Вода. Отбор проб для микробиологического анализа. ГОСТ 31942-2012

(утв. Приказом Росстандарта от 12.12.2012 N 1903-СТ)
Редакция от 12.12.2012 — Действует с 01.01.2014

МЕЖГОСУДАРСТВЕННЫЙ СТАНДАРТ

ВОДА

ОТБОР ПРОБ ДЛЯ МИКРОБИОЛОГИЧЕСКОГО АНАЛИЗА

Water. Sampling for microbiological analysis

(ISO 19458:2006, MOD)

ГОСТ 31942-2012
(ISO 19458:2006)

Дата введения
1 января 2014 года

Предисловие

Цели, основные принципы и основной порядок проведения работ по межгосударственной стандартизации установлены ГОСТ 1.0-92 "Межгосударственная система стандартизации. Основные положения" и ГОСТ 1.2-2009 "Межгосударственная система стандартизации. Стандарты межгосударственные, правила и рекомендации по межгосударственной стандартизации. Правила разработки, принятия, применения, обновления и отмены".

ГОСТ 1.0-92 отменен. Взамен него с 01.07.2016 введен в действие ГОСТ 1.0-2015.

Сведения о стандарте

1. Подготовлен Обществом с ограниченной ответственностью "Протектор" совместно с Федеральным государственным бюджетным учреждением "Научно-исследовательский институт экологии человека и гигиены окружающей среды им. А.Н. Сысина" и Закрытым акционерным обществом "Роса" на основе собственного аутентичного перевода на русский язык международного стандарта, указанного в пункте 4.

2. Внесен Федеральным агентством по техническому регулированию и метрологии.

3. Принят Межгосударственным советом по стандартизации, метрологии и сертификации (по переписке, Протокол от 3 декабря 2012 г. N 54).

За принятие стандарта проголосовали:

Краткое наименование страны по МК (ИСО 3166) 004-97 Код страны по МК (ИСО 3166) 004-97 Сокращенное наименование национального органа по стандартизации
Армения AM Минэкономики Республики Армения
Беларусь BY Госстандарт Республики Беларусь
Казахстан KZ Госстандарт Республики Казахстан
Кыргызстан KG Кыргызстандарт
Молдова MD Молдова-Стандарт
Российская Федерация RU Росстандарт
Узбекистан UZ Узстандарт

4. Настоящий стандарт модифицирован по отношению к международному стандарту ISO 19458:2006 Water quality - Sampling for microbiological analysis (Качество воды. Отбор проб для микробиологического анализа) путем:

- внесения дополнительных положений, фраз и слов в текст настоящего стандарта для учета потребностей экономики и особенностей межгосударственной стандартизации, выделенных в тексте настоящего стандарта курсивом, за исключением наименований микроорганизмов;

- изменения структуры. Сравнение структуры международного стандарта со структурой настоящего стандарта приведено в дополнительном Приложении Д.Г.

Наименование настоящего стандарта изменено относительно наименования международного стандарта для приведения в соответствие с ГОСТ 1.5-2001 (подраздел 3.6).

Сведения о соответствии межгосударственных стандартов ссылочным международным стандартам приведены в Приложении Д.Д.

Степень соответствия - модифицированная (MOD).

Стандарт подготовлен на основе применения ГОСТ Р 53415-2009 (ИСО 19458:2006).

5. Приказом Федерального агентства по техническому регулированию и метрологии от 12 декабря 2012 г. N 1903-ст межгосударственный стандарт введен в действие в качестве национального стандарта Российской Федерации с 1 января 2014 г.

6. Введен впервые.

Информация об изменениях к настоящему стандарту публикуется в ежегодном информационном указателе "Национальные стандарты", а текст изменений и поправок - в ежемесячном информационном указателе "Национальные стандарты". В случае пересмотра (замены) или отмены настоящего стандарта соответствующее уведомление будет опубликовано в ежемесячном информационном указателе "Национальные стандарты". Соответствующая информация, уведомление и тексты размещаются также в информационной системе общего пользования - на официальном сайте Федерального агентства по техническому регулированию и метрологии в сети Интернет.

1. ОБЛАСТЬ ПРИМЕНЕНИЯ

Настоящий стандарт распространяется на поверхностные, подземные, питьевые, сточные воды, а также воду плавательных бассейнов и устанавливает общие требования к отбору, транспортированию и хранению проб воды, предназначенных для микробиологического анализа.

2. НОРМАТИВНЫЕ ССЫЛКИ

В настоящем стандарте использованы нормативные ссылки на следующие межгосударственные стандарты:

ГОСТ 596-89 Реактивы. Натрий сернистый технический (натрия сульфид). Технические условия

ГОСТ 4159-79 Реактивы. Йод. Технические условия

ГОСТ 4201-79 Реактивы. Натрий углекислый кислый. Технические условия

ГОСТ 6709-72 Вода дистиллированная. Технические условия

ГОСТ 9805-84 Спирт изопропиловый. Технические условия

ГОСТ 11086-76 Реактивы. Гипохлорит натрия. Технические условия

ГОСТ 18300-87 Спирт этиловый ректификованный технический. Технические условия

ГОСТ 25151-82 Водоснабжение. Термины и определения

ГОСТ 27065-86 Качество вод. Термины и определения

ГОСТ 27068-86 Реактивы. Натрий серноватистокислый (натрия тиосульфат) 5-водный. Технические условия

ГОСТ 30813-2002 Вода и водоподготовка. Термины и определения

ГОСТ 31861-2012 Вода. Общие требования к отбору проб

ГОСТ 31862-2012 Вода питьевая. Отбор проб

Примечание. При пользовании настоящим стандартом целесообразно проверить действие ссылочных стандартов в информационной системе общего пользования - на официальном сайте Федерального агентства по техническому регулированию и метрологии в сети Интернет или по ежегодно издаваемому информационному указателю "Национальные стандарты", который опубликован по состоянию на 1 января текущего года, и по соответствующим ежемесячно издаваемым информационным указателям, опубликованным в текущем году. Если ссылочный стандарт заменен (изменен), то при пользовании настоящим стандартом следует руководствоваться заменяющим (измененным) стандартом. Если ссылочный стандарт отменен без замены, то положение, в котором дана ссылка на него, применяется в части, не затрагивающей эту ссылку.

3. ТЕРМИНЫ И ОПРЕДЕЛЕНИЯ

3.1. В настоящем стандарте применены термины по ГОСТ 25151, ГОСТ 27065 и ГОСТ 30813.

4. ТОЧКИ ОТБОРА ПРОБ

4.1. Точка отбора проб должна обеспечивать представительные характеристики места отбора и учитывать любые вертикальные, горизонтальные и временные изменения и должна быть однозначно идентифицирована в соответствии с общими требованиями ГОСТ 31861, ГОСТ 31862, включая дополнительные требования для микробиологии.

4.2. Точки отбора проб выбирают в зависимости от цели анализа, например:

- при исследованиях питьевой воды централизованных систем питьевого водоснабжения обязательна точка отбора воды, поступающей в распределительную сеть для потребления, а также точки в различных местах разводящей сети с учетом тупиковых участков, застойных зон, точек наиболее удаленных от станции, на возвышенных и низких участках магистральных распределительных сетей, в резервуарах - накопителях воды, в уличных водоразборных устройствах (колонках) и т.п.;

- в поверхностных водоемах пробы должны быть отобраны в местах водопользования (в месте водозабора, рекреации, в черте населенных пунктов и т.п.);

- при выявлении источников загрязнения в водотоках (проточных водоемах) точки располагают до источника загрязнения и ниже (не далее 500 м) по течению, в створе полного смешения (исходя из данных гидрологического режима); на непроточных водоемах (озерах, водохранилищах, морях) точки отбора проб располагают во все стороны от источника загрязнения (в радиусе 500 м) и, в первую очередь, вдоль берега;

- влияние загрязнения на зону рекреации оценивают отбором проб на расстоянии 1 км выше по течению от зоны рекреации на водотоках и на расстоянии 0,1 - 1 км в обе стороны на непроточных водоемах и в море, а также в границах зоны рекреации;

- при отборе проб в нижних бьефах плотин гидроэлектростанций следует учитывать возможность обратно направленных течений при смене режима работы станции, при перепадах сброса воды через плотину;

- для контроля технологических режимов очистки и обеззараживания на станциях водоподготовки питьевой воды и обезвреживания сточных вод пробы отбирают до и после каждого этапа технологического процесса и обязательно на выходе с очистных станций. При исследованиях эффективности обеззараживания точки отбора проб должны быть выбраны до и после полного завершения процесса обеззараживания (например, по истечении требуемого времени контакта воды с обеззараживающим средством).

