Грунты. Определение характеристик прочности оттаивающих грунтов методом среза. ГОСТ 12248.11-2020

(утв. Приказом Росстандарта от 14.10.2020 N 831-СТ)
Редакция от 14.10.2020 — Действует с 01.06.2021

Данный документ приведен с учетом Поправки, опубликованной в "ИУС", N 7, 2023.


МЕЖГОСУДАРСТВЕННЫЙ СТАНДАРТ

ГРУНТЫ

ОПРЕДЕЛЕНИЕ ХАРАКТЕРИСТИК ПРОЧНОСТИ ОТТАИВАЮЩИХ ГРУНТОВ МЕТОДОМ СРЕЗА

Soils. Determination of strength characteristics of thawing soils using the shear method

ГОСТ 12248.11-2020

Дата введения
1 июня 2021 года

Предисловие

Цели, основные принципы и общие правила проведения работ по межгосударственной стандартизации установлены ГОСТ 1.0 "Межгосударственная система стандартизации. Основные положения" и ГОСТ 1.2 "Межгосударственная система стандартизации. Стандарты межгосударственные, правила и рекомендации по межгосударственной стандартизации. Правила разработки, принятия, обновления и отмены"

Сведения о стандарте

1 РАЗРАБОТАН Открытым акционерным обществом "Научно-исследовательский центр "Строительство" (АО "НИЦ "Строительство") - Научно-исследовательским проектно-изыскательским и конструкторско-технологическим институтом оснований и подземных сооружений (НИИОСП) им. Н.М. Герсеванова

2 ВНЕСЕН Техническим комитетом по стандартизации ТК 465 "Строительство"

3 ПРИНЯТ Межгосударственным советом по стандартизации, метрологии и сертификации (протокол от 31 августа 2020 г. N 132-П)

За принятие проголосовали:

Краткое наименование страны по МК (ИСО 3166) 004-97 Код страны по МК (ИСО 3166) 004-97 Сокращенное наименование национального органа по стандартизации
Азербайджан AZ Азстандарт
Армения AM ЗАО "Национальный орган по стандартизации и метрологии" Республики Армения
Беларусь BY Госстандарт Республики Беларусь
Казахстан KZ Госстандарт Республики Казахстан
Россия RU Росстандарт
Таджикистан TJ Таджикстандарт
Узбекистан UZ Узстандарт

4 Приказом Федерального агентства по техническому регулированию и метрологии от 14 октября 2020 г. N 831-ст межгосударственный стандарт ГОСТ 12248.11-2020 введен в действие в качестве национального стандарта Российской Федерации с 1 июня 2021 г.

5 ВЗАМЕН ГОСТ 12248-2010, подраздел 6.5

Информация о введении в действие (прекращении действия) настоящего стандарта и изменений к нему на территории указанных выше государств публикуется в указателях национальных стандартов, издаваемых в этих государствах, а также в сети Интернет на сайтах соответствующих национальных органов по стандартизации.

В случае пересмотра, изменения или отмены настоящего стандарта соответствующая информация будет опубликована на официальном интернет-сайте Межгосударственного совета по стандартизации, метрологии и сертификации в каталоге "Межгосударственные стандарты"

1 Область применения

Настоящий стандарт устанавливает лабораторный метод быстрого одноплоскостного недренированного среза для определения сопротивления срезу , угла внутреннего трения и удельного сцепления c оттаивающих пылевато-глинистых и песчаных грунтов (кроме крупных и гравелистых песков), органоминеральных с содержанием органического вещества для указанных видов грунтов не более 10% при их исследовании для инженерного освоения районов распространения многолетне-мерзлых и сезонно-мерзлых грунтов.

