Постановление Правительства РФ от 30.06.2021 N 1085

"О федеральном государственном энергетическом надзоре"
Редакция от 30.06.2021 — Не действует Перейти в действующую
Показать изменения

ПРАВИТЕЛЬСТВО РОССИЙСКОЙ ФЕДЕРАЦИИ

ПОСТАНОВЛЕНИЕ
от 30 июня 2021 г. N 1085

О ФЕДЕРАЛЬНОМ ГОСУДАРСТВЕННОМ ЭНЕРГЕТИЧЕСКОМ НАДЗОРЕ

В соответствии со статьей 29.1 Федерального закона "Об электроэнергетике" и статьей 4.1 Федерального закона "О теплоснабжении" Правительство Российской Федерации постановляет:

1. Утвердить прилагаемое Положение о федеральном государственном энергетическом надзоре.

2. Признать утратившими силу:

Положение об осуществлении федерального государственного энергетического надзора, утвержденное постановлением Правительства Российской Федерации от 20 июля 2013 г. N 610 "О федеральном государственном энергетическом надзоре" (Собрание законодательства Российской Федерации, 2013, N 30, ст. 4119);

постановление Правительства Российской Федерации от 20 июля 2016 г. N 701 "О внесении изменений в Положение об осуществлении федерального государственного энергетического надзора" (Собрание законодательства Российской Федерации, 2016, N 31, ст. 5019);

пункт 3 изменений, которые вносятся в акты Правительства Российской Федерации по вопросам осуществления федерального государственного энергетического надзора, утвержденных постановлением Правительства Российской Федерации от 18 января 2017 г. N 32 "О внесении изменений в некоторые акты Правительства Российской Федерации по вопросам осуществления федерального государственного энергетического надзора" (Собрание законодательства Российской Федерации, 2017, N 4, ст. 676);

пункт 3 изменений, которые вносятся в акты Правительства Российской Федерации в части установления обязанности использования проверочных листов (списков контрольных вопросов) при проведении плановых проверок, утвержденных постановлением Правительства Российской Федерации от 4 августа 2017 г. N 930 "О внесении изменений в некоторые акты Правительства Российской Федерации в части установления обязанности использования проверочных листов (списков контрольных вопросов) при проведении плановых проверок" (Собрание законодательства Российской Федерации, 2017, N 33, ст. 5191);

постановление Правительства Российской Федерации от 30 ноября 2018 г. N 1445 "О внесении изменений в Положение об осуществлении федерального государственного энергетического надзора" (Собрание законодательства Российской Федерации, 2018, N 50, ст. 7760);

пункт 7 изменений, которые вносятся в акты Правительства Российской Федерации, утвержденных постановлением Правительства Российской Федерации от 16 февраля 2019 г. N 152 "О внесении изменений в некоторые акты Правительства Российской Федерации" (Собрание законодательства Российской Федерации, 2019, N 8, ст. 780);

постановление Правительства Российской Федерации от 22 декабря 2020 г. N 2217 "О внесении изменений в Положение об осуществлении федерального государственного энергетического надзора" (Собрание законодательства Российской Федерации, 2020, N 52, ст. 8892).

3. Плановые проверки, проведение которых запланировано на 2021 год в рамках федерального государственного энергетического надзора, дата начала которых наступает позднее 30 июня 2021 г., подлежат организации и проведению в рамках федерального государственного энергетического надзора в соответствии с положениями Федерального закона "О государственном контроле (надзоре) и муниципальном контроле в Российской Федерации".

4. Реализация полномочий, предусмотренных настоящим постановлением, осуществляется федеральными органами исполнительной власти в пределах установленной Правительством Российской Федерации предельной численности работников федеральных органов исполнительной власти и бюджетных ассигнований, предусмотренных указанным органам в федеральном бюджете на руководство и управление в сфере установленных функций.

5. Настоящее постановление вступает в силу со дня официального опубликования, за исключением пунктов 38 - 48 Положения, утвержденного настоящим постановлением, которые вступают в силу с 1 марта 2022 г.

Председатель Правительства
Российской Федерации
М. МИШУСТИН

УТВЕРЖДЕНО
постановлением Правительства
Российской Федерации
от 30 июня 2021 г. N 1085

ПОЛОЖЕНИЕ О ФЕДЕРАЛЬНОМ ГОСУДАРСТВЕННОМ ЭНЕРГЕТИЧЕСКОМ НАДЗОРЕ

1. Настоящее Положение устанавливает порядок осуществления федерального государственного энергетического надзора (далее - государственный надзор), за исключением государственного надзора, осуществляемого на объектах, подведомственных Министерству обороны Российской Федерации, Службе внешней разведки Российской Федерации, Федеральной службе охраны Российской Федерации, Федеральной службе безопасности Российской Федерации, Главному управлению специальных программ Президента Российской Федерации.

2. Государственный надзор осуществляется Федеральной службой по экологическому, технологическому и атомному надзору и ее территориальными органами (далее - орган государственного надзора).