4.3. Принимая во внимание неоднородность гидравлической системы, следует учитывать возможность различия результатов анализа при отборе проб в точках с нестабильными условиями, например:

- при отборе поверхностных и глубинных проб, при загрязнении проб поверхностной пленкой на воде. В некоторых случаях (например озеро, бассейн) содержание микроорганизмов в поверхностной пленке воды может быть в 1000 раз выше, чем воды под пленкой;

- в водопроводной сети с интенсивным и низким разборами воды, в том числе тупиковых участках, застойных зонах и т.п.;

- в пробах воды, отобранных из хорошо перемешанной массы воды в резервуаре и на входе в резервуар.

4.4. При выборе точки отбора проб следует учитывать влияние физических факторов (температуры, скорости течения и др.) и химических факторов (pH, возможное наличие токсичных для микроорганизмов веществ и др.), которые могут отрицательно влиять на выживаемость и стабильность физиологического состояния исследуемых организмов.

5. ОБЩИЕ ТРЕБОВАНИЯ К ОТБОРУ ПРОБ

5.1. Общие требования к отбору проб - по ГОСТ 31861, ГОСТ 31862.

Примечание. В Приложении A приведены полученные из литературных источников [1] рекомендуемые и допускаемые значения времени хранения проб от отбора до анализа и температуры хранения проб. Указанные в Приложении A сроки хранения являются экспериментальными и зависят от типа воды, физиологического состояния микроорганизмов под влиянием различных факторов (например дезинфекции) и метода анализа. Поэтому в практической работе следует руководствоваться значениями максимального срока хранения пробы, включая транспортирование, и температуры хранения, установленными в ГОСТ 31861, ГОСТ 31862 и в стандартах на определение конкретного показателя (при их наличии).

Не допускается:

- пробу воды, предназначенную для микробиологического анализа, использовать для измерения температуры или другого измеряемого на месте отбора проб показателя;

- ополаскивать емкости для отбора проб перед отбором проб.

При отборе проб должны быть обеспечены асептические условия (чистые руки или стерильные перчатки) и защита проб от пыли и попадания брызг.

5.2. Количество и частоту отбора проб устанавливают в зависимости от цели анализа. Примеры расчетного количества анализируемых проб, необходимого для определения средней концентрации микробов в воде с заданным отклонением при количественном определении методом культивирования микроорганизмов, приведены в Приложении B.

5.3. Для отбора проб применяют чистые стерильные емкости, изготовленные из стекла или полимерных материалов (например полипропилена, полистирола, полиэтилена, поликарбоната), не оказывающих влияние на жизнедеятельность микроорганизмов. Для многократного применения предпочтительны емкости из стекла; емкости из полимерных материалов используют как одноразовые.

Примечание. Если емкости изготовлены из иного материала, то следует иметь в виду возможность его влияния на адгезию микроорганизмов к поверхности этого материала, экстракцию веществ из емкости при контакте с водой, критическое значение тангенциального поверхностного натяжения.

5.4. Для отбора проб погружением в чистую воду используют емкости, которые должны быть стерильными как внутри, так и снаружи, и защищены от загрязнений при хранении после стерилизации, например упаковыванием в плотную бумагу, алюминиевую фольгу или пакеты из полимерных материалов, пригодных для стерилизации.

Примечание. Упаковку открывают перед началом отбора пробы. После отбора пробы ее можно использовать в качестве средства защиты при транспортировании пробы.

При использовании емкости, не защищенной снаружи от загрязнений, непосредственно перед погружением в воду необходимо обработать ее внешнюю поверхность дезинфектантом, например 96%-ным этиловым спиртом по ГОСТ 18300 <*>, и сразу же высушить. Однако этот способ не подходит при анализе спорообразующих бактерий.

<*> В Российской Федерации применяют спирт этиловый ректификованный по ГОСТ 18300-87 или по ГОСТ Р 51652-2000 "Спирт этиловый ректификованный из пищевого сырья. Технические условия".

ГОСТ Р 51652-2000 отменен. Взамен него с 15.02.2015 введен в действие ГОСТ 5962-2013.

5.5. Емкости для отбора проб должны быть оснащены плотно закрывающимися пробками (силиконовыми, резиновыми) или пластмассовыми закрывающимися нажатием крышками или завинчивающимися металлическими или пластмассовыми крышками. Пробки и крышки должны выдерживать условия стерилизации.

Горловины емкостей для многократного использования должны быть защищены от внешнего загрязнения колпачками из фольги или плотной бумаги, не разрушающимися после стерилизации.

Примечания

1. Металлические крышки, особенно из алюминия, после стерилизации в автоклаве могут стать токсичными по отношению к микроорганизмам. Это влияние устраняют путем использования термо- и водостойких прокладок.

2. Некоторые виды материалов из хлопка, используемых в качестве пробок для стеклянной посуды, при длительном воздействии высоких температур при стерилизации могут стать токсичными, что при возможном контакте с водой при транспортировании может повлиять на результаты анализа. В связи с этим не допускается применять ватные пробки.

3. Надевающиеся нажатием пластмассовые крышки, прикрепленные к емкости, имеют несколько преимуществ:

- обладают такой же надежностью от протечек, как и закручивающиеся крышки;

- остаются стерильными при заполнении емкости, будучи связанными с емкостью и тем самым защищенными от загрязнения.

5.6. Стерилизацию и контроль емкостей для отбора проб проводят в соответствии с требованиями Приложения Д.А.

Простерилизованные емкости должны иметь маркировку с указанием даты стерилизации для последующего учета установленного срока хранения.

5.7. При отборе проб воды, подвергнутой обеззараживанию с помощью дезинфектанта, необходимо проводить его инактивацию в соответствии с требованиями Приложения Д.Б.

Если инактивация дезинфектанта невозможна или невыполнима для конкретных условий, то информацию об этом заносят в акт отбора проб.

Емкость, в случае внесения инактивирующего вещества (тиосульфата натрия) до ее стерилизации, должна иметь соответствующую маркировку.

5.8. Вместимость емкости для отбора проб должна соответствовать объему воды, необходимому для определения всех требуемых микробиологических показателей. В большинстве случаев вместимость емкости для отбора проб должна быть не менее 500 см3, что, как правило, достаточно для определения 4 - 5 индикаторных микроорганизмов. В некоторых случаях необходимо использовать больший объем пробы, например для анализа питьевой воды, расфасованной в емкости.

Если для анализа необходимы очень большие объемы, например, при определении вирусов, цист амеб и Giardia, ооцист Cryptosporidium, анализируют десятки и сотни литров воды, то, чтобы избежать трудностей ручного обращения, охлаждения и перемещения таких объемов, рекомендуется провести концентрирование (флокулированием, центрифугированием или фильтрованием). При этом могут использоваться перистальтические насосы со стерильными шлангами. После концентрирования на точке отбора концентрат пробы транспортируют в лабораторию.

5.9. Стерильную емкость для отбора проб открывают непосредственно перед отбором пробы, удаляя пробку вместе со стерильным колпачком. Пробка и края емкости не должны касаться посторонних поверхностей.

После наполнения емкость немедленно закрывают стерильной пробкой, обеспечивающей герметичность и не намокающей при транспортировании, и стерильным колпачком. При заполнении емкости должно оставаться пространство между пробкой и поверхностью налитой воды, чтобы пробка не смачивалась при транспортировании и для обеспечения перемешивания пробы перед анализом.

5.10. Отбор проб должен быть выполнен обученным персоналом. Процедура обучения и определения компетентности персонала, отбирающего пробы, должна быть документально оформлена.

5.11. Отбор проб проводят продезинфицированными [например, обработкой этиловым спиртом по Д.В.1.1 (Приложение Д.В) или дезинфицирующими салфетками для индивидуального пользования] непосредственно перед отбором руками или в стерильных перчатках.

5.12. Дополнительный к 5.3 - 5.7 перечень оборудования, материалов и реактивов, необходимых при отборе проб, приведен в Приложении Д.В.

6. ПРОЦЕДУРА ОТБОРА ПРОБ

6.1. Отбор проб воды из крана

6.1.1. Пробы воды из крана отбирают с целью определения:

а) качества воды в магистральных распределительных сетях, поступающей от производителя;

б) качества воды, поступающей до крана потребителя по внутридомовой распределительной сети, которое может меняться внутри здания;

в) качества воды, фактически потребляемой из крана (возможно загрязненного). Такие пробы отбирают для оценки качества питьевой воды в особых случаях, например, при регистрации инфекционных заболеваний.

