Мешки и мешочные ткани. Общие технические условия. ГОСТ 30090-93

(утв. Постановлением Госстандарта РФ от 15.04.94 N 3)
Редакция от 18.10.2000 — Действует с 01.07.2001

МЕЖГОСУДАРСТВЕННЫЙ СТАНДАРТ

МЕШКИ И МЕШОЧНЫЕ ТКАНИ

ОБЩИЕ ТЕХНИЧЕСКИЕ УСЛОВИЯ

Sacks and fabric for bads. General specifications

ГОСТ 30090-93

(в ред. Изменения N 1, опубликованного в ИУС N 5, 2001 г.)

Дата введения
1 января 1995 года

Предисловие

1. Разработан Российской Федерацией - Техническим комитетом по стандартизации ТК 338 "Продукция легкой промышленности".

Внесен Техническим секретариатом Межгосударственного Совета по стандартизации, метрологии и сертификации.

2. Принят Межгосударственным Советом по стандартизации, метрологии и сертификации (отчет технического секретариата N 3 от 15.04.94).

За принятие стандарта проголосовали

Наименование государства Наименование национального органа стандартизации
Республика Беларусь Белстандарт
Республика Казахстан Казглавстандарт
Республика Армения Минторгэкономразвития

3. Взамен ГОСТ 8516-78, ГОСТ 18225-72, ГОСТ 19298-73, ГОСТ 19317-73.

1. ОБЛАСТЬ ПРИМЕНЕНИЯ

Настоящий стандарт распространяется на продуктовые мешки и мешки технического назначения, а также на ткани, применяемые для их изготовления.

Обязательные требования к качеству мешков - разрывная нагрузка полоски ткани, разрывная нагрузка шва мешка, массовая доля костры и массовая доля ворса (см. таблицу 3).

Мешки, применяемые для упаковки опасных грузов, должны соответствовать требованиям ГОСТ 26319.

2. НОРМАТИВНЫЕ ССЫЛКИ

В настоящем стандарте использованы ссылки на следующие стандарты:

ГОСТ 1868-88. Веревки технические и хозяйственные. Технические условия

ГОСТ 3811-72. Материалы текстильные. Ткани, нетканые полотна и штучные изделия. Методы определения линейных размеров, линейной и поверхностной плотностей

ГОСТ 3812-72. Материалы текстильные. Ткани и штучные изделия. Методы определения плотностей нитей и пучков ворса

ГОСТ 3813-72. Материалы текстильные. Ткани и штучные изделия. Методы определения разрывных характеристик при растяжении

ГОСТ 5530-81. Ткани упаковочные и технического назначения. Технические условия

ГОСТ 7000-80. Материалы текстильные. Упаковка, маркировка, транспортирование и хранение

ГОСТ 10078-85. Пряжа из лубяных волокон и их смесей с химическими волокнами. Общие технические условия

ГОСТ 10681-75. Материалы текстильные. Климатические условия для кондиционирования и испытания проб и методы их определения

ГОСТ 12453-77. Ткани и штучные изделия чистольняные, льняные и полульняные. Первичная упаковка и маркировка

ГОСТ 14192-96. Маркировка грузов

ГОСТ 20566-75. Ткани и штучные изделия текстильные. Правила приемки и метод отбора проб

ГОСТ 30084-93. Материалы текстильные. Первичная маркировка

ГОСТ 17811-78. Мешки полиэтиленовые для химической продукции. Технические условия

ГОСТ 26319-84. Грузы опасные. Упаковка

ГОСТ 29104.0-91. Ткани технические. Правила приемки и метод отбора проб

ГОСТ 29104.1-91. Ткани технические. Методы определения линейных размеров, линейной и поверхностной плотностей

ГОСТ 29104.3-91. Ткани технические. Метод определения количества нитей на 10 см

ГОСТ 29104.4-91. Ткани технические. Метод определения разрывной нагрузки и удлинения при разрыве.

3. КЛАССИФИКАЦИЯ, ОСНОВНЫЕ ПАРАМЕТРЫ И РАЗМЕРЫ

3.1. Мешки и мешочные ткани должны вырабатываться в соответствии с требованиями настоящего стандарта, технической документации и технологических режимов, утвержденных в установленном порядке.

3.2. В технической документации на конкретный вид мешков и мешочных тканей в зависимости от назначения указываются: состав сырья, линейная плотность пряжи и нитей, число нитей на 10 см по основе и утку, поверхностная плотность 1 м ткани, ширина ткани, вид отделки ткани, переплетение, размер мешка, масса одного мешка, разрывная нагрузка ткани, разрывная нагрузка шва мешка; изменение размеров мешка после термовлажностной обработки или стирки, массовая доля костры и ворса.

В технической документации могут быть установлены дополнительные требования к продукции и ее маркировке, не предусмотренные настоящим стандартом.

3.3. В зависимости от назначения и вида применяемого сырья, мешки и мешочные ткани подразделяют в соответствии с таблицей 1.

