другого юридического лица), ликвидации, в отношении ее не введена процедура банкротства, ее деятельность не приостановлена в порядке, предусмотренном законодательством Российской Федерации;

д) организация не является иностранным юридическим лицом, а также российским юридическим лицом, в уставном (складочном) капитале которого доля участия иностранных юридических лиц, местом регистрации которых является государство (территория), включенное в утвержденный Министерством финансов Российской Федерации перечень государств и территорий, предоставляющих льготный налоговый режим налогообложения и (или) не предусматривающих раскрытия и предоставления информации при проведении финансовых операций (офшорные зоны), в совокупности превышает 50 процентов;

е) в реестре дисквалифицированных лиц отсутствуют сведения о дисквалифицированных руководителе, членах коллегиального исполнительного органа, лице, исполняющем функции единоличного исполнительного органа, или главном бухгалтере (при наличии) организации;

ж) организация является:

при сертификации продукции на внешних рынках - производителем продукции либо аффилированным лицом производителя продукции, признанным таковым в соответствии с законодательством Российской Федерации;

при сертификации лекарственного средства на внешних рынках - разработчиком и (или) производителем лекарственного средства и владельцем прав на лекарственное средство, или обладателем права их использования на основании лицензионного договора или на ином законном основании, или аффилированным лицом разработчика и (или) производителя лекарственного средства, признанным таковым в соответствии с законодательством Российской Федерации.

11. Для участия в конкурсе организация в течение 30 календарных дней с даты объявления конкурса формирует в системе заявку по определенной в системе форме, в которой указываются:

а) наименование организации, идентификационный номер налогоплательщика и основной государственный регистрационный номер, место нахождения и адрес организации, код Общероссийского классификатора видов экономической деятельности;

б) наименование продукции (лекарственного средства), коды товарной номенклатуры внешнеэкономической деятельности Евразийского экономического союза, отраслевая принадлежность;

в) планируемый размер затрат на сертификацию продукции на внешних рынках или сертификацию лекарственного средства на внешних рынках;

г) запрашиваемый размер субсидии на сертификацию продукции на внешних рынках или сертификацию лекарственного средства на внешних рынках;

д) значения показателей, необходимых для достижения результата предоставления субсидии, в соответствии с пунктом 5 настоящих Правил;

е) сведения о заключенном соглашении о реализации корпоративной программы повышения конкурентоспособности с указанием его номера и даты (сведения указываются организацией, заключившей с Министерством промышленности и торговли Российской Федерации соглашение о реализации корпоративной программы повышения конкурентоспособности, и организацией, указанной в корпоративной программе повышения конкурентоспособности как аффилированное лицо);

ж) подтверждение соответствия организации требованиям, установленным пунктом 10 настоящих Правил;

з) согласие организации на проведение Министерством промышленности и торговли Российской Федерации, Центром и органами государственного финансового контроля обязательных проверок соблюдения организацией целей, условий и порядка предоставления субсидии;

и) подтверждение достоверности представленной информации;

к) иная информация, предусмотренная формой заявки.

12. К заявке организация дополнительно прилагает следующие документы:

а) план-график поставок на внешние рынки продукции (лекарственных средств) с указанием стран-импортеров продукции (лекарственных средств) и объемов поставок на каждый год реализации плана-графика поставок по форме, утвержденной в объявлении о проведении конкурса и (или) в системе;

б) справка, содержащая сведения о выполненных и (или) запланированных работах (мероприятиях) по сертификации продукции на внешних рынках (сертификации лекарственного средства на внешних рынках), включая сроки проведения работ (мероприятий) и обязательные требования и (или) требования заказчиков (в случае наличия указанных требований в договоре поставки продукции), предъявляемые на внешних рынках;

в) выписка из Единого государственного реестра юридических лиц, Единого государственного реестра индивидуальных предпринимателей, заверенная в установленном порядке, или сведения о юридическом лице, индивидуальном предпринимателе, полученные с официального сайта Федеральной налоговой службы в информационно-телекоммуникационной сети "Интернет" не позднее 30 календарных дней до дня подачи заявки (в случае непредставления организацией такого документа Центр посредством системы направляет в Федеральную налоговую службу запрос на получение такого документа);

г) справка налогового органа по состоянию на дату не ранее чем за 30 календарных дней до дня подачи заявки, подтверждающая отсутствие у организации неисполненной обязанности по уплате налогов, сборов, страховых взносов, пеней, штрафов и процентов, подлежащих уплате в соответствии с законодательством Российской Федерации о налогах и сборах, заверенная в установленном порядке (в случае непредставления организацией такого документа Центр посредством системы направляет в Федеральную налоговую службу запрос на получение такого документа);

д) сведения о дилерах, трейдерах, дистрибьюторах, агентах и иных поставщиках, осуществляющих (планирующих) поставки на внешние рынки продукции (лекарственных средств) по договорам с организацией (при наличии);

е) при сертификации лекарственного средства на внешних рынках - копия лицензии на производство лекарственных средств, копии документов, подтверждающих права на производство лекарственного средства (владение, использование на основании лицензионного договора, на ином законном основании).

13. Заявка и прилагаемые к ней документы подписываются в системе с использованием усиленной квалифицированной электронной подписи руководителя организации или уполномоченного им лица (с подтверждением полномочий указанного лица).

14. Регистрация заявок осуществляется после их подписания в автоматическом режиме в системе в порядке их поступления. Зарегистрированные заявки в автоматическом режиме поступают посредством системы в Центр. После дня окончания приема заявок регистрация заявок в системе прекращается в автоматическом режиме. Количество подаваемых организацией заявок не ограничено. Общий размер субсидии, запрашиваемый организацией суммарно по всем поданным заявкам и (или) по действующим (заключенным) на момент проведения конкурса соглашениям о предоставлении субсидии в рамках настоящих Правил, не может превышать на одну организацию:

а) при сертификации продукции на внешних рынках 500 млн рублей;

б) при сертификации лекарственного средства на внешних рынках - 1 млрд рублей.

