Указание ЦБ РФ от 02.11.2020 N 5609-У

"О раскрытии, распространении и предоставлении информации акционерными инвестиционными фондами и управляющими компаниями инвестиционных фондов, паевых инвестиционных фондов и негосударственных пенсионных фондов, а также о требованиях к расчету доходности инвестиционной деятельности акционерного инвестиционного фонда и управляющей компании паевого инвестиционного фонда"
Редакция от 02.11.2020 — Действует с 01.10.2021

Зарегистрировано в Минюсте России 4 декабря 2020 г. N 61277


ЦЕНТРАЛЬНЫЙ БАНК РОССИЙСКОЙ ФЕДЕРАЦИИ

УКАЗАНИЕ
от 2 ноября 2020 г. N 5609-У

О РАСКРЫТИИ, РАСПРОСТРАНЕНИИ И ПРЕДОСТАВЛЕНИИ ИНФОРМАЦИИ АКЦИОНЕРНЫМИ ИНВЕСТИЦИОННЫМИ ФОНДАМИ И УПРАВЛЯЮЩИМИ КОМПАНИЯМИ ИНВЕСТИЦИОННЫХ ФОНДОВ, ПАЕВЫХ ИНВЕСТИЦИОННЫХ ФОНДОВ И НЕГОСУДАРСТВЕННЫХ ПЕНСИОННЫХ ФОНДОВ, А ТАКЖЕ О ТРЕБОВАНИЯХ К РАСЧЕТУ ДОХОДНОСТИ ИНВЕСТИЦИОННОЙ ДЕЯТЕЛЬНОСТИ АКЦИОНЕРНОГО ИНВЕСТИЦИОННОГО ФОНДА И УПРАВЛЯЮЩЕЙ КОМПАНИИ ПАЕВОГО ИНВЕСТИЦИОННОГО ФОНДА

Настоящее Указание на основании пунктов 2, 4 и подпункта 7 пункта 7 статьи 51 и пункта 1 статьи 53 Федерального закона от 29 ноября 2001 года N 156-ФЗ "Об инвестиционных фондах" (Собрание законодательства Российской Федерации, 2001, N 49, ст. 4562; 2013, N 30, ст. 4084; 2019, N 30, ст. 4150) устанавливает:

информацию, подлежащую раскрытию акционерными инвестиционными фондами и управляющими компаниями инвестиционных фондов, паевых инвестиционных фондов и негосударственных пенсионных фондов, порядок, способ и сроки ее раскрытия;

требования к порядку и сроку распространения, предоставления и к содержанию информации о деятельности акционерного инвестиционного фонда и управляющей компании паевого инвестиционного фонда;

случаи, когда в распространяемой, предоставляемой или раскрываемой информации об акционерном инвестиционном фонде или о паевом инвестиционном фонде должны содержаться сведения, предусмотренные пунктом 2 статьи 51 Федерального закона от 29 ноября 2001 года N 156-ФЗ "Об инвестиционных фондах";

требования к расчету доходности инвестиционной деятельности акционерного инвестиционного фонда и управляющей компании паевого инвестиционного фонда.

1. Управляющая компания инвестиционных фондов, паевых инвестиционных фондов и негосударственных пенсионных фондов и акционерный инвестиционный фонд (далее при совместном упоминании - организация) должны раскрывать информацию, установленную приложением 1 к настоящему Указанию.

2. Управляющая компания паевого инвестиционного фонда, помимо информации, установленной приложением 1 к настоящему Указанию, должна раскрывать информацию о каждом паевом инвестиционном фонде, правилами доверительного управления которым не предусмотрено, что его инвестиционные паи предназначены исключительно для квалифицированных инвесторов (далее - паевой инвестиционный фонд, инвестиционные паи которого не ограничены в обороте), доверительное управление которым она осуществляет, в виде документа, содержащего информацию, установленную пунктами 1 - 8 приложения 2 к настоящему Указанию (далее - ключевой информационный документ о паевом инвестиционном фонде). Рекомендуемый образец ключевого информационного документа о паевом инвестиционном фонде приведен в приложении 3 к настоящему Указанию.

Акционерный инвестиционный фонд, уставом которого не предусмотрено, что его акции предназначены для квалифицированных инвесторов (далее - акционерный инвестиционный фонд, акции которого не ограничены в обороте), помимо информации, установленной приложением 1 к настоящему Указанию, должен раскрывать информацию об указанном акционерном инвестиционном фонде в виде документа, содержащего информацию, установленную пунктами 1 - 7, 9 приложения 2 к настоящему Указанию (далее - ключевой информационный документ об акционерном инвестиционном фонде). Рекомендуемый образец ключевого информационного документа об акционерном инвестиционном фонде приведен в приложении 4 к настоящему Указанию.

Пример заполнения ключевого информационного документа о паевом инвестиционном фонде приведен в приложении 5 к настоящему Указанию.

3. Организация должна раскрывать информацию, установленную приложениями 1 и 2 к настоящему Указанию (далее - раскрываемая информация), путем ее размещения на официальном сайте организации в информационно-телекоммуникационной сети "Интернет", электронный адрес которого включает доменное имя, права на которое принадлежат указанной организации (далее соответственно - сайт, сеть "Интернет"), в порядке и в сроки, предусмотренные указанными в настоящем пункте приложениями, с соблюдением положений пунктов 4 - 12, 18 - 21 настоящего Указания.

4. Организация должна обеспечить на сайте круглосуточный доступ к ознакомлению с раскрываемой информацией неограниченному кругу лиц, за исключением периодов проведения профилактических работ, во время которых сайт не доступен для посещения.

Доступ к раскрываемой информации не должен быть обусловлен требованием регистрации пользователей сайта или предоставления ими персональных данных, а также взиманием платы и иными ограничениями.

При проведении профилактических работ доступ неограниченного круга лиц к раскрываемой информации на сайте не должен быть ограничен более чем на один час один раз в сутки или более чем на пять часов один раз в месяц.

Во время профилактических работ на сайте должна быть размещена информация об их проведении, а также о времени их начала и планируемом времени их окончания.

Раскрываемая информация не должна быть зашифрована или защищена от доступа средствами, не позволяющими осуществлять ознакомление с ней неограниченному кругу лиц.

В случае возникновения технических и иных причин, препятствующих доступу неограниченного круга лиц к раскрываемой информации, организация должна принимать меры, направленные на устранение указанных причин и возобновление доступа к раскрываемой информации.

5. Организация должна обеспечить при размещении раскрываемой информации на сайте автоматическое формирование электронной базы данных, содержащей сведения о размещении раскрываемой информации на сайте, внесении в нее изменений и прекращении к ней доступа неограниченного круга лиц (далее - событие раскрытия информации), с указанием времени и даты события раскрытия информации, а также хранение содержащихся в указанной электронной базе данных сведений не менее пяти лет с даты события раскрытия информации.

Организация должна размещать на сайте раскрываемую информацию, обеспечив хранение информации, подтверждающей достоверность раскрываемой информации, не менее пяти лет с даты ее раскрытия.

6. Организация должна размещать на главной (начальной) странице сайта по своему выбору раскрываемую информацию и (или) ссылку на страницу сайта, на которой размещена раскрываемая информация.

Размер шрифта ссылки на страницу сайта, на которой размещена раскрываемая информация, должен быть не менее наибольшего из размеров шрифта ссылок на другие страницы сайта, размещенных на главной (начальной) странице сайта.

7. Организация при размещении на сайте раскрываемой информации и (или) ссылки на страницу сайта, на которой размещена раскрываемая информация, должна обеспечить на сайте указание на содержание раскрываемой информации.

8. Организация должна размещать раскрываемую информацию на сайте на русском языке с разъяснением специальных терминов (в случае их наличия).

9. Организация при размещении на сайте раскрываемой информации в форме электронных документов должна размещать указанные документы в виде файлов, имеющих одно из следующих расширений по выбору организации: *.doc, *.docx, *.rtf, *.xls, *.xlsx, *.pdf, обеспечивающих возможность их сохранения на технических средствах и допускающих после сохранения возможность поиска и копирования произвольного фрагмента электронного документа средствами для просмотра (далее - контекстный поиск).

В случае если организация не является составителем документов, предусмотренных приложением 1 к настоящему Указанию, и в ее распоряжении отсутствуют указанные документы в виде файлов, допускающих после сохранения на технических средствах возможность контекстного поиска, организация должна размещать на сайте указанные документы в виде файлов, имеющих расширение *.pdf, без возможности контекстного поиска.

В дополнение к указанным расширениям файлов организация по своему решению размещает на сайте документы, указанные в абзаце первом настоящего пункта, в виде файлов, имеющих другие расширения, определяемые организацией самостоятельно.

10. Организация должна размещать раскрываемую информацию на сайте в хронологическом порядке, начиная с информации с самой поздней датой размещения, а также указывать дату ее размещения.

11. Организация в случае обнаружения (выявления) неточных, неполных и (или) недостоверных сведений в раскрываемой информации в срок не позднее одного рабочего дня с даты обнаружения (выявления) указанных сведений должна разместить на сайте измененную (скорректированную) информацию.

12. При передаче прав и обязанностей по договору доверительного управления паевым инвестиционным фондом, инвестиционные паи которого не ограничены в обороте (далее - права и обязанности), от одной управляющей компании другой управляющей компании управляющая компания, которой были переданы права и обязанности, должна:

не позднее даты вступления в силу изменений и дополнений, вносимых в правила доверительного управления паевым инвестиционным фондом, инвестиционные паи которого не ограничены в обороте, связанных с передачей прав и обязанностей от одной управляющей компании другой управляющей компании, раскрыть на своем сайте информацию об указанном паевом инвестиционном фонде, которая на дату передачи прав и обязанностей должна быть доступна на сайте в соответствии с приложениями 1 и 2 к настоящему Указанию и которая на указанную дату была размещена на сайте управляющей компании, передавшей права и обязанности;

обеспечить доступ к информации, указанной в абзаце втором настоящего пункта, до истечения сроков, предусмотренных приложениями 1 и 2 к настоящему Указанию, для доступа к ней на сайте, начиная с даты ее размещения на сайте управляющей компании, передавшей права и обязанности.

С даты вступления в силу изменений и дополнений, вносимых в правила доверительного управления паевым инвестиционным фондом, инвестиционные паи которого не ограничены в обороте, связанных с передачей прав и обязанностей от одной управляющей компании другой управляющей компании, управляющая компания, которая передала права и обязанности, должна прекратить размещение на своем сайте раскрываемой информации в отношении указанного паевого инвестиционного фонда.

13. Управляющая компания паевого инвестиционного фонда, инвестиционные паи которого не ограничены в обороте, и акционерный инвестиционный фонд, акции которого не ограничены в обороте, обязаны предоставить лицам, заинтересованным в получении информации (далее - заинтересованные лица), по их письменному требованию раскрываемую информацию.

Раскрываемая информация должна быть предоставлена заинтересованному лицу управляющей компанией паевого инвестиционного фонда, инвестиционные паи которого не ограничены в обороте, акционерным инвестиционным фондом, акции которого не ограничены в обороте, по выбору заинтересованного лица одним или несколькими из следующих способов:

в виде электронного документа (без взимания платы) на адрес электронной почты, указанный заинтересованным лицом в письменном требовании;

в виде документа на бумажном носителе (без взимания платы или по решению управляющей компании паевого инвестиционного фонда, акционерного инвестиционного фонда за плату, не превышающую расходы на изготовление указанного документа на бумажном носителе) заказным почтовым отправлением с уведомлением о вручении по адресу, указанному заинтересованным лицом в письменном требовании, либо при личном обращении заинтересованного лица;

в виде электронных сообщений посредством рассылки на адреса электронной почты (без взимания платы), указанные заинтересованными лицами при подписке на указанную рассылку, условия которой предусматривают возможность направления заинтересованным лицом посредством сайта письменного требования о получении рассылки и возможность получения заинтересованным лицом электронных сообщений (за исключением информации, указанной в графе 3 строки 3.6 приложения 1 к настоящему Указанию).

Электронные сообщения, направляемые заинтересованному лицу управляющей компанией паевого инвестиционного фонда, инвестиционные паи которого не ограничены в обороте, должны содержать следующую информацию:

раскрываемую информацию или ссылку на страницу сайта, на которой размещена раскрываемая информация (по выбору управляющей компании паевого инвестиционного фонда), в отношении управляющей компании паевого инвестиционного фонда и (или) всех паевых инвестиционных фондов либо одного паевого инвестиционного фонда, находящегося в ее доверительном управлении (по выбору заинтересованного лица);

информацию о возможности отказаться от рассылки по письменному требованию заинтересованного лица, подписавшегося на указанную рассылку.

Электронные сообщения, направляемые заинтересованному лицу акционерным инвестиционным фондом, акции которого не ограничены в обороте, должны содержать следующую информацию:

раскрываемую информацию или ссылку на страницу сайта, на которой размещена раскрываемая информация (по выбору акционерного инвестиционного фонда), в отношении акционерного инвестиционного фонда;

информацию о возможности отказаться от рассылки по письменному требованию заинтересованного лица, подписавшегося на указанную рассылку.

14. Раскрываемая информация должна быть предоставлена заинтересованному лицу по его письменному требованию управляющей компанией паевого инвестиционного фонда, инвестиционные паи которого не ограничены в обороте, акционерным инвестиционным фондом, акции которого не ограничены в обороте, в следующие сроки:

не позднее пяти рабочих дней после дня получения указанной управляющей компанией, акционерным инвестиционным фондом письменного требования заинтересованного лица - в случае предоставления информации в соответствии с абзацами третьим и четвертым пункта 13 настоящего Указания;

не позднее одного рабочего дня после дня раскрытия истребуемой заинтересованным лицом информации на сайте - в случае предоставления информации в соответствии с абзацем пятым пункта 13 настоящего Указания.

15. Управляющая компания паевого инвестиционного фонда, правилами доверительного управления которым предусмотрено, что его инвестиционные паи предназначены исключительно для квалифицированных инвесторов (далее - паевой инвестиционный фонд, инвестиционные паи которого ограничены в обороте), обязана предоставить владельцам инвестиционных паев по их письменному требованию информацию, предусмотренную графой 3 строк 1.6, 1.8, 2.5, 3.30 и 3.31 приложения 1 к настоящему Указанию.

Акционерный инвестиционный фонд, уставом которого предусмотрено, что его акции предназначены для квалифицированных инвесторов (далее - акционерный инвестиционный фонд, акции которого ограничены в обороте), обязан предоставить акционерам акционерного инвестиционного фонда по их письменному требованию информацию, предусмотренную графой 3 строки 1.6 приложения 1 к настоящему Указанию (за исключением информации о должностном лице, ответственном за подготовку (принятие) решений об инвестировании имущества, составляющего паевой инвестиционный фонд (далее - портфельный управляющий).

Указанная в абзацах первом и втором настоящего пункта информация должна быть предоставлена управляющей компанией паевого инвестиционного фонда, инвестиционные паи которого ограничены в обороте, акционерным инвестиционным фондом, акции которого ограничены в обороте, владельцу инвестиционного пая или акционеру соответственно не позднее пяти рабочих дней после дня получения указанной управляющей компанией, акционерным инвестиционным фондом его письменного требования по выбору владельца инвестиционного пая (акционера) одним или несколькими из следующих способов:

в виде электронного документа (без взимания платы) на адрес электронной почты, указанный владельцем инвестиционного пая (акционером) в письменном требовании;

в виде документа на бумажном носителе (без взимания платы или по решению управляющей компании паевого инвестиционного фонда, акционерного инвестиционного фонда за плату, не превышающую расходы на изготовление указанного документа на бумажном носителе) заказным почтовым отправлением с уведомлением о вручении по адресу, указанному владельцем инвестиционного пая (акционером) в письменном требовании, либо при личном обращении владельца инвестиционного пая (акционера).

16. Положения пунктов 13 - 15 настоящего Указания не распространяются на случаи предоставления заинтересованным лицам акционерным инвестиционным фондом, управляющей компанией паевого инвестиционного фонда информации в соответствии со статьей 52 Федерального закона от 29 ноября 2001 года N 156-ФЗ "Об инвестиционных фондах" (Собрание законодательства Федерации, 2001, N 49, ст. 4562; 2019, N 30, ст. 4150) (далее - Федеральный закон "Об инвестиционных фондах").

17. Организация при распространении раскрываемой информации (за исключением ее размещения на сайте) должна обеспечить одновременное соблюдение следующих требований:

содержание распространяемой информации не должно противоречить содержанию раскрываемой информации, размещенной на сайте;

распространение раскрываемой информации должно осуществляться не ранее даты ее размещения на сайте.

18. В распространяемой, предоставляемой или раскрываемой информации о паевом инвестиционном фонде или об акционерном инвестиционном фонде во всех случаях, за исключением случая предоставления заинтересованному лицу информации с предварительного согласия заинтересованного лица в текстовом сообщении, содержащем в общем количестве не более трехсот символов, должны содержаться сведения, предусмотренные пунктом 2 статьи 51 Федерального закона "Об инвестиционных фондах".