6.1.2. В зависимости от цели (см. 6.1.1) перед отбором проб воды проводят подготовительные мероприятия, приведенные в таблице 1.

Таблица 1

Цель отбора пробы Место отбора Наименование мероприятия
Удаление приспособлений и вкладышей Проведение дезинфекции крана Спуск воды обильным потоком
6.1.1а) Магистральная распределительная сеть Да Да Да
6.1.1б) Внутридомовая распределительная сеть Да Да Нет <*> (минимальный)
6.1.1в) В точке потребления (кран потребителя) Нет Нет Нет
<*> Необходим минимальный поток воды только для смывания дезинфектанта, которым был обработан кран.

6.1.3. С кранов, предназначенных для отбора проб для целей а) и б), заранее удаляют загрязнения (смазку, окалину, накипь, слизь и т.п.), которые могут попасть в пробу при заполнении емкости и повлиять на результаты анализа. Для очистки крана используют щетки, ерши или другие средства, чтобы очистить внешнюю и, сколько это возможно, внутреннюю поверхность крана. После механической очистки кран промывают от загрязнений, полностью открывая и закрывая его несколько раз.

Непосредственно перед отбором пробы кран стерилизуют предпочтительно фламбированием (обработка крана горящим тампоном, смоченным 96%-ным этиловым спиртом). Качество фламбирования определяют появлением шипящего звука при контакте с водой после открытия крана.

Примечание. Поверхностного обжигания крана зажигалкой с целью его дезинфекции недостаточно.

Только в том случае, если стерилизация пламенем не представляется возможной, кран дезинфицируют способами, установленными в ГОСТ 31862, или, например, горло крана дезинфицируют погружением на 2 - 3 мин в стакан с раствором гипохлорита, этилового или изопропилового спирта [см. Д.В.1.1 (Приложение Д.В)].

Открытую емкость для отбора проб помещают под кран в струю воды и заполняют ее с соблюдением условий по 5.9, избегая контакта поверхности крана с емкостью. Во время наполнения емкости не допускается менять напор воды (закрывая или открывая кран).

Не допускается отбирать пробы из неисправных кранов, имеющих утечку воды.

6.1.4. Отбор проб воды из магистральных распределительных сетей

Пробы воды для цели а) отбирают из специальных кранов, установленных на основных магистральных распределительных сетях или на участках сети, близких к магистральным, обычно сразу за водомером. Длина водовода, подводящего воду к крану для отбора проб, должна быть как можно короче.

При невозможности установки специальных кранов для оценки качества воды в магистральной сети могут быть использованы краны внутри здания, которые должны быть подготовлены к отбору и продезинфицированы фламбированием (см. 6.1.3). Перед отбором пробы с крана удаляют насадки, шланги, сетки и т.п.

Отбор проб проводят в соответствии с требованиями 6.1.3.

После стерилизации кран полностью открывают, чтобы обеспечить максимальный поток воды в течение 5 - 10 с, затем уменьшают напор до половины и промывают обильно текущей струей воды достаточно долго (не менее 10 мин или до достижения постоянной температуры).

Примечание. Эта процедура необходима для того, чтобы минимизировать попадание в пробу микроорганизмов, которые могут оказаться в воде при разрушении биопленок и ресуспендировании отложений осадков в системе трубопроводов (в том числе в тупиковых зонах и местах соединений трубопроводов и их колен-изгибов) при увеличении потока воды и колебаний давления в сети.

Длительность сливания воды определяется также необходимостью исключения влияния качества воды, находящейся внутри помещения. При этом учитывают планировку внутренней сети, наличие и объем резервуаров или баков. Стабилизация температуры воды при сливе служит подтверждением этой цели.

6.1.5. Отбор проб воды из внутридомовой распределительной сети

Отбор проб проводят в соответствии с требованиями 6.1.3. Перед отбором пробы с крана удаляют насадки, шланги, сетки и т.п.

После фламбирования крана сливают небольшой объем воды, достаточный для снятия последствий его дезинфекции.

6.1.6. Отбор проб воды из точки потребления (крана потребителя)

При определении качества воды из крана потребителя (например, при вспышках инфекционных заболеваний для выявления источника микробного загрязнения воды, возможно внесенного потребителем) отбор проб проводят с учетом загрязнения внешней поверхности крана, а также всех приспособлений и устройств, используемых потребителем. Все приспособления и устройства следует оставить на месте.

В этом случае не допускается:

- подвергать дезинфекции кран, а также приспособления и устройства перед отбором проб;

- проводить предварительный слив воды из крана перед отбором проб.

6.1.7. Отбор проб воды на станциях водоподготовки и в резервуарах для хранения

На станциях водоподготовки и резервуарах для хранения питьевой воды должны быть предусмотрены специальные краны для отбора проб воды на каждом выходящем трубопроводе и в других точках отбора проб.

Краны должны быть приспособлены к стерилизации фламбированием, содержаться в чистом состоянии, четко маркированы и использоваться исключительно для отбора проб.

Отбор проб для контроля различных этапов водоподготовки (например коагуляции, фильтрации, обеззараживания) проводят на входе и выходе из водоочистных устройств.

Отбор проб из резервуара для хранения питьевой воды обычно проводят из выходного крана. При необходимости отбора проб из самого резервуара используют емкости, стерильные как внутри, так и снаружи.

6.1.8. Конкретные требования к отбору проб - по ГОСТ 31862.

6.2. Отбор проб воды из скважин, родников и колодцев

6.2.1. Отбор проб из скважин, родников и колодцев проводят с целью определения:

а) качества воды в водоносном горизонте;

б) качества воды в водопункте (скважине, колодце);

в) качества потребляемой воды.

6.2.2. Способы отбора проб из скважин и колодцев для целей по 6.2.1 с использованием стационарно установленного насоса и постоянно установленного металлического крана приведены в таблице 2.

Таблица 2

Цель отбора пробы Место отбора Отбор проб с применением
предварительной откачки воды насосом дезинфекции крана
6.2.1а) В водоносном горизонте Да (продолжительная) Да
6.2.1б) В водопункте (скважина, колодец) Нет (минимальная) Да
6.2.1в) В точке потребления Нет Нет

Система подачи воды из скважин и колодцев, в которых стационарно установлен насос, должна иметь металлический кран или выходное отверстие. При наличии крана отбор проб проводят в соответствии с требованиями 5.1.3.

Использование насоса при отборе проб для цели а) означает, что насос должен работать до тех пор, пока не установится постоянное значение температуры спускаемой воды и ее электрической проводимости или не будет откачано не менее трех - пяти объемов столбов воды в водопункте, после чего проводят отбор проб воды.

Использование насоса при отборе проб для цели б) означает, что требуется минимальное время работы насоса только для обеспечения потока воды, необходимого для смывания дезинфектанта, которым был обработан кран, после чего проводят отбор проб воды.

Отбор проб воды для цели в) проводят без предварительного спуска воды (при производственном режиме работы насоса) и дезинфекции крана.

6.2.3. Способы отбора проб из скважин и колодцев для целей по 6.2.1 с применением временно установленного насоса или при его отсутствии приведены в таблице 3.

Таблица 3

Цель отбора пробы Место отбора Отбор проб с применением
насоса емкостей, стерильных внутри и снаружи ведра, бидона, ковша и т.п.
6.2.1а) В водоносном горизонте + <1> - -
6.2.1б) В водопункте (скважина, колодец) + <2> + -
6.2.1в) В точке потребления - - +
<1> После продолжительной откачки воды.
<2> Только для обеспечения минимального спуска воды.

Отбор проб из скважин и колодцев, не имеющих стационарно установленного насоса, проводят:

- для цели а) с использованием временно установленного насоса. При этом отбор проб проводят только после продолжительной откачки воды (см. 6.2.2);

- для цели б) предпочтительно с использованием стерильного устройства (батометра) для отбора проб с прикрепленным грузом. Допускается использовать временно установленный насос, при этом отбор проб проводят после предварительного минимального спуска воды (см. 6.2.2) перед отбором проб;

- для цели в) с использованием ведра, бидона или ковша и т.п., которые заполняют водой, после чего воду переливают в стерильные емкости. При этом отбор проб воды проводят с применением стационарного или временно установленного водоподъемного оборудования (ворота, "журавля" и т.п.).