15. Центр в рамках проведения конкурса, в том числе с учетом положений, установленных агентским договором:

а) в течение 15 рабочих дней со дня регистрации в системе заявок проводит проверку соответствия организаций требованиям пункта 10 настоящих Правил и документов, входящих в состав заявок, требованиям пунктов 11 - 14 настоящих Правил и объявления о проведении конкурса;

б) по результатам проверки, указанной в подпункте "а" настоящего пункта, формирует протокол рассмотрения заявок, в котором указываются наименование конкурса и организатор конкурса, место, дата и время проведения рассмотрения заявок, информация об участниках конкурса, заявки которых были рассмотрены, информация об участниках конкурса, заявки которых были отклонены, с указанием причин их отклонения, в том числе положений объявления о проведении конкурса, которым не соответствуют такие заявки;

в) размещает в системе протокол рассмотрения заявок, подписанный в системе с использованием усиленной квалифицированной электронной подписи руководителем Центра или уполномоченным им лицом, и направляет его в Министерство промышленности и торговли Российской Федерации посредством системы;

г) в течение 2 рабочих дней со дня размещения в системе протокола рассмотрения заявок подготавливает и направляет организациям посредством системы (в личном кабинете пользователя и (или) посредством электронной почты) уведомления об отклонении заявок и отказе в допуске к участию в конкурсе в случаях, предусмотренных пунктом 16 настоящих Правил, с указанием причин отклонения заявок;

д) на основании протокола рассмотрения заявок проводит оценку заявок в соответствии с пунктом 17 настоящих Правил и подготавливает проект реестра получателей субсидии и проект листа ожидания по форме, предусмотренной агентским договором, и направляет их в Министерство промышленности и торговли Российской Федерации на утверждение;

е) в случае направления Министерством промышленности и торговли Российской Федерации проекта реестра получателей субсидии и проекта листа ожидания на доработку в Центр в соответствии с подпунктом "а" пункта 18 настоящих Правил Центр дорабатывает эти документы в течение 5 рабочих дней и повторно направляет их в Министерство промышленности и торговли Российской Федерации на утверждение;

ж) направляет посредством системы (в личном кабинете пользователя и (или) посредством электронной почты) уведомления организациям о включении их в реестр получателей субсидии и лист ожидания, утвержденные Министерством промышленности и торговли Российской Федерации, в течение одного рабочего дня со дня получения соответствующей информации от Министерства промышленности и торговли Российской Федерации;

з) направляет посредством системы (в личном кабинете пользователя и (или) посредством электронной почты) организациям уведомления о размещении в государственной интегрированной информационной системе управления общественными финансами "Электронный бюджет" проектов соглашений о предоставлении субсидии организациям, включенным в реестр получателей субсидии, утвержденный Министерством промышленности и торговли Российской Федерации, в течение одного рабочего дня со дня получения информации в соответствии с подпунктом "в" пункта 18 настоящих Правил от Министерства промышленности и торговли Российской Федерации.

16. Основаниями для отклонения заявок организаций являются:

а) несоответствие организации требованиям, указанным в пункте 10 настоящих Правил;

б) несоответствие представленных организацией документов требованиям, указанным в пунктах 11 - 14 настоящих Правил и в объявлении о проведении конкурса;

в) непредставление или представление не в полном объеме документов, указанных в пунктах 11 и 12 настоящих Правил;

г) выявление фактов недостоверности представленной организацией информации, содержащейся в документах, указанных в пунктах 11 и 12 настоящих Правил, в том числе информации о месте нахождения и адресе юридического лица;

д) подача организацией заявки после даты и (или) времени окончания приема заявок, указанных в объявлении о проведении конкурса.

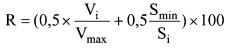
17. Оценка заявок осуществляется Центром путем ранжирования заявок, которая проводится отдельно по каждой группе отраслей промышленности, указанных в пункте 7 настоящих Правил, с учетом утвержденных отраслевых лимитов. Ранжирование заявок осуществляется по показателю ранжирования (R), который рассчитывается по формуле:

,

где:

- объем поставок на внешние рынки продукции (лекарственного средства), заявленный организацией в плане-графике поставок на внешние рынки продукции (лекарственных средств);

- максимальное значение объема поставок на внешние рынки продукции (лекарственного средства), заявленное в плане-графике поставок на внешние рынки продукции (лекарственных средств) одной из организаций, участвующих в конкурсе;

- минимальное значение размера субсидии на сертификацию продукции на внешних рынках (сертификацию лекарственного средства на внешних рынках), запрашиваемого одной из организаций, участвующих в конкурсе;

- размер субсидии на сертификацию продукции на внешних рынках (сертификацию лекарственного средства на внешних рынках), запрашиваемый организацией, участвующей в конкурсе.

Ранжирование заявок в рамках одной группы отраслей промышленности осуществляется в следующем порядке:

на первом этапе в проект реестра получателей субсидии включаются заявки организаций, с которыми заключены соглашения о реализации корпоративной программы повышения конкурентоспособности, и организаций, указанных в корпоративной программе повышения конкурентоспособности как аффилированные лица, в порядке убывания значения показателя ранжирования до исчерпания 50 процентов отраслевого лимита (при равенстве таких значений показателей ранжирования у нескольких организаций учитывается хронологический порядок поступления заявок в систему);

на втором этапе в проект реестра получателей субсидии включаются заявки организаций вне зависимости от наличия заключенного соглашения о реализации корпоративной программы повышения конкурентоспособности в порядке убывания значения показателя ранжирования, до исчерпания отраслевого лимита (при равенстве таких значений показателей ранжирования у нескольких организаций учитывается хронологический порядок поступления заявок в систему);

на третьем этапе формируется лист ожидания, в который включаются заявки в порядке убывания значения показателя ранжирования (при равенстве таких значений показателей ранжирования у нескольких организаций учитывается хронологический порядок поступления заявок в систему).

