Постановление Правительства РФ от 24.07.2021 N 1252

"Об утверждении Правил предоставления из федерального бюджета субсидий российским организациям на финансовое обеспечение части затрат на создание электронной компонентной базы и модулей"
Редакция от 24.07.2021 — Не действует Перейти в действующую
Показать изменения

ПРАВИТЕЛЬСТВО РОССИЙСКОЙ ФЕДЕРАЦИИ

ПОСТАНОВЛЕНИЕ
от 24 июля 2021 г. N 1252

ОБ УТВЕРЖДЕНИИ ПРАВИЛ ПРЕДОСТАВЛЕНИЯ ИЗ ФЕДЕРАЛЬНОГО БЮДЖЕТА СУБСИДИЙ РОССИЙСКИМ ОРГАНИЗАЦИЯМ НА ФИНАНСОВОЕ ОБЕСПЕЧЕНИЕ ЧАСТИ ЗАТРАТ НА СОЗДАНИЕ ЭЛЕКТРОННОЙ КОМПОНЕНТНОЙ БАЗЫ И МОДУЛЕЙ

Правительство Российской Федерации постановляет:

Утвердить прилагаемые Правила предоставления из федерального бюджета субсидий российским организациям на финансовое обеспечение части затрат на создание электронной компонентной базы и модулей.

Председатель Правительства
Российской Федерации
М. МИШУСТИН

УТВЕРЖДЕНЫ
постановлением Правительства
Российской Федерации
от 24 июля 2021 г. N 1252

ПРАВИЛА ПРЕДОСТАВЛЕНИЯ ИЗ ФЕДЕРАЛЬНОГО БЮДЖЕТА СУБСИДИЙ РОССИЙСКИМ ОРГАНИЗАЦИЯМ НА ФИНАНСОВОЕ ОБЕСПЕЧЕНИЕ ЧАСТИ ЗАТРАТ НА СОЗДАНИЕ ЭЛЕКТРОННОЙ КОМПОНЕНТНОЙ БАЗЫ И МОДУЛЕЙ

1. Настоящие Правила устанавливают цели, условия и порядок предоставления из федерального бюджета субсидий российским организациям на финансовое обеспечение части затрат на создание электронной компонентной базы и модулей (далее - субсидии).

Субсидии предоставляются в рамках государственной программы Российской Федерации "Развитие электронной и радиоэлектронной промышленности" в целях стимулирования деятельности организаций электронной и радиоэлектронной промышленности, специализирующихся на разработке и производстве электронных компонентов и модулей на их основе гражданского применения (далее соответственно - государственная программа, организации, продукция), и, как следствие, достижения показателя, установленного государственной программой, - увеличение объема отгруженной продукции радиоэлектронной промышленности, произведенной на территории Российской Федерации.

2. Понятия, используемые в настоящих Правилах, означают следующее:

"высокотехнологичное рабочее место" - рабочее место, созданное организацией в рамках реализации комплексного проекта и соответствующее следующим критериям:

оснащение технологическим оборудованием, и (или) специализированными средствами проектирования, и (или) высокопроизводительными системами вычислений;

наличие трудовых отношений с работником, занятым на данном рабочем месте и имеющим профильное образование, заработная плата которого превышает величину средней заработной платы в соответствующем субъекте Российской Федерации согласно данным Федеральной службы государственной статистики за предыдущий финансовый год;

стоимость создания нового рабочего места или модернизации старого рабочего места составляет не менее 0,5 млн. рублей;

"комплексный проект" - комплекс взаимосвязанных мероприятий по созданию продукции, ограниченный по времени и ресурсам, включающий:

выполнение научно-исследовательских, опытно-конструкторских и технологических работ по созданию продукции;

организацию серийного выпуска продукции, в том числе создание инфраструктуры;

последующую коммерциализацию произведенной продукции;

"модуль" - совокупность электрически соединенных электронных компонентов, образующих функционально и конструктивно законченную сборочную единицу, предназначенную для реализации функций приема, и (или) преобразования, и (или) хранения, и (или) передачи информации, и (или) формирования (преобразования) энергии;

"модуль на основе разработанных электронных компонент" - модуль, один или несколько функциональных электронных компонентов которого разработаны в рамках комплексного проекта и (или) включены в единый реестр российской радиоэлектронной продукции в соответствии с постановлением Правительства Российской Федерации от 10 июля 2019 г. N 878 "О мерах стимулирования производства радиоэлектронной продукции на территории Российской Федерации при осуществлении закупок товаров, работ, услуг для обеспечения государственных и муниципальных нужд, о внесении изменений в постановление Правительства Российской Федерации от 16 сентября 2016 г. N 925 и признании утратившими силу некоторых актов Правительства Российской Федерации" (далее - реестр российской радиоэлектронной продукции);

"общая стоимость комплексного проекта" - общий объем планируемых затрат организации на реализацию комплексного проекта согласно плану-графику финансового обеспечения реализации комплексного проекта в соответствии с расходами, указанными в пунктах 8 и 10 настоящих Правил;

"организация" - юридическое лицо, образованное в соответствии с законодательством Российской Федерации, информация о котором размещена в открытом доступе в государственной информационной системе промышленности в информационно-телекоммуникационной сети "Интернет" (далее - сеть "Интернет");

"период реализации комплексного проекта" - период реализации комплексного проекта в соответствии с планом-графиком финансового обеспечения реализации комплексного проекта, определяющим объем планируемых затрат организации на реализацию комплексного проекта и порядок их финансового обеспечения за счет средств субсидии, а также собственных и (или) заемных средств (далее - план-график финансового обеспечения реализации комплексного проекта), равный 12 месяцам (с 1 октября по 30 сентября);

"продукция" - электронные компоненты и (или) модули на их основе с техническими характеристиками, заявленными организацией в составе заявки на участие в отборе на право получения субсидии (далее - заявка);

"электронная компонентная база" - электрорадиоизделия, электронные модули нулевого уровня, представляющие собой совокупность электрически соединенных электрорадиоизделий, образующих функционально и конструктивно законченные сборочные единицы, предназначенные для реализации функций приема, обработки, преобразования, хранения и (или) передачи информации или формирования (преобразования) энергии, выполненные на основе несущих конструкций и обладающие свойствами конструктивной и функциональной взаимозаменяемости;

"электронные компоненты" - изделия электронной техники, квантовой электроники и (или) электротехнические изделия, представляющие собой деталь, сборочную единицу или их совокупность, обладающие конструктивной целостностью, принцип действия которых основан на электрофизических, электрохимических, электромеханических, фотоэлектронных и (или) электронно-оптических процессах и явлениях, не подлежащие восстановлению и ремонту, не подвергаемые изменениям в процессе применения при создании радиоэлектронных компонентов и устройств и изготавливаемые по самостоятельным комплектам конструкторской и технологической документации (соответствуют коду 26.1 "Компоненты электронные и платы" Общероссийского классификатора продукции по видам экономической деятельности (ОК 034-2014 (КПЕС 2008).

3. Сведения о субсидиях в установленном порядке размещаются на едином портале бюджетной системы Российской Федерации в сети "Интернет" (далее - единый портал) в разделе "Бюджет" при формировании проекта федерального закона о федеральном бюджете (проекта федерального закона о внесении изменений в федеральный закон о федеральном бюджете).

4. Отбор организаций для получения субсидии осуществляется путем проведения конкурса исходя из наилучших условий достижения результата предоставления субсидии и показателей, необходимых для достижения результата предоставления субсидии в рамках комплексного проекта (далее - отбор).

Результатом предоставления субсидии является достижение на дату окончания реализации комплексного проекта объема производства и реализации продукции, созданной в рамках комплексного проекта, превышающего:

в случае создания электронных компонентов - не менее 0,5 размера субсидии;

в случае создания модулей на основе электронных компонентов - размера субсидии.

Показателями, необходимыми для достижения результата предоставления субсидии в рамках комплексного проекта, являются:

количество вновь создаваемых и (или) модернизируемых высокотехнологичных рабочих мест;

количество создаваемых результатов интеллектуальной деятельности, охраняемых патентами или иными охранными документами и (или) охраняемых в качестве секретов производства (ноу-хау);

объем экспорта продукции, созданной в рамках реализации комплексного проекта, если организация планирует осуществлять экспорт в рамках реализации комплексного проекта.

Значения результата предоставления субсидии и показателей, необходимых для достижения результата предоставления субсидии в рамках комплексного проекта (за исключением значения объема экспорта продукции, созданной в рамках реализации комплексного проекта) должны быть отличны от нуля на конец срока реализации комплексного проекта.

Предоставление субсидий осуществляется с учетом положений Протокола о единых правилах предоставления промышленных субсидий, являющегося приложением N 28 к Договору о Евразийском экономическом союзе от 29 мая 2014 г.

5. Субсидии предоставляются организациям, прошедшим отбор, на финансовое обеспечение их затрат, осуществленных в рамках реализации комплексного проекта в соответствии с пунктом 8 настоящих Правил.

Создание продукции и подготовка ее серийного выпуска должны быть завершены в срок, не превышающий 5 лет. Срок реализации комплексного проекта составляет не более 7 лет.

6. Общая стоимость комплексного проекта должна составлять не менее 50 млн. рублей, при этом максимальный ежегодный размер субсидии, предоставляемой организации по одному комплексному проекту, составляет не более 1500 млн. рублей.

7. Объем внебюджетных средств, привлекаемых организацией по комплексному проекту в течение срока его реализации, не может составлять менее 10 процентов общей стоимости комплексного проекта. Указанные внебюджетные средства должны привлекаться на финансовое обеспечение затрат, возникших в рамках соответствующего периода реализации комплексного проекта.