6.2.4. Отбор проб из бездействующих (неиспользуемых) скважин и колодцев проводят с применением временно установленного насоса или водоподъемного оборудования и откачки воды, соответствующей трем - пяти объемам столба воды в водопункте.

Пробы отбирают в самом начале откачки для определения качества воды в самом водопункте и в конце откачки для определения качества воды в водоносном горизонте.

6.2.5. Отбор проб воды из фонтанирующих скважин проводят из устья скважины.

Отбор проб воды из родников проводят на выходе из каптажного сооружения или, если такового нет - в месте выхода головки родника ("грифона") на поверхность земли.

Проба воды из фонтанирующей скважины и родника характеризует качество подземных вод в водоносном горизонте.

6.3. Отбор проб воды плавательных бассейнов

Отбор проб воды в плавательных бассейнах осуществляют с целью оценки качества воды:

а) поступающей (для бассейнов всех типов);

б) до и после фильтров (для бассейнов рециркуляционного типа и с морской водой);

в) после обеззараживания (при наличии этапа обеззараживания);

г) в ванне плавательного бассейна.

Отбор проб для целей а) - в) проводят из специальных пробоотборных кранов, врезанных на коротком расстоянии от труб, чтобы избежать застоя воды. Стерильные емкости для отбора проб заполняют водой так же, как из распределительных сетей (см. 6.1.3, 6.1.4).

При исследовании воды, поступающей в плавательный бассейн после очистки и обеззараживания, пробу отбирают в местах трубопровода, удаленных от места ввода дезинфектанта, там, где его остаточное содержание стабильно.

Отбор проб воды в ванне плавательного бассейна проводят на расстоянии 10 - 30 см от поверхностного слоя воды не менее чем в двух точках (например, напротив выпускного отверстия, после очередной смены купающихся, когда вода хорошо перемешана, в глубокой и мелкой части ванны бассейна). При этом используют чистые, стерильные внутри и снаружи емкости. Емкость для отбора проб вводят горизонтально, чтобы избежать потери тиосульфата, затем поворачивают вертикально до тех пор, пока не будет собрано необходимое количество воды.

Примечание. На поверхности воды плавательного бассейна, в спокойных условиях, микроорганизмы типа стафилококков аккумулируются в верхнем слое воды, в связи с этим поверхностное загрязнение воды может быть также оценено путем отбора проб с поверхности воды бассейна или из дренажа бокового перелива.

6.4. Отбор проб поверхностной воды

6.4.1. Поверхностные пробы отбирают с глубины 10 - 30 см от поверхности воды или от нижней кромки льда. Придонные пробы отбирают с глубины 30 - 50 см от дна.

Отбор проб проводят с использованием различных плавучих средств, мостов, помостов и других приспособлений в местах, где глубина водоема не менее 1,0 - 1,5 м. Не допускается проводить отбор проб с берега.

Пробы воды рекомендуется отбирать специальным батометром, предназначенным для этих целей, например:

- поверхностные пробы отбирают батометром, состоящим из штанги длиной около 1 м, к которой прикрепляется площадка для установки стерильной емкости для отбора проб и подвижное устройство для крепежа емкостей разных размеров;

- глубинные пробы отбирают батометром, состоящим из платформы с грузом, к которой прикрепляется стерильная емкость для отбора проб с пробкой (при этом пробка открывается с помощью прикрепленной к ней веревки при достижении нужной глубины).

Допускается использование других систем, например специального устройства, состоящего из стеклянной емкости под вакуумом, которая оснащена резиновой пробкой и стеклянной трубкой, запаянной и закрепленной недалеко от троса. Когда емкость для отбора проб находится на необходимой глубине, по тросу посылается груз, он разбивает трубку и емкость заполняется водой.

Для изучения барофильных бактерий используют шприцевые системы и другие разнообразные устройства, наиболее сложные из которых поддерживают в пробе воды давление.

Устройства, применяемые для отбора проб, должны быть стерильными или стерилизованы после каждого отбора.

Когда используют устройства для отбора проб или при движении плавучих средств используют багор, следует сводить к минимуму взмучивание донных отложений.

Любые возможные загрязнения стерильных устройств для отбора проб за счет средств крепления (веревки, каната, троса) должны быть сведены к минимуму, например использованием проволоки из нержавеющей стали или цепочки на нижнем конце троса.

6.4.2. Рекреационные воды

Воды для купания оценивают после серии анализов воды в течение купального сезона.

Следует строго определить точки отбора. Точки отбора проб должны быть представительными для характеристики качества воды в местах, используемых большинством купальщиков, или в местах предполагаемого загрязнения в зависимости от цели отбора проб.

Пробы отбирают в соответствии с требованиями 6.4.1.

При отсутствии специального батометра чистую стерильную емкость для отбора проб вводят вверх дном в воду на заданную глубину и заполняют емкость водой, поворачивая ее в разные стороны. При наличии потока воды емкость следует держать против течения (вверх по течению).

Если в местах купания глубина воды менее 1,0 м, то допускается отбирать пробы на меньшей глубине, о чем указывают в актах отбора проб. Следует принять меры к минимизации взмучивания донных отложений.

Примечания

1. Одна из главных причин изменения качества воды на пляже - ресуспендирование бактерий, адсорбирующихся на глине, иле или органических осадках. Грубый песок, гравий, присутствующие в гидродинамических зонах, значительных загрязнений не адсорбируют.

2. Следует обратить внимание на различные естественные и технические источники ресуспендирования, которые могут увеличивать санитарные риски, например весенние паводки, шторм, судоходство.

3. Неправильно проведенный отбор проб может также привести к ресуспендированию бактерий, например, заполнение емкостей водой слишком близко ко дну, взмучивание осадков, движение, создаваемое судном, с которого проводят отбор проб.

6.4.3. Моря, озера, реки

Отбор проб для оценки качества природной морской, озерной и речной воды проводят с целью:

- выбора места расположения глубоководных и прибрежных выпусков сточных вод;

- выбора места расположения водозаборов для централизованного питьевого водоснабжения;

- водозаборов для плавательных бассейнов;

- в черте населенных мест;

- определения мест рекреационного водопользования;

- опреснения природной морской воды и других целей.

При выборе точек отбора проб необходимо учитывать характер прибрежных течений, вертикальную стратификацию, переформирование дна, силу господствующих ветров, приливы и отливы и другие природные особенности, в том числе сезонные.

Допускается использовать любые устройства для отбора поверхностных и глубинных проб (см. 6.4.1), за исключением емкостей, которые непригодны для стерилизации.

Примечание. Существует много устройств для отбора поверхностных или глубинных проб вдали от берега. Следует иметь в виду, что используемые для физико-химических исследований океанографические бутыли не стерилизуются и непригодны для отбора проб на микробиологические показатели.

При движении плавучих средств (корабля, лодки, судна и т.п.) пробы воды следует отбирать с подветренного борта; со стоящего на якоре плавучего средства - с носа.

6.5. Отбор проб сточных вод

С целью минимизации риска инфицирования персонала при отборе проб следует использовать одноразовые перчатки или стерильные приспособления для удерживания стерильной емкости при отборе проб.

После отбора проб удаляют загрязнения с внешней поверхности емкости и упаковывают емкость в чистый пакет или заворачивают в чистую плотную бумагу.

Транспортируют емкости с отобранной пробой сточной воды в промаркированных контейнерах отдельно от емкостей с пробами питьевой воды.

Для отбора проб пригодны устройства по 6.4.1.

6.6. Поверхностно-ассоциированные микроорганизмы

Образцы биопленки отбирают путем механического соскабливания с поверхности стерильным шпателем, лопаткой, лезвием или тампоном. Образец биопленки помещают в стерильную емкость и анализируют после гомогенизации.

Примечание. Процедура механического соскабливания разрушает пространственное соотношение микроорганизмов.

Коррозионно-активные бактерии определяют в осадках, полученных после фильтрования жидких проб, или путем декантирования и центрифугирования. Продукты коррозии металла отбирают соскабливанием или действием "водного молотка" за счет резкого изменения давления в водной трубе.

Сульфатредуцирующие бактерии иногда обнаруживаются в воде, но их роль в коррозии металла более надежно доказывается взятием мазка из влажных каверн на поверхности металлических конструкций, находящихся в воде.

7. ТРАНСПОРТИРОВАНИЕ И ХРАНЕНИЕ ПРОБ

7.1. Транспортирование

Общие требования к транспортированию проб - по ГОСТ 31861.