Таблица 1

Назначение мешка Вид применяемого сырья
Мешки продуктовые (для упаковки муки, крупы, зерна, сахара и других продуктов питания) и ткани мешочные для них; Пряжа из лубяных волокон: льняного, джутового, кенафного, пенькового и из смеси этих волокон в различных сочетаниях;
мешки технические (для упаковки руды, семян и другой продукции) и ткани мешочные для них пряжа из лубяных волокон в смеси с химическими волокнами: вискозным, медноаммиачным, полиэфирным, полиамидным;
  химические нити: вискозные, полиэфирные полиамидные, полипропиленовые;
  пряжа хлопчатобумажная

3.3.1. На применение для продуктовых мешков химических волокон, пряжи и нитей, не указанных в таблице 1, должно быть разрешение Национального органа санитарно-эпидемиологического надзора для контакта с пищевыми продуктами.

3.4. Мешочные ткани вырабатывают в виде полотна шириной 106; 111; 114,5; 94,5 см или рукава шириной 50; 56; 58 см.

Мешки выпускаются размерами, указанными в таблице 2.

Таблица 2

Назначение мешка Размер мешка, см
  Ширина Длина
Мешки продуктовые 56 95
  53 104
  61 109
Мешки технические 46 65
  46 80
  74 112

По согласованию изготовителя с потребителем мешки могут выпускаться других размеров и конструкций, мешочные ткани - другой шириной.

3.5. Допускаемые минимальные отклонения по физико-механическим показателям не должны превышать:

по ширине ткани (рукава):
до 100 см - 1 см;
св. 100 см - 2 см;
по размеру мешка:
по ширине - 1 см;
по длине - 2 см;
по поверхностной плотности
ткани - 7%;
по массе одного мешка - 7%;
по числу нитей на 10 см ткани:
по основе - 2%;
по утку - 3%.

Примечание. Плюсовые допуски по перечисленным показателям не ограничиваются.

3.6. В условном обозначении мешков и тканей при заказе указывают для мешков: назначение мешка и вид сырья, группу прочности, размер мешка, обозначение стандарта; для тканей: вид сырья, группу прочности, ширину, обозначение стандарта.

Например:

мешок продуктовый льняной, обыкновенный, 53 х 104 см, ГОСТ 30090-93;

мешок технический из химических нитей, повышенной прочности 46 х 65 см, ГОСТ 30090-93;

ткань мешочная джутовая, обыкновенная, ширина 112 см, ГОСТ 30090-93.

4. ОБЩИЕ ТЕХНИЧЕСКИЕ ТРЕБОВАНИЯ

4.1. Характеристики

4.1.1. Мешки изготовляют из мешочных тканей, вырабатываемых из лубяной пряжи, из лубяной пряжи в смеси с химическими волокнами по ГОСТ 10078, а также в сочетании с другими видами пряжи и нитей, вырабатываемых по нормативно-технической документации.

4.1.2. Мешочные ткани и мешки выпускаются следующих видов: обыкновенные, повышенной прочности, с уплотненной кромкой.

Мешки и мешочные ткани с уплотненной кромкой должны иметь одну цветную просновку шириной (20 +/- 2) мм. Ширина уплотненной кромки должна быть не менее 25 мм.

Мешки и мешочные ткани повышенной прочности должны иметь две цветные просновки шириной (15 +/- 2) мм с расстоянием между ними 50 мм.

4.1.3. Ткани для мешков в зависимости от назначения должны быть подстрижены, каландрированы.

Ткани для мешков, выработанные из химических пленочных нитей, могут быть ламинированы расплавом полипропилена или полиэтилена.

4.1.4. По физико-механическим показателям мешки и мешочные ткани должны соответствовать нормам, указанным в таблице 3.

Таблица 3

Наименование мешков Разрывная нагрузка полоски ткани размером 50х200 мм по основе и утку, Н (кгс), не менее, для тканей и мешков Разрывная нагрузка шва мешков Н (кгс), не менее Массовая доля костры, %, не более Массовая доля ворса, %, не более Полное изменение линейных размеров мешков, %, не более (кроме мешков из химических пленочных нитей)
  обыкновенных повышенной прочности с уплотненной кромкой обыкновенных повышенной прочности с уплотненной кромкой     после термовлажностной обработки после стирки
      бокового донного бокового донного бокового донного      
1 2 3 4 5 6 7 8 9 10 11 12 13 14
Мешки продуктовые:                          
из льняной и смешанной льняной пряжи; 539 (55) 656 (67) 588 (60) 451 (46) 412 (42) 548 (56) 500 (51) 480 (49) 451 (46) 2,50 4,0 6,0 10
то же, в сочетании с химическими нитями, с хлопчатобумажной пряжей;                          
из пряжи, выработанной из джутового, кенафного, пенькового и короткого льняного волокон или их смесей; 539 (55) 755 (77) 686 (70) 451 (46) 412 (42) 588 (60) 588 (60) 549 (56) 549 (56) 0,30 4,0 6,0 10
то же, в сочетании с химическими нитями;                          
из химических нитей 588 (60) 833 (85) 833 (85) 294 (30) 294 (30) 647 (66) 647 (66) 647 (66) 647 (66) - - 6,0 10
Мешки технические:                          
из пряжи, выработанной из джутового, кенафного, пенькового и короткого льняного волокон или их смесей; 598 (61) - - 421 (43) 421 (43) - - - - - - - -
то же, в сочетании с химическими нитями;                          
из химических нитей 686 (70) 833 (85) - 294 (30) 294 (30) 586 (60) 586 (60) - - - - - -
Примечания
1 Показатели "массовая доля ворса, %, не более" и "полная усадка мешков, %, не более, после стирки" определяются у продуктовых мешков, предназначенных для упаковки сахара.
2 К льняной смешанной пряже относится пряжа с содержанием льняного волокна не менее 30%.