8. Субсидируемые затраты организаций на создание продукции и организацию ее серийного производства включают в себя следующие расходы, непосредственно связанные с реализацией комплексного проекта:

а) расходы на оплату труда работников, непосредственно занятых реализацией комплексного проекта, а также расходы на обязательное пенсионное страхование, обязательное социальное страхование на случай временной нетрудоспособности и в связи с материнством, обязательное медицинское страхование, обязательное социальное страхование от несчастных случаев на производстве и профессиональных заболеваний, начисленные на указанные суммы расходов на оплату труда;

б) накладные расходы в размере не более 200 процентов суммы расходов на оплату труда работников, непосредственно занятых реализацией комплексного проекта, в том числе:

расходы на оплату труда работников, входящих в состав административно-управленческого персонала организации, непосредственно связанных с планово-хозяйственной деятельностью организации, а также расходы на обязательное пенсионное страхование, обязательное социальное страхование на случай временной нетрудоспособности и в связи с материнством, обязательное медицинское страхование, обязательное социальное страхование от несчастных случаев на производстве и профессиональных заболеваний, начисленные на указанные суммы расходов на оплату труда;

расходы на аренду имущества (зданий, строений и сооружений, движимого имущества), а также расходы по оплате услуг по его содержанию (обслуживание и ремонт) и коммунальных услуг;

расходы на оснащение и обслуживание вновь создаваемых и (или) модернизируемых высокотехнологичных рабочих мест;

в) расходы по договорам на выполнение научно-исследовательских, опытно-конструкторских и технологических работ в размере не более 40 процентов общей стоимости комплексного проекта;

г) расходы на приобретение у российских и (или) иностранных организаций прав на результаты интеллектуальной деятельности, в том числе неисключительных лицензий, а также на техническую поддержку этих прав и лицензий;

д) расходы на обеспечение правовой охраны созданных в ходе выполнения научно-исследовательских, опытно-конструкторских и технологических работ результатов интеллектуальной деятельности (включая патентование), в том числе за рубежом;

е) расходы на изготовление фотошаблонов и технологической оснастки у российских и (или) иностранных организаций, а также на монтаж, наладку и иные мероприятия по их подготовке в целях организации серийного выпуска продукции;

ж) расходы на аренду (лизинг) российского и (или) импортного технологического оборудования (как нового, так и бывшего в употреблении) в размере, не превышающем 50 процентов общего объема таких затрат организации;

з) расходы на изготовление опытных образцов, в том числе их тестирование, упаковку, транспортировку и оплату применимых таможенных пошлин и сборов, а также на изготовление макетов и стендов, включая расходы на приобретение материалов и покупных комплектующих изделий;

и) расходы на изготовление первой партии серийной продукции и ее тестирование, сертификацию и (или) регистрацию, проведение испытаний, а также на упаковку, транспортировку и оплату применимых таможенных пошлин и сборов в размере не более 50 процентов общего объема таких затрат организации;

к) расходы на приобретение лицензий на системы автоматического проектирования, услуги центров коллективного пользования, предоставляющих доступ к системам автоматизированного проектирования.

9. Средства субсидии, израсходованные организацией на финансовое обеспечение затрат сверх предельных значений, предусмотренных в пункте 8 настоящих Правил, подлежат возврату в доход федерального бюджета в порядке, установленном бюджетным законодательством Российской Федерации, на основании соответствующего требования Министерства промышленности и торговли Российской Федерации - в течение 10 рабочих дней со дня получения организацией указанного требования.

10. Внебюджетные средства организации привлекаются на финансовое обеспечение субсидируемых затрат организаций, указанных в пункте 8 настоящих Правил, а также затрат, включающих в себя следующие расходы, непосредственно связанные с реализацией комплексного проекта:

а) расходы на капитальные вложения (в том числе строительство, реконструкцию, модернизацию зданий и сооружений, приобретение технологического оборудования и нематериальных активов);

б) расходы на охрану труда, противопожарные мероприятия, оплату охраны, а также услуг по хранению имущества;

в) расходы по оплате услуг связи, информационных и консультационных услуг;

г) расходы в размере не более 2 процентов общей стоимости комплексного проекта на внешнее (подготовка, переподготовка, обучение инженерного и производственного персонала) и внутреннее (подписка на периодические издания и исследования) обучение работников, направленное на повышение производительности труда;

д) расходы на продвижение продукции в размере не более 5 процентов общей стоимости комплексного проекта, включающие:

рекламу через средства массовой информации и другие, в том числе изготовление рекламных стендов;

участие в выставках, включая расходы на вступительные взносы, изготовление рекламных стендов, брошюр и каталогов, оформление витрин и демонстрационных комнат и другие;

участие в отраслевых ассоциациях и экспертных организациях;

распространение опытной и промышленной партий продукции среди потенциальных потребителей (не более 3 единиц продукции одному потребителю);

иные расходы, способствующие формированию и поддержанию осведомленности рынка о продукции;

е) расходы на приобретение акций (долей участия) в организациях, обладающих необходимым для реализации комплексного проекта комплексом объектов недвижимого имущества.

11. Отбор проводится конкурсной комиссией, образуемой Министерством промышленности и торговли Российской Федерации, в целях определения победителей отбора.

Отбор проводится при наличии лимитов бюджетных обязательств, доведенных до Министерства промышленности и торговли Российской Федерации как получателя средств федерального бюджета на цели, указанные в пункте 1 настоящих Правил, с учетом ранее принятых обязательств по предоставлению субсидий.

В случае наличия неиспользованных лимитов бюджетных обязательств, образовавшихся по результатам проведения отбора, Министерство промышленности и торговли Российской Федерации вправе провести в течение финансового года дополнительные отборы.

Заключение соглашения о предоставлении субсидий между Министерством промышленности и торговли Российской Федерации и организациями (далее - соглашение) осуществляется не позднее 30-го рабочего дня после определения победителей по результатам проведения отбора, который проводится с соблюдением сроков, установленных пунктом 26.2 Положения о мерах по обеспечению исполнения федерального бюджета, утвержденного постановлением Правительства Российской Федерации от 9 декабря 2017 г. N 1496 "О мерах по обеспечению исполнения федерального бюджета" (требование не применяется при проведении дополнительного отбора на предоставление субсидии в пределах неиспользованных лимитов бюджетных обязательств, образовавшихся по результатам проведения отбора и заключения соглашений).

12. В целях проведения отбора Министерство промышленности и торговли Российской Федерации:

а) разрабатывает и утверждает методику проведения научно-технической оценки комплексных проектов, которая подлежит публикации на официальном сайте Министерства промышленности и торговли Российской Федерации в сети "Интернет";

б) формирует проект соглашения с организацией - победителем отбора в соответствии с типовой формой, утвержденной Министерством финансов Российской Федерации.

13. Объявление о проведении отбора размещается не позднее 10 рабочих дней после принятия Министерством промышленности и торговли Российской Федерации решения о проведении отбора на едином портале, а также на официальном сайте Министерства промышленности и торговли Российской Федерации в сети "Интернет" (http://minpromtorg.gov.ru) с указанием:

а) сроков проведения отбора (даты и времени начала и окончания подачи заявок организаций), которые не могут быть меньше 30 календарных дней, следующих за днем размещения объявления о проведении отбора;

б) наименования, места нахождения, почтового адреса, адреса электронной почты Министерства промышленности и торговли Российской Федерации;

в) результатов предоставления субсидии в соответствии с пунктом 4 настоящих Правил;

г) доменного имени, и (или) сетевого адреса, и (или) указателей страниц сайта в сети "Интернет", на котором обеспечивается проведение отбора;

д) требований к организациям в соответствии с пунктами 14 и 15 настоящих Правил и перечня документов, предусмотренных подпунктами "б" - "ж", "и" пункта 16 настоящих Правил;

е) порядка подачи заявок и требований, предъявляемых к форме и содержанию заявок в соответствии с пунктом 16 настоящих Правил;

ж) порядка отзыва заявок, порядка возврата заявок, определяющего в том числе основания для возврата заявок, порядка внесения изменений в заявки;

з) правил рассмотрения и оценки заявок в соответствии с пунктом 19 настоящих Правил;

и) порядка предоставления организациям разъяснений положений объявления о проведении отбора, даты начала и окончания срока предоставления разъяснений положений объявления о проведении отбора;

к) срока, в течение которого победитель (победители) отбора должен (должны) подписать соглашение;

л) условий признания победителя (победителей) отбора уклонившимся (уклонившимися) от заключения соглашения;

м) даты размещения результатов отбора на едином портале, а также на официальном сайте Министерства промышленности и торговли Российской Федерации в сети "Интернет", которая не может быть позднее 14-го календарного дня, следующего за днем определения победителя отбора.

14. Организация на 1-е число месяца, предшествующего месяцу подачи заявки на участие в отборе, должна соответствовать следующим требованиям:

а) у организации отсутствует неисполненная обязанность по уплате налогов, сборов, страховых взносов, пеней, штрафов, процентов, подлежащих уплате в соответствии с законодательством Российской Федерации о налогах и сборах;

б) у организации отсутствует просроченная задолженность по возврату в федеральный бюджет субсидий, бюджетных инвестиций, предоставленных в том числе в соответствии с иными правовыми актами, а также иная просроченная (неурегулированная) задолженность по денежным обязательствам перед Российской Федерацией;

в) организация не находится в процессе реорганизации (за исключением реорганизации в форме присоединения к организации другого юридического лица), ликвидации, в отношении ее не введена процедура банкротства, а также не имеет признаков банкротства в соответствии с Федеральным законом "О несостоятельности (банкротстве)", ее деятельность не приостановлена в порядке, предусмотренном законодательством Российской Федерации;

г) в реестре дисквалифицированных лиц отсутствуют сведения о дисквалифицированных членах коллегиального исполнительного органа, лице, исполняющем функции единоличного исполнительного органа, или главном бухгалтере организации;

д) организация не является иностранным юридическим лицом, а также российским юридическим лицом, в уставном (складочном) капитале которого доля участия иностранных юридических лиц, местом регистрации которых является государство или территория, включенные в утвержденный Министерством финансов Российской Федерации перечень государств и территорий, предоставляющих льготный налоговый режим налогообложения и (или) не предусматривающих раскрытия и предоставления информации при проведении финансовых операций (офшорные зоны), в совокупности превышает 50 процентов;

е) организация не получает средства из федерального бюджета на основании иных нормативных правовых актов Российской Федерации на цели, указанные в пункте 1 настоящих Правил, а также на цели, связанные с реализацией мероприятий в рамках комплексного проекта, заявленного на участие в отборе.

15. Организация, подающая заявку на участие в отборе, должна соответствовать следующим дополнительным требованиям:

а) наличие опыта реализации не менее одного проекта по созданию и производству продукции, в ходе которого создано не менее одного результата интеллектуальной деятельности, охраняемого патентами или иными охранными документами и (или) охраняемого в качестве секретов производства (ноу-хау);

б) среднесписочная численность работников организации за предшествующий календарный год составляет не менее 20 человек в случае, если организация претендует на получение субсидии на реализацию только одного комплексного проекта и не реализует на момент подачи заявки иных комплексных проектов в рамках настоящих Правил, и не менее 30 человек в остальных случаях;

в) организация создана не менее чем за 3 года до даты подачи заявки либо включена (входит) в перечень системообразующих предприятий российской экономики или является дочерним обществом такой организации с долей участия в уставном капитале не менее 50 процентов и удовлетворяет требованию, предусмотренному подпунктом "а" настоящего пункта;

г) организация должна обладать финансово-экономической устойчивостью, определяемой в соответствии с методикой оценки финансово-экономического состояния организации согласно приложению N 1;

д) с организацией за последние 3 года не было расторгнуто соглашение, заключенное в рамках государственной программы, в одностороннем порядке Министерством промышленности и торговли Российской Федерации;

е) организация имеет письма, полученные от потенциальных потребителей (заказчиков, покупателей) о намерениях приобрести продукцию, которая будет создана и произведена в рамках комплексного проекта, в общем объеме не менее 0,3 значения результата предоставления субсидии, запланированного организацией в заявке на дату окончания срока реализации комплексного проекта.