2 Нормативные ссылки

В настоящем стандарте использованы нормативные ссылки на следующие межгосударственные стандарты:

ГОСТ 5180 Грунты. Методы лабораторного определения физических характеристик

ГОСТ 12071 Грунты. Отбор, упаковка, транспортирование и хранение образцов

ГОСТ 12536 Грунты. Методы лабораторного определения гранулометрического (зернового) и микроагрегатного состава

ГОСТ 20522 Грунты. Методы статистической обработки результатов испытаний

ГОСТ 25100 Грунты. Классификация

ГОСТ 30416 Грунты. Лабораторные испытания. Общие положения

ГОСТ ISO/IEC 17025 Общие требования к компетентности испытательных и калибровочных лабораторий

Примечание - При пользовании настоящим стандартом целесообразно проверить действие ссылочных стандартов и классификаторов на официальном интернет-сайте Межгосударственного совета по стандартизации, метрологии и сертификации (www.easc.by) или по указателям национальных стандартов, издаваемым в государствах, указанных в предисловии, или на официальных сайтах соответствующих национальных органов по стандартизации. Если на документ дана недатированная ссылка, то следует использовать документ, действующий на текущий момент, с учетом всех внесенных в него изменений. Если заменен ссылочный документ, на который дана датированная ссылка, то следует использовать указанную версию этого документа. Если после принятия настоящего стандарта в ссылочный документ, на который дана датированная ссылка, внесено изменение, затрагивающее положение, на которое дана ссылка, то это положение применяется без учета данного изменения. Если ссылочный документ отменен без замены, то положение, в котором дана ссылка на него, применяется в части, не затрагивающей эту ссылку.

3 Термины и определения

В настоящем стандарте применены термины по ГОСТ 25100, ГОСТ 30416, а также следующие термины с соответствующими определениями:

3.1 природное давление: Давление, равное напряжению от собственного веса грунта на глубине отбора образца.

3.2 оттаивающий грунт: Грунт, в котором при переходе из мерзлого состояния в немерзлое разрушаются криогенные структурные связи.

3.3 граница оттаивания (нулевая изотерма): Граница раздела оттаивающего и мерзлого грунта, движущаяся сверху вниз в процессе оттаивания.

3.4 приконтактный слой грунта: Тонкий (1 - 2 мм) слой оттаивающего грунта вблизи границы оттаивания, имеющий наибольшие разрыхленность, водопроницаемость, влажность и поровое давление.

3.5 оттаявший грунт: Грунт, в котором восстанавливается структура, уменьшаются разрыхленность, водопроницаемость, влажность и поровое давление (расположен выше приконтактного слоя).

3.6 сопротивление срезу оттаивающих грунтов: Предельное касательное напряжение, при котором образец оттаивающего грунта срезается по фиксированной плоскости, проходящей на 2 - 3 мм выше поверхности мерзлого грунта при заданном природном давлении.

4 Общие положения

4.1 Настоящий стандарт устанавливает требования к методу лабораторного определения характеристик прочности оттаивающих грунтов методом среза.

4.2 Общие требования к лабораторным испытаниям грунтов, оборудованию и приборам, лабораторным помещениям, способы изготовления образцов приведены в ГОСТ 30416.

4.3 Способы отбора монолитов мерзлого грунта и подготовки образцов для испытаний должны обеспечить полное сохранение их структуры, влажности и плотности в соответствии с ГОСТ 12071 и ГОСТ 30416.

4.4 Для испытуемых грунтов должны быть определены следующие физические характеристики по ГОСТ 5180: суммарная влажность для мерзлого грунта, плотность, плотность частиц, влажность оттаивающего грунта, гранулометрический и микроагрегатный составы грунтов по ГОСТ 12536 (при необходимости), а также должны быть вычислены коэффициент пористости, степень заполнения объема пор льдом и незамерзшей водой, коэффициент водонасыщения, влажность на границе текучести и раскатывания, число пластичности и показатель текучести.

4.5 В процессе испытаний грунтов ведут журнал по форме, приведенной в приложении А, а при автоматизации процесса данные об испытании выводятся на компьютер.