19. Управляющая компания паевого инвестиционного фонда и акционерный инвестиционный фонд при распространении, предоставлении или раскрытии любой информации о паевом инвестиционном фонде или об акционерном инвестиционном фонде соответственно (за исключением предоставления заинтересованному лицу информации с предварительного согласия заинтересованного лица в текстовом сообщении, содержащем в общем количестве не более трехсот символов) должны обеспечить:

указание сведений, предусмотренных подпунктом 3 пункта 2 статьи 51 Федерального закона "Об инвестиционных фондах", на каждой странице сайта (в случае раскрытия информации на сайте), в электронном сообщении (в случае предоставления информации в электронном сообщении), на первой странице документа (в случае распространения, предоставления или раскрытия информации в виде документа), при этом указанные сведения должны занимать не менее десяти процентов площади первой страницы документа;

указание сведений, предусмотренных подпунктом 3 пункта 2 статьи 51 Федерального закона "Об инвестиционных фондах", четким, хорошо читаемым шрифтом не менее среднего из размеров шрифта, используемых на странице сайта (в случае раскрытия информации на сайте), в электронном сообщении (в случае предоставления информации в электронном сообщении), на первой странице документа (в случае распространения, предоставления или раскрытия информации в виде документа).

20. Управляющая компания паевого инвестиционного фонда и акционерный инвестиционный фонд в соответствии с подпунктом 7 пункта 7 статьи 51 Федерального закона "Об инвестиционных фондах" не должны заявлять или утверждать об изменении либо иным образом сравнивать результаты (доходность) своей инвестиционной деятельности (далее - доходность) в текущий момент и в прошлом при распространении, предоставлении или раскрытии любой информации о паевом инвестиционном фонде или акционерном инвестиционном фонде соответственно, если расчеты указанной доходности не соответствуют одновременно следующим требованиям.

20.1. Расчет доходности должен включать расчет прироста расчетной стоимости инвестиционного пая паевого инвестиционного фонда (прироста стоимости чистых активов акционерного инвестиционного фонда в расчете на одну акцию) (далее - прирост), определенный за один месяц, три месяца, шесть месяцев, один год, три года и пять лет, если со дня завершения (окончания) формирования паевого инвестиционного фонда (дня получения лицензии на осуществление деятельности инвестиционного фонда акционерным инвестиционным фондом (далее - лицензия акционерного инвестиционного фонда) прошло соответственно более одного месяца, трех месяцев, шести месяцев, одного года, трех лет и пяти лет.

20.2. Началом периода, за который определяется прирост, должен считаться последний день календарного месяца, предшествующего указанному периоду, но не ранее дня завершения (окончания) формирования паевого инвестиционного фонда (дня получения лицензии акционерного инвестиционного фонда).

20.3. Окончанием периода, за который определяется прирост, должен считаться последний день последнего полного календарного месяца периода, за который определяется доходность. При этом все периоды, за которые определяется прирост, предусмотренные подпунктом 20.1 настоящего пункта, должны заканчиваться в один и тот же день.

20.4. В случае если стоимость чистых активов паевого инвестиционного фонда (акционерного инвестиционного фонда) не определялась управляющей компанией паевого инвестиционного фонда (акционерным инвестиционным фондом) на дату начала или дату окончания периода, за который определяется прирост, при определении указанного прироста используется стоимость чистых активов паевого инвестиционного фонда (акционерного инвестиционного фонда), определенная на последний день, предшествующий указанной дате, на который определялась стоимость чистых активов паевого инвестиционного фонда (акционерного инвестиционного фонда).

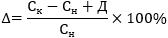
20.5. Прирост должен определяться по формуле:

,

где:

- прирост;

- расчетная стоимость инвестиционного пая паевого инвестиционного фонда (стоимость чистых активов акционерного инвестиционного фонда в расчете на одну акцию) на начало периода, за который определяется прирост;

- расчетная стоимость инвестиционного пая паевого инвестиционного фонда (стоимость чистых активов акционерного инвестиционного фонда в расчете на одну акцию) на конец периода, за который определяется прирост;

Д - сумма доходов от доверительного управления имуществом, составляющим паевой инвестиционный фонд (составляющим активы акционерного инвестиционного фонда), в расчете на один инвестиционный пай паевого инвестиционного фонда (одну акцию акционерного инвестиционного фонда), начисленных за период, за который определяется прирост, в случае если выплата указанного дохода предусмотрена правилами доверительного управления паевого инвестиционного фонда.

20.6. В случае если в течение периода, за который определяется прирост расчетной стоимости инвестиционного пая паевого инвестиционного фонда, было осуществлено дробление инвестиционных паев, расчетная стоимость инвестиционного пая на конец указанного периода должна быть увеличена в число раз, равное количеству инвестиционных паев, образующемуся в результате дробления одного инвестиционного пая (коэффициент дробления).

21. Управляющая компания паевого инвестиционного фонда и акционерный инвестиционный фонд при распространении, предоставлении или раскрытии информации о доходности должны соблюдать следующие требования.

21.1. Информация о доходности должна содержать по выбору управляющей компании паевого инвестиционного фонда (акционерного инвестиционного фонда) сведения о датах начала и окончания периода, за который определяется доходность, или сведения о дате окончания и длительности периода, за который определяется доходность.

21.2. Информация о доходности не должна распространяться, предоставляться или раскрываться по истечении трех месяцев со дня окончания периода, за который определяется доходность, за исключением сведений о доходности за календарный год.

Требования настоящего подпункта не распространяются на случай обеспечения доступа на сайте к ключевому информационному документу о паевом инвестиционном фонде, ключевому информационному документу об акционерном инвестиционном фонде (далее при совместном упоминании - ключевой информационный документ), содержащему информацию о доходности.

21.3. Информация о доходности должна содержать порядок определения доходности, за исключением случая определения доходности в соответствии с подпунктами 20.1 - 20.6 пункта 20 настоящего Указания.

21.4. В случае если правилами доверительного управления паевым инвестиционным фондом предусмотрены надбавки к расчетной стоимости инвестиционных паев паевого инвестиционного фонда при их выдаче и (или) скидки с расчетной стоимости инвестиционных паев при их погашении, информация о результатах (доходности) инвестиционной деятельности управляющей компании паевого инвестиционного фонда должна содержать сведения о наличии указанных надбавок и (или) скидок, а также положение о том, что взимание надбавок и (или) скидок уменьшает доходность инвестиций в инвестиционные паи.

22. Настоящее Указание подлежит официальному опубликованию и в соответствии с решением Совета директоров Банка России (протокол заседания Совета директоров Банка России от 23 октября 2020 года N ПСД-24) вступает в силу с 1 октября 2021 года.

23. В случае если информация, подлежащая размещению на сайте по состоянию на 1 октября 2021 года в соответствии с пунктом 1 настоящего Указания, была размещена организацией на сайте до даты вступления в силу настоящего Указания, организация обязана обеспечить доступность на сайте указанной информации в течение сроков, установленных в приложении 1 к настоящему Указанию.

24. Со дня вступления в силу настоящего Указания не применять:

приказ ФСФР России от 22 июня 2005 года N 05-23/пз-н "Об утверждении Положения о требованиях к порядку и срокам раскрытия информации, связанной с деятельностью акционерных инвестиционных фондов и управляющих компаний паевых инвестиционных фондов, а также к содержанию раскрываемой информации", зарегистрированный Министерством юстиции Российской Федерации 19 августа 2005 года N 6928;

приказ ФСФР России от 25 мая 2006 года N 06-55/пз-н "О внесении изменений в Положение о требованиях к порядку и срокам раскрытия информации, связанной с деятельностью акционерных инвестиционных фондов и управляющих компаний паевых инвестиционных фондов, а также к содержанию раскрываемой информации, утвержденное Приказом Федеральной службы по финансовым рынкам от 22.06.2005 N 05-23/пз-н", зарегистрированный Министерством юстиции Российской Федерации 28 июня 2006 года N 7988;

приказ ФСФР России от 17 июня 2008 года N 08-25/пз-н "О внесении изменений в Положение о требованиях к порядку и срокам раскрытия информации, связанной с деятельностью акционерных инвестиционных фондов и управляющих компаний паевых инвестиционных фондов, а также к содержанию раскрываемой информации, утвержденное Приказом ФСФР России от 22 июня 2005 г. N 05-23/пз-н", зарегистрированный Министерством юстиции Российской Федерации 16 июля 2008 года N 11990;

приказ ФСФР России от 24 декабря 2009 года N 09-63/пз-н "О внесении изменений и дополнений в Положение о требованиях к порядку и срокам раскрытия информации, связанной с деятельностью акционерных инвестиционных фондов и управляющих компаний паевых инвестиционных фондов, а также к содержанию раскрываемой информации, утвержденное Приказом ФСФР России от 22.06.2005 N 05-23/пз-н", зарегистрированный Министерством юстиции Российской Федерации 12 марта 2010 года N 16609;

приказ ФСФР России от 11 февраля 2010 года N 10-7/пз-н "О порядке и сроках раскрытия профессиональными участниками рынка ценных бумаг, а также управляющими компаниями инвестиционных фондов, паевых инвестиционных фондов и негосударственных пенсионных фондов информации о расчете собственных средств в сети Интернет", зарегистрированный Министерством юстиции Российской Федерации 13 апреля 2010 года N 16883;

пункт 4 приказа ФСФР России от 24 апреля 2012 года N 12-27/пз-н "О внесении изменений в некоторые нормативные правовые акты Федеральной службы по финансовым рынкам", зарегистрированного Министерством юстиции Российской Федерации 1 июня 2012 года N 24428.

Председатель Центрального банка
Российской Федерации
Э.С. НАБИУЛЛИНА

Приложение 1
к Указанию Банка России
от 2 ноября 2020 года N 5609-У
"О раскрытии, распространении
и предоставлении информации
акционерными инвестиционными
фондами и управляющими компаниями
инвестиционных фондов, паевых
инвестиционных фондов
и негосударственных пенсионных
фондов, а также о требованиях
к расчету доходности инвестиционной
деятельности акционерного
инвестиционного фонда
и управляющей компании паевого
инвестиционного фонда"