16. Для участия в отборе организация представляет в Министерство промышленности и торговли Российской Федерации в сроки и с соблюдением требований, указанных в объявлении о проведении отбора, прошитые, постранично пронумерованные и запечатанные в конверт следующие документы (при наличии технической возможности указанные документы представляются в Министерство промышленности и торговли Российской Федерации через государственную информационную систему промышленности):

а) заявка;

б) составленная в произвольной форме справка о соответствии организации требованиям, указанным в пункте 14 настоящих Правил, подписанная руководителем и главным бухгалтером (при наличии) организации;

в) сведения о среднесписочной численности работников организации за календарный год, предшествующий календарному году подачи заявки, по форме, утвержденной Федеральной налоговой службой;

г) составленная в произвольной форме справка о численности на дату подачи заявки в штате организации работников, имеющих дипломы о высшем профильном образовании в области электронной и радиоэлектронной промышленности, подписанная руководителем организации;

д) составленная в произвольной форме справка о финансово-экономическом состоянии организации, оценка которого проведена в соответствии с методикой, предусмотренной приложением N 1 к настоящим Правилам, подписанная руководителем и главным бухгалтером (при наличии) организации, с приложением бухгалтерской отчетности (формы ОКУД 0710001, 0710002, 0710004) не менее чем за 3 последних года ведения хозяйственной деятельности организации;

е) составленная в произвольной форме справка об обеспеченности организации основным технологическим и испытательным оборудованием, правами на результаты интеллектуальной деятельности и лицензиями, необходимыми для реализации комплексного проекта и принадлежащими на праве собственности или на ином законном основании организации, либо ее дочерним обществам, либо организациям, по отношению к которым она является дочерней, которые находятся на территории Российской Федерации, подписанная руководителем организации, с приложением копий подтверждающих документов;

ж) утвержденный руководителем бизнес-план комплексного проекта, включающий в себя в том числе следующие разделы:

справочная информация, в том числе словарь ключевых терминов, нормативно-методическая база, использованная при составлении бизнес-плана, перечень технико-экономических, маркетинговых и иных исследований, использованных при составлении бизнес-плана;

информация об организации, в том числе история и сфера деятельности организации, органы управления, информация о ключевой команде, опыте реализации подобных комплексных проектов, ключевые показатели финансово-хозяйственной деятельности организации, сведения о внеоборотных активах;

описание комплексного проекта, в том числе наименование, цель и актуальность комплексного проекта, срок реализации, обоснование целесообразности его реализации для организации, текущая стадия реализации комплексного проекта, наименование с указанием соответствующих кодов Общероссийского классификатора продукции по видам экономической деятельности (ОК 034-2014 (КПЕС 2008) и технические характеристики продукции, сравнение с аналогами, уникальность продукции, анализ полезности для потребителей с указанием целевой аудитории, примерной себестоимости, ее составляющих и модели получения выручки, с приложением справки о применении (неприменении при наличии технического обоснования) продукции, включенной в реестр российской радиоэлектронной продукции, при создании, производстве и коммерциализации продукции в рамках комплексного проекта;

основные задачи комплексного проекта, в том числе организационные, научно-технические, патентно-правовые, инфраструктурные, в том числе сырьевые, производственные и кадровые задачи, а также маркетинговая стратегия, система лицензирования (разрешительных процедур) в отношении технологии, выпуска продукции комплексного проекта, иных процедур, с приложением плана-графика реализации комплексного проекта, определяющего сроки и результаты выполнения ключевых мероприятий, и технического задания на разработку продукции;

анализ рынка создаваемой в рамках комплексного проекта продукции, включающий его описание, структуру, анализ конкурентов и прогноз изменения конъюнктуры российского и мирового рынков, анализ целевой аудитории и основных покупателей, сегменты рынка потребления и тенденции развития рынка продуктов, анализ рынка ключевого сырья для производства продукции, а также сезонность рынка и факторы, определяющие спрос на продукцию;

план-график реализации комплексного проекта, определяющий сроки и результаты достижения ключевых событий и плановых значений показателей, необходимых для достижения результата субсидии (в рамках каждого периода реализации значения);

план-график финансового обеспечения реализации комплексного проекта;

анализ рисков комплексного проекта, включающий причины и вероятность возникновения рисков, а также степень влияния, возможный ущерб и меры по борьбе с технологическими, политическими, финансовыми, экономическими и социальными рисками;

з) заверенные руководителем организации копии писем, полученных от потенциальных потребителей (заказчиков, покупателей), о намерениях приобрести продукцию, которая будет создана и произведена в рамках комплексного проекта, в общем объеме не менее 0,3 значения результата предоставления субсидии, запланированного организацией в заявке на дату окончания срока реализации комплексного проекта;

и) заверенные руководителем организации копии гарантийных писем инвесторов (соинвесторов) и (или) кредитных организаций либо государственной корпорации развития "ВЭБ.РФ" о готовности предоставить финансовое обеспечение расходов, связанных с реализацией комплексного проекта, в случае необходимости привлечения кредитных средств для целей реализации комплексного проекта с указанием сведений об эффективности планируемых инвестиций в комплексный проект, подготовленных на основе результатов анализа бизнес-плана комплексного проекта (при наличии);

к) составленная в произвольной форме справка о наличии успешного опыта реализации проектов по созданию и производству продукции, а также о полученных в рамках этих комплексных проектов результатах интеллектуальной деятельности, охраняемых патентами или иными охранными документами и (или) охраняемых в качестве секретов производства (ноу-хау), подписанная руководителем организации;

л) согласие на предоставление результатов интеллектуальной деятельности, полученных в рамках реализации комплексного проекта, организациям, включенным в реестр российских организаций, оказывающих услуги (выполняющих работы) по проектированию и разработке изделий электронной компонентной базы и электронной (радиоэлектронной) продукции в соответствии с постановлением Правительства Российской Федерации от 31 декабря 2020 г. N 2392 "О ведении реестра российских организаций, оказывающих услуги (выполняющих работы) по проектированию и разработке изделий электронной компонентной базы и электронной (радиоэлектронной) продукции";

м) согласие на публикацию (размещение) в сети "Интернет" информации об организации, о подаваемой организацией заявке, иной информации об организации, связанной с проведением отбора.

17. Заявка подается в отношении одного комплексного проекта. Организация может единовременно представить заявки на участие в отборе не более чем по 3 комплексным проектам, в том числе по комплексным проектам, реализация которых начата организацией за счет собственных и (или) заемных средств.

18. Министерство промышленности и торговли Российской Федерации:

а) регистрирует в порядке поступления документы, предусмотренные пунктом 16 настоящих Правил, в специальном журнале N 1, который должен быть прошнурован, пронумерован постранично и скреплен печатью Министерства промышленности и торговли Российской Федерации;

б) направляет в конкурсную комиссию документы, представленные организацией в соответствии с пунктом 16 настоящих Правил;

в) возвращает документы заявителям без вскрытия конвертов в случае наличия оснований, указанных в подпункте "е" пункта 21 настоящих Правил.

19. Конкурсная комиссия в сроки и в порядке, которые установлены в объявлении о проведении отбора:

а) вскрывает конверты с документами, представленными участниками отбора, в указанные в объявлении о проведении отбора время и место;

б) запрашивает справку налогового органа об отсутствии у организации на 1-е число месяца, предшествующего месяцу подачи заявки, неисполненной обязанности по уплате налогов, сборов, страховых взносов, пеней, штрафов, процентов, подлежащих уплате в соответствии с законодательством Российской Федерации о налогах и сборах;

в) обеспечивает проверку наличия документов, предусмотренных пунктом 16 настоящих Правил, обеспечивает проверку заявок и документов на их соответствие требованиям пунктов 4 - 7 и 16 настоящих Правил, а также обеспечивает проверку соответствия организации требованиям пунктов 14, 15 и 17 настоящих Правил.

По итогам вскрытия конвертов с документами и проведения проверки документов и организации на соответствие требованиям настоящих Правил и объявления о проведении отбора оформляется протокол вскрытия конвертов, который содержит следующие сведения:

дата, время и место проведения вскрытия конвертов с документами;

дата, время и место проведения рассмотрения заявок;

информация об участниках отбора, заявки которых были рассмотрены;

информация об участниках отбора, заявки которых были отклонены, с указанием причин их отклонения, в том числе положений настоящих Правил и объявления о проведении отбора, которым не соответствуют такие заявки;

информация об участниках отбора, заявки которых допущены к участию в отборе.

Протокол вскрытия конвертов подписывается всеми присутствующими членами конкурсной комиссии;

г) обеспечивает передачу заявки и документов, представленных организациями, допущенными к участию в отборе, в течение 3 рабочих дней со дня подписания протокола вскрытия конвертов в экспертный совет, образуемый Министерством промышленности и торговли Российской Федерации. Экспертный совет в течение 20 рабочих дней после получения заявки и документов проводит оценку комплексных проектов в соответствии с методикой, указанной в подпункте "а" пункта 12 настоящих Правил, по следующим критериям:

соответствие продукции, создаваемой в рамках комплексного проекта, определению электронных компонентов и модулей на их основе;

рыночная перспективность продукции, создаваемой в рамках комплексного проекта, определяемая путем оценки востребованности продукции и ее конкурентоспособности относительно лучших мировых аналогов (зарубежных и (или) российских в зависимости от их наличия);

новизна результатов интеллектуальной деятельности, планируемых к оформлению в рамках комплексного проекта;

наличие у организации научно-технического и технологического задела и его значимость для реализации комплексного проекта;

соответствие общей стоимости комплексного проекта, а также размера субсидии на создание продукции и организацию ее серийного производства параметрам и особенностям комплексного проекта, заявляемым организацией на отбор;

соблюдение требований, установленных подпунктом "ж" пункта 16 настоящих Правил, в части применения продукции, включенной в реестр российской радиоэлектронной продукции, при создании, производстве и коммерциализации продукции в рамках комплексного проекта, а в случае неприменения - проверка и подтверждение технического обоснования организации;

наличие или возможность создания инфраструктуры и производственных активов на территории Российской Федерации для создания и внедрения результатов научно-исследовательских, опытно-конструкторских и технологических работ, выполняемых в рамках комплексного проекта.

Экспертный совет проводит заседание в форме собрания (совместное присутствие), заочного голосования или в форме видео-конференц-связи с участием организаций по рассмотрению каждого заявляемого комплексного проекта и его научно-технической и производственно-технологической составляющих, а также основных характеристик комплексного проекта.

По итогам рассмотрения комплексных проектов оформляется протокол экспертной оценки комплексных проектов, который содержит следующие сведения:

дата, время и место проведения рассмотрения заявок;

информация об участниках отбора, заявки которых были рассмотрены;

информация об участниках отбора, заявки которых не прошли научно-техническую оценку;

информация об участниках отбора, заявки которых прошли научно-техническую оценку;

заключение по каждому комплексному проекту, сформированное каждым членом экспертного совета.

Заключение каждого члена экспертного совета по рассматриваемым комплексным проектам должно содержать результаты научно-технической оценки каждого комплексного проекта, проведенной в соответствии с методикой, указанной в подпункте "а" пункта 12 настоящих Правил, и обоснование полученного результата.

