Здания и сооружения. Правила обследования и мониторинга технического состояния. ГОСТ 31937-2011

(утв. Приказом Росстандарта от 27.12.2012 N 1984-СТ)
Редакция от 27.12.2012 — Документ не действует

МЕЖГОСУДАРСТВЕННЫЙ СТАНДАРТ

ЗДАНИЯ И СООРУЖЕНИЯ

ПРАВИЛА ОБСЛЕДОВАНИЯ И МОНИТОРИНГА ТЕХНИЧЕСКОГО СОСТОЯНИЯ

Buildings and constructions. Rules of inspection and monitoring of the technical condition

ГОСТ 31937-2011

Дата введения
1 января 2014 года

Предисловие

Цели, основные принципы и основной порядок проведения работ по межгосударственной стандартизации в строительстве установлены ГОСТ 1.0-92 "Межгосударственная система стандартизации. Основные положения" и ГОСТ 1.2-2009 "Межгосударственная система стандартизации. Стандарты межгосударственные. Правила и рекомендации по межгосударственной стандартизации. Порядок разработки, принятия, применения, обновления и отмены".

Сведения о стандарте

1. Разработан Государственным унитарным предприятием г. Москвы "Московский научно-исследовательский и проектный институт типологии, экспериментального проектирования" (ГУП "МНИИТЭП") при участии Государственного унитарного предприятия г. Москвы "Научно-исследовательский институт московского строительства" (ГУП "НИИМосстрой"), Научно-производственного объединения "Современные диагностические системы" (НПО СОДИС), Открытого акционерного общества "НИЦ "Строительство" - Научно-исследовательский, проектно-конструкторский и технологический институт бетона и железобетона им. А.А. Гвоздева (НИИЖБ им. А.А. Гвоздева), Открытого акционерного общества "НИЦ "Строительство" - Научно-исследовательский, проектно-изыскательский и конструкторско-технологический институт оснований и подземных сооружений им. Н.М. Герсеванова (НИИОСП им. Н.М. Герсеванова), Открытого акционерного общества "НИЦ "Строительство" - Центральный научно-исследовательский институт строительных конструкций им. В.А. Кучеренко, Открытого акционерного общества "ЦНИИПромзданий" (ОАО "ЦНИИПромзданий"), Открытого акционерного общества со 100% государственным капиталом "Конструкторско-технологическое бюро бетона и железобетона" (ОАО "КТБ ЖБ"), Федерального государственного бюджетного учреждения науки "Институт проблем комплексного освоения недр Российской академии наук" (ИПКОН РАН), Автономной некоммерческой организации "Всемирная академия наук комплексной безопасности" (ВАНКБ).

2. Внесен Техническим комитетом по стандартизации ТК 465 "Строительство".

3. Принят Межгосударственной научно-технической комиссией по стандартизации, техническому нормированию и сертификации в строительстве (Протокол N 39 от 8 декабря 2011 г.).

За принятие стандарта проголосовали:

Краткое наименование страны по МК (ИСО 3166) 004-97 Код страны по МК (ИСО 3166) 004-97 Сокращенное наименование органа государственного управления строительством
Азербайджан AZ Госстрой
Армения AM Министерство градостроительства
Казахстан KZ Агентство по делам строительства и жилищно-коммунального хозяйства
Киргизия KG Госстрой
Молдова MD Министерство строительства и регионального развития
Российская Федерация RU Министерство регионального развития
Таджикистан TJ Агентство по строительству и архитектуре при Правительстве
Узбекистан UZ Госархитектстрой
Украина UA Министерство регионального развития, строительства и жилищно-коммунального хозяйства

4. Введен в действие Приказом Федерального агентства по техническому регулированию и метрологии от 27 декабря 2012 г. N 1984-ст в качестве национального стандарта Российской Федерации с 1 января 2014 г.

5. Введен впервые.

Информация об изменениях к настоящему стандарту публикуется в ежегодном информационном указателе "Национальные стандарты", а текст изменений и поправок - в ежемесячном информационном указателе "Национальные стандарты". В случае пересмотра (замены) или отмены настоящего стандарта соответствующее уведомление будет опубликовано в ежемесячном информационном указателе "Национальные стандарты". Соответствующая информация, уведомление и тексты размещаются также в информационной системе общего пользования - на официальном сайте Федерального агентства по техническому регулированию и метрологии в сети Интернет.

1. Область применения

Настоящий стандарт является нормативной основой для контроля степени механической безопасности и осуществления проектных работ по повышению степени механической безопасности зданий и сооружений. Настоящий стандарт регламентирует требования к работам и их составу по получению информации, необходимой для контроля и повышения степени механической безопасности зданий и сооружений.

Настоящий стандарт распространяется на проведение работ по:

- комплексному обследованию технического состояния зданий или сооружений для проектирования их реконструкции или капитального ремонта;

- обследованию технического состояния зданий и сооружений для оценки возможности их дальнейшей безаварийной эксплуатации или необходимости их восстановления и усиления конструкций;

- общему мониторингу технического состояния зданий и сооружений для выявления объектов, конструкции которых изменили свое напряженно-деформированное состояние и требуют обследования технического состояния;

- мониторингу технического состояния зданий и сооружений, попадающих в зону влияния строек и природно-техногенных воздействий, для обеспечения безопасной эксплуатации этих зданий и сооружений;

- мониторингу технического состояния зданий и сооружений, находящихся в ограниченно работоспособном или аварийном состоянии, для оценки их текущего технического состояния и проведения мероприятий по устранению аварийного состояния;

- мониторингу технического состояния уникальных, в том числе высотных и большепролетных, зданий и сооружений для контроля состояния несущих конструкций и предотвращения катастроф, связанных с их обрушением.

Настоящий стандарт не устанавливает требований к проектированию мероприятий по устранению выявленных недостатков в грунтовых массивах, конструкциях, их элементах и соединениях, а также к проектированию мероприятий по восстановлению, усилению и капитальному ремонту объекта.

Требования настоящего стандарта не распространяются на другие виды обследования и мониторинга технического состояния, а также на транспортные, гидротехнические и мелиоративные сооружения, магистральные трубопроводы, подземные сооружения и объекты, на которых ведутся горные работы и работы в подземных условиях, а также на работы, связанные с судебно-строительной экспертизой.

2. Нормативные ссылки

В настоящем стандарте использованы нормативные ссылки на следующие межгосударственные стандарты:

ГОСТ 12.1.012-2004. Система стандартов безопасности труда. Вибрационная безопасность. Общие требования

ГОСТ 21.609-83. Система проектной документации в строительстве. Газоснабжение. Внутренние устройства. Рабочие чертежи

ГОСТ 21.610-85. Система проектной документации в строительстве. Газоснабжение. Наружные газопроводы. Рабочие чертежи

ГОСТ 1497-84. Металлы. Методы испытаний на растяжение

ГОСТ 3242-79. Соединения сварные. Методы контроля качества

ГОСТ 3262-75. Трубы стальные водогазопроводные. Технические условия

ГОСТ 5802-86. Растворы строительные. Методы испытаний

ГОСТ 7076-99. Материалы и изделия строительные. Метод определения теплопроводности и термического сопротивления при стационарном тепловом режиме

ГОСТ 7564-97. Прокат. Общие правила отбора проб, заготовок и образцов для механических и технологических испытаний

ГОСТ 8462-85. Материалы стеновые. Методы определения пределов прочности при сжатии и изгибе

ГОСТ 12071-2000. Грунты. Отбор, упаковка, транспортирование и хранение образцов

ГОСТ 16483.3-84. Древесина. Методы определения предела прочности при статическом изгибе

ГОСТ 16483.7-71. Древесина. Методы определения влажности

ГОСТ 16483.10-73. Древесина. Метод определения предела прочности при сжатии вдоль волокон

ГОСТ 16483.18-72. Древесина. Метод определения числа годичных слоев в 1 см и содержания поздней древесины в годичном слое

ГОСТ 17177-94. Материалы и изделия строительные теплоизоляционные. Методы испытаний

ГОСТ 17624-87. Бетоны. Ультразвуковой метод определения прочности

ГОСТ 20444-85. Шум. Транспортные потоки. Методы измерения шумовой характеристики

ГОСТ 21718-84. Материалы строительные. Диэлькометрический метод измерения влажности

ГОСТ 22536.0-87. Сталь углеродистая и чугун нелегированный. Общие требования к методам анализа

ГОСТ 22690-88. Бетоны. Определение прочности механическими методами неразрушающего контроля

ГОСТ 23337-78. Шум. Методы измерения шума на селитебной территории и в помещениях жилых и общественных зданий

ГОСТ 24816-81. Материалы строительные. Метод определения сорбционной влажности

ГОСТ 24846-81. Грунты. Методы измерения деформаций оснований зданий и сооружений

ГОСТ 25100-95. Грунты. Классификация

ГОСТ 25380-82. Здания и сооружения. Метод измерения плотности тепловых потоков, проходящих через ограждающие конструкции

ГОСТ 25898-83. Материалы и изделия строительные. Методы определения сопротивления паропроницанию

ГОСТ 26254-84. Здания и сооружения. Методы определения сопротивления теплопередаче ограждающих конструкций

ГОСТ 26629-85. Здания и сооружения. Метод тепловизионного контроля качества теплоизоляции ограждающих конструкций

ГОСТ 27296-87. Защита от шума в строительстве. Звукоизоляция ограждающих конструкций. Методы измерения

ГОСТ 27296-87 отменен. Взамен него с 01.01.2014 введен в действие ГОСТ 27296-2012.

ГОСТ 30256-94. Материалы и изделия строительные. Метод определения теплопроводности цилиндрическим зондом

ГОСТ 30290-94. Материалы и изделия строительные. Метод определения теплопроводности поверхностным преобразователем

ГОСТ 30416-96. Грунты. Лабораторные испытания. Общие положения

ГОСТ 31166-2003. Конструкции ограждающие зданий и сооружений. Метод калориметрического определения коэффициента теплопередачи.

Примечание. При пользовании настоящим стандартом целесообразно проверить действие ссылочных стандартов в информационной системе общего пользования - на официальном сайте Федерального агентства по техническому регулированию и метрологии в сети Интернет или по ежегодному информационному указателю "Национальные стандарты", который опубликован по состоянию на 1 января текущего года, и по выпускам ежемесячного информационного указателя "Национальные стандарты" за текущий год. Если ссылочный стандарт заменен (изменен), то при пользовании настоящим стандартом следует руководствоваться заменяющим (измененным) стандартом. Если ссылочный стандарт отменен без замены, то положение, в котором дана ссылка на него, применяется в части, не затрагивающей эту ссылку.

3. Термины и определения

В настоящем стандарте применены следующие термины с соответствующими определениями:

3.1. Безопасность эксплуатации здания (сооружения): комплексное свойство объекта противостоять его переходу в аварийное состояние, определяемое: проектным решением и степенью его реального воплощения при строительстве; текущим остаточным ресурсом и техническим состоянием объекта; степенью изменения объекта (старение материала, перестройки, перепланировки, пристройки, реконструкции, капитальный ремонт и т.п.) и окружающей среды как природного, так и техногенного характера; совокупностью антитеррористических мероприятий и степенью их реализации; нормативами по эксплуатации и степенью их реального осуществления.

3.2. Механическая безопасность здания (сооружения): состояние строительных конструкций и основания здания или сооружения, при котором отсутствует недопустимый риск, связанный с причинением вреда жизни или здоровью граждан, имуществу физических или юридических лиц, государственному или муниципальному имуществу, окружающей среде, жизни и здоровью животных и растений вследствие разрушения или потери устойчивости здания, сооружения или их части.

3.3. Комплексное обследование технического состояния здания (сооружения): комплекс мероприятий по определению и оценке фактических значений контролируемых параметров грунтов основания, строительных конструкций, инженерного обеспечения (оборудования, трубопроводов, электрических сетей и др.), характеризующих работоспособность объекта обследования и определяющих возможность его дальнейшей эксплуатации, реконструкции или необходимость восстановления, усиления, ремонта, и включающий в себя обследование технического состояния здания (сооружения), теплотехнических и акустических свойств конструкций, систем инженерного обеспечения объекта, за исключением технологического оборудования.

3.4. Обследование технического состояния здания (сооружения): комплекс мероприятий по определению и оценке фактических значений контролируемых параметров, характеризующих работоспособность объекта обследования и определяющих возможность его дальнейшей эксплуатации, реконструкции или необходимость восстановления, усиления, ремонта, и включающий в себя обследование грунтов основания и строительных конструкций на предмет выявления изменения свойств грунтов, деформационных повреждений, дефектов несущих конструкций и определения их фактической несущей способности.

3.5. Специализированная организация: физическое или юридическое лицо, уполномоченное действующим законодательством на проведение работ по обследованиям и мониторингу зданий и сооружений.

3.6. Категория технического состояния: степень эксплуатационной пригодности несущей строительной конструкции или здания и сооружения в целом, а также грунтов их основания, установленная в зависимости от доли снижения несущей способности и эксплуатационных характеристик.

3.7. Критерий оценки технического состояния: установленное проектом или нормативным документом количественное или качественное значение параметра, характеризующего деформативность, несущую способность и другие нормируемые характеристики строительной конструкции и грунтов основания.

3.8. Оценка технического состояния: установление степени повреждения и категории технического состояния строительных конструкций или зданий и сооружений в целом, включая состояние грунтов основания, на основе сопоставления фактических значений количественно оцениваемых признаков со значениями этих же признаков, установленных проектом или нормативным документом.

3.9. Поверочный расчет: расчет существующей конструкции и (или) грунтов основания по действующим нормам проектирования с введением в расчет полученных в результате обследования или по проектной и исполнительной документации: геометрических параметров конструкций, фактической прочности строительных материалов и грунтов основания, действующих нагрузок, уточненной расчетной схемы с учетом имеющихся дефектов и повреждений.

3.10. Нормативное техническое состояние: категория технического состояния, при котором количественные и качественные значения параметров всех критериев оценки технического состояния строительных конструкций зданий и сооружений, включая состояние грунтов основания, соответствуют установленным в проектной документации значениям с учетом пределов их изменения.

3.11. Работоспособное техническое состояние: категория технического состояния, при которой некоторые из числа оцениваемых контролируемых параметров не отвечают требованиям проекта или норм, но имеющиеся нарушения требований в конкретных условиях эксплуатации не приводят к нарушению работоспособности, и необходимая несущая способность конструкций и грунтов основания с учетом влияния имеющихся дефектов и повреждений обеспечивается.

3.12. Ограниченно работоспособное техническое состояние: категория технического состояния строительной конструкции или здания и сооружения в целом, включая состояние грунтов основания, при которой имеются крены, дефекты и повреждения, приведшие к снижению несущей способности, но отсутствует опасность внезапного разрушения, потери устойчивости или опрокидывания, и функционирование конструкций и эксплуатация здания или сооружения возможны либо при контроле (мониторинге) технического состояния, либо при проведении необходимых мероприятий по восстановлению или усилению конструкций и (или) грунтов основания и последующем мониторинге технического состояния (при необходимости).

3.13. Аварийное состояние: категория технического состояния строительной конструкции или здания и сооружения в целом, включая состояние грунтов основания, характеризующаяся повреждениями и деформациями, свидетельствующими об исчерпании несущей способности и опасности обрушения и (или) характеризующаяся кренами, которые могут вызвать потерю устойчивости объекта.

3.14. Общий мониторинг технического состояния зданий (сооружений): система наблюдения и контроля, проводимая по определенной программе, утверждаемой заказчиком, для выявления объектов, на которых произошли значительные изменения напряженно-деформированного состояния несущих конструкций или крена и для которых необходимо обследование их технического состояния (изменения напряженно-деформированного состояния характеризуются изменением имеющихся и возникновением новых деформаций или определяются путем инструментальных измерений).

3.15. Мониторинг технического состояния зданий (сооружений), попадающих в зону влияния строек и природно-техногенных воздействий: система наблюдения и контроля, проводимая по определенной программе на объектах, попадающих в зону влияния строек и природно-техногенных воздействий, для контроля их технического состояния и своевременного принятия мер по устранению возникающих негативных факторов, ведущих к ухудшению этого состояния.

3.16. Мониторинг технического состояния зданий (сооружений), находящихся в ограниченно работоспособном или аварийном состоянии: система наблюдения и контроля, проводимая по определенной программе, для отслеживания степени и скорости изменения технического состояния объекта и принятия в случае необходимости экстренных мер по предотвращению его обрушения или опрокидывания, действующая до момента приведения объекта в работоспособное техническое состояние.

3.17. Мониторинг технического состояния уникальных зданий (сооружений): система наблюдения и контроля, проводимая по определенной программе для обеспечения безопасного функционирования уникальных зданий или сооружений за счет своевременного обнаружения на ранней стадии негативного изменения напряженно-деформированного состояния конструкций и грунтов оснований или крена, которые могут повлечь за собой переход объектов в ограниченно работоспособное или в аварийное состояние.

3.18. Уникальное здание (сооружение): объект капитального строительства, в проектной документации которого предусмотрена хотя бы одна из следующих характеристик: высота более 100 м, пролеты более 100 м, наличие консоли более 20 м, заглубление подземной части (полностью или частично) ниже планировочной отметки более чем на 15 м, с пролетом более 50 м или со строительным объемом более 100 тыс. м3 и с одновременным пребыванием более 500 человек.

3.19. Текущее техническое состояние зданий (сооружений): техническое состояние зданий и сооружений на момент их обследования или проводимого этапа мониторинга.

3.20. Динамические параметры зданий (сооружений): параметры зданий и сооружений, характеризующие их динамические свойства, проявляющиеся при динамических нагрузках, и включающие в себя периоды и декременты собственных колебаний основного тона и обертонов, передаточные функции объектов, их частей и элементов и др.

3.21. Текущие динамические параметры зданий (сооружений): динамические параметры зданий и сооружений на момент их обследования или проводимого этапа мониторинга.

3.22. Восстановление: комплекс мероприятий, обеспечивающих доведение эксплуатационных качеств конструкций, пришедших в ограниченно работоспособное состояние, до уровня их первоначального состояния, определяемого соответствующими требованиями нормативных документов на момент проектирования объекта.

3.23. Усиление: комплекс мероприятий, обеспечивающих повышение несущей способности и эксплуатационных свойств строительной конструкции или здания и сооружения в целом, включая грунты основания, по сравнению с фактическим состоянием или проектными показателями.

3.24. Моральный износ здания: постепенное (во времени) отклонение основных эксплуатационных показателей от современного уровня технических требований эксплуатации зданий и сооружений.

3.25. Физический износ здания: ухудшение технических и связанных с ними эксплуатационных показателей здания, вызванное объективными причинами.

3.26. Система мониторинга технического состояния несущих конструкций: совокупность технических и программных средств, позволяющая осуществлять сбор и обработку информации о различных параметрах строительных конструкций (геодезические, динамические, деформационные и др.) в целях оценки технического состояния зданий и сооружений.

