Здания и сооружения. Метод тепловизионного контроля качества теплоизоляции ограждающих конструкций. ГОСТ 26629-85

(утв. Постановлением Госстроя СССР от 05.10.85 N 173)
Редакция от 04.10.1985 — Действует с 01.07.1986

ГОСУДАРСТВЕННЫЙ СТАНДАРТ СОЮЗА ССР

ЗДАНИЯ И СООРУЖЕНИЯ

МЕТОД ТЕПЛОВИЗИОННОГО КОНТРОЛЯ КАЧЕСТВА ТЕПЛОИЗОЛЯЦИИ ОГРАЖДАЮЩИХ КОНСТРУКЦИЙ

Buildings and structures. Method of thermovision ontrol of enclosing structures thermal insulation quality

ГОСТ 26629-85

Постановлением Государственного комитета СССР по делам строительства от 5 октября 1985 г. N 173 срок введения установлен с 1 июля 1986 года

РАЗРАБОТАН

Научно-исследовательским институтом строительной физики (НИИСФ) Госстроя СССР

Московским институтом радиотехники, электроники и автоматики (МИРЭА) Министерства высшего и среднего специального образования РСФСР

Научно-исследовательским институтом строительных конструкций (НИИСК) Госстроя СССР

Научно-исследовательским институтом "НИИМосстрой" Главмосстроя

ИСПОЛНИТЕЛИ

Г.С. Иванов, д-р техн. наук (руководитель темы); А.В. Зотов; В.И. Сухарев, канд. техн. наук; Н.Д. Куртев, канд. техн. наук; В.И. Хахин, канд. техн. наук; В.П. Хоменко, канд. техн. наук; Ю.А. Калядин, канд. техн. наук; И.С. Лифанов

ВНЕСЕН

Научно-исследовательским институтом строительной физики (НИИСФ) Госстроя СССР

Директор В.А. Дроздов

УТВЕРЖДЕН И ВВЕДЕН В ДЕЙСТВИЕ Постановлением Государственного комитета по делам строительства от 5 октября 1985 г. N 173

Настоящий стандарт распространяется на ограждающие конструкции жилых, общественных, промышленных и сельскохозяйственных зданий и сооружений с нормируемой температурой внутреннего воздуха помещений и устанавливает метод тепловизионного контроля качества теплозащиты одно- и многослойных конструкций (наружных стен, перекрытий, в том числе стыковых соединений) в натурных и лабораторных условиях, определения мест и размеров участков, подлежащих ремонту для восстановления требуемых теплозащитных качеств.

Стандарт не распространяется на светопрозрачные части ограждающих конструкций.

Пояснения к терминам, используемым в стандарте, приведены в справочном приложении 1.

Стандарт соответствует требованиям международного стандарта ИСО 6781-83 в части выявления нарушений теплозащиты зданий.

1. ОБЩИЕ ПОЛОЖЕНИЯ

1.1. Метод основан на дистанционном измерении тепловизором полей температур поверхностей ограждающих конструкций, между внутренними и наружными поверхностями которых создан перепад температур, и вычислении относительных сопротивлений теплопередаче участков конструкции, значения которых, наряду с температурой внутренней поверхности, принимают за показатели качества их теплозащитных свойств.

1.2. Температурные поля поверхностей ограждающих конструкций получают на экране тепловизора в виде черно-белого или цветного изображения, градации яркости или цвета которого соответствуют различным температурам. Тепловизоры снабжены устройством для высвечивания на экране изотермических поверхностей и измерения выходного сигнала, значение которого функционально связано с измеряемой температурой поверхности.

1.3. Тепловизионному контролю подвергают наружные и внутренние поверхности ограждающих конструкций. По обзорной термограмме наружной поверхности ограждающих конструкций выявляют участки с нарушенными теплозащитными свойствами, которые затем подвергают детальному термографированию с внутренней стороны ограждающих конструкций.

1.4. Линейные размеры дефектных участков определяют, используя геометрические масштабы термограмм.