Протокол экспертной оценки комплексных проектов подписывается всеми присутствующими членами экспертного совета, передается в конкурсную комиссию в течение 3 рабочих дней с даты его подписания;

д) определяет в течение 10 рабочих дней со дня подписания протокола экспертной оценки комплексных проектов рейтинг заявок в соответствии с методикой определения рейтинга заявок, предоставленных российскими организациями на отбор на право получения из федерального бюджета субсидий на финансовое обеспечение части затрат на создание электронной компонентной базы и модулей, согласно приложению N 2 по следующим критериям:

объем производства и реализации продукции, создаваемой в рамках комплексного проекта;

количество вновь создаваемых и (или) модернизируемых высокотехнологичных рабочих мест в рамках реализации комплексного проекта;

количество создаваемых результатов интеллектуальной деятельности, охраняемых патентами или иными охранными документами и (или) охраняемых в качестве секретов производства (ноу-хау);

соотношение размера субсидии, запрашиваемой на реализацию комплексного проекта, и размера заемных и (или) собственных средств, планируемых к привлечению для реализации комплексного проекта;

объем экспорта продукции, создаваемой в рамках комплексного проекта, если организация планирует осуществлять экспорт в рамках реализации комплексного проекта;

место государственной регистрации организации;

е) в течение 3 рабочих дней, следующих за днем окончания проведения оценки и определения рейтинга заявок, оформляется протокол оценки и определения рейтинга заявок, который содержит следующие сведения:

дата, время и место проведения оценки и определения рейтинга заявок;

последовательность оценки заявок участников отбора, присвоенные заявкам значения по каждому из предусмотренных критериев оценки, принятое на основании результатов оценки заявок решение о присвоении таким заявкам порядковых номеров.

20. Министерство промышленности и торговли Российской Федерации в течение 5 рабочих дней со дня подписания конкурсной комиссией протокола оценки и определения рейтинга заявок размещает протокол на едином портале и официальном сайте Министерства промышленности и торговли Российской Федерации в сети "Интернет".

21. Основаниями для отклонения заявки на стадии ее рассмотрения конкурсной комиссией являются:

а) несоответствие организации требованиям пунктов 14 и 15 настоящих Правил;

б) несоответствие заявки и документов организации требованиям пунктов 13 и 16 настоящих Правил;

в) несоответствие информации о комплексном проекте, приведенной в заявке и документах организации, требованиям пунктов 4 - 7 настоящих Правил;

г) недостоверность представленной организацией информации, в том числе информации о месте нахождения и адресе юридического лица;

д) несогласованность информации, представленной в заявке, с аналогичной информацией в прилагаемых документах;

е) подача организацией заявки после даты и (или) времени, определенных для подачи заявок в объявлении о проведении отбора;

ж) превышение организацией допустимого количества заявок, указанного в пункте 17 настоящих Правил, при этом к участию в отборе допускаются первые 3 заявки, зарегистрированные в порядке их поступления.

22. В течение 30 рабочих дней со дня подписания протокола оценки и определения рейтинга заявок Министерство промышленности и торговли Российской Федерации заключает соглашения на сроки реализации комплексных проектов в соответствии с бизнес-планами комплексных проектов согласно присвоенным в соответствии с подпунктом "д" пункта 19 настоящих Правил порядковым номерам заявок (начиная с первого) до исчерпания лимитов бюджетных обязательств, доведенных в установленном порядке до Министерства промышленности и торговли Российской Федерации как получателя средств федерального бюджета на цели, указанные в пункте 1 настоящих Правил.

Обязательства о предоставлении субсидии принимаются Министерством промышленности и торговли Российской Федерации на период доведенных до него лимитов бюджетных обязательств на цели, указанные в пункте 1 настоящих Правил, с возможностью пролонгации этих обязательств в случае доведения до него лимитов бюджетных обязательств на указанные цели на очередной финансовый год.

23. В случае отказа участника отбора заключить соглашение Министерство промышленности и торговли Российской Федерации заключает соглашение с организацией, порядковый номер заявки которой в рейтинге заявок следует за порядковым номером заявки организации, отказавшейся от заключения соглашения.

24. Соглашение заключается в соответствии с типовой формой, утвержденной Министерством финансов Российской Федерации, в государственной интегрированной информационной системе управления общественными финансами "Электронный бюджет" и предусматривает в том числе следующие положения:

а) общая стоимость комплексного проекта и максимальный размер субсидии на срок реализации комплексного проекта в соответствии с бизнес-планом комплексного проекта (в случае, если срок создания продукции и подготовки серийного выпуска продукции превышает срок действия доведенных до Министерства промышленности и торговли Российской Федерации как получателя средств федерального бюджета лимитов бюджетных обязательств на цели, указанные в пункте 1 настоящих Правил, решение о заключении соглашения (дополнительного соглашения) на срок, превышающий срок действия указанных лимитов бюджетных обязательств, принимается в установленном порядке);

б) значения результата предоставления субсидии и показателей, необходимых для достижения результата предоставления субсидии;

в) план-график реализации комплексного проекта;

г) план-график финансового обеспечения реализации комплексного проекта;

д) согласие организации на проведение Министерством промышленности и торговли Российской Федерации и органами государственного финансового контроля проверок, в том числе на территории организации, соблюдение организацией целей, условий и порядка предоставления субсидии, которые установлены соглашением и настоящими Правилами, а также обязанность организации по распространению данного условия на иных юридических лиц и индивидуальных предпринимателей, получающих средства на основании договоров, заключенных с организацией;

е) порядок пересмотра условий соглашения и согласования новых условий соглашения в случае уменьшения Министерству промышленности и торговли Российской Федерации как получателю бюджетных средств ранее доведенных лимитов бюджетных обязательств, приводящего к невозможности предоставления субсидии в размере, определенном в соглашении;

ж) порядок и условия расторжения соглашения, в том числе расторжения соглашения в одностороннем порядке Министерством промышленности и торговли Российской Федерации в случае нарушения организацией целей, условий и порядка предоставления субсидии, а также недостижения согласия по новым условиям предоставления субсидии, предложенным Министерством промышленности и торговли Российской Федерации в соответствии с подпунктом "е" настоящего пункта;

з) требование к ведению организацией раздельного учета затрат на реализацию комплексного проекта;

и) обязательство получателя субсидии о представлении в срок, установленный в подпункте "а" пункта 29 настоящих Правил, отчета о достижении значений результатов предоставления субсидии, отчета о расходах, источником финансового обеспечения которых является субсидия, по форме, определенной типовой формой соглашения, утвержденной Министерством финансов Российской Федерации;

к) сроки и формы представления организацией - получателем субсидии дополнительной отчетности;

л) ответственность организации за несоблюдение порядка представления документов, а также форм и сроков представления отчетов, указанных в подпункте "и" настоящего пункта;

м) запрет приобретения организацией за счет полученных из федерального бюджета средств иностранной валюты, за исключением операций, осуществляемых организацией в соответствии с валютным законодательством Российской Федерации при закупке (поставке) высокотехнологичного импортного оборудования, технологической оснастки, результатов интеллектуальной деятельности, сырья и комплектующих изделий, и связанных с предоставлением этих средств иных операций, определенных настоящими Правилами, а также обязанность организации по распространению данного условия на иных юридических лиц и индивидуальных предпринимателей, получающих средства на основании договоров, заключенных с организацией;

н) запрет на размещение полученных из федерального бюджета средств субсидии на депозитных счетах в кредитных организациях или государственной корпорации развития "ВЭБ.РФ";

о) перечень затрат в соответствии с пунктом 8 настоящих Правил, на финансовое обеспечение которых предоставляется субсидия;

п) положения о казначейском сопровождении, установленные правилами казначейского сопровождения в соответствии с бюджетным законодательством Российской Федерации;

р) обязательство организации обеспечить включение продукции, созданной в рамках комплексного проекта, в реестр российской радиоэлектронной продукции, а также обязательство организации по приобретению продукции, включенной в реестр российской радиоэлектронной продукции, при создании, производстве и коммерциализации продукции в рамках комплексного проекта (если применимо);

с) условия, касающиеся результатов интеллектуальной деятельности, созданных в ходе реализации комплексного проекта, в том числе:

обязательность проведения патентных исследований лицом, обладающим соответствующими навыками и квалификацией, в том числе для выявления патентоспособных результатов интеллектуальной деятельности;

получение по итогам прикладных научных исследований и (или) экспериментальных разработок в рамках реализации комплексного проекта охраняемых результатов интеллектуальной деятельности;

оформление прав на охраноспособные результаты интеллектуальной деятельности, которые будут созданы при реализации комплексного проекта;

обеспечение правовой охраны и учета результатов интеллектуальной деятельности, созданных в рамках реализации комплексного проекта;

запрет на отчуждение результатов интеллектуальной деятельности в течение срока реализации комплексного проекта, а также разрешение на отчуждение за пределами срока реализации комплексного проекта с обязательной процедурой согласования с Министерством промышленности и торговли Российской Федерации;

т) порядок и сроки опубликования организацией информации о комплексном проекте на официальном сайте организации в сети "Интернет", включающей:

наименование комплексного проекта и срок его реализации;

"дорожную карту" реализации комплексного проекта с указанием основных технических характеристик разрабатываемой продукции, плана-графика реализации комплексного проекта, значения результата предоставления субсидии и показателей, необходимых для достижения результата предоставления субсидии;

информацию по привлекаемым поставщикам, исполнителям (подрядчикам), лицензиарам, а также лицензиатам по сублицензионным договорам;

у) обязательство организации по получению согласий на обработку персональных данных у сотрудников организации в объеме, необходимом для предоставления документов, требуемых в соответствии с пунктом 29 настоящих Правил, и для проведения проверок в соответствии с подпунктом "д" настоящего пункта.

25. Для получения субсидии на реализацию комплексного проекта организация, с которой заключено соглашение, представляет в Министерство промышленности и торговли Российской Федерации не позднее 1 ноября календарного года, предшествующего году получения субсидии (в рамках первого периода реализации комплексного проекта в течение 30 рабочих дней с даты заключения соглашения), следующие документы:

а) заявление о предоставлении субсидии с указанием ее размера, составленное в произвольной форме и подписанное руководителем организации;

б) справки о соответствии организации требованиям, указанным в подпунктах "б" - "е" пункта 14 настоящих Правил, подписанные руководителем и главным бухгалтером (при наличии) организации.

26. Министерство промышленности и торговли Российской Федерации регистрирует в порядке поступления документы, указанные в пункте 25 настоящих Правил, в специальном журнале N 2, который должен быть прошнурован, пронумерован постранично и скреплен печатью Министерства промышленности и торговли Российской Федерации.

Министерство промышленности и торговли Российской Федерации рассматривает представленные организациями документы в порядке поступления и обеспечивает проведение проверки полноты и достоверности сведений, содержащихся в документах, в течение 7 рабочих дней со дня их поступления.

27. Предоставление субсидий осуществляется главным распорядителем бюджетных средств в пределах лимитов бюджетных обязательств, доведенных в установленном порядке до Министерства промышленности и торговли Российской Федерации как получателя средств федерального бюджета на цели, указанные в пункте 1 настоящих Правил.