Транспортирование проб осуществляют в чистых продезинфицированных контейнерах, обеспечивающих их сохранность. Крышка контейнера не должна соприкасаться с пробками емкостей.

Условия транспортирования должны быть документально оформлены.

При транспортировании емкости с пробами должны быть упакованы таким образом, чтобы:

- защитить их от внешнего воздействия (солнечного излучения, нагревания, загрязнения, замораживания);

- исключить непосредственный контакт проб с аккумуляторами холода, чтобы избежать замораживание пробы;

- отрегулировать количество и объем аккумуляторов холода и их расположение в зависимости от количества проб, их массы и исходной температуры пробы;

- предусмотреть раздельное размещение в контейнерах неохлажденных и охлажденных проб.

Для транспортирования предпочтительно охладить пробы до температуры (5 +/- 3) °C (например используя аккумуляторы холода), если в стандартах на определение конкретного микробиологического показателя не установлено иное.

Пробы воды для вирусологического исследования допускается замораживать и хранить при температуре минус 70 °C при добавлении к пробе соответствующего криопротектора.

Примечания

1. В интервале температур от 0 °C до 45 °C число бактерий может меняться пропорционально температуре. Если микрофлора способна к размножению, то с увеличением температуры процесс ускоряется. Если микроорганизмы находятся в отмирающем состоянии, то этот процесс также ускоряется при нагревании. В бактериологии обычно предполагается, что увеличение температуры на 10 °C в два раза увеличивает скорость как размножения, так и процесса гибели бактерий. При транспортировании следует охлаждать пробы, но не замораживать их, так как образование льда в емкостях может приводить к гибели большинства клеток (> 99%).

2. В оптимальных условиях одно деление бактерий E. coli происходит за 20 мин и через 10 ч количество бактерий увеличивается до клеток. Однако в воде определяемые микроорганизмы находятся под влиянием биоценоза (в том числе антагонистического действия), физических и химических факторов, а также недостаточного количества питательных веществ, поэтому при данных условиях такое интенсивное размножение не может иметь место. С другой стороны, число микроорганизмов может уменьшиться вдвое менее чем за 20 мин, а при наличии в пробе дезинфектанта без инактиватора - в течение нескольких секунд.

3. Большинство экспериментов, выполненных в области хранения проб воды для бактериологического исследования, показывает положительный эффект охлаждения ниже 10 °C. Идеальный температурный диапазон (5 +/- 3) °C достигается путем помещения емкостей с пробами воды в контейнер с аккумуляторами холода. Температура воды в емкости не сразу после помещения в контейнер достигает значения (5 +/- 3) °C. Период установления температурного равновесия зависит от:

- контейнера (объема, эффективности изоляции);

- внешней (наружной) температуры;

- массы проб воды и их исходной температуры;

- типа аккумуляторов холода и их количества.

7.2. Продолжительность времени от отбора проб до анализа

Время хранения проб воды от отбора до начала их анализа включает продолжительность транспортирования, регистрации и подготовки проб к анализу.

Время хранения должно быть минимальным, насколько возможно, и задокументировано.

Анализ проб воды должен быть начат в тот же рабочий день, в который осуществлен отбор проб. Максимальный срок хранения проб - по ГОСТ 31862 и ГОСТ 31861. Увеличение этого срока может уменьшить достоверность результатов. Поэтому лицо, ответственное за отбор проб, и лицо, ответственное за проведение испытаний, должны работать во взаимодействии.

Примечание. По согласованию с заказчиком допускается увеличение максимального срока хранения проб до 8 ч, как установлено в [2].

8. ДОКУМЕНТИРОВАНИЕ ПРОЦЕДУРЫ ОТБОРА ПРОБ

8.1. До отбора проб или сразу же после отбора следует нанести маркировку на емкость и заполнить акт отбора пробы.

8.2. Маркировка емкостей должна быть четкой, сохраняющейся в течение всего времени хранения пробы, и должна содержать следующую информацию:

- место отбора пробы;

- дату и время отбора.

Допускается кодирование проб с отражением номера в акте отбора проб.

8.3. В акте отбора проб должно быть указано:

- наименование и адрес (юридический и фактический) заказчика;

- объект исследования;

- перечень определяемых при анализе показателей или ссылка на стандарт, их определяющий]

- дата, время и место отбора проб;

- метод отбора проб со ссылкой на стандарт по отбору проб;

- условия транспортирования, включая продолжительность транспортирования, средства транспортирования - сумка-холодильник и т.д.;

- должность, фамилия, инициалы и подпись лица, проводившего отбор проб, с указанием лиц, присутствующих при отборе проб;

- цель исследования: в плановом порядке или по внеплановым мероприятиям (рекомендации органов, уполномоченных осуществлять санэпиднадзор; сигналы об изменении органолептических качеств воды, поступающие от населения и т.п.).

8.4. Для правильной интерпретации результатов анализа могут быть необходимы и другие сведения, например:

- температура;

- использованный дезинфектант;

- любые другие факторы и отклонения от установленных процедур, которые могут повлиять на результаты микробиологического анализа (см. 4.4).

8.5. При превышении допускаемого максимального времени хранения пробы результаты испытаний должны быть внесены в протокол испытаний с указанием, что данный результат получен после n часов хранения пробы.

Приложение A
(справочное)

РЕКОМЕНДУЕМЫЕ И ДОПУСКАЕМЫЕ ЗНАЧЕНИЯ МАКСИМАЛЬНОГО ВРЕМЕНИ ХРАНЕНИЯ ПРОБ

A.1. Максимальный срок хранения пробы воды, включая продолжительность транспортирования, а также значения температуры хранения пробы, приведены в таблице A.1.

Таблица A.1

Наименование микроорганизмов Максимальный срок хранения пробы, включая транспортирование, ч Температура хранения пробы воды, °С Примечание
рекомендуемый допускаемый рекомендуемая допускаемая
Общее число культивируемых микроорганизмов (22 °C, 30 °C или 37 °C) 8 12 5 +/- 3 - -
Показатели фекального загрязнения:          
E. coli (и колиформные бактерии) 12 18 5 +/- 3 - -
Энтерококки 12 18 5 +/- 3 - -
Clostridium perfringens (вегетативные клетки) 12 18 5 +/- 3 - -
Споры:          
Споры сульфитредуцирующих клостридий (Clostridium spp.) 24 72 5 +/- 3 - Отмирание наблюдается в естественной необработанной воде после 24 ч
Вирусы:          
Бактериофаги 48 72 5 +/- 3 - -
Патогенные микроорганизмы кишечной группы:          
Salmonella spp. и другие 12 18 5 +/- 3 - -
Enterobacteriaceae 48 72 5 +/- 3 - -
Enteroviruses 1 мес - Минус 70 Минус 20 -
Ооцисты          
Cryptosporidium 24 96 5 +/- 3 Окружающей среды -
Цисты Giardia 24 96 5 +/- 3 - -
Другие микроорганизмы:          
Амебы 24 96 5 +/- 3 - -
Pseudomonas aeruginosa 8 12 Окружающей среды 5 +/- 3 -
Legionella spp. 24 - 5 +/- 3 Окружающей среды -
- 48 5 +/- 3    
Сине-зеленые водоросли (цианобактерии) 48 72 5 +/- 3 - Лизис иногда появляется в пределах нескольких часов
Campylobacter (thermophilic spp.) 24 - 3 +/- 2 - Кислородо-чувствительные
Общее количество бактерий методом эпифлюоресценции 1 год - Окружающей среды - Пробу стабилизируют, добавляя формальдегид (номинальная концентрация 3%) при хранении в темноте
Яйца гельминтов 48 72 5 +/- 3 - -
- 7 сут 5 +/- 3 - Проба стабилизирована при pH = 2
Примечания
1. Согласно литературным данным [1] максимальный срок хранения до анализа проб, часто упоминаемый - 8 ч, представляет продолжительность, связанную с длительностью транспортирования проб гужевым транспортом.
2. В продезинфицированных водах, так же как и в морских и речных водах, бактериальные клетки, являющиеся показателями фекального загрязнения, находятся в физиологически ослабленном состоянии. По литературным данным [1], рекомендуемый максимальный срок хранения до анализа проб - 8 ч.
3. Для необработанной питьевой воды или некоторых эвтрофированных вод в отдельных литературных источниках [1] предлагается более длительная продолжительность хранения до анализа. Однако большинством микробиологов рекомендуется анализировать пробы как можно быстрее, так как многочисленные исследования показывают значительные изменения даже при охлаждении.