2. АППАРАТУРА И ОБОРУДОВАНИЕ

2.1. Для контроля качества теплоизоляции ограждающих конструкций применяют тепловизоры марки АТП-44-М. Допускается применение тепловизоров других марок, отвечающих следующим требованиям:

диапазон контролируемых температур минус 20 - плюс 30 °С
предел температурной чувствительности, не менее 0,5 °С
угловые размеры поля обзора от 0,08 до 0,65 рад
число элементов разложения по строке, не менее 100
число строк в кадре, не менее 100

2.2. При тепловизионном контроле дополнительно используют следующую аппаратуру и материалы:

термощуп-термометр ЭТП-М с погрешностью не более 0,5 °С;

аспирационный психрометр М-34;

метеорологический недельный термограф М-16И по ГОСТ 6416-75;

ручной чашечный анемометр МС-13 по ГОСТ 6376-74;

измерительную металлическую рулетку по ГОСТ 7502-80;

фотоувеличитель, укомплектованный наклоняемым проекционным столиком;

сосуд Дьюара вместимостью от 1 до 10 л;

полиэтилентерефталатную металлизированную пленку типа ПЭТФ-С или ПЭТФ-Н.

3. ПОДГОТОВКА К ИЗМЕРЕНИЯМ

3.1. Тепловизионные измерения производят при перепаде температур между наружным и внутренним воздухом, превосходящим минимально допустимый перепад, определяемый по формуле

, (1)

где - предел температурной чувствительности тепловизора, °С;

- проектное значение сопротивления теплопередаче, /Вт;

- коэффициент теплоотдачи, принимаемый равным: для внутренней поверхности стен - по нормативно-технической документации; для наружной поверхности стен при скоростях ветра 1, 3, 6 м/с - соответственно 11, 20, 30 Вт/();

r - относительное сопротивление теплопередаче подлежащего выявлению дефектного участка ограждающей конструкции, принимаемое равным отношению значения требуемого нормативно-технической документации к проектному значению сопротивления теплопередаче, но не более 0,85.

3.2. Тепловизионные измерения производят при режиме теплопередачи, близком к стационарному. Отклонение фактического режима теплопередачи от стационарного оценивают согласно справочному приложению 2.

3.3. Тепловизионные измерения производят при отсутствии атмосферных осадков, тумана, задымленности. Обследуемые поверхности не должны находиться в зоне прямого и отраженного солнечного облучения в течение 12 ч до проведения измерений.

3.4. Измерения не следует производить, если значение интегрального коэффициента излучения поверхности объекта менее 0,7 (см. справочное приложение 3).

3.5. Места установки тепловизора выбирают так, чтобы поверхность объекта измерений находилась в прямой видимости под углом наблюдения не менее 60°.

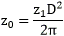
3.6. Удаленность мест установки тепловизора L в метрах от поверхности объекта определяют по формуле

, (2)

где - угловой вертикальный размер поля обзора тепловизора, рад;

- линейный размер подлежащего выявлению участка ограждающей конструкции с нарушенными теплозащитными свойствами, принимаемый при контроле внутренней поверхности от 0,01 до 0,2 м; при контроле наружной поверхности - от 0,2 до 1 м;

- число строк развертки в кадре тепловизора.

3.7. Поверхности ограждающих конструкций в период тепловизионных измерений не должны подвергаться дополнительному тепловому воздействию от биологических объектов, источников освещения. Минимально допустимое приближение оператора тепловизора к обследуемой поверхности составляет 1 м, электрических ламп накаливания - 2 м.

3.8. Отопительные приборы, установленные на относе с расстоянием более 10 см от обследуемой поверхности или находящиеся на примыкающих к ней поверхностях, следует экранировать пленочными материалами с низким коэффициентом излучения (см. п. 2.2).

3.9. На обследуемой поверхности выбирают геометрический репер, которым может служить линейный размер откоса окна, расстояние между стыками панелей ограждающей конструкции.

4. ПРОВЕДЕНИЕ ИЗМЕРЕНИЙ

4.1. Тепловизор устанавливают на выбранном месте, включают и настраивают в соответствии с инструкцией по его эксплуатации.

4.2. Тепловое изображение наружной поверхности ограждающей конструкции просматривают, снимают обзорные термограммы и выбирают базовый участок. За базовый принимают участок ограждающей конструкции, имеющий линейные размеры свыше двух ее толщин и равномерное температурное поле, которому соответствует минимальное значение выходного сигнала тепловизора.

4.3. Участок с нарушенными теплозащитными свойствами выявляют при просмотре тепловых изображений наружной поверхности ограждающей конструкции. К ним относят участки, тепловое изображение которых не соответствует модели термограммы, и участки, значения выходных сигналов тепловизора от поверхности которых больше на цену деления шкалы изотерм, чем для базового участка.

4.4. Поверхности контролируемых участков стен освобождают от картин, ковров, отслоившихся обоев и других предметов, исключающих прямую видимость объекта.