3.27. Система мониторинга инженерно-технического обеспечения: совокупность технических и программных средств, позволяющая осуществлять сбор и обработку информации о различных параметрах работы системы инженерно-технического обеспечения здания (сооружения) в целях контроля возникновения в ней дестабилизирующих факторов и передачи сообщений о возникновении или прогнозе аварийных ситуаций в единую систему оперативно-диспетчерского управления города.

4. Общие правила проведения обследования и мониторинга технического состояния зданий и сооружений

4.1. Обследование и мониторинг технического состояния зданий и сооружений проводят силами специализированных организаций, оснащенных современной приборной базой и имеющих в своем составе высококвалифицированных и опытных специалистов.

Требования к специализированным организациям, проводящим обследование и мониторинг технического состояния зданий и сооружений, определяются органом исполнительной власти, уполномоченным на ведение государственного строительного надзора.

4.2. Обследование и мониторинг технического состояния зданий и сооружений проводят в соответствии с предварительно разработанными программами.

4.3. Первое обследование технического состояния зданий и сооружений проводится не позднее чем через два года после их ввода в эксплуатацию. В дальнейшем обследование технического состояния зданий и сооружений проводится не реже одного раза в 10 лет и не реже одного раза в пять лет для зданий и сооружений или их отдельных элементов, работающих в неблагоприятных условиях (агрессивные среды, вибрации, повышенная влажность, сейсмичность района 7 баллов и более и др.). Для уникальных зданий и сооружений устанавливается постоянный режим мониторинга.

4.4. Обследование и мониторинг технического состояния зданий и сооружений проводят также:

- по истечении нормативных сроков эксплуатации зданий и сооружений;

- при обнаружении значительных дефектов, повреждений и деформаций в процессе технического обслуживания, осуществляемого собственником здания (сооружения);

- по результатам последствий пожаров, стихийных бедствий, аварий, связанных с разрушением здания (сооружения);

- по инициативе собственника объекта;

- при изменении технологического назначения здания (сооружения);

- по предписанию органов, уполномоченных на ведение государственного строительного надзора.

4.5. Результаты обследования и мониторинга технического состояния зданий и сооружений в виде соответствующих заключений должны содержать достаточные данные для принятия обоснованного решения по реализации целей проведения обследования или мониторинга.

4.6. По отношению к методикам измерений, средствам испытаний, измерений и контроля, применяемым при обследовании и мониторинге технического состояния строительных объектов, заранее планируют и своевременно выполняют мероприятия по метрологическому обеспечению, предусмотренные действующими законами и другими нормативными документами по вопросам технического регулирования, обеспечения единства измерений и т.п., с учетом назначения объектов.

4.7. При выполнении работ по обследованию и мониторингу технического состояния объектов соблюдают требования техники безопасности в соответствии с [1] - [4], а также действующими нормативными документами.

4.8. При обнаружении во время проведения работ повреждений конструкций, которые могут привести к резкому снижению их несущей способности, обрушению отдельных конструкций или серьезному нарушению нормальной работы оборудования, кренам, способным привести к потере устойчивости здания или сооружения, немедленно информируют о сложившейся ситуации, в том числе в письменном виде, собственника объекта, эксплуатирующую организацию, местные органы исполнительной власти и органы, уполномоченные на ведение государственного строительного надзора.

4.9. Заключения по итогам проведенного обследования технического состояния зданий и сооружений или этапа их мониторинга подписывают непосредственно исполнители работ, руководители их подразделений и утверждают руководители организаций, проводивших обследование или этап мониторинга.

5. Обследование технического состояния зданий и сооружений

5.1. Основные положения

5.1.1. Цель комплексного обследования технического состояния здания (сооружения) заключается в определении действительного технического состояния здания (сооружения) и его элементов, получении количественной оценки фактических показателей качества конструкций (прочности, сопротивления теплопередаче и др.) с учетом изменений, происходящих во времени, для установления состава и объема работ по капитальному ремонту или реконструкции.

При комплексном обследовании технического состояния здания и сооружения получаемая информация должна быть достаточной для проведения вариантного проектирования реконструкции или капитального ремонта объекта.

5.1.2. При обследовании технического состояния здания и сооружения получаемая информация должна быть достаточной для принятия обоснованного решения о возможности его дальнейшей безаварийной эксплуатации (случай нормативного и работоспособного технического состояния).

В случае ограниченно работоспособного и аварийного состояния здания и сооружения получаемая информация должна быть достаточной для вариантного проектирования восстановления или усиления конструкций.

5.1.3. При обследовании технического состояния зданий и сооружений в зависимости от задач, поставленных в техническом задании на обследование, объектами исследования являются:

- грунты основания, фундаменты, ростверки и фундаментные балки;

- стены, колонны, столбы;

- перекрытия и покрытия (в том числе балки, арки, фермы стропильные и подстропильные, плиты, прогоны и др.);

- балконы, эркеры, лестницы, подкрановые балки и фермы;

- связевые конструкции, элементы жесткости; стыки и узлы, сопряжения конструкций между собой, способы их соединения и размеры площадок опирания.

5.1.4. Конструктивные части зданий (см. 5.3.5) в своем составе содержат совместно работающие элементы, выполненные из различных материалов, что особенно характерно для зданий старой постройки.

При рассмотрении состояния конструктивных элементов таких частей следует руководствоваться также требованиями соответственно 5.3.1 - 5.3.4.

5.1.5. Оценку категорий технического состояния несущих конструкций, зданий (сооружений), включая грунтовое основание, проводят на основании результатов обследования и поверочных расчетов, которые в зависимости от типа объекта осуществляют в соответствии с [1], [5] - [9]. По этой оценке конструкции, здания и сооружения, включая грунтовое основание, подразделяют на находящиеся:

- в нормативном техническом состоянии;

- в работоспособном состоянии;

- в ограниченно работоспособном состоянии;

- в аварийном состоянии.

Для конструкций, зданий (сооружений), включая грунтовое основание, находящихся в нормативном техническом состоянии и работоспособном состоянии, эксплуатация при фактических нагрузках и воздействиях возможна без ограничений. При этом для конструкций, зданий (сооружений), включая грунтовое основание, находящихся в работоспособном состоянии, может устанавливаться требование более частых периодических обследований в процессе эксплуатации.

При ограниченно работоспособном состоянии конструкций, зданий (сооружений), включая грунтовое основание, контролируют их состояние, проводят мероприятия по восстановлению или усилению конструкций и (или) грунтового основания и последующий мониторинг технического состояния (при необходимости).

Эксплуатация зданий (сооружений) при аварийном состоянии конструкций, включая грунтовое основание, не допускается. Устанавливается обязательный режим мониторинга.

5.1.6. При комплексном обследовании технического состояния зданий (сооружений) объектами обследования являются грунты основания, конструкции и их элементы, технические устройства, оборудование и сети.

5.1.7. Обследование технического состояния зданий (сооружений) должно проводиться в три этапа:

1) подготовка к проведению обследования;

2) предварительное (визуальное) обследование;

3) детальное (инструментальное) обследование.

При сокращении заказчиком объемов обследования, снижающем достоверность заключения о техническом состоянии объекта, заказчик сам несет ответственность за низкую достоверность результата обследования.

5.1.8. Подготовительные работы проводят в целях: ознакомления с объектом обследования, его объемно-планировочным и конструктивным решением, материалами инженерно-геологических изысканий; сбора и анализа проектно-технической документации; составления программы работ с учетом согласованного с заказчиком технического задания.

5.1.9. Результатом проведения подготовительных работ является получение следующих материалов (полнота определяется видом обследования):

- согласованное заказчиком техническое задание на обследование;

- инвентаризационные поэтажные планы и технический паспорт на здание (сооружение);

- акты осмотров здания или сооружения, выполненные персоналом эксплуатирующей организации, в том числе ведомости дефектов;

- акты и отчеты ранее проводившихся обследований здания (сооружения);

- проектная документация на здание (сооружение);

- информация, в том числе проектная, о перестройках, реконструкциях, капитальном ремонте и т.п.;

- геоподоснова, выполненная специализированной организацией;

- материалы инженерно-геологических изысканий за последние пять лет;

- информация о местах расположения вблизи здания (сооружения) засыпанных оврагов, карстовых провалов, зон оползней и других опасных геологических явлений;

- согласованный с заказчиком протокол о порядке доступа к обследуемым конструкциям, инженерному оборудованию и т.п. (при необходимости);

- документация, полученная от компетентных городских органов, о месте и мощности подводки электроэнергии, воды, тепловой энергии, газа и отвода канализации.

5.1.10. На основе полученных материалов проводят следующие действия:

а) устанавливают:

- автора проекта,

- год разработки проекта,

- конструктивную схему здания (сооружения),

- сведения о примененных в проекте конструкциях,

- монтажные схемы сборных элементов, время их изготовления,

- время возведения здания,

- геометрические размеры здания (сооружения), элементов и конструкций,

- расчетную схему,

- проектные нагрузки,

- характеристики материалов (бетона, металла, камня и т.п.), из которых выполнены конструкции,

- сертификаты и паспорта на применение в строительстве зданий изделий и материалов,

- характеристики грунтового основания,

- имевшие место замены и отклонения от проекта,

- характер внешних воздействий на конструкции,

- данные об окружающей среде,

- места и мощность подвода электроэнергии, воды, тепловой энергии, газа и отвода канализации,

- проявившиеся при эксплуатации дефекты, повреждения и т.п.,

- моральный износ объекта, связанный с дефектами планировки и несоответствием конструкций современным нормативным требованиям (см. Приложение А);

б) составляют программу, в которой указывают:

- перечень подлежащих обследованию строительных конструкций и их элементов,

- перечень подлежащего обследованию инженерного оборудования, электрических сетей и средств связи,

- места и методы инструментальных измерений и испытаний,

- места вскрытия и отбора проб материалов для исследования образцов в лабораторных условиях,

- необходимость проведения инженерно-геологических изысканий,

- перечень необходимых поверочных расчетов и т.п.

5.1.11. Предварительное (визуальное) обследование проводят в целях предварительной оценки технического состояния строительных конструкций и инженерного оборудования, электрических сетей и средств связи (при необходимости) по внешним признакам, определения необходимости в проведении детального (инструментального) обследования и уточнения программы работ. При этом проводят сплошное визуальное обследование конструкций здания, инженерного оборудования, электрических сетей и средств связи (в зависимости от типа обследования технического состояния) и выявление дефектов и повреждений по внешним признакам с необходимыми измерениями и их фиксацией.

5.1.12. Результатом проведения предварительного (визуального) обследования являются:

- схемы и ведомости дефектов и повреждений с фиксацией их мест и характера;

- описания, фотографии дефектных участков;

- результаты проверки наличия характерных деформаций здания (сооружения) и его отдельных строительных конструкций (прогибы, крены, выгибы, перекосы, разломы и т.п.);

- установление аварийных участков (при наличии);

- уточненная конструктивная схема здания (сооружения);

- выявленные несущие конструкции по этажам и их расположение;

- уточненная схема мест выработок, вскрытий, зондирования конструкций;

- особенности близлежащих участков территории, вертикальной планировки, организации отвода поверхностных вод;

- оценка расположения здания (сооружения) в застройке с точки зрения подпора в дымовых, газовых, вентиляционных каналах;

- предварительная оценка технического состояния строительных конструкций, инженерного оборудования, электрических сетей и средств связи (при необходимости), определяемая по степени повреждений и характерным признакам дефектов.

5.1.13. Зафиксированная картина дефектов и повреждений для различных типов строительных конструкций позволяет выявить причины их происхождения и может быть достаточной для оценки технического состояния конструкций. Если результатов визуального обследования для решения поставленных задач недостаточно, проводят детальное (инструментальное) обследование.

Если при визуальном обследовании обнаружены дефекты и повреждения, снижающие прочность, устойчивость и жесткость несущих конструкций здания (сооружения) (колонн, балок, ферм, арок, плит покрытий и перекрытий и др.), переходят к детальному (инструментальному) обследованию.

5.1.14. При обнаружении характерных трещин, перекосов частей здания (сооружения), разломов стен и прочих повреждений и деформаций, свидетельствующих о неудовлетворительном состоянии грунтового основания, в детальное (инструментальное) обследование включают инженерно-геологические исследования, по результатам которых может потребоваться не только восстановление и ремонт строительных конструкций, но и усиление основания.

При комплексном обследовании технического состояния здания (сооружения) в детальное (инструментальное) обследование инженерно-геологические исследования включают всегда.

5.1.15. Детальное (инструментальное) обследование технического состояния здания (сооружения) включает в себя:

- измерение необходимых для выполнения целей обследования геометрических параметров зданий (сооружений), конструкций, их элементов и узлов;

- инженерно-геологические изыскания (при необходимости);

- инструментальное определение параметров дефектов и повреждений, в том числе динамических параметров;

- определение фактических характеристик материалов основных несущих конструкций и их элементов;

- измерение параметров эксплуатационной среды, присущей технологическому процессу в здании и сооружении;

- определение реальных эксплуатационных нагрузок и воздействий, воспринимаемых обследуемыми конструкциями с учетом влияния деформаций грунтов основания;

- определение реальной расчетной схемы здания или сооружения и его отдельных конструкций;

- определение расчетных усилий в несущих конструкциях, воспринимающих эксплуатационные нагрузки;

- поверочный расчет несущей способности конструкций по результатам обследования;

- анализ причин появления дефектов и повреждений в конструкциях;

- составление итогового документа (заключения) с выводами по результатам обследования.

5.1.16. Заключение по итогам обследования технического состояния объекта (см. Приложение Б) включает в себя:

- оценку технического состояния (категорию технического состояния) в соответствии с [2];

- материалы, обосновывающие принятую категорию технического состояния объекта;

- обоснование наиболее вероятных причин появления дефектов и повреждений в конструкциях (при наличии);

- задание на проектирование мероприятий по восстановлению или усилению конструкций (если необходимо).

5.1.17. Детальное (инструментальное) комплексное обследование технического состояния здания (сооружения) включает в себя проведение работ по 5.1.15, 5.4 - 5.7.

5.1.18. Заключение по итогам комплексного обследования технического состояния объекта (см. Приложение В) включает в себя:

- оценку технического состояния (категорию технического состояния);

- результаты обследования, обосновывающие принятую категорию технического состояния объекта;

- оценку состояния инженерных систем, электрических сетей и средств связи, звукоизолирующих свойств ограждающих конструкций, шума инженерного оборудования, вибраций и внешнего шума, теплотехнических показателей наружных ограждающих конструкций;

- результаты обследования, обосновывающие принятые оценки;

- обоснование наиболее вероятных причин появления дефектов и повреждений в конструкциях, инженерных системах, электрических сетях и средствах связи, снижения звукоизолирующих свойств ограждающих конструкций, теплоизолирующих свойств наружных ограждающих конструкций (при наличии);

- задание на проектирование мероприятий по восстановлению, усилению или ремонту конструкций, оборудования, сетей (при необходимости).

5.1.19. По результатам обследования технического состояния здания (сооружения) составляют паспорт конкретного здания (сооружения) (см. Приложение Г), если он не был составлен ранее, или проводят уточнение паспорта, если он был составлен ранее.

5.2. Обследование технического состояния оснований и фундаментов

5.2.1. Обследования технического состояния оснований и фундаментов проводят в соответствии с техническим заданием. Состав, объемы, методы и последовательность выполнения работ обосновывают в рабочей программе, входящей в общую программу обследования, с учетом степени изученности и сложности природных условий.

Обследование фундаментов зданий (сооружений), построенных с сохранением вечномерзлого состояния грунтов основания, предпочтительно проводить в зимний период, построенных на оттаивающих и талых грунтах - в летний период года.

5.2.2. В состав работ по обследованию грунтов оснований и фундаментов зданий (сооружений) включают:

- изучение имеющихся материалов по инженерно-геологическим исследованиям, проводившимся на данном или на соседних участках;

- изучение планировки и благоустройства участка;

- изучение материалов, относящихся к заложению фундаментов исследуемых зданий и сооружений;

- проходку шурфов, преимущественно вблизи фундаментов;

- бурение скважин с отбором образцов грунта, проб подземных вод и определением их уровня;

- зондирование грунтов;

- испытания грунтов статическими нагрузками;

- исследования грунтов геофизическими методами;

- лабораторные исследования грунтов оснований и подземных вод;

- обследование состояния искусственных свайных оснований и фундаментов.

5.2.3. При обследовании оснований и фундаментов:

- уточняют инженерно-геологическое строение участка застройки;

- отбирают пробы грунтовых вод для оценки их состава и агрессивности (при необходимости);

- определяют типы фундаментов, их форму в плане, размер, глубину заложения, выявляют выполненные ранее усиления фундаментов и закрепления оснований;

- устанавливают повреждения фундаментов и определяют прочность материалов их конструкций;

- отбирают пробы для лабораторных испытаний материалов фундаментов;

- устанавливают наличие и состояние гидроизоляции.

5.2.4. Расположение и общее число выработок, точек зондирования, необходимость применения геофизических методов, объем и состав физико-механических характеристик грунтов определяют согласно [9] в зависимости от размеров здания или сооружения и сложности инженерно-геологического строения площадки. Для детализации исследования грунтовых условий в местах деформирования зданий и сооружений учитывают также выявленные ранее деформации их конструкций.

5.2.5. В результате обследования грунтов устанавливают соответствие новых данных архивным (при наличии). Выявленные различия в инженерно-геологической и гидрогеологической обстановке и свойствах грунтов используют для выявления причин деформаций и повреждений зданий, разработки прогнозов и учитывают при выборе способов усиления фундаментов или упрочнения основания (при необходимости).

5.2.6. Контрольные шурфы роют в зависимости от местных условий с наружной или внутренней стороны фундаментов. При этом шурфы располагают исходя из следующих требований:

- в каждой секции фундамента - по одному шурфу у каждого вида конструкции в наиболее нагруженном и ненагруженном участках;

- при наличии зеркальных или повторяющихся (по плану и контурам) секций - в одной секции отрываются все шурфы, а в остальных - один-два шурфа в наиболее нагруженных местах;

- в местах, где предполагают установить дополнительные промежуточные опоры, в каждой секции отрывают по одному шурфу;

- дополнительно отрывают для каждого строения два-три шурфа в наиболее нагруженных местах с противоположной стороны стены, там, где имеется выработка.

При наличии деформаций стен и фундаментов шурфы в этих местах роют обязательно, при этом в процессе работы назначают дополнительные шурфы для определения границ слабых грунтов оснований или границ фундаментов, находящихся в неудовлетворительном состоянии.

5.2.7. Глубина шурфов, расположенных около фундаментов, должна превышать глубину заложения подошвы на 0,5 - 1 м.

Длина обнажаемого участка фундамента должна быть достаточной для определения типа и оценки состояния его конструкций.