Примечания

1. Согласно литературным данным [1] максимальный срок хранения до анализа проб, часто упоминаемый - 8 ч, представляет продолжительность, связанную с длительностью транспортирования проб гужевым транспортом.

2. В продезинфицированных водах, так же как и в морских и речных водах, бактериальные клетки, являющиеся показателями фекального загрязнения, находятся в физиологически ослабленном состоянии. По литературным данным [1], рекомендуемый максимальный срок хранения до анализа проб - 8 ч.

3. Для необработанной питьевой воды или некоторых эвтрофированных вод в отдельных литературных источниках [1] предлагается более длительная продолжительность хранения до анализа. Однако большинством микробиологов рекомендуется анализировать пробы как можно быстрее, так как многочисленные исследования показывают значительные изменения даже при охлаждении.

Приложение B
(справочное)

РАСЧЕТНОЕ ОПРЕДЕЛЕНИЕ КОЛИЧЕСТВА АНАЛИЗИРУЕМЫХ ПРОБ, НЕОБХОДИМОГО ДЛЯ ПОЛУЧЕНИЯ СРЕДНЕЙ КОНЦЕНТРАЦИИ МИКРОБОВ В ВОДЕ С ЗАДАННЫМ ДОВЕРИТЕЛЬНЫМ УРОВНЕМ

B.1. Распределение концентрации микроорганизмов в анализируемой воде способом культивирования микроорганизмов приведено на рисунке B.1.

Рисунок B.1. Пример распределения 50 микроорганизмов в хорошо перемешанном объеме 1 дм3 воды, разделенном на 10 проб по 100 см3

Из рисунка B.1 следует, что ни одна из десяти 100 см3 порций пробы воды не содержит теоретическое значение пять микроорганизмов на 100 см3 пробы.

Предполагается, что при идеальных условиях гомогенизации распределение числа бактерий подчиняется закону Пуассона.

При отклонении, равном среднеарифметическому значению, данный закон действительно наблюдается для низкой плотности микроорганизмов [менее 12 колониеобразующих единиц (далее - КОЕ) на анализируемый объем], например, для Salmonella или E. coli в питьевых водах.

Для более высоких концентраций ( 12 КОЕ на анализируемый объем) отклонение от среднего часто больше, чем ожидаемое:

, при K > 1, (B.1)

где:

K - коэффициент сверхдисперсии;

m - среднеарифметическое значение результатов подсчета микроорганизмов.

Данное распределение является случайным или характеризуется сверхдисперсией.

B.2. Определение необходимого количества проб для анализа проводят в следующей последовательности:

а) выбирают допускаемое отклонение D от результата: например, +/- 20%, +/- 50%, выражая процентные значения как десятичные (например 20% = 0,20);

б) предполагают возможную концентрацию микроорганизмов в анализируемой воде, оценивают ожидаемое среднеарифметическое значение m КОЕ на установленный объем;

в) определяют по таблице B.1 значение коэффициента сверхдисперсии K в зависимости от мутности воды и предполагаемого значения КОЕ на анализируемый объем.

Таблица B.1

Мутность воды Значение коэффициента сверхдисперсии K для КОЕ на анализируемый объем
< 12 От 12 до 30 От 30 до 50 > 50
Чистая вода K = 1 K = 1,5 K = 3 K = 8
Мутная K = 1 K = 2 K = 4 K = 12
Очень мутная K = 1 K = 2 K = 5 K = 16

г) рассчитывают количество проб N по формуле

, (B.2)

где:

K - коэффициент сверхдисперсии (см. таблицу B.1);

- значение распределения хи-квадрат с одной степенью свободы при вероятности 95% = 3,84;

m - среднеарифметическое значение концентрации микроорганизмов, подсчитанное в результате эксперимента или данных предварительных исследований воды в данной точке отбора пробы;

D - заданное отклонение, выраженное в десятичных долях от среднеарифметического.

B.3. Примеры расчетов количества проб, необходимых для анализа

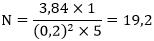
B.3.1. Пример 1

Если задано отклонение D, равное 20% от установленного среднеарифметического значения 5 КОЕ на анализируемый объем, коэффициент сверхдисперсии K = 1 (см. таблицу B.1), требуемое количество проб N с доверительной вероятностью 95% рассчитывают по формуле

, (B.3)

Таким образом, количество проб N = 19 необходимо для того, чтобы определить концентрацию микроорганизмов в пробе воды, содержащей около 5 КОЕ на анализируемый объем с заданным отклонением +/- 20%.

Если проанализировать только пять проб, то отклонение будет не менее 40%.

Если анализируется только одна проба, риск ошибочного отрицательного ответа составит 70%.

B.3.2. Пример 2

Для концентрации около 30 КОЕ на анализируемый объем в таблице В.1 установлен коэффициент сверхдисперсии K = 4 для мутных вод - дисперсия в четыре раза выше, чем средняя.

При доверительной вероятности 95% и заданном отклонении 20% количество проб для анализа рассчитывают по формуле

, (B.4)

Таким образом, должны быть проанализированы тринадцать проб для того, чтобы оценить концентрацию микроорганизмов с заданным отклонением 20% и доверительной вероятности 95% в мутной воде, содержащей около 30 КОЕ на анализируемый объем.

B.3.3. Пример 3

Мутная поверхностная вода с предполагаемым содержанием микроорганизмов около 15 КОЕ на анализируемый объем при коэффициенте сверхдисперсии K = 2 (см. таблицу B.1).

Для заданного отклонения +/- 20% количество проб для анализа рассчитывают по формуле

, (B.5)

Для заданного отклонения +/- 50% количество проб для анализа рассчитывают по формуле

, (B.6)

B.3.4. Пример 4

Допускаемое отклонение принято +/- 20%.

Анализируемая вода - чистая вода.

Предполагаемое содержание микроорганизмов 20 КОЕ на анализируемый объем.

Коэффициент сверхдисперсии K = 1,5 (см. таблицу B.1).

Количество проб для анализа рассчитывают по формуле

. (B.7)

Отобрано и проанализировано семь проб, получены результаты: 13, 15, 7, 8, 19, 8, 13 КОЕ. Получаем

, (B.8)

(значительно ниже, чем предполагаемое) КОЕ и

(B.9)

. (B.10)

Таким образом, данное (рассчитанное) количество проб при заданном отклонении приемлемо и может использоваться для дальнейших исследований.

Приложение Д.А
(обязательное)

СТЕРИЛИЗАЦИЯ ЕМКОСТЕЙ ДЛЯ ОТБОРА ПРОБ

Д.А.1. Стерилизация емкостей

Д.А.1.1. Стеклянные емкости и их крышки для многократного использования промывают проточной водопроводной водой, при необходимости применяя моющие средства, не содержащие фосфатов, после чего промывают проточной водопроводной водой до полного удаления моющего средства, ополаскивают деионизированной или дистиллированной водой (ГОСТ 6709) и высушивают.

Д.А.1.2. Новые емкости моют способом, аналогичным Д.А.1.1.

Новые пробки кипятят 30 мин в 2%-ном растворе натрия углекислого кислого по ГОСТ 4201 и пять раз промывают проточной водопроводной водой (кипячение и промывание повторяют дважды), затем кипятят 30 мин в дистиллированной воде, высушивают, заворачивают в чистую плотную бумагу или фольгу и стерилизуют.

Д.А.1.3. Емкости, пробки (крышки), защитные колпачки должны выдерживать условия стерилизации.

Емкости должны быть полностью укомплектованы (закрыты пробками, защитными колпачками или полностью упакованы, например завернуты в чистую плотную бумагу для сохранения стерильности емкостей до отбора проб).

Примечание. Материалы, используемые для упаковки емкостей, должны сохранять прочность после стерилизации.

Д.А.1.4. Если нейтрализатор дезинфектантов выдерживает стерилизацию в автоклаве или сухим жаром, то его вносят в емкость до ее стерилизации.

Д.А.1.5. Стерилизацию емкостей сухим жаром проводят в суховоздушном шкафу одним из способов:

- при температуре (180 +/- 3) °C в течение (60 +/- 5) мин с момента достижения указанной температуры,

- при температуре (160 +/- 3) °C в течение (150 +/- 5) мин с момента достижения указанной температуры.

