Положение о Правилах формирования страховых резервов по страхованию иному, чем страхование жизни

(утв. ЦБ РФ 16.11.2016 N 558-П)
Редакция от 02.03.2021 — Документ утратил силу, см. «Положение ЦБ РФ от 16.11.2021 N 781-П»
Показать изменения

Зарегистрировано в Минюсте России 29 декабря 2016 г. N 45054


ЦЕНТРАЛЬНЫЙ БАНК РОССИЙСКОЙ ФЕДЕРАЦИИ

от 16 ноября 2016 г. N 558-П

ПОЛОЖЕНИЕ
О ПРАВИЛАХ ФОРМИРОВАНИЯ СТРАХОВЫХ РЕЗЕРВОВ ПО СТРАХОВАНИЮ ИНОМУ, ЧЕМ СТРАХОВАНИЕ ЖИЗНИ

(в ред. Указания ЦБ РФ от 02.03.2021 N 5745-У)

На основании пункта 2 статьи 26 Закона Российской Федерации от 27 ноября 1992 года N 4015-1 "Об организации страхового дела в Российской Федерации" (Ведомости Съезда народных депутатов Российской Федерации и Верховного Совета Российской Федерации, 1993, N 2, ст. 56; Собрание законодательства Российской Федерации, 1998, N 1, ст. 4; 1999, N 47, ст. 5622; 2002, N 12, ст. 1093; N 18, ст. 1721; 2003, N 50, ст. 4855, ст. 4858; 2004, N 30, ст. 3085; 2005, N 10, ст. 760; N 30, ст. 3101, ст. 3115; 2007, N 22, ст. 2563; N 46, ст. 5552; N 49, ст. 6048; 2009, N 44, ст. 5172; 2010, N 17, ст. 1988; N 31, ст. 4195; N 49, ст. 6409; 2011, N 30, ст. 4584; N 49, ст. 7040; 2012, N 53, ст. 7592; 2013, N 26, ст. 3207; N 30, ст. 4067; N 52, ст. 6975; 2014, N 23, ст. 2934; N 30, ст. 4224; N 45, ст. 6154; 2015, N 10, ст. 1409; N 27, ст. 4001; N 29, ст. 4357, ст. 4385; N 48, ст. 6715; 2016, N 22, ст. 3094; N 26, ст. 3863, ст. 3891; N 27, ст. 4225, ст. 4294, ст. 4296) настоящим Положением утверждаются правила формирования страховых резервов по страхованию иному, чем страхование жизни, устанавливающие виды страховых резервов, обязательность и условия их формирования; методы расчета страховых резервов; требования к положению о формировании страховых резервов; требования к документам, содержащим сведения, необходимые для расчета страховых резервов, и сроки хранения таких документов; методическое обеспечение расчета доли перестраховщиков в страховых резервах; порядок согласования с Банком России методов расчета страховых резервов, которые отличаются от предусмотренных настоящим Положением методов (в том числе сроки и условия такого согласования, основания для отказа в таком согласовании).

Глава 1. Общие положения

1.1. Действие настоящего Положения не распространяется на страховые медицинские организации в части операций по обязательному медицинскому страхованию.

1.2. Действие абзацев второго и третьего пункта 2.2, подпунктов 3.1.4 - 3.1.6 пункта 3.1, пункта 3.6, абзаца одиннадцатого пункта 5.1 настоящего Положения на общества взаимного страхования не распространяется.

В случае если общество взаимного страхования осуществляет взаимное страхование своих членов непосредственно на основании устава общества, не предусматривающего заключения договора страхования в соответствии с правилами страхования, являющимися неотъемлемой частью устава общества и определяющими сходные условия взаимного страхования для всех членов общества, для целей формирования страховых резервов под договором понимаются частные условия взаимного страхования имущественного интереса (объекта взаимного страхования) каждого члена общества, в том числе о страховой сумме, дате начала и окончания периода несения ответственности, страховой премии.

1.3. Страховщики разрабатывают и утверждают положение о формировании страховых резервов, содержащее порядок их формирования, исходя из требований настоящего Положения.

1.4. Расчет страховых резервов производится в рублях.

Страховые резервы по договорам, относящимся к страхованию иному, чем страхование жизни, при осуществлении страхования, сострахования, взаимного страхования и перестрахования (далее - договоры), которые в соответствии с валютным законодательством Российской Федерации заключаются в иностранной валюте (страховые премии (взносы) уплачиваются в иностранной валюте и страховые выплаты осуществляются в иностранной валюте), могут рассчитываться в соответствующей иностранной валюте и пересчитываются в рубли по официальному курсу Банка России, установленному на отчетную дату.

Страховые резервы, по договорам, в которых предусмотрено исполнение денежных обязательств в рублях в сумме, эквивалентной определенной сумме в иностранной валюте (страховые премии (взносы) уплачиваются в рублях в сумме, эквивалентной определенной сумме в иностранной валюте, и страховые выплаты осуществляются в рублях в сумме, эквивалентной определенной сумме в иностранной валюте), могут рассчитываться в соответствующей иностранной валюте и пересчитываются в рубли по официальному курсу Банка России, установленному на отчетную дату. В случае если для пересчета указанных денежных обязательств законодательством Российской Федерации или договором установлен иной курс, то пересчет производится по такому курсу.

Страховщику во внутренних документах для каждой учетной группы (дополнительной учетной группы) необходимо указать, в какой валюте рассчитываются страховые резервы, и, в случае расчета страховых резервов в иностранной валюте, раскрыть методологию пересчета страхового резерва в рубли.

1.5. В целях настоящего Положения при расчете страховых резервов:

отчетной датой является дата, по состоянию на которую страховщик должен составлять бухгалтерскую (финансовую) отчетность;

отчетным периодом является период с 1 января по отчетную дату, по состоянию на которую осуществляется расчет величины страховых резервов;

расчетной датой является дата, на которую осуществляется расчет страховых резервов;

расчетным периодом является период с 1 января по расчетную дату, по состоянию на которую осуществляется расчет величины страховых резервов.

1.6. Для расчета страховых резервов договоры распределяются по следующим группам, называемым учетными группами:

учетная группа 1 "Добровольное медицинское страхование";

учетная группа 2 "Страхование от несчастных случаев и болезней";

учетная группа 3 "Обязательное страхование гражданской ответственности владельцев транспортных средств";

учетная группа 4 "Страхование гражданской ответственности владельцев транспортных средств в рамках международных систем страхования гражданской ответственности владельцев транспортных средств, участником которых является профессиональное объединение страховщиков, действующее в соответствии с Федеральным законом от 25 апреля 2002 года N 40-ФЗ "Об обязательном страховании гражданской ответственности владельцев транспортных средств" (Собрание законодательства Российской Федерации, 2002, N 18, ст. 1720; 2003, N 26, ст. 2566; 2005, N 1, ст. 25; N 30, ст. 3114; 2006, N 48, ст. 4942; 2007, N 1, ст. 29; N 49, ст. 6067; 2008, N 30, ст. 3616; N 52, ст. 6236; 2009, N 1, ст. 17; N 9, ст. 1045; N 52, ст. 6420, ст. 6438; 2010, N 6, ст. 565; N 17, ст. 1988; 2011, N 1, ст. 4; N 7, ст. 901; N 27, ст. 3881; N 29, ст. 4291; N 49, ст. 7040; 2012, N 25, ст. 3268; N 31, ст. 4319, ст. 4320; 2013, N 19, ст. 2331; N 30, ст. 4084; 2014, N 30, ст. 4224; N 45, ст. 6154; 2015, N 48, ст. 6715; 2016, N 22, ст. 3094; N 26, ст. 3883; N 27, ст. 4293) (далее - Федеральный закон от 25 апреля 2002 года N 40-ФЗ);

учетная группа 5 "Обязательное страхование гражданской ответственности перевозчика за причинение вреда жизни, здоровью, имуществу пассажиров";

учетная группа 6 "Страхование ответственности владельцев транспортных средств, кроме указанного в учетных группах 3 - 5, 8";

учетная группа 7 "Страхование средств наземного транспорта";

учетная группа 8 "Страхование воздушного, водного транспорта, включая страхование ответственности владельцев указанного транспорта, и страхование грузов";

учетная группа 9 "Сельскохозяйственное страхование, осуществляемое с государственной поддержкой";

учетная группа 10 "Страхование имущества, кроме указанного в учетных группах 7 - 9";

учетная группа 11 "Обязательное страхование гражданской ответственности владельца опасного объекта за причинение вреда в результате аварии на опасном объекте";

учетная группа 12 "Страхование гражданской ответственности застройщика за неисполнение или ненадлежащее исполнение обязательств по передаче жилого помещения участнику долевого строительства по договору участия в долевом строительстве";

учетная группа 13 "Страхование ответственности туроператоров за неисполнение или ненадлежащее исполнение обязательств по договору о реализации туристского продукта";

учетная группа 14 "Страхование ответственности, кроме указанного в учетных группах 3 - 6, 8, 11 - 13";

учетная группа 15 "Страхование финансовых и предпринимательских рисков";

учетная группа 16 "Страхование лиц, выезжающих за пределы постоянного места жительства";

учетная группа 17 "Договоры, принятые в перестрахование, кроме договоров перестрахования, в соответствии с условиями которых у перестраховщика возникает обязанность по возмещению заранее установленной доли в каждой страховой выплате, производимой страховщиком по каждому принятому в перестрахование договору (договорам), по которому произошел убыток, подпадающий под действие договора перестрахования (договоры непропорционального перестрахования)".

Договоры перестрахования, в соответствии с условиями которых у перестраховщика возникает обязанность по возмещению заранее установленной доли в каждой страховой выплате, производимой страховщиком (перестрахователем) по каждому принятому в перестрахование основному договору (договорам), по которому произошел убыток, подпадающий под действие договора перестрахования (договоры пропорционального перестрахования), относятся к тем же учетным группам, что и соответствующие договоры страхования (сострахования).

1.7. Расчет страховых резервов осуществляется на основании данных бухгалтерского учета и отчетности страховщика и сведений, содержащихся в журналах, указанных в пункте 5.2 настоящего Положения.

1.8. Страховщик может внутри каждой учетной группы, предусмотренной в пункте 1.6 настоящего Положения, вводить дополнительные учетные группы в зависимости от условий договоров, продолжительности сроков страхования, частоты наступления ущерба, размеров возможного ущерба, продолжительности урегулирования убытков, объектов страхования и их местонахождения, перечня страховых рисков, а также иных условий. В случае наличия дополнительных учетных групп величина страхового резерва по учетной группе, равна сумме величин соответствующего резерва по всем дополнительным учетным группам, входящим в ее состав.

1.9. В случае заключения страховщиком договоров, относящихся к нескольким учетным группам, для целей расчета страховых резервов указанные договора разделяются на отдельные условные договоры (перечень показателей, содержащихся в договоре или возникающих при его исполнении), каждый из которых относится к соответствующей учетной группе.