5.2.8. Оборудование, способы проходки и крепления выработок (скважин) инженерно-геологического назначения выбирают в зависимости от геологических условий и условий подъезда транспорта, наличия коммуникаций, стесненности площадки, свойств грунтов, поперечных размеров шурфов и глубины выработки.

5.2.9. Для исследования грунтов ниже подошвы фундаментов бурят скважину со дна шурфа.

Число разведочных выработок (скважин) устанавливают заданием и программой инженерно-геологических работ.

Глубину заложения выработок назначают исходя из глубины активной зоны основания, конструктивных особенностей здания и сложности геологических условий.

5.2.10. Физико-механические характеристики грунтов определяют по образцам, отбираемым в процессе обследования. Число и размеры образцов грунта должны быть достаточными для проведения комплекса лабораторных испытаний по ГОСТ 30416.

5.2.11. Интервалы определения характеристик по глубине, число частных определений деформационных и прочностных характеристик грунтов должны быть достаточны для вычисления их нормативных и расчетных значений по [10]. Отбор образцов грунта, их упаковка, хранение и транспортирование в соответствии с ГОСТ 12071.

5.2.12. Результаты инженерно-геологических изысканий в соответствии с [10] и [11] должны содержать данные, необходимые для:

- определения свойств грунтов оснований для возможности надстройки дополнительных этажей, устройства подвалов и т.п.;

- выявления причин дефектов и повреждений (см. Приложение Д) и определения мероприятий по усилению оснований, фундаментов, надфундаментных конструкций;

- выбора типа гидроизоляции подземных конструкций, подвальных помещений;

- установления вида и объема водопонижающих мероприятий на площадке.

5.2.13. Материалы инженерно-геологического обследования представляют в виде геолого-литологического разреза основания. Классификацию грунтов проводят в соответствии с ГОСТ 25100. Слои грунтов должны иметь высотные привязки. В процессе проведения обследования ведут рабочий журнал, который должен содержать все условия проходки, атмосферные условия, схемы конструкций фундаментов, размеры и расположения шурфов и т.д.

5.2.14. Ширину подошвы фундамента и глубину его заложения следует определять натурными обмерами. В наиболее нагруженных участках ширину подошвы определяют в двусторонних шурфах, в менее нагруженных - допускается принимать симметричное развитие фундамента по размерам, определенным в одностороннем шурфе. Глубину заложения фундаментов определяют с применением соответствующих средств измерений.

5.2.15. Оценку прочности материалов фундаментов проводят неразрушающими методами или лабораторными испытаниями. Пробы материалов фундаментов для лабораторных испытаний отбирают в случаях, если их прочность является решающей при определении возможности дополнительной нагрузки или при обнаружении разрушения материала фундамента.

5.2.16. При осмотре фундаментов фиксируют:

- трещины в конструкциях (поперечные, продольные, наклонные и др.);

- оголения арматуры;

- вывалы бетона и каменной кладки, каверны, раковины, повреждения защитного слоя, выявленные участки бетона с изменением его цвета;

- повреждения арматуры, закладных деталей, сварных швов (в том числе в результате коррозии);

- схемы опирания конструкций, несоответствие площадок опирания сборных конструкций проектным требованиям и отклонения фактических геометрических размеров от проектных;

- наиболее поврежденные и аварийные участки конструкций фундаментов;

- результаты определения влажности материала фундамента и наличие гидроизоляции.

5.2.17. По результатам визуального обследования по степени повреждения и характерным признакам дефектов дают предварительную оценку технического состояния фундаментов. Если результаты визуального обследования окажутся недостаточными для оценки технического состояния фундаментов, проводят детальное (инструментальное) обследование. В этом случае (при необходимости) разрабатывают программу работ по детальному обследованию.

Основными критериями положительной оценки технического состояния фундаментов при визуальном обследовании являются:

- отсутствие неравномерной осадки, соблюдение ее предельных значений;

- сохранность тела фундаментов;

- надежность антикоррозионной защиты, гидроизоляции и соответствие их условиям эксплуатации.

5.2.18. Детальное (инструментальное) обследование оснований и фундаментов в зависимости от поставленных задач, наличия и полноты проектно-технической документации, характера и степени дефектов и повреждений может быть сплошным (полным) или выборочным.

Сплошное обследование проводят, если:

- отсутствует проектная документация;

- обнаружены дефекты конструкций, снижающие их несущую способность;

- проводится реконструкция здания с увеличением нагрузок (в том числе этажности);

- возобновляется строительство, прерванное на срок более трех лет без мероприятий по консервации;

- в однотипных конструкциях обнаружены неодинаковые свойства материалов и (или) изменения условий эксплуатации под воздействием агрессивных сред или обстоятельств в виде техногенных процессов и пр.

Выборочное обследование проводят:

- при необходимости обследования отдельных конструкций;

- в потенциально опасных местах, там, где из-за недоступности конструкций невозможно проведение сплошного обследования.

5.2.19. При инструментальном обследовании состояния фундаментов определяют:

- прочность и водопроницаемость бетона;

- количество арматуры, ее площадь и профиль;

- толщину защитного слоя бетона;

- степень и глубину коррозии бетона (карбонизация, сульфатизация, проникание хлоридов и т.д.);

- прочность материалов каменной кладки;

- наклоны, перекосы и сдвиги элементов конструкций;

- степень коррозии стальных элементов и сварных швов;

- деформации основания;

- осадки, крены, прогибы и кривизну фундаментов;

- необходимые характеристики грунтов, уровень подземных вод и их химический состав (если эти сведения отсутствуют в инженерно-геологических данных).

5.2.20. При обследовании зданий и сооружений вблизи источников динамических нагрузок, вызывающих колебания прилегающих к ним участков основания, проводят вибрационные обследования.

Вибрационные обследования проводят в целях получения фактических данных об уровнях колебаний грунта и конструкций фундаментов зданий и сооружений при наличии динамических воздействий от:

- оборудования, установленного или планируемого к установке вблизи здания (сооружения);

- проходящего наземного или подземного транспорта вблизи здания (сооружения);

- строительных работ, проводимых вблизи здания (сооружения);

- других источников вибраций, расположенных вблизи здания (сооружения).

5.2.21. По результатам вибрационного обследования фундаментов делают вывод о допустимости имеющихся вибраций для безопасной эксплуатации здания (сооружения).

5.2.22. После окончания шурфования и бурения выработки должны быть тщательно засыпаны с послойным трамбованием и восстановлением покрытия. Во время рытья шурфов и обследования необходимо принимать меры, предотвращающие попадание в шурфы поверхностных вод.

5.3. Обследование технического состояния конструкций зданий

5.3.1. Обследование бетонных и железобетонных конструкций

5.3.1.1. Оценку технического состояния бетонных и железобетонных конструкций по внешним признакам (см. Приложение Е) проводят на основе:

- определения геометрических размеров конструкций и их сечений;

- сопоставления фактических размеров конструкций с проектными размерами;

- соответствия фактической статической схемы работы конструкций принятой при расчете;

- наличия трещин, отколов и разрушений;

- месторасположения, характера трещин и ширины их раскрытия;

- состояния защитных покрытий;

- прогибов и деформаций конструкций;

- признаков нарушения сцепления арматуры с бетоном;

- наличия разрыва арматуры;

- состояния анкеровки продольной и поперечной арматуры;

- степени коррозии бетона и арматуры.

5.3.1.2. Ширину раскрытия трещин в бетоне измеряют в местах максимального их раскрытия и на уровне арматуры растянутой зоны элемента.

Степень раскрытия трещин - в соответствии с [5].

5.3.1.3. Трещины в бетоне анализируют с точки зрения конструктивных особенностей и напряженно-деформированного состояния железобетонной конструкции. Классификация и причины возникновения дефектов и повреждений в железобетонных и фундаментных конструкциях приведены в Приложениях Д и Е.

5.3.1.4. При обследовании конструкций для определения прочности бетона применяют методы неразрушающего контроля и руководствуются требованиями ГОСТ 22690, ГОСТ 17624, [1].

5.3.1.5. Проверку и определение системы армирования железобетонных конструкций (расположение арматурных стержней, их диаметр и класс, толщина защитного слоя бетона) проводят в соответствии с [1].

5.3.1.6. При наличии увлажненных участков и поверхностных высолов на бетоне конструкций определяют размеры этих участков и причину их появления.

5.3.1.7. Для определения степени коррозионного разрушения бетона (степени карбонизации, состава новообразований, структурных нарушений бетона) используют соответствующие физико-химические методы.

5.3.1.8. При оценке технического состояния арматуры и закладных деталей, пораженных коррозией, определяют вид коррозии, участки поражения и источник воздействия.

5.3.1.9. Выявление состояния арматуры элементов железобетонных конструкций проводят удалением на контрольных участках защитного слоя бетона с обнажением рабочей арматуры.

Обнажение рабочей арматуры выполняют в местах наибольшего ее ослабления коррозией, которые выявляют по отслоению защитного слоя бетона и образованию трещин и пятен ржавой окраски, расположенных вдоль стержней арматуры.

5.3.1.10. Степень коррозии арматуры оценивают по следующим признакам: характер коррозии, цвет, плотность продуктов коррозии, площадь пораженной поверхности, глубина коррозионных поражений, площадь остаточного поперечного сечения арматуры.

5.3.1.11. При выявлении участков конструкций с повышенным коррозионным износом, связанным с местным (сосредоточенным) воздействием агрессивных факторов, особое внимание обращают на следующие элементы и узлы конструкций:

- наружные стены помещений, расположенные ниже нулевой отметки;

- балконы и элементы лоджий;

- участки пандусов при въезде в подземные и многоэтажные гаражи;

- несущие конструкции перекрытий над проездами;

- верхние части колонн, находящиеся внутри кирпичных стен;

- низ и базы колонн, расположенные на уровне (низ колонн) или ниже (база колонн) уровня пола, в особенности при мокрой уборке в помещении (гидросмыве);

- участки колонн многоэтажных зданий, проходящие через перекрытие, в особенности при мокрой уборке пыли в помещении;

- участки плит покрытия, расположенные вдоль ендов, у воронок внутреннего водостока, наружного остекления и торцов фонарей, торцов здания;

- участки конструкций, находящиеся в помещениях с повышенной влажностью или в которых возможны протечки;

- опорные узлы стропильных и подстропильных ферм, вблизи которых расположены водоприемные воронки внутреннего водостока;

- верхние пояса ферм в узлах присоединения к ним аэрационных фонарей, стоек ветробойных щитов;

- верхние пояса подстропильных ферм, вдоль которых расположены ендовы кровель;

- опорные узлы ферм, находящиеся внутри кирпичных стен.

5.3.1.12. При обследовании колонн определяют их конструктивные решения, измеряют их сечения и обнаруженные деформации (отклонение от вертикали, выгиб, смещение узлов), фиксируют местоположение, расположение и характер трещин и повреждений.

5.3.1.13. Число колонн для определения прочности бетона принимают в зависимости от целей обследования. При контроле отдельных конструкций расположение, число контролируемых участков и число измерений на контролируемом участке - в соответствии с [2].

5.3.1.14. При обследовании перекрытий устанавливают тип перекрытия (по виду материалов и особенностям конструкции), видимые дефекты и повреждения, особенно состояние отдельных частей перекрытий, подвергавшихся ремонту или усилению, а также действующие на перекрытия нагрузки. Фиксируют картину трещинообразования, длину и ширину раскрытия трещин в несущих элементах и их сопряжениях. Наблюдение за трещинами проводят с помощью контрольных маяков или марок.

5.3.1.15. Прогибы перекрытий определяют методами геометрического и гидростатического нивелирования.

5.3.1.16. При обследовании конструктивных элементов железобетонных перекрытий определяют геометрические размеры этих элементов, способы их сопряжения, расчетные сечения, прочность бетона, толщину защитного слоя бетона, расположение и диаметр рабочих арматурных стержней.

5.3.1.17. Для обследования элементов перекрытий и определения степени их повреждения выполняют вскрытия перекрытий. Общее число мест вскрытий определяют в соответствии с [12] в зависимости от общей площади перекрытий в здании. Вскрытия выполняют в наиболее неблагоприятных зонах (у наружных стен, в санитарных узлах и т.п.). При отсутствии признаков повреждений и деформаций число вскрытий допускается уменьшить, заменив часть вскрытий осмотром труднодоступных мест оптическими приборами (например эндоскопом) через предварительно просверленные отверстия в полах.

5.3.2. Обследование каменных конструкций

5.3.2.1. При обследовании кладки устанавливают конструкцию и материал стен, а также наличие и характер деформаций (трещин, отклонений от вертикали, расслоений и др.).

Для определения конструкции и характеристик материалов стен проводят выборочное контрольное зондирование кладки. Зондирование выполняют с учетом материалов предшествующих обследований и проведенных надстроек и пристроек. При зондировании отбирают пробы материалов из различных слоев конструкции для определения влажности и объемной массы.

Стены в местах исследования очищают от облицовки и штукатурки на площади, достаточной для установления типа кладки, размера и качества кирпича и др.

5.3.2.2. Прочность кирпича и раствора в простенках и сплошных участках стен в наиболее нагруженных сухих местах допускается оценивать с помощью методов неразрушающего контроля. Места с пластинчатой деструкцией кирпича для испытания непригодны.

5.3.2.3. При комплексном обследовании технического состояния здания или сооружения, в случае, если прочность стен является решающей при определении возможности дополнительной нагрузки, прочность материалов кладки камня и раствора устанавливают лабораторными испытаниями в соответствии с ГОСТ 8462 и ГОСТ 5802.

Число образцов для лабораторных испытаний при определении прочности стен зданий принимают: для кирпича: не менее 10, для раствора: не менее 20.

В стенах из слоистых кладок с внутренним бетонным заполнением крупных блоков образцы для лабораторных испытаний отбирают в виде кернов.

5.3.2.4. Установление пустот в кладке, наличия и состояния металлических конструкций и арматуры для определения прочности стен проводят с использованием стандартных методов и приборов или по результатам вскрытия.

5.3.2.5. При обследовании зданий с деформированными стенами предварительно устанавливают причину появления деформаций.

5.3.3. Обследование стальных конструкций

5.3.3.1. Техническое состояние стальных конструкций определяют на основе оценки следующих факторов:

- наличие отклонений фактических размеров поперечных сечений стальных элементов от проектных;

- наличие дефектов и механических повреждений;

- состояние сварных, заклепочных и болтовых соединений;

- степень и характер коррозии элементов и соединений;

- прогибы и деформации;

- прочностные характеристики стали согласно [7];

- наличие отклонений элементов от проектного положения.

5.3.3.2. Определение геометрических параметров элементов конструкций и их сечений проводят непосредственными измерениями.

5.3.3.3. Определение ширины и глубины раскрытия трещин проводят осмотром с использованием лупы или микроскопа. Признаками наличия трещин могут быть подтеки ржавчины, шелушение краски и др.

5.3.3.4. Классификация и причины возникновения дефектов и повреждений в металлических конструкциях представлены в Приложении Ж.

5.3.3.5. При обследовании отдельных стальных конструкций учитывают их вид, особенности и условия эксплуатации. В производственных зданиях особое внимание уделяют стальным покрытиям, колоннам и связям по колоннам, подкрановым конструкциям; в прочих зданиях - состоянию узлов сопряжения главных и второстепенных балок с колоннами, состоянию стоек, связей и других конструкций.

5.3.3.6. При оценке коррозионных повреждений стальных конструкций определяют вид коррозии и ее качественные (плотность, структура, цвет, химический состав и др.) и количественные (площадь, глубина коррозионных язв, значение потери сечения, скорость коррозии и др.) характеристики.

5.3.3.7. Площадь коррозионных поражений с указанием зоны распространения выражают в процентах от площади поверхности конструкции. Толщину элементов, поврежденных коррозией, измеряют не менее чем в трех наиболее поврежденных коррозией сечениях по длине элемента. В каждом сечении проводят не менее трех измерений.

5.3.3.8. Значение потери сечения элемента конструкции выражают в процентах от его начальной толщины, т.е. толщины элемента, не поврежденного коррозией. Для приближенной оценки значения потери сечения измеряют толщину слоя окислов и принимают толщину поврежденного слоя равной одной трети толщины слоя окислов.

5.3.3.9. Обследование сварных швов включает в себя следующие операции:

- очистку от шлака и внешний осмотр в целях обнаружения трещин и других повреждений;

- определение длины шва и размера его катета.

5.3.3.10. Скрытые дефекты в швах определяют в соответствии с ГОСТ 3242.

5.3.3.11. Контроль натяжения болтов проводят тарировочным ключом.

5.3.3.12. Физико-механические и химические характеристики стали конструкций определяют механическими испытаниями образцов, химическим и металлографическим анализом в соответствии с ГОСТ 7564, ГОСТ 1497, ГОСТ 22536.0 при отсутствии сертификатов, недостаточной или неполной информации, приводимой в сертификатах, обнаружении в конструкциях трещин или других дефектов и повреждений, а также если указанная в проекте марка стали не соответствует нормативным требованиям по прочности.

5.3.3.13. В процессе испытаний определяют следующие параметры:

- предел текучести, временное сопротивление, относительное удлинение;

- ударную вязкость стали для конструкций, которым по действующим нормам это необходимо.

5.3.3.14. Образцы для испытаний отбирают из наименее ответственных и наименее нагруженных элементов конструкций.

5.3.4. Обследование деревянных конструкций

5.3.4.1. При обследовании деревянных конструкций проводят:

- определение фактической конструктивной схемы здания (сооружения);

- выявление участков деревянных конструкций с видимыми дефектами или повреждениями, потерей устойчивости и прогибами, раскрытием трещин в деревянных элементах, биологическим, огневым поражениями;

- выявление участков деревянных конструкций с недопустимыми атмосферными, конденсационными и техническими увлажнениями;

- определение схемы и параметров внешних воздействий на деревянные конструкции зданий (сооружений), фактически действующие нагрузки с учетом собственного веса и т.п.;

- определение расчетных схем и геометрических размеров пролетов, сечений, условий опирания и закрепления деревянных конструкций;

- определение состояния узлов сопряжения деревянных элементов;

- определение прочностных и физико-механических характеристик древесины;

- определение температурно-влажностного режима эксплуатации конструкций;

- определение наличия и состояния защитной обработки деревянных конструкций объектов и др.

5.3.4.2. При обследовании деревянных конструкций объектов особое внимание обращают на следующие участки, являющиеся зонами наиболее вероятного биологического поражения или промерзания конструкций:

- узлы опирания деревянных конструкций на фундаменты, каменные стены, стальные и железобетонные колонны;

- участки покрытия чердачного перекрытия в местах расположения слуховых окон, ендов, парапетов, вентиляционных шахт.

5.3.4.3. Конструкции деревянных перегородок определяют внешним осмотром, а также простукиванием, высверливанием, пробивкой отверстий и вскрытием в отдельных местах.