В случае если лимитов бюджетных обязательств, доведенных в установленном порядке до Министерства промышленности и торговли Российской Федерации как получателя средств федерального бюджета на цели, указанные в пункте 1 настоящих Правил, недостаточно для предоставления субсидии в текущем периоде реализации комплексного проекта в полном объеме, размер предоставляемой организации субсидии () определяется по формуле:

,

где:

ЛБО - доведенные в установленном порядке до Министерства промышленности и торговли Российской Федерации как получателя средств федерального бюджета лимиты бюджетных обязательств на цели, указанные в пункте 1 настоящих Правил;

- размер предоставляемой субсидии в соответствии с заключенным соглашением для i-й организации;

- размер предоставляемой субсидии в соответствии с заключенным соглашением для j-й организации.

28. Субсидии предоставляются организации в соответствии с планом-графиком финансового обеспечения реализации комплексного проекта на финансовое обеспечение части затрат, указанных в пункте 8 настоящих Правил, в пределах объемов затрат, предусмотренных бизнес-планом комплексного проекта, и максимального ежегодного размера субсидии, установленного пунктом 6 настоящих Правил.

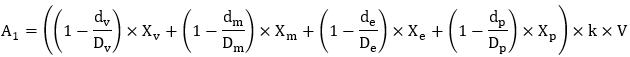
Расчет размера субсидии осуществляется согласно приложению N 3.

29. Для подтверждения реализации комплексного проекта в отчетном периоде в соответствии с условиями соглашения организация представляет в Министерство промышленности и торговли Российской Федерации прошитые, постранично пронумерованные следующие документы:

а) до 31 октября года предоставления субсидии и последующих периодов реализации комплексного проекта:

отчет о достижении значений результатов предоставления субсидии по форме, определенной типовой формой соглашения, утвержденной Министерством финансов Российской Федерации;

отчет о расходах, источником финансового обеспечения которых является субсидия, по форме, определенной типовой формой соглашения, утвержденной Министерством финансов Российской Федерации;

б) в сроки, установленные в соответствии с подпунктом "к" пункта 24 настоящих Правил:

отчет о выполнении условий предоставления субсидии и значений показателей, необходимых для достижения результата предоставления субсидии, подписанный руководителем организации, с приложением подтверждающих документов;

отчет об осуществлении расходов, источником финансового обеспечения которых является субсидия, подписанный руководителем и главным бухгалтером (уполномоченным лицом, на которое возложено ведение бухгалтерского учета) организации, с приложением подтверждающих документов, в том числе выписки со счетов бухгалтерского учета, на которых организация ведет раздельный учет затрат на реализацию комплексного проекта;

отчет о целевом использовании субсидии на реализацию комплексного проекта, подписанный руководителем и главным бухгалтером (уполномоченным лицом, на которое возложено ведение бухгалтерского учета) организации, с приложением подтверждающих документов, в том числе выписки со счетов бухгалтерского учета, на которых организация ведет раздельный учет затрат на реализацию комплексного проекта;

отчет о затратах на реализацию комплексного проекта, подписанный руководителем и главным бухгалтером (уполномоченным лицом, на которое возложено ведение бухгалтерского учета) организации, с приложением подтверждающих документов, в том числе выписки со счетов бухгалтерского учета, на которых организация ведет раздельный учет затрат на реализацию комплексного проекта;

отчет о создании продукции в рамках комплексного проекта, подписанный руководителем организации, с приложением подтверждающих документов (предоставляется только по завершении тех отчетных периодов, в которых предусмотрено производство опытных образцов и первой партии серийной (промышленной) продукции согласно плану-графику реализации комплексного проекта).

30. Министерство промышленности и торговли Российской Федерации регистрирует в порядке поступления документы, указанные в пункте 29 настоящих Правил, в специальном журнале N 3, который должен быть прошнурован, пронумерован постранично и скреплен печатью Министерства промышленности и торговли Российской Федерации.

Министерство промышленности и торговли Российской Федерации рассматривает представленные организациями документы в порядке поступления и обеспечивает проведение проверки полноты и достоверности сведений, содержащихся в документах, в течение 50 календарных дней со дня их поступления.

31. Сведения о проведенных в рамках реализации мероприятий комплексного проекта научно-исследовательских, опытно-конструкторских и технологических работах гражданского назначения направляются организацией в Министерство науки и высшего образования Российской Федерации в порядке, предусмотренном постановлением Правительства Российской Федерации от 12 апреля 2013 г. N 327 "О единой государственной информационной системе учета научно-исследовательских, опытно-конструкторских и технологических работ гражданского назначения".

32. Основаниями для отказа в предоставлении субсидии являются:

а) несоответствие представленных получателем субсидии документов требованиям, указанным в пунктах 25 и 29 настоящих Правил, начиная со 2-го периода реализации комплексного проекта, или непредставление (представление в неполном объеме) указанных документов;

б) установление факта недостоверности представленной получателем субсидии информации;

в) наличие у организации просроченной задолженности по денежным обязательствам перед Российской Федерацией, указанным в статье 93.4 Бюджетного кодекса Российской Федерации;

г) фактическое недостижение значений результата предоставления субсидии и всех показателей, необходимых для достижения результата предоставления субсидии в рамках комплексного проекта, предусмотренных соглашением, более чем на 30 процентов плановых значений одного из показателей на конец отчетного периода (нарастающим итогом с начала реализации комплексного проекта);

д) фактическое невыполнение результатов мероприятий (ключевых событий) плана-графика реализации комплексного проекта, предусмотренного соглашением, более чем на 30 процентов в отчетном периоде.

33. При наличии оснований, указанных в подпунктах "а" и "б" пункта 32 настоящих Правил, Министерство промышленности и торговли Российской Федерации не позднее срока предоставления субсидии в соответствии с планом-графиком финансового обеспечения реализации комплексного проекта направляет письмо с уведомлением о наличии оснований для отказа в предоставлении субсидии и запросом дополнительных документов и сведений с указанием сроков их представления. В случае удовлетворения организацией запроса и представления документов, соответствующих требованиям пунктов 25 и 29 настоящих Правил, в установленный срок Министерство промышленности и торговли Российской Федерации принимает решение о предоставлении субсидии в текущем периоде реализации комплексного проекта в течение 15 рабочих дней с даты получения ответа организации.

При наличии основания, указанного в подпункте "в" пункта 32 настоящих Правил, Министерство промышленности и торговли Российской Федерации не позднее срока предоставления субсидии в соответствии с планом-графиком финансового обеспечения реализации комплексного проекта направляет организации - получателю субсидии письмо с уведомлением о наличии основания для отказа в предоставлении субсидии. В случае погашения организацией - получателем субсидии просроченной задолженности по денежным обязательствам перед Российской Федерацией, указанным в статье 93.4 Бюджетного кодекса Российской Федерации, и направления официального уведомления в Министерство промышленности и торговли Российской Федерации Министерство промышленности и торговли Российской Федерации принимает решение о предоставлении субсидии организации - получателю субсидии в текущем периоде реализации комплексного проекта в течение 15 рабочих дней с даты получения уведомления.

При наличии оснований, указанных в подпунктах "г" и "д" пункта 32 настоящих Правил, Министерство промышленности и торговли Российской Федерации не позднее срока предоставления субсидии в соответствии с планом-графиком финансового обеспечения реализации комплексного проекта направляет организации - получателю субсидии официальное письмо с уведомлением о наличии основания для отказа в предоставлении субсидии в очередном периоде реализации, а также принимает решение о проведении проверки соблюдения целей, условий и порядка предоставления субсидии на территории организации до 1 марта года, следующего за календарным годом отчетного периода. В случае если в ходе проверки не выявлены нарушения организацией целей, условий и порядка предоставления субсидии и (или) организация устранила выявленные замечания в установленные сроки, Министерство промышленности и торговли Российской Федерации принимает решение о предоставлении субсидии организации - получателю субсидии в текущем периоде реализации комплексного проекта в течение 15 рабочих дней с даты проведения проверки. В случае если в ходе проверки выявлены нарушения организацией целей, условий и порядка предоставления субсидии, Министерство промышленности и торговли Российской Федерации вправе принять решение о расторжении соглашения, в том числе в одностороннем порядке, либо о реализации комплексного проекта организацией в течение периода реализации комплексного проекта за счет собственных и (или) заемных средств с возможностью предоставления субсидии в следующем периоде реализации комплексного проекта в случае устранения отклонений, указанных в подпунктах "г" и "д" пункта 32 настоящих Правил (при наличии согласия организации). Решение о расторжении соглашения, в том числе в одностороннем порядке, принимается Министерством промышленности и торговли Российской Федерации в течение 20 рабочих дней с даты выявления нарушений и отказа организации - получателя субсидии об их устранении.

34. Перечисление субсидии получателю субсидии осуществляется на казначейский счет для осуществления и отражения операций с денежными средствами юридических лиц, не являющихся участниками бюджетного процесса, бюджетными и автономными учреждениями, открытый в территориальном органе Федерального казначейства, не позднее 2-го рабочего дня после представления в территориальный орган Федерального казначейства получателем субсидии распоряжений о совершении казначейских платежей для оплаты денежного обязательства получателя субсидии.

Информация о размерах и сроках перечисления субсидий учитывается Министерством промышленности и торговли Российской Федерации при формировании прогноза кассовых выплат из федерального бюджета, необходимого для составления в установленном порядке кассового плана исполнения федерального бюджета.

35. Министерство промышленности и торговли Российской Федерации и органы государственного финансового контроля проводят обязательные проверки соблюдения организациями - получателями субсидий целей, условий и порядка предоставления субсидий.

36. Основаниями для расторжения соглашения, в том числе в одностороннем порядке Министерством промышленности и торговли Российской Федерации, являются:

а) фактическое недостижение значений результата предоставления субсидии и всех показателей, необходимых для достижения результата предоставления субсидии, в рамках комплексного проекта, предусмотренных соглашением, более чем на 50 процентов их плановых значений в течение 2 периодов реализации комплексного проекта подряд (нарастающим итогом с начала реализации комплексного проекта);

б) фактическое невыполнение ключевых мероприятий плана-графика реализации комплексного проекта, предусмотренного соглашением, более чем на 50 процентов в течение 2 периодов реализации комплексного проекта подряд (нарастающим итогом с начала реализации комплексного проекта);

в) непредставление отчета о достижении значений результатов предоставления субсидии и отчета о расходах, источником финансового обеспечения которых является субсидия, и (или) отчета о выполнении условий предоставления субсидии и значений показателей, необходимых для достижения результата предоставления субсидии, и (или) отчета о целевом использовании субсидии на реализацию комплексного проекта, и (или) отчета о затратах на реализацию комплексного проекта в течение 6 месяцев с даты, установленной в соглашении;

г) неиспользование средств субсидии в соответствии с планом-графиком финансового обеспечения реализации комплексного проекта в течение 2 периодов реализации комплексного проекта подряд;

д) выявление в ходе проведения проверок, в том числе на территории организации, фактов нарушения целей, условий и порядка предоставления субсидии, а также несоответствия фактического статуса реализации комплексного проекта сведениям, представляемым организацией в отчете о достижении значений результата предоставления субсидии и значений показателей, необходимых для достижения результата предоставления субсидии, и (или) несоответствия предъявленных организацией документов, относящихся к комплексному проекту и создаваемой в рамках этого проекта продукции, условиям соглашения и документам, представленным в соответствии с пунктом 29 настоящих Правил.