1.10. Величина резервов, указанных в абзаце третьем подпункта 2.1.2 и подпункте 2.1.4 пункта 2.1 настоящего Положения на расчетную дату, не совпадающую с отчетной, принимается равной величине соответствующих резервов на ближайшую, предшествующую расчетной, отчетную дату.

Глава 2. Виды страховых резервов, обязательность и условия их формирования

2.1. Страховщик формирует следующие виды страховых резервов.

2.1.1. Резерв незаработанной премии.

2.1.2. Резервы убытков:

резерв заявленных, но неурегулированных убытков;

резерв произошедших, но незаявленных убытков;

резерв расходов на урегулирование убытков.

2.1.3. Стабилизационный резерв.

2.1.4. Резерв для компенсации расходов на осуществление страховых выплат и прямое возмещение убытков по обязательному страхованию гражданской ответственности владельцев транспортных средств в последующие периоды (стабилизационный резерв по обязательному страхованию гражданской ответственности владельцев транспортных средств) (далее - резерв для компенсации расходов по обязательному страхованию гражданской ответственности владельцев транспортных средств).

2.2. Страховые резервы, перечисленные в подпунктах 2.1.1 - 2.1.3 пункта 2.1 настоящего Положения, формируются страховщиками в обязательном порядке.

Стабилизационный резерв по учетным группам 1, 2, 4, 6, 7, 10, 12 - 14, 16 - 17 формируется в добровольном порядке.

Резерв для компенсации расходов по обязательному страхованию гражданской ответственности владельцев транспортных средств в последующие периоды в обязательном порядке формируется страховщиками, осуществляющими обязательное страхование гражданской ответственности владельцев транспортных средств в соответствии с законодательством Российской Федерации.

2.3. Общества взаимного страхования формируют стабилизационный резерв по конкретной учетной группе по решению общего собрания членов общества.

2.4. Резерв незаработанной премии представляет собой часть начисленной страховой премии по договору, относящуюся к периоду действия договора, выходящему за пределы расчетного периода (незаработанной премии), являющуюся источником для исполнения обязательств по обеспечению предстоящих страховых выплат, которые могут возникнуть после расчетной даты.

2.5. Резерв заявленных, но неурегулированных убытков представляет собой расчетную величину неисполненных или исполненных не полностью на расчетную дату обязательств страховщика по осуществлению страховых выплат, о факте наступления которых в установленном законом или договором порядке заявлено страховщику в расчетном или предшествующих ему периодах.

2.6. Резерв произошедших, но незаявленных убытков представляет собой расчетную величину обязательств страховщика по осуществлению страховых выплат, возникших в связи со страховыми случаями, произошедшими в расчетном или предшествующих ему периодах, о факте наступления которых в установленном законом или договором порядке не заявлено страховщику в расчетном или предшествующих ему периодах.

2.7. Резерв расходов на урегулирование убытков представляет собой расчетную величину будущих расходов (прямых и косвенных), относящихся к урегулированию убытков, произошедших в отчетном и предшествующих ему периодах, и включает сумму денежных средств, необходимых страховщику для оплаты экспертных, консультационных или иных услуг, связанных с оценкой размера и снижением ущерба (вреда), нанесенного имущественным интересам страхователей (расходы по урегулированию убытков) в связи со страховыми случаями.

2.8. Стабилизационный резерв представляет собой расчетную величину обязательств, необходимых для компенсации расходов страховщика на осуществление будущих страховых выплат в случае образования отрицательного финансового результата от проведения страховых операций в результате действия факторов, не зависящих от воли страховщика.

Стабилизационный резерв по учетной группе 9 представляет собой страховой резерв, формируемый в соответствии с Федеральным законом от 25 июля 2011 года N 260-ФЗ "О государственной поддержке в сфере сельскохозяйственного страхования и о внесении изменений в Федеральный закон "О развитии сельского хозяйства" (Собрание законодательства Российской Федерации, 2011, N 31, ст. 4700; N 50, ст. 7359; 2013, N 30, ст. 4084; 2014, N 52, ст. 7535; 2016, N 22, ст. 3094; N 26, ст. 3891) для компенсации расходов на осуществление страховых выплат в последующие периоды.

2.9. Резерв для компенсации расходов по обязательному страхованию гражданской ответственности владельцев транспортных средств представляет собой страховой резерв, формируемый в соответствии с Федеральным законом от 25 апреля 2002 года N 40-ФЗ для компенсации расходов на осуществление страховых выплат и прямое возмещение убытков в последующие периоды.

Глава 3. Методы расчета страховых резервов

3.1. Расчет резерва незаработанной премии определяется следующим методом.

3.1.1. Расчет резерва незаработанной премии производится отдельно по каждой учетной группе договоров.

Величина резерва незаработанной премии определяется путем суммирования резервов незаработанной премии по всем учетным группам.

В случае если договором страхования предусмотрены отдельные периоды несения ответственности, расчет резерва незаработанной премии должен быть произведен с учетом информации о периодах несения ответственности.

Для целей расчета страховых резервов периодом несения ответственности признается период времени, в течение которого действует ответственность страховщика по исполнению обязательств по договору, обусловленных возможным наступлением страхового случая в этот период.

При расчете резерва незаработанной премии по договору обязательного страхования гражданской ответственности владельцев транспортных средств, заключенному с учетом сезонного использования транспортного средства, периодом несения ответственности следует считать период (периоды) использования транспортного средства, а неистекшим на отчетную дату периодом несения ответственности - неистекший период (периоды) использования транспортного средства.

В случае если договором застраховано более одного объекта с разными периодами несения ответственности и (или) объект (объекты) застрахован (застрахованы) более чем от одного риска с разными периодами несения ответственности, страховщик рассчитывает резерв незаработанной премии исходя из показателей, соответствующих отдельным объектам, рискам и периодам несения ответственности.

3.1.2. Величина резерва незаработанной премии определяется как сумма двух показателей: базовой части резерва незаработанной премии и дополнительной части резерва незаработанной премии.

Для общества взаимного страхования величина резерва незаработанной премии равна базовой части резерва незаработанной премии.

3.1.3. Для целей расчета базовой части резерва незаработанной премии начисленная страховая премия (страховая брутто-премия) по договору страхования (сострахования) уменьшается на сумму начисленного вознаграждения за заключение договора страхования (сострахования) и отчислений от страховой брутто-премии в фонды компенсационных выплат, осуществляемых в случаях, когда федеральными законами предусмотрено осуществление компенсационных выплат за счет средств профессиональных объединений страховщиков или иных организаций, на которые в соответствии с федеральными законами возложена обязанность осуществления компенсационных выплат (далее - отчисления от страховой брутто-премии в фонды компенсационных выплат).

Для целей расчета базовой части незаработанной премии (базовой части резерва незаработанной премии) начисленная страховая брутто-премия по договору (договорам), принятому в перестрахование, уменьшается на сумму начисленного вознаграждения по договору (договорам), принятому (принятым) в перестрахование.

Полученные величины в дальнейшем именуются базовыми страховыми премиями по договорам.

Для общества взаимного страхования базовой страховой премией по договору страхования следует считать начисленную страховую брутто-премию.

3.1.4. Для целей расчета дополнительной части резерва незаработанной премии начисленное вознаграждение за заключение договора страхования (сострахования) увеличивается на отчисления от страховой брутто-премии в фонды компенсационных выплат.

Полученная величина в дальнейшем именуется дополнительной частью страховой премии по договору.

Для целей расчета дополнительной части незаработанной премии (дополнительной части резерва незаработанной премии) дополнительная часть страховой премии по договору (договорам), принятому (принятым) в перестрахование, равна сумме начисленного вознаграждения по договору (договорам), принятому (принятым) в перестрахование.

3.1.5. Для расчета величины базовой части незаработанной премии (базовой части резерва незаработанной премии) и величины дополнительной части незаработанной премии (дополнительной части резерва незаработанной премии) используются методы, приведенные в приложении 1 к настоящему Положению.

При этом для каждого договора расчет величины дополнительной части незаработанной премии (дополнительной части резерва незаработанной премии) осуществляется тем же методом, что и расчет величины базовой части незаработанной премии (базовой части резерва незаработанной премии).

3.1.6. По договорам, относящимся к учетным группам с 1 по 16, расчет базовой части резерва незаработанной премии и дополнительной части резерва незаработанной премии производится методом, указанным в пункте 1 приложения 1 к настоящему Положению, а в случае страхования по генеральному полису или если в силу специфики взаиморасчетов между страховщиком и страхователем (порядка представления страховщику сведений о заключенных договорах) для целей расчета страховых резервов определять точные даты начала и окончания договоров нецелесообразно, по договорам, относящимся к учетным группам 3, 4, 8, 16 расчет резерва незаработанной премии может производиться методами, указанными в пунктах 2 и 3 приложения 1 к настоящему Положению.

3.1.7. По договорам перестрахования (договорам пропорционального перестрахования и договорам, относящимся к учетной группе 17) расчет базовой части резерва незаработанной премии и дополнительной части резерва незаработанной премии может производиться как методом, указанным в пункте 1 приложения 1 к настоящему Положению, так и методами, указанными в пунктах 2 и 3 приложения 1 к настоящему Положению.

3.1.8. Общества взаимного страхования применяют методы расчета базовой части резерва незаработанной премии, указанные в приложении 1 к настоящему Положению, в зависимости от осуществляемых ими видов страхования.

3.1.9. По заключенным договорам, о которых на отчетную дату страховщик не имеет достоверных данных в связи с более поздним получением первичных учетных документов, базовая часть резерва незаработанной премии равна сумме доначислений страховой премии на отчетную дату по таким договорам, уменьшенной на долю вознаграждения за заключение договоров в сумме доначислений страховой премии и долю отчислений в фонды компенсационных выплат, осуществляемых в случаях, когда федеральными законами предусмотрено осуществление компенсационных выплат за счет средств профессиональных объединений страховщиков или иных организаций, на которые в соответствии с федеральными законами возложена обязанность осуществления компенсационных выплат в сумме доначислений страховой премии (далее - доли отчислений в фонды компенсационных выплат в сумме доначислений страховой премии).

По заключенным договорам, о которых на отчетную дату страховщик не имеет достоверных данных в связи с более поздним получением первичных учетных документов, дополнительная часть резерва незаработанной премии равна сумме доли вознаграждения за заключение договоров в сумме доначисления страховой премии и доли отчислений в фонды компенсационных выплат в сумме доначислений страховой премии.

Страховщик в положении о формировании страховых резервов устанавливает порядок расчета доли вознаграждения за заключение договоров в сумме доначислений страховой премии и доли отчислений в фонды компенсационных выплат в сумме доначислений страховой премии, исходя из фактических данных по соответствующей учетной группе.

3.2. Расчет резерва заявленных, но неурегулированных убытков определяется следующим методом.

3.2.1. Расчет резерва заявленных, но неурегулированных убытков производится отделено по каждой учетной группе. Величина резерва заявленных, но неурегулированных убытков определяется путем суммирования резервов заявленных, но неурегулированных убытков, рассчитанных по всем учетным группам.