4.1.5. Влажность мешков и мешочных тканей должна быть не более 14%.

Для мешков и мешочных тканей из полипропиленовых нитей влажность не устанавливается.

4.1.6. Продуктовые мешки не должны иметь постороннего запаха и выделять вредные вещества, изменяющие свойства и качество продуктов.

4.1.7. Содержание металлической пыли в продуктовых мешках не должно превышать 3 мг на один мешок. Металлопримеси игольчатой, пластинчатой и крупчатой формы не допускаются.

4.1.8. Мешки шьют из одного отреза ткани, сшивая один бок и дно или два бока в одно целое, и производят подшив горловины мешка при отсутствии в ней кромки.

Допускается пошив мешков из двух отрезов ткани с соблюдением в них одинакового направления нитей основы. Количество таких мешков от общего числа мешков в партии должно быть не более 5%.

При изготовлении мешков из ткани, выработанной на круглоткацком станке, мешок шьют из одного отрезка ткани, сшивают дно и подрубают горловину.

4.1.8.1. По согласованию с потребителем мешки могут выпускаться с закрытой (с клапаном) горловиной. Клапан формируют в одном из верхних углов мешка путем закладывания угла мешка внутрь. Затем горловину мешка зашивают швом вподгибку с закрытым срезом.

Размер клапана устанавливают по согласованию с потребителем.

Рекомендуемые размеры клапана указаны на рисунке 1а.

Рисунок 1а

4.1.9. Пошив бока и дна мешка проводят одним или двумя из семи типов швов:

1 - вподгибку с закрытым срезом однострочный (рисунок 1);

2 - вподгибку с закрытым срезом обметочный однострочный (рисунок 2);

3 - вподгибку с открытым срезом обметочный однострочный (рисунок 3);

4 - вподгибку с закрытым срезом обметочный однострочный с загибом ткани наружу мешка (рисунок 4);

5 - вподгибку с открытым срезом обметочный однострочный с загибом ткани наружу мешка (рисунок 5);

6 - вподгибку по кромке однострочный (рисунок 6);

7 - вподгибку с открытым срезом обметочный однострочный с загибом ткани внутрь мешка (рисунок 7).

Примечания.

1. Все виды швов при наличии в них кромки выполняются без загиба ткани.

2. При пошиве бока и дна продуктовых мешков не допускаются швы без загиба обрезных краев ткани или без их обметки.

Рисунок 1

Рисунок 2

Рисунок 3

Рисунок 4

Рисунок 5

Рисунок 6

Рисунок 7

4.1.10. Подшив обрезного края ткани в горловине мешка проводят однострочным швом вподгибку с закрытым срезом (рисунок 8) или однострочным обметочным швом с открытым срезом (рисунок 9).

Рисунок 8

Рисунок 9

В мешках, пошитых из тканей, выработанных из химических пленочных нитей, при оплавленном обрезном крае ткани горловина подшивается однострочным швом вподгибку по кромке. Допускается горловину с оплавленным обрезным краем не подшивать при условии обеспечения прочности среза мешка и сохранности продукции.

4.1.11. Пошив продуктовых мешков

При пошиве продуктовых мешков швом типа 1 и 6 (рисунок 1 и 6) ширина бокового шва должна быть (15 +/- 5) мм, донного - (20 +/- 5) мм. Строчка должна производиться не далее 3 мм от центра шва в любую сторону.

Ширина бокового шва при пошиве обметочным швом типов 2 и 3 (рисунки 2 и 3) должна быть (10 +/- 2) мм. В мешках из тканей, выработанных на пневморапирных станках типа АТПР, ширина шва (12 +/- 2) мм.

При пошиве дна мешка швами типа 4 и 5 край ткани загибают наружу мешка на ширину (15 +/- 2) мм и обметывают обметочным швом, а затем дно мешка сшивают обметочным швом шириной (10 +/- 2) мм.

Горловину мешков подшивают швом типа 8 (рисунок 8) или швом типа 9 (рисунок 9). Ширина шва (10 +/- 2) мм.

4.1.12. Пошив технических мешков

Пошив бока и дна производят швом типов 2, 3 и 7 (рисунки 2, 3, 7), ширина шва (12 +/- 2) мм. При пошиве мешка швом типа 7 производят загиб ткани внутрь мешка на ширину не более 25 мм.