ИНФОРМАЦИЯ, ПОДЛЕЖАЩАЯ РАСКРЫТИЮ, ПОРЯДОК И СРОКИ ЕЕ РАСКРЫТИЯ

Номер строки Юридическое лицо, обязанное раскрывать информацию Информация, подлежащая раскрытию Порядок и сроки раскрытия информации
1 2 3 4
Раздел 1. Информация об организации
1.1 Управляющая компания инвестиционных фондов, паевых инвестиционных фондов и негосударственных пенсионных фондов Реквизиты управляющей компании:
полное и сокращенное (при наличии) фирменные наименования (далее - наименование);
предшествующие наименования с указанием даты изменения (в случае если наименование изменялось после даты получения лицензии управляющей компании на осуществление деятельности по управлению инвестиционными фондами, паевыми инвестиционными фондами и негосударственными пенсионными фондами (далее - лицензия управляющей компании);
номер и дата выдачи лицензии управляющей компании;
основной государственный регистрационный номер (ОГРН);
место нахождения (адрес);
номер телефона;
адрес сайта;
банковские реквизиты расчетного счета (счетов) для оплаты расходов за изготовление документов, предусмотренных пунктами 13 и 15 настоящего Указания, с указанием порядка оплаты и размера (порядка определения размера) указанных расходов (в случае принятия управляющей компанией решения о взимании платы за изготовление документов, предусмотренных пунктами 13 и 15 настоящего Указания)
Информация должна раскрываться в срок не позднее одного рабочего дня со дня получения лицензии управляющей компании.
В случае изменения информации измененная информация должна раскрываться в срок не позднее одного рабочего дня со дня получения управляющей компанией документа, подтверждающего государственную регистрацию изменений, вносимых в учредительные документы, а если указанные изменения не требуют внесения изменений в учредительные документы, - со дня, когда указанные изменения произошли.
Информация должна быть доступна на сайте со дня ее раскрытия до дня раскрытия измененной информации в соответствии с настоящей строкой
1.2 Акционерный инвестиционный фонд Реквизиты акционерного инвестиционного фонда:
наименование;
предшествующие наименования с указанием даты изменения (в случае если наименование изменялось);
номер и дата выдачи лицензии акционерного инвестиционного фонда;
основной государственный регистрационный номер (ОГРН);
место нахождения (адрес);
номер телефона;
адрес сайта;
банковские реквизиты расчетного счета (счетов) для оплаты расходов за изготовление документов, предусмотренных пунктами 13 и 15 настоящего Указания, с указанием порядка оплаты и размера (порядка определения размера) указанных расходов (в случае принятия акционерным инвестиционным фондом решения о взимании платы за изготовление документов, предусмотренных пунктами 13 и 15 настоящего Указания)
Информация должна раскрываться в срок не позднее одного рабочего дня со дня получения лицензии акционерного инвестиционного фонда.
В случае изменения информации измененная информация должна раскрываться в срок не позднее одного рабочего дня со дня получения акционерным инвестиционным фондом документа, подтверждающего государственную регистрацию изменений, вносимых в учредительные документы, а если указанные изменения не требуют внесения изменений в учредительные документы, - со дня, когда указанные изменения произошли.
Информация должна быть доступна на сайте со дня ее раскрытия до дня раскрытия измененной информации в соответствии с настоящей строкой
1.3 Управляющая компания паевого инвестиционного фонда, инвестиционные паи которого не ограничены в обороте Сведения о паевом инвестиционном фонде:
полное и сокращенное название (далее - название);
предшествующие названия с указанием даты изменения (в случае если название изменялось);
номер и дата регистрации правил доверительного управления паевым инвестиционным фондом;
перечень имущества, которое может быть передано в оплату инвестиционных паев;
реквизиты транзитного счета (транзитного счета депо), открытого для перечисления на него денежных средств (ценных бумаг), передаваемых в оплату инвестиционных паев;
минимальная сумма денежных средств (стоимость имущества), передачей в оплату инвестиционных паев которой (которого) обусловлена выдача инвестиционных паев
Информация должна раскрываться в отношении каждого паевого инвестиционного фонда, инвестиционные паи которого не ограничены в обороте.
Информация должна раскрываться не позднее начала срока формирования паевого инвестиционного фонда.
В случае изменения информации измененная информация должна раскрываться в срок не позднее дня вступления в силу изменений и дополнений, вносимых в правила доверительного управления паевым инвестиционным фондом, а если указанные изменения не требуют внесения изменений и дополнений в правила доверительного управления паевым инвестиционным фондом, - не позднее дня, когда указанные изменения произошли.
Информация должна быть доступна на сайте со дня ее раскрытия до наиболее ранней из следующих дат:
до даты раскрытия измененной информации в соответствии с настоящей строкой;
до даты исключения паевого инвестиционного фонда из реестра паевых инвестиционных фондов
1.4 Управляющая компания паевого инвестиционного фонда, инвестиционные паи которого не ограничены в обороте;
акционерный инвестиционный фонд, акции которого не ограничены в обороте
Информация о конфликте интересов специализированного депозитария, указанная в договоре об оказании услуг специализированного депозитария с управляющей компанией паевого инвестиционного фонда (акционерным инвестиционным фондом) (далее - договор об оказании услуг специализированного депозитария), который специализированный депозитарий имеет право не предотвращать в соответствии с указанным договором Информация должна раскрываться в отношении каждого паевого инвестиционного фонда, инвестиционные паи которого не ограничены в обороте, находящегося в доверительном управлении управляющей компании (акционерного инвестиционного фонда, акции которого не ограничены в обороте), если договором об оказании услуг специализированного депозитария предусмотрено право специализированного депозитария не предотвращать конфликт интересов.
Информация, а в случае изменения информации также и измененная информация должна раскрываться в один из следующих сроков:
не позднее одного рабочего дня со дня вступления в силу договора об оказании услуг специализированного депозитария;
не позднее одного рабочего дня со дня вступления в силу изменений, вносимых в договор об оказании услуг специализированного депозитария в части предоставления права специализированному депозитарию не предотвращать конфликт интересов.
Информация должна быть доступна на сайте со дня ее раскрытия до наиболее ранней из следующих дат:
до даты раскрытия измененной информации в соответствии с настоящей строкой;
до даты вступления в силу изменений, вносимых в договор об оказании услуг специализированного депозитария в части исключения из указанного договора права специализированного депозитария не предотвращать конфликт интересов;
до даты прекращения договора об оказании услуг специализированного депозитария
1.5 Управляющая компания паевого инвестиционного фонда, инвестиционные паи которого не ограничены в обороте Информация о присвоенных управляющей компании рейтингах:
наименование организации, присвоившей рейтинг (рейтингового агентства);
вид присвоенного рейтинга;
значение присвоенного рейтинга;
описание значения рейтинга или ссылка на страницу официального сайта в сети "Интернет", на которой в свободном доступе размещена информация о методике присвоения рейтинга;
дата присвоения рейтинга
Информация должна раскрываться в случае принятия управляющей компанией решения о раскрытии информации о присвоенных ей рейтингах.
В случае изменения информации измененная информация должна раскрываться в срок не позднее пяти рабочих дней со дня, когда управляющая компания узнала или должна была узнать об указанных изменениях.
Информация должна быть доступна на сайте со дня ее раскрытия до наиболее ранней из следующих дат:
до даты раскрытия измененной информации в соответствии с настоящей строкой;
до даты принятия управляющей компанией решения о прекращении раскрытия информации о присвоенных ей рейтингах
1.6 Управляющая компания паевого инвестиционного фонда, инвестиционные паи которого не ограничены в обороте;
акционерный инвестиционный фонд, акции которого не ограничены в обороте
Информация о лице, осуществляющем функции единоличного исполнительного органа, члене коллегиального исполнительного органа, члене совета директоров (наблюдательного совета), контролере (руководителе службы внутреннего контроля), должностном лице, ответственном за управление рисками, внутреннем аудиторе (руководителе службы внутреннего аудита), портфельном управляющем (в случае назначения нескольких портфельных управляющих информация раскрывается о каждом указанном должностном лице):
фамилия, имя, отчество (при наличии последнего);
дата избрания (назначения);
сведения о работе по совместительству (при наличии);
сведения об опыте работы в кредитных организациях и некредитных финансовых организациях за последние пять лет с указанием даты избрания (назначения) на должность и увольнения (освобождения от занимаемой должности) (в случае продолжения работы по занимаемой должности указывается: "по настоящее время") и наименования должностей (в том числе членство в совете директоров (наблюдательном совете) указанных юридических лиц) (при наличии);
наименования акционерных инвестиционных фондов и паевых инвестиционных фондов, в отношении имущества которых портфельный управляющий осуществляет свои функции (информация раскрывается в отношении портфельного управляющего при ее наличии)
Информация о члене коллегиального исполнительного органа, члене совета директоров (наблюдательного совета), должностном лице, ответственном за управление рисками, внутреннем аудиторе (руководителе службы внутреннего аудита), портфельном управляющем должна раскрываться в случае назначения (избрания) управляющей компанией (акционерным инвестиционным фондом) указанных должностных лиц.
Информация должна раскрываться в один из следующих сроков:
не позднее пяти рабочих дней со дня получения лицензии акционерного инвестиционного фонда, лицензии управляющей компании;
не позднее пяти рабочих дней со дня назначения (избрания) управляющей компанией (акционерным инвестиционным фондом) лица, осуществляющего функции единоличного исполнительного органа, члена коллегиального исполнительного органа, члена совета директоров (наблюдательного совета), контролера (руководителя службы внутреннего контроля), должностного лица, ответственного за управление рисками, внутреннего аудитора (руководителя службы внутреннего аудита), портфельного управляющего.
В случае изменения информации измененная информация должна раскрываться в срок не позднее пяти рабочих дней со дня, когда управляющая компания (акционерный инвестиционный фонд) узнала (узнал) или должна была (должен был) узнать об указанных изменениях.
Информация должна быть доступна на сайте со дня ее раскрытия до дня раскрытия измененной информации в соответствии с настоящей строкой
1.7 Управляющая компания паевого инвестиционного фонда, инвестиционные паи которого не ограничены в обороте;
акционерный инвестиционный фонд, акции которого не ограничены в обороте
Информация о юридических лицах, с которыми управляющей компанией заключен договор на совершение от ее имени и за счет имущества, составляющего паевой инвестиционный фонд (имущества акционерного инвестиционного фонда), действий, необходимых для управления указанным имуществом, а также о юридических лицах, с которыми управляющей компанией заключен договор на совершение от их имени и за счет имущества, составляющего паевой инвестиционный фонд (имущества акционерного инвестиционного фонда), сделок (далее при совместном упоминании - посреднический договор):
наименование указанного юридического лица;
основной государственный регистрационный номер (ОГРН) указанного юридического лица;
описание предмета посреднического договора
Информация должна раскрываться в отношении каждого паевого инвестиционного фонда, инвестиционные паи которого не ограничены в обороте, находящегося в доверительном управлении управляющей компании (акционерного инвестиционного фонда, акции которого не ограничены в обороте), в случае заключения управляющей компанией с юридическим лицом посреднического договора.
Информация должна раскрываться в срок не позднее пяти рабочих дней со дня заключения посреднического договора.
В случае изменения информации измененная информация должна раскрываться в срок не позднее пяти рабочих дней со дня, когда управляющая компания (акционерный инвестиционный фонд) узнала (узнал) или должна была (должен был узнать) об указанных изменениях.
Информация в отношении паевого инвестиционного фонда должна быть доступна на сайте со дня ее раскрытия до наиболее ранней из следующих дат:
до даты раскрытия измененной информации в соответствии с настоящей строкой;
до даты исключения паевого инвестиционного фонда из реестра паевых инвестиционных фондов.
Информация в отношении акционерного инвестиционного фонда должна быть доступна на сайте со дня ее раскрытия до дня раскрытия измененной информации в соответствии с настоящей строкой
1.8 Управляющая компания паевого инвестиционного фонда, инвестиционные паи которого не ограничены в обороте Информация об агентах по выдаче, погашению и обмену инвестиционных паев (далее - агент):
наименование;
номер и дата выдачи лицензии специализированного депозитария, лицензии профессионального участника рынка ценных бумаг на осуществление брокерской деятельности, лицензии на осуществление деятельности по ведению реестра владельцев ценных бумаг, лицензии на осуществление банковских операций либо лицензии на осуществление страховой деятельности, дата внесения Банком России сведений в реестр операторов финансовых платформ;
основной государственный регистрационный номер (ОГРН);
место нахождения (адрес);
дата включения сведений об агенте в реестр паевых инвестиционных фондов;
сведения о месте приема агентом заявок на приобретение, погашение и обмен инвестиционных паев с указанием адреса агента и (или) официального сайта агента в сети "Интернет" и (или) мобильного приложения агента в качестве места приема агентом заявок, номера телефона и времени приема заявок;
порядок и иные условия приема агентом заявок на приобретение, погашение и обмен инвестиционных паев, указанные в правилах доверительного управления паевым инвестиционным фондом
Информация должна раскрываться в отношении каждого агента каждого паевого инвестиционного фонда, инвестиционные паи которого не ограничены в обороте, находящегося в доверительном управлении управляющей компании.
Информация должна раскрываться в срок не позднее дня начала приема заявок на приобретение, погашение и обмен инвестиционных паев агентом.
В случае изменения информации измененная информация должна раскрываться в срок не позднее трех рабочих дней со дня, когда управляющая компания узнала или должна была узнать об указанных изменениях.
Информация должна быть доступна на сайте со дня ее раскрытия до наиболее ранней из следующих дат:
до даты раскрытия измененной информации в соответствии с настоящей строкой;
до даты исключения сведений об агенте из реестра паевых инвестиционных фондов
Раздел 2. Документы и отчетность организации
2.1 Управляющая компания паевого инвестиционного фонда, инвестиционные паи которого не ограничены в обороте Правила доверительного управления паевым инвестиционным фондом Информация должна раскрываться в отношении каждого паевого инвестиционного фонда, инвестиционные паи которого не ограничены в обороте, находящегося в доверительном управлении управляющей компании.
Информация должна раскрываться не позднее начала срока формирования паевого инвестиционного фонда.
Информация должна быть доступна на сайте со дня ее раскрытия до дня исключения паевого инвестиционного фонда из реестра паевых инвестиционных фондов
2.2 Управляющая компания паевого инвестиционного фонда, инвестиционные паи которого не ограничены в обороте Изменения и дополнения, вносимые в правила доверительного управления паевым инвестиционным фондом, с указанием порядкового номера и даты регистрации Банком России указанных изменений и дополнений.
Текст правил доверительного управления паевым инвестиционным фондом с внесенными изменениями и дополнениями в правила доверительного управления паевым инвестиционным фондом
Информация должна раскрываться в отношении каждого паевого инвестиционного фонда, инвестиционные паи которого не ограничены в обороте, находящегося в доверительном управлении управляющей компании.
Информация должна раскрываться в срок не позднее пяти рабочих дней со дня получения управляющей компанией уведомления о регистрации изменений и дополнений, вносимых в правила доверительного управления паевым инвестиционным фондом (если изменения и дополнения, вносимые в правила доверительного управления паевым инвестиционным фондом, зарегистрированы до дня завершения (окончания) формирования паевого инвестиционного фонда, - в срок не ранее дня завершения (окончания) формирования паевого инвестиционного фонда и не позднее пяти рабочих дней с указанного дня).
Информация должна быть доступна на сайте со дня ее раскрытия до дня исключения паевого инвестиционного фонда из реестра паевых инвестиционных фондов
2.3 Акционерный инвестиционный фонд, акции которого не ограничены в обороте Инвестиционная декларация акционерного инвестиционного фонда Информация должна раскрываться в срок не позднее одного рабочего дня со дня получения уведомления Банка России о предоставлении лицензии акционерного инвестиционного фонда.
Информация должна быть доступна на сайте со дня ее раскрытия до дня аннулирования лицензии акционерного инвестиционного фонда
2.4 Акционерный инвестиционный фонд, акции которого не ограничены в обороте Изменения и дополнения, вносимые в инвестиционную декларацию акционерного инвестиционного фонда, с указанием порядкового номера и даты утверждения указанных изменений и дополнений общим собранием акционеров акционерного инвестиционного фонда (советом директоров (наблюдательным советом) акционерного инвестиционного фонда).
Текст инвестиционной декларации акционерного инвестиционного фонда с внесенными изменениями и дополнениями
Информация должна раскрываться в срок не позднее дня представления изменений и дополнений, вносимых в инвестиционную декларацию в Банк России в соответствии с абзацем вторым статьи 6 Федерального закона "Об инвестиционных фондах" (Собрание законодательства Российской Федерации, 2001, N 49, ст. 4562; 2015, N 27, ст. 4001).
Информация должна быть доступна на сайте со дня ее раскрытия до дня аннулирования лицензии акционерного инвестиционного фонда
2.5 Управляющая компания инвестиционных фондов, паевых инвестиционных фондов и негосударственных пенсионных фондов Отчет по форме 0420514 "Расчет собственных средств управляющей компании инвестиционных фондов, паевых инвестиционных фондов и негосударственных пенсионных фондов", составленный в соответствии с Указанием Банка России от 8 февраля 2018 года N 4715-У "О формах, порядке и сроках составления и представления в Банк России отчетов акционерными инвестиционными фондами, управляющими компаниями инвестиционных фондов, паевых инвестиционных фондов и негосударственных пенсионных фондов", зарегистрированным Министерством юстиции Российской Федерации 13 апреля 2018 года N 50765, 20 мая 2020 года N 58400 (далее - Указание Банка России N 4715-У), за исключением показателей расшифровок в отношении активов и обязательств, принятых управляющей компанией к расчету собственных средств, и показателей пояснительной записки к расчету собственных средств (далее - отчет по форме 0420514) Информация должна раскрываться ежемесячно в срок не позднее трех рабочих дней, следующих за днем истечения срока представления отчета по форме 0420514 в Банк России, установленного подпунктом 4.14 пункта 4 приложения 2 к Указанию Банка России N 4715-У.