18. Министерство промышленности и торговли Российской Федерации в рамках проведения конкурса:

а) в течение 10 рабочих дней со дня получения от Центра проекта реестра получателей субсидии и проекта листа ожидания:

рассматривает их на соответствие установленным настоящими Правилами требованиям;

в случае несоответствия указанных документов установленным к ним требованиям направляет их на доработку в Центр с указанием замечаний;

принимает решение о перераспределении отраслевых лимитов в случаях, предусмотренных пунктом 7 настоящих Правил;

б) утверждает реестр получателей субсидии и лист ожидания и направляет их посредством системы в Центр в целях уведомления организаций, включенных в реестр получателей субсидии и лист ожидания;

в) формирует проекты соглашений о предоставлении субсидии, заключаемые с организациями, включенными в реестр получателей субсидии, в государственной интегрированной информационной системе управления общественными финансами "Электронный бюджет" и направляет соответствующую информацию в Центр.

19. Субсидия предоставляется на основании соглашения о предоставлении субсидии, которое заключается между организацией, Центром как агентом Правительства Российской Федерации и Министерством промышленности и торговли Российской Федерации в соответствии с типовой формой, установленной Министерством финансов Российской Федерации, в государственной интегрированной информационной системе управления общественными финансами "Электронный бюджет" в форме электронного документа и подписывается усиленной квалифицированной электронной подписью лиц, имеющих право действовать от имени каждой из сторон.

20. В соглашении о предоставлении субсидии предусматриваются в том числе:

а) предельный размер субсидии, условия, сроки и порядок перечисления субсидии;

б) значения результата предоставления субсидии и показателей, необходимых для достижения результата предоставления субсидии, с разбивкой по годам на период действия соглашения о предоставлении субсидии;

в) план-график поставок на внешние рынки продукции (лекарственных средств), представленный в составе заявки, с указанием стран - импортеров этой продукции (лекарственных средств) и объемов поставок на каждый год реализации плана-графика поставок;

г) формы и сроки представления отчетности в соответствии с пунктом 33 настоящих Правил;

д) согласие организации на проведение Министерством промышленности и торговли Российской Федерации и органами государственного финансового контроля обязательных проверок соблюдения организацией целей, условий и порядка предоставления субсидии;

е) порядок согласования и внесения в соглашение о предоставлении субсидии новых условий предоставления субсидии или расторжения соглашения о предоставлении субсидии при недостижении между организацией и Министерством промышленности и торговли Российской Федерации согласия по новым условиям в случае уменьшения Министерству промышленности и торговли Российской Федерации ранее доведенных лимитов бюджетных обязательств, приводящих к невозможности предоставления субсидии в размере, определенном в соглашении о предоставлении субсидии;

ж) условия и порядок заключения дополнительного соглашения о расторжении соглашения о предоставлении субсидии, основания для одностороннего его расторжения Министерством промышленности и торговли Российской Федерации в случаях, предусмотренных пунктом 38 настоящих Правил;

з) обязанность организации по возврату субсидии в доход федерального бюджета с уплатой штрафа в размере, установленном в соответствии с пунктом 40 настоящих Правил, в случае нарушения условий предоставления субсидии, которые установлены настоящими Правилами;

и) ответственность организации за недостижение значений результата предоставления субсидии и показателей, необходимых для достижения результата предоставления субсидии, в том числе обязательство организации по возврату части субсидии в федеральный бюджет, расчет размера которой осуществляется в соответствии с пунктом 41 настоящих Правил.

21. Организация, включенная в реестр получателей субсидии, не позднее 5 рабочих дней со дня получения предусмотренного подпунктом "з" пункта 15 настоящих Правил уведомления подписывает соглашение о предоставлении субсидии или формируют в системе заявление об отказе в его заключении и подписывает его с использованием усиленной квалифицированной электронной подписи руководителя или уполномоченного лица (с подтверждением полномочий указанного лица) организации.

В случае отказа организации в заключении соглашения о предоставлении субсидии или неподписания его в сроки, установленные абзацем первым настоящего пункта, соглашение о предоставлении субсидии заключается с организацией, включенной в лист ожидания в соответствии с присвоенным заявке порядковым номером при оценке заявок.

Центр в течение 3 рабочих дней вносит изменения в реестр получателей субсидии и лист ожидания и направляет их в Министерство промышленности и торговли Российской Федерации.

22. Размер субсидии (Р) определяется по формуле:

а) при сертификации продукции на внешних рынках:

,

где:

S - сумма фактических затрат организации на сертификацию продукции на внешних рынках, указанных в пункте 23 настоящих Правил;

- коэффициент субсидирования затрат на сертификацию продукции на внешних рынках, равный 0,8;

- максимальный размер субсидии, предоставляемой организации на сертификацию продукции на внешних рынках, который не должен превышать 50 млн рублей;

б) при сертификации лекарственного средства на внешних рынках:

,

где:

I - сумма фактических затрат организации на проведение клинических исследований лекарственного средства на внешних рынках;

- коэффициент субсидирования затрат на проведение клинических исследований лекарственного средства на внешних рынках, равный 0,5;

R - сумма фактических затрат организации на регистрацию лекарственного средства;

- коэффициент субсидирования затрат на регистрацию лекарственного средства, равный 0,8;

Q - сумма фактических затрат организации на проведение преквалификации лекарственного средства Всемирной организацией здравоохранения;

- коэффициент субсидирования затрат на проведение преквалификации лекарственного средства Всемирной организацией здравоохранения, равный 0,5;

- максимальный размер субсидии, предоставляемой организации на сертификацию лекарственного средства на внешних рынках, который не должен превышать 500 млн рублей.