Д.А.1.6. Стерилизацию емкостей в автоклаве проводят одним из способов:

- при температуре (126 +/- 1) °C (0,15 +/- 0,02) МПа в течение мин с момента достижения указанной температуры,

- при температуре °C (0,11 +/- 0,02) МПа в течение мин с момента достижения указанной температуры.

Примечание. Дезинфекцию лабораторной посуды с посевами микроорганизмов проводят в автоклаве при температуре (132 +/- 2) °C (0,20 +/- 0,02) МПа в течение мин с момента достижения указанной температуры.

Завинчивающиеся крышки не закручивают до конца, чтобы обеспечить замещение воздуха в емкости паром во время повышения температуры и предотвратить сплющивание емкостей из полимерных материалов во время их охлаждения. После стерилизации емкости плотно закрывают завинчивающимися крышками.

Д.А.1.7. Если стерилизация способами по Д.А.1.5, Д.А.1.6 невозможна, то ее проводят путем кипячения емкостей не менее 30 мин. После кипячения из емкостей выливают воду, немедленно закрывают их прокипяченными крышками и завертывают в чистую плотную бумагу.

Не допускается использовать данный метод обработки емкостей, предназначенных для отбора проб питьевой воды.

Д.А.1.8. Если емкости не подлежат стерилизации сухим жаром или в автоклаве (см. Д.А.1.5, Д.А.1.6), то их стерилизация может быть проведена гамма-излучением или оксидом этилена.

Примечания

1. Емкости из полимерных материалов могут быть простерилизованы оксидом этилена. Токсичность газа требует выполнения стерилизации в специальном оборудовании при соблюдении времени, необходимого для его десорбции.

2. Эффективным способом стерилизации является выдержка емкостей в условиях воздействия гамма-излучений источника или , или ускоренных электронов в энергетическом диапазоне Гр на специализированных установках. При этом не обнаруживается остаточная антибактериальная активность, однако некоторые материалы подвергаются структурным изменениям вследствие их полимеризации при облучении.

Д.А.1.9. Большие емкости (например, металлические ведра) обрабатывают путем обжига их внутренней и внешней поверхности с использованием этилового спирта по Д.В.1.5 (Приложение B).

Д.А.2. Контроль емкостей для отбора проб

Д.А.2.1. Контроль стерильности

Д.А.2.1.1. Приобретенные или подготовленные в лаборатории емкости должны иметь сведения о результатах контроля стерильности.

При подготовке емкостей в лаборатории необходимо иметь результаты контроля стерильности для партий емкостей после стерилизации, емкостей с инактивирующими веществами и емкостей при хранении.

Д.А.2.1.2. Стерильность емкостей обычно гарантируется путем контроля процесса стерилизации. Эффективность процесса стерилизации контролируют по термическим, химическим и периодически по биологическим тестам.

Д.А.2.1.3. Контроль стерильности (как правило - контролируют одну емкость из ста) проводят одним из следующих методов:

а) метод с использованием жидкого бульона

От 20 до 50 см3 питательного бульона вносят в емкость для отбора проб, ополаскивают стенки емкости бульоном, не касаясь пробки, и инкубируют при температуре (22 +/- 2) °C в течение 5 сут. Критерием стерильности является отсутствие мутности;

б) метод с использованием питательного агара (метод "вращения бутыли")

20 или 50 см3 расплавленного и охлажденного до 45 °C - 49 °C питательного агара вносят на стенку емкости, выравнивая пленку агара путем вращения емкости во время охлаждения. При инкубации микроорганизмов при температуре (22 +/- 2) °C в течение 5 сут не должно быть видимого роста колоний микроорганизмов;

в) метод высева из бульона на питательный агар

Питательный бульон в количестве 20% от объема емкости для отбора проб вносят в емкость, ополаскивают стенки емкости (включая пробку) бульоном и инкубируют при температуре (37 +/- 1) °C в течение (48 +/- 2) ч. При отсутствии мутности проводят высев из бульона по 1 см3 на две чашки Петри и заливают питательным агаром. Чашки Петри с посевами инкубируют при температуре (37 +/- 1) °C в течение (48 +/- 2) ч. Критерием стерильности является отсутствие мутности и роста колоний микроорганизмов.

Д.А.2.2. Определение присутствия инактивирующего вещества

Присутствие тиосульфата натрия (тиосульфата калия) может быть проверено йодометрическим методом:

.

В емкость вносят 10 см3 дистиллированной воды и титруют раствором йода [см. Д.В.1.4 (Приложение Д.В)], используя крахмал в качестве индикатора конечной точки титрования.

Д.А.2.3. Определение остаточной токсичности емкостей

Остаточная токсичность емкостей для отбора проб может быть результатом мытья стеклянных емкостей моющими средствами или следствием миграции ингредиентов из емкостей, изготовленных из полимерных материалов при их мытье и стерилизации.

Использование стеклянных или полиэтиленовых емкостей для отбора проб обычно не требует регулярной проверки их токсичности. В сомнительных случаях такие емкости не используют.

Приложение Д.Б
(обязательное)

СПОСОБЫ ИНАКТИВАЦИИ ДЕЗИНФЕКТАНТОВ ПРИ ОТБОРЕ ПРОБ

Д.Б.1. При отборе проб воды, подвергнутой обеззараживанию способом окисления (например хлором, хлорамином, бромом или озоном), инактивацию дезинфектанта проводят тиосульфатом натрия одним из следующих способов:

- внесением тиосульфата натрия в емкость с пробой воды сразу после отбора;

- внесением тиосульфата натрия в емкость перед ее стерилизацией.

Емкость, в случае внесения тиосульфата натрия до ее стерилизации, должна иметь соответствующую маркировку.

Теоретически для инактивации 1 мг хлора необходимо добавить 7,1 мг тиосульфата натрия. Таким образом, в емкость вносят тиосульфат натрия из расчета:

- 0,1 см3 раствора тиосульфата натрия [см. Д.В.1.2 (Приложение Д.В)] на 100 см3 пробы воды;

- 10 мг кристаллического тиосульфата натрия на 500 см3 пробы воды.

Это позволяет инактивировать от 2 до 5 мг/дм3 свободного остаточного хлора.

В некоторых случаях, например при дезинфекции воды в ваннах для ног плавательных бассейнов или с целью обезвреживания легионелл в распределительной системе, когда используют более высокие концентрации хлора, требуется, соответственно, и более высокая дозировка тиосульфата натрия.

Примечания

1. Тиосульфат натрия не разрушается при стерилизации емкостей в автоклаве и суховоздушном шкафу.

2. Тиосульфат натрия не влияет на микробоценоз воды, не изменяет pH воды, имеет нейтральную реакцию и поэтому не мешает при отборе проб нехлорированных вод.

3. Бактерии Legionella чувствительны к натрию и поэтому при отборе проб на эти микроорганизмы предпочтительно использовать тиосульфат калия. Однако вредного влияния натрия при концентрациях, применяемых для инактивации концентрации хлора, обычно используемой для дезинфекции воды, не обнаружено.

Д.Б.2. При использовании других дезинфектантов применяют соответствующие методы инактивации. Для защиты от токсического воздействия тяжелых металлов, например при водоподготовке с использованием серебра или меди, могут быть использованы стерильные (путем фильтрования) растворы этилендинитрилотетрауксусной кислоты (ЭДТА) или нитрилотриацетата натрия () с концентрацией около 50 мг/дм3. Серебро может быть инактивировано также раствором сульфида натрия, при этом на 1 дм3 пробы воды добавляют 1 см3 раствора сульфида натрия [см. Д.В.1.3 (Приложение Д.В)].

Приложение Д.В
(обязательное)

РЕАКТИВЫ, ОБОРУДОВАНИЕ И МАТЕРИАЛЫ, НЕОБХОДИМЫЕ ДЛЯ ОТБОРА ПРОБ ВОДЫ

Д.В.1. Реактивы

Д.В.1.1. Этиловый спирт по ГОСТ 18300 <*>, объемной доли ,

или изопропанол (спирт изопропиловый) по ГОСТ 9805 объемной доли ,

или раствор гипохлорита натрия по ГОСТ 11086 массовой концентрацией г/дм3.

Д.В.1.2. Раствор тиосульфата натрия по ГОСТ 27068 массовой концентрацией мг/дм3.

Д.В.1.3. Раствор сульфида натрия по ГОСТ 596 массовой концентрацией мг/см3.

Д.В.1.4. Раствор йода по ГОСТ 4159 молярной концентрацией моль/дм3.

Д.В.1.5. Этиловый спирт по ГОСТ 18300 <*>, объемной доли , для фламбирования.