Информация должна быть доступна на сайте в течение трех лет со дня ее раскрытия
2.6 Управляющая компания паевого инвестиционного фонда, инвестиционные паи которого не ограничены в обороте;
акционерный инвестиционный фонд, акции которого не ограничены в обороте
Отчет по форме 0420502 "Справка о стоимости чистых активов, в том числе стоимости активов (имущества), акционерного инвестиционного фонда (паевого инвестиционного фонда)", составленный в соответствии с Указанием Банка России N 4715-У (далее - отчет по форме 0420502) Информация должна раскрываться в отношении каждого паевого инвестиционного фонда, инвестиционные паи которого не ограничены в обороте, находящегося в доверительном управлении управляющей компании (акционерного инвестиционного фонда, акции которого не ограничены в обороте).
Информация должна раскрываться ежемесячно в срок не позднее трех рабочих дней, следующих за истечением срока представления отчета по форме 0420502 в Банк России, установленного подпунктом 4.2 пункта 4 приложения 2 к Указанию Банка России N 4715-У.
Информация в отношении паевого инвестиционного фонда должна быть доступна на сайте со дня ее раскрытия до наиболее ранней из следующих дат:
до даты истечения трех лет со дня раскрытия информации в соответствии с настоящей строкой;
до даты исключения паевого инвестиционного фонда из реестра паевых инвестиционных фондов.
Информация в отношении акционерного инвестиционного фонда должна быть доступна на сайте в течение трех лет со дня ее раскрытия
2.7 Управляющая компания паевого инвестиционного фонда, инвестиционные паи которого не ограничены в обороте;
акционерный инвестиционный фонд, акции которого не ограничены в обороте
Отчет по форме 0420503 "Отчет о приросте (об уменьшении) стоимости имущества, принадлежащего акционерному инвестиционному фонду (составляющего паевой инвестиционный фонд)", составленный в соответствии с Указанием Банка России N 4715-У (далее - отчет по форме 0420503) Информация должна раскрываться в отношении каждого паевого инвестиционного фонда, инвестиционные паи которого не ограничены в обороте, находящегося в доверительном управлении управляющей компании (акционерного инвестиционного фонда, акции которого не ограничены в обороте).
Информация должна раскрываться ежемесячно в срок не позднее трех рабочих дней, следующих за истечением срока представления отчета по форме 0420503 в Банк России, установленного подпунктом 4.3 пункта 4 приложения 2 к Указанию Банка России N 4715-У.
Информация в отношении паевого инвестиционного фонда должна быть доступна на сайте со дня ее раскрытия до наиболее ранней из следующих дат:
до даты истечения трех лет со дня раскрытия информации в соответствии с настоящей строкой;
до даты исключения паевого инвестиционного фонда из реестра паевых инвестиционных фондов.
Информация в отношении акционерного инвестиционного фонда должна быть доступна на сайте в течение трех лет со дня ее раскрытия
2.8 Управляющая компания паевого инвестиционного фонда, инвестиционные паи которого не ограничены в обороте;
акционерный инвестиционный фонд, акции которого не ограничены в обороте
Отчет по форме 0420505 "Отчет о вознаграждениях и расходах, связанных с доверительным управлением имуществом, составляющим активы акционерного инвестиционного фонда (имуществом, составляющим паевой инвестиционный фонд)", составленный в соответствии с Указанием Банка России N 4715-У (далее - отчет по форме 0420505) Информация должна раскрываться в отношении каждого паевого инвестиционного фонда, инвестиционные паи которого не ограничены в обороте, находящегося в доверительном управлении управляющей компании (акционерного инвестиционного фонда, акции которого не ограничены в обороте).
Информация должна раскрываться ежегодно за отчетный год в срок не позднее трех рабочих дней, следующих за истечением срока представления отчета по форме 0420505 в Банк России, установленного подпунктом 4.5 пункта 4 приложения 2 к Указанию Банка России N 4715-У.
Информация в отношении паевого инвестиционного фонда должна быть доступна на сайте со дня ее раскрытия до наиболее ранней из следующих дат:
до даты истечения трех лет со дня раскрытия информации в соответствии с настоящей строкой;
до даты исключения паевого инвестиционного фонда из реестра паевых инвестиционных фондов.
Информация в отношении акционерного инвестиционного фонда должна быть доступна на сайте в течение трех лет со дня ее раскрытия
2.9 Управляющая компания инвестиционных фондов, паевых инвестиционных фондов и негосударственных пенсионных фондов;
акционерный инвестиционный фонд
Промежуточная бухгалтерская (финансовая) отчетность акционерного инвестиционного фонда (управляющей компании), составленная в соответствии с главой 3 Положения Банка России от 3 февраля 2016 года N 532-П "Отраслевой стандарт бухгалтерского учета "Порядок составления бухгалтерской (финансовой) отчетности профессиональных участников рынка ценных бумаг, акционерных инвестиционных фондов, организаторов торговли, центральных контрагентов, клиринговых организаций, специализированных депозитариев инвестиционного фонда, паевого инвестиционного фонда и негосударственного пенсионного фонда, управляющих компаний инвестиционного фонда, паевого инвестиционного фонда и негосударственного пенсионного фонда, бюро кредитных историй, кредитных рейтинговых агентств, страховых брокеров", зарегистрированного Министерством юстиции Российской Федерации 2 марта 2016 года N 41299, 15 декабря 2016 года N 44749, 28 сентября 2017 года N 48350, 8 июля 2019 года N 55164 (далее - Положение Банка России N 532-П) Информация должна раскрываться акционерными инвестиционными фондами и управляющими компаниями, имеющими только лицензию управляющей компании, ежеквартально в срок не позднее трех рабочих дней, следующих за днем истечения срока представления показателей промежуточной бухгалтерской (финансовой) отчетности в Банк России, установленного абзацем первым пункта 5 приложения 2 к Указанию Банка России N 4715-У.
Информация должна раскрываться управляющими компаниями, имеющими одновременно с лицензией управляющей компании лицензию на осуществление профессиональной деятельности на рынке ценных бумаг, ежеквартально в срок не позднее трех рабочих дней, следующих за днем истечения срока представления показателей промежуточной бухгалтерской (финансовой) отчетности в Банк России, установленного абзацем первым пункта 5 приложения 2 к Указанию Банка России от 4 апреля 2019 года N 5117-У "О формах, сроках и порядке составления и представления отчетности профессиональных участников рынка ценных бумаг, организаторов торговли, клиринговых организаций и лиц, осуществляющих функции центрального контрагента, а также другой информации в Центральный банк Российской Федерации", зарегистрированному Министерством юстиции Российской Федерации 23 июля 2019 года N 55353, 16 июня 2020 года N 58652 (далее - Указание Банка России N 5117-У).
Информация должна быть доступна на сайте в течение трех лет со дня ее раскрытия
2.10 Управляющая компания инвестиционных фондов, паевых инвестиционных фондов и негосударственных пенсионных фондов;
акционерный инвестиционный фонд
Годовая бухгалтерская (финансовая) отчетность акционерного инвестиционного фонда (управляющей компании), составленная в соответствии с главой 2.1 Положения Банка России N 532-П, а также аудиторское заключение об указанной отчетности Информация должна раскрываться акционерными инвестиционными фондами и управляющими компаниями, имеющими только лицензию управляющей компании, ежегодно в срок не позднее трех рабочих дней, следующих за днем истечения срока представления показателей годовой бухгалтерской (финансовой) отчетности в Банк России, установленного абзацем третьим пункта 5 приложения 2 (в отношении акционерных инвестиционных фондов) и абзацем четвертым пункта 5 приложения 2 (в отношении управляющих компаний) к Указанию Банка России N 4715-У.
Информация должна раскрываться управляющими компаниями, имеющими одновременно с лицензией управляющей компании лицензию на осуществление профессиональной деятельности на рынке ценных бумаг, ежегодно в срок не позднее трех рабочих дней, следующих за днем истечения срока представления показателей годовой бухгалтерской (финансовой) отчетности в Банк России, установленного абзацами третьим - пятым пункта 5 приложения 2 к Указанию Банка России N 5117-У.
Информация должна быть доступна на сайте в течение трех лет со дня ее раскрытия
2.11 Управляющая компания паевого инвестиционного фонда, инвестиционные паи которого не ограничены в обороте Аудиторское заключение по результатам ежегодной аудиторской проверки правил ведения учета и составления отчетности в отношении имущества, составляющего паевой инвестиционный фонд, и операций с этим имуществом (далее - аудиторское заключение по итогам ежегодной проверки паевого инвестиционного фонда) Информация должна раскрываться в отношении каждого паевого инвестиционного фонда, инвестиционные паи которого не ограничены в обороте, находящегося в доверительном управлении управляющей компании, если правилами доверительного управления паевым инвестиционным фондом предусмотрено ежегодное проведение аудиторской организацией проверки в соответствии с пунктом 3 статьи 50 Федерального закона "Об инвестиционных фондах".
Информация должна раскрываться ежегодно в срок не позднее трех рабочих дней, следующих за днем истечения срока представления аудиторского заключения по итогам ежегодной проверки паевого инвестиционного фонда в Банк России, установленного абзацем четвертым пункта 5 приложения 2 к Указанию Банка России N 4715-У.
Информация должна быть доступна на сайте со дня ее раскрытия до наиболее ранней из следующих дат:
до даты истечения трех лет со дня раскрытия информации в соответствии с настоящей строкой;
до даты исключения паевого инвестиционного фонда из реестра паевых инвестиционных фондов
2.12 Управляющая компания инвестиционных фондов, паевых инвестиционных фондов и негосударственных пенсионных фондов Годовая консолидированная финансовая отчетность управляющей компании, составленная в соответствии с Федеральным законом от 27 июля 2010 года N 208-ФЗ "О консолидированной финансовой отчетности" (Собрание законодательства Российской Федерации, 2010, N 31, ст. 4177; 2019, N 30, ст. 4149) (далее - Федеральный закон "О консолидированной финансовой отчетности"), а также аудиторское заключение об указанной отчетности Информация должна раскрываться в сроки, установленные частью 5 статьи 7 Федерального закона "О консолидированной финансовой отчетности" (Собрание законодательства Российской Федерации, 2010, N 31, ст. 4177; 2018, N 1, ст. 65).
Информация должна быть доступна на сайте в течение трех лет со дня ее раскрытия
2.13 Управляющая компания паевого инвестиционного фонда, инвестиционные паи которого не ограничены в обороте;
акционерный инвестиционный фонд, акции которого не ограничены в обороте
Методология расчета индекса, содержащегося в инвестиционной декларации паевого инвестиционного фонда (акционерного инвестиционного фонда), или ссылка на страницу официального сайта организации в сети "Интернет", осуществляющей расчет указанного индекса, содержащую методологию расчета указанного индекса Информация должна раскрываться в отношении каждого паевого инвестиционного фонда, инвестиционные паи которого не ограничены в обороте, находящегося в доверительном управлении управляющей компании (акционерного инвестиционного фонда, акции которого не ограничены в обороте), если инвестиционной декларацией паевого инвестиционного фонда (акционерного инвестиционного фонда) предусмотрено следование доходности паевого инвестиционного фонда (акционерного инвестиционного фонда) индексу и (или) соответствие состава и структуры активов паевого инвестиционного фонда (акционерного инвестиционного фонда) составу и структуре активов, входящих в расчет индекса (за исключением фондовых индексов, указанных в приложении к Указанию Банка России от 5 сентября 2016 года N 4129-У "О составе и структуре активов акционерных инвестиционных фондов и активов паевых инвестиционных фондов", зарегистрированному Министерством юстиции Российской Федерации 15 ноября 2016 года N 44339, 11 мая 2017 года N 46679, 6 августа 2019 года N 55501, 13 мая 2020 года N 58335), и не предусмотрена методология расчета указанного индекса.
Информация должна раскрываться в один из следующих сроков:
одновременно с раскрытием на сайте правил доверительного управления паевым инвестиционным фондом (инвестиционной декларации акционерного инвестиционного фонда), содержащих индекс;
не позднее дня вступления в силу изменений и дополнений, вносимых в правила доверительного управления паевым инвестиционным фондом (инвестиционную декларацию акционерного инвестиционного фонда), содержащих индекс.
      В случае изменения информации измененная информация должна раскрываться не позднее дня вступления в силу изменений и дополнений, вносимых в правила доверительного управления паевым инвестиционным фондом (инвестиционную декларацию акционерного инвестиционного фонда), содержащих индекс, а если указанные изменения не требуют внесения изменений и дополнений в правила доверительного управления паевым инвестиционным фондом (инвестиционную декларацию акционерного инвестиционного фонда), - не позднее дня, когда управляющая компания (акционерный инвестиционный фонд) узнала (узнал) или должна была (должен был) узнать об указанных изменениях.
Информация в отношении паевого инвестиционного фонда должна быть доступна на сайте со дня ее раскрытия до наиболее ранней из следующих дат:
до даты истечения трех лет со дня раскрытия измененной информации в соответствии с настоящей строкой;
до даты исключения паевого инвестиционного фонда из реестра паевых инвестиционных фондов.
Информация в отношении акционерного инвестиционного фонда должна быть доступна на сайте в течение трех лет со дня раскрытия измененной информации в соответствии с настоящей строкой
Раздел 3. Сообщения о деятельности организации
3.1 Управляющая компания паевого инвестиционного фонда, инвестиционные паи которого не ограничены в обороте Сообщение о формировании паевого инвестиционного фонда, которое должно содержать следующие данные:
номер и дата регистрации правил доверительного управления паевым инвестиционным фондом;
ссылка на страницу сайта, на которой размещены правила доверительного управления паевым инвестиционным фондом;
дата начала срока приема заявок на приобретение инвестиционных паев при формировании паевого инвестиционного фонда;
дата завершения (окончания) срока формирования паевого инвестиционного фонда;
порядок подачи заявок на приобретение инвестиционных паев при формировании паевого инвестиционного фонда;
перечень имущества, которое может быть передано в оплату инвестиционных паев;
порядок передачи имущества в оплату инвестиционных паев;
минимальная сумма денежных средств (стоимость имущества), передачей в оплату инвестиционных паев которой (которого) обусловлена выдача инвестиционных паев;
реквизиты транзитного счета (транзитного счета депо), открытого для перечисления на него денежных средств (ценных бумаг), передаваемых в оплату инвестиционных паев
Информация должна раскрываться в отношении каждого паевого инвестиционного фонда, инвестиционные паи которого не ограничены в обороте, находящегося в стадии формирования.
Информация должна раскрываться одновременно с раскрытием на сайте правил доверительного управления паевым инвестиционным фондом.
Информация должна быть доступна на сайте со дня ее раскрытия до дня завершения (окончания) формирования паевого инвестиционного фонда
3.2 Управляющая компания паевого инвестиционного фонда, инвестиционные паи которого не ограничены в обороте Сообщение о регистрации Банком России изменений и дополнений, вносимых в правила доверительного управления паевым инвестиционным фондом, которое должно содержать следующие данные:
дата регистрации изменений и дополнений, вносимых в правила доверительного управления паевым инвестиционным фондом;
дата вступления в силу зарегистрированных Банком России изменений и дополнений, вносимых в правила доверительного управления паевым инвестиционным фондом, или порядок ее определения;
информация о приобретении владельцами инвестиционных паев закрытого паевого инвестиционного фонда права требовать погашения всех или части принадлежащих им инвестиционных паев (если владельцы инвестиционных паев закрытого паевого инвестиционного фонда голосовали против принятия решения об утверждении изменений и дополнений, вносимых в правила доверительного управления закрытым паевым инвестиционным фондом, или решения о передаче прав и обязанностей по договору доверительного управления закрытым паевым инвестиционным фондом другой управляющей компании, или решения о продлении срока действия договора доверительного управления закрытым паевым инвестиционным фондом);
дата начала и дата окончания срока приема заявок на погашение инвестиционных паев (если владельцы инвестиционных паев закрытого паевого инвестиционного фонда приобрели право требовать погашения инвестиционных паев);
Информация должна раскрываться в отношении каждого паевого инвестиционного фонда, инвестиционные паи которого не ограничены в обороте, находящегося в доверительном управлении управляющей компании.
Информация должна раскрываться одновременно с раскрытием на сайте изменений и дополнений, вносимых в правила доверительного управления паевым инвестиционным фондом.
Информация должна быть доступна на сайте со дня ее раскрытия до наиболее ранней из следующих дат:
до даты истечения трех лет со дня раскрытия информации в соответствии с настоящей строкой;
до даты исключения паевого инвестиционного фонда из реестра паевых инвестиционных фондов
    дата проведения в реестре владельцев инвестиционных паев операции дробления инвестиционных паев, коэффициент дробления, разъяснение последствий дробления инвестиционных паев для их владельцев (если изменения и дополнения, вносимые в правила доверительного управления закрытым паевым инвестиционным фондом, предусматривают увеличение количества выданных инвестиционных паев закрытого паевого инвестиционного фонда в результате их дробления);
сведения о необходимости изменения данных анкеты зарегистрированного лица в реестре владельцев инвестиционных паев в части указания реквизитов банковского счета (счетов) зарегистрированного лица (если изменения и дополнения, вносимые в правила доверительного управления паевым инвестиционным фондом, предусматривают установление права владельцев инвестиционных паев на получение дохода по инвестиционному паю);
ссылка на страницу сайта, на которой размещены изменения и дополнения, вносимые в правила доверительного управления паевым инвестиционным фондом;
ссылка на страницу сайта, на которой размещен текст правил доверительного управления паевым инвестиционным фондом с внесенными изменениями и дополнениями в правила доверительного управления паевым инвестиционным фондом
 