3. Предметом государственного надзора в сфере электроэнергетики является:

а) соблюдение субъектами электроэнергетики и (или) потребителями электрической энергии, за исключением потребителей электрической энергии, деятельность которых связана с эксплуатацией энергопринимающих устройств, использующихся для бытовых нужд, а также других энергопринимающих устройств, суммарная максимальная мощность которых не превышает 150 киловатт с номинальным напряжением до 1000 вольт и которые присоединены к одному источнику электроснабжения, следующих обязательных требований:

требований к обеспечению надежности электроэнергетических систем, надежности и безопасности объектов электроэнергетики и энергопринимающих установок при организации и осуществлении эксплуатации объектов электроэнергетики и энергопринимающих установок потребителей электрической энергии и осуществлении функций по оперативно-диспетчерскому управлению в электроэнергетике, связанных с планированием и производством переключений на объектах электроэнергетики и в энергопринимающих установках потребителей электрической энергии, управлением электроэнергетическим режимом энергосистемы, предотвращением и ликвидацией аварийных электроэнергетических режимов, а также требований к подготовке и подтверждению готовности работников к работе в сфере электроэнергетики;

требований к безопасному ведению работ на объектах электроэнергетики, установленных правилами по охране труда;

требований в области энергосбережения и повышения энергетической эффективности;

особых условий использования земельных участков в границах охранных зон объектов электроэнергетики;

б) соблюдение субъектами электроэнергетики, осуществляющими эксплуатацию объектов по производству электрической энергии, функционирующих в режиме комбинированной выработки электрической и тепловой энергии, требований к безопасному ведению работ на объектах теплоснабжения, требований безопасности в сфере теплоснабжения и правил технической эксплуатации объектов теплоснабжения и теплопотребляющих установок, установленных Федеральным законом "О теплоснабжении", а также правил по охране труда применительно к объектам теплоснабжения;

в) соблюдение изготовителем, исполнителем (лицом, выполняющим функции иностранного изготовителя), продавцом требований, установленных техническими регламентами, или обязательных требований, подлежащих применению до дня вступления в силу технических регламентов в соответствии с Федеральным законом "О техническом регулировании".

4. Предметом государственного надзора в сфере теплоснабжения является:

а) соблюдение теплоснабжающими организациями и теплосетевыми организациями обязательных требований к безопасному ведению работ на объектах теплоснабжения, требований безопасности в сфере теплоснабжения, установленных Федеральным законом "О теплоснабжении", правилами технической эксплуатации объектов теплоснабжения и теплопотребляющих установок, а также правилами по охране труда применительно к объектам теплоснабжения;

б) соблюдение изготовителем, исполнителем (лицом, выполняющим функции иностранного изготовителя), продавцом требований, установленных техническими регламентами, или обязательных требований, подлежащих применению до дня вступления в силу технических регламентов в соответствии с Федеральным законом "О техническом регулировании".

5. Объектами государственного надзора являются:

деятельность юридических лиц и индивидуальных предпринимателей в сферах электроэнергетики и теплоснабжения;

продукция, машины, оборудование и (или) устройства, применяемые при осуществлении видов деятельности в сферах электроэнергетики и теплоснабжения, работы и услуги, осуществляемые на объектах электроэнергетики и теплоснабжения;

здания, сооружения объектов электроэнергетики и теплоснабжения.

При осуществлении государственного надзора проводится оценка соблюдения обязательных требований, установленных:

статьями 5, 7, 8, 12 Технического регламента Таможенного союза "О безопасности машин и оборудования" (ТР ТС 010/2011);

статьями 36 и 38 - 40 Федерального закона "Технический регламент о безопасности зданий и сооружений".

6. В отношении источников тепловой энергии, функционирующих в режиме комбинированной выработки электрической и тепловой энергии, государственный надзор осуществляется в соответствии с законодательством Российской Федерации об электроэнергетике.

7. В отношении объектов теплоснабжения, являющихся опасными производственными объектами I, II, III классов опасности, плановые контрольные (надзорные) мероприятия по соблюдению требований безопасности в сфере теплоснабжения проводятся при осуществлении государственного надзора в области промышленной безопасности.

8. Государственный надзор осуществляется посредством профилактики нарушений обязательных требований, организации и проведения контрольных (надзорных) мероприятий и принятия предусмотренных законодательством Российской Федерации мер по пресечению нарушений обязательных требований.

9. Должностными лицами, осуществляющими государственный надзор, являются:

а) руководитель Федеральной службы по экологическому, технологическому и атомному надзору;

б) заместители руководителя Федеральной службы по экологическому, технологическому и атомному надзору и руководители структурных подразделений центрального аппарата Федеральной службы по экологическому, технологическому и атомному надзору, в ведении которых находятся вопросы государственного надзора;

в) заместители руководителей структурных подразделений центрального аппарата Федеральной службы по экологическому, технологическому и атомному надзору, начальники отделов и заместители начальников отделов структурных подразделений центрального аппарата Федеральной службы по экологическому, технологическому и атомному надзору, в ведении которых находятся вопросы государственного надзора;

г) федеральные государственные гражданские служащие категории "специалисты" ведущей группы должностей в структурных подразделениях центрального аппарата Федеральной службы по экологическому, технологическому и атомному надзору, в ведении которых находятся вопросы государственного надзора;

д) федеральные государственные гражданские служащие категории "специалисты" старшей группы должностей в структурных подразделениях центрального аппарата Федеральной службы по экологическому, технологическому и атомному надзору, в ведении которых находятся вопросы государственного надзора;

