Постановление Правительства РФ от 14.09.2020 N 1426

"Об утверждении Правил предоставления субсидий российским организациям промышленности на возмещение части затрат на обслуживание кредитов, направленных на увеличение объемов реализации продукции и повышение конкурентоспособности Российской промышленной продукции"
Редакция от 16.08.2021 — Документ утратил силу, см. «Постановление Правительства РФ от 23.08.2024 N 1131»
Показать изменения

ПРАВИТЕЛЬСТВО РОССИЙСКОЙ ФЕДЕРАЦИИ

ПОСТАНОВЛЕНИЕ
от 14 сентября 2020 г. N 1426

ОБ УТВЕРЖДЕНИИ ПРАВИЛ ПРЕДОСТАВЛЕНИЯ СУБСИДИЙ РОССИЙСКИМ ОРГАНИЗАЦИЯМ ПРОМЫШЛЕННОСТИ НА ВОЗМЕЩЕНИЕ ЧАСТИ ЗАТРАТ НА ОБСЛУЖИВАНИЕ КРЕДИТОВ, НАПРАВЛЕННЫХ НА УВЕЛИЧЕНИЕ ОБЪЕМОВ РЕАЛИЗАЦИИ ПРОДУКЦИИ И ПОВЫШЕНИЕ КОНКУРЕНТОСПОСОБНОСТИ РОССИЙСКОЙ ПРОМЫШЛЕННОЙ ПРОДУКЦИИ

(в ред. Постановлений Правительства РФ от 31.12.2020 N 2456, от 16.08.2021 N 1337)

Правительство Российской Федерации постановляет:

Утвердить прилагаемые Правила предоставления субсидий российским организациям промышленности на возмещение части затрат на обслуживание кредитов, направленных на увеличение объемов реализации продукции и повышение конкурентоспособности российской промышленной продукции.

Председатель Правительства
Российской Федерации
М. МИШУСТИН

УТВЕРЖДЕНЫ
постановлением Правительства
Российской Федерации
от 14 сентября 2020 г. N 1426

ПРАВИЛА ПРЕДОСТАВЛЕНИЯ СУБСИДИЙ РОССИЙСКИМ ОРГАНИЗАЦИЯМ ПРОМЫШЛЕННОСТИ НА ВОЗМЕЩЕНИЕ ЧАСТИ ЗАТРАТ НА ОБСЛУЖИВАНИЕ КРЕДИТОВ, НАПРАВЛЕННЫХ НА УВЕЛИЧЕНИЕ ОБЪЕМОВ РЕАЛИЗАЦИИ ПРОДУКЦИИ И ПОВЫШЕНИЕ КОНКУРЕНТОСПОСОБНОСТИ РОССИЙСКОЙ ПРОМЫШЛЕННОЙ ПРОДУКЦИИ

(в ред. Постановлений Правительства РФ от 31.12.2020 N 2456, от 16.08.2021 N 1337)

1. Настоящие Правила устанавливают цели, условия и порядок предоставления субсидий российским организациям легкой промышленности на возмещение части затрат на обслуживание кредитов, направленных на увеличение объемов реализации продукции и повышение конкурентоспособности российской промышленной продукции в рамках подпрограммы "Содействие в реализации инвестиционных проектов и поддержка производителей высокотехнологичной продукции в гражданских отраслях промышленности" государственной программы Российской Федерации "Развитие промышленности и повышение ее конкурентоспособности" (далее - субсидии).

В целях применения настоящих Правил под организациями промышленности понимаются российские организации, осуществляющие деятельность в сфере легкой промышленности (далее - организация).

Субсидии предоставляются в целях возмещения части фактически произведенных и документально подтвержденных затрат, понесенных организациями на уплату процентов по кредитам (либо по траншам в рамках кредитных линий), полученным в российских кредитных организациях в 2019 - 2022 годах на пополнение оборотных средств в целях увеличения объемов реализации продукции и повышения конкурентоспособности российской промышленной продукции.