При отсутствии кромки в горловине мешка производят подшив горловины швами типа 7 или 8 (рисунки 7 и 8), ширина шва (12 +/- 5) мм.

При пошиве мешков из ткани, выработанной из химических пленочных нитей, боковой шов по кромке или оплавленному краю выполняют без загиба ткани, донный шов выполняют с загибом ткани на ширину (20 +/- 10) мм.

4.1.13. Пошив мешков производят полиэфирными, полиамидными, вискозными и другими видами нитей, вырабатываемых по нормативно-технической документации, обеспечивающими сохранение требований к разрывной нагрузке шва и качеству пошива.

4.1.14. Все нити швов должны быть закреплены, закрепочный плетешок и свободные концы нитей не должны быть длиной более 5 см.

4.1.15. Количество стежков на 10 см шва должно соответствовать указанному в таблице 4.

Таблица 4

Назначение мешка и вид шва Тип шва Количество стежков на 10 см, не менее
Продуктовые мешки:    
боковой шов Вподгибку с закрытым срезом однострочный 15
  Вподгибку однострочный по кромке 15
  Вподгибку с закрытым или открытым срезом однострочный обметочный 12
донный шов Вподгибку с закрытым срезом однострочный 15
  Вподгибку однострочный по кромке 15
  Вподгибку с открытым или закрытым срезом однострочный обметочный (при обметке и пошиве) 12
подшив горловины Вподгибку с закрытым срезом однострочный 7
  Вподгибку с открытым срезом обметочный однострочный 10
Технические мешки:    
боковой и донный швы Вподгибку с открытым срезом обметочный однострочный 12
подшив горловины Вподгибку с закрытым срезом однострочный 5
  Вподгибку с открытым срезом обметочный однострочный 11

4.1.16. Определение сортности мешков и мешочных тканей

Для мешков и мешочных тканей устанавливается два сорта: первый и второй.

Сорт мешочных тканей и мешков определяют по физико-механическим показателям, количеству пороков внешнего вида, качеству пошива мешка.

Сорт устанавливается по наихудшему показателю. Примеры определения сорта указаны в Приложении А. Термины пороков внешнего вида мешочных тканей и их пояснения указаны в Приложении Б.

4.1.16.1. Допускаемые отклонения для мешочных тканей и мешков второго сорта по физико-механическим показателям устанавливаются от минимальных норм для первого сорта, установленных в технической документации, и они не должны превышать значений, указанных в таблице 5.

Таблица 5

Наименование показателя Продуктовые мешки и ткани для них Технические мешки и ткани для них
Ширина ткани, см -1,0 -1,5
Размер мешка:    
по длине и ширине, см -1,5 -2,5
Поверхностная плотность ткани, % -5,0 -10,0
Масса 1 мешка, % -5,0 -10,0
Число нитей на 10 см по основе и утку Не допускается -2,0
Разрывная нагрузка ткани по основе и утку -5,0 -10,0
Разрывная нагрузка шва, % -5 -10,0

4.1.16.2. Общее количество пороков внешнего вида, допускаемых с ограничением в мешочных тканях и мешках первого и второго сорта, не должно быть более указанного в таблице 6.

Таблица 6

Сорт Общее количество пороков, допускаемых с ограничением
на 30 м условной длины куска ткани, не более на один мешок, не более
Первый 10 2
Второй 27 6

Наименование и размеры пороков внешнего вида, допускаемых с ограничением, указаны в таблице 7.

Таблица 7

Наименование порока Размеры и количество пороков внешнего вида, допускаемых с ограничением, принимаемых за один порок
Продуктовые мешки и ткани для них Технические мешки и ткани для них
первый сорт второй сорт первый сорт второй сорт
Местные повреждения с разрушением нитей основы и утка, подплетины площадью, Не допускаются До 0,25 До 0,25 До 0,50
Отсутствующие нити (близны, пролеты) одна нить общей длиной, см Не более 20 Одна длиной до 10 см Одна длиной до 20 см или две длиной по 10 см каждая
Отсутствующие две и более нитей (близны, пролеты) Не допускаются Не допускаются
Поднырки общей длиной, см Не более 20 - -
Недосеки с понижением плотности утка не более чем на одну нить в 1 см 1 на мешок 1 на мешок 1 на мешок 2 на мешок
Парочки и рассечки, разуплотняющие ткань Не более чем на толщину 1 нити - -
Слеты и местные утолщения От трехкратной до пятикратной толщины одной нити - -
Отрыв основы без нарушения целостности ткани 1 1 - -
Штопка площадью, 3 8 Допускается машинная штопка, не вызывающая высыпание продукта
Масляные пятна, грязь Не допускаются Не допускаются 1 пятно на мешок
Примечания. 1. Качество штопки должно соответствовать требованиям, предъявленным к качеству ткани.
2. Бахрома по кромке в тканях, выработанных на станках типа АТПР, и в мешках, пошитых из этих тканей, пороком не считается.

4.1.16.3. Пороки внешнего вида, превышающие размер, указанный для второго сорта в таблице 7, в мешочных тканях и мешках не допускаются.