3.2.2. В качестве базы расчета резерва заявленных, но неурегулированных убытков принимается размер неурегулированных на расчетную дату обязательств страховщика, подлежащих оплате в связи со страховыми случаями, о факте наступления которых в установленном законом или договором порядке заявлено страховщику.

3.2.3. В целях расчета резерва заявленных, но неурегулированных убытков по учетной группе 3 в части прямого возмещения убытков датой заявления убытка является дата поступления предварительного уведомления от страховщика, который вправе осуществлять прямое возмещение убытков в соответствии с законодательством Российской Федерации об обязательном страховании гражданской ответственности владельцев транспортных средств.

3.2.4. При расчете резерва заявленных, но неурегулированных убытков по учетной группе 4 страховщик оценивает заявленные убытки исходя из полученной им от иностранных представителей, уполномоченных на рассмотрение требований потерпевших о наступивших страховых случаях (включая национальные страховые бюро) в рамках осуществления страхования гражданской ответственности владельцев транспортных средств в рамках международных систем страхования гражданской ответственности владельцев транспортных средств, участником которых является профессиональное объединение страховщиков, действующее в соответствии с Федеральным законом от 25 апреля 2002 года N 40-ФЗ (далее - международная система страхования "Зеленая карта"), информации о предполагаемом размере ущерба на территории стран - членов указанной международной системы страхования, нанесенного владельцами транспортных средств, зарегистрированных на территории Российской Федерации, чья ответственность застрахована в рамках международной системы страхования "Зеленая карта".

3.2.5. При расчете резерва заявленных, но неурегулированных убытков по учетной группе 12 в случае получения информации о наличии страхового случая по объекту строительства, к которому относится договор, резерв заявленных, но неурегулированных убытков формируется в размере страховой суммы по договору.

3.2.6. В случае если о страховом случае заявлено, но размер заявленного убытка, подлежащего оплате страховщиком в соответствии с условиями договора, не установлен, для расчета резерва принимается максимально возможная величина убытка, оцененная страховщиком исходя из предварительно полученной страховщиком информации о страховом случае либо исходя из практики урегулирования аналогичных убытков в прошлом, не превышающая страховую сумму.

Если страховщик применяет оценку, основанную на предварительно полученной информации, перечень и формы документов, содержащих такую информацию, должны быть установлены в его внутренних документах.

Если страховщик применяет оценку, основанную на практике урегулирования аналогичных убытков в прошлом, порядок такой оценки раскрывается страховщиком во внутренних документах.

3.2.7. В случае если по договору, относящемуся к учетной группе 4, заявлено о страховом случае, но размер заявленного убытка не установлен, величина убытка принимается равной средней сумме страховой выплаты.

Расчет средних сумм страховых выплат по договорам, относящимся к учетной группе 4, производится профессиональным объединением страховщиков, осуществляющим функции национального страхового бюро международной системы страхования "Зеленая карта", на основании статистических данных страховщиков и иностранных бюро - членов международной системы страхования "Зеленая карта". Средние суммы страховых выплат по договорам, относящимся к учетной группе 4, должны быть дифференцированы в зависимости от вида ущерба (имущественный ущерб и ущерб, причиненный жизни и (или) здоровью третьих лиц) и страны, на территории которой произошел страховой случай. Средние суммы страховых выплат по договорам, относящимся к учетной группе 4, пересматриваются не реже одного раза в год.

3.3. Расчет резерва произошедших, но незаявленных убытков определяется следующим методом.

3.3.1. Расчет резерва произошедших, но незаявленных убытков производится отдельно по каждой учетной группе.

Величина резерва произошедших, но незаявленных убытков определяется путем суммирования резервов произошедших, но незаявленных убытков, рассчитанных по всем учетным группам.

3.3.2. Расчет резерва произошедших, но незаявленных убытков на отчетную дату осуществляется в отдельности по каждой учетной группе в соответствии с приложением 2 к настоящему Положению.

3.3.3. Заработанная страховая премия за определенный период в целях расчета резерва произошедших, но незаявленных убытков определяется как страховая брутто-премия за соответствующий период, отраженная в бухгалтерском учете с учетом отражения ее изменений в сторону увеличения или уменьшения в результате ранее допущенных ошибок и в результате изменения условий договора, увеличенная на сумму доначислений страховой премии по договорам страхования, относящимся к отчетному периоду, но о которых на дату составления бухгалтерской (финансовой) отчетности страховщик не имел достоверных данных в связи с более поздним получением первичных учетных документов, уменьшенная на:

сумму страховых премий (взносов), возвращенных в соответствующем периоде в связи с досрочным прекращением или изменением условий договоров, и сумму страховых премий (взносов), причитающихся к возврату на конец периода по аналогичным основаниям (для периодов, закончившихся до 1 января 2017 года);

изменение величины резерва незаработанной премии, равное величине резерва незаработанной премии, рассчитанной в соответствии с настоящим Положением на конец периода, уменьшенной на величину резерва незаработанной премии, рассчитанной в соответствии с настоящим Положением, на начало периода.

3.3.4. Сформированные страховщиком по учетным группам 3 и 7 резервы произошедших, но незаявленных убытков могут быть уменьшены на величину оценки будущих поступлений по суброгациям, регрессам и поступлений от реализаций годных остатков по соответствующим учетным группам.

Оценка будущих поступлений по суброгациям, регрессам и поступлений от реализаций годных остатков производится в следующем порядке:

оценка будущих поступлений по суброгациям, регрессам и поступлений от реализаций годных остатков осуществляется в соответствии методом, изложенным в приложении 3 к настоящему Положению;

итоговая оценка будущих поступлений по суброгациям, регрессам и поступлений от реализаций годных остатков по учетной группе равна минимальному из двух значений: величине, полученной в соответствии с пунктом 14 приложения 3 к настоящему Положению, умноженной на соответствующий коэффициент, указанный в приложении 4 к настоящему Положению, или 10 процентам от величины страховых выплат по соответствующей учетной группе за четыре квартала, предшествующие отчетной дате;

в случае если оценка будущих поступлений по суброгациям, регрессам и поступлений от реализации годных остатков превышает величину резерва произошедших, но незаявленных убытков по учетной группе, то оценка будущих поступлений по суброгациям, регрессам и поступлений от реализации остатков принимается равной величине резерва произошедших, но незаявленных убытков по соответствующей учетной группе.

3.4. Расчет резерва расходов на урегулирование убытков определяется следующим методом.

3.4.1. Расчет резерва расходов на урегулирование убытков производится отдельно по каждой учетной группе.

Величина резерва расходов на урегулирование убытков определяется путем суммирования резервов расходов на урегулирование убытков, рассчитанных по всем учетным группам.

Расчет резерва расходов на урегулирование убытков по каждой учетной группе определяется как сумма резерва расходов на урегулирование страховых убытков в части прямых расходов и резерва расходов на урегулирование страховых убытков в части косвенных расходов.

Прямые расходы представляют собой расходы, которые относятся к урегулированию конкретных убытков по договорам. К прямым расходам для целей настоящего Положения относятся:

расходы на оплату страховщиком услуг экспертов (сюрвейеров, аварийных комиссаров, прочих экспертов), расходы на проведение переговоров (расходы на телефонные переговоры, организацию встреч со страхователями и соответствующим экспертами, командировочные расходы) и прочие;

компенсация страхователю понесенных им расходов в целях уменьшения размера убытков в случае необходимости при выполнении указаний страховщика при наступлении страхового случая;

взысканные судом со страховщика в пользу истца (страхователя, застрахованного, выгодоприобретателя) суммы на компенсацию судебных издержек, морального вреда и прочие выплаченные страховщиком суммы, связанные с процессом урегулирования убытков, расходы, предусмотренные Законом Российской Федерации от 7 февраля 1992 года N 2300-1 "О защите прав потребителей" (в редакции Федерального закона от 9 января 1996 года N 2-ФЗ) (Ведомости Съезда народных депутатов Российской Федерации и Верховного Совета Российской Федерации, 1992, N 15, ст. 766; Собрание законодательства Российской Федерации, 1996, N 3, ст. 140; 1999, N 51, ст. 6287; 2002, N 1, ст. 2; 2004, N 35, ст. 3607; N 45, ст. 4377; N 52, ст. 5275; 2006, N 31, ст. 3439; N 43, ст. 4412; 2007, N 44, ст. 5282; 2009, N 23, ст. 2776; N 48, ст. 5711; 2011, N 27, ст. 3873; N 30, ст. 4590; 2012, N 26, ст. 3446; N 31, ст. 4322; 2013, N 27, ст. 3477; N 51, ст. 6683; 2014, N 19, ст. 2317; 2015, N 29, ст. 4359; 2016, N 27, ст. 4198), прочие судебные расходы.

Косвенные расходы представляют собой расходы, которые не могут быть отнесены на конкретный убыток. Для целей настоящего Положения к косвенным расходам относятся расходы по заработной плате сотрудников, непосредственно участвующих в урегулировании убытков, амортизационные отчисления по имуществу страховщика, используемому при осуществлении мероприятий по урегулированию убытков, арендная плата, управленческие расходы и другие.

3.4.2. Перечень расходов, классифицируемых как расходы на урегулирование убытков, а также критерии их классификации на прямые и косвенные и методология распределения расходов между учетными группами должны быть отражены в положении о формировании страховых резервов.

3.4.3. Расчет резерва расходов по урегулированию убытков осуществляется страховщиком на основе фактических данных о его расходах, связанных с рассмотрением заявленных убытков, их урегулированием, определением размера выплат по договорам в прошлые отчетные периоды, а также может включать оценку будущих расходов страховщика на судебные издержки, штрафы и другое.

3.4.4. Резерв расходов по урегулированию убытков в части прямых расходов рассчитывается как процент от суммы резерва заявленных, но неурегулированных убытков и резерва произошедших, но незаявленных убытков или как абсолютная величина. В зависимости от выбранной методики конкретный процент или величина резерва расходов на урегулирование убытков в части прямых расходов устанавливается страховщиком в положении о формировании страховых резервов по каждой учетной группе.

3.4.5. Резерв расходов по урегулированию убытков в части косвенных расходов рассчитывается как процент от суммы резерва заявленных, но неурегулированных убытков и резерва произошедших, но незаявленных убытков. Конкретный размер процента или порядок его определения устанавливается страховщиком в положении о формировании страховых резервов по каждой учетной группе.

3.4.6. Суммарная величина резерва расходов по урегулированию убытков по всем учетным группам должна быть не менее трех процентов от суммарной величины резерва заявленных, но неурегулированных убытков и резерва произошедших, но незаявленных убытков.

3.5. Страховщик рассчитывает стабилизационный резерв следующим методом.

Величина стабилизационного резерва определяется как суммарная величина стабилизационных резервов, рассчитанных по всем учетным группам, увеличенная на величину показателя достаточности страховых резервов.