е) руководители территориальных органов Федеральной службы по экологическому, технологическому и атомному надзору, в ведении которых находятся вопросы государственного надзора;

ж) заместители руководителей территориальных органов Федеральной службы по экологическому, технологическому и атомному надзору, начальники отделов и заместители начальников отделов в территориальном органе Федеральной службы по экологическому, технологическому и атомному надзору, в ведении которых находятся вопросы государственного надзора;

з) федеральные государственные гражданские служащие категории "специалисты" ведущей группы должностей в территориальных органах Федеральной службы по экологическому, технологическому и атомному надзору, в ведении которых находятся вопросы государственного надзора;

и) федеральные государственные гражданские служащие категории "специалисты" старшей группы должностей в территориальных органах Федеральной службы по экологическому, технологическому и атомному надзору, в ведении которых находятся вопросы государственного надзора.

10. При осуществлении государственного надзора проводятся следующие виды контрольных (надзорных) мероприятий:

выездная проверка;

документарная проверка.

Срок проведения выездной проверки не может превышать 10 рабочих дней.

11. В ходе выездных проверок могут совершаться следующие контрольные (надзорные) действия:

осмотр;

опрос;

получение письменных объяснений;

истребование документов;

инструментальное обследование;

экспертиза;

эксперимент.

12. В ходе документарных проверок могут совершаться следующие контрольные (надзорные) действия:

получение письменных объяснений;

истребование документов.

13. К отношениям, связанным с осуществлением государственного надзора, применяются положения, установленные Федеральным законом "О государственном контроле (надзоре) и муниципальном контроле в Российской Федерации".

14. Должностные лица, осуществляющие государственный надзор, при проведении проверок соблюдают ограничения и выполняют обязанности, установленные Федеральным законом "О государственном контроле (надзоре) и муниципальном контроле в Российской Федерации", а также несут ответственность за неисполнение или ненадлежащее исполнение возложенных на них полномочий в соответствии с законодательством Российской Федерации.

Должностные лица, осуществляющие государственный надзор, при проведении проверок имеют право:

беспрепятственно по предъявлении служебного удостоверения и копии приказа (распоряжения) органа государственного надзора о проведении проверки посещать территории, здания, помещения, сооружения, расположенные в том числе в границах охранных зон объектов электроэнергетики, а также территории, здания, помещения, сооружения объектов теплоснабжения теплоснабжающих и теплосетевых организаций;

привлекать в установленном законодательством Российской Федерации порядке экспертов, экспертные организации к проведению мероприятий по контролю.

15. При осуществлении государственного надзора могут проводиться следующие виды профилактических мероприятий:

информирование;

обобщение правоприменительной практики;

объявление предостережений.

16. В случае необходимости проведения экспертной оценки технического состояния объектов электроэнергетики, оборудования и устройств при проведении органом государственного надзора контрольного (надзорного) мероприятия приостановление эксплуатации и ввод в работу указанных объектов, оборудования и устройств осуществляются с соблюдением требований Правил оперативно-диспетчерского управления в электроэнергетике, утвержденных постановлением Правительства Российской Федерации от 27 декабря 2004 г. N 854 "Об утверждении Правил оперативно-диспетчерского управления в электроэнергетике", Правил вывода объекта электроэнергетики в ремонт и из эксплуатации, утвержденных постановлением Правительства Российской Федерации от 30 января 2021 г. N 86 "Об утверждении Правил вывода объектов электроэнергетики в ремонт и из эксплуатации, а также о внесении изменений в некоторые акты Правительства Российской Федерации по вопросу совершенствования порядка вывода объектов электроэнергетики в ремонт и из эксплуатации".

17. В целях применения при осуществлении государственного надзора системы управления рисками причинения вреда (ущерба) объекты государственного надзора подлежат отнесению к одной из категорий риска:

категория высокого риска;

категория значительного риска;

категория среднего риска;

категория умеренного риска;

категория низкого риска.

Отнесение объекта государственного надзора к определенной категории риска осуществляется в соответствии с критериями отнесения объектов государственного надзора к определенной категории риска согласно приложению.

18. Проведение плановых выездных или документарных проверок субъектов электроэнергетики, теплоснабжающих организаций, теплосетевых организаций и потребителей электрической энергии в зависимости от присвоенной соответствующим объектам государственного надзора категории риска осуществляется со следующей периодичностью:

для категории высокого риска - не более одного раза в 2 года;

для категории значительного риска - не более одного раза в 3 года;

для категории среднего риска - не более одного раза в 4 года;

для категории умеренного риска - не более одного раза в 5 лет.

Плановые выездные или документарные проверки субъектов электроэнергетики, теплоснабжающих организаций, теплосетевых организаций и потребителей электрической энергии, соответствующие объекты государственного надзора которых отнесены к категории низкого риска, не проводятся.

19. Должностными лицами, уполномоченными на принятие решений о проведении контрольных (надзорных) мероприятий в рамках государственного надзора, являются:

руководитель, заместители руководителя Федеральной службы по экологическому, технологическому и атомному надзору;

руководители, заместители руководителей территориальных органов Федеральной службы по экологическому, технологическому и атомному надзору.