5.3.4.4. Расположение стальных деталей крепления и каркаса перегородок определяют по проекту и уточняют металлоискателем.

5.3.4.5. При обследовании несущих деревянных перегородок обязательно проводят вскрытие верхней обвязки в местах опирания балок перекрытия на каждом этаже.

Кроме того, проводят оценку:

- состояния участков перегородок в местах расположения трубопроводов, санитарно-технических приборов;

- сцепления штукатурки с поверхностью перегородок;

- просадки из-за опирания на конструкцию пола.

Результаты оценки отражают в приложении к техническому заключению.

5.3.4.6. При обследовании деревянных перекрытий:

- разбирают конструкцию пола на площади, обеспечивающей измерение не менее двух балок и заполнений между ними длиной 0,5 - 1,0 м;

- расчищают засыпку, смазку и пазы наката деревянных перекрытий для тщательного осмотра примыкания наката к несущим конструкциям перекрытия;

- определяют качество древесины балок по ГОСТ 16483.3, ГОСТ 16483.7, ГОСТ 16483.10 и материалов заполнения;

- устанавливают границы повреждения древесины;

- определяют сечение и шаг несущих конструкций.

5.3.4.7. На чертежах вскрытий указывают:

- размеры несущих конструкций и площадь их сечения;

- расстояние между несущими конструкциями;

- вид и толщину слоя смазки по накату;

- вид и толщину слоя засыпки;

- участки перекрытий с деформациями, повреждениями, ослаблением сечений, протечками и т.п.

5.3.5. Обследование элементов зданий и сооружений (балконов, эркеров, лоджий, лестниц, кровли, стропил и ферм, чердачных перекрытий)

5.3.5.1. Обследование балконов, эркеров, лоджий проводят осмотром, в ходе которого устанавливают:

- расчетную схему конструкции балкона и материал несущих конструкций;

- основные размеры элементов балкона или карниза (длину, ширину и толщину плит, длину и сечения балок, подвесок, подкосов, бортовых балок, расстояния между несущими балками);

- состояние несущих конструкций (трещины на поверхности плит, прогибы, коррозию стальных балок, арматуры, подвесок, сохранность покрытий и стяжек, уклоны балконных плит и др.);

- состояние опорных балок и подкосов стен под опорными частями эркеров и лоджий, наличие трещин в местах примыкания эркеров к зданию, состояние гидроизоляции;

- состояние раствора в кладке неоштукатуренных карнизов из напуска кирпича в местах выпадения кирпича, наличие трещин в оштукатуренных карнизах;

- состояние стоек, консолей, подкосов, кронштейнов и подвесок, кровли козырьков.

Осмотры проводят с помощью бинокля.

5.3.5.2. Вскрытия проводят для установления сечений несущих элементов и оценки состояния заделки их в стену. Места вскрытий назначают исходя из расчетной схемы работы конструкций балконов.

5.3.5.3. Обследование лестниц проводят осмотром, в ходе которого должны быть установлены:

- особенности конструкции и применяемые материалы;

- состояние участков, подвергавшихся реконструкции, сопряжений элементов, мест заделки несущих конструкций в стены, креплений лестничных решеток;

- деформации несущих конструкций;

- наличие трещин и повреждений лестничных площадок, балок, маршей, ступеней.

Осмотру сверху и снизу подвергают все лестничные марши и площадки в доме.

5.3.5.4. Для установления деформаций и повреждений лестниц из сборных железобетонных элементов выполняют вскрытия в местах заделки лестничных площадок в стены, опор лестничных маршей, для каменных лестниц по металлическим косоурам - в местах заделки в стены балок лестничных площадок.

При наличии бескосоурных висячих каменных лестниц проверяют прочность заделки ступеней в кладку стен.

При осмотре деревянных лестниц по металлическим косоурам и деревянным тетивам проводят вскрытие мест заделки балок в стены и зондирование деревянных конструкций для определения вида и границ повреждения элементов.

5.3.5.5. При обследовании кровель, деревянных стропил и ферм:

- устанавливают тип несущих систем (настилы, обрешетки, прогоны);

- определяют тип кровли, соответствие уклонов крыши материалу кровельного покрытия, состояние кровли и внутренних водостоков, наличие вентиляционных продухов, их соотношение с площадью крыш;

- устанавливают основные деформации системы (прогибы и удлинение пролета балочных покрытий, углы наклона сечений элементов и узлов ферм), смещения податливых соединений (взаимные сдвиги соединяемых элементов, обмятие во врубках и примыканиях), вторичные деформации разрушения и другие повреждения (трещины скалывания, складки сжатия и др.);

- определяют состояние древесины (наличие гнили, жучковых повреждений), наличие гидроизоляции между деревянными и каменными конструкциями.

5.3.5.6. Оценку прочностных качеств древесины в местах разрушения проводят по ГОСТ 16483.18 и отсутствию грибков. Влажность древесины устанавливают по ГОСТ 16483.7.

5.3.5.7. Для определения влажности и проведения механических испытаний отбирают образцы древесины из разрушенных элементов. Число образцов для механических испытаний принимают не менее трех.

5.3.5.8. При обследовании металлических конструкций кровель выявляют степень коррозии и ослабления сечений, а также наличие прогибов.

5.3.5.9. При обследовании железобетонных панелей и настилов чердачных перекрытий проводят оценку размеров обнаруженных трещин и прогибов.

5.3.5.10. При обследовании чердачных перекрытий проверяют толщину слоя, влажность и объемную массу утеплителя (засыпки), наличие и плотность пароизоляции.

5.4. Обследование технического состояния инженерного оборудования

Обследование технического состояния систем инженерного оборудования проводят при комплексном обследовании технического состояния зданий (сооружений).

Обследование инженерного оборудования и его элементов заключается в определении фактического технического состояния систем, выявлении дефектов, повреждений и неисправностей, количественной оценке физического и морального износа, установлении отклонений от проекта.

Оценку технического состояния инженерных систем зданий (сооружений) проводят с учетом средних нормативных сроков службы элементов и инженерных устройств, определенных [13].

Физический износ систем инженерного оборудования определяют в соответствии с [14]. При этом, если в процессе реконструкции или эксплуатации некоторые элементы системы были заменены новыми, то физический износ уточняют расчетом и определяют по формуле

, (1)

где

- физический износ элемента или системы, %;

- физический износ участка элемента или системы, %, определенный по [14];

- размеры (площадь или длина) поврежденного участка, м2 или м;

- размеры всей конструкции, м2 или м;

n - число поврежденных участков.

Физической износ системы определяют как сумму средневзвешенного износа элементов.

Моральный износ систем инженерного оборудования определяют несоответствием его эксплуатационных качеств современным нормативным требованиям или отсутствием какого-либо инженерного оборудования без наличия заменяющего его по функциональному назначению. Количественную оценку морального износа проводят методом определения размеров затрат на устранение износа в процентах от восстановительной стоимости здания.

Показатели морального износа жилых зданий при отсутствии отдельных видов инженерного оборудования без наличия заменяющего его по функциональному назначению приведены в Приложении И.

При детальном обследовании систем отопления, горячего и холодного водоснабжения проводят оценку коррозионного состояния трубопроводов и нагревательных приборов. Коррозионное состояние оценивают по глубине максимального коррозионного поражения стенки металла и по среднему значению сужения сечения труб коррозионно-накипными отложениями в сравнении с новой трубой.

В этом случае образцы отбирают из элементов системы (стояков, подводок к нагревательным приборам, нагревательных приборов). По образцам определяют максимальную глубину коррозионного поражения и значение сужения "живого" сечения. При отборе и транспортировании образцов-вырезок необходимо обеспечить полную сохранность коррозионных отложений в трубах (образцах). На вырезанные образцы составляют паспорта, которые вместе с образцами направляют на лабораторные обследования.

Число стояков, из которых отбирают образцы, должно быть не менее трех. При обследовании системы с замоноличенными стояками образцы для анализа отбирают в местах их присоединения к магистралям в подвале.

Число подводок, из которых отбирают образцы, должно быть не менее трех, идущих от стояков в разных секциях и к разным отопительным приборам.

Допустимое значение максимальной относительной глубины коррозионного поражения труб следует принимать равным 50% значения толщины стенки новой трубы.

Допустимое значение сужения трубопроводов коррозионно-накипными отложениями следует принимать в соответствии с гидравлическим расчетом для труб, бывших в эксплуатации (значение абсолютной шероховатости - 0,75 мм).

При этих условиях допустимое сужение составит:

- для труб с = 15 мм - 20%;

- для труб с = 20 мм - 15%;

- для труб с = 25 мм - 12%;

- для труб с = 32 мм - 10%;

- для труб с = 40 мм - 8%;

- для труб с = 50 мм - 6%.

Допустимым сужением "живого" сечения конвекторов при условии допустимого снижения теплоотдачи отопительного прибора считают 10%.

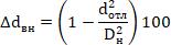
Относительную глубину коррозионного поражения металла трубы , %, оценивают по формуле

%, (2)

где

- толщина стенки новой трубы по ГОСТ 3262 того же диаметра и вида (легкая, обыкновенная, усиленная);

- минимальная остаточная толщина стенки трубы после эксплуатации в системе к конкретному сроку.

Сужение живого сечения трубы , %, продуктами коррозионно-накипных отложений оценивают по формуле

%, (3)

где

- средний внутренний диаметр трубы с отложениями;

- внутренний диаметр новой трубы, взятый по ГОСТ 3262 в соответствии с ее наружным диаметром.

Допустимое значение сужения трубопроводов коррозионно-накипными отложениями принимают с уменьшением "живого" сечения трубы не более чем на 30%, в результате чего обеспечивается значение минимального свободного напора у санитарных приборов по [15].

5.4.1. Обследование технического состояния систем горячего водоснабжения

5.4.1.1. При обследовании технического состояния систем горячего водоснабжения руководствуются [15] и проводят следующие работы:

- описывают систему (тип системы, схема разводки трубопроводов);

- обследуют циркуляционные насосы, контрольно-измерительные приборы, запорно-регулирующую арматуру на вводе в здание или сооружение;

- обследуют трубопроводы (в подвале, помещениях, на чердаке) и устанавливают дефекты (свищи в металле, капельные течи в местах резьбовых соединений трубопроводов и врезки запорной арматуры, следы ремонтов трубопроводов и магистралей, непрогрев полотенцесушителей, поражение коррозией трубопроводов и полотенцесушителей, нарушение теплоизоляции магистральных трубопроводов и стояков), обследуют состояние крепления и опор трубопроводов;

- проводят инструментальные измерения:

1) температуры воды в подающей магистрали и на обратном трубопроводе (в тепловом пункте здания),

2) температуры воды, подаваемой на водоразбор (на выходе из водонагревателей ступени II или на вводе в здание),

3) температуры циркуляционной воды (у нижних оснований циркуляционных стояков),

4) температуры сливаемой воды из водоразборных кранов (в контрольных помещениях и стояках помещений, наиболее удаленных от теплового пункта),

5) температуры поверхности полотенцесушителей (в контрольных помещениях и стояках помещений, наиболее удаленных от теплового пункта),

6) свободного напора у водоразборных кранов (в помещениях верхнего этажа наиболее удаленных от теплового пункта стояках),

7) уклонов прокладки магистральных трубопроводов и подводок (в подвале и помещениях-представителях).

5.4.1.2. На основе результатов обследования устанавливают степень соответствия [15].

5.4.2. Обследование технического состояния систем отопления

5.4.2.1. При обследовании технического состояния систем отопления руководствуются [16] и проводят следующие работы:

- описывают систему (тип системы - централизованная, местная, однотрубная, двухтрубная; схема разводки подающей и обратной магистрали и др.);

- определяют типы и марки отопительных приборов;

- обследуют наиболее ответственные элементы системы (насосы, магистральную запорную арматуру, контрольно-измерительную аппаратуру, автоматические устройства);

- обследуют трубопроводы, отопительные приборы, запорно-регулирующую арматуру (в подвале, помещениях, на лестничных клетках, чердаке);

- устанавливают отклонения в системе от проекта;

- выявляют следующие повреждения, неисправности и дефекты:

а) поражение коррозией и свищи магистральных трубопроводов, стояков, подводок, отопительных приборов,

б) коррозионное поражение замоноличенных трубопроводов,

в) следы ремонтов (хомуты, заплаты, заварка, замена отдельных участков, контруклоны разводящих трубопроводов, капельные течи в местах врезки запорно-регулирующей арматуры, демонтаж и поломка отопительных приборов на лестничных клетках, в вестибюлях, выход из строя системы отопления лестничных клеток, вестибюлей, разрушение или отсутствие на отдельных участках трубопроводов теплоизоляции);

- проводят следующие инструментальные измерения:

1) температуры наружного воздуха (в районе здания),

2) температуры воды в подающем трубопроводе тепловой сети (на узле теплового ввода или теплового пункта до смесительного устройства или водоподогревателя или после вводной задвижки),

3) температуры воды на обратном трубопроводе тепловой линии (на узле теплового ввода или теплового пункта перед вводной задвижкой),

4) температуры воды в подающем трубопроводе системы отопления (на узле теплового ввода или теплового пункта после смесительного устройства при его наличии или после водонагревателя при независимой системе отопления),

5) температуры воды на обратном трубопроводе системы отопления (на узле теплового ввода или теплового пункта),

6) температуры поверхности отопительных стояков у верхнего и нижнего оснований (на всех стояках),

7) температуры поверхности отопительных приборов (в помещениях-представителях),

8) температуры поверхности подающих и обратных подводок к отопительным приборам (в помещениях-представителях),

9) температуры воздуха в отапливаемых помещениях (в помещениях-представителях),

10) уклонов разводящих трубопроводов,

11) давления в системе: в подающем и обратном трубопроводе тепловой сети (на узле теплового ввода или теплового пункта), в подающем и обратном трубопроводах системы отопления.

5.4.2.2. На основе результатов обследования устанавливают степень соответствия [16].

5.4.3. Обследование технического состояния систем холодного водоснабжения

5.4.3.1. При обследовании технического состояния систем холодного водоснабжения руководствуются [15] и проводят следующие работы:

- описывают систему (тупиковая, кольцевая), включающую в себя: ввод в здание, водомерный узел, разводящую сеть, стояки, подводки к санитарным приборам; водоразборную, смесительную и запорно-регулирующую арматуру;

- обследуют водопроводные вводы в здание и выявляют повреждения (расстройства раструбных и сварных соединений чугунных и стальных трубопроводов под действием изгибающих усилий из-за неравномерной осадки);

- обследуют придомовую территорию (газон) и отмостки в зоне ввода (наличие осадок, провалов, неутрамбованного грунта);

- обследуют водомерный узел и контрольно-измерительные приборы; проверяют калибр и сетку водомера (при нарушениях поступления воды к водоразборным точкам помещений верхних этажей);

- обследуют насосные установки;

- обследуют трубопроводы, запорную арматуру и краны, водомеры и выявляют повреждения в подвале и помещениях (течи на трубопроводах в местах врезки кранов и запорной арматуры, повреждения трубопроводов, следы ремонтов трубопроводов, поражение коррозией трубопроводов, расстройство запорной арматуры и смывных бачков);

- проводят следующие измерения в системе:

1) давления в подающем трубопроводе (на узле ввода),

2) свободного напора у водоразборных кранов (в помещениях верхнего этажа, наиболее удаленных от ввода в стояках).

5.4.3.2. На основе результатов обследования устанавливают степень соответствия [15].

5.4.4. Обследование технического состояния систем канализации

5.4.4.1. При обследовании технического состояния систем канализации руководствуются [15] и проводят следующие работы:

- обследуют трубопроводы и санитарно-технические приборы в помещениях и в подвале и выявляют дефекты (повреждения трубопроводов, расстройство раструбных и стыковых соединений, капельные течи в местах присоединения санитарно-технических приборов, следы ремонтов и замены отдельных участков трубопроводов);

- проверяют соответствие трассировки трубопроводов, проложенных в подвале, проектному решению;

- инструментально измеряют уклоны горизонтальных участков трубопроводов в подвале; в соответствии с [15] уклон горизонтальных участков и выпусков должен быть не менее 0,02, а отводных участков от стояков - не менее 0,05;

- проводят расчет (в случае постоянного затопления подвала сточными водами) диаметра выпуска трубопровода в зависимости от числа приходящихся на него санитарно-технических приборов в соответствии с [15];

- обследуют вентиляционные стояки канализационной сети, учитывая, что выступающая часть стояков выводится через кровлю или сборную вентиляционную шахту на высоту:

- от плоской неэксплуатируемой кровли 0,3 м;
- - от скатной кровли 0,5 м;
от эксплуатируемой кровли 3,0 м;
- от обреза сборной вентиляционной шахты 0,1 м.

Диаметр выступающей части канализационного стояка должен соответствовать диаметру сточной части канализационного стояка; выпуск вентиляционных канализационных стояков в объем холодного чердака не допускается.

5.4.4.2. На основе результатов обследования устанавливают степень соответствия [15].

5.4.5. Обследование технического состояния систем вентиляции

5.4.5.1. При обследовании технического состояния систем вентиляции руководствуются [16] и проводят следующие работы:

- описывают конструктивное решение системы вентиляции (вытяжная естественная канальная без организованного притока воздуха, механическая канальная приточно-вытяжная, система дымоудаления с механическим способом побуждения);

- обследуют техническое состояние элементов системы и выявляют следующие дефекты и неисправности:

1) негерметичность воздуховодов, патрубков в местах присоединения к вентиляционным блокам (в помещениях),

2) нарушение целостности (уменьшение габаритов, демонтаж) вентиляционных блоков (в помещениях),

3) несоответствие сечения вентиляционных отверстий воздуховодов и воздухораспределителей проектному решению (в помещениях),

4) негерметичность, нарушение целостности и теплоизоляции вентиляционных коробов и шахт (холодный чердак),

5) нарушение целостности оголовков вентиляционных блоков (диффузоров), негерметичность теплого чердака, являющегося сборной вентиляционной камерой,

6) механические повреждения вентиляционных шахт и дефлекторов на кровле,

7) повреждения приборов автоматики системы дымоудаления,

8) повреждения механики приточно-вытяжной системы (вентиляционных агрегатов, вентиляторов, клапанов, задвижек);

- осуществляют инструментальные измерения объемов вытяжки воздуха (во всех помещениях);

- проверяют вентиляционные и дымовые каналы на проходимость.

5.4.5.2. На основе результатов обследования устанавливают степень соответствия [16].