Показатель достаточности страховых резервов определяется по формуле:

,

где:

ПД - показатель достаточности на расчетную дату;

- суммарная расчетная величина страховых резервов по страхованию иному, чем страхование жизни, с учетом оценки будущих поступлений по суброгациям, регрессам и поступлений от реализаций годных остатков в соответствии с принципами, описанными в Положении Банка России от 4 сентября 2015 года N 491-П "Отраслевой стандарт бухгалтерского учета в страховых организациях и обществах взаимного страхования, расположенных на территории Российской Федерации", зарегистрированном Министерством юстиции Российской Федерации 21 октября 2015 года N 39399 ("Вестник Банка России" от 9 ноября 2015 года N 99 - 100) (далее - отраслевой стандарт бухгалтерского учета);

- доля перестраховщиков в страховых резервах по страхованию иному, чем страхование жизни, с учетом доли перестраховщиков в оценке будущих поступлений по суброгациям, регрессам и поступлений от реализаций годных остатков в соответствии с требованиями главы 7 отраслевого стандарта бухгалтерского учета;

- резерв незаработанной премии, рассчитанный в соответствии с требованиями настоящего Положения;

- резерв заявленных, но неурегулированных убытков, рассчитанный в соответствии с требованиями настоящего Положения;

- резерв произошедших, но незаявленных убытков, рассчитанный в соответствии с требованиями настоящего Положения;

- резерв расходов на урегулирование убытков;

- сумма величин стабилизационных резервов, рассчитанных по всем учетным группам в соответствии с требованиями подпунктов 3.5.1 и 3.5.2 настоящего пункта, и величины резерва для компенсации расходов по обязательному страхованию гражданской ответственности владельцев транспортных средств, рассчитанных в соответствии с требованиями настоящего Положения;

- доля перестраховщиков в страховых резервах, рассчитанных в соответствии с требованиями настоящего Положения (далее - доля перестраховщиков в страховых резервах).

В случае если показатель достаточности страховых резервов принимает отрицательное значение, он принимается равным нулю.

В случае если страховщик не формирует стабилизационный резерв по учетной группе, для целей расчета показателя достаточности стабилизационный резерв по такой учетной группе считается равным нулю.

В случае если в результате расчетов стабилизационный резерв по учетной группе принимает отрицательное значение, стабилизационный резерв по соответствующей учетной группе принимается равным нулю.

В случае если страховщик до начала отчетного периода не рассчитывал стабилизационный резерв по учетной группе, стабилизационный резерв на начало отчетного периода принимается равным нулю.

3.5.1. Страховщик рассчитывает стабилизационный резерв по учетным группам 5, 9, 11 методом, указанным в приложении 5 к настоящему Положению.

3.5.2. Страховщик рассчитывает стабилизационный резерв по учетным группам 1, 2, 4, 6 - 8, 10, 12 - 17 методом, указанным в приложении 6 к настоящему Положению.

Абзац второй. - Утратил силу. (в ред. Указания ЦБ РФ от 02.03.2021 N 5745-У)

3.5.3. Величина стабилизационного резерва по учетной группе на расчетную дату, не совпадающую с отчетной, принимается равной величине стабилизационного резерва по соответствующей учетной группе на ближайшую предшествующую расчетной отчетную дату. (в ред. Указания ЦБ РФ от 02.03.2021 N 5745-У)

3.6. Страховщики рассчитывают резерв для компенсации расходов по обязательному страхованию гражданской ответственности владельцев транспортных средств следующим методом.

3.6.1. Расчет резерва для компенсации расходов по обязательному страхованию гражданской ответственности владельцев транспортных средств производится по учетной группе 3.

В случае если страховщик до начала отчетного периода не рассчитывал резерв для компенсации расходов по обязательному страхованию гражданской ответственности владельцев транспортных средств, указанный резерв на начало отчетного периода принимается равным нулю.

В случае если в результате расчетов резерв для компенсации расходов по обязательному страхованию гражданской ответственности владельцев транспортных средств принимает отрицательное значение, указанный резерв принимается равным нулю.

3.6.2. Порядок распределения расходов по ведению страховых операций и расходов по урегулированию убытков по учетной группе 3 в целях расчета стабилизационного резерва страховщик устанавливает самостоятельно в положении о формировании страховых резервов.

В качестве базы распределения (пропорционального или иного) рекомендуется использовать следующие показатели:

страховую брутто-премию;

заработанную страховую премию;

страховые выплаты;

прямые расходы по ведению страховых операций и урегулированию убытков.

3.6.3. Страховщик рассчитывает резерв для компенсации расходов по обязательному страхованию гражданской ответственности владельцев транспортных средств по учетной группе 3 следующим методом.

В качестве базы расчета величины резерва для компенсации расходов по обязательному страхованию гражданской ответственности владельцев транспортных средств принимается величина финансового результата от страховых операций по учетной группе 3.

Финансовый результат от страховых операций по учетной группе 3 определяется как разность между величиной доходов по учетной группе 3 за отчетный период и величиной расходов по учетной группе 3 за отчетный период.

3.6.4. Доходы по учетной группе 3 за отчетный период определяются как сумма:

страховой брутто-премии, начисленной за отчетный период;

изменения страховых резервов, указанных в подпунктах 2.1.1 и 2.1.2 пункта 2.1 настоящего Положения, рассчитанных в соответствии с настоящим Положением, за отчетный период в сторону уменьшения;

3.6.5. Расходы по учетной группе 3 за отчетный период определяются как сумма:

отчислений от страховой брутто-премии в фонды компенсационных выплат за отчетный период;

изменения страховых резервов, указанных в подпунктах 2.1.1 и 2.1.2 пункта 2.1 настоящего Положения, рассчитанных в соответствии с настоящим Положением, за отчетный период в сторону увеличения;

страховых выплат, произведенных за отчетный период;

расходов по ведению страховых операций, произведенных за отчетный период, в том числе затрат по заключению договоров, расходов по урегулированию убытков, расходов по рассмотрению и урегулированию требований о прямом возмещении убытков.

3.6.6. В случае если при осуществлении обязательного страхования гражданской ответственности владельцев транспортных средств разница между доходами и расходами страховщика за отчетный период превышает пять процентов от указанных доходов, сумма превышения направляется страховщиком на увеличение резерва для компенсации расходов резерва по обязательному страхованию гражданской ответственности владельцев транспортных средств до достижения данным резервом предельной величины, равной десяти процентам размера резерва произошедших, но незаявленных убытков по обязательному страхованию гражданской ответственности владельцев транспортных средств на конец отчетного периода.

В случае если сумма расходов превышает сумму доходов по обязательному страхованию гражданской ответственности владельцев транспортных средств, резерв для компенсации расходов по обязательному страхованию гражданской ответственности владельцев транспортных средств на конец отчетного периода уменьшается на сумму превышения расходов над доходами.

В случае если по соглашению о прямом возмещении убытков расчеты между страховщиками осуществляются исходя из числа удовлетворенных требований в течение отчетного периода и средних сумм страховых выплат, в расчете финансового результата по учетной группе 3 учитываются доходы и расходы, возникшие в результате списания дебиторской и кредиторской задолженности страховщиков по операциям прямого возмещения убытков.

Глава 4. Требования к положению о формировании страховых резервов

4.1. Положение о формировании страховых резервов должно содержать:

перечень учетных групп, на которые распределены договоры для целей формирования страховых резервов;

порядок распределения данных по линиям бизнеса, по которым страховщиком осуществляется ведение бухгалтерского учета, по учетным группам;

состав страховых резервов;

перечень методов, используемых для расчета страховых резервов, их описание и условия применения.

4.2. Дополнительно положение о формировании страховых резервов должно содержать информацию, предусмотренную подпунктом 3.1.9 пункта 3.1, подпунктами 3.4.2, 3.4.4, 3.4.5 пункта 3.4, подпунктом 3.6.2 пункта 3.6, пунктом 6.2, настоящего Положения, пунктом 14 Приложения 2 к Положению, пунктом 3 Приложения 3 к настоящему Положению, пунктом 2 Приложения 5 к настоящему Положению, Приложением 6 к настоящему Положению. (в ред. Указания ЦБ РФ от 02.03.2021 N 5745-У)

Глава 5. Требования к документам, содержащим сведения, необходимые для расчета страховых резервов, и сроки хранения таких документов

5.1. Документы, содержащие сведения, необходимые для расчета страховых резервов, подлежат хранению страховщиком не менее 5 лет с даты полного исполнения обязательств по договору. В частности, хранению подлежат документы, содержащие следующие сведения:

номер договора;

дату вступления договора в силу;

дату начала несения ответственности;

срок действия договора;

период (периоды) несения ответственности, если данный период (периоды) не совпадает со сроком действия договора;

размер (размеры) страховой суммы (сумм);

размер начисленной страховой премии (взносов);

дату (даты), когда начисляется страховая премия (взносы);

размер (размеры) и дату (даты) уплаты страховой премии (взносов);

размер начисленного вознаграждения за заключение договора;

размер отчислений от страховой премии (взносов) в случаях, предусмотренных законодательством Российской Федерации;

дату досрочного прекращения (расторжения) договора;

дату (даты) изменения условий договора;

размер страховой премии (взносов), возвращенной страхователям (перестрахователям) в связи с досрочным прекращением (изменением условий) договора;

дату возврата страховой премии (взносов);

сумму и дату (даты) уменьшения начисленной премии (взносов) в связи с изменением условий договора;

сумму и дату (даты) уменьшения начисленной премии (взносов) в связи с ошибочно начисленной премией по договору;

сумму и дату (даты) уменьшения начисленной премии (взносов) в связи с досрочным расторжением договора;

дату (даты) поступления заявления о страховом случае (случаях);

дату (даты) наступления страхового случая (случаев);

идентификационный номер страхового случая;

размер (размеры) заявленного убытка (убытков), а также информацию об изменении о дате (датах) и размере (размеров) изменений заявленного убытка (убытков) в процессе его урегулирования с указанием идентификационного номера страхового случая;

дату (даты) осуществления страховой выплаты (выплат) с указанием идентификационного номера страхового случая;

размер (размеры) страховой выплаты (выплат) с указанием идентификационного номера страхового случая;

дату (даты) отказа в страховой выплате (выплатах) с указанием идентификационного номера страхового случая;

основание (основания) отказа в страховой выплате (выплатах) с указанием идентификационного номера страхового случая;

дату поступления предварительного уведомления о страховом случае по договору обязательного страхования гражданской ответственности владельцев транспортных средств от страховщика, который осуществляет прямое возмещение убытков в соответствии с законодательством Российской Федерации об обязательном страховании гражданской ответственности владельцев транспортных средств;

дату поступления требования об оплате возмещенного вреда по договору обязательного страхования гражданской ответственности владельцев транспортных средств от страховщика, который осуществляет прямое возмещение убытков в соответствии с законодательством Российской Федерации об обязательном страховании гражданской ответственности владельцев транспортных средств;

дату поступления сообщения об отказе потерпевшему в прямом возмещении убытков по договору обязательного страхования гражданской ответственности владельцев транспортных средств от страховщика, который осуществляет прямое возмещение убытков в соответствии с законодательством Российской Федерации об обязательном страховании гражданской ответственности владельцев транспортных средств;

дату принятия к бухгалтерскому учету (начисления) страховой выплаты по договору обязательного страхования гражданской ответственности владельцев транспортных средств, причитающейся к перечислению страховщику, осуществившему прямое возмещение убытков в соответствии с законодательством Российской Федерации об обязательном страховании гражданской ответственности владельцев транспортных средств;

размер (размеры) начисленных сумм по суброгациям, регрессам и сумм от реализации годных остатков с указанием идентификационного номера страхового случая и дат начисления;

размер (размеры) и дату (даты) полученных сумм по суброгациям, регрессам и сумм от реализации годных остатков с указанием идентификационного номера страхового случая и даты получения.