20. Индивидуальный предприниматель, в отношении которого назначено (запланировано) проведение контрольного (надзорного) мероприятия, вправе представить в Федеральную службу по экологическому, технологическому и атомному надзору или ее территориальный орган информацию о невозможности присутствия при проведении контрольного (надзорного) мероприятия в случае наступления обстоятельств непреодолимой силы, препятствующих присутствию лица при проведении контрольного (надзорного) мероприятия (военные действия, катастрофа, стихийное бедствие, крупная авария, эпидемия и другие чрезвычайные обстоятельства, болезнь индивидуального предпринимателя и его близких родственников, его участие в судебном процессе или исполнении судебных решений, нахождение в отпуске), в связи с чем проведение контрольного (надзорного) мероприятия переносится органом государственного надзора на срок, необходимый для устранения указанных обстоятельств.

21. При проведении выездных и документарных проверок должностными лицами, уполномоченными на проведение проверки, для фиксации доказательств нарушений обязательных требований могут использоваться фотосъемка, аудио- и видеозапись.

Решение об использовании фотосъемки, аудио- и видеозаписи для фиксации доказательств нарушения обязательных требований при проведении выездных и документарных проверок принимается должностными лицами, уполномоченными на проведение проверки, самостоятельно.

При осуществлении видеозаписи на ней фиксируются дата, время и место ее проведения, а также характеристика выявленных нарушений.

Фотографии, аудио- и видеозаписи, используемые для фиксации доказательств, должны позволять однозначно идентифицировать объект фиксации, отражающий нарушение обязательных требований. Фотографии, аудио- и видеозаписи, используемые для доказательств нарушений обязательных требований, прикладываются к акту контрольного (надзорного) мероприятия.

22. Отнесение объектов государственного надзора к определенной категории риска осуществляется:

а) по решению руководителя Федеральной службы по экологическому, технологическому и атомному надзору (его заместителя) - для категорий высокого и значительного риска;

б) по решению руководителей территориальных органов Федеральной службы по экологическому, технологическому и атомному надзору по месту нахождения объектов электроэнергетики, объектов теплоснабжения и энергопринимающих установок, используемых (эксплуатируемых) субъектами электроэнергетики, теплоснабжающими организациями, теплосетевыми организациями и потребителями электрической энергии, - для категорий среднего, умеренного и низкого риска.

23. При наличии объектов электроэнергетики, объектов теплоснабжения и энергопринимающих установок, используемых (эксплуатируемых) субъектами электроэнергетики, теплоснабжающими организациями, теплосетевыми организациями и потребителями электрической энергии на территории двух и более субъектов Российской Федерации, отнесение деятельности субъектов электроэнергетики, теплоснабжающих организаций, теплосетевых организаций и потребителей электрической энергии к определенной категории риска осуществляется по решению руководителя органа государственного надзора (его заместителя).

24. В случае пересмотра решения об отнесении объекта государственного надзора к одной из категорий риска решение об изменении категории риска на более высокую категорию принимается должностным лицом, уполномоченным на принятие решения об отнесении объекта государственного надзора к соответствующей категории риска.

Решение об изменении категории риска на более низкую категорию принимается должностным лицом, которым ранее было принято решение об отнесении к категории риска, с направлением указанного решения, а также документов и сведений, на основании которых оно было принято, должностному лицу, уполномоченному на принятие решения об отнесении к соответствующей категории риска.

При отсутствии решения об отнесении объекта государственного надзора к определенной категории риска объект государственного надзора считается отнесенным к категории низкого риска.

25. В целях учета объектов государственного надзора орган государственного надзора ведет перечни субъектов электроэнергетики, теплоснабжающих организаций, теплосетевых организаций и потребителей электрической энергии, объектам государственного надзора которых присвоены категории риска. Включение в указанные перечни осуществляется на основании решений уполномоченных должностных лиц об отнесении объектов государственного надзора субъектов электроэнергетики, теплоснабжающих организаций, теплосетевых организаций и потребителей электрической энергии к соответствующим категориям риска. На официальном сайте центрального аппарата органа государственного надзора в информационно-телекоммуникационной сети "Интернет" (далее - сеть "Интернет") размещается информация о субъектах электроэнергетики, теплоснабжающих организациях, теплосетевых организациях и потребителях электрической энергии, объекты государственного надзора которых отнесены к категории высокого и значительного риска, на сайтах территориальных органов государственного надзора в сети "Интернет" размещается информация о субъектах электроэнергетики, теплоснабжающих организациях, теплосетевых организациях и потребителях электрической энергии, объекты государственного надзора которых отнесены к категории среднего и умеренного риска.

26. Субъекты электроэнергетики, теплоснабжающие организации, теплосетевые организации или потребители электрической энергии вправе подать в орган государственного надзора по месту осуществления деятельности субъекта электроэнергетики, теплоснабжающей организации, теплосетевой организации или потребителя электрической энергии заявление об изменении присвоенной ранее их объектам государственного надзора категории риска.

27. Информирование по вопросу осуществления государственного надзора осуществляется в порядке, установленном Федеральным законом "О государственном контроле (надзоре) и муниципальном контроле в Российской Федерации".