Сведения о субсидии в установленном порядке размещаются на едином портале бюджетной системы Российской Федерации в информационно-телекоммуникационной сети "Интернет" (в разделе "Бюджет") (далее - единый портал) при формировании проекта федерального закона о федеральном бюджете (проекта федерального закона о внесении изменений в федеральный закон о федеральном бюджете).

2. Субсидии предоставляются на основании соглашения о предоставлении субсидии, заключенного между организацией и Министерством промышленности и торговли Российской Федерации в соответствии с типовой формой, утвержденной Министерством финансов Российской Федерации (далее - соглашение о предоставлении субсидии).

3. Соглашение о предоставлении субсидии заключается по результатам проведения отбора в форме конкурса на право заключения соглашения о предоставлении субсидии (далее - конкурс) с организациями - победителями конкурса.

Конкурс проводится Министерством промышленности и торговли Российской Федерации не чаще 4 раз в год. Организации - победители конкурса определяются исходя из наилучших условий достижения целей предоставления субсидии, указанных в пункте 1 настоящих Правил.

4. Для участия в конкурсе организации представляют в Министерство промышленности и торговли Российской Федерации заявку на участие в конкурсе с указанием размера запрашиваемой субсидии (в произвольной форме) (далее - заявка), подписанную руководителем организации. (в ред. Постановления Правительства РФ от 16.08.2021 N 1337)

5. В целях проведения конкурса Министерство промышленности и торговли Российской Федерации принимает решение о проведении конкурса и в течение 10 рабочих дней размещает на едином портале и на официальном сайте Министерства промышленности и торговли Российской Федерации в информационно-телекоммуникационной сети "Интернет" (далее - сеть "Интернет") объявление о проведении конкурса с указанием: (в ред. Постановления Правительства РФ от 16.08.2021 N 1337)

сроков проведения конкурса - даты и времени начала и окончания подачи (приема) заявок (не менее 30 календарных дней со дня публикации объявления о проведении конкурса до окончания срока подачи заявок);

места нахождения, почтового адреса, адреса электронной почты Министерства промышленности и торговли Российской Федерации;

результата предоставления субсидии и показателя, необходимого для достижения результата предоставления субсидии, указанных в пункте 28 настоящих Правил; (в ред. Постановления Правительства РФ от 16.08.2021 N 1337)

доменного имени, и (или) сетевого адреса, и (или) указателей страниц сайта в сети "Интернет", на котором обеспечивается проведение конкурса;

требований к организациям, которым они должны соответствовать на дату не ранее чем на первое число месяца, предшествующего дате размещения объявления о проведении конкурса, указанных в пункте 7 настоящих Правил, и документов, представляемых организациями для подтверждения соответствия таким требованиям, указанных в пункте 8 настоящих Правил; (в ред. Постановления Правительства РФ от 16.08.2021 N 1337)

порядка подачи заявок организациями и требований, предъявляемых к форме и содержанию заявки;

порядка отзыва заявок организаций, порядка возврата заявок организаций, определяющего в том числе основания для возврата заявок организаций, и порядка внесения изменений в заявки;

правил рассмотрения и оценки заявок;

порядка предоставления организациям разъяснений положений объявления о проведении конкурса, даты начала и окончания срока такого предоставления;

срока, в течение которого организация - победитель (организации - победители) конкурса должна подписать соглашение о предоставлении субсидии;

условий признания организации - победителя (организаций - победителей) конкурса уклонившимся (уклонившимися) от заключения соглашения о предоставлении субсидии;

даты размещения результатов конкурса на едином портале и на официальном сайте Министерства промышленности и торговли Российской Федерации в сети "Интернет", которая не может быть позднее 14-го календарного дня, следующего за днем определения организации - победителя (организаций - победителей) конкурса.