5.4.6. Обследование технического состояния систем мусороудаления

5.4.6.1. При обследовании технического состояния систем мусороудаления руководствуются [17], проводят обследование ствола, загрузочных клапанов, шиберов, противопожарных клапанов очистного устройства, мусоросборных камер с оборудованием, дефлекторов и выявляют следующие дефекты и неисправности:

1) нарушение целостности и герметичности стыковых соединений ствола;

2) расшатанность ствола;

3) негерметичность загрузочных клапанов;

4) отсутствие или поломка металлических деталей загрузочных клапанов;

5) поломка бункера с шиберами;

6) расстройство или отсутствие подводки холодной и горячей воды в мусоросборной камере;

7) разрушение облицовки и гидроизоляции пола в мусорокамере;

8) нарушение плотности притвора и запора двери мусорокамеры;

9) негерметичность сопряжения вентиляционного канала со стволом;

10) отсутствие или разрушение изоляции вентиляционного канала в холодном чердаке.

5.4.6.2. На основе результатов обследования устанавливают степень соответствия [17].

5.4.7. Обследование технического состояния систем газоснабжения

5.4.7.1. Система газоснабжения включает в себя инженерные устройства для транспортирования газа к месту сжигания, а также наиболее эффективного и безопасного его использования. Газ сжигается в газогорелочных устройствах, конструкции которых зависят от назначения газового прибора (газовая плита, водонагреватель, печь и т.п.). Продукты сгорания внутренних устройств газоснабжения удаляются вентиляцией.

5.4.7.2. Оценку технического состояния системы газоснабжения проводят по ГОСТ 21.609, ГОСТ 21.610, [18], [19], для чего проводят следующие работы:

- описывают конструктивную схему газового ввода в здание (наружный ввод, цокольный ввод, прокладку ввода через технический подвал, в том числе от закольцованной внутриквартальной сети);

- изучают техническую документацию на газопроводы и газовое оборудование, включающую в себя:

1) ситуационный план домовладения со схемой газовых разводок и отключающих устройств (планы этих коммуникаций хранятся в специализированных газовых службах),

2) списки газовых приборов с указанием помещений, где они установлены, число и тип установок,

3) акты о состоянии газоходов,

4) акты о капитальном ремонте оборудования,

5) паспорта технических устройств,

6) акты приемки газопроводов и газового оборудования в эксплуатацию,

7) акты приемочных испытаний и обследований, проводимых в процессе эксплуатации газопроводов и газового оборудования,

8) акты, отчеты о выполненных работах при проведении капитальных ремонтов и реконструкции газопроводов и газового оборудования,

9) комплект конструкторских чертежей с указанием основных технических решений и всех изменений, внесенных при производстве работ, и отметок о согласовании этих изменений с организацией, разработавшей проект газопроводов и газового оборудования,

10) акты расследования аварий и нарушений технологических процессов, влияющих на сохранность газопроводов и газового оборудования;

- обследованием устанавливают соответствие проекту существующей системы газоснабжения (прокладки газопроводов, установки газовых приборов, аппаратов и другого газоиспользующего оборудования);

- обследуют техническое состояние трубопроводов и оборудования и выявляют следующие дефекты и неисправности:

а) утечки газа и неплотность соединений участков трубопровода,

б) наличие деформаций в трубопроводах, возникших при осадке здания,

в) отсутствие гильз в местах прохода трубопроводов через перекрытия и стены (гильзы должны обеспечивать свободные независимые от строительных конструкций линейные перемещения, вызванные температурными деформациями газопровода),

г) расстройство газовых плит, водонагревательных колонок и т.п.;

- проверяют работу системы вентиляции и газоходов;

- обследуют техническое состояние дымоходов (газоходов) на наличие проходимости, плотности, обособленности, нормальной тяги. Основными причинами нарушения нормальной работы дымоходов являются:

А) завалы дымоходов строительным мусором, раствором, кирпичом от обрушения оголовков труб,

Б) закупорки снежными или ледяными пробками вследствие охлаждения стенок оголовка при сильных морозах,

В) местные сужения дымохода,

Г) расположение оголовка дымовой трубы в зоне ветрового подпора,

Д) неплотность дымоходов.

5.4.8. Обследование технического состояния водостоков

5.4.8.1. При обследовании водоотводящих устройств руководствуются [15] и проводят следующие работы:

- описывают конструктивную систему водоотвода (наружный организованный водосток; неорганизованный наружный водосток, внутренний водосток);

- обследуют техническое состояние водоотводящих устройств и выявляют следующие неисправности и повреждения:

1) коррозия, свищи, пробоины и разрушение металлических желобов, свесов и водосточных труб,

2) нарушение сопряжений отдельных элементов водосточных труб,

3) отсутствие отдельных элементов водосточных труб и креплений к наружным стенам,

4) засорение водосточных труб,

5) нарушение гидроизоляции в местах сопряжения водоприемных воронок внутреннего водостока с кровлей,

6) нарушение герметичности стыковых соединений по стояку внутреннего водостока,

7) засорение и обледенение водоприемных воронок внутреннего водостока и открытых выпусков,

8) нарушение теплоизоляции стояков внутреннего водостока в холодном чердаке,

9) конденсационное увлажнение теплоизоляции стояков внутреннего водостока в холодном чердаке,

10) отсутствие защитных решеток и колпаков в воронках внутреннего водостока.

5.4.8.2. При образовании конденсата и наледей на свесах и водоотводящих устройствах проводят обследование чердака и устанавливают следующие причины нарушений температурно-влажностного режима:

- разрушение стенок вентиляционных коробов и вентиляционных шахт;

- разрушение или отсутствие теплоизоляции трубопроводов инженерных коммуникаций;

- недостаточная толщина теплоизоляции чердачного перекрытия (определяется расчетом);

- выпуск в объем чердака вытяжных каналов канализации и т.п.;

- отсутствие герметичности притворов чердачных входных дверей и люков.

5.4.8.3. На основании обследования устанавливают соблюдение требований [15] к системе водоотводящих устройств.

5.5. Обследование технического состояния электрических сетей и средств связи

5.5.1. При обследовании технического состояния электрических сетей и средств связи руководствуются [20] и [21].

5.5.2. Контроль технического состояния электрических сетей и средств связи состоит в обследовании следующего электрооборудования зданий и сооружений:

- шкафов вводных и вводно-распределительных устройств, начиная с входных зажимов питающих кабелей или вводных изоляторов на зданиях;

- внутридомового электрооборудования и внутридомовых электрических сетей питания электроприемников общедомовых потребителей;

- этажных щитков и шкафов, в том числе слаботочных, с установленными в них аппаратами защиты и управления, а также электроустановочными изделиями (за исключением счетчиков энергии);

- осветительных установок общедомовых помещений с коммуникационной и автоматической аппаратурой их управления, включая светильники, установленные на лестничных клетках, поэтажных коридорах, в вестибюлях, подъездах, лифтовых холлах, у мусоросбросов и мусоросборников, в подвалах, на чердаках, в подсобных помещениях и встроенных в здание помещениях;

- силовых и осветительных установок, установок автоматизации котельных, бойлерных, тепловых пунктов и др.;

- электрических установок систем дымоудаления, систем автоматической сигнализации внутреннего противопожарного водопровода, грузовых и пассажирских лифтов;

- автоматических запирающих устройств дверей дома.

5.5.3. Обследованием системы электрооборудования в подвале, на чердаке, в помещениях и на лестничных клетках устанавливают:

- наличие неисправности, повреждений элементов системы, следов ремонта;

- обеспечение функционирования системы пожарной безопасности;

- обеспечение безаварийной работы силовых, осветительных установок и оборудования автоматизации;

- наличие приборов учета электроэнергии, установленных на лестничных площадках, в коридорах, вестибюлях, холлах и др.

5.6. Обследование звукоизоляции ограждающих конструкций, шума инженерного оборудования, вибраций и внешнего шума

5.6.1. Обследование звукоизоляции стен, перегородок, междуэтажных перекрытий, дверей и наружных ограждающих конструкций

5.6.1.1. Звукоизоляционные свойства ограждающих конструкций зданий определяют путем натурных измерений, выполняемых в соответствии с ГОСТ 27296.

5.6.1.2. Натурные измерения звукоизоляции проводят, как правило, в отселенной части здания. Контролю подлежат ограждающие конструкции, к которым по ГОСТ 27296 предъявляются требования по звукоизоляции. При этом испытывают варианты ограждений, отличающиеся конструктивным решением, а также условиями применения (планировочными, конструктивными). Например, в качестве вариантов ограждений рассматривают перекрытия в помещениях разной площади, акустически однородные перекрытия, опирающиеся на стены разной толщины, стены, разделяющие более двух помещений.

5.6.1.3. Для каждого испытанного варианта ограждающей конструкции определяют значения индексов изоляции воздушного шума , а для перекрытий - еще и индексов приведенного уровня ударного шума . Затем определяют средние значения индексов изоляции воздушного шума для стен, перегородок и дверей и , - для перекрытий. Средние значения индексов рассчитывают по формулам:

и , (4)

где

- индекс изоляции воздушного шума i-го образца данного варианта ограждений, дБ;

- индекс приведенного уровня ударного шума под перекрытием i-го образца данного варианта конструкции, дБ;

n - число испытанных образцов данного варианта.

5.6.1.4. Соответствие звукоизоляции конструкции нормативным требованиям определяют сравнением полученных средних индексов и , минимальных и максимальных с нормативными индексами и . Звукоизоляция конструкции соответствует нормативным требованиям, если выполнены условия и .

В случаях, когда более 20% индексов испытанных образцов хуже нормативных, должны быть выполнены также условия

дБ и дБ. (5)

5.6.1.5. Каждый вариант ограждений должен быть испытан не менее чем на 10 образцах. Допускается испытание меньшего их числа (не менее пяти); в этом случае отдельные образцы испытываются дважды, так чтобы число измерений составило 10.

5.6.1.6. Измерения звукоизоляции наружных ограждающих конструкций и окон проводят в соответствии с ГОСТ 27296, а расчет значений и их оценку - по [22].

5.6.2. Измерение шума от работы инженерного, технологического оборудования и внешних источников

5.6.2.1. Измерение шума проводят измерением октавных уровней звукового давления (УЗД) L в октавных полосах со среднегеометрическими частотами 31,5 - 8000 Гц, уровней звука (УЗ) , эквивалентных уровней звукового давления () и эквивалентных уровней звука () , максимальных УЗД и максимальных УЗ в соответствии с ГОСТ 23337.

5.6.2.2. При измерениях шума от источников, расположенных внутри объекта, точки измерения должны находиться в помещениях, расположенных вблизи технологического, инженерного или санитарно-технического оборудования, являющегося источником шума. При наличии в здании встроенных предприятий общественного питания или мастерских шум измеряют в помещениях, расположенных над ними. При расположении источника шума рядом с помещением (например лифт, мусоропровод и т.д.) шум измеряют в ближайших помещениях при закрытых окнах и дверях.

5.6.2.3. Измерения уровней шума проводят раздельно в дневное и ночное время суток в зависимости от периода работы оборудования. При круглосуточной эксплуатации шумного оборудования измерения допускается проводить в любое время суток, если это позволяет фоновый шум.

5.6.2.4. При проведении измерений шума прежде всего следует установить, является ли шум постоянным или непостоянным.

5.6.2.5. Измерения непостоянного шума проводят в период наиболее интенсивной работы источника шума. Для этого следует заранее определить наиболее шумные периоды ночного или дневного времени суток (в зависимости от времени работы источника шума).

5.6.2.6. Расчет эквивалентных уровней звука проводят по ГОСТ 23337.

5.6.2.7. При необходимости определения шумовых характеристик транспортных потоков измерения проводят по ГОСТ 20444.

5.6.3. Измерение и оценка вибраций

5.6.3.1. Измерения вибраций проводят по ГОСТ 12.1.012.

5.6.3.2. Оценку вибраций в жилых и общественных зданиях проводят в соответствии с [23].

5.7. Определение теплотехнических показателей наружных ограждающих конструкций

5.7.1. При проведении натурных обследований вначале проводят изучение и анализ имеющейся проектной документации наружных ограждающих конструкций и их узлов сопряжения с другими конструкциями (междуэтажными и чердачными перекрытиями, цокольными и фризовыми стенами, колоннами и внутренними стенами) с точки зрения теплозащиты здания (см. [24]).

5.7.2. В состав работ по определению теплозащитных качеств наружных стен включают:

- получение от эксплуатирующей организации списка квартир с дефектами (промерзание и отсыревание стен, неудовлетворительная работа вентиляции, низкая температура воздуха в отопительный период, дождевые протечки и др.);

- инструментально-визуальные обследования ограждающих конструкций с указанием мест выпадения конденсата, образования плесени и т.п.; измерения температуры, относительной влажности и температуры точки росы воздуха помещений; измерения температуры внутренней поверхности в местах дефектов и на "глади" наружной стены;

- выборочные определения термического сопротивления (сопротивление теплопередаче) на "глади" стен с дефектами при низких температурах (минус 10 °C и ниже) наружного воздуха (см. ГОСТ 26254, ГОСТ 31166, ГОСТ 25380);

- измерения объема вытяжки из кухни и сантехблока;

- измерения температуры и скорости наружного воздуха;

- опрос эксплуатационных служб о времени и повторяемости появления дефектов и т.п.;

- отбор проб и образцов материалов из дефектных и недефектных мест (для сопоставления и анализа) наружных стен и других ограждающих конструкций;

- лабораторные испытания отобранных проб и образцов на плотность, влажность и теплопроводность (см. ГОСТ 17177, ГОСТ 21718, ГОСТ 24816, ГОСТ 25898, ГОСТ 7076, ГОСТ 30290, ГОСТ 30256);

- расчеты влажностного режима ограждающих конструкций (см. [24], [25]);

- расчеты температурных полей дефектных узлов сопряжения ограждающих конструкций с проектными и натурными показателями плотности, влажности и теплопроводности материалов конструкций;

- тепловизионную съемку наружных стен для выявления мест с низкими теплозащитными показателями (см. ГОСТ 26629);

- расчеты приведенного сопротивления теплопередаче наружных стен типового этажа здания с учетом выявленных фрагментов наружных стен с низкими теплозащитными показателями.

5.7.3. В объем выборки обследуемых помещений должны включаться все заявленные помещения с дефектами. Кроме того, в объеме выборки обязательно должны быть представлены помещения первого, среднего и верхнего этажей с наружными стенами северной, северо-восточной и северо-западной ориентации из всех секций здания. В зависимости от этажности и числа секций объем выборки должен составлять от 5% до 10% (с учетом площади помещений) всех помещений в здании.

5.7.4. При обследовании теплого чердака выявляют дефектные места (выпадение конденсата, протечки от атмосферных осадков) ограждающих конструкций. Проводят измерения температуры поверхности ограждающих конструкций в местах выпадения конденсата и на глади. При необходимости проводят отбор проб (образцов) материалов дефектной конструкции или ее узла сопряжения для определения в лабораторных условиях их плотности, влажности и теплопроводности.

5.7.5. Выборочно в характерных точках чердака, а также в оголовках вентиляционных блоков измеряют температуру и влажность воздуха, определяют также расход вентиляционного воздуха в оголовках вентиляционных блоков и в сборных шахтах. По результатам измерений определяют соответствие теплозащитных показателей ограждающих конструкций теплого чердака (см. [24], [25]).

5.7.6. Порядок отбора, размеры и число проб (образцов) для лабораторных испытаний принимают в соответствии со стандартами или техническими условиями на эти материалы, но число проб - не менее двух. Полученные в результате лабораторных испытаний данные сопоставляют с нормативными (проектными) и определяют их фактическое расхождение, которое закладывается в расчеты влажностного режима, температурных полей и термического сопротивления дефектной наружной стены.

5.7.7. По результатам тепловизионной съемки определяют узлы сопряжения ограждающих конструкций с низкими теплозащитными показателями. Кроме того, проводят исследования температурных двухмерных и трехмерных полей и приведенного сопротивления теплопередаче фрагментов наружных стен и их узлов сопряжения с другими ограждающими конструкциями.

6. Мониторинг технического состояния зданий и сооружений

6.1. Основные положения

6.1.1. Мониторинг технического состояния зданий и сооружений проводят для:

- контроля технического состояния зданий и сооружений и своевременного принятия мер по устранению возникающих негативных факторов, ведущих к ухудшению этого состояния;

- выявления объектов, на которых произошли изменения напряженно-деформированного состояния несущих конструкций и для которых необходимо обследование их технического состояния;

- обеспечения безопасного функционирования зданий и сооружений за счет своевременного обнаружения на ранней стадии негативного изменения напряженно-деформированного состояния конструкций и грунтов оснований, которые могут повлечь переход объектов в ограниченно работоспособное или в аварийное состояние;

- отслеживания степени и скорости изменения технического состояния объекта и принятия в случае необходимости экстренных мер по предотвращению его обрушения.

6.1.2. Для определения задач мониторинга технического состояния конкретного здания (сооружения) согласно 4.2 разрабатывают программу проведения мониторинга, в которой наряду с перечислением видов работ устанавливают систему и периодичность наблюдений с учетом технического состояния объекта, а также общую продолжительность мониторинга. Программу проведения мониторинга согласовывают с заказчиком.

6.1.3. При выборе системы наблюдений учитывают цель проведения мониторинга, а также скорости протекания процессов и их изменение во времени, продолжительность измерений, ошибки измерений, в том числе за счет изменения состояния окружающей среды, а также влияния помех и аномалий природно-техногенного характера.

6.1.4. Методика и объем системы наблюдений при мониторинге, включая измерения, должны обеспечивать достоверность и полноту получаемой информации для подготовки исполнителем обоснованного заключения о текущем техническом состоянии объекта (объектов).

6.1.5. В ходе длительных наблюдений и при изменении внешних условий необходимо обеспечить учет изменения условий и компенсационные поправки (температурные, влажностью и т.п.) для измерительных устройств.

6.1.6. В результате проведения каждого этапа мониторинга должна быть получена информация, достаточная для подготовки обоснованного заключения о текущем техническом состоянии здания или сооружения и выдачи краткосрочного прогноза о его состоянии на ближайший период.

6.1.7. Первоначальным этапом мониторинга технического состояния зданий (сооружений), за исключением общего мониторинга технического состояния зданий (сооружений), является обследование их технического состояния. На этом этапе устанавливают категории технического состояния зданий (сооружений), фиксируют дефекты конструкций, за изменением состояния которых (а также за возникновением новых дефектов) будут осуществляться наблюдения при мониторинге.

6.1.8. В случае получения на каком-либо этапе мониторинга данных, указывающих на ухудшение технического состояния всей конструкции или ее элементов, которое может привести к обрушению здания (сооружения), организация, проводящая мониторинг, должна немедленно информировать о сложившейся ситуации, в том числе в письменном виде, собственника объекта, эксплуатирующую организацию, местные органы исполнительной власти, территориальные органы ведомства по делам гражданской обороны, чрезвычайным ситуациям и ликвидации последствий стихийных бедствий.

6.2. Общий мониторинг технического состояния зданий и сооружений

6.2.1. Общий мониторинг технического состояния зданий (сооружений) проводят для выявления объектов, изменение напряженно-деформированного состояния которых требует обследования их технического состояния.