28. Доклад по итогам обобщения правоприменительной практики по осуществлению государственного надзора готовится один раз в год и размещается на официальном сайте Федеральной службы по экологическому, технологическому и атомному надзору в сети "Интернет" в срок до 1 апреля года, следующего за отчетным.

29. При наличии сведений о готовящихся нарушениях обязательных требований, а также о признаках нарушений обязательных требований Федеральная служба по экологическому, технологическому и атомному надзору (ее территориальный орган) объявляет юридическому лицу, индивидуальному предпринимателю, эксплуатирующим объекты электроэнергетики, объекты теплоснабжения и энергопринимающие установки, предостережение о недопустимости нарушения обязательных требований с предложением принять меры по обеспечению соблюдения обязательных требований.

30. Юридические лица, индивидуальные предприниматели по результатам рассмотрения предостережения могут подать в Федеральную службу по экологическому, технологическому и атомному надзору (ее территориальный орган) возражения, в которых указываются:

а) наименование юридического лица, фамилия, имя, отчество (при наличии) индивидуального предпринимателя;

б) идентификационный номер налогоплательщика - юридического лица, индивидуального предпринимателя;

в) дата и номер предостережения, направленного в адрес юридического лица, индивидуального предпринимателя;

г) обоснование позиции в отношении указанных в предостережении действий (бездействия) юридического лица, индивидуального предпринимателя, которые приводят или могут привести к нарушению обязательных требований.

31. Возражения направляются не позднее 3 рабочих дней с момента получения предостережения юридическим лицом, индивидуальным предпринимателем в бумажном виде почтовым отправлением в Федеральную службу по экологическому, технологическому и атомному надзору (ее территориальный орган) либо в виде электронного документа, подписанного в соответствии с требованиями статьи 21 Федерального закона "О государственном контроле (надзоре) и муниципальном контроле в Российской Федерации", на указанный в предостережении адрес электронной почты либо иными указанными в предостережении способами.

32. Орган государственного надзора рассматривает возражения, по итогам рассмотрения направляет юридическому лицу, индивидуальному предпринимателю в течение 20 рабочих дней со дня получения возражений ответ.

33. Действия (бездействие) должностных лиц органа государственного надзора, решения, принятые ими в ходе осуществления государственного надзора, могут быть обжалованы в досудебном порядке в соответствии с положениями Федерального закона "О государственном контроле (надзоре) и муниципальном контроле в Российской Федерации".

34. Жалоба на решения, действия (бездействие) должностных лиц территориального органа Федеральной службы по экологическому, технологическому и атомному надзору рассматривается руководителем, заместителем руководителя этого территориального органа.

35. Жалоба на решения, действия (бездействие) заместителя руководителя территориального органа Федеральной службы по экологическому, технологическому и атомному надзору рассматривается руководителем этого территориального органа.

36. Жалоба на решения, действия (бездействие) руководителя территориального органа Федеральной службы по экологическому, технологическому и атомному надзору рассматривается руководителем Федеральной службы по экологическому, технологическому и атомному надзору или уполномоченным заместителем руководителя.

37. Жалоба на решения, действия (бездействие) должностных лиц центрального аппарата Федеральной службы по экологическому, технологическому и атомному надзору рассматривается руководителем Федеральной службы по экологическому, технологическому и атомному надзору.

38. Основа системы оценки результативности и эффективности осуществления государственного надзора определяется статьей 30 Федерального закона "О государственном контроле (надзоре) и муниципальном контроле в Российской Федерации".

39. Ключевыми показателями эффективности осуществления государственного надзора являются:

а) снижение количества аварий, расследуемых органом государственного надзора, произошедших на используемых (эксплуатируемых) объектах электроэнергетики, объектах теплоснабжения и энергопринимающих установках;

б) снижение количества случаев со смертельным исходом в результате аварий, произошедших на используемых (эксплуатируемых) объектах электроэнергетики, объектах теплоснабжения и энергопринимающих установках.

40. Ключевой показатель эффективности государственного надзора, указанный в подпункте "а" пункта 39 настоящего Положения () (в процентах), определяется по формуле:

,

где:

- количество аварий, произошедших на используемых (эксплуатируемых) объектах электроэнергетики, объектах теплоснабжения и энергопринимающих установках, поднадзорных Федеральной службе по экологическому, технологическому и атомному надзору, за отчетный год;

- среднегодовое количество аварий, произошедших на используемых (эксплуатируемых) объектах электроэнергетики, объектах теплоснабжения и энергопринимающих установках.

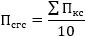
41. Среднегодовое количество аварий, произошедших на используемых (эксплуатируемых) объектах электроэнергетики, объектах теплоснабжения и энергопринимающих установках (), определяется по формуле:

,

где - общее количество аварий, произошедших на используемых (эксплуатируемых) объектах электроэнергетики, объектах теплоснабжения и энергопринимающих установках за 10-летний период, предшествующий отчетному году.

42. Сбор данных о количестве аварий, произошедших на используемых (эксплуатируемых) объектах электроэнергетики, объектах теплоснабжения и энергопринимающих установках, осуществляется Федеральной службой по экологическому, технологическому и атомному надзору на основании материалов технического расследования причин аварий, произошедших на указанных объектах.