37. К организации применяются штрафы, размер которых рассчитывается согласно приложению N 4, в следующих случаях:

а) по итогам реализации комплексного проекта значение результата предоставления субсидии или хотя бы одного из показателей, необходимых для достижения результата предоставления субсидии, указанных в соглашении, составляет менее 90 процентов планового значения, определенного соглашением, и не достигнуто в течение одного календарного года с даты завершения комплексного проекта;

б) на дату окончания отчетного периода, в котором принято решение о расторжении соглашения, в том числе в одностороннем порядке Министерством промышленности и торговли Российской Федерации в соответствии с пунктом 36 настоящих Правил, значение результата предоставления субсидии или хотя бы одного из показателей, необходимых для достижения результата предоставления субсидии, указанных в соглашении, составляет менее 90 процентов планового значения, определенного соглашением. В случае расторжения соглашения по причине наступления обстоятельств, указанных в пункте 38 настоящих Правил и приведших к невозможности реализации комплексного проекта, штрафы не применяются;

в) по итогам реализации комплексного проекта организация не привлекла заемные и (или) собственные средства на реализацию комплексного проекта в размере, установленном в пункте 7 настоящих Правил;

г) в отчетном периоде организация предоставила отчетные документы (хотя бы один отчет из указанных в пункте 29 настоящих Правил), в том числе не в полном объеме, с нарушением срока, установленного в пункте 29 настоящих Правил.

Штрафы уплачиваются в доход федерального бюджета в порядке, установленном бюджетным законодательством Российской Федерации, в течение 10 рабочих дней с даты получения соответствующего требования Министерства промышленности и торговли Российской Федерации.

38. В случае установления Министерством промышленности и торговли Российской Федерации и (или) органом государственного финансового контроля в ходе обязательной проверки фактов нарушения целей, условий и порядка предоставления субсидии, а также расторжения соглашения, в том числе в одностороннем порядке Министерством промышленности и торговли Российской Федерации в соответствии с пунктом 36 настоящих Правил, соответствующие средства подлежат возврату в доход федерального бюджета в порядке, установленном бюджетным законодательством Российской Федерации, на основании:

соответствующего требования Министерства промышленности и торговли Российской Федерации - в течение 10 рабочих дней со дня получения организацией указанного требования;

представления и (или) предписания органа государственного финансового контроля - в сроки, установленные в соответствии с бюджетным законодательством Российской Федерации.

39. Организация - получатель субсидии не более одного раза в год вправе обратиться в Министерство промышленности и торговли Российской Федерации с мотивированным заявлением о внесении изменений в значения результата предоставления субсидии и показателей, необходимых для достижения результата предоставления субсидии, и в план-график реализации комплексного проекта (далее - заявление о внесении изменений) в следующих случаях:

а) введение торговых и экономических санкций в отношении российских юридических и (или) физических лиц, оказывающих влияние на реализацию комплексного проекта;

б) изменение валютных курсов более чем на 30 процентов с фиксацией измененного курса в течение не менее 6 месяцев, предшествующих дате подачи заявления о внесении изменений;

в) изменение стоимости высокотехнологичного импортного оборудования, технологической оснастки, результатов интеллектуальной деятельности, сырья, комплектующих изделий и услуг, необходимых для реализации комплексного проекта, на мировых рынках в рублевом эквиваленте более чем на 30 процентов с фиксацией измененной стоимости в течение не менее 6 месяцев, предшествующих дате подачи заявления о внесении изменений;

г) применение Правительством Российской Федерации мер, ограничивающих закупку высокотехнологичного импортного оборудования, технологической оснастки, результатов интеллектуальной деятельности, сырья, комплектующих изделий и услуг, указанных в бизнес-плане комплексного проекта и оказывающих влияние на сроки реализации мероприятий плана-графика реализации комплексного проекта и достижение показателей, необходимых для достижения результата предоставления субсидии.

40. В случае наступления одного или нескольких событий, указанных в пункте 39 настоящих Правил, организация - получатель субсидии направляет в Министерство промышленности и торговли Российской Федерации заявление о внесении изменений, подписанное руководителем организации, с приложением документов, свидетельствующих о наступлении указанных событий, расчетов, обосновывающих степень влияния наступивших событий на результат предоставления субсидии и показатели, необходимые для достижения результата предоставления субсидии, указанные в соглашении, а также предложения о внесении изменений в план-график реализации комплексного проекта.

После получения заявления о внесении изменений Министерство промышленности и торговли Российской Федерации в течение 3 рабочих дней передает его экспертному совету. Экспертный совет в течение 20 рабочих дней после получения заявления о внесении изменений проводит оценку документов и оформляет заключение о целесообразности внесения изменений.

На основании заключения экспертного совета Министерство промышленности и торговли Российской Федерации принимает решение о возможности (невозможности) внесения изменений в значения результата предоставления субсидии и показателей, необходимых для достижения результата предоставления субсидии, и в план-график реализации комплексного проекта. При этом уточнения указанных в соглашении результата предоставления субсидии и показателей, необходимых для достижения результата предоставления субсидии, в рамках отдельных периодов реализации комплексного проекта могут вноситься при условии сохранения итоговых значений результата предоставления субсидии и показателей, необходимых для достижения результата субсидии, на конец реализации комплексного проекта, а внесение изменений в план-график реализации комплексного проекта - при условии сохранения срока его реализации.

Приложение N 1
к Правилам предоставления
из федерального бюджета субсидий
российским организациям
на финансовое обеспечение части
затрат на создание электронной
компонентной базы и модулей

МЕТОДИКА ОЦЕНКИ ФИНАНСОВО-ЭКОНОМИЧЕСКОГО СОСТОЯНИЯ ОРГАНИЗАЦИИ

1. Настоящая методика устанавливает порядок проведения оценки финансово-экономического состояния организации, которая подает заявку на участие в отборе на право получения из федерального бюджета субсидий российскими организациями на финансовое обеспечение части затрат на создание электронной компонентной базы и модулей в рамках государственной программы Российской Федерации "Развитие электронной и радиоэлектронной промышленности" (далее - отбор, субсидия).

2. Оценку финансово-экономического состояния организация проводит самостоятельно на основании бухгалтерской отчетности (формы ОКУД 0710001, 0710002, 0710004) не менее чем за 3 последних года ведения хозяйственной деятельности в соответствии с подпунктом "д" пункта 16 Правил предоставления из федерального бюджета субсидий российским организациям на финансовое обеспечение части затрат на создание электронной компонентной базы и модулей, утвержденных постановлением Правительства Российской Федерации от 24 июля 2021 г. N 1252 "Об утверждении Правил предоставления из федерального бюджета субсидий российским организациям на финансовое обеспечение части затрат на создание электронной компонентной базы и модулей" (далее - Правила).

3. Оценка финансово-экономического состояния организации оценивается баллами на основе значения интегрального показателя финансово-экономического состояния организации, определяемого на основе следующих показателей:

а) коэффициент финансовой зависимости - характеризует структуру капитала организации и оценивает степень зависимости организации от кредиторов и определяется как отношение суммы долгосрочных обязательств (код строки 1400) и краткосрочных обязательств (код строки 1500) за вычетом доходов будущих периодов, образованных за счет целевого финансирования (средства субсидии; коды строк 1450 и 1530), к сумме оборотных активов (код строки 1200) и внеоборотных активов (код строки 1100) за вычетом оборотных и внеоборотных активов, сформированных за счет средств целевого финансирования (средства субсидии; в разрезе кодов строк 1100 и 1200), по состоянию на конец года, предшествующего году подачи заявки на участие в отборе (далее - заявка), в соответствии со следующей формулой <1>:

<1> Бухгалтерский баланс - форма по ОКУД 0710001.

;

б) коэффициент абсолютной ликвидности - характеризует уровень платежеспособности и возможности погашения текущих обязательств организации и определяется как отношение оборотных активов (код строки 1200) к краткосрочным обязательствам (код строки 1500) за вычетом доходов будущих периодов, образованных за счет целевого финансирования (код строки 1530) по состоянию на конец года, предшествующего году подачи заявки, в соответствии со следующей формулой <1>:

;

в) чистые активы - характеризуют общую финансово-экономическую эффективность деятельности организации и определяются как значение строки 3600 по состоянию на конец года, предшествующего году подачи заявки <2>;

<2> Отчет об изменениях капитала - форма по ОКУД 0710004.

г) среднегодовой темп прироста выручки (код строки 2110) за последние 3 календарных года - характеризует динамику развития организации и определяется по формуле <3>:

;

д) рентабельность продаж по валовой прибыли - характеризует эффективность используемых ресурсов и прибыльность продаж при ведении финансово-хозяйственной деятельности организации и определяется как отношение валовой прибыли (код строки 2100) к выручке (код строки 2110) за год, предшествующий году подачи заявки, в соответствии со следующей формулой:

;

е) отношение планируемого объема выручки (объема производства и реализации продукции, создаваемой в рамках комплексного проекта, за срок реализации комплексного проекта без учета налога на добавленную стоимость) по комплексному проекту к среднегодовому объему выручки (код строки 2110) <3> организации за предыдущие 3 календарных года - характеризует соответствие объема планируемой в рамках комплексного проекта реализации продукции масштабу деятельности организации и определяется по формуле:

<3> Отчет о финансовых результатах - форма по ОКУД 0710002.