4.5. Внутренние поверхности базового участка и участков с нарушенными теплозащитными свойствами подвергают детальному термографированию. Дополнительно термографируют участки примыкания пола и потолка к наружным стенам здания в помещениях первого и верхнего этажей, а также угловые участки сопряжений наружных стен.

4.6. Перед измерениями температурных полей производят градуировку тепловизора в соответствии с рекомендуемым приложением 4.

4.7. При измерениях температурных полей на экране тепловизора получают и фотографируют последовательно тепловые изображения с высвеченными изотермическими поверхностями, начиная с минимального значения выходного сигнала тепловизора и кончая максимальным его значением. Значения выходных сигналов тепловизора для изотермических поверхностей определяют по формуле

, (3)

где - минимальное значение выходного сигнала тепловизора;

k - порядковый номер изотермической поверхности;

A - коэффициент градуировочной характеристики тепловизора, °С (см. рекомендуемое приложение 4);

- разница температур между соседними изотермами, принимаемая равной от 0,3 до 1 °С.

4.8. Температуры внутреннего и наружного воздуха измеряют аспирационным психрометром.

4.9. Результаты измерения заносят в журнал записи тепловизионных измерений по форме, приведенной в рекомендуемом приложении 5.

4.10. Сопротивление теплопередаче базового участка ограждающей конструкции определяют по результатам натурных измерений в соответствии с ГОСТ 26254-84. При невозможности его определения значение сопротивления теплопередаче вычисляют согласно нормативно-технической документации по данным проекта ограждающей конструкции.

5. ОБРАБОТКА РЕЗУЛЬТАТОВ

5.1. Температуры изотермических поверхностей участков в °С определяют по формуле

, (4)

где A, B - коэффициенты градуировочной характеристики тепловизора, °С (см. рекомендуемое приложение 4);

L - выходной сигнал тепловизора от изотермической поверхности.

5.2. Температурное поле изображают в виде семейства изотерм на подготовленном в масштабе от 1:20 до 1:200 эскизе соответствующего участка ограждающей конструкции. На эскизе наносят прямоугольную сетку с координатными осями OX и OY, начало координат которой совмещают с характерной деталью этого участка.

5.3. Для построения семейства изотерм негативное изображение термограммы проецируют при помощи фотоувеличителя на подготовленный эскиз, помещенный на проекционный столик. Увеличение и угол наклона проекционного столика выбирают так, чтобы проекция геометрического репера совпала с его изображением на эскизе.

5.4. Последовательно заменяя в фотоувеличителе негативы детальных термограмм одного и того же участка ограждения с различными изображениями изотерм, на эскиз переносят положение изотерм и проставляют на них значения температур. Линию изотерм на эскизе проводят по средней линии изображения изотермической поверхности. Значения температур заносят в таблицу по форме рекомендуемого приложения 6.

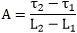
5.5. Значения относительного сопротивления теплопередаче участка ограждения вычисляют по формуле

, (5)

где , - температуры внутреннего и наружного воздуха в зоне исследуемого фрагмента, °С;

, - температура внутреннего и наружного воздуха в зоне базового участка, °С;

- температура внутренней поверхности базового участка, °С;

- температура изотермы, проходящей через точку с координатами (x, y), °С.

Результаты расчета относительных сопротивлений теплопередаче заносят в таблицу по форме рекомендуемого приложения 6.

5.6. Значение случайной абсолютной погрешности определения температуры в °С участка ограждающей конструкции рассчитывают по формуле

, (6)

где - абсолютная погрешность измерения температур реперных участков, принимаемая равной половине цены деления шкалы измерительного прибора, °С;

- погрешность измерения выходного сигнала тепловизора, принимаемая равной половине цены деления шкалы изотерм тепловизора;

A - то же, что в формуле (3).

Значение случайной относительной погрешности определения относительного сопротивления теплопередаче рассчитывают по формуле

, (7)

где , - температуры соответственно воздуха и поверхности, °С;

, , - значения абсолютных случайных значений погрешности определения температуры соответственно воздуха, базового участка, контролируемого участка, °С.

Результаты измерений признают достоверными, если относительная погрешность не превышает 15%.

5.7. Определение границ дефектного участка

5.7.1. В качестве границы дефектного участка ограждающей конструкции, выявленного при термографировании внутренней поверхности, принимают:

изотерму, температура которой при расчетных условиях эксплуатации здания или сооружения равна температуре точки росы внутреннего воздуха;

контур участка с однородным температурным полем, линейные размеры которого больше двух толщин ограждающей конструкции и относительное сопротивление теплопередаче равно или меньше его критического значения.