4.6 Протокол испытания составляется в соответствии с ГОСТ ISO/IEC 17025 и включает в себя следующую информацию:

- идентификацию образца (номер испытания, номер буровой скважины, номер пробы, глубина отбора и т.п.);

- метод подготовки образца;

- температуру испытаний;

- размеры образца;

- физические характеристики грунта;

- режим нагружения;

- числовое значение полученных результатов.

В протоколе испытания при необходимости отмечают характерные особенности образца грунта (текстура, слоистость, наличие включений и т.п.).

5 Сущность метода

5.1 Испытания оттаивающего грунта методом быстрого одноплоскостного недренированного среза по поверхности мерзлого грунта проводят для определения следующих характеристик: сопротивления грунта срезу , угла внутреннего трения , удельного сцепления c оттаивающего грунта.

5.2 Характеристики, приведенные в 5.1, определяют по результатам испытаний образцов мерзлого грунта ненарушенного сложения в одноплоскостных срезных приборах с фиксированной плоскостью среза методом среза оттаивающего образца относительно другой его части - мерзлого образца срезающей нагрузкой.

5.3 Для испытаний используют образцы мерзлого грунта ненарушенного сложения в зависимости от свойств грунта и целевого назначения определения характеристик грунта. Образцы мерзлого грунта ненарушенного сложения должны иметь природную температуру, плотность и влажность. Образцы должны иметь форму цилиндра диаметром не менее 70 мм и высотой 0,6 - 0,7 диаметра.

6 Оборудование и приборы

6.1 В состав установки для испытаний оттаивающего грунта по поверхности мерзлого грунта методом одноплоскостного среза должны входить:

- срезной прибор с фиксированной плоскостью среза, состоящий из подвижной и неподвижной частей;

- рабочие кольца, изготовленные из материала с низким коэффициентом теплопроводности;

- жесткий тепловой штамп с регулируемой постоянной температурой;

- устройство для создания и регулирования температуры теплового штампа;

- термодатчики (щупы и др.) для контроля границы раздела оттаивающего и мерзлого грунта;

- механизм для вертикального нагружения образца;

- механизм для создания срезающей нагрузки;

- устройства для измерения вертикальных и горизонтальных деформаций образца.

Принципиальная схема установки для определения сопротивления срезу оттаивающего грунта на контакте с мерзлым грунтом приведена в приложении Б.

Примечание - Могут применяться другие установки и методы оттаивания грунта, позволяющие проводить испытания оттаивающего грунта с обеспечением задания вертикальной и касательной нагрузок и замера деформаций с точностью, соответствующей ГОСТ 30416.

6.2 Погрешности измерений (усилий, давлений, перемещений, температуры) для всех измерительных устройств принимают в соответствии с требованиями ГОСТ 30416.

6.3 В комплект оборудования для подготовки образцов мерзлого грунта к лабораторным испытаниям входят:

- винтовой пресс-станок;

- рабочие кольца, изготовленные из материала с низким коэффициентом теплопроводности;

- пила для распиливания монолита мерзлого грунта на блоки;

- нож с прямым лезвием;

- весы с точностью взвешивания +/- 0,01 г;

- стретч-пленка или полиэтиленовая пленка толщиной 12 - 35 мкм.

7 Подготовка образцов грунта к испытанию

7.1 Все операции по изготовлению, подготовке и испытанию образцов мерзлого грунта следует выполнять в помещениях с постоянной отрицательной температурой (морозильных камерах или подземных лабораториях, расположенных в толще многолетне-мерзлых грунтов), которые должны обеспечивать сохранность мерзлого состояния грунта. Температура воздуха в помещении для подготовки образцов ненарушенного сложения не должна превышать температуру испытания. Рекомендуется вырезку образцов проводить в отдельном помещении при температуре ниже температуры испытания на 12 °C.