;

ж) коэффициент обеспеченности собственных инвестиций в комплексный проект характеризует способность организации обеспечить требуемый объем собственных инвестиций в комплексный проект и определяется как отношение планируемого объема собственных инвестиций в комплексный проект к сумме оборотных активов (код строки 1200) и внеоборотных активов (код строки 1100) за вычетом оборотных и внеоборотных активов, сформированных за счет средств целевого финансирования (средства субсидии; в разрезе кодов строк 1100 и 1200), по состоянию на конец года, предшествующего году подачи заявки, в соответствии со следующей формулой <1>:

;

4. Интегральная оценка финансово-экономического состояния организации оценивается весовым коэффициентом (ИОС), который рассчитывается по формуле:

,

где:

i - количество показателей, равное 7;

- вес показателя, равный:

для показателя "коэффициент финансовой зависимости" - 10 процентов;

для показателя "коэффициент абсолютной ликвидности" - 10 процентов;

для показателя "чистые активы" - 10 процентов;

для показателя "среднегодовой темп прироста выручки за последние 3 календарных года" - 10 процентов;

для показателя "рентабельность продаж по валовой прибыли" - 15 процентов;

для показателя "отношение планируемого объема выручки (объема производства и реализации продукции, создаваемой в рамках комплексного проекта, за срок реализации комплексного проекта) по комплексному проекту к среднегодовому объему выручки организации за предыдущие 3 календарных года" - 20 процентов;

для показателя "коэффициент обеспеченности собственных инвестиций в комплексный проект" - 25 процентов;

- балл показателя, равный:

для значений показателя "коэффициент финансовой зависимости":

больше 0,7 - 0 баллов;

больше 0,5, но не больше 0,7 - 1 балл;

не более 0,5 - 2 балла;

для значений показателя "коэффициент абсолютной ликвидности":

не больше 1 - 0 баллов;

не меньше 2 - 1 балл;

больше 1, но меньше 2 - 2 балла;

для значений показателя "чистые активы":

не больше 0 - 0 баллов;

больше 0 - 2 балла;

для значений показателя "среднегодовой темп прироста выручки за последние 3 календарных года":

не больше 0 - 0 баллов;

больше 0, но не больше 3,9 процента - 1 балл;

больше 3,9 процента - 2 балла;

для значений показателя "рентабельность продаж по валовой прибыли":

не больше 0 - 0 баллов;

больше 8 процентов, но не больше 30 процентов - 1 балл;

больше 30 процентов - 2 балла;

для значений показателя "отношение планируемого объема выручки (объема производства и реализации продукции, создаваемой в рамках комплексного проекта, за срок реализации комплексного проекта) по комплексному проекту к среднегодовому объему выручки организации за предыдущие 3 календарных года":

больше 8 - 0 баллов;

больше 1, но не больше 8 - 1 балл;

не больше 1 - 2 балла;

для значений показателя "коэффициент обеспеченности собственных инвестиций в комплексный проект":

больше 0,7 - 0 баллов;

больше 0,3, но не больше 0,7 - 1 балл;

не больше 0,3 - 2 балла;

- коэффициент приведения, равный 50.

5. Значение интегрального показателя финансово-экономического состояния организации 50 и больше свидетельствует о финансово-экономической устойчивости организации, а также является основанием для принятия решения конкурсной комиссией, образуемой Министерством промышленности и торговли Российской Федерации в целях определения победителей отбора, о допуске организации к отбору.

6. Расчет и результаты проведенной оценки финансово - экономического состояния организация указывает в справке согласно подпункту "д" пункта 16 Правил.

Приложение N 2
к Правилам предоставления
из федерального бюджета субсидий
российским организациям
на финансовое обеспечение части
затрат на создание электронной
компонентной базы и модулей

МЕТОДИКА ОПРЕДЕЛЕНИЯ РЕЙТИНГА ЗАЯВОК, ПРЕДСТАВЛЕННЫХ РОССИЙСКИМИ ОРГАНИЗАЦИЯМИ НА ОТБОР НА ПРАВО ПОЛУЧЕНИЯ ИЗ ФЕДЕРАЛЬНОГО БЮДЖЕТА СУБСИДИЙ НА ФИНАНСОВОЕ ОБЕСПЕЧЕНИЕ ЧАСТИ ЗАТРАТ НА СОЗДАНИЕ ЭЛЕКТРОННОЙ КОМПОНЕНТНОЙ БАЗЫ И МОДУЛЕЙ

1. Настоящая методика устанавливает порядок определения рейтинга заявок, представленных российскими организациями на отбор на право получения из федерального бюджета субсидий на финансовое обеспечение части затрат на создание электронной компонентной базы и модулей (далее соответственно - организации, отбор, субсидия), на основании критериев, предусмотренных подпунктом "д" пункта 19 Правил предоставления из федерального бюджета субсидий российским организациям на финансовое обеспечение части затрат на создание электронной компонентной базы и модулей, утвержденных постановлением Правительства Российской Федерации от 24 июля 2021 г. N 1252 "Об утверждении Правил предоставления из федерального бюджета субсидий российским организациям на финансовое обеспечение части затрат на создание электронной компонентной базы и модулей" (далее - Правила).

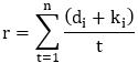
2. Рейтинг заявки организации на участие в отборе () определяется по формуле:

,

где:

- рейтинг, присуждаемый i-й заявке по критерию, касающемуся объема производства и реализации продукции, создаваемой в рамках комплексного проекта;

- удельный вес рейтинга, присуждаемого i-й заявке по критерию, касающемуся объема производства и реализации продукции, создаваемой в рамках комплексного проекта, значимость которого составляет 40 процентов;

- рейтинг, присуждаемый i-й заявке по критерию, касающемуся количества вновь создаваемых и (или) модернизируемых высокотехнологичных рабочих мест в рамках реализации комплексного проекта;

- удельный вес рейтинга, присуждаемого i-й заявке по критерию, касающемуся количества вновь создаваемых и (или) модернизируемых высокотехнологичных рабочих мест в рамках реализации комплексного проекта, значимость которого составляет 15 процентов;

- рейтинг, присуждаемый i-й заявке по критерию, касающемуся количества создаваемых результатов интеллектуальной деятельности, охраняемых патентами или иными охранными документами и (или) охраняемых в качестве секретов производства (ноу-хау), в рамках комплексного проекта;

- удельный вес рейтинга, присуждаемый i-й заявке по критерию, касающемуся количества создаваемых результатов интеллектуальной деятельности, охраняемых патентами или иными охранными документами и (или) охраняемых в качестве секретов производства (ноу-хау), в рамках комплексного проекта, значимость которого составляет 20 процентов;

- рейтинг, присуждаемый i-й заявке по критерию, касающемуся соотношения размера субсидии, запрашиваемой на реализацию комплексного проекта, и размера заемных и (или) собственных средств, планируемых к привлечению для реализации комплексного проекта;

- удельный вес рейтинга, присуждаемый i-й заявке по критерию, касающемуся соотношения размера субсидии, запрашиваемой на реализацию комплексного проекта, и размера заемных и (или) собственных средств, планируемых к привлечению для реализации комплексного проекта, значимость которого составляет 10 процентов;

- рейтинг, присуждаемый i-й заявке по критерию, касающемуся объема экспорта продукции, создаваемой в рамках комплексного проекта, если организация планирует осуществлять экспорт в рамках реализации комплексного проекта;

- удельный вес рейтинга, присуждаемого i-й заявке по критерию, касающемуся объема экспорта продукции, создаваемой в рамках комплексного проекта, значимость которого составляет 10 процентов, если организация планирует осуществлять экспорт в рамках реализации комплексного проекта;

- рейтинг, присуждаемый i-й заявке по критерию, касающемуся места государственной регистрации организации, представившей i-ю заявку;

- удельный вес рейтинга, присуждаемого i-й заявке по критерию, касающемуся места государственной регистрации организации, представившей i-ю заявку, значимость которого составляет 5 процентов.

3. Рейтинг, присуждаемый i-й заявке по критерию, касающемуся объема производства и реализации продукции (), определяется по формуле:

,

где:

- предложение i-го участника отбора об объеме производства и реализации продукции, создаваемой в рамках комплексного проекта (рублей);

- минимальный объем производства и реализации продукции, создаваемой в рамках комплексного проекта, установленный в объявлении о проведении отбора (рублей);

- максимальный объем производства и реализации продукции, создаваемой в рамках комплексного проекта, заявленный одним из участников отбора (рублей).

4. Рейтинг, присуждаемый i-й заявке по критерию, касающемуся вновь создаваемых и (или) модернизируемых высокотехнологичных рабочих мест в рамках реализации комплексного проекта (), определяется по формуле:

,

где:

- предложение i-го участника отбора по количеству вновь создаваемых и (или) модернизируемых высокотехнологичных рабочих мест (штук);

- минимальное количество вновь создаваемых и (или) модернизируемых высокотехнологичных рабочих мест, установленное в объявлении о проведении отбора (штук);

- максимальное количество вновь создаваемых и (или) модернизируемых высокотехнологичных рабочих мест, заявленное одним из участников отбора (штук).

5. Рейтинг, присуждаемый i-й заявке по критерию, касающемуся количества созданных результатов интеллектуальной деятельности в рамках комплексного проекта (), определяется по формуле:

,

где:

- предложение i-го участника отбора о количестве создаваемых результатов интеллектуальной деятельности, охраняемых патентами или иными охранными документами и (или) охраняемых в качестве секретов производства (ноу-хау), в рамках комплексного проекта;

- максимальное количество создаваемых результатов интеллектуальной деятельности, охраняемых патентами или иными охранными документами и (или) охраняемых в качестве секретов производства (ноу-хау), в рамках комплексного проекта, заявленное одним из участников отбора.

6. Рейтинг, присуждаемый i-й заявке по критерию, касающемуся соотношения размера субсидии, запрашиваемой на реализацию комплексного проекта, и размера заемных и (или) собственных средств, планируемых к привлечению для реализации комплексного проекта (), определяется по формуле:

,

где:

- начальный (максимальный) размер соотношения размера субсидии, запрашиваемой на реализацию комплексного проекта, и размера заемных и (или) собственных средств, планируемых к привлечению для реализации комплексного проекта;

- предложение i-го участника отбора по соотношению размера субсидии, запрашиваемой на реализацию комплексного проекта, и размера заемных и (или) собственных средств, планируемых к привлечению для реализации комплексного проекта.

7. Если организация планирует осуществлять экспорт в рамках реализации комплексного проекта, рейтинг, присуждаемый i-й заявке по критерию, касающемуся объема экспорта продукции, создаваемой в рамках комплексного проекта (), определяется по формуле:

,

где:

- предложение i-го участника отбора по объему экспорта продукции (долларов США);

- наибольший объем экспорта продукции, заявленный одним из участников отбора (долларов США).

8. Рейтинг, присуждаемый i-й заявке по критерию, касающемуся места государственной регистрации организации, представившей i-ю заявку (), определяется равным 100 в случае государственной регистрации организации, представившей i-ю заявку, на территории субъекта Дальневосточного федерального округа. В остальных случаях указанный рейтинг принимается равным 0.