6.2.2. При общем мониторинге, как правило, вместо проведения обследования технического состояния зданий (сооружений) в полном объеме, проводят визуальный осмотр конструкций в целях приблизительной оценки категории технического состояния, измеряют динамические параметры конкретных зданий (сооружений) (см. Приложение Л) и составляют паспорт здания (сооружения) (см. Приложение М).

6.2.3. Если по результатам приблизительной оценки категория технического состояния здания (сооружения) соответствует нормативному или работоспособному техническому состоянию, то повторные измерения динамических параметров проводят через два года.

6.2.4. Если по результатам повторных измерений динамических параметров их изменения не превышают 10%, то следующие измерения проводят еще через два года.

6.2.5. Если по результатам приблизительной оценки категория технического состояния здания (сооружения) соответствует ограниченно работоспособному или аварийному состоянию или если при повторном измерении динамических параметров здания (сооружения) результаты измерений различаются более чем на 10%, то техническое состояние такого здания (сооружения) подлежит обязательному внеплановому обследованию.

6.2.6. По результатам общего мониторинга технического состояния зданий (сооружений) исполнитель составляет заключение (см. Приложение К) по этапу общего мониторинга технического состояния зданий (сооружений) и заключения о техническом состоянии каждого здания (сооружения), по которым проводился общий мониторинг технического состояния (см. Приложение Л).

6.3. Мониторинг технического состояния зданий и сооружений, находящихся в ограниченно работоспособном или аварийном состоянии

6.3.1. При мониторинге технического состояния зданий (сооружений), категория технического состояния которых соответствует ограниченно работоспособному или аварийному состоянию, контролируют процессы, протекающие в конструкциях зданий (сооружений) и грунте до выполнения работ по восстановлению или усилению объектов и во время проведения таких работ.

6.3.2. На каждой стадии мониторинга технического состояния конструкций зданий (сооружений) и грунта проводят следующие работы:

- определяют текущие динамические параметры объекта и сравнивают их с параметрами, измеренными на предыдущем этапе;

- фиксируют степень изменения ранее выявленных дефектов и повреждений конструкций объекта и выявляют вновь появившиеся дефекты и повреждения;

- проводят повторные измерения деформаций, кренов, прогибов и т.п. и сравнивают их со значениями аналогичных величин, полученными на предыдущем этапе;

- анализируют полученную на данном этапе мониторинга информацию и делают заключение о текущем техническом состоянии объекта.

6.3.3. Форма заключения о техническом состоянии объекта, находящегося в ограниченно работоспособном или аварийном состоянии, представлена в Приложении Н.

6.4. Мониторинг технического состояния зданий и сооружений, попадающих в зону влияния нового строительства, реконструкции или природно-техногенных воздействий

6.4.1. Цели мониторинга технического состояния зданий (сооружений), попадающих в зону влияния нового строительства и природно-техногенных воздействий, реализуют на основе:

- определения абсолютных и относительных значений деформаций конструкций зданий (сооружений) и сравнения их с расчетными и допустимыми значениями;

- выявления причин возникновения и степени опасности деформаций для нормальной эксплуатации объектов;

- принятия своевременных мер по борьбе с возникающими деформациями или по устранению их последствий;

- уточнения расчетных данных и физико-механических характеристик грунтов;

- уточнения расчетных схем для различных типов зданий (сооружений) и коммуникаций;

- установления эффективности принимаемых профилактических и защитных мероприятий;

- уточнения закономерностей процесса сдвижения грунтовых пород и зависимости его параметров от основных влияющих факторов.

6.4.2. Мониторинг технического состояния зданий (сооружений), попадающих в зону влияния нового строительства и природно-техногенных воздействий, планируют до начала строительства или ожидаемого природно-техногенного воздействия.

6.4.3. Научно-техническое сопровождение и мониторинг нового строительства или реконструкции объектов допускается осуществлять в соответствии с [26].

6.4.4. При мониторинге технического состояния зданий (сооружений), попадающих в зону влияния нового строительства или реконструкции объектов, устраиваемых открытым способом, используют данные (радиус зоны влияния, дополнительные деформации и др.) в соответствии с [27].

6.4.5. Оценку зоны влияния динамических воздействий на окружающие здания и сооружения при погружении свайных элементов строящихся зданий проводят в соответствии с [28].

6.4.6. Внешние границы мульды сдвижения на земной поверхности при подземном способе возведения объекта определяют по граничным углам, а внешние границы опасной ее части - по углам сдвижения. Значения этих углов зависят от свойств горных пород и определяются опытным путем. При отсутствии опытных данных значения граничных углов и углов сдвижения определяют в соответствии с Приложением П. Углы разрывов принимают на 10° более углов сдвижения.

6.4.7. Определение значений ожидаемых максимальных сдвижений и деформаций земной поверхности и ожидаемых сдвижений и деформаций в точках мульды сдвижений при подземном способе возведения объекта проводят в соответствии с Приложением Р.

6.4.8. Общую продолжительность процесса сдвижения земной поверхности над производимой подземной выработкой и период опасных деформаций определяют в соответствии с Приложением С.

6.4.9. При мониторинге технического состояния зданий (сооружений), попадающих в зону влияния строительства или реконструкции объектов при подземном способе их возведения, проводят геодезическо-маркшейдерские работы, которые выполняются в процессе всего производственного цикла строительства объекта до затухания процесса деформирования как самого объекта, так и массива грунтовых пород в соответствии с согласованной в установленном порядке проектной документацией.

6.4.10. Составлению программы наблюдений должны предшествовать оценка и прогноз геомеханического состояния породного массива в районе крупного строительства и зоне его влияния на объекты, расположенные на земной поверхности.

6.4.11. Оценку геомеханического состояния до начала строительных работ проводят на основании геологических данных и инженерных изысканий. При этом особое внимание уделяют определению природного поля напряжений, характеристике тектонических нарушений, трещиноватости, слоистости, водообильности, карстообразованию и другим особенностям массива.

6.4.12. Прогноз изменения геомеханического состояния породного массива под влиянием горных работ проводят как для типовых условий строительства и эксплуатации объекта, так и для аварийных ситуаций (разрушение крепи котлованов, прорыв в них плывунов, развитие карстовых образований, активизация древних оползней и т.д.). Прогноз состоит из определения ожидаемых параметров развития геомеханических процессов, основными из которых являются:

- размеры и местоположения зон сдвижения;

- значения максимальных сдвижений и деформаций;

- характер распределения деформаций в мульде сдвижения;

- общая продолжительность процесса сдвижения и периода опасных деформаций.

6.4.13. Инструментальные наблюдения за сдвижением земной поверхности и расположенными на ней объектами проводят в целях получения информации об изменении геомеханического состояния породного массива, на основании которой можно своевременно принимать необходимые профилактические и защитные меры.

6.4.14. Инструментальные наблюдения за сдвижением земной поверхности и сооружений проводят с помощью системы реперов, закладываемых в грунт и конструкции зданий и сооружений, а за сдвижением толщи горных пород - с помощью глубинных реперов, закладываемых в скважины. На застроенных территориях для исключения возможности повреждений подземных коммуникаций места закладки реперов должны согласовываться с органами местной исполнительной власти. Закладка реперов и начальные наблюдения на них должны проводиться до начала строительства. Порядок разбивки наблюдательной сети реперов представлен в Приложении Т.

6.4.15. Одновременно с разбивкой наблюдательной сети реперов должны намечаться места для закладки трех исходных реперов, с помощью которых в дальнейшем будет определяться положение опорных реперов профильной линии по высоте и контролироваться их неподвижность.

6.4.16. Для наблюдения за отдельными зданиями (сооружениями), попадающими в зону влияния нового строительства и природно-техногенных воздействий, закладывают стенные и грунтовые реперы. До начала наблюдений обследуют техническое состояние зданий (сооружений), измеряют динамические параметры, составляют паспорта.

6.4.17. Наблюдения за сдвижением земной поверхности, а также за деформациями зданий и сооружений, попадающих в зону влияния строительства подземного сооружения, заключаются в периодическом инструментальном определении положения реперов с фиксированием видимых нарушений, а также всех факторов, влияющих на значения и характер сдвижений и деформаций. Для зданий (сооружений) также проводят измерения их динамических параметров.

6.4.18. Наблюдения за деформациями оснований зданий (сооружений) проводят по ГОСТ 24846. При наблюдениях за зданиями определяют неравномерность оседаний фундаментов, фиксируют трещины и другие повреждения конструкций, надежность узлов их опирания, наличие необходимых зазоров в швах и шарнирных опорах. Для промышленных зданий определяют также относительные горизонтальные перемещения отдельно стоящих фундаментов колонн, крены фундаментов технологического оборудования, а при наличии мостовых кранов - отклонения от проектного положения подкрановых путей: поперечный и продольный уклоны, изменения ширины колеи и приближение крана к строениям.

6.4.19. Определение точности измерения вертикальных и горизонтальных деформаций проводят в зависимости от ожидаемого расчетного значения перемещения. При отсутствии данных по расчетным значениям деформаций оснований и фундаментов допускается устанавливать класс точности измерений вертикальных и горизонтальных перемещений:

I - для зданий (сооружений): уникальных, находящихся в эксплуатации более 50 лет, возводимых на скальных и полускальных грунтах;

II - для зданий (сооружений), возводимых на песчаных, глинистых и других сжимаемых грунтах;

III - для зданий (сооружений), возводимых на насыпных, просадочных, заторфованных и других сильно сжатых грунтах;

IV - для земляных сооружений.

6.4.20. Предельные погрешности измерения крена в зависимости от высоты H здания (сооружения) не должны превышать следующих значений, мм:

- для гражданских зданий (сооружений) - 0,0001H;

- для промышленных зданий (сооружений) - 0,0005H;

- для фундаментов под машины и агрегаты - 0,00001H.

6.4.21. Геодезическими методами и приборами по наблюдательным реперам измеряют вертикальные и горизонтальные перемещения земной поверхности и, при необходимости, дна котлована. При появлении трещин на земной поверхности в пределах приоткосной зоны организуют дополнительные систематические наблюдения за их развитием по протяженности, ширине и глубине.

6.4.22. Одновременно с инструментальными наблюдениями на земной поверхности проводят маркшейдерские наблюдения непосредственно в подземном сооружении.

6.4.23. По материалам измерений, вычислений и геолого-маркшейдерской документации составляют заключение, содержащее необходимую информацию о состоянии зданий и сооружений, попадающих в зону влияния крупного нового строительства и природно-техногенных воздействий, изменении геомеханического состояния породного массива; степени опасности и скорости развития негативных процессов (при необходимости). К заключению прикладывают документацию, подтверждающую сделанные в нем выводы.

6.4.24. Форма заключения о техническом состоянии объекта, попадающего в зону влияния нового строительства и природно-техногенных воздействий, представлена в Приложении У.

6.5. Мониторинг технического состояния уникальных зданий и сооружений

6.5.1. Мониторинг технического состояния оснований и строительных конструкций уникальных зданий (сооружений) проводят в целях обеспечения их безопасного функционирования, его результаты являются основой эксплуатационных работ на этих объектах. При мониторинге проводят контроль за процессами, протекающими в конструкциях объектов и грунте, для своевременного обнаружения на ранней стадии тенденции негативного изменения напряженно-деформированного состояния конструкций и оснований, которое может повлечь переход объекта в ограниченно работоспособное или аварийное состояние, а также получения необходимых данных для разработки мероприятий по устранению возникших негативных процессов.

6.5.2. Состав работ по мониторингу технического состояния оснований и строительных конструкций уникальных зданий (сооружений) регламентируется индивидуальными программами проведения измерений и анализа состояния несущих конструкций в зависимости от технического решения здания (сооружения) и его деформационного состояния.

6.5.3. В эксплуатируемом уникальном здании (сооружении), как правило, доступ к большей части несущих конструкций существенно ограничен, а работы по традиционному обследованию технического состояния конструкций трудоемки и дороги. Для таких объектов применяют специальные методы и технические средства раннего выявления и локализации мест изменения напряженно-деформированного состояния конструкций с последующим обследованием технического состояния выявленных опасных участков конструкций.

6.5.4. Для проведения контроля и ранней диагностики технического состояния оснований и строительных конструкций уникального здания (сооружения) устанавливают автоматизированную стационарную систему (станцию) мониторинга технического состояния (в соответствии с заранее разработанным проектом), которая должна обеспечивать в автоматизированном режиме выявление изменения напряженно-деформированного состояния конструкций с локализацией их опасных участков, определение уровня крена здания или сооружения, а в случае необходимости - и других параметров (деформации, давление и др.). Настройку автоматизированной стационарной системы (станции) мониторинга проводят, как правило, с использованием заранее разработанной математической модели для проведения комплексных инженерных расчетов по оценке возникновения и развития дефектов в строительных конструкциях, в том числе и в кризисных ситуациях.

6.5.5. Автоматизированная стационарная система (станция) мониторинга технического состояния оснований и строительных конструкций должна:

- проводить комплексную обработку результатов проводимых измерений;

- проводить анализ различных измеренных параметров строительных конструкций (динамических, деформационных, геодезических и др.) и сравнение с их предельными допустимыми значениями;

- предоставлять достаточную информацию для выявления на ранней стадии тенденции негативного изменения напряженно-деформированного состояния конструкций, которое может привести к переходу объекта в ограниченно работоспособное или аварийное состояние.

6.5.6. При выявлении мест изменения напряженно-деформированного состояния конструкций проводят обследование этих частей с помощью методов, изложенных в разделе 5, и по их результатам делают выводы о техническом состоянии конструкций, причинах изменения их напряженно-деформированного состояния и необходимости принятия мер по восстановлению или усилению конструкций.

6.5.7. По результатам мониторинга технического состояния оснований и строительных конструкций уникальных зданий (сооружений) выдают заключение, форма которого должна быть разработана по результатам проектирования автоматизированной стационарной системы (станции) мониторинга технического состояния оснований и строительных конструкций.

6.5.8. Мониторинг системы инженерно-технического обеспечения уникальных зданий (сооружений) проводят в целях обеспечения ее безопасного функционирования. Результаты мониторинга являются основой работ по обеспечению безопасной эксплуатации этих объектов. При мониторинге осуществляется контроль работоспособности и результатов работы системы инженерно-технического обеспечения для своевременного обнаружения на ранней стадии негативных факторов, угрожающих безопасности уникальных зданий (сооружений).

6.5.9. Для проведения контроля и ранней диагностики технического состояния системы инженерно-технического обеспечения конкретного уникального здания (сооружения) устанавливают систему мониторинга инженерно-технического обеспечения (в соответствии с заранее разработанным проектом).

6.5.10. При мониторинге технического состояния уникальных зданий (сооружений) по решению местных органов исполнительной власти, органов, уполномоченных на ведение государственного строительного надзора, или собственника объекта проводят мониторинг общей безопасности этих объектов (с комплексной оценкой риска) на случай возникновения аварийных воздействий природного и техногенного характера.

6.5.11. Требования к мониторингу общей безопасности объектов (с комплексной оценкой риска) на случай возникновения аварийных воздействий природного и техногенного характера представлены в Приложении Ф.

Приложение А
(справочное)

ПОКАЗАТЕЛИ МОРАЛЬНОГО ИЗНОСА ЖИЛЫХ ЗДАНИЙ ПО ДЕФЕКТАМ ПЛАНИРОВКИ И НЕСООТВЕТСТВИЯ КОНСТРУКЦИЙ СОВРЕМЕННЫМ НОРМАТИВНЫМ ТРЕБОВАНИЯМ

Таблица А.1

Признаки морального износа Показатели морального износа, % восстановительной стоимости зданий
1. Дефекты планировки:  
- отсутствие:  
кухонь 15,0
санитарных узлов 2,5
ванных комнат 3,0
- совмещенные санитарные узлы (кроме однокомнатных квартир) 2,0
- планировка не обеспечивающая заселение квартир одной семьей, при средней общей площади квартир в доме, м2:  
46 - 55 5,0
56 - 65 7,0
66 - 85 9,0
86 - 120 11,0
св. 120 12,0
2. Несоответствие конструкций современным нормативным требованиям:  
- полное отсутствие несгораемых и незагнивающих перекрытий 2,0
- полное отсутствие несгораемых и незагнивающих перегородок 1,5

Приложение Б
(обязательное)

ФОРМА ЗАКЛЮЧЕНИЯ ПО ОБСЛЕДОВАНИЮ ТЕХНИЧЕСКОГО СОСТОЯНИЯ ЗДАНИЯ

Заключение по обследованию технического состояния объекта
1. Адрес объекта  
2. Время проведения обследования  
3. Организация, проводившая обследование  
4. Статус объекта (памятник архитектуры, исторический памятник и т.д.)  
5. Тип проекта объекта  
6. Проектная организация, проектировавшая объект  
7. Строительная организация, возводившая объект  
8. Год возведения объекта  
9. Год и характер выполнения последнего капитального ремонта или реконструкции  
10. Собственник объекта  
11. Форма собственности объекта  
12. Конструктивный тип объекта  
13. Число этажей  
14. Период основного тона собственных колебаний (вдоль продольной и поперечной осей)  
15. Крен объекта (вдоль продольной и поперечной осей)  
16. Установленная категория технического состояния объекта  

Приложение - Материалы, обосновывающие выбор категории технического состояния объекта:

- фотографии объекта;

- описание окружающей местности;

- описание общего состояния объекта по визуальному обследованию с указанием его морального износа;

- описание конструкций объекта, их характеристик и состояния;

- чертежи конструкций объекта с деталями и обмерами;

- ведомость дефектов;

- схемы объекта с указанием мест проводившихся измерений и вскрытий конструкций;

- результаты измерений и оценка показателей, используемых в поверочных расчетах;

- определение действующих нагрузок и поверочные расчеты несущей способности конструкций и основания фундаментов;

- планы обмеров и разрезы объекта, планы и разрезы шурфов, скважин, чертежи вскрытий;

- геологические и гидрогеологические условия участка, строительные и мерзлотные характеристики грунтов основания (при необходимости);

- фотографии повреждений фасадов и конструкций;

- анализ причин дефектов и повреждений;

- задание на проектирование мероприятий по восстановлению или усилению конструкций (при ограниченно работоспособном или аварийном состоянии объекта).