6. Соглашение о предоставлении субсидии предусматривает согласие организации на проведение проверок соблюдения целей, условий и порядка предоставления субсидий Министерством промышленности и торговли Российской Федерации и органами государственного финансового контроля. (в ред. Постановления Правительства РФ от 16.08.2021 N 1337)

Соглашение о предоставлении субсидии, дополнительное соглашение к соглашению о предоставлении субсидии, в том числе дополнительное соглашение о расторжении соглашения о предоставлении субсидии заключаются с соблюдением требований о защите государственной тайны в соответствии с типовыми формами, установленными Министерством финансов Российской Федерации в государственной интегрированной информационной системе управления общественными финансами "Электронный бюджет".

Соглашение о предоставлении субсидии предусматривает в том числе порядок пересмотра условий соглашения о предоставлении субсидии и согласования новых условий соглашения о предоставлении субсидии в случае уменьшения Министерству промышленности и торговли Российской Федерации как получателю средств федерального бюджета ранее доведенных лимитов бюджетных обязательств, приводящего к невозможности предоставления субсидии в размере, определенном в соглашении о предоставлении субсидии, а также право Министерства промышленности и торговли Российской Федерации устанавливать в соглашении о предоставлении субсидии сроки и формы представления организацией дополнительной отчетности, значения результата предоставления субсидии и показателя, необходимого для достижения результата предоставления субсидии.

7. Организация на дату не ранее чем на первое число месяца, предшествующего дате размещения объявления о проведении конкурса, должна соответствовать следующим требованиям: (в ред. Постановления Правительства РФ от 16.08.2021 N 1337)

а) организация не должна являться иностранным юридическим лицом, а также российским юридическим лицом, в уставном (складочном) капитале которого доля участия иностранных юридических лиц, местом регистрации которых является государство или территория, включенные в утвержденный Министерством финансов Российской Федерации перечень государств и территорий, предоставляющих льготный налоговый режим налогообложения и (или) не предусматривающих раскрытия и предоставления информации при проведении финансовых операций (офшорные зоны), в совокупности превышает 50 процентов;

б) организация осуществляет деятельность в сфере легкой промышленности;

в) у организации должна отсутствовать неисполненная обязанность по уплате налогов, сборов, страховых взносов, пеней, штрафов, процентов, подлежащих уплате в соответствии с законодательством Российской Федерации о налогах и сборах;

г) у организации отсутствует просроченная задолженность по возврату в федеральный бюджет субсидий, бюджетных инвестиций, предоставленных в том числе в соответствии с иными правовыми актами, а также иная просроченная (неурегулированная) задолженность по денежным обязательствам перед Российской Федерацией; (в ред. Постановления Правительства РФ от 16.08.2021 N 1337)

д) организация не находится в процессе реорганизации (за исключением реорганизации в форме присоединения к организации другого юридического лица), ликвидации, в отношении ее не введена процедура банкротства, деятельность организации не приостановлена в порядке, предусмотренном законодательством Российской Федерации; (в ред. Постановления Правительства РФ от 16.08.2021 N 1337)

е) организация не получает из федерального бюджета средства на основании иных нормативных правовых актов Российской Федерации на цели, указанные в пункте 1 настоящих Правил;

ж) отношение объема реализации выпускаемой продукции собственного производства в отчетном году к объему реализации выпускаемой продукции собственного производства к 2019 году (базовый год) составляет в 2020 году не менее 50 процентов, 2021 году - не менее 90 процентов и 2022 году - не менее 110 процентов;

з) в государственной информационной системе промышленности содержатся сведения об организации, предусмотренные постановлением Правительства Российской Федерации от 21 декабря 2017 г. N 1604 "О предоставлении субъектами деятельности в сфере промышленности, органами государственной власти и органами местного самоуправления информации для включения в государственную информационную систему промышленности и размещении информации государственной информационной системы промышленности в открытом доступе в информационно-телекоммуникационной сети "Интернет";

и) кредитный договор заключен (либо предоставлен транш в рамках кредитной линии) после 1 января 2019 г.;

к) кредит предоставлен в валюте Российской Федерации на срок не более 3 лет;

л) целью предоставления кредита является пополнение оборотных средств организации, финансирование текущей деятельности организации; (в ред. Постановления Правительства РФ от 16.08.2021 N 1337)