В кусках мешочных тканей недопустимые пороки внешнего вида подлежат вырезу или, по согласованию сторон, условному разрезу. Количество отрезов на условную длину куска должно быть не более 3. Минимальная длина отреза должна быть не менее 1,3 м.

4.1.16.4. Сорт мешков по качеству пошива определяется в соответствии с требованиями таблицы 8.

Таблица 8

Наименование пороков пошива Вид шва Сорт мешка
первый второй
Недостаток стежков Боковой и донный Не допускается Не более 1 на 10 см
  Подшив горловины Не более 1 на 10 см Не более 2 на 10 см
Пропуск стежков Боковой и донный Не более 1 2 - 3 в разных местах
  Подшив горловины Не более 2 в одном месте Не более 2 в двух местах

4.1.16.5. В мешках не допускается резко выраженная стяжка шва, овал шва, пропуск и недостаток стежков более норм, указанных в таблице 8 для второго сорта.

4.1.16.6. При овале шва, пропуске стежков, а также при образовании кармана, допускается исправление пороков в виде дополнительной прострочки по дефектному месту, причем новый шов должен быть начат не ближе чем на 3 см до начала дефектного места и закончен на таком же расстоянии от его конца. Исправленное место пороком не считается.

4.1.17. Мешки из ткани, выработанной из химических пленочных нитей, должны выдерживать не менее 3-х ударов при свободном падении:

с высоты 1,2 м на дно мешка;

с высоты 1,6 м плашмя на каждую сторону.

После каждого падения не должно быть разрыва мешка или потери содержимого. Небольшую утечку в месте прошивки мешка не считают дефектом мешка при условии, что при подъеме мешка дальнейшего высыпания продукта не происходит.

4.1.18. По согласованию с потребителем на мешок могут быть нанесены надписи, рисунки.

Образцы надписей и рисунков - по согласованию с потребителем. Допускается утверждение образцов-эталонов.

Надпись должна быть четкой, ровной, легко читаемой.

Не допускаются загрязнения или пятна от печатной краски, затрудняющие чтение надписи и искажающие рисунок.

4.2. Маркировка

4.2.1. Маркировка мешочных тканей по - ГОСТ 30084.

4.2.2. Маркировка мешков

4.2.2.1. В верхнюю пачку кипы вкладывают ярлык с указанием данных, характеризующих продукцию:

наименования предприятия-изготовителя и его товарный знак;

наименования продукции;

артикула мешка (при его наличии);

размера мешка;

сорта;

количества мешков в кипе;

даты изготовления;

обозначения настоящего стандарта и технической документации.

4.2.2.2. Транспортная маркировка кипы должна наноситься в соответствии с требованиями ГОСТ 14192. На кипной карте или ярлыке, прикрепленном к кипе, указывают:

наименование предприятия-изготовителя и его товарный знак;

наименование продукции;

номер кипы;

артикул мешка (при его наличии);

сорт;

количество мешков в кипе;

массу брутто;

дату изготовления.

4.3. Упаковка

4.3.1. Складывание и первичная упаковка мешочных тканей - по ГОСТ 12453.

4.3.2. Мешки упаковывают в пачки по 10 штук. Пачки упаковывают в кипы массой не более 50 кг.

Упаковка в кипу мешков разных назначений, размеров и сортов не допускается.

Мешки, сшитые из двух отрезов ткани, упаковывают отдельно.

4.3.3. Кипы мешков со всех сторон обшивают упаковочной тканью по ГОСТ 5530 или другими видами упаковочных материалов и обвязывают веревкой по ГОСТ 1868 или другими увязочными материалами. Все виды применяемых упаковочных и увязочных материалов должны обеспечивать сохранность упакованной продукции.

По согласованию с потребителем допускается не обшивать кипы упаковочным материалом и увеличение массы кипы при механизации погрузочно-разгрузочных работ.

4.3.4. Допускается по согласованию с потребителем использовать другие способы упаковывания мешков, обеспечивающие сохранность продукции.

5. ПРАВИЛА ПРИЕМКИ

5.1. Мешки и мешочные ткани предъявляют к приемке партиями. Партией считается любое количество продукции одного артикула и сорта, оформленное одним документом о качестве.

5.2. Правила приемки мешочных тканей по ГОСТ 20566, ГОСТ 29104.0.

5.3. Для контроля качества мешков от партии отбирают не менее 3% общего количества кип в партии, но не менее трех кип. Из разных мест каждой кипы отбирают в выборку не менее 10 мешков.

Если в выборке окажется не более 3% мешков, не соответствующих требованиям настоящего стандарта, партию принимают.

При получении неудовлетворительных результатов по какому-либо показателю для более 3% мешков проводят повторный контроль по этому показателю на удвоенном количестве мешков, взятых от той же партии.

Результаты повторных испытаний являются окончательными и распространяются на всю партию. При получении неудовлетворительных результатов при повторном контроле партию переводят в другой сорт или бракуют.

5.4. Контроль качества мешков по физико-механическим показателям изготовитель проводит периодически не реже одного раза в месяц.