<*> В Российской Федерации применяют спирт этиловый ректификованный по ГОСТ 18300-87 или по ГОСТ Р 51652-2000 "Спирт этиловый ректификованный из пищевого сырья. Технические условия".

Д.В.2. Оборудование и материалы

Для отбора проб в дополнение к емкостям может быть использовано следующее оборудование и материалы:

Дезинфицирующие салфетки для индивидуального пользования.

Спиртовка или газовая горелка.

Зажигалка, спички.

Пинцеты зубчато-лапчатые или корнцанги прямые.

Маркеры, карандаши.

Аккумуляторы холода; лед, пакет со льдом; переносной холодильник или холодильное отделение в средствах транспортирования.

Термометр или другой прибор, регистрирующий температуру.

Батометры для отбора проб или другие пробоотборники, приспособленные к отбору проб на различной глубине.

Транспортные средства и карточка идентификации личности перевозчика.

Водонепроницаемая обувь.

Стерильные перчатки.

Приложение Д.Г
(справочное)

СРАВНЕНИЕ СТРУКТУРЫ МЕЖДУНАРОДНОГО СТАНДАРТА СО СТРУКТУРОЙ МЕЖГОСУДАРСТВЕННОГО СТАНДАРТА

Д.Г.1. Сравнение структуры международного стандарта ISO 19458:2006 со структурой межгосударственного стандарта приведено в таблице Д.Г.1.

Таблица Д.Г.1

Структура международного стандарта ISO 19458:2006 Структура межгосударственного стандарта
Раздел 1 Раздел 1, подраздел 4.1 (1-й абзац)
Раздел 2 Раздел 2
Раздел 3 Раздел 4
Раздел 4 Раздел 5
Подразделы Пункты Подпункты Разделы Подразделы Пункты
4.1 - - 5 5.10 -
4.2 - - - -
- 4.2.1 - 5.3 - 5.5, 5.8 -
- 4.2.2 - Приложение Д.А Д.А.1
- 4.2.3 - Приложение Д.Б Д.Б.1 - Д.Б.2
- 4.2.4 - Приложение Д.А Д.А.2
- - 4.2.4.1 Д.А.2.1
- - 4.2.4.2 Д.А.2.2
- - 4.2.4.3 Д.А.2.3
4.3 - - Приложение Д.В -
- 4.3.1 - Приложение Д.В Д.В.1
- - 4.3.1.1 Д.В.1.1
- - 4.3.1.2 Д.В.1.2
- - 4.3.1.3 Д.В.1.3
- - 4.3.1.4 Д.В.1.4
- 4.3.2 - Д.В.2
- - 4.3.2.1 Д.В.2
- - 4.3.2.2 Д.В.2
- - 4.3.2.3 Д.В.2
- - 4.3.2.4 Д.В.2
- - 4.3.2.5 Д.В.2
- - 4.3.2.6 Д.В.2
- - 4.3.2.7 Д.В.2
- - 4.3.2.8 Д.В.2
- - 4.3.2.9 Д.В.2
- - 4.3.2.10 Д.В.2
- - 4.3.2.11 Д.В.2
- - 4.3.2.12 Д.В.2
- - 4.3.2.13 Д.В.2
- - 4.3.2.14 Д.В.2
- - 4.3.2.15 Д.В.2
4.4 - - Раздел 6
- 4.4.1 - 6 6.1 -
- - 4.4.1.1 - 6.1.1 - 6.1.3, 6.1.4 (1-й абзац)
- - 4.4.1.2 - 6.1.7
- - 4.4.1.3 - 6.1.4, 6.1.3
- - 4.4.1.4 - 6.1.5, 6.1.3
- - 4.4.1.5 - 6.1.6
- 4.4.2 - 6.2 -
- 4.4.3 - 6.3 -
- 4.4.4 - 6.4 -
- - 4.4.4.1 - 6.4.2
- - 4.4.4.2 - 6.4.3, 6.4.1
- 4.4.5 - 6.5 -
- 4.4.6 - 6.6 -
4.5 - - 8 8.1 - 8.3 -
Раздел 5 Раздел 7
Подразделы Пункты Подпункты Разделы Подразделы Пункты
5.1 - - 7 7.1 -
5.2 - - 7; 8 7.2; 8.5 -
Приложение А А.1 Приложение B B.1
А.2 B.2
А.3 B.3
А.3.1 B.3.1
А.3.2 B.3.2
А.3.3 B.3.3
А.З.4 B.3.4
Приложение В - Приложение A A.1
- - Приложение Д.Г -
- - Приложение Д.Д -
Библиография - Библиография -
Примечание. Указанное в таблице изменение структуры настоящего стандарта относительно структуры примененного международного стандарта обусловлено приведением в соответствие с требованиями ГОСТ 1.5.

Приложение Д.Д
(справочное)

СВЕДЕНИЯ О СООТВЕТСТВИИ МЕЖГОСУДАРСТВЕННЫХ СТАНДАРТОВ ССЫЛОЧНЫМ МЕЖДУНАРОДНЫМ СТАНДАРТАМ

Таблица Д.Д.1

Обозначение и наименование международного стандарта Степень соответствия Обозначение и наименование межгосударственного стандарта
-   ГОСТ 596-89 Реактивы. Натрий сернистый технический (натрия сульфид). Технические условия
ISO 6353-3:1987 Реактивы для химического анализа. Часть 3. Технические условия. Вторая серия NEQ ГОСТ 4159-79 Реактивы. Йод. Технические условия
ISO 6353-3:1987 Реактивы для химического анализа. Часть 3. Технические условия. Вторая серия NEQ ГОСТ 4201-79 Реактивы. Натрий углекислый кислый. Технические условия
- - ГОСТ 6709-72 Вода дистиллированная. Технические условия
ISO 756-1:1981 Пропанол-2 технический. Методы испытаний. Часть 1. Общие положения NEQ ГОСТ 9805-84 Спирт изопропиловый. Технические условия
ISO 756-2:1981 Пропанол-2 технический. Методы испытаний. Часть 2. Определение кислотности. Титриметрический метод
ISO 756-3:1981 Пропанол-2 технический. Методы испытаний. Часть 3. Испытания на смешиваемость с водой
- - ГОСТ 11086-76 Реактивы. Гипохлорит натрия. Технические условия
- - ГОСТ 18300-87 Спирт этиловый ректификованный технический. Технические условия
- - ГОСТ 25151-82 Водоснабжение. Термины и определения
- - ГОСТ 27065-86 Качество вод. Термины и определения
    ГОСТ 27068-86 Реактивы. Натрий серноватистокислый (натрия тиосульфат) 5-водный. Технические условия
ISO 6107-1:2004 Качество воды. Словарь. Часть 1 NEQ ГОСТ 30813-2002 Вода и водоподготовка. Термины и определения
ISO 6107-2:2006 Качество воды. Словарь. Часть 2
ISO 6107-3:1993 Качество воды. Словарь. Часть 3
ISO 6107-4:1993 Качество воды. Словарь. Часть 4
ISO 6107-5:2004 Качество воды. Словарь. Часть 5
ISO 6107-6:2004 Качество воды. Словарь. Часть 6
ISO 6107-7:2006 Качество воды. Словарь. Часть 7
ISO 6107-8:1993 Качество воды. Словарь. Часть 8
ISO 5667-1:2006 Качество воды. Отбор проб. Часть 1. Руководство по составлению программы отбора проб NEQ ГОСТ 31861-2012 Вода. Общие требования к отбору проб
ISO 5667-2:1991 Качество воды. Отбор проб. Часть 2. Руководство по методам отбора проб
ISO 5667-3:2003 Качество воды. Отбор проб. Часть 3. Руководство по хранению и обращению с пробами
ISO 5667-5:1991 <*> Качество воды. Отбор проб. Часть 5. Руководство по отбору проб питьевой воды из очистных сооружений и трубопроводных распределительных систем NEQ ГОСТ 31862-2012 Вода питьевая. Отбор проб
<*> Заменен на ISO 5667-5:2006.

БИБЛИОГРАФИЯ

[1] Международный стандарт Water quality - Sampling for ISO 19458:2006 microbiological analysis (Качество воды. Отбор проб для микробиологического анализа)

[2] Международный стандарт Water quality - Sampling - Part 3: ISO 5667-3:1994 Guidance on the preservation and handling of water samples (Качество воды. Отбор проб. Часть 3. Руководство по хранению и обращению с пробами)