5.2. Указанные сведения являются обязательными реквизитами Журнала учета заключенных договоров страхования (сострахования), Журнала учета убытков и досрочно прекращенных договоров страхования (сострахования), Журнала учета договоров, принятых в перестрахование, и Журнала учета убытков по договорам, принятым в перестрахование.

Формы указанных журналов и порядок их заполнения устанавливаются во внутренних документах страховщика.

Глава 6. Методическое обеспечение расчета доли перестраховщиков в страховых резервах

6.1. Страховщик рассчитывает долю перестраховщиков в страховых резервах одновременно с расчетом страховых резервов.

Доля перестраховщиков в страховых резервах определяется по каждому договору (группе договоров) в соответствии с условиями договора (договоров) перестрахования.

При расчете доли перестраховщиков в страховых резервах следует учитывать, что доля перестраховщиков в страховых резервах не может превышать величину страховых резервов.

6.2. Порядок расчета доли перестраховщиков в страховых резервах устанавливается страховщиком в положении о формировании страховых резервов самостоятельно. В случае если страховщик рассчитывает величину резерва произошедших, но незаявленных убытков с учетом оценки будущих поступлений по суброгациям, регрессам и поступлений от реализаций годных остатков, доля перестраховщиков в страховых резервах также должна рассчитываться с учетом доли перестраховщиков в оценке будущих поступлений по суброгациям, регрессам и поступлений от реализаций годных остатков.

Глава 7. Порядок согласования с Банком России методов расчета страховых резервов, которые отличаются от предусмотренных настоящим Положением

7.1. При формировании страховых резервов, указанных в подпункте 2.1.1, абзаце втором и третьем подпункта 2.1.2 пункта 2.1 настоящего Положения, страховщик по согласованию с Банком России может применять методы расчета страховых резервов, которые отличаются от предусмотренных настоящим Положением, в том числе методы расчета, предусматривающие объединение учетных групп, предусмотренных в пункте 1.6 настоящего Положения, за исключением учетных групп 3, 5, 7 - 9, 11 - 13, 15.

7.2. Для согласования методов расчета страховых резервов, которые отличаются от предусмотренных настоящим Положением, страховщик представляет в Банк России следующую информацию:

описание методов расчета страховых резервов, которые страховщик планирует применять при формировании страховых резервов;

расчеты на основании фактических данных о проведении операций по страхованию иному, чем страхование жизни, свидетельствующие о том, что предложенные страховщиком методы дают более точную величину резервов.

7.3. Решение о согласовании или об отказе в согласовании методов расчета страховых резервов, которые отличаются от предусмотренных настоящим Положением, принимается Банком России по результатам рассмотрения представленных страховщиком документов, содержащих указанную в пункте 7.2 настоящего Положения информацию, в течение 30 дней с даты регистрации указанных документов в Системе автоматизации документооборота и делопроизводства центрального аппарата Банка России.

7.4. Основаниями для отказа в согласовании методов расчета страховых резервов, которые отличаются от предусмотренных настоящим Положением, являются:

непредставление в Банк России информации, предусмотренной пунктом 7.2 настоящего Положения;

несоответствие данных, представленных страховщиком, данным отчетности, представляемой страховщиком в Банк России.

7.5. В случае принятия Банком России решения о согласовании методов расчета страховых резервов, которые отличаются от предусмотренных настоящим Положением, страховщик вносит соответствующие изменения в положение о формировании страховых резервов.

7.6. В случае применения страховщиком согласованных с Банком России методов расчета страховых резервов страховщик по запросу Банка России должен предоставить данные, обосновывающие более точную величину резервов, полученную методами, согласованными с Банком России по отношению к методам, указанным в настоящем Положении, на даты указанные в запросе Банка России. В случае неподтверждения страховщиком большей точности расчета резервов методами, согласованными с Банком России по отношению к методам, указанным в настоящем Положении, Банк России в срок, установленный в пункте 7.3 настоящего Положения, информирует страховщика о необходимости формировать резервы в соответствии с методами, указанными в настоящем Положении, начиная с дат, указанных в запросе Банка России.

7.7. Информация, предусмотренная пунктом 7.2 настоящего Положения, может быть представлена страховщиком в Банк России в соответствии с порядком взаимодействия Банка России с некредитными финансовыми организациями, определенным на основании частей первой и восьмой статьи 76.9 Федерального закона от 10 июля 2002 года N 86-ФЗ "О Центральном банке Российской Федерации (Банке России)" (Собрание законодательства Российской Федерации, 2002, N 28, ст. 2790; 2016, N 27, ст. 4225). (в ред. Указания ЦБ РФ от 02.03.2021 N 5745-У)

Глава 8. Заключительные положения

8.1. На период до 1 января 2018 года для целей расчета стабилизационного резерва и резерва для компенсации расходов по обязательному страхованию гражданской ответственности владельцев транспортных средств соответствующие величины указанных резервов на 31 декабря 2016 года определяются в соответствии с приложением 7 к настоящему Положению.

8.2. Настоящее Положение подлежит официальному опубликованию и в соответствии с решением Совета директоров Банка России (протокол заседания Совета директоров Банка России от 11 ноября 2016 года N 31) вступает в силу со дня вступления в силу приказа Министерства финансов Российской Федерации о признании утратившим силу приказа Министерства финансов Российской Федерации от 11 июня 2002 года N 51н "Об утверждении Правил формирования страховых резервов по страхованию иному, чем страхование жизни", зарегистрированного Министерством юстиции Российской Федерации 16 июля 2002 года N 3584, 11 июля 2003 года N 4896, 7 февраля 2005 года N 6297, 16 октября 2008 года N 12461, 24 ноября 2008 года N 12718, 6 ноября 2009 года N 15190, 31 августа 2010 года N 18328, 21 марта 2011 года N 20195, 21 декабря 2011 года N 22710, 27 марта 2012 года N 23611 (Бюллетень нормативных актов федеральных органов исполнительной власти от 19 августа 2002 года N 33, от 1 декабря 2003 года N 48, от 14 февраля 2005 года N 7, от 27 октября 2008 года N 43, от 1 декабря 2008 года N 48, от 23 ноября 2009 года N 47, от 20 сентября 2010 года N 38, Российская газета от 30 марта 2011 года, Бюллетень нормативных актов федеральных органов исполнительной власти от 30 января 2012 года N 5, Российская газета от 11 апреля 2012 года).

8.3. Страховщикам необходимо привести положение о формировании страховых резервов в соответствие с настоящим Положением в срок до 30 июня 2017 года.

8.4. Методы расчета страховых резервов, которые отличаются от предусмотренных настоящим Положением, согласованные с Банком России до 1 января 2017 года, применяются страховщиками без согласования.

Председатель Центрального банка
Российской Федерации
Э.С. НАБИУЛЛИНА

Приложение 1
к Положению Банка России
от 16 ноября 2016 года N 558-П
"О правилах формирования страховых
резервов по страхованию иному,
чем страхование жизни"

МЕТОДЫ РАСЧЕТА БАЗОВОЙ ЧАСТИ РЕЗЕРВА НЕЗАРАБОТАННОЙ ПРЕМИИ И ДОПОЛНИТЕЛЬНОЙ ЧАСТИ РЕЗЕРВА НЕЗАРАБОТАННОЙ ПРЕМИИ

(в ред. Указания ЦБ РФ от 02.03.2021 N 5745-У)

1. Метод расчета резерва незаработанной премии "pro rata temporis" представляет собой расчет резерва незаработанной премии по каждому договору как произведение базовой страховой премии по договору на отношение не истекшего на отчетную дату периода несения ответственности (в днях) ко всему периоду несения ответственности (в днях).

В случае если период несения ответственности не определен, расчет резерва незаработанной премии осуществляется исходя из срока действия договора страхования.

Базовая часть резерва незаработанной премии методом "pro rata temporis" определяется по каждому договору как произведение базовой страховой премии по договору на отношение не истекшего на отчетную дату периода несения ответственности (в днях) ко всему периоду несения ответственности (в днях).

Базовая часть резерва незаработанной премии методом "pro rata temporis" в целом по учетной группе определяется путем суммирования базовых частей резерва незаработанной премии, рассчитанных по каждому договору.

Дополнительная часть резерва незаработанной премии методом "pro rata temporis" определяется по каждому договору как произведение дополнительной части страховой премии по договору на отношение не истекшего на отчетную дату периода несения ответственности (в днях) ко всему периоду несения ответственности (в днях).

Дополнительная часть резерва незаработанной премии методом "pro rata temporis" в целом по учетной группе определяется путем суммирования дополнительных частей резерва незаработанной премии, рассчитанных по каждому договору.

2. Метод расчета резерва незаработанной премии "1/24" представляет собой расчет резерва незаработанной премии посредством группировки договоров, относящихся к одной учетной группе, по подгруппам, в которые включаются договоры с одинаковыми сроками действия (в месяцах) и с датами начала их действия, приходящимися на одинаковые месяцы. В подгруппу включаются договоры с одинаковыми сроками действия (в месяцах) и с датами начала их действия, приходящимися на одинаковые месяцы.

Для расчета резерва незаработанной премии методом "1/24" принимается следующее:

дата начала действия договора приходится на середину месяца;

срок действия договора, не равный целому числу месяцев, равен ближайшему большему целому числу месяцев.

Общая сумма базовой страховой премии по договорам, входящим в подгруппу, определяется суммированием базовых страховых премий, рассчитанных по каждому договору, входящему в подгруппу.

Базовая часть резерва незаработанной премии определяется по каждой подгруппе путем умножения общей суммы базовых страховых премий на коэффициенты для расчета величины базовой части резерва незаработанной премии.

Коэффициент для расчета величины базовой части резерва незаработанной премии для каждой подгруппы определяется как отношение не истекшего на отчетную дату срока действия договоров подгруппы (в половинах месяцев) ко всему сроку действия договоров подгруппы (в половинах месяцев).