Показатели "массовая доля костры" и "массовая доля ворса" определяются не реже одного раза в квартал.

Показатели "полное изменение линейных размеров мешков после термовлажностной обработки", "полное изменение линейных размеров мешков после стирки" проверяют при постановке продукции на производство и при разногласиях в оценке качества.

6. МЕТОДЫ КОНТРОЛЯ

6.1. Отбор проб - по ГОСТ 20566, ГОСТ 29104.0 и 5.3 настоящего стандарта.

6.2. Мешочные ткани и мешки перед контролем должны быть выдержаны не менее 24 ч в климатических условиях по ГОСТ 10681.

Допускается проведение испытаний мешков из химических пленочных нитей без предварительного выдерживания их в климатических условиях по ГОСТ 10681.

6.3. Определение линейных размеров и поверхностной плотности мешочной ткани - по ГОСТ 3811, ГОСТ 29104.1.

6.4. Определение числа нитей на 10 см ткани - по ГОСТ 3812, ГОСТ 29104.3.

6.5. Линейные размеры проверяют у 10 мешков, отобранных по 5.3.

Измерение по каждому направлению проводят в трех местах - посередине и у краев, на расстоянии 10 см от края измерительной линейкой с погрешностью +/- 1 мм.

При определении размеров мешок раскладывают на столе, ткань мешка расправляют до удаления морщин и складок без его деформации.

Длину мешка измеряют параллельно боковому шву от наружного края горловины до шва дна в одношовных и до линии сгиба ткани в двухшовных мешках.

Ширину мешка измеряют параллельно шву дна от одного наружного края боковой стороны мешка до строчки шва другого, в двухшовных мешках - от строчки одного шва до строчки другого.

Размеры мешка определяют как среднее арифметическое всех измерений, выполненных с погрешностью +/- 1 мм, результат округляют до 1 см.

6.6. Массу мешка определяют взвешиванием каждого из 10 мешков, отобранных по 5.3.

За результат испытания принимают среднее арифметическое результатов всех взвешиваний с погрешностью +/- 1 г.

6.7. Для подсчета числа стежков на 10 см шва и измерения ширины шва от выборки, отобранной по 5.3, отбирают пять мешков. Подсчет проводят на каждом мешке в трех местах: два подсчета в боковых и подшивных швах и по одному в донных и обметочных. Считают целое число стежков на 10 см шва.

За окончательный результат принимают среднее арифметическое результатов всех измерений.

6.8. Определение разрывной нагрузки мешочных тканей и швов мешков - по ГОСТ 3813, ГОСТ 29104.4.

Для контроля разрывной нагрузки ткани и швов отбирают пять мешков по 5.3. Размер образца для определения разрывной нагрузки шва указан в Приложении В.

Расстояние между зажимами разрывной машины устанавливают 200 мм. Скорость опускания нижнего зажима должна обеспечивать продолжительность растяжения образца до разрыва 15 - 45 с.

Разрывную нагрузку шва фиксируют в момент разрыва швейных ниток или ткани.

За результат испытаний принимают среднее арифметическое всех измерений. Вычисление проводят с точностью до первого десятичного знака с последующим округлением до целого числа.

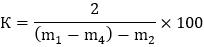
6.9. Определение массовой доли костры

6.9.1. Для определения массовой доли костры мешочных тканей от каждой точечной пробы, отобранной по ГОСТ 20566, из разных мест на расстоянии 20 см от края вырезают четыре пробы в виде квадратов размером 10 х 10 см.

Для определения массовой доли костры мешков отбирают пять мешков по 5.3. Схема раскроя мешка для испытания приведена в Приложении В.

6.9.2. Каждую отобранную пробу взвешивают с погрешностью +/- 0,01 г, из каждой пробы пинцетом выбирают с обеих сторон свободную и частично затканную костру (со свободно выступающим одним концом). Очищенную от костры пробу вновь взвешивают с погрешностью +/- 0,01 г.

6.9.3. Массовую долю костры (К) в процентах вычисляют по формуле

, (1)

где - первоначальная масса пробы, г;

- масса пробы, очищенной от костры, г.

За окончательный результат принимают среднее арифметическое результатов всех испытаний. Подсчет проводят до второго десятичного знака с последующим округлением до первого десятичного знака.

6.10. Определение массовой доли костры и массовой доли ворса

6.10.1. Отбор проб для испытаний - по 6.9.1. Одну из сторон каждого полученного образца помечают.

6.10.2. При испытании используют следующие приборы, приспособления и инструменты: электробритва типа "Харьков" с плавающими ножами, металлическая гребенка с частотой игл 10 на 10 мм и диаметром игл у основания 0,5 мм, пинцет или длинная игла, основание - брус (деревянный или металлический) размером 150 х 150 мм с металлической рамкой-пяльцами для закрепления образцов, весы с погрешностью взвешивания +/- 0,01 г.

6.10.3. Каждый образец перед испытанием взвешивают с погрешностью не более +/- 0,01 г и закрепляют в рамке-пяльцах на основании-брусе.