43. Значение ключевого показателя эффективности государственного надзора, указанного в подпункте "а" пункта 39 настоящего Положения, превышающее нулевое значение, свидетельствует о положительной динамике снижения количества аварий, произошедших на опасных производственных объектах, за отчетный год.

44. Ключевой показатель эффективности государственного надзора, указанный в подпункте "б" пункта 39 настоящего Положения () (в процентах), определяется по формуле:

,

где:

- количество случаев со смертельным исходом в результате аварий, произошедших на используемых (эксплуатируемых) объектах электроэнергетики, объектах теплоснабжения и энергопринимающих установках, за отчетный год;

- среднегодовое количество случаев со смертельным исходом в результате аварий, произошедших на используемых (эксплуатируемых) объектах электроэнергетики, объектах теплоснабжения и энергопринимающих установках.

45. Среднегодовое количество случаев со смертельным исходом в результате аварий, произошедших на используемых (эксплуатируемых) объектах электроэнергетики, объектах теплоснабжения и энергопринимающих установках (), определяется по формуле:

,

где - общее количество случаев со смертельным исходом в результате аварий, произошедших на используемых (эксплуатируемых) объектах электроэнергетики, объектах теплоснабжения и энергопринимающих установках за 10-летний период, предшествующий отчетному году.

46. Сбор данных о количестве случаев со смертельным исходом в результате аварий, произошедших на используемых (эксплуатируемых) объектах электроэнергетики, объектах теплоснабжения и энергопринимающих установках, осуществляется Федеральной службой по экологическому, технологическому и атомному надзору на основании актов о несчастных случаях на производстве, оформленных в соответствии с трудовым законодательством.

47. Значение ключевого показателя эффективности государственного надзора, указанного в подпункте "б" пункта 39 настоящего Положения, превышающее нулевое значение, свидетельствует о положительной динамике снижения количества случаев со смертельным исходом в результате аварий, произошедших на опасных производственных объектах, за отчетный год.

48. Анализ ключевых показателей эффективности государственного надзора осуществляется в докладе о государственном надзоре, подготавливаемом по итогам календарного года.

Пункты 38 - 48 Положения действуют с 01.03.2022 (пункт 5).

Приложение
к Положению о федеральном
государственном энергетическом надзоре

КРИТЕРИИ ОТНЕСЕНИЯ ОБЪЕКТОВ ФЕДЕРАЛЬНОГО ГОСУДАРСТВЕННОГО ЭНЕРГЕТИЧЕСКОГО НАДЗОРА К ОПРЕДЕЛЕННОЙ КАТЕГОРИИ РИСКА

1. При осуществлении федерального государственного энергетического надзора отнесение объектов федерального государственного энергетического надзора к определенной категории риска осуществляется с учетом тяжести потенциальных негативных последствий возможного несоблюдения требований, предусмотренных статьей 29.1 Федерального закона "Об электроэнергетике", и требований, предусмотренных статьей 4.1 Федерального закона "О теплоснабжении" (далее - обязательные требования), в соответствии с пунктами 2 - 9 настоящего документа и с учетом оценки вероятности несоблюдения обязательных требований в соответствии с пунктами 10 - 12 настоящего документа.

В случае если объект федерального государственного энергетического надзора может быть отнесен к разным категориям риска в соответствии с настоящими критериями, то присваивается наиболее высокая категория риска.

2. С учетом тяжести потенциальных негативных последствий возможного несоблюдения обязательных требований деятельность субъектов электроэнергетики, теплоснабжающих организаций, теплосетевых организаций и потребителей электрической энергии в зависимости от установленной и (или) передаваемой в соответствии с проектной документацией мощности используемых (эксплуатируемых) объектов электроэнергетики, объектов теплоснабжения и энергопринимающих установок относится к следующим категориям риска:

а) категория высокого риска:

электрические станции установленной мощностью от 500 МВт включительно и выше;

объекты электросетевого хозяйства пропускной способностью электрической сети от 500 МВт включительно и выше;

электроустановки потребителей максимальной мощностью от 500 МВт включительно и выше;

объекты теплоснабжения установленной мощностью 200 МВт включительно и выше;

тепловые сети диаметра 600 мм включительно и выше.

б) категория значительного риска:

электрические станции установленной мощностью от 150 МВт включительно до 500 МВт;

объекты электросетевого хозяйства пропускной способностью электрической сети от 100 МВт включительно до 500 МВт;

электроустановки потребителей максимальной мощностью от 100 МВт включительно до 500 МВт;

объекты теплоснабжения установленной мощностью от 100 МВт включительно до 200 МВт;

тепловые сети диаметра от 400 мм включительно до 600 мм.

в) категория среднего риска:

электрические станции установленной мощностью от 50 МВт включительно до 150 МВт;

объекты электросетевого хозяйства пропускной способностью электрической сети от 5 МВт включительно до 100 МВт;

электроустановки потребителей максимальной мощностью от 5 МВт включительно до 100 МВт;

объекты теплоснабжения установленной мощностью от 20 МВт включительно до 100 МВт;

тепловые сети диаметра от 300 мм включительно до 400 мм.