Базовая часть резерва незаработанной премии методом "1/24" в целом по учетной группе определяется путем суммирования базовых частей резерва незаработанной премии, рассчитанных по каждой подгруппе.

Дополнительная часть резерва незаработанной премии определяется по каждой подгруппе путем умножения общей суммы дополнительных частей страховой премии на коэффициенты для расчета величины дополнительной части резерва незаработанной премии.

Коэффициент для расчета величины дополнительной части резерва незаработанной премии для каждой подгруппы определяется как отношение не истекшего на отчетную дату срока действия договоров подгруппы (в половинах месяцев) ко всему сроку действия договоров подгруппы (в половинах месяцев).

Дополнительная часть резерва незаработанной премии методом "1/24" в целом по учетной группе определяется путем суммирования дополнительных частей резерва незаработанной премии, рассчитанных по каждой подгруппе.

3. Метод расчета резерва незаработанной премии "1/8" представляет собой расчет резерва незаработанной премии посредством группировки договоров, относящихся к одной учетной группе, по подгруппам, в которые включаются договоры с одинаковыми сроками действия (в кварталах) и с датами начала их действия, приходящимися на одинаковые кварталы. В подгруппу включаются договоры с одинаковыми сроками действия (в кварталах) и с датами начала их действия, приходящимися на одинаковые кварталы.

Для расчета резерва незаработанной премии методом "1/8" принимается следующее:

дата начала действия договора приходится на середину квартала;

срок действия договора, не равный целому числу кварталов, равен ближайшему большему целому числу кварталов.

Общая сумма базовой страховой премии по договорам, входящим в подгруппу, определяется суммированием базовых страховых премий, рассчитанных по каждому договору, входящему в подгруппу.

Базовая часть резерва незаработанной премии определяется по каждой подгруппе путем умножения общей суммы базовых страховых премий на коэффициенты для расчета величины базовой части резерва незаработанной премии.

Коэффициент для расчета величины базовой части резерва незаработанной премии для каждой подгруппы определяется как отношение не истекшего на отчетную дату срока действия договоров подгруппы (в половинах кварталов) ко всему сроку действия договоров подгруппы (в половинах кварталов). (в ред. Указания ЦБ РФ от 02.03.2021 N 5745-У)

Базовая часть резерва незаработанной премии методом "1/8" в целом по учетной группе определяется путем суммирования базовых частей резерва незаработанной премии, рассчитанных по каждой подгруппе.

Дополнительная часть резерва незаработанной премии определяется по каждой подгруппе путем умножения общей суммы дополнительных частей страховой премии на коэффициенты для расчета величины дополнительной части резерва незаработанной премии.

Коэффициент для расчета величины дополнительной части резерва незаработанной премии для каждой подгруппы определяется как отношение не истекшего на отчетную дату срока действия договоров подгруппы (в половинах кварталов) ко всему сроку действия договоров подгруппы (в половинах кварталов). (в ред. Указания ЦБ РФ от 02.03.2021 N 5745-У)

Дополнительная часть резерва незаработанной премии методом "1/8" в целом по учетной группе определяется путем суммирования дополнительных частей резерва незаработанной премии, рассчитанных по каждой подгруппе.

Приложение 2
к Положению Банка России
от 16 ноября 2016 года N 558-П
"О правилах формирования страховых
резервов по страхованию иному,
чем страхование жизни"

МЕТОД РАСЧЕТА РЕЗЕРВА ПРОИЗОШЕДШИХ, НО НЕЗАЯВЛЕННЫХ УБЫТКОВ

1. Для расчета резерва произошедших, но незаявленных убытков страховщик формирует статистическую базу, основанную на данных его бухгалтерского учета и отчетности, в следующем порядке.

Данные об оплаченных на отчетную дату убытках (страховых выплатах), за исключением возвращенных страховых премий при досрочном прекращении (расторжении) договоров, группируются по периодам наступления этих убытков (кварталам, на которые приходятся даты наступления страховых случаев) и нарастающим итогом по периодам оплаты (развития) убытков (кварталам, в которые эти убытки были оплачены страховщиком) (см. таблицу).

Таблица "Треугольник развития убытков"

Период оплаты (развития) убытков (j)
1 2 3 ... (N - 2) (N - 1) N
Период наступления убытков (i) 1 x(1, 1) x(1, 2) x(1, 3) ... x(1, N - 2) x(1, N - 1) x(1, N)
2 x(2, 1) x(2, 2) x(2, 3) ... x(2, N - 2) x(2, N - 1) x(2, N)
3 x(3, 1) x(3, 2) x(3, 3) ... x(3, N - 2) x(3, N - 1) x(3, N)
... ... ... ... ...      
(N - 2) x(N - 2, 1) x(N - 2, 2) x(N - 2, 3)        
(N - 1) x(N - 1, 1) x(N - 1, 2)          
N x(N, 1)            

где:

x(i, j) - убытки, оплаченные на конец j-го периода оплаты (развития) убытков, по страховым случаям, произошедшим в i-м периоде наступления убытков;

N - число периодов, за которые рассматриваются данные об убытках.

Данные об оплаченных убытках по договорам, которые в соответствии с действующим валютным законодательством заключаются в иностранной валюте (страховые премии (взносы) уплачиваются в иностранной валюте и страховые выплаты осуществляются в иностранной валюте) и по договорам, в которых предусмотрено исполнение денежных обязательств в рублях в сумме, эквивалентной определенной сумме в иностранной валюте (страховые премии (взносы) уплачиваются в рублях в сумме, эквивалентной определенной сумме в иностранной валюте, и страховые выплаты осуществляются в рублях в сумме, эквивалентной определенной сумме в иностранной валюте), в случае если число таких договоров недостаточно, чтобы достоверно рассчитать величину произошедших, но незаявленных убытков, для целей расчета резерва произошедших, но незаявленных убытков могут пересчитываться в рубли в соответствии с требованиями пункта 1.4 настоящего Положения.

2. При осуществлении группировки данных в части операций перестрахования следует учитывать, что:

периодом наступления страхового случая по договору перестрахования у перестраховщика является период наступления страхового случая по основному (перестрахованному) договору, риск выплаты страхового возмещения или страховой суммы по которому был передан перестрахователем по указанному договору перестрахования;

периодом оплаты убытка по договору перестрахования для периодов, заканчивающихся до 1 января 2017 года, является период, в котором произведено начисление страховой выплаты, причитающейся к перечислению перестрахователю в соответствии с договором перестрахования.

3. При осуществлении группировки данных по учетной группе 3 в части операций по прямому возмещению убытков следует учитывать, что периодом оплаты убытка является период, в котором произведено начисление страховой выплаты, причитающейся к перечислению страховщику, осуществившему прямое возмещение убытков в соответствии с законодательством Российской Федерации об обязательном страховании гражданской ответственности владельцев транспортных средств.

4. Полученные при группировке данных (формировании статистической базы) значения используются для расчета совокупной величины убытков, произошедших во все периоды наступления убытков, оплаченной на конец каждого из последующих периодов оплаты (развития), y(j):

.

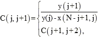
5. Определяются коэффициенты развития убытков C(j, j+1), соответствующие относительному увеличению совокупной величины оплаченных убытков от одного периода оплаты (развития) к последующему, по следующей формуле:

,

6. Определяются факторы развития убытков H(j) от каждого периода оплаты (развития) убытков до самого последнего из рассматриваемых периодов, соответствующие относительному увеличению совокупной величины оплаченных убытков от каждого из периодов оплаты (развития) убытков до последнего из рассматриваемых периодов:

.

7. Для каждого периода оплаты (развития) убытков рассчитываются факторы запаздывания L(j), равные доле произошедших убытков, оплаченной на конец каждого периода оплаты (развития) убытков:

.

8. Для каждого периода наступления убытков вычисляются коэффициенты оплаченных убытков U(i), равные отношению величины оплаченных на отчетную дату убытков (с учетом их последующего развития) к величине заработанной страховой премии за соответствующий период:

,

где:

ЗП(i) - заработанная страховая премия за i-й период наступления убытков.

9. Среднее из значений коэффициентов оплаченных убытков принимается за ожидаемый коэффициент произошедших убытков U:

.

10. На основе ожидаемого коэффициента произошедших убытков для каждого из периодов наступления убытков вычисляется ожидаемая величина произошедших убытков V(i):

.

11. Для каждого из периодов наступления убытков суммарная величина произошедших, но не оплаченных на отчетную дату убытков R(i) определяется как ожидаемая величина произошедших, но не оплаченных убытков, исходя из фактора запаздывания, на отчетную дату:

.

12. Для каждого из периодов наступления убытков суммарная величина произошедших, но незаявленных убытков ПНУ(i) определяется как величина произошедших, но не оплаченных на отчетную дату убытков за минусом величины заявленных, но не урегулированных на отчетную дату убытков ЗНУ(i) по страховым случаям, произошедшим в соответствующем периоде наступления убытков:

,

где:

ЗНУ(i) - величина заявленных, но не урегулированных на отчетную дату убытков по страховым случаям, произошедшим в i-м периоде наступления убытков.

В случае если в результате расчетов для какого-либо периода наступления убытков указанная величина отрицательна, то величина произошедших, но незаявленных убытков для соответствующего периода принимается равной нулю.

13. Величина резерва произошедших, но незаявленных убытков РПНУ по учетной группе определяется как сумма величин произошедших, но незаявленных убытков для каждого из рассматриваемых периодов наступления убытков:

.

14. По договорам, относящимся к учетным группам 1, 2, 7 - 10, 16, рассматриваются данные не менее чем за 12 периодов наступления убытков (периодов оплаты (развития), предшествующих отчетной дате, по договорам, относящимся к учетным группам 3 - 6, 11 - 15, 17, - не менее чем за 20 периодов, предшествующих отчетной дате.

В положении о формировании страховых резервов страховщика должно быть указано количество периодов, предшествующих отчетной дате, которые включаются в статистическую базу для расчета резерва произошедших, но незаявленных убытков по каждой отдельной учетной группе и по каждой дополнительной учетной группе.

15. Если страховщик заключает договоры, относящиеся к какой-либо учетной группе, для которой нет необходимого объема данных об оплаченных убытках за требуемое число периодов, то в случае если ожидаемый коэффициент произошедших убытков по соответствующей учетной группе меньше 1, в целях расчета он принимается равным единице.

В этом случае в качестве резерва произошедших, но незаявленных убытков по данной учетной группе принимается наибольший из двух резервов произошедших, но незаявленных убытков: резерв, рассчитанный по формуле, приведенной в пункте 13 настоящего Приложения, и резерв, рассчитанный в размере 10 процентов от заработанной страховой премии за последние 4 квартала, предшествующие отчетной дате.

16. Страховщик вправе корректировать треугольник развития убытков, исключив из него на отчетную дату не более трех убытков, включение которых в треугольник развития убытков приводит к увеличению значения резерва произошедших, но незаявленных убытков более чем на 30 процентов от величины резерва произошедших, но незаявленных убытков на отчетную дату, рассчитанной по скорректированным данным, или более чем на 10 процентов от заработанной премии за предшествующие отчетной дате 12 месяцев по сравнению с величиной резерва произошедших, но незаявленных убытков на отчетную дату, рассчитанной по скорректированным данным.