С поверхности образца пинцетом выбирают свободную и частично затканную костру (со свободно выступающим одним концом).

Для поднятия примятого ворса образец "прочесывают" с помеченной стороны металлической гребенкой от одного края к другому по вертикали и горизонтали (в каждом направлении по одному движению). Ворс, оставшийся на гребенке, собирают.

Электробритвой обрабатывают спиралевидным движением поверхность образца с помеченной стороны параллельно всем кромкам (рисунок 10). Обработку проводят в три этапа длительностью: 3, 2 и 1 мин. После каждого этапа обработки из лотка электробритвы кисточкой, пинцетом или длинной иглой выбирают ворс, а после третьего этапа ворс собирают и из ножевого блока.

Рисунок 10

Ворс, свободно выпавший, снятый металлической гребенкой и электробритвой, соединяют вместе и взвешивают на весах с погрешностью +/- 0,01 г.

Углы обработанного образца отмечают на рамке цветным карандашом, вынимают из рамки и вырезают обработанную часть. Необработанную часть образца взвешивают с погрешностью +/- 0,01 г.

Образец переворачивают необработанной стороной, выбирают оставшуюся костру, присоединяют ее к собранной ранее и взвешивают с погрешностью +/- 0,01 г.

6.10.4. Результаты всех взвешиваний записывают в таблицу по форме, соответствующей таблице 9.

Таблица 9

Номер образца Масса образца размером 17 x 17 см Общая масса костры, г Общая масса ворса, г Масса необработанной части образца, г
 

Массовую долю костры К в процентах вычисляют по формуле:

. (2)

Результат вычисляют с точностью до 0,001 и округляют до 0,01%.

Массовую долю ворса В в процентах вычисляют по формуле

. (3)

Результат вычисляют с точностью до 0,01 и округляют до 0,1%.

За окончательный результат принимают среднее арифметическое результатов испытаний всех образцов.

6.11. Определение металлопримесей

Для определения металлопримесей отбирают пять мешков из ранее отобранных по 5.3.

Отобранные мешки очищают волосяной или капроновой щеткой сначала снаружи, а затем изнутри. Очистку мешков проводят над листом бумаги площадью не менее 1 м2. Очистку каждой стороны проводят дважды.

После очистки мешков собирают магнитом все сметки мешков. Металлопримеси, собранные магнитом, взвешивают и определяют среднее арифметическое всех взвешиваний.

6.12. Определение полного изменения линейных размеров после термовлажностной обработки и стирки

6.12.1. Определение полного изменения линейных размеров после термовлажностной обработки проводят на мешках, отобранных по 5.3.

Перед обработкой и после нее проводят измерение линейных размеров мешков согласно 6.5.

Обработку мешков проводят в дезинсекторе в соответствии с утвержденным технологическим режимом.

6.12.2. Для определения полного изменения линейных размеров после стирки от выборки по 5.3 отбирают пять мешков.

Перед стиркой проводят измерения размеров мешков согласно 6.5.

Стирка проводится чистой водой в стиральных машинах барабанного типа при нормальной загрузке машины при температуре +60 - 65 °С в течение 15 мин.

Допускается проводить стирку мешков в стиральных машинах другого типа при сохранении режима стирки.

После стирки и отжима мешки расправляют и в подвешенном состоянии проводят сушку в термокамере или на воздухе.

Сухие мешки измеряют при полном распрямлении ткани мешка.

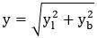
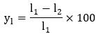
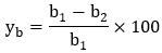
6.12.3. Изменение линейных размеров по длине и ширине в процентах вычисляют по формулам:

, (4)

, (5)

где - средняя длина мешков до обработки, см;

- средняя длина мешков после обработки, см;

- средняя ширина мешков до обработки, см;

- средняя ширина мешков после обработки, см.

Полное изменение линейных размеров Y в процентах вычисляют по формуле

. (6)

6.13. Для определения влажности мешков из каждой кипы, отобранной по 5.3, отбирают по одному мешку.

Для определения влажности мешок высушивают в кондиционном аппарате при температуре 105 - 110 °С до постоянной массы.

Влажность мешка W в процентах вычисляют по формуле

, (7)

где - первоначальная масса мешка, г;

- масса мешка, высушенного до постоянной массы.

За окончательный результат принимают среднее арифметическое результатов испытаний всех образцов.

6.14. Определение пороков внешнего вида мешочных тканей определяют путем просмотра ткани с лицевой стороны при отраженном свете на браковочном столе или перекатке, имеющей наклон к вертикали от 25° до 30°.

При возникновении разногласий просмотр тканей проводят при естественном освещении.

6.15. Определение пороков внешнего вида и качества пошива мешков проводят путем просмотра всех мешков, отобранных по 5.3. Мешки просматривают на столе при отраженном свете.

6.16. Определение прочности при свободном падении - по ГОСТ 17811.

Для контроля прочности при сбрасывании отбирают 5 мешков от выборки, отобранной по 5.3.