3.3 Акционерный инвестиционный фонд, акции которого не ограничены в обороте Сообщение о принятии общим собранием акционеров (советом директоров (наблюдательным советом) решения об утверждении инвестиционной декларации акционерного инвестиционного фонда, которое должно содержать следующие данные:
сведения о наличии кворума общего собрания акционеров (заседания совета директоров (наблюдательного совета) и результаты голосования;
содержание решения, принятого общим собранием акционеров (советом директоров (наблюдательным советом);
дата проведения общего собрания акционеров (заседания совета директоров (наблюдательного совета), на котором принято решение;
дата составления и номер протокола общего собрания акционеров (заседания совета директоров (наблюдательного совета), на котором принято решение
Информация должна раскрываться в срок не позднее пяти рабочих дней со дня составления протокола общего собрания акционеров (заседания совета директоров (наблюдательного совета).
Информация должна быть доступна на сайте в течение трех лет со дня ее раскрытия
3.4 Акционерный инвестиционный фонд, акции которого не ограничены в обороте Сообщение о принятии общим собранием акционеров (советом директоров (наблюдательным советом) решения об утверждении изменений и дополнений, вносимых в инвестиционную декларацию акционерного инвестиционного фонда, которое должно содержать следующие данные:
сведения о наличии кворума заседания общего собрания акционеров (совета директоров (наблюдательного совета) и результаты голосования;
содержание решения, принятого общим собранием акционеров (советом директоров (наблюдательным советом);
дата проведения общего собрания акционеров (заседания совета директоров (наблюдательного совета), на котором принято решение;
дата составления и номер протокола общего собрания акционеров (заседания совета директоров (наблюдательного совета), на котором принято решение
Информация должна раскрываться в срок не позднее пяти рабочих дней со дня составления протокола общего собрания акционеров (заседания совета директоров (наблюдательного совета).
Информация должна быть доступна на сайте в течение трех лет со дня ее раскрытия
3.5 Акционерный инвестиционный фонд, акции которого не ограничены в обороте Сообщение о принятии советом директоров (наблюдательным советом) решения о заключении или прекращении договоров с управляющей компанией, специализированным депозитарием, регистратором, оценщиком и (или) аудиторской организацией акционерного инвестиционного фонда, которое должно содержать следующие данные:
сведения о наличии кворума заседания совета директоров (наблюдательного совета) и результаты голосования;
содержание решения, принятого советом директоров (наблюдательным советом);
дата проведения заседания совета директоров (наблюдательного совета), на котором принято решение;
дата составления и номер протокола заседания совета директоров (наблюдательного совета), на котором принято решение
Информация должна раскрываться в срок не позднее пяти рабочих дней со дня составления протокола заседания совета директоров (наблюдательного совета).
Информация должна быть доступна на сайте в течение трех лет со дня ее раскрытия
3.6 Управляющая компания паевого инвестиционного фонда, инвестиционные паи которого не ограничены в обороте;
акционерный инвестиционный фонд, акции которого не ограничены в обороте
Сообщение о стоимости чистых активов паевого инвестиционного фонда (акционерного инвестиционного фонда) и расчетной стоимости инвестиционного пая (стоимости чистых активов акционерного инвестиционного фонда в расчете на одну акцию), которое должно содержать следующие данные:
стоимость чистых активов паевого инвестиционного фонда (акционерного инвестиционного фонда) и расчетная стоимость инвестиционного пая (стоимость чистых активов акционерного инвестиционного фонда в расчете на одну акцию), а также дата, по состоянию на которую они определены;
стоимость чистых активов паевого инвестиционного фонда (акционерного инвестиционного фонда) и расчетная стоимость инвестиционного пая (стоимость чистых активов акционерного инвестиционного фонда в расчете на одну акцию) на предыдущую дату, на которую они определялись, а также указание на эту дату;
процентное изменение стоимости чистых активов паевого инвестиционного фонда (акционерного инвестиционного фонда) и расчетной стоимости инвестиционного пая (стоимости чистых активов акционерного инвестиционного фонда в расчете на одну акцию) по сравнению со стоимостью чистых активов паевого инвестиционного фонда (акционерного инвестиционного фонда) и расчетной стоимостью инвестиционного пая (стоимостью чистых активов акционерного инвестиционного фонда в расчете на одну акцию) на предыдущую дату, на которую они определялись;
величина отклонения прироста (в процентах) расчетной стоимости инвестиционного пая (стоимости чистых активов акционерного инвестиционного фонда в расчете на одну акцию) от прироста (в процентах) значения индекса, предусмотренного инвестиционной декларацией паевого инвестиционного фонда (акционерного инвестиционного фонда) за двадцать рабочих дней и за двести пятьдесят рабочих дней, предшествующих дате определения стоимости чистых активов паевого инвестиционного фонда (акционерного инвестиционного фонда) (в случае если инвестиционной декларацией паевого инвестиционного фонда (акционерного инвестиционного фонда) предусмотрен индекс)
Информация должна раскрываться в отношении каждого паевого инвестиционного фонда, инвестиционные паи которого не ограничены в обороте, находящегося в доверительном управлении управляющей компании (акционерного инвестиционного фонда, акции которого не ограничены в обороте).
Информация должна раскрываться в срок не позднее одного рабочего дня со дня ее определения в соответствии с пунктом 6 статьи 26, статьей 36 Федерального закона "Об инвестиционных фондах".
Информация в отношении паевого инвестиционного фонда должна быть доступна на сайте со дня ее раскрытия до наиболее ранней из следующих дат:
до даты раскрытия измененной информации в соответствии с настоящей строкой;
до даты исключения паевого инвестиционного фонда из реестра паевых инвестиционных фондов.
Информация в отношении акционерного инвестиционного фонда должна быть доступна на сайте со дня ее раскрытия до дня раскрытия измененной информации в соответствии с настоящей строкой
3.7 Управляющая компания паевого инвестиционного фонда, инвестиционные паи которого не ограничены в обороте Сообщение о возникновении (наступлении) оснований для включения в состав паевого инвестиционного фонда имущества, переданного в оплату инвестиционных паев при формировании паевого инвестиционного фонда (далее - возникновение (наступление) оснований для включения имущества), которое должно содержать следующие данные:
дата начала и дата завершения (окончания) срока формирования паевого инвестиционного фонда;
размер стоимости имущества, необходимого для завершения (окончания) формирования паевого инвестиционного фонда;
дата возникновения (наступления) оснований для включения в состав паевого инвестиционного фонда имущества, переданного в оплату инвестиционных паев;
стоимость имущества, подлежащего включению в состав паевого инвестиционного фонда, на дату возникновения (наступления) оснований для включения имущества в состав паевого инвестиционного фонда
Информация должна раскрываться в отношении каждого паевого инвестиционного фонда, инвестиционные паи которого не ограничены в обороте, находящегося в стадии формирования.
Информация должна раскрываться в срок не позднее одного рабочего дня со дня возникновения (наступления) оснований для включения имущества.
Информация должна быть доступна на сайте со дня ее раскрытия до наиболее ранней из следующих дат:
до даты истечения трех лет со дня раскрытия информации в соответствии с настоящей строкой;
до даты исключения паевого инвестиционного фонда из реестра паевых инвестиционных фондов
3.8 Управляющая компания паевого инвестиционного фонда, инвестиционные паи которого не ограничены в обороте Сообщение о завершении (окончании) формирования паевого инвестиционного фонда, которое должно содержать следующие данные:
дата начала срока формирования паевого инвестиционного фонда;
размер стоимости имущества, необходимого для завершения (окончания) формирования паевого инвестиционного фонда;
дата завершения (окончания) формирования паевого инвестиционного фонда;
стоимость имущества, составляющего паевой инвестиционный фонд, на дату завершения (окончания) его формирования;
стоимость чистых активов паевого инвестиционного фонда на дату завершения (окончания) его формирования;
расчетная стоимость инвестиционного пая на дату завершения (окончания) его формирования
Информация должна раскрываться в отношении каждого паевого инвестиционного фонда, инвестиционные паи которого не ограничены в обороте, находящегося в доверительном управлении управляющей компании.
Информация должна раскрываться в срок не позднее одного рабочего дня со дня завершения (окончания) формирования открытого, биржевого или интервального паевого инвестиционного фонда, или не позднее одного рабочего дня со дня получения управляющей компанией уведомления о регистрации изменений и дополнений, вносимых в правила доверительного управления закрытым паевым инвестиционным фондом в части, касающейся количества выданных инвестиционных паев при формировании закрытого паевого инвестиционного фонда.
Информация должна быть доступна на сайте со дня ее раскрытия до наиболее ранней из следующих дат:
до даты истечения трех лет со дня раскрытия информации в соответствии с настоящей строкой;
до даты исключения паевого инвестиционного фонда из реестра паевых инвестиционных фондов
3.9 Управляющая компания паевого инвестиционного фонда, инвестиционные паи которого не ограничены в обороте Сообщение о том, что по завершении (окончании) срока формирования паевого инвестиционного фонда стоимость имущества, переданного в оплату инвестиционных паев, оказалась меньше стоимости имущества, необходимой для завершения (окончания) его формирования, которое должно содержать следующие данные:
указание на то, что паевой инвестиционный фонд по истечении срока его формирования не сформирован, выдача инвестиционных паев не осуществляется, имущество, переданное в оплату инвестиционных паев, а также доходы, в том числе доходы и выплаты по ценным бумагам, подлежат возврату лицам, передавшим его в оплату инвестиционных паев;
порядок и сроки, которые установлены правилами доверительного управления паевым инвестиционным фондом для возврата имущества, переданного в оплату инвестиционных паев
Информация должна раскрываться в отношении каждого паевого инвестиционного фонда, инвестиционные паи которого не ограничены в обороте, находящегося в стадии формирования, если стоимость имущества, переданного в оплату инвестиционных паев, оказалась меньше стоимости имущества, необходимой для завершения (окончания) формирования паевого инвестиционного фонда.
Информация должна раскрываться в срок не позднее одного рабочего дня со дня завершения (окончания) срока формирования паевого инвестиционного фонда.
Информация должна быть доступна на сайте в течение трех лет со дня ее раскрытия
3.10 Управляющая компания закрытого паевого инвестиционного фонда, инвестиционные паи которого не ограничены в обороте Сообщение об отказе Банка России в регистрации изменений и дополнений, вносимых в правила доверительного управления закрытым паевым инвестиционным фондом в части, касающейся количества выданных инвестиционных паев при формировании закрытого паевого инвестиционного фонда, в связи с нарушением требований к формированию закрытого паевого инвестиционного фонда, которое должно содержать следующие данные:
указание на то, что закрытый паевой инвестиционный фонд не сформирован, имущество, переданное в оплату инвестиционных паев, и доходы, в том числе доходы и выплаты по ценным бумагам, подлежат возврату лицам, передавшим указанное имущество в оплату инвестиционных паев, инвестиционные паи подлежат погашению одновременно с возвратом имущества лицам, передавшим его в оплату инвестиционных паев, независимо от того, заявил ли владелец указанных инвестиционных паев требование об их погашении;
порядок и сроки, которые установлены правилами доверительного управления закрытым паевым инвестиционным фондом для возврата имущества, переданного в оплату инвестиционных паев
Информация должна раскрываться в отношении каждого закрытого паевого инвестиционного фонда, инвестиционные паи которого не ограничены в обороте, находящегося в стадии формирования, в случае отказа Банка России в регистрации изменений и дополнений, вносимых в правила доверительного управления закрытым паевым инвестиционным фондом в части, касающейся количества выданных инвестиционных паев при формировании закрытого паевого инвестиционного фонда, в связи с нарушением требований к формированию закрытого паевого инвестиционного фонда.
Информация должна раскрываться в срок не позднее одного рабочего дня со дня получения уведомления об отказе Банка России в регистрации изменений и дополнений, вносимых в правила доверительного управления закрытым паевым инвестиционным фондом.
Информация должна быть доступна на сайте в течение трех лет со дня ее раскрытия
3.11 Управляющая компания интервального паевого инвестиционного фонда, инвестиционные паи которого не ограничены в обороте Сообщение о начале срока приема заявок на приобретение, погашение и обмен инвестиционных паев интервального паевого инвестиционного фонда, которое должно содержать следующие данные:
дата начала и дата окончания срока приема заявок на приобретение, погашение и обмен инвестиционных паев;
порядок подачи заявок на приобретение, погашение и обмен инвестиционных паев;
перечень имущества, которое может быть передано в оплату инвестиционных паев;
порядок передачи имущества в оплату инвестиционных паев;
минимальная сумма денежных средств (стоимость имущества), передачей в оплату инвестиционных паев которой (которого) обусловлена выдача инвестиционных паев;
реквизиты транзитного счета (транзитного счета депо), открытого для перечисления на него денежных средств (ценных бумаг), передаваемых в оплату инвестиционных паев
Информация должна раскрываться в отношении каждого интервального паевого инвестиционного фонда, инвестиционные паи которого не ограничены в обороте, находящегося в доверительном управлении управляющей компании.
Информация должна раскрываться не позднее начала срока приема заявок на приобретение, погашение и обмен инвестиционных паев.
Информация должна быть доступна на сайте со дня ее раскрытия до наиболее ранней из следующих дат:
до даты истечения трех лет со дня окончания срока приема заявок на приобретение, погашение и обмен инвестиционных паев;
до даты исключения интервального паевого инвестиционного фонда из реестра паевых инвестиционных фондов
3.12 Управляющая компания закрытого паевого инвестиционного фонда, инвестиционные паи которого не ограничены в обороте Сообщение о количестве инвестиционных паев закрытого паевого инвестиционного фонда, выдаваемых при досрочном погашении инвестиционных паев, и о начале срока приема заявок на приобретение инвестиционных паев, которое должно содержать следующие данные:
дата начала и дата окончания срока приема заявок на приобретение инвестиционных паев;
порядок подачи заявок на приобретение инвестиционных паев;
количество инвестиционных паев, выдаваемых при досрочном погашении инвестиционных паев;
указание на то, что в оплату инвестиционных паев, выдаваемых при досрочном погашении инвестиционных паев, передаются только денежные средства;
очередность удовлетворения заявок на приобретение инвестиционных паев;
реквизиты транзитного счета, открытого для перечисления на него денежных средств, передаваемых в оплату инвестиционных паев
Информация должна раскрываться в отношении каждого закрытого паевого инвестиционного фонда, инвестиционные паи которого не ограничены в обороте, находящегося в доверительном управлении управляющей компании.
Информация должна раскрываться не позднее даты начала срока приема заявок на приобретение инвестиционных паев, выдаваемых при досрочном погашении инвестиционных паев.
Информация должна быть доступна на сайте со дня ее раскрытия до наиболее ранней из следующих дат:
до даты истечения трех лет со дня окончания срока приема заявок на приобретение инвестиционных паев;
до даты исключения закрытого паевого инвестиционного фонда из реестра паевых инвестиционных фондов
3.13 Управляющая компания закрытого паевого инвестиционного фонда, инвестиционные паи которого не ограничены в обороте Сообщение о принятом решении о выдаче инвестиционных паев закрытого паевого инвестиционного фонда после завершения (окончания) формирования закрытого паевого инвестиционного фонда дополнительно к количеству выданных инвестиционных паев, указанных в правилах доверительного управления закрытым паевым инвестиционным фондом (далее - дополнительные инвестиционные паи), и о начале срока приема заявок на приобретение дополнительных инвестиционных паев, которое должно содержать следующие данные:
дата начала и дата окончания срока приема заявок на приобретение дополнительных инвестиционных паев;
порядок подачи заявок на приобретение дополнительных инвестиционных паев;
максимальное количество выдаваемых дополнительных инвестиционных паев;
перечень имущества, которое может быть передано в оплату дополнительных инвестиционных паев;
порядок передачи имущества в оплату дополнительных инвестиционных паев;
минимальная сумма денежных средств (стоимость имущества), передачей в оплату дополнительных инвестиционных паев которой (которого) обусловлена выдача дополнительных инвестиционных паев;
реквизиты транзитного счета (транзитного счета депо), открытого для перечисления на него денежных средств (ценных бумаг), передаваемых в оплату дополнительных инвестиционных паев;
указание на то, что владельцы инвестиционных паев имеют преимущественное право на приобретение дополнительных инвестиционных паев;
очередность удовлетворения заявок на приобретение дополнительных инвестиционных паев
Информация должна раскрываться в отношении каждого закрытого паевого инвестиционного фонда, инвестиционные паи которого не ограничены в обороте, находящегося в доверительном управлении управляющей компании, если управляющей компанией принято решение о выдаче дополнительных инвестиционных паев.
Информация должна раскрываться в срок не позднее трех рабочих дней до даты начала срока приема заявок на приобретение дополнительных инвестиционных паев.
Информация должна быть доступна на сайте со дня ее раскрытия до наиболее ранней из следующих дат:
до даты истечения трех лет со дня окончания срока приема заявок на приобретение дополнительных инвестиционных паев;
до даты исключения закрытого паевого инвестиционного фонда из реестра паевых инвестиционных фондов
3.14 Управляющая компания закрытого паевого инвестиционного фонда, инвестиционные паи которого не ограничены в обороте Сообщение о сроке оплаты дополнительных инвестиционных паев закрытого паевого инвестиционного фонда, выдаваемых при осуществлении преимущественного права на приобретение дополнительных инвестиционных паев, которое должно содержать следующие данные:
расчетная стоимость инвестиционного пая, определенная на последний рабочий день срока приема заявок на приобретение дополнительных инвестиционных паев;
дата начала и дата окончания срока оплаты дополнительных инвестиционных паев, выдаваемых при осуществлении преимущественного права на их приобретение
Информация должна раскрываться в отношении каждого закрытого паевого инвестиционного фонда, инвестиционные паи которого не ограничены в обороте, находящегося в доверительном управлении управляющей компании, если правилами доверительного управления закрытым паевым инвестиционным фондом предусмотрена передача в оплату дополнительных инвестиционных паев неденежных средств и в течение срока приема заявок на приобретение дополнительных инвестиционных паев была принята хотя бы одна заявка на приобретение инвестиционных паев.
Информация должна раскрываться в срок не позднее одного рабочего дня, следующего за днем окончания срока приема заявок на приобретение дополнительных инвестиционных паев.
Информация должна быть доступна на сайте со дня ее раскрытия до наиболее ранней из следующих дат:
до даты истечения трех лет со дня раскрытия информации в соответствии с настоящей строкой;
до даты исключения закрытого паевого инвестиционного фонда из реестра паевых инвестиционных фондов
3.15 Управляющая компания закрытого паевого инвестиционного фонда, инвестиционные паи которого не ограничены в обороте Сообщение о количестве дополнительных инвестиционных паев закрытого паевого инвестиционного фонда, которые могут быть выданы не при осуществлении преимущественного права на их приобретение, которое должно содержать следующие данные:
количество указанных инвестиционных паев;
дата начала и дата окончания срока оплаты указанных инвестиционных паев;
расчетная стоимость инвестиционного пая, определенная на последний рабочий день срока приема заявок на приобретение дополнительных инвестиционных паев
Информация должна раскрываться в отношении каждого закрытого паевого инвестиционного фонда, инвестиционные паи которого не ограничены в обороте, находящегося в доверительном управлении управляющей компании, если правилами доверительного управления закрытым паевым инвестиционным фондом предусмотрена передача в оплату дополнительных инвестиционных паев неденежных средств.
Информация должна раскрываться в один из следующих сроков:
не позднее одного рабочего дня, следующего за днем окончания срока приема заявок на приобретение дополнительных инвестиционных паев закрытого паевого инвестиционного фонда (если в течение срока приема заявок на приобретение дополнительных инвестиционных паев не было принято ни одной заявки на приобретение инвестиционных паев при осуществлении преимущественного права на их приобретение);
не позднее одного рабочего дня, следующего за днем окончания срока оплаты дополнительных инвестиционных паев закрытого фонда, выдаваемых при осуществлении преимущественного права на их приобретение (если в течение срока приема заявок на приобретение дополнительных инвестиционных паев были приняты заявки на приобретение инвестиционных паев при осуществлении преимущественного права на их приобретение).
Информация должна быть доступна на сайте со дня ее раскрытия до наиболее ранней из следующих дат:
до даты истечения трех лет со дня раскрытия информации в соответствии с настоящей строкой;
до даты исключения закрытого паевого инвестиционного фонда из реестра паевых инвестиционных фондов
3.16 Управляющая компания паевого инвестиционного фонда, инвестиционные паи которого не ограничены в обороте Сообщение о приостановлении выдачи (одновременном приостановлении выдачи, погашения и обмена) инвестиционных паев паевого инвестиционного фонда, которое должно содержать следующие данные:
причины приостановления выдачи (одновременного приостановления выдачи, погашения и обмена) инвестиционных паев;
дата, с которой приостановлена выдача (одновременно приостановлены выдача, погашение и обмен) инвестиционных паев;
срок, на который приостановлена выдача (одновременно приостановлены выдача, погашение и обмен) инвестиционных паев
Информация должна раскрываться в отношении каждого паевого инвестиционного фонда, инвестиционные паи которого не ограничены в обороте, находящегося в доверительном управлении управляющей компании.
Информация должна раскрываться в срок не позднее одного рабочего дня, следующего за днем принятия управляющей компанией решения о приостановлении выдачи (одновременном приостановлении выдачи, погашения и обмена) инвестиционных паев.
Информация должна быть доступна на сайте со дня ее раскрытия до наиболее ранней из следующих дат:
до даты истечения трех лет со дня возобновления выдачи (возобновления выдачи, погашения и обмена) инвестиционных паев;
до даты исключения паевого инвестиционного фонда из реестра паевых инвестиционных фондов
3.17 Управляющая компания паевого инвестиционного фонда, инвестиционные паи которого не ограничены в обороте Сообщение о возобновлении выдачи (одновременном возобновлении выдачи, погашения и обмена) инвестиционных паев паевого инвестиционного фонда, которое должно содержать следующие данные:
дата, с которой возобновлена выдача или одновременно выдача, погашение и обмен инвестиционных паев;
стоимость чистых активов и расчетная стоимость инвестиционного пая на день возобновления выдачи или одновременно выдачи, погашения и обмена инвестиционных паев
Информация должна раскрываться в отношении каждого паевого инвестиционного фонда, инвестиционные паи которого не ограничены в обороте, находящегося в доверительном управлении управляющей компании.
Информация должна раскрываться в срок не позднее одного рабочего дня, следующего за днем принятия управляющей компанией решения о возобновлении выдачи (возобновлении выдачи, погашения, обмена инвестиционных паев).
Информация должна быть доступна на сайте со дня ее раскрытия до наиболее ранней из следующих дат:
до даты истечения трех лет со дня раскрытия информации в соответствии с настоящей строкой;
до даты исключения паевого инвестиционного фонда из реестра паевых инвестиционных фондов
3.18 Управляющая компания паевого инвестиционного фонда, инвестиционные паи которого не ограничены в обороте Сообщение о выплате дохода по инвестиционным паям паевого инвестиционного фонда (далее - выплата дохода), которое должно содержать следующие данные:
сумма дохода, подлежащая распределению среди владельцев инвестиционных паев;
сумма дохода по одному инвестиционному паю, подлежащая выплате;
дата начала и дата завершения (окончания) срока выплаты дохода (указывается, в случае если сумма дохода по одному инвестиционному паю больше нуля);
порядок выплаты дохода (указывается, в случае если сумма дохода по одному инвестиционному паю больше нуля)
Информация должна раскрываться в отношении каждого паевого инвестиционного фонда, инвестиционные паи которого не ограничены в обороте, находящегося в доверительном управлении управляющей компании, если правилами доверительного управления паевым инвестиционным фондом предусмотрена возможность выплаты дохода.
Информация должна раскрываться в срок не позднее одного рабочего дня, следующего за днем возникновения обязательства по выплате дохода.
Информация должна быть доступна на сайте со дня ее раскрытия до наиболее ранней из следующих дат:
до даты истечения трех лет со дня истечения срока выплаты дохода;
до даты исключения паевого инвестиционного фонда из реестра паевых инвестиционных фондов
3.19 Управляющая компания паевого инвестиционного фонда, инвестиционные паи которого не ограничены в обороте Сообщение о дроблении инвестиционных паев паевого инвестиционного фонда, которое должно содержать следующие данные:
дата принятия решения о дроблении инвестиционных паев;
дата проведения в реестре владельцев инвестиционных паев паевого инвестиционного фонда (далее - реестр владельцев инвестиционных паев) операции дробления инвестиционных паев;
коэффициент дробления (количество инвестиционных паев, образующееся в результате дробления одного инвестиционного пая);
разъяснения последствий дробления инвестиционных паев для владельцев инвестиционных паев
Информация должна раскрываться в отношении каждого паевого инвестиционного фонда, инвестиционные паи которого не ограничены в обороте, находящегося в доверительном управлении управляющей компании, если управляющей компанией принято решение о дроблении инвестиционных паев паевого инвестиционного фонда.
Информация должна раскрываться в один из следующих сроков:
информация о дроблении инвестиционных паев интервального паевого инвестиционного фонда - не позднее чем за один день до дня начала срока приема заявок на приобретение, погашение и обмен инвестиционных паев этого фонда, дата окончания которого предшествует дате совершения в реестре владельцев инвестиционных паев операции дробления инвестиционных паев;
информация о дроблении инвестиционных паев иных паевых инвестиционных фондов - не позднее десяти рабочих дней до дня совершения в реестре владельцев инвестиционных паев операции дробления инвестиционных паев.
Информация должна быть доступна на сайте со дня ее раскрытия до наиболее ранней из следующих дат:
до даты истечения трех лет со дня проведения операции дробления инвестиционных паев;
до даты исключения паевого инвестиционного фонда из реестра паевых инвестиционных фондов
3.20 Управляющая компания паевого инвестиционного фонда, инвестиционные паи которого не ограничены в обороте Сообщение о принятии решения о передаче прав и обязанностей по договору доверительного управления паевым инвестиционным фондом другой управляющей компании (далее - решение о передаче прав и обязанностей), которое должно содержать следующие данные:
сведения об управляющей компании, которой передаются права и обязанности по договору доверительного управления паевым инвестиционным фондом - наименование, основной государственный регистрационный номер (ОГРН), номер и дата выдачи лицензии управляющей компании, место нахождения (адрес), номер телефона, ссылка на сайт;
дата принятия решения о передаче прав и обязанностей, а также указание на то, кем принято решение о передаче прав и обязанностей;
указание на то, что до даты вступления в силу изменений и дополнений, вносимых в правила доверительного управления паевым инвестиционным фондом, связанных с передачей прав и обязанностей по договору доверительного управления паевым инвестиционным фондом другой управляющей компании, доверительное управление указанным паевым инвестиционным фондом осуществляет управляющая компания, которая передает права и обязанности по договору доверительного управления паевым инвестиционным фондом;
в случае принятия решения о передаче прав и обязанностей по договору доверительного управления закрытым паевым инвестиционным фондом другой управляющей компании - указание на то, что владельцы инвестиционных паев, голосовавшие против принятия указанного решения, приобретают право требовать от управляющей компании этого фонда погашения принадлежащих им инвестиционных паев
Информация должна раскрываться в отношении каждого паевого инвестиционного фонда, инвестиционные паи которого не ограничены в обороте, находящегося в доверительном управлении управляющей компании, в случае принятия решения о передаче прав и обязанностей.
Информация должна раскрываться в срок не позднее одного рабочего дня со дня принятия решения о передаче прав и обязанностей.
Информация должна быть доступна на сайте со дня ее раскрытия до наиболее ранней из следующих дат:
до даты истечения трех лет со дня раскрытия информации в соответствии с настоящей строкой;
до даты исключения паевого инвестиционного фонда из реестра паевых инвестиционных фондов
3.21 Управляющая компания паевого инвестиционного фонда, инвестиционные паи которого не ограничены в обороте Сообщение об отказе Банка России в регистрации изменений и дополнений, вносимых в правила доверительного управления паевым инвестиционным фондом, связанных с передачей прав и обязанностей по договору доверительного управления паевым инвестиционным фондом другой управляющей компании, которое должно содержать следующие данные:
указание на то, что передача прав и обязанностей по договору доверительного управления паевым инвестиционным фондом другой управляющей компанией не состоялась;
ссылка на ранее раскрытую информацию в соответствии со строкой 3.20 настоящего приложения
Информация должна раскрываться в отношении каждого паевого инвестиционного фонда, инвестиционные паи которого не ограничены в обороте, находящегося в доверительном управлении управляющей компании, в случае отказа Банка России в регистрации изменений и дополнений, вносимых в правила доверительного управления паевым инвестиционным фондом, связанных с передачей прав и обязанностей по договору доверительного управления паевым инвестиционным фондом другой управляющей компании.
Информация должна раскрываться в срок не позднее одного рабочего дня со дня получения уведомления об отказе Банка России в регистрации изменений и дополнений в правила доверительного управления паевым инвестиционным фондом, связанных с передачей прав и обязанностей по договору доверительного управления паевым инвестиционным фондом другой управляющей компании.
Информация должна быть доступна на сайте со дня ее раскрытия до наиболее ранней из следующих дат:
до даты истечения трех лет со дня раскрытия информации в соответствии с настоящей строкой;
до даты исключения паевого инвестиционного фонда из реестра паевых инвестиционных фондов
3.22 Управляющая компания паевого инвестиционного фонда, инвестиционные паи которого не ограничены в обороте Сообщение о принятии решения об изменении типа паевого инвестиционного фонда, которое должно содержать следующие данные:
дата принятия указанного решения;
новый тип паевого инвестиционного фонда;
разъяснения последствий изменения типа паевого инвестиционного фонда для владельцев инвестиционных паев, в том числе изменения объема прав, удостоверяемых инвестиционными паями
Информация должна раскрываться в отношении каждого паевого инвестиционного фонда, инвестиционные паи которого не ограничены в обороте, находящегося в доверительном управлении управляющей компании, в случае принятия решения об изменении типа паевого инвестиционного фонда.
Информация должна раскрываться в один из следующих сроков:
информация о принятии решения об изменении типа интервального паевого инвестиционного фонда - не позднее дня начала срока приема заявок на приобретение, погашение и обмен инвестиционных паев, дата окончания которого предшествует дню представления для регистрации в Банк России изменений и дополнений, вносимых в правила доверительного управления интервальным паевым инвестиционным фондом, связанных с изменением типа интервального паевого инвестиционного фонда;
информация о принятии решения об изменении типа иного паевого инвестиционного фонда - не позднее десяти рабочих дней до дня представления для регистрации в Банк России изменений и дополнений, вносимых в правила доверительного управления паевым инвестиционным фондом, связанных с изменением типа паевого инвестиционного фонда.
Информация должна быть доступна на сайте со дня ее раскрытия до наиболее ранней из следующих дат:
до даты истечения трех лет со дня раскрытия информации в соответствии с настоящей строкой;
до даты исключения паевого инвестиционного фонда из реестра паевых инвестиционных фондов
3.23 Управляющая компания паевого инвестиционного фонда, инвестиционные паи которого не ограничены в обороте Сообщение об отказе Банка России в регистрации изменений и дополнений, вносимых в правила доверительного управления паевым инвестиционным фондом, связанных с изменением типа паевого инвестиционного фонда, которое должно содержать следующие данные:
указание на то, что изменение типа паевого инвестиционного фонда не состоялось;
ссылка на ранее раскрытую информацию в соответствии со строкой 3.22 настоящего приложения
Информация должна раскрываться в отношении каждого паевого инвестиционного фонда, инвестиционные паи которого не ограничены в обороте, находящегося в доверительном управлении управляющей компании, в случае отказа Банка России в регистрации изменений и дополнений, вносимых в правила доверительного управления паевым инвестиционным фондом, связанных с изменением типа паевого инвестиционного фонда.
Информация должна раскрываться в срок не позднее одного рабочего дня со дня получения уведомления об отказе Банка России в регистрации изменений и дополнений, вносимых в правила доверительного управления паевым инвестиционным фондом, связанных с изменением типа паевого инвестиционного фонда.
Информация должна быть доступна на сайте со дня ее раскрытия до наиболее ранней из следующих дат:
до даты истечения трех лет со дня раскрытия информации в соответствии с настоящей строкой;
до даты исключения паевого инвестиционного фонда из реестра паевых инвестиционных фондов
3.24 Управляющая компания паевого инвестиционного фонда, инвестиционные паи которого не ограничены в обороте;
акционерный инвестиционный фонд, акции которого не ограничены в обороте
Сообщение о конфликте интересов специализированного депозитария, возникшем при оказании им услуг управляющей компании паевого инвестиционного фонда (акционерному инвестиционному фонду), содержащее сведения о конфликте интересов специализированного депозитария, в объеме, предоставленном управляющей компании паевого инвестиционного фонда (акционерному инвестиционному фонду) специализированным депозитарием Информация должна раскрываться в срок не позднее одного рабочего дня со дня предоставления управляющей компании паевого инвестиционного фонда (акционерному инвестиционному фонду) специализированным депозитарием сведений о конфликте интересов, возникшем при оказании им услуг управляющей компании паевого инвестиционного фонда (акционерному инвестиционному фонду).
Информация в отношении управляющей компании паевого инвестиционного фонда должна быть доступна на сайте со дня ее раскрытия до наиболее ранней из следующих дат:
до даты раскрытия на сайте информации о прекращении конфликта интересов специализированного депозитария, возникшего при оказании им услуг управляющей компании паевого инвестиционного фонда в соответствии со строкой 3.25 настоящего приложения;
до даты исключения паевого инвестиционного фонда из реестра паевых инвестиционных фондов.
Информация в отношении акционерного инвестиционного фонда должна быть доступна на сайте до дня раскрытия на сайте информации о прекращении конфликта интересов специализированного депозитария, возникшего при оказании им услуг акционерному инвестиционному фонду в соответствии со строкой 3.25 настоящего приложения
3.25 Управляющая компания паевого инвестиционного фонда, инвестиционные паи которого не ограничены в обороте;
акционерный инвестиционный фонд, акции которого не ограничены в обороте
Сообщение о прекращении конфликта интересов специализированного депозитария, возникшего при оказании им услуг управляющей компании паевого инвестиционного фонда (акционерному инвестиционному фонду), содержащее сведения о прекращенном конфликте интересов в объеме, предоставленном управляющей компании паевого инвестиционного фонда (акционерному инвестиционному фонду) специализированным депозитарием Информация должна раскрываться в случае прекращения конфликта интересов специализированного депозитария, возникшего при оказании им услуг управляющей компании паевого инвестиционного фонда (акционерному инвестиционному фонду), в отношении которого раскрыта информация в соответствии со строкой 3.24 настоящего приложения.
Информация должна раскрываться в срок не позднее одного рабочего дня со дня предоставления управляющей компании паевого инвестиционного фонда (акционерному инвестиционному фонду) специализированным депозитарием сведений о прекращении конфликта интересов, возникшего при оказании им услуг управляющей компании паевого инвестиционного фонда (акционерному инвестиционному фонду).
Информация в отношении управляющей компании паевого инвестиционного фонда должна быть доступна на сайте со дня ее раскрытия до наиболее ранней из следующих дат:
до даты истечения трех лет со дня раскрытия информации в соответствии с настоящей строкой;
до даты исключения паевого инвестиционного фонда из реестра паевых инвестиционных фондов.
Информация в отношении акционерного инвестиционного фонда должна быть доступна на сайте в течение трех лет со дня ее раскрытия
3.26 Управляющая компания закрытого паевого инвестиционного фонда, инвестиционные паи которого не ограничены в обороте Сообщение о дате составления списка владельцев инвестиционных паев (далее - список лиц) закрытого паевого инвестиционного фонда для частичного погашения инвестиционных паев без заявления владельцами инвестиционных паев требований об их погашении, которое должно содержать следующие данные:
количество инвестиционных паев, подлежащих частичному погашению, в процентах от общего количества выданных инвестиционных паев указанного фонда на дату составления списка лиц;
дата частичного погашения инвестиционных паев;
срок, в течение которого осуществляется частичное погашение в соответствии с правилами доверительного управления закрытым паевым инвестиционным фондом;
дата начала и дата окончания срока, в течение которого управляющая компания должна осуществить выплаты по погашенным инвестиционным паям в соответствии с правилами доверительного управления закрытым паевым инвестиционным фондом;
указание на то, что сумма денежной компенсации, подлежащей выплате в связи с частичным погашением, определяется на основе расчетной стоимости инвестиционного пая на дату составления списка лиц;
разъяснения последствий частичного погашения инвестиционных паев для владельцев инвестиционных паев
Информация должна раскрываться в отношении каждого закрытого паевого инвестиционного фонда, инвестиционные паи которого не ограничены в обороте, находящегося в доверительном управлении управляющей компании, если управляющей компанией принято решение о частичном погашении инвестиционных паев без заявления владельцами инвестиционных паев требований об их погашении.
Информация должна раскрываться в срок не позднее трех рабочих дней до дня составления списка лиц для частичного погашения инвестиционных паев без заявления владельцами инвестиционных паев требований об их погашении.
Информация должна быть доступна на сайте со дня ее раскрытия до наиболее ранней из следующих дат:
до даты истечения трех лет со дня частичного погашения инвестиционных паев;
до даты исключения закрытого паевого инвестиционного фонда из реестра паевых инвестиционных фондов
3.27 Управляющая компания паевого инвестиционного фонда, инвестиционные паи которого не ограничены в обороте Сообщение о дате составления списка лиц паевого инвестиционного фонда для осуществления ими своих прав, которое должно содержать следующие данные:
основание составления списка лиц;
дата составления списка лиц
Информация должна раскрываться в отношении каждого паевого инвестиционного фонда, инвестиционные паи которого не ограничены в обороте, находящегося в доверительном управлении управляющей компании.
Информация должна раскрываться в срок не позднее трех рабочих дней до дня составления списка лиц для осуществления ими своих прав.
Информация должна быть доступна на сайте со дня ее раскрытия до наиболее ранней из следующих дат:
до даты истечения трех лет со дня раскрытия информации в соответствии с настоящей строкой;
до даты исключения паевого инвестиционного фонда из реестра паевых инвестиционных фондов
3.28 Управляющая компания открытого паевого инвестиционного фонда Сообщение о принятии решения об обмене всех инвестиционных паев одного открытого паевого инвестиционного фонда на инвестиционные паи другого открытого паевого инвестиционного фонда (далее - фонд, к которому осуществляется присоединение) без заявления владельцами инвестиционных паев требований об их обмене (далее - обмен), которое должно содержать следующие данные:
дата принятия решения об обмене;
название паевого инвестиционного фонда, к которому осуществляется присоединение;
номер и дата регистрации правил доверительного управления паевым инвестиционным фондом, к которому осуществляется присоединение;
срок, в течение которого осуществляется конвертация инвестиционных паев одного открытого паевого инвестиционного фонда на инвестиционные паи другого открытого паевого инвестиционного фонда (далее - конвертация)
Информация должна раскрываться в отношении каждого открытого паевого инвестиционного фонда, находящегося в доверительном управлении управляющей компании, в случае принятия управляющей компанией решения об обмене.
Информация должна раскрываться в срок не позднее одного рабочего дня со дня принятия управляющей компанией решения об обмене.
Информация должна быть доступна на сайте со дня ее раскрытия до наиболее ранней из следующих дат:
до даты истечения трех лет со дня осуществления конвертации;
до даты исключения открытого паевого инвестиционного фонда из реестра паевых инвестиционных фондов
3.29 Управляющая компания паевого инвестиционного фонда, инвестиционные паи которого не ограничены в обороте Сообщение о принятии Банком России решения о запрете на проведение управляющей компанией всех или части операций (далее - запрет), которое должно содержать следующие данные:
перечень операций, на проведение которых введен запрет;
дата введения запрета;
срок, на который введен запрет
Информация должна раскрываться в срок не позднее одного рабочего дня со дня получения предписания Банка России о запрете.
Информация должна быть доступна на сайте со дня ее раскрытия до истечения трех лет со дня окончания срока, на который введен запрет
3.30 Управляющая компания паевого инвестиционного фонда (лицо, осуществляющее полномочия указанной управляющей компании по прекращению паевого инвестиционного фонда) Сообщение о прекращении паевого инвестиционного фонда, которое должно содержать следующие данные:
основание прекращения паевого инвестиционного фонда;
дата наступления основания прекращения паевого инвестиционного фонда;
порядок и сроки предъявления требований кредиторов, которые должны удовлетворяться за счет имущества, составляющего паевой инвестиционный фонд;
стоимость чистых активов и расчетная стоимость инвестиционного пая паевого инвестиционного фонда на дату возникновения основания его прекращения
Информация должна раскрываться в отношении каждого паевого инвестиционного фонда, находящегося в доверительном управлении управляющей компании, в случае возникновения основания для прекращения паевого инвестиционного фонда.
Информация должна раскрываться в срок не позднее пяти рабочих дней со дня возникновения основания прекращения паевого инвестиционного фонда.
Информация должна быть доступна на сайте со дня ее раскрытия до истечения трех лет со дня исключения паевого инвестиционного фонда из реестра паевых инвестиционных фондов
3.31 Управляющая компания паевого инвестиционного фонда, инвестиционные паи которого не ограничены в обороте (лицо, осуществляющее полномочия указанной управляющей компании по прекращению паевого инвестиционного фонда) Сообщение о результатах прекращения паевого инвестиционного фонда, которое должно содержать следующие данные:
общая сумма денежных средств, распределенных при прекращении паевого инвестиционного фонда между кредиторами в соответствии с очередностью;
сумма денежных средств, выплаченных при прекращении паевого инвестиционного фонда кредиторам каждой очереди;
дата составления списка лиц, имеющих право на получение денежной компенсации при прекращении паевого инвестиционного фонда;
сумма денежной компенсации, приходящейся на один инвестиционный пай, выплаченной кредиторам четвертой очереди
Информация должна раскрываться в отношении каждого паевого инвестиционного фонда, инвестиционные паи которого не ограничены в обороте, находящегося в доверительном управлении управляющей компании, в случае утверждения Банком России отчета о прекращении паевого инвестиционного фонда.
Информация должна раскрываться в срок не позднее одного рабочего дня со дня получения управляющей компанией уведомления об утверждении Банком России отчета о прекращении паевого инвестиционного фонда.
Информация должна быть доступна на сайте в течение шести месяцев со дня ее раскрытия
3.32 Управляющая компания паевого инвестиционного фонда, инвестиционные паи которого не ограничены в обороте Сообщение о событиях (действиях), которые могут оказать, по мнению управляющей компании, существенное влияние на стоимость инвестиционных паев паевого инвестиционного фонда, которое должно содержать следующие данные:
описание события (действия), наступление (совершение) которого, по мнению управляющей компании, может оказать существенное влияние на стоимость инвестиционных паев;
дата наступления события (совершения действия), а в случае если событие наступает в отношении третьего лица (действие совершается третьим лицом), - дата, на которую управляющая компания узнала о наступлении указанного события (совершении указанного действия)
Информация должна раскрываться в отношении каждого паевого инвестиционного фонда, инвестиционные паи которого не ограничены в обороте, находящегося в доверительном управлении управляющей компании, при наступлении событий (совершении действий), не указанных в иных строках разделов 1 - 3 настоящего приложения, за исключением наступления событий (совершения действий), информация о которых является общедоступной в соответствии с пунктом 1 статьи 7 Федерального закона от 27 июля 2006 года N 149-ФЗ "Об информации, информационных технологиях и о защите информации" (Собрание законодательства Российской Федерации, 2006, N 31, ст. 3448; 2013, N 23, ст. 2870), и (или) оказывающих, по мнению управляющей компании, существенное влияние на изменение величины процентных ставок, темпа роста валового внутреннего продукта, уровня инфляции, курса иностранных валют и (или) значения фондового индекса.
Информация должна раскрываться в срок не позднее трех рабочих дней со дня, когда управляющая компания узнала или должна была узнать о наступлении события (совершении действия), которое может оказать, по мнению управляющей компании, существенное влияние на стоимость инвестиционных паев.
Информация должна быть доступна на сайте со дня ее раскрытия до наиболее ранней из следующих дат:
до даты истечения трех лет со дня раскрытия информации в соответствии с настоящей строкой;
до даты исключения паевого инвестиционного фонда из реестра паевых инвестиционных фондов
3.33 Организация Сообщение о прекращении доступа к раскрываемой информации, которое должно содержать следующие данные:
причина прекращения доступа к раскрываемой информации;
фактические дата и время прекращения доступа к раскрываемой информации;
фактические дата и время возобновления доступа к раскрываемой информации
Информация должна раскрываться в срок не позднее одного часа с момента возобновления доступа к раскрываемой информации.
Информация должна быть доступна на сайте в течение трех лет со дня ее раскрытия
3.34 Организация Сообщение об обнаружении (выявлении) неточных, неполных и (или) недостоверных сведений в раскрываемой информации, которое должно содержать следующие данные:
указание на то, что сообщение размещается в связи с изменением (корректировкой) ранее размещенной информации;
ссылка на ранее размещенную информацию, которая изменяется (корректируется);
ссылка на измененную (скорректированную) информацию;
описание внесенных изменений (корректировок) в ранее размещенную информацию
Информация должна раскрываться в срок не позднее одного рабочего дня со дня обнаружения (выявления) неточных, неполных и (или) недостоверных сведений в раскрываемой информации.
Информация должна быть доступна на сайте со дня ее раскрытия и до истечения сроков, установленных разделами 1 - 3 настоящего приложения и (или) приложением 2 к настоящему Указанию, для обеспечения доступа к раскрываемой информации, которая изменялась (корректировалась)