Приложение 3
к Положению Банка России
от 16 ноября 2016 года N 558-П
"О правилах формирования страховых
резервов по страхованию иному,
чем страхование жизни"

МЕТОД ОЦЕНКИ БУДУЩИХ ПОСТУПЛЕНИЙ ПО СУБРОГАЦИЯМ, РЕГРЕССАМ И ПОСТУПЛЕНИЙ ОТ РЕАЛИЗАЦИИ ГОДНЫХ ОСТАТКОВ

1. Для оценки будущих поступлений по суброгациям, регрессам и поступлений от реализации годных остатков страховщик формирует статистическую базу, основанную на данных его бухгалтерского учета, в следующем порядке.

2. Данные о сумме поступлений по суброгациям, регрессам и поступлений от реализации годных остатков по убыткам до отчетной даты группируются по периодам наступления этих убытков (кварталам, на которые приходятся даты наступления страховых случаев) и нарастающим итогом по периодам поступления (развития) указанных поступлений (кварталам, в которые поступления по указанным суброгациям, регрессам и от реализации годных остатков были получены страховщиком) (см. таблицу).

Таблица "Треугольник развития поступлений по суброгациям, регрессам и поступлений от реализации годных остатков"

Период поступления (развития) поступлений по суброгациям (j)
1 2 3 ... (N - 2) (N - 1) N
Период наступления убытков (i) 1 x(1, 1) x(1, 2) x(1, 3) ... x(1, N - 2) x(1, N - 1) x(1, N)
2 x(2, 1) x(2, 2) x(2, 3) ... x(2, N - 2) x(2, N - 1) x(2, N)
3 x(3, 1) x(3, 2) x(3, 3) ... x(3, N - 2) x(3, N - 1) x(3, N)
... ... ... ... ...      
(N - 2) x(N - 2, 1) x(N - 2, 2) x(N - 2, 3)        
(N - 1) x(N - 1, 1) x(N - 1, 2)          
N x(N, 1)            

где:

x(i, j) - суммы по суброгациям и поступлениям от реализации годных остатков по страховым убыткам, полученные на конец j-го периода развития, по страховым случаям, произошедшим в i-м периоде наступления убытков;

N - число периодов, за которые рассматриваются данные о поступлениях по суброгациям и поступлениях от реализации годных остатков по страховым убыткам.

Суммы поступлений по суброгациям и поступлений от реализации годных остатков по договорам, которые в соответствии с действующим валютным законодательством заключаются в иностранной валюте (страховые премии (взносы) уплачиваются в иностранной валюте, страховые выплаты осуществляются в иностранной валюте и поступления по суброгациям осуществляются в иностранной валюте), и по договорам, в которых предусмотрено исполнение денежных обязательств в рублях в сумме, эквивалентной определенной сумме в иностранной валюте (страховые премии (взносы) уплачиваются в рублях в сумме, эквивалентной определенной сумме в иностранной валюте, страховые выплаты осуществляются в рублях в сумме, эквивалентной определенной сумме в иностранной валюте и поступления по суброгациям осуществляются в рублях в сумме, эквивалентной определенной сумме в иностранной валюте), в случае если число таких договоров недостаточно, чтобы достоверно оценить величину поступлений по суброгациям и поступлений от реализации годных остатков, могут пересчитываться в рубли в соответствии с требованиями пункта 1.4 настоящего Положения.

3. Рассматриваются данные по поступлениям по суброгациям и поступлениям от реализации годных остатков не менее чем за 12 периодов развития, предшествующих отчетной дате.

В случае если страховщик располагает данными за большее количество периодов поступлений по суброгациям и поступлений от реализации годных остатков (развития), то в положении о формировании страховых резервов страховщик указывает количество периодов, предшествующих отчетной дате, которые включаются в статистическую базу для оценки будущих поступлений по суброгациям и поступлений от реализации годных остатков. Страховщик вправе включать в статистическую базу для оценки будущих поступлений по суброгациям и поступлений от реализации годных остатков все имеющиеся у него данные.

4. Полученные при группировке данных (формировании статистической базы) значения используются для расчета совокупной величины поступлений по суброгациям и поступлений от реализации годных остатков по страховым убыткам во все периоды наступления убытков, полученных на конец каждого из последующих периодов развития, y(j):

.

5. Определяются коэффициенты развития поступлений суброгаций C(j, j + 1), соответствующие относительному увеличению совокупной величины поступлений по суброгациям и поступлений от реализации годных остатков по страховым убыткам от одного периода развития к последующему:

,

6. Определяются факторы развития поступлений по суброгациям H(j) от каждого периода развития до самого последнего из рассматриваемых периодов, соответствующие относительному увеличению совокупной величины поступлений по суброгациям и поступлений от реализации годных остатков по страховым убыткам от каждого из периодов развития до последнего из рассматриваемых периодов:

.

7. Для каждого периода развития рассчитываются факторы запаздывания L(j), равные доле поступлений по суброгациям и поступлений от реализации годных остатков по страховым убыткам, полученных на конец каждого периода развития:

.

8. Для каждого периода наступления убытков вычисляются коэффициенты полученных поступлений по суброгациям и поступлений от реализации годных остатков по страховым убыткам U(i), равные отношению величины полученных на отчетную дату сумм поступлений по суброгациям и поступлений от реализации годных остатков по страховым убыткам с учетом их последующего развития к величине состоявшихся убытков за соответствующий период:

,

где:

СУ(i) - величина состоявшихся убытков за i-ый период наступления убытков, определяемая как сумма выплат по страховым случаям, наступившим в i-ый период наступления убытков, и ожидаемой величины произошедших, но неоплаченных убытков, рассчитанной в соответствии с пунктом 11 приложения 2 к настоящему Положению.

9. Среднее из значений коэффициентов поступлений по суброгациям и поступлений от реализации годных остатков по страховым убыткам принимается за ожидаемый коэффициент поступлений по суброгациям и поступлений от реализации годных остатков по страховым убыткам U:

.

10. Ожидаемый коэффициент поступлений по суброгациям и поступлений от реализации годных остатков по страховым убыткам не может превышать максимальное отношение величины полученных на отчетную дату сумм поступлений по суброгациям и поступлений от реализации годных остатков по страховым убыткам к величине состоявшихся убытков по последним 12 периодам развития:

.

11. На основе ожидаемого коэффициента суброгаций для каждого из периодов наступления убытков вычисляется ожидаемая величина суброгаций V(i):

.

12. Для каждого из периодов наступления убытков суммарная величина не поступивших на отчетную дату сумм поступлений по суброгациям и поступлений от реализации годных остатков R(i) определяется как ожидаемая величина поступлений по суброгациям и поступлений от реализации годных остатков по страховым убыткам, исходя из фактора запаздывания, на отчетную дату:

.

13. Для периодов наступления убытков, по которым прошло более 3 лет, величина не поступивших на отчетную дату сумм поступлений по суброгациям и поступлений от реализации годных остатков по страховым убыткам принимается равной нулю.

14. Оценка будущих поступлений по суброгациям и поступлений от реализации годных остатков по учетной группе определяется как сумма величин не поступивших на отчетную дату сумм поступлений по суброгациям и поступлений от реализации годных остатков для каждого из рассматриваемых периодов наступления убытков:

.

Приложение 4
к Положению Банка России
от 16 ноября 2016 года N 558-П
"О правилах формирования страховых
резервов по страхованию иному,
чем страхование жизни"

ПОПРАВОЧНЫЙ КОЭФФИЦИЕНТ К ОЦЕНКЕ БУДУЩИХ ПОСТУПЛЕНИЙ ПО СУБРОГАЦИЯМ, РЕГРЕССАМ И ПОСТУПЛЕНИЙ ОТ РЕАЛИЗАЦИИ ГОДНЫХ ОСТАТКОВ

Отчетная дата Поправочный коэффициент Отчетная дата Поправочный коэффициент
31.03.2016 0.05 30.09.2018 0.55
30.06.2016 0.1 31.12.2018 0.6
30.09.2016 0.15 31.03.2019 0.65
31.12.2016 0.2 30.06.2019 0.7
31.03.2017 0.25 30.09.2019 0.75
30.06.2017 0.3 31.12.2019 0.8
30.09.2017 0.35 31.03.2020 0.85
31.12.2017 0.4 30.06.2020 0.9
31.03.2018 0.45 30.09.2020 0.95
30.06.2018 0.5 31.12.2020 1

К отчетным датам после 31.12.2020 применяется поправочный коэффициент равный 1.

Приложение 5
к Положению Банка России
от 16 ноября 2016 года N 558-П
"О правилах формирования страховых
резервов по страхованию иному,
чем страхование жизни"

МЕТОД РАСЧЕТА СТАБИЛИЗАЦИОННОГО РЕЗЕРВА ПО УЧЕТНЫМ ГРУППАМ 5, 9, 11

(в ред. Указания ЦБ РФ от 02.03.2021 N 5745-У)

1. Страховщик рассчитывает стабилизационный резерв по учетным группам 5, 9, 11 следующим методом.

2. Порядок распределения расходов по ведению страховых операций и расходов по урегулированию убытков по учетным группам в целях расчета стабилизационного резерва страховщик устанавливает самостоятельно в положении о формировании страховых резервов.

В качестве базы распределения (пропорционального или иного) расходов по ведению страховых операций по учетным группам рекомендуется использовать следующие показатели:

страховую брутто-премию;

заработанную страховую премию;

страховые выплаты;

прямые расходы по ведению страховых операций и урегулированию убытков.

3. Расчет стабилизационного резерва производится исходя из показателей нетто-перестрахование (за минусом участия перестраховщиков):

страховая брутто-премия по договорам учитывается за минусом начисленной перестраховочной премии по договорам, переданным в перестрахование;

страховые выплаты учитываются за минусом доли перестраховщиков;

страховые резервы учитываются за исключением доли перестраховщиков в соответствующих резервах.

4. В качестве базы расчета величины стабилизационного резерва принимается величина финансового результата от страховых операций по учетной группе.

Финансовый результат от страховых операций по учетной группе определяется как разность между величиной доходов по учетной группе за отчетный период и величиной расходов по учетной группе за отчетный период.

5. Доходы по учетной группе за отчетный период определяются как сумма:

страховой брутто-премии, начисленной за отчетный период;

изменения страховых резервов, указанных в подпунктах 2.1.1 и 2.1.2 пункта 2.1 настоящего Положения, рассчитанных в соответствии с настоящим Положением, за отчетный период в сторону уменьшения;

вознаграждений и тантьем по договорам, переданным в перестрахование, за отчетный период.