В целях компенсации части затрат организации, осуществленных в иностранной валюте, размер субсидии определяется в российских рублях по курсу рубля по отношению к соответствующей иностранной валюте, установленному Центральным банком Российской Федерации на дату исполнения платежа в соответствии с платежным поручением.

23. Субсидия предоставляется организации на компенсацию части следующих видов затрат (одного или нескольких), связанных с сертификацией продукции на внешних рынках:

а) затраты на проведение испытаний образцов продукции в аккредитованной (нотифицированной) испытательной лаборатории на соответствие обязательным требованиям и (или) требованиям заказчиков (в случае наличия указанных требований в договоре поставки продукции), предъявляемым на внешних рынках, на которые поставлена продукция либо планируется ее поставка;

б) затраты на проведение инспекционной проверки (аудита, в том числе ресертификационного, аттестации) производства продукции уполномоченным и (или) аккредитованным (нотифицированным) органом по оценке соответствия или уполномоченным органом по регистрации;

в) затраты на получение сертификата соответствия, включая государственные пошлины и сборы, перевод технической документации на иностранный язык;

г) затраты на транспортировку, хранение и утилизацию образцов продукции для проведения испытаний в аккредитованной (нотифицированной) испытательной лаборатории на соответствие обязательным требованиям и (или) требованиям заказчиков (в случае наличия указанных требований в договоре поставки продукции), предъявляемым на внешних рынках, на которые поставлена продукция либо планируется ее поставка.

24. Субсидия предоставляется организации на компенсацию части следующих видов затрат (одного или нескольких), связанных с сертификацией лекарственных средств на внешних рынках, осуществляемой уполномоченными органами иностранных государств:

а) затраты на регистрацию лекарственного средства, включая: затраты на проведение анализа образцов лекарственного средства в соответствии с требованиями страны регистрации;

затраты на проведение инспекционной проверки (предаудита, аудита, в том числе ресертификационного, аттестации) производственной площадки организации уполномоченным и (или) аккредитованным (нотифицированным) органом по оценке соответствия или уполномоченным органом по регистрации на соответствие требованиям надлежащей производственной практики страны регистрации;

затраты на получение регистрационного удостоверения или иного документа, подтверждающего соответствие лекарственного средства требованиям страны регистрации, включая государственные пошлины и сборы, перевод технической документации на иностранный язык;

затраты на транспортировку, хранение и утилизацию образцов лекарственного средства для анализа образцов лекарственного средства в испытательной лаборатории, аккредитованной (нотифицированной) в соответствии с требованиями страны регистрации;

б) затраты на проведение клинических исследований лекарственного средства на внешних рынках, включая:

затраты на проведение клинических и доклинических исследований (включая исследования безопасности, эффективности и биоэквивалентности лекарственного средства), токсикологических исследований, исследований фармакологических свойств эффективности и безопасности лекарственного средства, а также пострегистрационных исследований терапевтического применения лекарственного средства, анализа биологических образцов субъектов исследования, включая закупку препарата сравнения, препаратов сопутствующей терапии, а также затраты на получение разрешения на проведение клинического исследования;

затраты на оплату услуг контрактных исследовательских организаций, и (или) исследовательских центров, и (или) исследователей по фармацевтической разработке лекарственного средства и сопровождению клинических исследований (набор и страхование пациентов, мониторинг клинического исследования, составление базы данных, статистическая обработка результатов и оформление результатов, разработка дизайна клинического исследования и документов, необходимых для получения разрешения на проведение клинического исследования);

затраты на транспортировку исследуемого лекарственного средства, препарата сравнения, препаратов сопутствующей терапии, предусмотренных протоколом клинического исследования, биологических образцов субъектов исследования на территорию страны, в которой производится исследование, и в каждый исследовательский центр, а также на их хранение и утилизацию;

в) затраты на проведение преквалификации лекарственного средства Всемирной организацией здравоохранения, включая:

затраты на оплату посредством взносов (сборов) услуг Всемирной организации здравоохранения или иных организаций, определенных Всемирной организацией здравоохранения, по оценке лекарственных средств, инспектированию производственных площадок, непосредственно связанных с преквалификацией лекарственных средств;

затраты на формирование досье на лекарственное средство для подачи заявки во Всемирную организацию здравоохранения в соответствии с процедурой преквалификации лекарственного средства.

25. В целях получения субсидии организация, с которой заключено соглашение о предоставлении субсидии, не позднее 1 марта, и (или) 31 мая, и (или) 31 августа, и (или) 20 ноября текущего финансового года формирует в системе заявление о предоставлении субсидии, подписанное с использованием усиленной квалифицированной электронной подписи руководителя организации или уполномоченного им лица (с подтверждением полномочий указанного лица) и включающее расчет размера запрашиваемой субсидии в соответствии с пунктом 22 настоящих Правил, а также следующие документы:

а) при сертификации продукции на внешних рынках: копия сертификата соответствия;

копии договоров на выполнение работ (оказание услуг) с приложением протоколов испытаний, отчетов о проведенном аудите, заключенных организацией напрямую (если иной порядок не предусмотрен законодательством иностранного государства) с аккредитованной (нотифицированной) испытательной лабораторией и (или) сертифицирующей (регистрирующей) организацией;

копии договоров на выполнение работ (оказание услуг), подтверждающих затраты на транспортировку, хранение и утилизацию образцов продукции для проведения испытаний в испытательной лаборатории, аккредитованной (нотифицированной) в соответствии с обязательными требованиями и (или) требованиями заказчиков (в случае наличия указанных требований в договоре поставки продукции), предъявляемыми на внешних рынках, на которые поставлена продукция либо планируется ее поставка;

копии первичных бухгалтерских документов (актов сдачи-приемки, товарных накладных, платежных поручений с отметкой кредитной организации), подтверждающих понесенные организацией затраты, предусмотренные пунктом 23 настоящих Правил;

копия заключения о подтверждении производства продукции на территории Российской Федерации, действующего на дату подачи заявления о предоставлении субсидии;

копии документов, подтверждающих требования заказчика (при наличии).