Приложение 2
к Указанию Банка России
от 2 ноября 2020 года N 5609-У
"О раскрытии, распространении
и предоставлении информации
акционерными инвестиционными
фондами и управляющими компаниями
инвестиционных фондов, паевых
инвестиционных фондов
и негосударственных пенсионных
фондов, а также о требованиях
к расчету доходности инвестиционной
деятельности акционерного
инвестиционного фонда
и управляющей компании паевого
инвестиционного фонда"

ИНФОРМАЦИЯ, ПОДЛЕЖАЩАЯ РАСКРЫТИЮ В ВИДЕ КЛЮЧЕВОГО ИНФОРМАЦИОННОГО ДОКУМЕНТА, А ТАКЖЕ ПОРЯДОК И СРОКИ ЕЕ РАСКРЫТИЯ

1. Управляющая компания паевого инвестиционного фонда должна раскрывать информацию о паевом инвестиционном фонде, инвестиционные паи которого не ограничены в обороте, доверительное управление которым она осуществляет, а также акционерный инвестиционный фонд, акции которого не ограничены в обороте, - об указанном акционерном инвестиционном фонде в виде ключевого информационного документа, содержащего указание на вид документа: "Ключевой информационный документ", а также следующие разделы: "Общие сведения", "Внимание", "Инвестиционная стратегия", "Основные инвестиционные риски", "Основные результаты инвестирования", "Комиссии", "Иная информация" (в указанной последовательности).

2. В разделе "Общие сведения" должна содержаться следующая информация:

2.1. дата, по состоянию на которую составлен ключевой информационный документ;

2.2. указание на то, что ключевой информационный документ предоставляется в соответствии с требованиями настоящего Указания, информация приведена для описания характеристик и рисков паевого инвестиционного фонда (акционерного инвестиционного фонда), а также для возможности его сравнения с другими инструментами инвестирования;

2.3. название паевого инвестиционного фонда (наименование акционерного инвестиционного фонда);

2.4. наименование управляющей компании паевого инвестиционного фонда (управляющей компании акционерного инвестиционного фонда).

3. В разделе "Внимание" должна содержаться следующая информация:

3.1. положение о том, что возврат и доходность инвестиций в паевой инвестиционный фонд (акционерный инвестиционный фонд) не гарантированы государством или иными лицами;

3.2. положение о том, что результаты инвестирования в прошлом не определяют доходов в будущем, стоимость инвестиционных паев паевого инвестиционного фонда (акций акционерного инвестиционного фонда) может увеличиваться и уменьшаться;

3.3. указание на случаи, при которых владелец инвестиционного пая имеет право требовать от управляющей компании паевого инвестиционного фонда погашения инвестиционного пая в соответствии с абзацами вторым - пятым пункта 1 статьи 14 Федерального закона "Об инвестиционных фондах";

3.4. предупреждение о необходимости перед приобретением инвестиционных паев (акций) внимательно ознакомиться с правилами доверительного управления паевым инвестиционным фондом (уставом, инвестиционной декларацией и проспектом акций акционерного инвестиционного фонда) с указанием ссылки на страницу сайта, на которой размещены указанные документы.

4. В разделе "Инвестиционная стратегия" должна содержаться следующая информация:

4.1. сведения об инвестиционной стратегии управляющей компании паевого инвестиционного фонда (акционерного инвестиционного фонда) с указанием на реализацию инвестиционной стратегии пассивного управления (в случае если инвестиционной декларацией паевого инвестиционного фонда (акционерного инвестиционного фонда) предусмотрено следование доходности паевого инвестиционного фонда (акционерного инвестиционного фонда) индексу и (или) соответствие состава и структуры активов паевого инвестиционного фонда (акционерного инвестиционного фонда) составу и структуре активов, входящих в расчет индекса) или активного управления (в иных случаях), а также наименование индекса, предусмотренного инвестиционной декларацией паевого инвестиционного фонда (акционерного инвестиционного фонда) (при наличии);

4.2. основные виды активов, в которые инвестируется имущество, составляющее паевой инвестиционный фонд (имущество, принадлежащее акционерному инвестиционному фонду) (далее - инвестиционный портфель);

4.3. общее количество объектов инвестирования (например, ценных бумаг одного выпуска, объектов недвижимого имущества) в инвестиционном портфеле, на дату, указанную в подпункте 2.1 пункта 2 настоящего приложения;

4.4. сведения о пяти объектах инвестирования в инвестиционном портфеле (например, наименование эмитента и регистрационный номер (государственный регистрационный номер, идентификационный номер) выпуска ценной бумаги, вид и кадастровый номер объекта недвижимого имущества), доля стоимости которых от стоимости инвестиционного портфеля на дату, указанную в подпункте 2.1 пункта 2 настоящего приложения, является максимальной, а также величина указанной доли в процентах.

5. В разделе "Основные инвестиционные риски" должна содержаться следующая информация: инвестиционные риски, связанные с инвестированием в паевой инвестиционный фонд (акционерный инвестиционный фонд), указание на вероятность реализации указанных рисков (например, низкая, средняя либо высокая вероятность) и указание на объем потенциальных потерь при их реализации (например, незначительный, средний либо значительный объем), по мнению управляющей компании паевого инвестиционного фонда (акционерного инвестиционного фонда).

6. В разделе "Основные результаты инвестирования" должна содержаться следующая информация:

6.1. дата, по состоянию на которую определяются результаты инвестирования, - последний день месяца, предшествующего дате раскрытия ключевого информационного документа, по состоянию на который определялась расчетная стоимость инвестиционного пая паевого инвестиционного фонда (стоимость чистых активов акционерного инвестиционного фонда в расчете на одну акцию) (информация указывается, в случае если дата, по состоянию на которую определяются результаты инвестирования, отличается от даты, указанной в подпункте 2.1 пункта 2 настоящего приложения);

6.2. расчетная стоимость инвестиционного пая паевого инвестиционного фонда (стоимость чистых активов акционерного инвестиционного фонда в расчете на одну акцию), определенная по состоянию на дату, указанную в подпункте 6.1 настоящего пункта, или по состоянию на дату, указанную в подпункте 2.1 пункта 2 настоящего приложения, в зависимости от того, какая из указанных дат наступила ранее;

6.3. стоимость чистых активов паевого инвестиционного фонда (акционерного инвестиционного фонда), определенная на дату, указанную в подпункте 6.1 настоящего пункта, или по состоянию на дату, указанную в подпункте 2.1 пункта 2 настоящего приложения, в зависимости от того, какая из указанных дат наступила ранее;

6.4. сведения о приросте расчетной стоимости инвестиционного пая паевого инвестиционного фонда (приросте стоимости чистых активов акционерного инвестиционного фонда в расчете на одну акцию), определенные в соответствии с подпунктами 20.1 - 20.6 пункта 20 настоящего Указания, за каждый из пяти завершенных календарных лет, предшествующих дате, указанной в подпункте 6.1 настоящего пункта, или дате, указанной в подпункте 2.1 пункта 2 настоящего приложения, в зависимости от того, какая из указанных дат наступила ранее, в виде диаграммы (в случае если с даты завершения (окончания) формирования паевого инвестиционного фонда (дня получения лицензии акционерного инвестиционного фонда) прошло менее пяти лет, - за каждый завершенный календарный год, предшествующий дате, указанной в подпункте 6.1 настоящего пункта, или дате, указанной в подпункте 2.1 пункта 2 настоящего приложения, в зависимости от того, какая из указанных дат наступила ранее);

6.5. сведения о приросте расчетной стоимости инвестиционного пая паевого инвестиционного фонда (приросте стоимости чистых активов акционерного инвестиционного фонда в расчете на одну акцию), определенные в соответствии с подпунктами 20.1 - 20.6 пункта 20 настоящего Указания, за один месяц, три месяца, шесть месяцев, один год, три года и пять лет, предшествующих дате, указанной в подпункте 6.1 настоящего пункта, или дате, указанной в подпункте 2.1 пункта 2 настоящего приложения, в зависимости от того, какая из указанных дат наступила ранее (далее - прирост за отчетные периоды);

6.6. сведения об отклонении прироста за отчетные периоды от прироста индекса потребительских цен за соответствующие периоды, указанные в подпункте 6.5 настоящего пункта;

6.7. сведения об отклонении прироста за отчетные периоды от прироста значения индекса, предусмотренного инвестиционной декларацией паевого инвестиционного фонда (акционерного инвестиционного фонда) (при наличии).

В случае если инвестиционной декларацией паевого инвестиционного фонда (акционерного инвестиционного фонда) не предусмотрен индекс, по решению управляющей компании паевого инвестиционного фонда (акционерного инвестиционного фонда) могут быть указаны сведения об отклонении прироста за отчетные периоды от прироста значения иного индекса, определенного управляющей компанией паевого инвестиционного фонда (акционерным инвестиционным фондом), с указанием наименования индекса за соответствующие периоды, указанные в подпункте 6.5 настоящего пункта;

6.8. описание порядка и сроков выплаты дохода по инвестиционным паям либо указание на то, что правилами доверительного управления паевым инвестиционным фондом не предусмотрена выплата указанного дохода;

6.9. информация о том, что правилами доверительного управления паевым инвестиционным фондом предусмотрены надбавки к расчетной стоимости инвестиционных паев при их выдаче и (или) скидки с расчетной стоимости инвестиционных паев при их погашении, а также положение о том, что взимание надбавок и (или) скидок уменьшит доходность инвестиций в инвестиционные паи паевого инвестиционного фонда (в случае если правилами доверительного управления паевым инвестиционным фондом предусмотрены указанные надбавки и (или) скидки).

7. В разделе "Комиссии" должна содержаться следующая информация:

7.1. информация о максимальной доле среднегодовой стоимости чистых активов паевого инвестиционного фонда (акционерного инвестиционного фонда), которая может направляться на выплату вознаграждений управляющей компании паевого инвестиционного фонда (управляющей компании акционерного инвестиционного фонда), специализированного депозитария, лица, осуществляющего ведение реестра владельцев инвестиционных паев, оценщика, аудиторской организации и биржи;

7.2. информация о максимальном и минимальном уровнях надбавки к расчетной стоимости инвестиционных паев при их выдаче и (или) скидки с расчетной стоимости инвестиционных паев при их погашении, предусмотренных правилами доверительного управления паевым инвестиционным фондом (при наличии).

8. В разделе "Иная информация" ключевого информационного документа о паевом инвестиционном фонде должна содержаться следующая информация:

8.1. минимальная стоимость имущества, передачей которого в оплату инвестиционных паев обусловлена выдача инвестиционных паев;

8.2. информация о том, что правилами доверительного управления открытым паевым инвестиционным фондом или интервальным паевым инвестиционным фондом предусмотрена возможность обмена инвестиционных паев по требованию их владельца на инвестиционные паи других открытых или интервальных паевых инвестиционных фондов, находящихся в доверительном управлении управляющей компании, с указанием названий указанных паевых инвестиционных фондов, на инвестиционные паи которых могут быть обменены инвестиционные паи (в случае если правилами доверительного управления открытым паевым инвестиционным фондом или интервальным паевым инвестиционным фондом предусмотрена указанная возможность).

8.3. регистрационный номер и дата регистрации правил доверительного управления паевым инвестиционным фондом, инвестиционные паи которого не ограничены в обороте;

8.4. дата завершения (окончания) формирования паевого инвестиционного фонда;

8.5. наименование управляющей компании паевого инвестиционного фонда, номер и дата выдачи лицензии управляющей компании, адрес, номер телефона и ссылка на сайт;

8.6. наименование специализированного депозитария паевого инвестиционного фонда и ссылка на его официальный сайт в сети "Интернет";

8.7. наименование лица, осуществляющего ведение реестра владельцев инвестиционных паев паевого инвестиционного фонда, и ссылка на официальный сайт указанного лица в сети "Интернет";

8.8. сведения о месте или местах, в которых можно получить информацию, подлежащую раскрытию и предоставлению в соответствии с пунктами 1, 2, 13 и 15 настоящего Указания, статьей 52 Федерального закона "Об инвестиционных фондах";

8.9. информация о том, что в соответствии с подпунктом 10 пункта 2 статьи 55 Федерального закона "Об инвестиционных фондах" (Собрание законодательства Российской Федерации, 2001, N 49, ст. 4562; 2019, N 18, ст. 2199) Банк России осуществляет контроль и надзор за деятельностью управляющей компании паевого инвестиционного фонда, с указанием ссылки на официальный сайт Банка России в сети "Интернет" (далее - сайт Банка России) и номера телефонов Банка России.

9. В разделе "Иная информация" ключевого информационного документа об акционерном инвестиционном фонде должна содержаться следующая информация:

9.1. номер и дата регистрации проспекта акций акционерного инвестиционного фонда;

9.2. наименование акционерного инвестиционного фонда, номер и дата выдачи лицензии акционерного инвестиционного фонда, адрес, номер телефона и ссылка на сайт;

9.3. наименование управляющей компании акционерного инвестиционного фонда, номер и дата выдачи лицензии управляющей компании, адрес, номер телефона и ссылка на сайт;

9.4. наименование специализированного депозитария акционерного инвестиционного фонда и ссылка на его официальный сайт в сети "Интернет";

9.5. наименование регистратора акций акционерного инвестиционного фонда и ссылка на его официальный сайт в сети "Интернет";

9.6. сведения о месте или местах, в которых можно получить информацию, подлежащую раскрытию и предоставлению в соответствии с пунктами 1, 2, 13 и 15 настоящего Указания, статьей 52 Федерального закона "Об инвестиционных фондах";

9.7. информация о том, что в соответствии с подпунктом 10 пункта 2 статьи 55 Федерального закона "Об инвестиционных фондах" Банк России осуществляет контроль и надзор за деятельностью акционерного инвестиционного фонда, с указанием ссылки на сайт Банка России и номера телефонов Банка России.