5.7.2. Температуру внутренней поверхности участка ограждения по линии изотермы определяют при расчетных условиях эксплуатации здания или сооружения по формуле

, (8)

где , - расчетные температуры соответственно внутреннего и наружного воздуха, °С;

- коэффициент теплоотдачи внутренней поверхности ограждающей конструкции, принимаемый согласно нормативно-технической документации, Вт/();

- значение сопротивления теплопередаче базового участка, определяемое в соответствии с п. 4.10, /Вт;

r (x, y) - то же, что в формуле (5).

5.7.3. Критическое значение относительного сопротивления теплопередаче ограждающей конструкции по линии изотермы определяют по формуле

, но не более 0,85, (9)

где - требуемое сопротивление теплопередаче, определяемое по нормативно-технической документации, /Вт;

- то же, что в формуле (8).

5.7.4. При расположении дефектного участка в зоне стыкового соединения стеновых панелей или оконного блока и панели следует проверить сопротивление воздухопроницанию стыкового соединения по ГОСТ 25891-83.

Приложение 1
Справочное

ТЕРМИНЫ И ПОЯСНЕНИЯ

Тепловизор - по ГОСТ 25314-82.

Тепловое изображение - по ГОСТ 25314-82.

Термограмма - запись теплового изображения, например, фотография, видеозапись.

Обзорная термограмма - термограмма поверхности ограждающей конструкции или ее укрупненных элементов, получаемая для выявления участков с нарушенными теплозащитными свойствами.

Детальная термограмма - термограмма поверхности фрагмента ограждающей конструкции, получаемая для оценки показателей качества его теплоизоляции.

Модель термограммы ограждающей конструкции - термограмма из альбома типовых термограмм или эскиз температурного поля поверхности, рассчитанного на ЭВМ по данным проекта ограждающей конструкции.

Выходной сигнал тепловизора - измеряемый тепловизором электрический сигнал, значение которого пропорционально плотности потока теплового излучения контролируемого участка поверхности объекта.

Минимально допустимый перепад температур - разница температур внутреннего и наружного воздуха, при которой возможно выявление участков ограждающей конструкции с нарушенной теплоизоляцией.

Реперные участки - участки поверхности ограждающей конструкции, по температурам которых градуируют тепловизор.

Базовый участок ограждающей конструкции - участок ограждающей конструкции, состояние теплоизоляции которого принимают за эталон при контроле качества теплоизоляции других участков ограждающей конструкции.

Относительное сопротивление теплопередаче - показатель качества теплоизоляции, равный отношению сопротивления теплопередаче контролируемого и базового участков.

Приложение 2
Справочное

ОЦЕНКА ОТКЛОНЕНИЯ РЕЖИМА ТЕПЛОПЕРЕДАЧИ ОТ СТАЦИОНАРНОГО

1. Оценку отклонения режима теплопередачи от стационарного производят по критерию допускаемой погрешности определения относительного сопротивления теплопередаче, принимаемой равной 15%, используя данные наблюдений за температурами внутреннего и наружного воздуха, данные о теплофизических характеристиках ограждающей конструкции согласно проекту и данные о теплофизических характеристиках возможных нарушений теплоизоляции.

2. Минимальную длительность в сутках периода наблюдений за температурами внутреннего и наружного воздуха определяют по формуле

, (1)

где D - тепловая инерция ограждающей конструкции при периоде колебаний температуры воздуха , принимаемом равным 1 сут, округляя полученное при расчете значение в большую сторону до целого числа.

3. Для наблюдения за температурами внутреннего воздуха в центре помещений первого, верхнего и одного из промежуточных этажей обследуемого здания на высоте 1,5 м от пола устанавливают метеорологические термографы.

4. Для наблюдения за температурой наружного воздуха метеорологический термограф устанавливают на расстоянии от 20 до 1000 м от объекта.