б) при сертификации лекарственного средства на внешних рынках - копии договоров на выполнение работ (оказание услуг) и договоров купли- продажи (при наличии), копии первичных бухгалтерских документов (актов сдачи-приемки, товарных накладных, платежных ведомостей, документов, подтверждающих численность основного и привлеченного персонала, платежных поручений с отметкой кредитной организации), подтверждающих понесенные организацией затраты, предусмотренные пунктом 24 настоящих Правил.

26. Документы, прилагаемые к заявлению о предоставлении субсидии, представляются в Центр на русском языке или на иностранном языке с переводом на русский язык, а также подписываются (заверяются) с использованием усиленной квалифицированной электронной подписи руководителя организации или уполномоченного им лица (с подтверждением полномочий указанного лица).

27. Регистрация заявлений о предоставлении субсидии, предусмотренных пунктом 25 настоящих Правил, осуществляется в автоматическом режиме в системе после их подписания в порядке поступления. Зарегистрированные заявления о предоставлении субсидии в автоматическом режиме поступают посредством системы в Центр.

28. Центр в рамках рассмотрения заявлений о предоставлении субсидии:

а) проверяет полноту и достоверность сведений, содержащихся в представленных организацией документах, их соответствие требованиям, указанным в пунктах 25 - 26 настоящих Правил, а также условиям соглашения о предоставлении субсидии, расчет размера субсидии, в том числе в соответствии с подтверждающими документами, представленными организацией (если организацией допущены ошибки в расчете размера субсидии, расчет размера субсидии осуществляется Центром в соответствии с пунктом 22 настоящих Правил), и не позднее 10-го числа последнего месяца квартала (но не позднее 5 декабря) подготавливает заключение о предоставлении субсидии либо об отказе в предоставлении субсидии по форме, предусмотренной агентским договором;

б) представляет посредством системы в Министерство промышленности и торговли Российской Федерации заключения о предоставлении (об отказе в предоставлении) субсидии, подписанные в системе с использованием усиленной квалифицированной электронной подписи руководителя организации или уполномоченного им лица;

в) в течение одного рабочего дня со дня получения от Министерства промышленности и торговли Российской Федерации уведомления об отказе в предоставлении субсидии возвращает организации посредством системы (в личном кабинете пользователя и (или) посредством электронной почты) заявление о предоставлении субсидии с уведомлением, в котором указываются основания для такого отказа;

г) в течение одного рабочего дня со дня получения от Министерства промышленности и торговли Российской Федерации решения о предоставлении субсидии уведомляет посредством системы (в личном кабинете пользователя и (или) посредством электронной почты) организацию об этом решении;

д) в течение одного рабочего дня со дня получения от Министерства промышленности и торговли Российской Федерации информации, указанной в подпункте "в" пункта 29 настоящих Правил, направляет организациям, включенным в лист ожидания, уведомление о возможности заключения соглашения о предоставлении субсидии посредством системы (в личном кабинете пользователя и (или) посредством электронной почты).

29. Министерство промышленности и торговли Российской Федерации в срок не позднее 20-го числа последнего месяца квартала (но не позднее 10 декабря):

а) обеспечивает рассмотрение заключений о предоставлении (об отказе в предоставлении) субсидии, подготовленных Центром, запрашивает документы, представленные организациями в соответствии с пунктом 25 настоящих Правил (при необходимости), и по результатам рассмотрения принимает решение:

о предоставлении субсидии;

об отказе в предоставлении субсидии в соответствии с пунктом 30 настоящих Правил;

б) направляет посредством системы в Центр информацию о решениях, принятых в соответствии с подпунктом "а" настоящего пункта;

в) при наличии лимитов бюджетных обязательств направляет в Центр уведомление о необходимости информирования Центром в 2-дневный срок организаций, включенных в лист ожидания, о возможности заключения соглашения о предоставлении субсидии.

30. Основаниями для отказа организации в предоставлении субсидии являются:

а) несоответствие организации требованиям, установленным пунктом 10 настоящих Правил;

б) непредставление (представление не в полном объеме) организацией документов, предусмотренных пунктом 25 настоящих Правил;

в) несоответствие документов, представленных организацией в соответствии с пунктом 25 настоящих Правил, требованиям, предусмотренным соглашением о предоставлении субсидии и настоящими Правилами;

г) установление факта наличия в представленных организацией документах, предусмотренных пунктом 25 настоящих Правил, недостоверной информации;

д) превышение запрашиваемого размера субсидии и размера ранее полученных субсидий (накопленным итогом) предельного размера субсидии, установленного в соглашении о предоставлении субсидии;

е) отсутствие у организации соглашения о предоставлении субсидии, заключенного в соответствии с настоящими Правилами.

31. Перечисление субсидии осуществляется не позднее 10-го рабочего дня после принятия Министерством промышленности и торговли Российской Федерации решения о предоставлении субсидии на расчетный счет организации, открытый в учреждении Центрального банка Российской Федерации или кредитной организации, но не чаще одного раза в квартал.

32. Заключение договоров, обмен юридически значимыми сообщениями, уведомлениями, документами, за исключением заключения соглашения о предоставлении субсидии и агентского договора, осуществляются путем обмена электронными документами посредством системы с обеспечением возможности формирования архива документов в системе. Электронный документ должен быть представлен в форме оригинала, подписанного с использованием усиленной квалифицированной электронной подписи уполномоченного лица, либо в случае невозможности представления оригинала - в форме надлежащим образом заверенной копии, обладающей юридической силой на территории Российской Федерации. При этом запрещается использовать простую электронную подпись или неквалифицированную электронную подпись, а также требовать представления на бумажном носителе документов и (или) сведений, которые находятся в распоряжении федеральных органов исполнительной власти и иных организаций и могут быть получены посредством использования единой системы межведомственного электронного взаимодействия.