6. Расходы по учетной группе за отчетный период определяются как сумма:

отчислений от страховой брутто-премии в фонды компенсационных выплат;

изменения страховых резервов, указанных в подпунктах 2.1.1 и 2.1.2 пункта 2.1 настоящего Положения, рассчитанных в соответствии с настоящим Положением, в сторону увеличения;

страховых выплат, произведенных за отчетный период;

расходов по ведению страховых операций, произведенных за отчетный период, в том числе затрат по заключению договоров, расходов по урегулированию убытков;

вознаграждений и тантьем по договорам, принятым в перестрахование, за отчетный период.

Величина расходов по ведению страховых операций по учетной группе 5 не может превышать величину расходов на осуществление обязательного страхования гражданской ответственности перевозчика за причинение вреда жизни, здоровью, имуществу пассажиров, уменьшенную на величину резервов компенсационных выплат, которые зафиксированы в структуре страхового тарифа по обязательному страхованию гражданской ответственности перевозчика за причинение вреда жизни, здоровью, имуществу пассажиров. (в ред. Указания ЦБ РФ от 02.03.2021 N 5745-У)

Величина расходов по ведению страховых операций по учетной группе 11 не может превышать величину расходов на осуществление обязательного страхования (сострахования) гражданской ответственности владельца опасного объекта за причинение вреда в результате аварии на опасном объекте, уменьшенную на величину резервов компенсационных выплат, которые зафиксированы в структуре страхового тарифа по обязательному страхованию гражданской ответственности владельца опасного объекта за причинение вреда в результате аварии на опасном объекте. (в ред. Указания ЦБ РФ от 02.03.2021 N 5745-У)

7. В случае если разница между доходами и расходами страховщика за первый квартал, полугодие, девять месяцев, календарный год (отчетный период) превышает пять процентов от указанных доходов, сумма превышения направляется страховщиком на формирование стабилизационного резерва до достижения данным страховым резервом величины, равной трехкратному размеру максимальной за последние десять лет годовой страховой премии страховщика, начисленной по соответствующей учетной группе.

В случае если сумма расходов превышает сумму доходов, стабилизационный резерв на конец отчетного периода уменьшается на сумму превышения расходов над доходами.

Приложение 6
к Положению Банка России
от 16 ноября 2016 года N 558-П
"О правилах формирования страховых
резервов по страхованию иному,
чем страхование жизни"

МЕТОД
РАСЧЕТА СТАБИЛИЗАЦИОННОГО РЕЗЕРВА ПО УЧЕТНЫМ ГРУППАМ 1, 2, 4, 6 - 8, 10, 12 - 17

(в ред. Указания ЦБ РФ от 02.03.2021 N 5745-У)

На отчетную дату величина стабилизационного резерва по учетным группам 1, 2, 4, 6, 7, 10, 12 - 14, 16 и 17 рассчитывается в порядке, указанном в положении о формировании страховых резервов, и не может превышать величину стабилизационного резерва по соответствующей учетной группе по состоянию на 31 декабря 2020 года и по состоянию на предшествующую отчетную дату.

На отчетную дату величина стабилизационного резерва по учетным группам 8 и 15 принимается равной величине стабилизационного резерва по соответствующей учетной группе по состоянию на конец календарного года, предшествующего отчетной дате, уменьшенной на сумму величин страховых выплат, учитываемых для целей расчета стабилизационного резерва по соответствующей учетной группе, за вычетом доли перестраховщиков в них. Страховая выплата учитывается для целей расчета стабилизационного резерва по учетным группам 8 и 15, если одновременно выполнены следующие требования:

страховая выплата по договору страхования, относящемуся к соответствующей учетной группе, произведена в отчетном периоде;

величина страховой выплаты за вычетом доли перестраховщиков в ней превышает 10 процентов от заработанной страховой премии по договорам страхования, относящимся к соответствующей учетной группе, за 12 месяцев, предшествующих отчетной дате.".

Приложение 7
к Положению Банка России
от 16 ноября 2016 года N 558-П
"О правилах формирования страховых
резервов по страхованию иному,
чем страхование жизни"

ОПРЕДЕЛЕНИЕ ВЕЛИЧИНЫ СТАБИЛИЗАЦИОННОГО РЕЗЕРВА, РЕЗЕРВА ДЛЯ КОМПЕНСАЦИИ РАСХОДОВ ПО ОБЯЗАТЕЛЬНОМУ СТРАХОВАНИЮ ГРАЖДАНСКОЙ ОТВЕТСТВЕННОСТИ ВЛАДЕЛЬЦЕВ ТРАНСПОРТНЫХ СРЕДСТВ НА 31 ДЕКАБРЯ 2016 ГОДА

Величина стабилизационного резерва по учетной группе 1 считается равной величине стабилизационного резерва на 31 декабря 2016 года по учетной группе 2, установленной в положении о формировании страховых резервов, действующем на 31 декабря 2016 года.

Величина стабилизационного резерва по учетной группе 2 считается равной величине стабилизационного резерва на 31 декабря 2016 года по учетной группе 1, установленной в положении о формировании страховых резервов, действующем на 31 декабря 2016 года.

Величина стабилизационного резерва по учетной группе 4 считается равной величине стабилизационного резерва на 31 декабря 2016 года по учетной группе 13.2, установленной в положении о формировании страховых резервов, действующем на 31 декабря 2016 года.

Величина стабилизационного резерва по учетной группе 5 равна доле начисленной премии по договорам, которые должны быть отнесены к учетной группе 5, в общей величине начисленной премии по учетной группе 14, установленной в положении о формировании страховых резервов, действующем на 31 декабря 2016 года, за период 2014 - 2016 года, умноженной на размер стабилизационного резерва на 31 декабря 2016 года по учетной группе 14, установленной в положении о формировании страховых резервов, действующем на 31 декабря 2016 года.

Величина стабилизационного резерва по учетной группе 6 считается равной величине стабилизационного резерва на 31 декабря 2016 года по учетной группе 13, установленной в положении о формировании страховых резервов, действующем на 31 декабря 2016 года.

Величина стабилизационного резерва по учетной группе 7 считается равной величине стабилизационного резерва на 31 декабря 2016 года по учетной группе 5, установленной в положении о формировании страховых резервов, действующем на 31 декабря 2016 года.

Величина стабилизационного резерва по учетной группе 8 считается равной суммарной величине стабилизационных резервов на 31 декабря 2016 года по учетным группам 6, 7, и 8, установленным в положении о формировании страховых резервов, действующем на 31 декабря 2016 года, увеличенной на долю начисленной премии по договорам, которые не должны быть отнесены к учетной группе 14, в общем размере начисленной премии по учетной группе 18, установленной в положении о формировании страховых резервов, действующем на 31 декабря 2016 года, за период 2014 - 2016 года, умноженной на размер стабилизационного резерва на 31 декабря 2016 года по учетной группе 18, установленной в положении о формировании страховых резервов, действующем на 31 декабря 2016 года.

Величина стабилизационного резерва по учетной группе 9 считается равной величине стабилизационного резерва на 31 декабря 2016 года, сформированного по договорам сельскохозяйственного страхования, осуществляемого с государственной поддержкой.

Величина стабилизационного резерва по учетной группе 10 на 31 декабря 2016 года считается равной суммарной величине стабилизационных резервов по учетным группам 9 и 11, установленным в положении о формировании страховых резервов, действующем на 31 декабря 2016 года, увеличенной на долю начисленной премии по договорам, которые не должны быть отнесены к учетной группе 9, в общем размере начисленной премии по учетной группе 10, установленной в положении о формировании страховых резервов, действующем на 31 декабря 2016 года, за период 2014 - 2016 года, умноженной на величину стабилизационного резерва на 31 декабря 2016 года по учетной группе 10, установленной в положении о формировании страховых резервов, действующем на 31 декабря 2016 года. Величина стабилизационного резерва по учетной группе 11 считается равной величине стабилизационного резерва на 31 декабря 2016 года по учетной группе 15.1, установленной в положении о формировании страховых резервов, действующем на 31 декабря 2016 года.

Величина стабилизационного резерва по учетной группе 12 равна доле начисленной премии по договорам, которые должны быть отнесены к учетной группе 12, в общем размере начисленной премии по учетной группе 17, установленной в положении о формировании страховых резервов, действующем на 31 декабря 2016 года, за период 2014 - 2016 года, умноженной на размер стабилизационного резерва на 31 декабря 2016 года по учетной группе 17, установленной в положении о формировании страховых резервов, действующем на 31 декабря 2016 года.

Величина стабилизационного резерва по учетной группе 13 равна доле начисленной премии по договорам, которые должны быть отнесены к учетной группе 13, в общем размере начисленной премии по учетной группе 17, установленной в положении о формировании страховых резервов, действующем на 31 декабря 2016 года, за период 2014 - 2016 года, умноженной на величину стабилизационного резерва на 31 декабря 2016 года по учетной группе 17, установленной в положении о формировании страховых резервов, действующем на 31 декабря 2016 года.

Величина стабилизационного резерва по учетной группе 14 считается равной суммарной величине стабилизационных резервов на 31 декабря 2016 года по учетным группам 15 и 16, установленным в положении о формировании страховых резервов, действующем на 31 декабря 2016 года, увеличенной на долю начисленной премии по договорам, которые не должны быть отнесены к учетной группе 8, в общем размере начисленной премии по учетной группе 18, установленной в положении о формировании страховых резервов, действующем на 31 декабря 2016 года, за период 2014 - 2016 года, умноженной на величину стабилизационного резерва на 31 декабря 2016 года по учетной группе 18, установленной в положении о формировании страховых резервов, действующем на 31 декабря 2016 года, и на долю начисленной премии по договорам, которые не должны быть отнесены к учетной группе 5, в общем размере начисленной премии по учетной группе 14, установленной в положении о формировании страховых резервов, действующем на 31 декабря 2016 года, за период 2014 - 2016 года, умноженной на величину стабилизационного резерва на 31 декабря 2016 года по учетной группе 14, установленной в положении о формировании страховых резервов, действующем на 31 декабря 2016 года.

Величина стабилизационного резерва по учетной группе 15 считается равной величине стабилизационного резерва на 31 декабря 2016 года по учетной группе 12, установленной в положении о формировании страховых резервов, действующем на 31 декабря 2016 года.

Величина стабилизационного резерва по учетной группе 16 считается равной суммарной величине стабилизационных резервов на 31 декабря 2016 года по учетным группам 3 и 4, установленным в положении о формировании страховых резервов, действующем на 31 декабря 2016 года.

Величина стабилизационного резерва по учетной группе 17 считается равной величине стабилизационного резерва на 31 декабря 2016 года по учетной группе 19, установленной в положении о формировании страховых резервов, действующем на 31 декабря 2016 года.

Величина резерва для компенсации расходов по обязательному страхованию гражданской ответственности владельцев транспортных средств на 31 декабря 2016 года считается равной величине резерва для компенсации расходов по обязательному страхованию гражданской ответственности владельцев транспортных средств по учетной группе 13.1, установленной в положении о формировании страховых резервов, действующем на 31 декабря 2016 года.