10. Управляющая компания паевого инвестиционного фонда, инвестиционные паи которого не ограничены в обороте, не должна раскрывать в составе ключевого информационного документа информацию, не предусмотренную пунктами 2 - 8 настоящего приложения.

Акционерный инвестиционный фонд, акции которого не ограничены в обороте, не должен раскрывать в составе ключевого информационного документа информацию, не предусмотренную пунктами 2 - 7 и 9 настоящего приложения.

11. Информация в виде ключевого информационного документа о паевом инвестиционном фонде должна раскрываться управляющей компанией паевого инвестиционного фонда, инвестиционные паи которого не ограничены в обороте, ежемесячно по состоянию на последний рабочий день календарного месяца в течение семи рабочих дней с даты окончания календарного месяца, а также в случае изменения указанной информации (за исключением информации, указанной в подпунктах 4.3, 4.4 пункта 4, пунктах 5 и 6 настоящего приложения) - по состоянию на дату изменения информации в течение трех рабочих дней с указанной даты.

Информация в виде ключевого информационного документа об акционерном инвестиционном фонде должна раскрываться акционерным инвестиционным фондом, акции которого не ограничены в обороте, ежемесячно по состоянию на последний календарный день календарного месяца в течение семи рабочих дней с даты окончания календарного месяца, а также в случае изменения указанной информации (за исключением информации, указанной в подпунктах 4.3, 4.4 пункта 4, пунктах 5 и 6 настоящего приложения) - по состоянию на дату изменения информации в течение трех рабочих дней с указанной даты.

12. Информация в виде ключевого информационного документа должна быть доступна на сайте в течение трех лет с даты его раскрытия.

Приложение 3
к Указанию Банка России
от 2 ноября 2020 года N 5609-У
"О раскрытии, распространении
и предоставлении информации
акционерными инвестиционными
фондами и управляющими компаниями
инвестиционных фондов, паевых
инвестиционных фондов
и негосударственных пенсионных
фондов, а также о требованиях
к расчету доходности инвестиционной
деятельности акционерного
инвестиционного фонда
и управляющей компании паевого
инвестиционного фонда"

(Рекомендуемый образец)

КЛЮЧЕВОЙ ИНФОРМАЦИОННЫЙ ДОКУМЕНТ О ПАЕВОМ ИНВЕСТИЦИОННОМ ФОНДЕ

Раздел 1. Общие сведения

Ключевой информационный документ по состоянию на __ ___________ ____ (указывается дата, по состоянию на которую составлен ключевой информационный документ)

Информация в виде настоящего документа предоставляется в соответствии с требованиями законодательства. Информация приведена для описания характеристик и рисков паевого инвестиционного фонда, а также для возможности его сравнения с другими инструментами инвестирования.

______________ (указывается название паевого инвестиционного фонда)

______________ (указывается наименование управляющей компании паевого инвестиционного фонда)

Раздел 2. Внимание

1. Возврат и доходность инвестиций в паевой инвестиционный фонд не гарантированы государством или иными лицами.

2. Результаты инвестирования в прошлом не определяют доходы в будущем. Стоимость инвестиционных паев может увеличиваться и уменьшаться.

3. Вы можете погасить инвестиционные паи паевого инвестиционного фонда _______________ (указываются сведения в соответствии с подпунктом 3.3 пункта 3 приложения 2 к настоящему Указанию).

4. Перед приобретением инвестиционных паев паевого инвестиционного фонда следует внимательно ознакомиться с правилами доверительного управления данным фондом, размещенными на сайте ___________ (указывается ссылка на страницу сайта, на которой размещены указанные документы).

Раздел 3. Инвестиционная стратегия

1. ________ (указываются сведения в соответствии с подпунктом 4.1 пункта 4 приложения 2 к настоящему Указанию).

2. ________ (указываются сведения в соответствии с подпунктом 4.2 пункта 4 приложения 2 к настоящему Указанию).

3. Активы паевого инвестиционного фонда инвестированы в ____ объектов.

4. Крупнейшие объекты инвестирования в активах

Наименование объекта инвестирования Доля от активов, %
 
 
 
 
 

Раздел 4. Основные инвестиционные риски

Вид риска Вероятность реализации риска Объем потерь при реализации риска
   
   

Раздел 5. Основные результаты инвестирования

Доходность за календарный год, % Доходность за период, %
  Период Доходность инвестиций Отклонение доходности от
  инфляции индекса <1>
  1 месяц      
Приводится диаграмма 3 месяца      
  6 месяцев      
  1 год      
  3 года      
  5 лет      

1. Расчетная стоимость инвестиционного пая ___ руб.

2. Результаты инвестирования не учитывают комиссии, удерживаемые при выдаче и погашении инвестиционных паев паевого инвестиционного фонда (скидки и надбавки). Указанные комиссии могут уменьшать доход от инвестиций.

3. Стоимость чистых активов паевого инвестиционного фонда ___ руб.

4. ______________ (указываются сведения в соответствии с подпунктом 6.8 пункта 6 приложения 2 к настоящему Указанию).

Раздел 6. Комиссии

Комиссии, оплачиваемые один раз   Комиссии, оплачиваемые каждый год
при приобретении инвестиционного пая (надбавка) от __% до __%   вознаграждения и расходы, подлежащие оплате за счет активов паевого инвестиционного фонда до __%
при погашении инвестиционного пая (скидка) от __% до __%      

Размер комиссий указан в процентах от стоимости чистых активов паевого инвестиционного фонда.

Подробные условия указаны в правилах доверительного управления паевым инвестиционным фондом

Раздел 7. Иная информация

1. __________ (указываются сведения в соответствии с подпунктом 8.1 пункта 8 приложения 2 к настоящему Указанию).

2. __________ (указываются сведения в соответствии с подпунктом 8.2 пункта 8 приложения 2 к настоящему Указанию) (если применимо).

3. Правила доверительного управления паевым инвестиционным фондом зарегистрированы __ ___________ ____ N _______.

4. Паевой инвестиционный фонд сформирован __ __________ ____ (указывается дата завершения (окончания) формирования паевого инвестиционного фонда).

5. Информацию, подлежащую раскрытию и предоставлению, можно получить __________.

6. __________ (указываются сведения в соответствии с подпунктом 8.5 пункта 8 приложения 2 к настоящему Указанию).

7. __________ (указываются сведения в соответствии с подпунктом 8.6 пункта 8 приложения 2 к настоящему Указанию).

8. __________ (указываются сведения в соответствии с подпунктом 8.7 пункта 8 приложения 2 к настоящему Указанию).

9. Надзор и контроль за деятельностью управляющей компании паевого инвестиционного фонда в соответствии с подпунктом 10 пункта 2 статьи 55 Федерального закона "Об инвестиционных фондах" осуществляет Банк России, сайт www.cbr.ru, номера телефонов ______________.

<1> Наименование индекса.

Приложение 4
к Указанию Банка России
от 2 ноября 2020 года N 5609-У
"О раскрытии, распространении
и предоставлении информации
акционерными инвестиционными
фондами и управляющими компаниями
инвестиционных фондов, паевых
инвестиционных фондов
и негосударственных пенсионных
фондов, а также о требованиях
к расчету доходности инвестиционной
деятельности акционерного
инвестиционного фонда
и управляющей компании паевого
инвестиционного фонда"

(Рекомендуемый образец)

КЛЮЧЕВОЙ ИНФОРМАЦИОННЫЙ ДОКУМЕНТ ОБ АКЦИОНЕРНОМ ИНВЕСТИЦИОННОМ ФОНДЕ

Раздел 1. Общие сведения

Ключевой информационный документ по состоянию на __ ___________ ____ (указывается дата, по состоянию на которую составлен ключевой информационный документ)

Информация в виде настоящего документа предоставляется в соответствии с требованиями законодательства. Информация приведена для описания характеристик и рисков акционерного инвестиционного фонда, а также для возможности его сравнения с другими инструментами инвестирования.

_________ (указывается наименование акционерного инвестиционного фонда)

_________ (указывается наименование управляющей компании акционерного инвестиционного фонда)

Раздел 2. Внимание

1. Возврат и доходность инвестиций в акционерный инвестиционный фонд не гарантированы государством или иными лицами.

2. Результаты инвестирования в прошлом не определяют доходы в будущем. Стоимость акций акционерного инвестиционного фонда может увеличиваться и уменьшаться.

3. Перед приобретением акций акционерного инвестиционного фонда следует внимательно ознакомиться с уставом, инвестиционной декларацией и проспектом акций акционерного инвестиционного фонда, размещенными на сайте ___________ (указывается ссылка на страницу сайта, на которой размещены указанные документы).

Раздел 3. Инвестиционная стратегия

1. ________ (указываются сведения в соответствии с подпунктом 4.1 пункта 4 приложения 2 к настоящему Указанию).

2. ________ (указываются сведения в соответствии с подпунктом 4.2 пункта 4 приложения 2 к настоящему Указанию).

3. Активы акционерного инвестиционного фонда инвестированы в ____ объектов.

4. Крупнейшие объекты инвестирования в активах

Наименование объекта инвестирования Доля от активов, %
 
 
 
 
 

Раздел 4. Основные инвестиционные риски

Вид риска Вероятность реализации риска Объем потерь при реализации риска
   
   

Раздел 5. Основные результаты инвестирования

Доходность за календарный год, % Доходность за период, %
  Период Доходность инвестиций Отклонение доходности от
  инфляции индекса <1>
  1 месяц      
Приводится диаграмма 3 месяца      
  6 месяцев      
  1 год      
  3 года      
  5 лет      

1. Стоимость чистых активов акционерного инвестиционного фонда в расчете на одну акцию ______ руб.

2. Стоимость чистых активов акционерного инвестиционного фонда ____ руб.

Раздел 6. Комиссии

Комиссии, оплачиваемые каждый год

вознаграждения и расходы, подлежащие оплате за счет активов акционерного инвестиционного фонда до __%

Размер комиссий указан в процентах от стоимости чистых активов акционерного инвестиционного фонда

Раздел 7. Иная информация

1. Проспект акций акционерного инвестиционного фонда зарегистрирован __ _________ ____ N ______.

2. Информацию, подлежащую раскрытию и предоставлению, можно получить _________.

3. _______ (указываются сведения в соответствии с подпунктом 9.2 пункта 9 приложения 2 к настоящему Указанию).

4. _______ (указываются сведения в соответствии с подпунктом 9.3 пункта 9 приложения 2 к настоящему Указанию).

5. _______ (указываются сведения в соответствии с подпунктом 9.4 пункта 9 приложения 2 к настоящему Указанию).

6. _______ (указываются сведения в соответствии с подпунктом 9.5 пункта 9 приложения 2 к настоящему Указанию).

7. Надзор и контроль за деятельностью акционерного инвестиционного фонда в соответствии с подпунктом 10 пункта 2 статьи 55 Федерального закона "Об инвестиционных фондах" осуществляет Банк России, сайт www.cbr.ru, номера телефонов ____________.

<1> Наименование индекса.

Приложение 5
к Указанию Банка России
от 2 ноября 2020 года N 5609-У
"О раскрытии, распространении
и предоставлении информации
акционерными инвестиционными
фондами и управляющими компаниями
инвестиционных фондов, паевых
инвестиционных фондов
и негосударственных пенсионных
фондов, а также о требованиях
к расчету доходности инвестиционной
деятельности акционерного
инвестиционного фонда
и управляющей компании паевого
инвестиционного фонда"

ПРИМЕР ЗАПОЛНЕНИЯ КЛЮЧЕВОГО ИНФОРМАЦИОННОГО ДОКУМЕНТА

Раздел 1. Общие сведения

Ключевой информационный документ по состоянию на 31.12.2019

Информация в виде настоящего документа предоставляется в соответствии с требованиями законодательства. Информация приведена для описания характеристик и рисков паевого инвестиционного фонда, а также для возможности его сравнения с другими инструментами инвестирования.

Открытый паевой инвестиционный фонд рыночных финансовых инструментов

ПРИМЕРНЫЙ ФОНД ОБЛИГАЦИЙ

под управлением АО "Примерная управляющая компания"

Раздел 2. Внимание

1. Возврат и доходность инвестиций в паевой инвестиционный фонд не гарантированы государством или иными лицами.

2. Результаты инвестирования в прошлом не определяют доходы в будущем. Стоимость инвестиционных паев может увеличиваться и уменьшаться.

3. Вы можете погасить инвестиционные паи паевого инвестиционного фонда в любой рабочий день.

4. Перед приобретением инвестиционных паев паевого инвестиционного фонда следует внимательно ознакомиться с правилами доверительного управления данным фондом, размещенными на сайте www.000.ru.

Раздел 3. Инвестиционная стратегия

1. Фонд нацелен на прирост инвестированного капитала за счет купонного дохода и роста стоимости облигаций российских эмитентов, имеющих рейтинг не ниже уровня А - по национальной шкале.

2. Реализуется стратегия активного управления - структура инвестиционного портфеля динамически меняется в соответствии с рыночной ситуацией.

3. Средства инвестируются в номинированные в рублях облигации российских эмитентов.

4. Активы паевого инвестиционного фонда инвестированы в 50 объектов.

5. Крупнейшие объекты инвестирования в активах

Наименование объекта инвестирования Доля от активов, %
Россия, облигации, ОФЗ 00000 9,0
Примерный эмитент 1, облигации, 000Р-00 8,5
Россия, облигации, ОФЗ 00000 7,5
Примерный эмитент 2, облигации, БО-00 6,3
Россия, облигации, ОФЗ 00000 6,0

Раздел 4. Основные инвестиционные риски

Вид риска Вероятность реализации риска Объем потерь при реализации риска
Кредитный риск средняя значительный
Процентный риск высокая средний

Раздел 5. Основные результаты инвестирования

Доходность за календарный год, % Доходность за период, %
Период Доходность инвестиций Отклонение доходности от
инфляции индекса <1>
1 месяц 0,1 -0,1 0,1
3 месяца -2,0 -0,2 0,0
6 месяцев -3,0 -3,3 -0,1
1 год 4,4 -0,4 -2,2
3 года 55,5 5,5 -3,3
  5 лет 66,6 -6,6 -44,4

1. Расчетная стоимость инвестиционного пая 10 000,01 руб.

2. Результаты инвестирования не учитывают комиссии, удерживаемые при выдаче и погашении инвестиционных паев паевого инвестиционного фонда (скидки и надбавки). Указанные комиссии могут уменьшать доход от инвестиций.

3. Стоимость чистых активов паевого инвестиционного фонда 10 000,11 млн. руб.

4. Доход от управления фондом не выплачивается, но капитализируется, увеличивая стоимость инвестиционного пая и доходность инвестиций.

Раздел 6. Комиссии

Комиссии, оплачиваемые один раз   Комиссии, оплачиваемые каждый год
при приобретении инвестиционного пая (надбавка) от 0% до 1,1%   вознаграждения и расходы, подлежащие оплате за счет активов паевого инвестиционного фонда до 2,2%
при погашении инвестиционного пая (скидка) от 0% до 2%      

Размер комиссий указан в процентах от стоимости чистых активов паевого инвестиционного фонда.

Подробные условия указаны в правилах доверительного управления паевым инвестиционным фондом

Раздел 7. Иная информация

1. Минимальная сумма денежных средств, которая может быть передана в оплату инвестиционных паев, составляет от 1 000 рублей. Подробные условия указаны в правилах доверительного управления паевым инвестиционным фондом.

2. Вы можете обменять инвестиционные паи фонда на инвестиционные паи ОПИФ рыночных финансовых инструментов "Примерный фонд акций" под управлением АО "Примерная управляющая компания". Подробные условия обмена указаны в правилах доверительного управления паевым инвестиционным фондом.

3. Правила доверительного управления паевым инвестиционным фондом зарегистрированы 01.01.2000 N 0000-00000000.

4. Паевой инвестиционный фонд сформирован 01.02.2000.

5. Информацию, подлежащую раскрытию и предоставлению, можно получить на сайте www.000.ru, а также по адресу управляющей компании.

6. Управляющая компания АО "Примерная управляющая компания", лицензия N 21-000-0-00000, сайт www.000.ru, телефон 8 (800) 000-00-00, адрес 11111, Москва, Примерная ул., дом 10.

7. Специализированный депозитарий ООО "Примерный Спецдепозитарий", сайт www.111.ru.

8. Лицо, осуществляющее ведение реестра владельцев инвестиционных паев АО "Примерный регистратор", сайт www.222.ru.

9. Надзор и контроль за деятельностью управляющей компании паевого инвестиционного фонда в соответствии с подпунктом 10 пункта 2 статьи 55 Федерального закона "Об инвестиционных фондах" осуществляет Банк России, сайт www.cbr.ru, номер телефона 8 (800) 300-30-00.

<1> С 01.01.2018 Индекс Примерный облигаций 100, до 01.01.2018 Индекс Примерный облигаций 50.