33. Организация, с которой заключено соглашение о предоставлении субсидии, представляет не позднее 15 февраля года, следующего за отчетным, в Центр посредством системы отчетные материалы, включающие в себя:

а) отчет о достижении значений результата предоставления субсидии и показателей, необходимых для достижения результата предоставления субсидии, установленных в соглашении о предоставлении субсидии, по форме, определенной типовой формой соглашения, установленной Министерством финансов Российской Федерации, с приложением копий полученных организацией сертификатов соответствия или документов, подтверждающих успешное завершение фазы клинических исследований, завершение регистрации лекарственного средства на внешних рынках, и (или) подтверждающих успешное прохождение преквалификации лекарственного средства Всемирной организацией здравоохранения;

б) отчет о реализации плана-графика поставок на внешние рынки продукции (лекарственных средств) с указанием стран-импортеров и объемов поставок продукции (лекарственных средств) за отчетный год по форме, установленной в соглашении о предоставлении субсидии, с приложением:

копий договоров на поставку продукции (лекарственного средства) на внешние рынки;

копий таможенных деклараций (статистических форм учета перемещения товаров или заявлений о ввозе товаров и уплате косвенных налогов), подтверждающих поставку продукции (лекарственного средства) по указанным договорам;

сведений о дилерах, трейдерах, дистрибьюторах, агентах и иных поставщиках, осуществляющих поставки продукции (лекарственного средства) на внешние рынки (при наличии).

34. Отчетные материалы, указанные в пункте 33 настоящих Правил, подписываются в системе с использованием усиленной квалифицированной электронной подписи руководителя организации или уполномоченного им лица (с подтверждением полномочий указанного лица).

35. Центр рассматривает отчетные материалы, указанные в пункте 33 настоящих Правил, в срок не позднее 15 рабочих дней со дня их получения. По результатам рассмотрения отчетных материалов Центр формирует в отношении каждой организации и направляет в Министерство промышленности и торговли Российской Федерации посредством системы заключения о наличии или отсутствии замечаний к отчетным материалам.

36. Министерство промышленности и торговли Российской Федерации в течение 5 рабочих дней рассматривает заключения Центра, подготовленные в соответствии с пунктом 35 настоящих Правил, запрашивает отчетные материалы (при необходимости) и принимает решения (с последующим уведомлением организации):

а) о приемке отчетных материалов;

б) о применении в отношении организации меры ответственности в форме возврата части субсидии в федеральный бюджет в соответствии с пунктом 40 настоящих Правил;

в) о частичном или полном возврате субсидии в федеральный бюджет в случаях, установленных пунктами 38 и 41 настоящих Правил;

г) об одностороннем расторжении соглашения о предоставлении субсидии в случаях, установленных пунктом 38 настоящих Правил;

д) о приостановке предоставления субсидии, предусмотренной подпунктом "б" пункта 6 настоящих Правил, до устранения организацией замечаний в установленный Министерством промышленности и торговли Российской Федерации срок.

37. Министерство промышленности и торговли Российской Федерации и органы государственного финансового контроля осуществляют обязательные проверки соблюдения организацией условий предоставления субсидии, которые установлены соглашением о предоставлении субсидии и настоящими Правилами, а также достижения значения результата предоставления субсидии.

38. Субсидия подлежит возврату в доход федерального бюджета в случае:

а) если по итогам проверок, проведенных Министерством промышленности и торговли Российской Федерации и (или) органами государственного финансового контроля, установлен факт нарушения условий предоставления субсидии - в объеме выявленных нарушений;

б) если по истечению срока действия соглашения о предоставлении субсидии организацией не получен документ, подтверждающий успешное прохождение преквалификации лекарственного средства Всемирной организацией здравоохранения или завершение регистрации лекарственного средства на внешних рынках, или 3 документа, подтверждающие успешное завершение фазы клинических исследований, необходимых для регистрации лекарственных средств на внешних рынках (при сертификации лекарственного средства на внешних рынках), - в размере субсидии, фактически предоставленной организации;

в) если фактический объем поставки на внешние рынки продукции (лекарственного средства) составляет менее 75 процентов установленного в соглашении о предоставлении субсидии значения (накопленным итогом за период, указанный в плане-графике поставок), - в размере субсидии, фактически предоставленной организации.

39. Субсидия подлежит возврату в доход федерального бюджета на основании:

а) требования Министерства промышленности и торговли Российской Федерации, направленного посредством системы или заказным почтовым отправлением с уведомлением о вручении, - не позднее 15 рабочих дней со дня получения соответствующего требования организацией;

б) представления и (или) предписания органа государственного финансового контроля - в срок, установленный в соответствии с бюджетным законодательством Российской Федерации.

40. Одновременно с возвратом субсидии в доход федерального бюджета организация уплачивает штраф в размере одной трехсотой ключевой ставки рефинансирования, установленной Центральным банком Российской Федерации, действующей в соответствующие периоды, за каждый день использования субсидии, с даты ее получения до даты перечисления в доход федерального бюджета.

41. В случае если фактический объем поставки на внешние рынки продукции (лекарственного средства) (накопленным итогом за период, указанный в плане-графике поставок) составляет не менее 75 и менее 100 процентов установленного в соглашении о предоставлении субсидии значения, к организации применяется мера ответственности в форме возврата в федеральный бюджет части субсидии, размер (А) которой определяется по формуле:

,

где:

L - размер субсидии, фактически предоставленной организации;

- фактически достигнутое значение объема поставки на внешние рынки продукции (лекарственного средства) на конец реализации плана- графика поставок на внешние рынки продукции (лекарственных средств);

- установленное соглашением о предоставлении субсидии значение объема поставки на внешние рынки продукции (лекарственного средства) на конец реализации плана-графика поставок на внешние рынки продукции (лекарственных средств).