г) категория умеренного риска:

электрические станции установленной мощностью от 1 МВт включительно до 50 МВт;

объекты электросетевого хозяйства пропускной способностью электрической сети от 0,15 МВт включительно до 5 МВт;

электроустановки потребителей максимальной мощностью от 0,15 МВт включительно до 5 МВт;

объекты теплоснабжения установленной мощностью от 3 МВт включительно до 20 МВт;

тепловые сети диаметра от 200 мм включительно до 300 мм.

д) категория низкого риска:

электрические станции установленной мощностью менее 1 МВт;

объекты электросетевого хозяйства пропускной способностью электрической сети менее 0,15 МВт;

электроустановки потребителей 1 и 2 категорий надежности электроснабжения максимальной мощностью менее 0,15 МВт;

объекты теплоснабжения установленной мощностью до 3 МВт;

тепловые сети диаметра менее 200 мм.

3. Деятельность субъектов оперативно-диспетчерского управления в электроэнергетике относится к категории среднего риска.

4. Ветроэлектрические, фотоэлектрические станции установленной мощностью 50 МВт и более относятся к умеренной категории риска.

5. В случае если субъект электроэнергетики, теплоснабжающая организация, теплосетевая организация эксплуатируют объекты разной мощности или пропускной способности электрической сети, то деятельности указанных юридических лиц и индивидуальных предпринимателей присваивается наиболее высокая категория риска согласно мощности эксплуатируемых объектов или пропускной способности электрической сети, отвечающим наиболее высокой категории риска.

6. Деятельности юридического лица и (или) индивидуального предпринимателя, эксплуатирующего энергоустановки потребителей электрической энергии присваивается категория риска исходя из максимальной мощности эксплуатируемых энергопринимающих установок, установленной в соответствии с договорами технологического присоединения к электрическим сетям, отвечающей наиболее высокой категории риска.

7. В случае если потребитель электрической энергии отнесен к категории потребителей, ограничение режима потребления электрической энергии которых может привести к экономическим, экологическим или социальным последствиям, его деятельности присваивается значительная категория риска.

8. В случае если потребителем электрической энергии эксплуатируются объекты, на которых возможно одновременное пребывание более 5 тыс. человек, его деятельности присваивается высокая категория риска.

9. В случае если используемый (эксплуатируемый) объект электроэнергетики и (или) объект теплоснабжения являются единственным источником электрической и (или) тепловой энергии в системе энерго- и теплоснабжения, деятельности юридического лица и индивидуального предпринимателя, эксплуатирующих этот объект, присваивается более высокая категория риска.

10. С учетом оценки вероятности несоблюдения обязательных требований:

а) деятельность субъектов электроэнергетики, подлежащая отнесению согласно пунктам 2 и 5 настоящего документа к категориям высокого, значительного, среднего и умеренного риска, подлежит пересмотру в части отнесения к категориям соответственно значительного, среднего, умеренного и низкого риска при соблюдении следующих условий:

отсутствие в течение периода, указанного в пункте 18 Положения о федеральном государственном энергетическом надзоре, утвержденного постановлением Правительства Российской Федерации от 30 июня 2021 г. N 1085 "О федеральном государственном энергетическом надзоре" (далее - Положение), для соответствующей категории риска, предшествующего дню присвоения в установленном порядке определенной категории риска, вступившего в законную силу судебного акта или постановления о назначении наказания юридическому лицу, индивидуальному предпринимателю, их должностным лицам и иным работникам за нарушение обязательных требований, повлекшее возникновение аварии, расследуемой Федеральной службой по экологическому, технологическому и атомному надзору и ее территориальными органами (далее - орган государственного надзора), или несчастного случая со смертельным исходом;

отсутствие в течение периода, указанного в пункте 18 Положения для соответствующей категории риска, предшествующего дню присвоения в установленном порядке определенной категории риска, вступивших в законную силу постановлений о привлечении к административной ответственности за совершение административных правонарушений, предусмотренных статьями 9.7 - 9.9, 9.11 и 9.18 Кодекса Российской Федерации об административных правонарушениях;

отсутствие в течение периода, указанного в пункте 18 Положения для соответствующей категории риска, предшествующего дню присвоения в установленном порядке определенной категории риска, снижения среднемесячного значения индекса готовности к работе субъекта, определяемого в соответствии с Правилами оценки готовности субъектов электроэнергетики к работе в отопительный сезон, утвержденными постановлением Правительства Российской Федерации от 10 мая 2017 г. N 543 "О порядке оценки готовности субъектов электроэнергетики к работе в отопительный сезон", ниже 0,95;

б) деятельность теплоснабжающих организаций, теплосетевых организаций и потребителей электрической энергии, подлежащая отнесению в соответствии с пунктами 2 и 5 - 9 настоящего документа к категориям высокого, значительного, среднего и умеренного риска, подлежит пересмотру в части отнесения к категориям соответственно значительного, среднего, умеренного и низкого риска при соблюдении следующих условий:

отсутствие в течение периода, указанного в пункте 18 Положения для соответствующей категории риска, предшествующего дню присвоения в установленном порядке определенной категории риска, вступившего в законную силу судебного акта или постановления о назначении наказания юридическому лицу, индивидуальному предпринимателю, их должностным лицам и иным работникам за нарушение обязательных требований, повлекшее возникновение аварии, расследуемой органом государственного надзора, или несчастного случая со смертельным исходом;