7. ТРАНСПОРТИРОВАНИЕ И ХРАНЕНИЕ

7.1. Транспортирование и хранение мешочных тканей и мешков - по ГОСТ 7000.

8. УКАЗАНИЯ ПО ЭКСПЛУАТАЦИИ

8.1. Выгрузка и хранение порожних мешков

8.1.1. Выгрузку кип из транспортных средств осуществляют с помощью погрузочно-разгрузочных механизмов или по системе транспортеров в комбинации с необходимыми механизмами и приспособлениями.

При выгрузке мешки не должны повреждаться.

8.1.2. Кипы мешков должны укладываться в устойчивые штабеля.

Ранее поставленные партии должны использоваться в первую очередь.

8.2. Наполнение мешков

8.2.1. Мешки должны заполняться с помощью специальных наполнительных машин и приспособлений. Степень заполнения мешка не должна превышать 95% его вместимости.

8.2.3. Наполненные мешки должны зашиваться на швейных машинах класса 38-А или аналогичных.

9. ГАРАНТИИ ИЗГОТОВИТЕЛЯ

Изготовитель гарантирует соответствие мешков и мешочных тканей требованиям настоящего стандарта при соблюдении условий их эксплуатации, хранения и транспортирования.

Гарантийный срок хранения мешков и мешочных тканей - пять лет со дня изготовления.

Приложение А
(обязательное)

ПРИМЕРЫ ОПРЕДЕЛЕНИЯ СОРТА МЕШКОВ

Пример 1. Определение сорта мешков по порокам внешнего вида, допускаемых с ограничением, и по физико-механическим показателям.

При просмотре 100 мешков, взятых из партии, обнаружили, что 96 мешков по наличию пороков соответствуют первому сорту, четыре мешка - второму сорту, по физико-механическим показателям все мешки соответствуют первому сорту. Если в сопроводительных документах указан первый сорт партии, то делают повторную выборку, т.е. просматривают удвоенное количество мешков - 200 мешков.

Результат повторной выборки:

а) все мешки соответствуют первому сорту, вся партия оценивается первым сортом;

б) 193 мешка соответствуют первому сорту, семь мешков - второму сорту, вся партия относится ко второму сорту, т.к. из 200 мешков семь мешков (более 3%) отнесены ко второму сорту.

Пример 2. Определение сорта мешков по качеству пошива.

При просмотре 100 мешков, взятых от партии, обнаружили, что у 50 мешков нет пороков пошива, у 20 - пропуск одного стежка на строчку сшивного шва, у 30 - пропуск двух стежков в одном месте, в подшивном шве горловины.

Вся партия относится к первому сорту.

Пример 3. Определение сорта партии мешков.

Мешки после окончательной оценки были отнесены по порокам внешнего вида, допускаемых с ограничением ко второму сорту, по физико-механическим показателям - к первому сорту, по качеству пошива - к первому сорту.

Партия мешков относится ко второму сорту.

Приложение Б
(обязательное)

ТЕРМИНЫ ПОРОКОВ ВНЕШНЕГО ВИДА МЕШОЧНЫХ ТКАНЕЙ И ИХ ПОЯСНЕНИЯ

Таблица Б1

Термин Пояснение
Дыры, проколы, пробоины, просечки, узлы, вызывающие дыры, складки, заломы, дающие разрыв ткани Местные пороки тканей с разрушением нитей основы и утка
Близна Местный порок ткани, заключающийся в отсутствии одной или нескольких нитей основы
Пролеты Местный порок ткани, заключающийся в отсутствии одной или нескольких нитей по всей ширине ткани или на ограниченном участке
Поднырки Местный порок в виде одной или нескольких нитей одной системы, неправильно перекрывающих нити другой системы, нарушая переплетение
Недосека Местный порок ткани в виде полосы во всю ширину ткани из-за пониженной плотности ткани по утку
Двойник, парочка Местный порок в виде двух или нескольких нитей, заработанных вместо одной
Рассечка Распространенный порок в виде раздвинутых нитей основы из-за нарушения плотности зубьев берда
Утолщение Местный порок в виде утолщения нити на ограниченном участке
Залом Местный порок в виде неустранимых следов складок
Отрыв основы След ликвидации отрывов большой группы основных нитей
Подплетина Местный порок в виде неправильно переплетенных рядом лежащих нитей
Слеты Вотканные петельки из уточной пряжи на поверхности ткани

Приложение В
(рекомендуемое)

СХЕМА РАСКРОЯ МЕШКА ДЛЯ ИСПЫТАНИЙ

1 - образец для определения разрывной нагрузки донного шва; 2 - образец для определения разрывной нагрузки бокового шва; 3 - образец для определения разрывной нагрузки и числа нитей на 10 см ткани по основе; 4 - образец для определения разрывной нагрузки и числа нитей на 10 см ткани по утку; 5 - образец для определения массовой доли костры и массовой доли ворса

Рисунок 11

Выкройка образца для определения разрывной нагрузки шва

Рисунок 12

Образцы 2, 3, 4, 5 выкраивают с одной и другой стороны мешка.

Образцы 3, 4 зачищают по ширине на 50 мм.