Закон Ленинградской области от 11.07.2018 N 64-ОЗ

"О внесении изменений в отдельные областные законы"
Редакция от 11.07.2018 — Действует

11 июля 2018 г. N 64-оз

ЗАКОН
ЛЕНИНГРАДСКОЙ ОБЛАСТИ

О ВНЕСЕНИИ ИЗМЕНЕНИЙ В ОТДЕЛЬНЫЕ ОБЛАСТНЫЕ ЗАКОНЫ

Принят
Законодательным собранием
Ленинградской области
27 июня 2018 года

Статья 1

Внести в областной закон от 17 ноября 2017 года N 72-оз "Социальный кодекс Ленинградской области" следующие изменения:

1) пункт 3 части 1 статьи 2.1 изложить в следующей редакции:

"3) компенсацию части родительской платы за присмотр и уход за ребенком в образовательных организациях, реализующих образовательную программу дошкольного образования, в Ленинградской области в соответствии со статьей 2.4 настоящего Кодекса;";

2) в статье 2.4:

а) наименование изложить в следующей редакции:

"Статья 2.4. Компенсация части родительской платы за присмотр и уход за детьми, осваивающими образовательные программы дошкольного образования в организациях, расположенных на территории Ленинградской области и осуществляющих образовательную деятельность";

б) часть 1 изложить в следующей редакции:

"1. Семьям, имеющим детей, предоставляется право на компенсацию части родительской платы за присмотр и уход за ребенком в образовательных организациях, реализующих образовательную программу дошкольного образования, в Ленинградской области (далее в настоящей статье - компенсация родительской платы).".

Статья 2

Внести в областной закон от 17 июня 2011 года N 46-оз "О наделении органов местного самоуправления Ленинградской области отдельным государственным полномочием Ленинградской области по выплате компенсации части родительской платы за присмотр и уход за ребенком в образовательных организациях, реализующих образовательную программу дошкольного образования, в Ленинградской области" (с последующими изменениями) следующие изменения:

1) в части 2 статьи 3:

а) в пункте 5 слово "денежной" исключить;

б) в пункте 6 слово "денежной" исключить;

2) в приложении:

а) пункт 3 изложить в следующей редакции:

"3. Размер затрат на выплату компенсации части родительской платы за присмотр и уход за детьми в государственных, муниципальных или иных образовательных организациях, реализующих образовательную программу дошкольного образования, рассчитывается по формулам:

,

где:

- размер затрат на выплату компенсации части родительской платы на первого ребенка, посещающего государственную, муниципальную или иную образовательную организацию, реализующую образовательную программу дошкольного образования, в месяц (рублей);

- размер затрат на выплату компенсации части родительской платы на второго ребенка, посещающего государственную, муниципальную или иную образовательную организацию, реализующую образовательную программу дошкольного образования, в месяц (рублей);

- размер затрат на выплату компенсации части родительской платы на третьего и последующих детей, посещающих государственную, муниципальную или иную образовательную организацию, реализующую образовательную программу дошкольного образования, в месяц (рублей);

- средний размер родительской платы за присмотр и уход за ребенком в государственных и муниципальных образовательных организациях, реализующих образовательную программу дошкольного образования, в Ленинградской области в месяц, установленный постановлением Правительства Ленинградской области (рублей);

0,25, 0,55, 0,75 - коэффициенты, отражающие размер компенсации соответственно на первого ребенка - 25 процентов, на второго ребенка - 55 процентов, на третьего и последующих детей - 75 процентов указанного среднего размера родительской платы, установленного в Ленинградской области.";

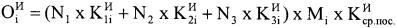
б) абзацы седьмой, восьмой, девятый, десятый, одиннадцатый и двенадцатый пункта 6 изложить в следующей редакции:

"При этом

,

где:

, , - количество в семьях соответственно первых, вторых, третьих и последующих детей, посещающих государственные и муниципальные образовательные организации, реализующие образовательную программу дошкольного образования, в i-м муниципальном районе (городском округе), чьи родители имеют право на получение компенсации с учетом критерия нуждаемости;

- среднесложившийся коэффициент посещаемости за предыдущий период в государственных и муниципальных образовательных организациях, реализующих образовательную программу дошкольного образования.

,

где:

, , - количество в семьях соответственно первых, вторых, третьих и последующих детей, посещающих иные образовательные организации (за исключением государственных и муниципальных образовательных организаций), реализующие образовательную программу дошкольного образования, на территории i-го муниципального района (городского округа), чьи родители имеют право на получение компенсации с учетом критерия нуждаемости;

- количество месяцев работы образовательных организаций, реализующих образовательную программу дошкольного образования, в i-м муниципальном районе (городском округе) в год. Определяется исходя из количества месяцев работы за предыдущий год;

- среднесложившийся коэффициент посещаемости за предыдущий период в иных образовательных организациях (за исключением государственных и муниципальных образовательных организаций), реализующих образовательную программу дошкольного образования;

- среднесложившийся коэффициент посещаемости за предыдущий период, который исчисляется по формуле

,

где:

- планируемое количество человеко-дней посещения;

- фактическое количество человеко-дней посещения.".

Статья 3

Настоящий областной закон вступает в силу со дня его официального опубликования и распространяется на правоотношения, возникшие с 1 января 2018 года.

Губернатор
Ленинградской области
А. ДРОЗДЕНКО

Санкт-Петербург

11 июля 2018 года

N 64-оз