отсутствие в течение периода, указанного в пункте 18 Положения для соответствующей категории риска, вступивших в законную силу постановлений о привлечении к административной ответственности за совершение административных правонарушений, предусмотренных статьями 9.9 - 9.11 Кодекса Российской Федерации об административных правонарушениях;

отсутствие в течение периода, указанного в пункте 18 Положения для соответствующей категории риска, предшествующего дню присвоения в установленном порядке определенной категории риска, снижения среднемесячного значения индекса готовности к работе субъекта, определяемого в соответствии с Правилами оценки готовности субъектов электроэнергетики к работе в отопительный сезон, утвержденными постановлением Правительства Российской Федерации от 10 мая 2017 г. N 543 "О порядке оценки готовности субъектов электроэнергетики к работе в отопительный сезон", ниже 0,95;

в) деятельность субъектов электроэнергетики, теплоснабжающих организаций, теплосетевых организаций и потребителей электрической энергии, подлежащая отнесению в соответствии с пунктами 2 и 5 - 9 настоящего документа к категориям значительного, среднего, умеренного и низкого риска, подлежит отнесению к категориям соответственно высокого, значительного, среднего и умеренного риска в случае возникновения одного из следующих оснований:

наличие в течение периода, указанного в пункте 18 Положения для соответствующей категории риска, предшествующего дню присвоения в установленном порядке определенной категории риска, вступившего в законную силу судебного акта или постановления о привлечении к уголовной и (или) административной ответственности юридических лиц, индивидуальных предпринимателей, их должностных лиц и иных работников за нарушение обязательных требований, повлекшее возникновение аварии, расследуемой органом государственного надзора, или несчастного случая со смертельным исходом;

наличие в течение периода, указанного в пункте 18 Положения для соответствующей категории риска, предшествующего дню присвоения в установленном порядке определенной категории риска, вступившего в законную силу постановления о привлечении к административной ответственности за совершение административного правонарушения, предусмотренного частью 1 статьи 19.5 Кодекса Российской Федерации об административных правонарушениях;

наличие в течение периода, указанного в пункте 18 Положения для соответствующей категории риска, предшествующего дню присвоения в установленном порядке определенной категории риска, снижения среднемесячного значения индекса готовности к работе субъекта, определяемого в соответствии с Правилами оценки готовности субъектов электроэнергетики к работе в отопительный сезон, утвержденными постановлением Правительства Российской Федерации от 10 мая 2017 г. N 543 "О порядке оценки готовности субъектов электроэнергетики к работе в отопительный сезон", ниже 0,95.

11. Для субъектов электроэнергетики, теплоснабжающих организаций, теплосетевых организаций и потребителей электрической энергии, деятельность которых отнесена к категории низкого риска, в случаях, предусмотренных подпунктом "в" пункта 10 настоящего документа, принимается период, указанный в пункте 18 Положения для категории умеренного риска.

12. С учетом оценки вероятности несоблюдения обязательных требований деятельность субъектов оперативно-диспетчерского управления в электроэнергетике:

а) подлежащая отнесению в соответствии с пунктом 3 настоящего документа к категории среднего риска, подлежит отнесению к категории значительного риска до проведения очередной плановой проверки в случае возникновения одного из следующих оснований:

наличие в течение периода, указанного в пункте 18 Положения для соответствующей категории риска, предшествующего дню присвоения в установленном порядке определенной категории риска, вступившего в законную силу судебного акта или постановления о привлечении к уголовной и (или) административной ответственности юридических лиц, индивидуальных предпринимателей, их должностных лиц и иных работников за нарушение обязательных требований, повлекшее возникновение аварии, расследуемой органом государственного надзора, или несчастного случая со смертельным исходом в связи с ошибкой субъекта оперативно-диспетчерского управления в электроэнергетике;

наличие в течение периода, указанного в пункте 18 Положения для соответствующей категории риска, предшествующего дню присвоения в установленном порядке определенной категории риска, вступившего в законную силу постановления о привлечении к административной ответственности за совершение административного правонарушения, предусмотренного частью 1 статьи 19.5 Кодекса Российской Федерации об административных правонарушениях;

б) подлежащая отнесению к категориям значительного и среднего риска, подлежит отнесению к категориям соответственно среднего и умеренного риска в случае возникновения следующих условий:

отсутствие в течение периода, указанного в пункте 18 Положения для соответствующей категории риска, предшествующего дню присвоения в установленном порядке определенной категории риска, вступившего в законную силу судебного акта или постановления о назначении наказания юридическому лицу, индивидуальному предпринимателю, их должностным лицам и иным работникам за нарушение обязательных требований, повлекшее возникновение аварии, расследуемой органом государственного надзора, или несчастного случая со смертельным исходом в связи с ошибкой субъекта оперативно-диспетчерского управления в электроэнергетике;

отсутствие в течение периода, указанного в пункте 18 Положения для соответствующей категории риска, предшествующего дню присвоения в установленном порядке определенной категории риска, вступившего в законную силу постановления о привлечении к административной ответственности за совершение административного правонарушения, предусмотренного статьей 9.11 Кодекса Российской Федерации об административных правонарушениях.