Приложение В
(обязательное)

ФОРМА ЗАКЛЮЧЕНИЯ ПО КОМПЛЕКСНОМУ ОБСЛЕДОВАНИЮ ТЕХНИЧЕСКОГО СОСТОЯНИЯ ЗДАНИЯ

Заключение по комплексному обследованию технического состояния объекта
1. Адрес объекта  
2. Время проведения обследования  
3. Организация, проводившая обследование  
4. Тип проекта объекта  
5. Проектная организация, проектировавшая объект  
6. Строительная организация, возводившая объект  
7. Год возведения объекта  
8. Собственник объекта  
9. Конструктивный тип объекта  
10. Число этажей  
11. Крен объекта (вдоль продольной и поперечной осей)  
12. Установленная категория технического состояния объекта  
13. Оценка технического состояния, физического и морального износа:  
- лифтового оборудования  
- электрических сетей и средств связи  
- водостоков  
инженерных систем:  
- горячего водоснабжения  
- отопления  
- холодного водоснабжения  
- канализации  
- вентиляции  
- мусороудаления  
- газоснабжения  
14. Оценка состояния звукоизоляции конструкций  
15. Оценка теплотехнического состояния ограждающих конструкций  

Приложение 1 - Материалы, определяющие выбор категории технического состояния объекта:

- фотографии объекта;

- описание окружающей местности;

- описание общего состояния объекта по визуальному обследованию с указанием его физического и морального износа;

- описание конструкций объекта, их характеристик и состояния;

- чертежи конструкций объекта с деталями и обмерами;

- дефектная ведомость;

- схемы объекта с указанием мест проводившихся измерений и вскрытий конструкций;

- результаты измерений и оценка показателей, используемых в поверочных расчетах;

- расчеты действующих нагрузок и поверочные расчеты несущей способности конструкций и основания фундаментов;

- обмерные планы и разрезы объекта, планы и разрезы шурфов, скважин, чертежи вскрытий;

- геологические и гидрогеологические условия участка, строительные и мерзлотные характеристики грунтов основания (при необходимости);

- фотографии повреждений фасадов и конструкций;

- анализ причин дефектов и повреждений;

- задание на проектирование мероприятий по восстановлению или усилению конструкций (при необходимости).

Приложение 2 - Материалы, определяющие оценку технического состояния, физического и морального износа систем инженерно-технического обеспечения, состояния звукоизоляции конструкций, теплотехнического состояния ограждающих конструкций:

- схемы, фотографии и дефектные ведомости для инженерных систем, электрических сетей и средств связи;

- схемы мест ввода и вводимые мощности холодной и горячей воды, отопления, газа, электроэнергии;

- схема места вывода и мощность канализационной системы;

- расчеты количественных оценок физического и морального износа инженерных систем;

- ведомость отклонений от проекта и нормативных требований для инженерных систем, электрических сетей и средств связи;

- результаты проведения акустических и теплотехнических измерений и расчеты основных показателей.

Приложение Г
(обязательное)

ФОРМА ПАСПОРТА ЗДАНИЯ (СООРУЖЕНИЯ), ЗАПОЛНЯЕМОГО ИЛИ УТОЧНЯЕМОГО ПРИ ОБСЛЕДОВАНИИ ЕГО ТЕХНИЧЕСКОГО СОСТОЯНИЯ

Паспорт здания (сооружения)
1. Адрес объекта  
2. Время составления паспорта  
3. Организация, составившая паспорт  
4. Назначение объекта  
5. Тип проекта объекта  
6. Число этажей объекта  
7. Наименование собственника объекта  
8. Адрес собственника объекта  
9. Степень ответственности объекта  
10. Год ввода объекта в эксплуатацию  
11. Конструктивный тип объекта  
12. Форма объекта в плане  
13. Схема объекта  
14. Год разработки проекта объекта  
15. Наличие подвала, подземных этажей  
16. Конфигурация объекта по высоте  
17. Ранее осуществлявшиеся реконструкции и усиления  
18. Высота объекта  
19. Длина объекта  
20. Ширина объекта  
21. Строительный объем объекта  
22. Несущие конструкции  
23. Стены  
24. Каркас  
25. Конструкция перекрытий  
26. Конструкция кровли  
27. Несущие конструкции покрытия  
28. Стеновые ограждения  
29. Перегородки  
30. Фундаменты  
31. Категория технического состояния объекта  
32. Тип воздействия, наиболее опасного для объекта  
33. Период основного тона собственных колебаний вдоль большой оси  
34. Период основного тона собственных колебаний вдоль малой оси  
35. Период основного тона собственных колебаний вдоль вертикальной оси  
36. Логарифмический декремент основного тона собственных колебаний вдоль большой оси  
37. Логарифмический декремент основного тона собственных колебаний вдоль малой оси  
38. Логарифмический декремент основного тона собственных колебаний вдоль вертикальной оси  
39. Крен здания вдоль большой оси  
40. Крен здания вдоль малой оси  
41. Фотографии объекта  

Приложение Д
(справочное)

КЛАССИФИКАЦИЯ И ПРИЧИНЫ ВОЗНИКНОВЕНИЯ ДЕФЕКТОВ И ПОВРЕЖДЕНИЙ В ФУНДАМЕНТНЫХ КОНСТРУКЦИЯХ МЕЛКОГО ЗАЛОЖЕНИЯ

Таблица Д.1

Вид дефектов и повреждений Возможные причины появления
Расслоение кладки фундамента Отсутствие перевязки каменной кладки.
Потеря прочности раствора кладки (длительная эксплуатация, систематическое замачивание, воздействие агрессивной среды и др.).
Перегрузка фундамента (надстройка здания, замена несущих конструкций и др.)
Разрушение боковых поверхностей фундамента Воздействие агрессивной среды на фундамент (утечка в основание производственных химических растворов, поднятие уровня грунтовых вод и др.)
Разрыв фундамента по высоте Морозное пучение при неправильном устройстве фундамента (использование для засыпки пазух смерзающегося грунта, подтопление при поднятии уровня грунтовых вод, замачивание и др.)
Трещины в плитной части фундамента Перегрузка фундамента (надстройка здания, замена несущих строительных конструкций или технологического оборудования и др.).
Недостаточная площадь сечения рабочей арматуры
Недопустимые деформации основания фундамента Недостаточная опорная площадь подошвы фундамента.
Аварийное замачивание грунтов основания.
Дополнительное нагружение надфундаментных конструкций.
Наличие в основании сильно сжимаемых грунтов
Деформация фундаментной стены здания Потеря прочности кирпичной кладки фундаментной стены.
Дополнительная загрузка поверхности основания в непосредственной близости от здания.
Морозное пучение грунта при неправильной эксплуатации подвального помещения здания

Приложение Е
(справочное)

КЛАССИФИКАЦИЯ И ПРИЧИНЫ ВОЗНИКНОВЕНИЯ ДЕФЕКТОВ И ПОВРЕЖДЕНИЙ В ЖЕЛЕЗОБЕТОННЫХ КОНСТРУКЦИЯХ

Таблица Е.1

Вид дефектов и повреждений Возможные причины появления Возможные последствия
1. Волосяные трещины с заплывшими берегами, не имеющие четкой ориентации, появляющиеся при изготовлении, в основном на верхней поверхности Усадка в результате принятого режима тепловлажностной обработки, состава бетонной смеси, свойств цемента и т.п. На несущую способность не влияют. Могут снизить долговечность
2. Волосяные трещины вдоль арматуры, иногда след ржавчины на поверхности бетона а) Коррозия арматуры (слой коррозии не более 0,5 мм) при потере бетоном защитных свойств (например при карбонизации).
б) Раскалывание бетона при нарушении сцепления с арматурой
а) Снижение несущей способности до 5%. Снижение долговечности.
б) Возможно снижение несущей способности. Степень снижения зависит от многих факторов и должна оцениваться с учетом наличия других дефектов и результатов поверочного расчета
3. Сколы бетона Механические воздействия При расположении:
- в сжатой зоне - снижение несущей способности за счет уменьшения площади сечения;
- в растянутой зоне - на несущую способность не влияют
4. Промасливание бетона Технологические протечки Снижение несущей способности за счет снижения прочности бетона до 30%
5. Трещины вдоль арматурных стержней не более 3 мм Развиваются в результате коррозии арматуры из волосяных трещин (см. пункт 2 таблицы). Толщина продуктов коррозии не более 3 мм Снижение несущей способности в зависимости от толщины слоя коррозии и объема выключенного из работы бетона сжатой зоны. Уменьшение несущей способности нормальных сечений в результате нарушения сцепления арматуры. Степень снижения оценивают расчетом. При расположении на опорных участках - состояние конструкций аварийное
6. Отслоение защитного слоя бетона Коррозия арматуры (дальнейшее развитие дефектов см. пункты 2 и 5 таблицы) Снижение несущей способности в зависимости от уменьшения площади сечения арматуры в результате коррозии и уменьшения размеров поперечного сечения сжатой зоны. Снижение прочности нормальных сечений в результате нарушения сцепления арматуры с бетоном. При расположении дефектов на опорном участке - аварийное состояние
7. Нормальные трещины в изгибаемых конструкциях и растянутых элементах конструкций шириной раскрытия для стали классов
A-I - более 0,5 мм;
A-II, A-III, A-IIIB, A-IV - более 0,4 мм;
в остальных случаях - более 0,3 мм
Перегрузка конструкций, смещение растянутой арматуры. Для преднапряженных конструкций - малое значение натяжения арматуры при изготовлении Снижение долговечности, недостаточная несущая способность
8. То же, что в пункте 7 таблицы, но имеются трещины с разветвленными концами Перегрузка конструкций в результате снижения прочности бетона или нарушения сцепления арматуры с бетоном Возможно аварийное состояние
9. Наклонные трещины со смещением участков бетона относительно друг друга и наклонные трещины, пересекающие арматуру Перегрузка конструкций. Нарушение анкеровки арматуры Аварийное состояние
10. Относительные прогибы, превышающие для:
- преднапряженных стропильных ферм - 1/700;
- преднапряженных стропильных балок - 1/300;
- плит перекрытий и покрытий - 1/150
Перегрузка конструкций Степень опасности определяется в зависимости от наличия других дефектов (например, также при наличии дефекта по пункту 7 таблицы - аварийное состояние)
11. Повреждение арматуры и закладных деталей (надрезы, вырывы и т.п.) Механические воздействия, коррозия арматуры Снижение несущей способности пропорционально уменьшению площади сечения
12. Выпучивание сжатой арматуры, продольные трещины в сжатой зоне, шелушение бетона сжатой зоны Перегрузка конструкций Аварийное состояние
13. Уменьшение площадок опирания конструкций по сравнению с проектными Ошибки при изготовлении и монтаже Степень снижения несущей способности определяется расчетом
14. Разрывы или смещения поперечной арматуры в зоне наклонных трещин Перегрузка конструкций Аварийное состояние
15. Отрыв анкеров от пластин закладных деталей, деформации соединительных элементов, расстройство стыков Наличие воздействий, не предусмотренных при проектировании Аварийное состояние
16. Трещины силового характера в стенах и перекрытиях монолитных конструкций, появляющиеся после снятия опалубки или спустя некоторое время Температурно-усадочные усилия, возникающие при условиях, стесняющих деформации При раскрытии больше допустимого - снижение долговечности. Влияние на жесткость и прочность оценивается расчетом

Приложение Ж
(справочное)

КЛАССИФИКАЦИЯ И ПРИЧИНЫ ВОЗНИКНОВЕНИЯ ДЕФЕКТОВ И ПОВРЕЖДЕНИЙ В МЕТАЛЛИЧЕСКИХ КОНСТРУКЦИЯХ

Таблица Ж.1

Вид дефектов и повреждений Возможные причины появления
Отклонения от геометрических размеров (размеров сечений, длин элементов, генеральных размеров конструкций), принятых в проекте, способствующие ослаблению элементов и внецентренному приложению нагрузок Ошибки при изготовлении и монтаже металлических конструкций из-за несоблюдения допусков
Расцентровка и неточная подгонка элементов в узлах сопряжений Ошибки проектирования, нарушения точности при изготовлении и монтаже
Искривления элементов металлических конструкций, превышающие допустимые Отсутствие правки металла перед изготовлением конструкций, появление остаточных сварных напряжений, нарушения правил транспортирования, хранения, монтажа и эксплуатации металлических конструкций
Местные погибы элементов металлических конструкций Нарушения правил транспортирования, хранения, монтажа и эксплуатации металлических конструкций
Отклонения металлических конструкций от проектного положения Нарушения точности при изготовлении и монтаже, нарушения правил эксплуатации
Вырезы, ослабляющие сечения элементов Нарушения правил эксплуатации
Хрупкие или усталостные трещины в основном металле Конструктивные недоработки, неправильный выбор марки стали при эксплуатации конструкций в условиях вибрационных и динамических нагрузок
Расстройство болтовых и заклепочных соединений Конструктивные недостатки, не учтены особенности силового нагружения
Разрушение защитных покрытий и коррозия металла Низкое качество защитных материалов, их неправильный выбор, нарушение правил эксплуатации
Деформации конструкций Неравномерные осадки и крены фундаментов, температурные воздействия, нарушение правил эксплуатации
Трещины в сварных швах Конструктивные недоработки, влияние остаточных сварных напряжений из-за нарушения режима сварки

Приложение И
(справочное)

ПОКАЗАТЕЛИ МОРАЛЬНОГО ИЗНОСА ЖИЛЫХ ЗДАНИЙ ПРИ ОТСУТСТВИИ ОТДЕЛЬНЫХ ВИДОВ ИНЖЕНЕРНОГО ОБОРУДОВАНИЯ БЕЗ НАЛИЧИЯ ЗАМЕНЯЮЩЕГО ЕГО ПО ФУНКЦИОНАЛЬНОМУ НАЗНАЧЕНИЮ (В ПРОЦЕНТАХ ВОССТАНОВИТЕЛЬНОЙ СТОИМОСТИ ЗДАНИЯ)

Таблица И.1

Отсутствие видов инженерного оборудования Показатели морального износа, %
Центральное отопление 2,6
Водопровод 5,6
Канализация 1,8
Электроснабжение 2,6
Газоснабжение 1,5
Горячее водоснабжение 1,8
Ванна 3,2
Радиотрансляционная сеть 0,4
Коллективная телевизионная антенна 1,7
Телефонный ввод 0,2
Лифт (при отметке пола верхнего этажа от уровня тротуара более 14 м) 6,6
Мусоропровод (в зданиях с отметкой пола верхнего этажа от уровня тротуара 11,2 м и более) 2
Примечание. При отсутствии приведенных в таблице видов инженерного оборудования не во всех квартирах показатели уменьшаются пропорционально числу этих квартир.

Приложение К
(обязательное)

ФОРМА ЗАКЛЮЧЕНИЯ (ТЕКУЩЕГО) ПО ЭТАПУ ОБЩЕГО МОНИТОРИНГА ТЕХНИЧЕСКОГО СОСТОЯНИЯ ЗДАНИЙ (СООРУЖЕНИЙ)

Заключение составляется головной организацией по результатам этапа общего мониторинга технического состояния зданий (сооружений).

Заключение по этапу общего мониторинга технического состояния зданий (сооружений)
1. Перечень адресов объектов  
2. Номер этапа мониторинга  
3. Время проведения этапа мониторинга  
4. Головная организация этапа мониторинга  
5. Перечень организаций, проводивших этап мониторинга технического состояния объектов, с указанием, какой объект обследовался и какой организацией  
6. Перечень объектов, категория технического состояния которых соответствует ограниченно работоспособному состоянию  
7. Перечень объектов, категория технического состояния которых соответствует аварийному состоянию  
8. Общая оценка ситуации  
9. Информация, требующая экстренного решения возникших проблем безопасности  

Приложение - Заключения по мониторингу технического состояния каждого объекта при общем мониторинге технического состояния зданий и сооружений города см. в Приложении Л.

Приложение Л
(обязательное)

ФОРМА ЗАКЛЮЧЕНИЯ (ТЕКУЩЕГО) ПО ЭТАПУ МОНИТОРИНГА ТЕХНИЧЕСКОГО СОСТОЯНИЯ ОБЪЕКТА ПРИ ОБЩЕМ МОНИТОРИНГЕ ЗДАНИЙ (СООРУЖЕНИЙ)

Заключение по этапу мониторинга технического состояния объекта при общем мониторинге технического состояния зданий и сооружений
1. Адрес объекта  
2. Номер этапа мониторинга  
3. Время проведения этапа мониторинга  
4. Организация, проводившая этап мониторинга  
5. Предыдущее значение крена объекта вдоль большой оси  
6. Текущее значение крена объекта вдоль большой оси  
7. Предыдущее значение крена объекта вдоль малой оси  
8. Текущее значение крена объекта вдоль малой оси  
9. Предыдущее значение периода основного тона собственных колебаний вдоль большой оси  
10. Текущее значение периода основного тона собственных колебаний вдоль большой оси  
11. Предыдущее значение периода основного тона собственных колебаний вдоль малой оси  
12. Текущее значение периода основного тона собственных колебаний вдоль малой оси  
13. Предыдущее значение периода основного тона собственных колебаний вдоль вертикальной оси  
14. Текущее значение периода основного тона собственных колебаний вдоль вертикальной оси  
15. Предыдущее значение логарифмического декремента основного тона собственных колебаний вдоль большой оси  
16. Текущее значение логарифмического декремента основного тона собственных колебаний вдоль большой оси  
17. Предыдущее значение логарифмического декремента основного тона собственных колебаний вдоль малой оси  
18. Текущее значение логарифмического декремента основного тона собственных колебаний вдоль малой оси  
19. Предыдущее значение логарифмического декремента основного тона собственных колебаний вдоль вертикальной оси  
20. Текущее значение логарифмического декремента основного тона собственных колебаний вдоль вертикальной оси  
21. Установленная категория технического состояния объекта  
22. Собственник объекта  

Приложение - Материалы, в том числе фотоматериалы, обосновывающие установление категории технического состояния объекта, если она соответствует ограниченно работоспособной или аварийной категории технического состояния.