7.2 Образцы мерзлого грунта ненарушенного сложения с природной влажностью, плотностью и льдистостью вырезают из монолита так, чтобы при последующем испытании образец имел по отношению к нагрузке ориентировку, соответствующую природному залеганию.

7.3 При изготовлении образцов грунта из монолита предварительно выпиливают заготовки в виде призм, размеры основания и высота которых должны на 0,5 - 1 см превышать заданные размеры образцов.

7.4 Перед изготовлением образцов мерзлого грунта рабочие кольца нумеруют, взвешивают, измеряют их высоту и внутренний диаметр.

7.5 При помощи пресса рабочее кольцо слегка вдавливают в мерзлый грунт и острым ножом начинают срезать грунт. Постепенно надвигают кольцо на образующийся грунтовый цилиндр до полного его заполнения. Проверяют взаимную параллельность оснований образца с погрешностью 0,1 мм. Образец грунта вместе с рабочим кольцом взвешивают с погрешностью не более 0,01 г.

7.6 Для испытуемых образцов грунта дополнительно к физическим характеристикам, указанным в 4.4, должны быть определены тип криогенной текстуры и льдистость по ГОСТ 25100.

7.7 Образец грунта заворачивают в стретч-пленку толщиной 12 - 35 мкм не более двух слоев для предотвращения испарения влаги во время испытания таким образом, чтобы пленка плотно прилегала к образцу.

7.8 После подготовки перед установкой в прибор образцы грунта в рабочем кольце выдерживают в помещении, где будут проводиться испытания, не менее суток. Хранение образцов более одних суток должно осуществляться в эксикаторах или в герметичных контейнерах.

8 Проведение испытания

8.1 Образец грунта в рабочих кольцах (с зазором 2 - 3 мм между верхним и нижним кольцами) помещают в срезной прибор. На образец грунта устанавливают и центрируют тепловой штамп.

8.2 Температура в тепловом штампе создается и регулируется с помощью ультратермостата (циркуляция незамерзающей жидкости) или других нагревающих устройств. Температура на нижней поверхности штампа задается равной 50 °C.

8.3 Производят регулировку механизма нагрузки. Закрепляют устройства для измерения вертикальных и горизонтальных деформаций, записывают время начала испытаний и начальные показания приборов. На образец грунта передают нормальное давление p, при котором будет производиться срез образца. Значение p принимают по таблице 1 с учетом консистенции и водонасыщения грунтов.

Таблица 1

Грунты Нормальное давление p, МПа
Глинистые и органоминеральные грунты с показателем текучести Пески мелкие и пылеватые с коэффициентом водонасыщения
< 0,5 0 - 0,50 0,1; 0,15; 0,2
0,5 < 1,0 0,50 - 0,80 0,05; 0,1; 0,15
1,0 0,80 - 1,00 0,025; 0,075; 0,125

8.4 Оттаивание образцов мерзлого грунта проводится сверху вниз. Время (скорость) оттаивания зависит от размеров образца, состава, плотности и влажности грунта. В процессе оттаивания с помощью термодатчика (щупа и др.) контролируют температуру грунта в зоне среза, т.е. на границе раздела оттаивающего и мерзлого грунта, расположенного на 1 - 2 мм ниже верхней части рабочего кольца в подвижной обойме (см. приложение Б).

8.5 В момент повышения температуры в приконтактном слое до 0 °C приводят в действие механизм для создания срезающей нагрузки и производят срез образца грунта на контакте оттаивающего грунта с мерзлым слоем ("приконтактный слой") за время, не превышающее 2 мин с момента приложения нагрузки.

8.6 Испытание следует считать законченным, если происходит срез одной части образца по отношению к другой или деформация среза превысит 5 мм.

8.7 Сопротивление грунта срезу определяется как предельное срезающее давление, при котором произошел срез оттаивающего грунта.

8.8 Для определения значений угла внутреннего трения и удельного сцепления c необходимо провести испытания не менее чем при трех различных значениях нормального давления.