Приложение N 3
к Правилам предоставления
из федерального бюджета субсидий
российским организациям
на финансовое обеспечение части
затрат на создание электронной
компонентной базы и модулей

РАСЧЕТ РАЗМЕРА СУБСИДИИ РОССИЙСКИМ ОРГАНИЗАЦИЯМ ИЗ ФЕДЕРАЛЬНОГО БЮДЖЕТА НА ФИНАНСОВОЕ ОБЕСПЕЧЕНИЕ ЧАСТИ ЗАТРАТ НА СОЗДАНИЕ ЭЛЕКТРОННОЙ КОМПОНЕНТНОЙ БАЗЫ И МОДУЛЕЙ

Размер субсидии российским организациям из федерального бюджета на финансовое обеспечение части затрат на создание электронной компонентной базы и модулей (Р) определяется по формуле:

, в которой:

размер субсидии российским организациям из федерального бюджета на финансовое обеспечение части затрат на создание и производство электронной компонентной базы и модулей за период с 1 октября по 31 декабря () определяется по формуле:

,

где:

- расходы на оплату труда работников, непосредственно занятых реализацией комплексного проекта, а также расходы на обязательное пенсионное страхование, обязательное социальное страхование на случай временной нетрудоспособности и в связи с материнством, обязательное медицинское страхование, обязательное социальное страхование от несчастных случаев на производстве и профессиональных заболеваний, начисленные на указанные суммы расходов на оплату труда;

- накладные расходы в размере не более 200 процентов суммы расходов на оплату труда работников, непосредственно занятых реализацией комплексного проекта;

- расходы по договорам на выполнение научно-исследовательских, опытно-конструкторских и технологических работ в размере не более 40 процентов общей стоимости комплексного проекта;

- расходы на приобретение у российских и (или) иностранных организаций прав на результаты интеллектуальной деятельности, в том числе исключительные и неисключительные лицензии, а также на техническую поддержку этих прав и лицензий;

- расходы на обеспечение правовой охраны созданных в ходе выполнения научно-исследовательских, опытно-конструкторских и технологических работ результатов интеллектуальной деятельности (в том числе патентование), в том числе за рубежом;

- расходы на изготовление фотошаблонов и технологической оснастки у российских и (или) иностранных организаций, а также на монтаж, наладку и иные мероприятия по их подготовке в целях организации серийного выпуска продукции;

- расходы на аренду (лизинг) российского и (или) импортного технологического оборудования (как нового, так и бывшего в употреблении) в размере, не превышающем 50 процентов общего объема таких затрат организации;

- расходы на изготовление опытных образцов, в том числе их тестирование, упаковку, транспортировку и оплату применимых таможенных пошлин и сборов, а также на изготовление макетов и стендов, включая расходы на приобретение материалов и покупных комплектующих изделий;

- расходы на изготовление первой партии серийной (промышленной) продукции и ее тестирование, сертификацию и (или) регистрацию, проведение испытаний, а также на упаковку, транспортировку и оплату применимых таможенных пошлин и сборов в размере не более 50 процентов общего объема таких затрат организации;

- расходы на приобретение лицензий на системы автоматического проектирования, услуги центров коллективного пользования, предоставляющих доступ к системам автоматизированного проектирования;

размер субсидии российским организациям из федерального бюджета на финансовое обеспечение части затрат на создание электронной компонентной базы и модулей за период с 1 января по 30 сентября () определяется по формуле:

,

где:

- расходы на оплату труда работников, непосредственно занятых реализацией комплексного проекта, а также расходы на обязательное пенсионное страхование, обязательное социальное страхование на случай временной нетрудоспособности и в связи с материнством, обязательное медицинское страхование, обязательное социальное страхование от несчастных случаев на производстве и профессиональных заболеваний, начисленные на указанные суммы расходов на оплату труда;

- накладные расходы в размере не более 200 процентов суммы расходов на оплату труда работников, непосредственно занятых реализацией комплексного проекта;

- расходы по договорам на выполнение научно-исследовательских, опытно-конструкторских и технологических работ в размере не более 40 процентов общей стоимости комплексного проекта;

- расходы на приобретение у российских и (или) иностранных организаций прав на результаты интеллектуальной деятельности, в том числе исключительные и неисключительные лицензии, а также на техническую поддержку этих прав и лицензий;

- расходы на обеспечение правовой охраны созданных в ходе выполнения научно-исследовательских, опытно-конструкторских и технологических работ результатов интеллектуальной деятельности (в том числе патентование), в том числе за рубежом;

- расходы на изготовление фотошаблонов и технологической оснастки у российских и (или) иностранных организаций, а также на монтаж, наладку и иные мероприятия по их подготовке в целях организации серийного выпуска продукции;

- расходы на аренду (лизинг) российского и (или) импортного технологического оборудования (как нового, так и бывшего в употреблении) в размере, не превышающем 50 процентов общего объема таких затрат организации;

- расходы на изготовление опытных образцов, в том числе их тестирование, упаковку, транспортировку и оплату применимых таможенных пошлин и сборов, а также на изготовление макетов и стендов, включая расходы на приобретение материалов и покупных комплектующих изделий;

- расходы на изготовление первой партии серийной (промышленной) продукции и ее тестирование, сертификацию и (или) регистрацию, проведение испытаний, а также на упаковку, транспортировку и оплату применимых таможенных пошлин и сборов, в размере не более 50 процентов общего объема таких затрат организации;

- расходы на приобретение лицензий на системы автоматического проектирования, услуги центров коллективного пользования, предоставляющие доступ к системам автоматизированного проектирования.

Приложение N 4
к Правилам предоставления
из федерального бюджета субсидий
российским организациям
на финансовое обеспечение части
затрат на создание электронной
компонентной базы и модулей

РАСЧЕТ РАЗМЕРА ШТРАФОВ, ПРИМЕНЯЕМЫХ К РОССИЙСКИМ ОРГАНИЗАЦИЯМ, ПОЛУЧИВШИМ ИЗ ФЕДЕРАЛЬНОГО БЮДЖЕТА СУБСИДИИ НА ФИНАНСОВОЕ ОБЕСПЕЧЕНИЕ ЧАСТИ ЗАТРАТ НА СОЗДАНИЕ ЭЛЕКТРОННОЙ КОМПОНЕНТНОЙ БАЗЫ И МОДУЛЕЙ

1. Размер штрафа () (тыс. рублей), применяемого к организации в соответствии с подпунктами "а" и "б" пункта 37 Правил предоставления из федерального бюджета субсидий российским организациям на финансовое обеспечение части затрат на создание электронной компонентной базы и модулей, утвержденных постановлением Правительства Российской Федерации от 24 июля 2021 г. N 1252 "Об утверждении Правил предоставления из федерального бюджета субсидий российским организациям на финансовое обеспечение части затрат на создание электронной компонентной базы и модулей" (далее - Правила), определяется по формуле:

,

где:

- достигнутое значение результата предоставления субсидии "Объем производства и реализации продукции, созданной в рамках комплексного проекта", рублей;

- достигнутое значение показателя, необходимого для достижения результата предоставления субсидии "Количество вновь создаваемых и (или) модернизируемых высокотехнологичных рабочих мест", единиц;

- достигнутое значение показателя, необходимого для достижения результата предоставления субсидии "Объем экспорта продукции, созданной в рамках реализации комплексного проекта", долларов США, если организация планировала осуществлять экспорт в рамках реализации комплексного проекта;

- достигнутое значение показателя, необходимого для достижения результата предоставления субсидии "Количество создаваемых результатов интеллектуальной деятельности, охраняемых патентами или иными охранными документами и (или) охраняемых в качестве секретов производства (ноу-хау)", единиц.

Достигнутые значения показателей, необходимых для достижения результата предоставления субсидии, учитываются на день окончания срока реализации комплексного проекта;

- плановое значение результата предоставления субсидии "Объем производства и реализации продукции, созданной в рамках комплексного проекта", рублей, указанное в соглашении о предоставлении субсидии;

- плановое значение показателя, необходимого для достижения результата предоставления субсидии "Количество вновь создаваемых и (или) модернизируемых высокотехнологичных рабочих мест", единиц, указанное в соглашении о предоставлении субсидии;

- плановое значение показателя, необходимого для достижения результата предоставления субсидии "Объем экспорта продукции, созданной в рамках реализации комплексного проекта", долларов США, указанное в соглашении о предоставлении субсидии, если организация планировала осуществлять экспорт в рамках реализации комплексного проекта;

- плановое значение показателя, необходимого для достижения результата предоставления субсидии "Количество создаваемых результатов интеллектуальной деятельности, охраняемых патентами или иными охранными документами и (или) охраняемых в качестве секретов производства (ноу-хау)", единиц, указанное в соглашении о предоставлении субсидии.

В случае если достигнутое значение показателя, необходимого для достижения результата предоставления субсидии (, , , ), превышает плановое значение этого показателя (, , , ), отношение достигнутого значения показателя, необходимого для достижения результата предоставления субсидии, к плановому значению показателя считается равным 1;

- удельный вес результата предоставления субсидии "Объем производства и реализации продукции, созданной в рамках комплексного проекта", рублей, значимость которого составляет 45 процентов;

- удельный вес показателя, необходимого для достижения результата предоставления субсидии "Количество вновь создаваемых и (или) модернизируемых высокотехнологичных рабочих мест", единиц, значимость которого составляет 20 процентов;

- удельный вес показателя, необходимого для достижения результата предоставления субсидии "Объем экспорта продукции, созданной в рамках реализации комплексного проекта", долларов США, значимость которого составляет 15 процентов, если организация планировала осуществлять экспорт в рамках реализации комплексного проекта;

- удельный вес показателя, необходимого для достижения результата предоставления субсидии "Количество создаваемых результатов интеллектуальной деятельности, охраняемых патентами или иными охранными документами и (или) охраняемых в качестве секретов производства (ноу-хау)", единиц, значимость которого составляет 20 процентов;

k - коэффициент, учитывающий средний размер ключевой ставки, устанавливаемой Центральным банком Российской Федерации, расчет которого осуществляется следующим образом:

,

где:

S - количество лет со дня заключения организацией соглашения о предоставлении субсидии (дробное значение с округлением до 10-й доли при наличии неполных лет);

r - средний размер ключевой ставки, устанавливаемой Центральным банком Российской Федерации, рассчитываемый по формуле:

,

где:

n - количество периодов реализации, в которых действовали различные уровни ключевой ставки Центрального банка Российской Федерации;

- количество календарных дней действия i-й ключевой ставки Центрального банка Российской Федерации (в пределах периода реализации со дня заключения организацией соглашения о предоставлении субсидии);

- значения уровней ключевой ставки Центрального банка Российской Федерации;

t - суммарное количество календарных дней со дня заключения организацией соглашения о предоставлении субсидии;

V - размер средств субсидии, использованный организацией в рамках реализации комплексного проекта на день завершения срока реализации комплексного проекта или на день окончания периода реализации, в котором принято решение о расторжении соглашения о предоставлении субсидии, в том числе его одностороннем расторжении Министерством промышленности и торговли Российской Федерации в соответствии с пунктом 36 Правил (тыс. рублей).

Размер штрафа пропорционален степени недостижения результата предоставления субсидии и показателей, необходимых для достижения результата предоставления субсидии в рамках приоритетных направлений государственной программы Российской Федерации "Развитие электронной и радиоэлектронной промышленности", указанных в соглашении о предоставлении субсидии.

2. Размер штрафа () (тыс. рублей), применяемого к организации в соответствии с подпунктом "в" пункта 37 Правил, равен размеру заемных и (или) собственных средств, которые организация не привлекла на реализацию комплексного проекта в соответствии с планом-графиком финансового обеспечения реализации комплексного проекта, установленного соглашением о предоставлении субсидии.

3. Размер штрафа () (тыс. рублей), применяемого к организации в соответствии с подпунктом "г" пункта 37 Правил, составляет 1 процент размера субсидии, предоставленной организации на реализацию комплексного проекта в отчетном периоде, в котором допущено нарушение, за каждый календарный день просрочки.