5. Оценку максимального значения относительной систематической погрешности определения относительного сопротивления теплопередаче , обусловленную нестационарными тепловыми воздействиями на ограждающую конструкцию, подлежащую контролю качества теплоизоляции, производят по формуле

, (2)

где , - средние значения температур соответственно внутреннего и наружного воздуха за период наблюдений, °С;

, - амплитуды суточных колебаний температуры накануне тепловизионного контроля соответственно внутреннего и наружного воздуха, определяемые как разность между максимальными и среднесуточными значениями температур воздуха, °С;

- вариация среднесуточных температур наружного воздуха, определяемая как разность между максимальным и минимальным значениями среднесуточных температур наружного воздуха за период предварительных наблюдений, °С;

- коэффициент теплоотдачи внутренней поверхности ограждающей конструкции, принимаемый по нормативно-технической документации, Вт/();

, - то же, что в формуле (1) настоящего приложения;

, - сопротивление теплопередаче соответственно базового участка и участка с нарушением теплоизоляции, вычисляемое по нормативно-технической документации, /Вт;

, - затухание амплитуды колебаний температуры внутреннего воздуха относительно амплитуды колебаний температуры внутренней поверхности, определяемое по ГОСТ 26253-84;

, - затухание амплитуды колебаний температуры наружного воздуха относительно амплитуды колебаний температуры внутренней поверхности соответственно базового участка и участка с нарушением теплоизоляции, вычисляемое по нормативно-технической документации.

Приложение 3
Справочное

ИНТЕГРАЛЬНЫЕ КОЭФФИЦИЕНТЫ ИЗЛУЧЕНИЯ НЕКОТОРЫХ СТРОИТЕЛЬНЫХ МАТЕРИАЛОВ В СПЕКТРАЛЬНОМ ДИАПАЗОНЕ 2 - 5,6 мкм

Наименование материала Коэффициент излучения
Алюминий 0,04 - 0,19
Белая шпатлевка 0,88
Бумажные красные обои 0,90
Бумажные светло-серые обои 0,85
Гипсовая штукатурка 0,90
Красное дерево 0,84
Листовая сталь 0,50 - 0,60
Масляная серая глянцевая краска 0,96
Масляная серая матовая краска 0,97
Масляная черная глянцевая краска 0,92
Масляная черная матовая краска 0,94
Матовый лак 0,93
Облицовочный красный кирпич 0,92
Оцинкованное листовое железо 0,23 - 0,28
Пластиковые белые обои 0,84
Пластиковые красные обои 0,94
Серая штукатурка 0,92
Фанера 0,93
Фибровый картон 0,85

Приложение 4
Рекомендуемое

ГРАДУИРОВКА ТЕПЛОВИЗОРА

1. Градуировку тепловизора производят перед измерением температурных полей каждого фрагмента поверхности объекта с постоянным коэффициентом излучения, а также при смене объектива или изменении расстояния.

2. Градуировку тепловизора производят для установления зависимости между значением его выходного сигнала и температурой обследуемой поверхности ограждающей конструкции.

3. Для градуировки тепловизора на обследуемой поверхности ограждающей конструкции выбирают два так называемых реперных участка, доступных для измерения на них температур и в °С контактным методом.

4. Реперные участки на поверхности исследуемого фрагмента выбирают по его тепловому изображению на экране тепловизора как изотермические участки, которым соответствуют минимальный и максимальный выходные сигналы тепловизора. Линейные размеры реперных участков должны составлять не менее 10% линейных размеров исследуемого фрагмента. Контуры реперных участков на фрагменте отмечают мелом по указанию оператора, наблюдающего за экраном. В качестве реперных допускается выбирать участки фрагмента, которым соответствуют значения выходных сигналов, отличающиеся от экстремальных значений не более чем на 20%.

5. Температуры реперных участков измеряют в соответствии с ГОСТ 26254-84 или термощупом.

6. Значения выходных сигналов тепловизора для реперных участков устанавливают по шкале изотерм тепловизора в соответствии с инструкцией по его эксплуатации.

7. Коэффициенты градуировочной характеристики вычисляют по формулам:

; (1)

. (2)

8. Результаты градуировки заносят в журнал измерений, форма которого приведена в рекомендуемом приложении 5.

Приложение 5
Рекомендуемое

ФОРМА ЗАПИСИ РЕЗУЛЬТАТОВ ТЕПЛОВИЗИОННЫХ ИЗМЕРЕНИЙ

Характеристика фрагмента ограждающей конструкции Расстояние объекта, м Угловой размер поля обзора тепловизора, рад Температура воздуха, °С Данные для градуировки Коэффициенты градуировочной характеристики, °С Номера кадров съемки
, °С , °С A B
                     

Приложение 6
Рекомендуемое

ЖУРНАЛ ЗАПИСИ ОПРЕДЕЛЯЕМЫХ ПАРАМЕТРОВ

Характеристика фрагмента Номера кадров съемки Значения выходных сигналов Температуры изотерм, °С Значения относительных сопротивлений теплопередаче Температуры изотерм в расчетных условиях эксплуатации, °С Заключение о качестве теплоизоляции участка фрагмента