м) доходы организации от реализации произведенных товаров, работ, услуг за год, предшествующий году проведения конкурса, указанные в строке 011 "выручка от реализации товаров (работ, услуг) собственного производства" подраздела "Доходы от реализации и внереализационные доходы" декларации по налогу на прибыль, составляют более 50 процентов всех доходов организации за этот год, определяемых как сумма значений строк 010 и 020 листа 2 декларации по налогу на прибыль;

н) сумма остатков ссудной задолженности по кредитам, исходя из которых начисляется субсидия в соответствии с настоящими Правилами, не превышает 50 процентов всех доходов организации, указанных в декларации по налогу на прибыль. При этом остаток ссудной задолженности для целей субсидии должен формироваться из средств, привлеченных по кредиту на цель, соответствующую цели, указанной в подпункте "л" настоящего пункта;

о) в реестре дисквалифицированных лиц отсутствуют сведения о дисквалифицированных руководителе, членах коллегиального исполнительного органа, лице, исполняющем функции единоличного исполнительного органа, или главном бухгалтере (при наличии) организации.

8. В целях подтверждения соответствия требованиям пункта 7 настоящих Правил организация прилагает к заявке следующие документы:

а) выписка из Единого государственного реестра юридических лиц, заверенная в установленном порядке (в случае непредставления организацией такого документа Министерство промышленности и торговли Российской Федерации запрашивает его самостоятельно);

б) справка о деятельности организации и продукции, выпускаемой организацией, по форме согласно приложению N 1 за год, предшествующий году заключения соглашения о предоставлении субсидии, и за период, прошедший с начала года до даты подачи заявки, заверенная подписью руководителя и скрепленная печатью (при наличии) организации;

в) копии форм федерального статистического наблюдения П-1 "Сведения о производстве и отгрузке товаров и услуг" за год, предшествующий году проведения конкурса, заверенные руководителем и главным бухгалтером (при наличии) организации и скрепленные печатью (при наличии) организации;

г) копия декларации по налогу на прибыль за год, предшествующий году проведения конкурса, представленной в налоговый орган;

д) копия кредитного договора, заверенная руководителем и главным бухгалтером (при наличии) организации и скрепленная печатью (при наличии) организации;

е) письмо о соответствии организации требованиям, указанным в подпунктах "м" и "н" пункта 7 настоящих Правил, подписанное руководителем и главным бухгалтером (при наличии) организации и скрепленное печатью (при наличии) организации;

ж) выписка по ссудному счету, подтверждающая размер ссудной задолженности по кредиту;

з) справка налогового органа, подтверждающая отсутствие у организации неисполненной обязанности по уплате налогов, сборов, страховых взносов, пеней, штрафов, процентов, подлежащих уплате в соответствии с законодательством Российской Федерации о налогах и сборах, заверенная организацией в установленном порядке (в случае непредставления организацией такого документа Министерство промышленности и торговли Российской Федерации запрашивает его самостоятельно);

и) справка, подтверждающая отсутствие просроченной задолженности по возврату в федеральный бюджет субсидий, бюджетных инвестиций, предоставленных в том числе в соответствии с иными правовыми актами, и иной просроченной (неурегулированной) задолженности по денежным обязательствам перед Российской Федерацией, подписанная руководителем и главным бухгалтером (при наличии) организации, скрепленная печатью (при наличии) организации; (в ред. Постановления Правительства РФ от 16.08.2021 N 1337)

к) справка о том, что организация не находится в процессе реорганизации (за исключением реорганизации в форме присоединения к организации другого юридического лица), ликвидации, в отношении ее не введена процедура банкротства, деятельность организации не приостановлена в порядке, предусмотренном законодательством Российской Федерации, подписанная руководителем и главным бухгалтером (при наличии) организации, скрепленная печатью (при наличии) организации; (в ред. Постановления Правительства РФ от 16.08.2021 N 1337)