Приложение М
(обязательное)

ФОРМА ПАСПОРТА ЗДАНИЯ (СООРУЖЕНИЯ), ЗАПОЛНЯЕМОГО ПРИ ОБЩЕМ МОНИТОРИНГЕ ЗДАНИЙ (СООРУЖЕНИЙ)

Паспорт здания (сооружения)
1. Адрес объекта  
2. Время составления паспорта  
3. Организация, составившая паспорт  
4. Назначение объекта  
5. Тип проекта объекта  
6. Число этажей объекта  
7. Наименование собственника объекта  
8. Адрес собственника объекта  
9. Степень ответственности объекта  
10. Год ввода объекта в эксплуатацию  
11. Конструктивный тип объекта  
12. Форма объекта в плане  
13. Категория деформационного состояния объекта  
14. Тип воздействия, наиболее опасного для объекта  
15. Период основного тона собственных колебаний вдоль большой оси  
16. Период основного тона собственных колебаний вдоль малой оси  
17. Период основного тона собственных колебаний вдоль вертикальной оси  
18. Логарифмический декремент основного тона собственных колебаний вдоль большой оси  
19. Логарифмический декремент основного тона собственных колебаний вдоль малой оси  
20. Логарифмический декремент основного тона собственных колебаний вдоль вертикальной оси  
21. Значение крена объекта вдоль большой оси  
22. Значение крена объекта вдоль малой оси  
23. Фотографии объекта  

Приложение Н
(обязательное)

ФОРМА ЗАКЛЮЧЕНИЯ (ТЕКУЩЕГО) ПО МОНИТОРИНГУ ТЕХНИЧЕСКОГО СОСТОЯНИЯ ЗДАНИЯ, НАХОДЯЩЕГОСЯ В ОГРАНИЧЕННО РАБОТОСПОСОБНОМ ИЛИ АВАРИЙНОМ СОСТОЯНИИ

Заключение по этапу мониторинга технического состояния объекта
1. Адрес объекта  
2. Номер этапа мониторинга  
3. Время проведения этапа мониторинга  
4. Организация, проводившая этап мониторинга  
5. Наличие изменения ранее выявленных дефектов и повреждений  
6. Появление новых дефектов и повреждений  
7. Предыдущее значение крена объекта вдоль большой оси  
8. Текущее значение крена объекта вдоль большой оси  
9. Предыдущее значение крена объекта вдоль малой оси  
10. Текущее значение крена объекта вдоль малой оси  
11. Предыдущее значение периода основного тона собственных колебаний вдоль большой оси  
12. Текущее значение периода основного тона собственных колебаний вдоль большой оси  
13. Предыдущее значение периода основного тона собственных колебаний вдоль малой оси  
14. Текущее значение периода основного тона собственных колебаний вдоль малой оси  
15. Предыдущее значение периода основного тона собственных колебаний вдоль вертикальной оси  
16. Текущее значение периода основного тона собственных колебаний вдоль вертикальной оси  
17. Предыдущее значение логарифмического декремента основного тона собственных колебаний вдоль большой оси  
18. Текущее значение логарифмического декремента основного тона собственных колебаний вдоль большой оси  
19. Предыдущее значение логарифмического декремента основного тона собственных колебаний вдоль малой оси  
20. Текущее значение логарифмического декремента основного тона собственных колебаний вдоль малой оси  
21. Предыдущее значение логарифмического декремента основного тона собственных колебаний вдоль вертикальной оси  
22. Текущее значение логарифмического декремента основного тона собственных колебаний вдоль вертикальной оси  
23. Установленная категория технического состояния объекта  
24. Собственник объекта  

Приложение 1 - Дефектная ведомость с изменениями ранее выявленных дефектов и повреждений и новыми дефектами и повреждениями, включая осадки объекта.

Приложение 2 - Результаты измерений состояния грунтов, уровней и состава подземных вод, деструктивных процессов (эрозии, оползней, карстово-суффозионных явлений, оседания земной поверхности и др.).

Приложение П
(справочное)

ЗНАЧЕНИЯ ГРАНИЧНЫХ УГЛОВ И УГЛОВ СДВИЖЕНИЯ В ЗАВИСИМОСТИ ОТ КОЭФФИЦИЕНТОВ КРЕПОСТИ ПОРОД F ПО М.М. ПРОТОДЬЯКОНОВУ

Таблица П.1

Коэффициент крепости пород F Значение угла, град
Среднее значение Предел измерения
0,1 до 0,3 40 45
0,5 0,3 - 0,7 45 55
1,0 0,8 - 1,2 50 60
1,5 1,3 - 2,0 55 65
2,5 2,1 - 3,5 60 70
4,0 3,6 - 4,5 65 75
5,0 4,6 - 6,0 70 80

Приложение Р
(справочное)

ЗНАЧЕНИЯ ОЖИДАЕМЫХ МАКСИМАЛЬНЫХ СДВИЖЕНИЙ И ДЕФОРМАЦИЙ ЗЕМНОЙ ПОВЕРХНОСТИ И ОЖИДАЕМЫХ СДВИЖЕНИЙ И ДЕФОРМАЦИЙ В ТОЧКАХ МУЛЬДЫ СДВИЖЕНИЙ

Р.1. Значения ожидаемых максимальных сдвижений и деформаций земной поверхности при подземном способе возведения сооружений следует вычислять по формулам:

а) максимальное оседание земной поверхности :

, (Р.1)

где

m - значение прогиба кровли выработки;

- коэффициент, учитывающий характер затухания сдвижений от выработки к земной поверхности, колеблется для условий Московского региона в пределах от 0,7 до 0,9 (чем породы прочнее, тем значение меньше);

и - коэффициенты подработанности, определяемые из выражений:

;

, (Р.2)

где

и - поперечный и продольный размеры подземной выработки; Н - глубина расположения выработки.

При значениях и больше единицы принимают значения и равными единице;

б) максимальный наклон :

, (Р.3)

где

- коэффициент, зависящий от горно-геологических условий строительства и эксплуатации подземного сооружения, определяется опытным путем. Значения колеблются в пределах от 1,4 до 1,8;

в) максимальная кривизна :

, (Р.4)

где

- коэффициент, зависящий от мощности наносов и других рыхлых отложений, определяется по результатам натурных наблюдений. Значения колеблются в пределах от 3 до 4, при этом чем больше мощность наносов, тем больше значение ;

г) максимальное горизонтальное сдвижение :

, (Р.5)

где

- коэффициент, зависящий от мощности наносов и других рыхлых отложений, определяется по результатам натурных наблюдений. Значения колеблются в пределах от 0,3 до 0,4, при этом чем больше мощность наносов, тем больше значение ;

д) максимальная горизонтальная деформация :

, (Р.6)

где

- коэффициент, зависящий от горно-геологических условий проведения и эксплуатации подземного сооружения и мощности наносов, определяют опытным путем. Значения колеблются в пределах от 0,6 до 0,8, при этом чем больше мощность наносов, тем больше значение .

Р.2. Ожидаемые сдвижения и деформации в точках мульды сдвижения рассчитывают по формулам:

;

;

; (Р.7)

;

,

где , , , и - оседание, наклон, кривизна, горизонтальное сдвижение и относительная горизонтальная деформация в точке с абсциссой x соответственно (начало координат в точке максимального оседания);

L - длина полумульды (часть мульды между границей и точкой максимального оседания), определяемая графически из приведенного рисунка;

z = x/L - относительная координата;

S(z), S'(z), S"(z), F(z), F'(z) - переменные коэффициенты (функциональные зависимости), отражающие характер распределения деформаций в мульде сдвижения.

Числовые значения этих коэффициентов находят по результатам анализа натурных наблюдений из таблицы Р.1, в которой приведены усредненные значения указанных коэффициентов, необходимые для приближенных инженерных расчетов ожидаемых сдвижений и деформаций.

- угол полных движений 60°

Рисунок Р.1. Основные параметры мульды сдвижения

Таблица Р.1

Значения коэффициентов S(z), S'(z), S"(z), F(z) и F'(z)

z = x/L S(z) S'(z) S"(z) F(z) F'(z)
при n >= 1 при n = 0,8 при n <= 0,6 при n >= 1 при n = 0,8 при n <= 0,6 при n >= 1 при n = 0,8 при n <= 0,6 при n >= 1 при n = 0,8 при n <= 0,6 при n >= 1 при n = 0,8 при n <= 0,6
0,0 1,00 1,00 1,00 0,00 0,00 0,00 0,00 -4,51 -8,60 0,00 0,00 0,00 0,0 -7,4 -9,4
0,1 0,99 0,98 0,96 -0,19 -0,48 -0,83 -2,10 -5,17 -7,83 0,19 0,73 0,91 -2,1 -7,0 -8,2
0,2 0,95 0,90 0,84 -0,56 -1,04 -1,25 -5,11 -6,07 -5,50 0,56 1,36 1,59 -5,1 -5,6 -5,2
0,3 0,86 0,77 0,66 -1,20 -1,63 -1,89 -7,25 -5,17 -1,91 1,20 1,83 1,90 -7,3 -3,0 -1,8
0,4 0,71 0,58 0,47 -1,89 -1,98 -1,89 -5,70 -1,55 1,79 1,89 1,91 1,85 -5,7 0,7 2,3
0,5 0,50 0,39 0,30 -2,20 -1,91 -1,57 0,00 3,01 4,33 2,20 1,67 1,49 0,0 3,9 4,3
0,6 0,29 0,22 0,16 -1,89 -1,44 -1,09 5,70 5,68 4,91 1,89 1,20 1,04 5,7 5,1 4,6
0,7 0,14 0,10 0,08 -1,20 -0,85 -0,64 7,25 5,45 3,97 1,20 0,71 0,62 7,3 4,4 3,7
0,8 0,08 0,04 0,03 -0,56 -0,41 -0,31 5,11 3,56 2,49 0,56 0,35 0,32 5,1 2,8 2,3
0,9 0,01 0,01 0,01 -0,19 -0,15 -0,11 2,10 1,50 1,10 0,19 0,13 0,12 2,1 1,2 1,1
1,0 0,00 0,00 0,00 0,00 0,00 0,00 0,00 0,00 0,00 0,00 0,00 0,00 0,0 0,0 0,0

Приложение С
(справочное)

ОБЩАЯ ПРОДОЛЖИТЕЛЬНОСТЬ ПРОЦЕССА СДВИЖЕНИЯ ЗЕМНОЙ ПОВЕРХНОСТИ

Общая продолжительность процесса сдвижения земной поверхности над проводимой подземной выработкой вычисляется из выражения

, (С.1)

где

- коэффициент, зависящий от механических свойств, литологических и других особенностей массива горных пород, определяется опытным путем. Его значения колеблются, как правило, в пределах от 1,5 до 2,5;

H - глубина расположения выработки;

c - скорость подвигания забоя выработки, м/мес.

Период опасных деформаций также устанавливают опытным путем или определяют из выражения

, (С.2)

где

p - коэффициент, определяемый из таблицы С.1.

Таблица С.1

/ , мм/мес 10 20 30 40 60 100 200 400
p 0 0,1 0,3 0,4 0,5 0,6 0,7 0,8

Приложение Т
(справочное)

РАЗБИВКА НАБЛЮДАТЕЛЬНОЙ СЕТИ РЕПЕРОВ

Схема для определения длин профильных линий при подземном способе строительства сооружений представлена на рисунке Т.1.

а) и б) - на плане и разрезе вдоль сооружения;
в) и г) - на плане и разрезе поперек сооружения;
I, II, III, IV, V, VI, VII, VIII - опорные реперы;
1 - 40 - рабочие реперы; АБ и ДЕ - зоны влияния подземного сооружения на земную поверхность;
ВГ и ЖИ - зоны возможного образования трещин

Рисунок Т.1. Схема определения длин профильных линий при подземном способе строительства

Схема к составлению проекта размещения реперов при открытом способе строительства подземного сооружения представлена на рисунке Т.2.

Рисунок Т.2. Схема к составлению проекта размещения реперов при открытом способе строительства подземного сооружения

Приложение У
(обязательное)

ФОРМА ЗАКЛЮЧЕНИЯ (ТЕКУЩЕГО) ПО МОНИТОРИНГУ ТЕХНИЧЕСКОГО СОСТОЯНИЯ ЗДАНИЙ (СООРУЖЕНИЙ), ПОПАДАЮЩИХ В ЗОНУ ВЛИЯНИЯ НОВОГО СТРОИТЕЛЬСТВА И ПРИРОДНО-ТЕХНОГЕННЫХ ВОЗДЕЙСТВИЙ

Составляется головной организацией по результатам этапа мониторинга технического состояния зданий (сооружений), попадающих в зону влияния нового строительства и природно-техногенных воздействий.

Заключение по этапу мониторинга технического состояния объектов, попадающих в зону влияния нового строительства и природно-техногенных воздействий
1. Информация, определяющая местонахождение и тип воздействия (эпицентр природно-техногенного воздействия, адрес стройки)  
2. Номер этапа мониторинга  
3. Время проведения этапа мониторинга  
4. Радиус зоны влияния воздействия  
5. Перечень объектов, попадающих в зону влияния воздействия  
6. Головная организация этапа мониторинга  
7. Перечень организаций, проводивших этап мониторинга технического состояния объектов, с указанием, какой объект обследовался и какой организацией  
8. Перечень объектов, категория технического состояния которых соответствует ограниченно работоспособному состоянию  
9. Перечень объектов, категория технического состояния которых соответствует аварийному состоянию  
10. Общая оценка ситуации  
11. Информация, требующая экстренного решения возникших проблем безопасности  

Приложения - Заключения по этапу мониторинга технического состояния каждого объекта, находящегося в ограниченно работоспособном или аварийном состоянии (см. Приложение Н).

- Заключения по этапу мониторинга технического состояния каждого объекта, не находящегося в ограниченно работоспособном или аварийном состоянии (см. Приложение Л).

- Совмещенный план наблюдательной системы реперов и подземного сооружения.

- Вертикальные геологические разрезы по профильным линиям.

- Ведомости сдвижений реперов в вертикальной и горизонтальной плоскостях по направлению профильной линии.

- Ведомости скоростей смещения реперов.

- Ведомости оседания реперов и измеренных длин интервалов между ними.

- Результаты вычислений по каждому из реперов оседания земной поверхности по всем расчетным интервалам между реперами:

- наклонов, кривизны, радиусов кривизны, горизонтальных деформаций;

- характерных точек мульды сдвижения относительно границ подземного сооружения (границ зоны влияния, точек с максимальными растяжениями и сжатиями, точек с максимальными наклонами, точек с максимальной кривизной;

- участков земной поверхности, на которых образовались сосредоточенные деформации в виде трещин, ступеней и уступов).

Приложение Ф
(справочное)

ТРЕБОВАНИЯ К МОНИТОРИНГУ ОБЩЕЙ БЕЗОПАСНОСТИ ОБЪЕКТОВ (С КОМПЛЕКСНОЙ ОЦЕНКОЙ РИСКА ОТ АВАРИЙНЫХ ВОЗДЕЙСТВИЙ ПРИРОДНОГО И ТЕХНОГЕННОГО ХАРАКТЕРА)

Мониторинг общей безопасности зданий (сооружений) заключается в периодическом (на основе наблюдений и обследований) определении риска и скорости его роста до допустимого значения, устанавливаемого для конкретного объекта.

Под риском понимается вероятностная мера опасности или совокупности опасностей, устанавливаемая для объекта в виде возможных потерь за заданное время.

Оценка риска - это определение его значения количественным и качественным способами. Процесс последовательно выполняемых действий по идентификации и прогнозированию опасностей, оценке уязвимости объекта для этих опасностей и установлению возможных потерь объекта и его составляющих для всех случаев реализации опасностей с определенной интенсивностью, повторяемостью и длительностью воздействия за заданное время.

Для оценки риска анализируют следующие исходные данные:

- основные опасности, характерные для данного объекта, и их различные сочетания;

- характер и условия эксплуатации объекта;

- характеристики используемых на объекте веществ, материалов и продуктов;

- генеральный план, тип конструкции объекта, расположение прочих построек и объектов, способных повлиять на возникновение и развитие аварии;

- сведения об авариях и опасных инцидентах, происходивших ранее на объекте;

- зоны, представляющие повышенную опасность для возникновения взрывов при аварийных ситуациях;

- последствия аварий в виде степени повреждения объекта и ожидаемого числа пострадавших;

- частоту, последствия аварий и приемлемый уровень риска;

- зоны индивидуального риска;

- возможности снижения риска и тяжести последствия аварий.

Уровень риска здания (сооружения) проверяют по формуле

P <= [P], (Ф.1)

где

P - риск нанесения зданию (сооружению) ущерба определенного уровня при опасном воздействии данной интенсивности за срок службы объекта;

[P] - допустимый уровень риска (фоновый уровень для Российской Федерации), который принимается равным рис .

Значение риска P определяют по формуле

P = P(H)P(A/H)P(T/H)P(D/H)C, (Ф.2)

где

P(H) - вероятность возникновения опасности;

P(A/H) и P(T/H) - вероятности встречи опасности с рассматриваемым объектом в пространстве и времени соответственно;

P(D/H) - вероятность нанесения ущерба данного уровня;

C - относительный ущерб (отношение стоимости ущерба к стоимости объекта).

Риск ниже фонового уровня, равного 5 х, является приемлемым (не требует мероприятий по его снижению); свыше 5 х - является недопустимым (требует срочной системы мер для его снижения); риск в интервале от 5 х до 5 х - для снижения уровня риска требуется система мер, полнота и сроки реализации которой устанавливаются с учетом экономических и социальных аспектов.

БИБЛИОГРАФИЯ

[1] СП 13-102-2003 Правила обследования несущих строительных конструкций зданий и сооружений
[2] ВСН 48-86 (р) Правила безопасности при проведении обследований жилых зданий для проектирования капитального ремонта
[3] СНиП 12-03-2001 Безопасность труда в строительстве. Часть 1. Общие требования
[4] СНиП 12-04-2002 Безопасность труда в строительстве. Часть 2. Строительное производство
[5] СНиП 52-01-2003 Бетонные и железобетонные конструкции
[6] СНиП II-22-81 Каменные и армокаменные конструкции
[7] СНиП II-23-81 Стальные конструкции
[8] СНиП II-25-80 Деревянные конструкции
[9] СП-11-105-97 Инженерно-геологические изыскания для строительства. Часть 1. Общие правила производства работ
[10] СНиП 2.02.01-83 Основания зданий и сооружений
[11] СНиП 2.02.03-85 Свайные фундаменты
[12] ВСН 57-88 р Положение по техническому обследованию жилых зданий
[13] ВСН 58-88 р Положение об организации и проведении реконструкции, ремонта и технического обслуживания зданий, объектов коммунального и социально-культурного назначения
[14] ВСН 53-86 р Правила оценки физического износа жилых зданий
[15] СНиП 2.04.01-85 Внутренний водопровод и канализация зданий
[16] СНиП 2.04.05-91 Отопление, вентиляция и кондиционирование
[17] СП 31-108-2002 Мусоропроводы жилых и общественных зданий и сооружений
[18] СНиП 42-01-2002 Газораспределительные системы
[19] СНиП 2.08.01-89 Жилые здания
СНиП 2.08.01-89 отменен. Взамен него с 01.10.2003 введен в действие СНиП 31-01-2003.
[20] СП 31-110-2003 Проектирование и монтаж электроустановок жилых и общественных зданий
[21] ВСН 60-89 Устройства связи, сигнализации и диспетчеризации инженерного оборудования жилых и общественных зданий. Нормы проектирования
[22] СНиП 23-03-2003 Защита от шума
[23] СН 2.2.4/2.1.8.566-96 Производственная вибрация, вибрация в помещениях жилых и общественных зданий
[24] СП 23-101-2004 Проектирование тепловой защиты зданий
[25] СНиП 23-02-2003 Тепловая защита зданий
[26] МРДС 02-2008 Пособие по научно-техническому сопровождению и мониторингу строящихся зданий и сооружений, в том числе большепролетных, высотных и уникальных
[27] МГСН 2.07-2001 Основания, фундаменты и подземные сооружения
[28] СНиП 3.02.01-87 Земляные сооружения, основания и фундаменты