УТВЕРЖДЕНО
постановлением Правительства
Российской Федерации
от 30 апреля 2021 г. N 687

ПОЛОЖЕНИЕ ОБ ОСУЩЕСТВЛЕНИИ АКЦИОНЕРНЫМ ОБЩЕСТВОМ "РОССИЙСКИЙ ЭКСПОРТНЫЙ ЦЕНТР" ФУНКЦИЙ АГЕНТА ПРАВИТЕЛЬСТВА РОССИЙСКОЙ ФЕДЕРАЦИИ ПО ВОПРОСУ О ПРЕДОСТАВЛЕНИИ СУБСИДИЙ ИЗ ФЕДЕРАЛЬНОГО БЮДЖЕТА ОРГАНИЗАЦИЯМ НА КОМПЕНСАЦИЮ ЧАСТИ ЗАТРАТ, СВЯЗАННЫХ С СЕРТИФИКАЦИЕЙ ПРОДУКЦИИ, В ТОМ ЧИСЛЕ ПРОДУКЦИИ ФАРМАЦЕВТИЧЕСКОЙ И МЕДИЦИНСКОЙ ПРОМЫШЛЕННОСТИ, НА ВНЕШНИХ РЫНКАХ

1. Настоящее Положение устанавливает порядок осуществления акционерным обществом "Российский экспортный центр" (далее - Центр) функций агента Правительства Российской Федерации по вопросу о предоставлении субсидий из федерального бюджета организациям на компенсацию части затрат, связанных с сертификацией продукции, в том числе продукции фармацевтической и медицинской промышленности, на внешних рынках, в соответствии с частью 26 статьи 46.1 Федерального закона "Об основах государственного регулирования внешнеторговой деятельности" и Правилами предоставления субсидий из федерального бюджета организациям на компенсацию части затрат, связанных с сертификацией продукции, в том числе продукции фармацевтической и медицинской промышленности, на внешних рынках, утвержденными постановлением Правительства Российской Федерации от 30 апреля 2021 г. N 687 "О государственной поддержке организаций на компенсацию части затрат, связанных с сертификацией продукции, в том числе продукции фармацевтической и медицинской промышленности, на внешних рынках" (далее соответственно - субсидия, Правила предоставления субсидий).

2. Центр выполняет функции агента Правительства Российской Федерации по вопросу о предоставлении субсидий на основании заключенного между Министерством промышленности и торговли Российской Федерации, Министерством экономического развития Российской Федерации и Центром агентского договора о предоставлении субсидий (далее - агентский договор).

3. В агентском договоре указываются в том числе:

а) порядок информационного обмена между Центром и Министерством промышленности и торговли Российской Федерации, в том числе с использованием государственной информационной системе промышленности в открытом доступе в информационно-телекоммуникационной сети "Интернет" (далее - система);

б) права и обязанности Центра, включая:

размещение в системе объявления о проведении конкурса не позднее чем за 3 календарных дня до дня начала приема заявок на участие в конкурсе (далее - заявки);

направление не позднее 5 календарных дней со дня начала приема заявок посредством системы извещений о проведении конкурса организациям, зарегистрированным в системе, в форме уведомления в личном кабинете пользователя и (или) сообщения посредством электронной почты;

проведение проверки соответствия организаций и документов, входящих в состав заявок, требованиям Правил предоставления субсидий и объявления о проведении конкурса в течение 15 рабочих дней со дня регистрации в системе заявок;

формирование протокола рассмотрения заявок, в котором указываются наименование конкурса и организатор конкурса, место, дата и время проведения рассмотрения заявок, информация об участниках конкурса, заявки которых были рассмотрены, информация об участниках конкурса, заявки которых были отклонены, с указанием причин их отклонения, в том числе положений объявления о проведении конкурса, которым не соответствуют такие заявки;

размещение в системе протокола рассмотрения заявок, подписанного в системе руководителем Центра или уполномоченным им лицом с использованием усиленной квалифицированной электронной подписи, и направление его в Министерство промышленности и торговли Российской Федерации посредством системы;

подготовка и направление посредством системы (в личном кабинете пользователя и (или) посредством электронной почты) организациям уведомлений об отклонении заявок и отказе в допуске к участию в конкурсе в случаях, предусмотренных Правилами предоставления субсидий, с указанием причин отклонения заявок, подписанных в системе руководителем или уполномоченным лицом Центра с использованием усиленной квалифицированной электронной подписи в течение 2 рабочих дней со дня размещения в системе протокола рассмотрения заявок;

проведение оценки заявок организаций и подготовка на основании протокола рассмотрения заявок проекта реестра получателей субсидии и проекта листа ожидания по форме, предусмотренной агентским договором, и направление их в Министерство промышленности и торговли Российской Федерации на утверждение;

доработка проекта реестра получателей субсидии и проекта листа ожидания в течение 5 рабочих дней и их повторное направление в Министерство промышленности и торговли Российской Федерации на утверждение в случае направления Министерством промышленности и торговли Российской Федерации этих документов в Центр на доработку;

направление посредством системы (в личном кабинете пользователя и (или) посредством электронной почты) уведомлений организациям о включении их в реестр получателей субсидии и лист ожидания, утвержденные Министерством промышленности и торговли Российской Федерации, в течение одного рабочего дня со дня получения соответствующей информации от Министерства промышленности и торговли Российской Федерации;

направление посредством системы (в личном кабинете пользователя и (или) посредством электронной почты) уведомлений о размещении в государственной интегрированной информационной системе управления общественными финансами "Электронный бюджет" проектов соглашений о предоставлении субсидии организациям, включенным в реестр получателей субсидии, утвержденный Министерством промышленности и торговли Российской Федерации, в течение одного рабочего дня со дня получения соответствующей информации от Министерства промышленности и торговли Российской Федерации;

проведение проверки полноты и достоверности сведений, содержащихся в заявлениях о предоставлении субсидии, представленных организациями, их соответствие требованиям Правил предоставления субсидий, а также условиям соглашений о предоставлении субсидии;