8.9 После окончания испытания следует разгрузить образец, извлечь рабочее кольцо с образцом из прибора и отобрать пробы для определения влажности из зоны среза образца.

9 Обработка результатов

9.1 По измеренным в процессе испытания значениям срезающей Q и нормальной F нагрузок вычисляют срезающее и нормальное давления и , МПа, по формулам:

(9.1)

(9.2)

где Q и F - срезающая и нормальная нагрузки, кН;

A - площадь среза, см2.

По измеренным в процессе испытания значениям деформации среза , соответствующим различным напряжениям , строят график зависимости (см. приложение В).

За сопротивление грунта срезу принимают максимальное значение , полученное по графику или по диаграмме среза на отрезке , не превышающее 5 мм.

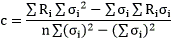
9.2 Угол внутреннего трения и удельное сцепление c оттаивающего грунта определяют как параметры линейной зависимости

Угол внутреннего трения и удельное сцепление c, МПа, вычисляют по формулам:

(9.3)

(9.4)

где - опытные значения сопротивления срезу оттаивающего грунта, определенные при различных значениях ;

n - количество испытаний.

Приложение А
(рекомендуемое)

ОФОРМЛЕНИЕ ЖУРНАЛА ИСПЫТАНИЯ

Форма первой страницы журнала

Организация  

Журнал испытания оттаивающего грунта методом среза

Объект (пункт)  
Сооружение  
Дата испытания  
Шурф (скважина) N  
Глубина отбора образца, м  
Лабораторный номер образца  
Наименование грунта  
Прибор (тип, номер) для измерения нагрузки  
Прибор (тип, номер) для измерения деформаций  
Температура испытаний  

Параметры образца:

высота, мм  
диаметр, мм  
плотность мерзлого грунта, г/см3  
влажность мерзлого грунта, д. е.  
влажность грунта в приконтактной зоне, д. е.  

Форма второй страницы журнала

Дата испытаний Время снятия отсчета ti, ч Время от начала оттаивания, мин Вертикальное давление на образец грунта p, МПа Время от начала среза, мин Показания индикатора вертикальной деформации, мм Показания индикатора горизонтальной деформации, мм Абсолютная деформация среза l, мм Касательное напряжение , МПа Касательное напряжение с учетом поправки на трение в приборе , МПа Примечание
                   
Руководитель          
  должность   инициалы, фамилия   личная подпись

Исполнитель          
  должность   инициалы, фамилия   личная подпись

Приложение Б
(рекомендуемое)

ПРИНЦИПИАЛЬНАЯ СХЕМА УСТАНОВКИ ДЛЯ ОПРЕДЕЛЕНИЯ СОПРОТИВЛЕНИЯ СРЕЗУ ОТТАИВАЮЩЕГО ГРУНТА НА КОНТАКТЕ С МЕРЗЛЫМ ГРУНТОМ

1 - индикатор часового типа для измерений деформаций среза; 2 - подвижная обойма; 3 - неподвижная обойма;
4 - устройство для создания и регулирования температуры теплового штампа; 5 - индикатор часового типа для измерения деформации осадки; 6 - тепловой штамп; 7 - оттаявший грунт;
8 - плоскость среза; 9 - приконтактный слой (оттаивающий грунт); 10 - граница раздела оттаивающего и мерзлого грунта;
11 - мерзлый грунт; 12 - температурный датчик (щуп); F - нормальная нагрузка; P - касательная нагрузка
Рисунок Б.1

Приложение В
(рекомендуемое)

ОБРАЗЕЦ ГРАФИЧЕСКОГО ОФОРМЛЕНИЯ РЕЗУЛЬТАТОВ ИСПЫТАНИЯ ОТТАИВАЮЩЕГО ГРУНТА МЕТОДОМ ОДНОПЛОСКОСТНОГО НЕДРЕНИРОВАННОГО БЫСТРОГО СРЕЗА

а) График б) График

Рисунок В.1