подготовка заключений о предоставлении субсидии (об отказе в предоставлении) субсидии по форме, предусмотренной агентским договором, до 10-го числа последнего месяца квартала, но не позднее 5 декабря;

представление посредством системы в Министерство промышленности и торговли Российской Федерации заключений о предоставлении (об отказе в предоставлении) субсидии, подписанных в системе руководителем Центра или уполномоченным им лицом с использованием усиленной квалифицированной электронной подписи;

возвращение посредством системы (в личном кабинете пользователя и (или) посредством электронной почты) организациям заявлений о предоставлении субсидии с уведомлением, в котором указываются основания для такого отказа, в течение одного рабочего дня со дня получения от Министерства промышленности и торговли Российской Федерации уведомления об отказе в предоставлении субсидии;

уведомление посредством системы (в личном кабинете пользователя и (или) посредством электронной почты) организаций о решениях о предоставлении субсидии в течение одного рабочего дня со дня получения от Министерства промышленности и торговли Российской Федерации таких решений;

направление организациям, включенным в лист ожидания, посредством системы (в личном кабинете пользователя и (или) посредством электронной почты) уведомлений о возможности заключения соглашения о предоставлении субсидии в течение одного рабочего дня со дня получения от Министерства промышленности и торговли Российской Федерации такой информации;

рассмотрение отчетных материалов, представленных организациями, с которыми заключены соглашения о предоставлении субсидии, в срок не позднее 15 рабочих дней со дня получения отчетных материалов от организаций, формирование по результатам рассмотрения отчетных материалов в отношении каждой организации заключений и их направление в Министерство промышленности и торговли Российской Федерации посредством системы;

обязательство Центра вести реестр получателей субсидии; порядок взаимодействия с Министерством промышленности и торговли Российской Федерации при осуществлении Министерством контроля за соблюдением организациями условий предоставления субсидий;

порядок взаимодействия с Министерством промышленности и торговли Российской Федерации в случае установления факта нарушения организациями целей, условий и порядка предоставления субсидий;

представление в Министерство промышленности и торговли Российской Федерации отчетности о выполнении условий агентского договора;

обязательство о соблюдении конфиденциальности получаемой информации в соответствии с законодательством Российской Федерации;

иные права и обязанности Центра, предусмотренные Правилами предоставления субсидий;

в) права и обязанности Министерства промышленности и торговли Российской Федерации, включая:

установление распределения лимитов бюджетных обязательств по группам отраслей промышленности на год, в котором проводится конкурс, в соответствии с Правилами предоставления субсидий;

рассмотрение проекта реестра получателей субсидии и проекта листа ожидания в течение 10 рабочих дней со дня их получения от Центра и направление их на доработку в Центр в случае несоответствия указанных документов установленным к ним требованиям;

утверждение реестра получателей субсидии и листа ожидания и направление их посредством системы в Центр в целях уведомления организаций;

формирование проектов соглашений о предоставлении субсидии, заключаемых с организациями, включенными в реестр получателей субсидии, в государственной интегрированной информационной системе управления общественными финансами "Электронный бюджет" и направление соответствующей информации в Центр;

рассмотрение заключений о предоставлении (об отказе в предоставлении) субсидии, подготовленных Центром, запрос документов, входящих в состав заявлений о предоставлении субсидии (при необходимости), и по результатам такого рассмотрения принятие решений о предоставлении субсидии или об отказе в предоставлении субсидии;

направление посредством системы в Центр информации о принятых решениях о предоставлении субсидии или об отказе в предоставлении субсидии;

направление в Центр уведомлений о необходимости информирования Центром в 2-дневный срок организаций, включенных в лист ожидания, о возможности заключения соглашения о предоставлении субсидии при наличии лимитов бюджетных обязательств, доведенных в установленном порядке до Министерства промышленности и торговли Российской Федерации как получателя средств федерального бюджета на цели, указанные в Правилах предоставления субсидий;

рассмотрение подготовленных Центром заключений на отчетные материалы, запрос отчетных материалов (при необходимости) и принятие решений, предусмотренных Правилами предоставления субсидий (с последующим уведомлением организации);

уведомление Центра об отсутствии лимитов бюджетных обязательств, доведенных в установленном порядке до Министерства промышленности и торговли Российской Федерации как получателя средств федерального бюджета в текущем финансовом году;

иные права и обязанности Министерства промышленности и торговли Российской Федерации, предусмотренные Правилами предоставления субсидий;

г) права и обязанности Министерства экономического развития Российской Федерации, включая обязанность по осуществлению выплаты Центру вознаграждения за выполнение функций агента Правительства Российской Федерации в порядке и на условиях, установленных в соответствии с подпунктом "е" настоящего пункта, а также по проведению проверок соблюдения Центром условий агентского договора;

д) согласие Центра на проведение Министерством промышленности и торговли Российской Федерации, Министерством экономического развития Российской Федерации и органами государственного финансового контроля обязательных проверок соблюдения Центром целей, условий и порядка, предусмотренных агентским договором;

е) порядок и условия выплаты Министерством экономического развития Российской Федерации Центру вознаграждения за выполнение функций агента Правительства Российской Федерации;

ж) условие о выполнении функций агента Правительства Российской Федерации;

з) условие о запрете заключения субагентских договоров;

и) сроки, условия и порядок представления Центром отчетности о выполнении условий агентского договора;

к) ответственность Центра за ненадлежащее исполнение агентского договора;

л) требования к форме заключения о предоставлении (об отказе в предоставлении) субсидии, подготовленного Центром, для принятия решения о заключении соглашения о предоставлении субсидии (об отказе в заключении соглашения о предоставлении субсидии);

м) требования к форме реестра получателей субсидии.

4. Министерство промышленности и торговли Российской Федерации, Министерство экономического развития Российской Федерации и органы государственного финансового контроля осуществляют обязательные проверки соблюдения Центром условий агентского договора.