л) справка, подписанная руководителем и главным бухгалтером (при наличии) организации, скрепленная печатью (при наличии) организации, подтверждающая, что организация не получает из федерального бюджета средства на основании иных нормативных правовых актов Российской Федерации на цели, указанные в пункте 1 настоящих Правил;

м) справка о том, что организация не является иностранным юридическим лицом, а также российским юридическим лицом, в уставном (складочном) капитале которых доля участия иностранных юридических лиц, местом регистрации которых является государство или территория, включенные в утвержденный Министерством финансов Российской Федерации перечень государств и территорий, предоставляющих льготный налоговый режим налогообложения и (или) не предусматривающих раскрытия и предоставления информации при проведении финансовых операций (офшорные зоны), в совокупности превышает 50 процентов, подписанная руководителем и главным бухгалтером (при наличии) организации, скрепленная печатью (при наличии) организации;

н) справка, подписанная руководителем организации (иным уполномоченным лицом), подтверждающая, что российской организацией выполнены требования, установленные Правилами предоставления субъектами деятельности в сфере промышленности, органами государственной власти и органами местного самоуправления информации для включения в государственную информационную систему промышленности, утвержденными постановлением Правительства Российской Федерации от 21 декабря 2017 г. N 1604 "О предоставлении субъектами деятельности в сфере промышленности, органами государственной власти и органами местного самоуправления информации для включения в государственную информационную систему промышленности и размещении информации государственной информационной системы промышленности в открытом доступе в информационно-телекоммуникационной сети "Интернет";

о) справка, составленная в произвольной форме, подписанная руководителем и главным бухгалтером (при наличии) организации, скрепленная печатью (при наличии) организации, подтверждающая, что в реестре дисквалифицированных лиц отсутствуют сведения о дисквалифицированных руководителе, членах коллегиального исполнительного органа, лице, исполняющем функции единоличного исполнительного органа, или главном бухгалтере (при наличии) организации, с приложением подтверждающих документов (в случае непредставления организацией такого документа Министерство промышленности и торговли Российской Федерации запрашивает его самостоятельно). (в ред. Постановления Правительства РФ от 16.08.2021 N 1337)

9. Документы, указанные в пункте 8 настоящих Правил, должны быть прошиты, пронумерованы и запечатаны в конверт.

Одна организация для участия в конкурсе может представить только одну заявку.

Подавая заявку, организация дает согласие на публикацию (размещение) в сети "Интернет" информации об организации, о подаваемой организацией заявке и иной информации, связанной с конкурсом.

10. Министерство промышленности и торговли Российской Федерации регистрирует заявки в порядке поступления в специальном журнале, который должен быть прошит, пронумерован и скреплен печатью Министерства промышленности и торговли Российской Федерации.

11. Министерство промышленности и торговли Российской Федерации в течение 20 рабочих дней рассматривает в порядке поступления заявки и прилагаемые к ним в соответствии с пунктом 8 настоящих Правил документы, проверяет их на соответствие требованиям, указанным в пункте 7 настоящих Правил и в объявлении о проведении конкурса, а также полноту и достоверность сведений, содержащихся в них. (в ред. Постановления Правительства РФ от 16.08.2021 N 1337)

12. Победителями конкурса признаются организации, которые по результатам рассмотрения признаются соответствующими требованиям, указанным в пунктах 7 и 8 настоящих Правил и в объявлении о проведении конкурса.

Критерием оценки заявок является соответствие представленных организацией документов требованиям, указанным в пунктах 7 и 8 настоящих Правил и в объявлении о проведении конкурса.

Министерство промышленности и торговли Российской Федерации присваивает порядковый номер заявкам, соответствующим указанным требованиям, в порядке поступления заявок.

13. Министерство промышленности и торговли Российской Федерации в течение 5 рабочих дней с даты окончания рассмотрения заявок заключает с организациями - победителями конкурса соглашение о предоставлении субсидии либо отклоняет (в письменной форме) заявку в следующих случаях: (в ред. Постановления Правительства РФ от 16.08.2021 N 1337)

а) представленные организацией документы не соответствуют пунктам 7 и 8 настоящих Правил и требованиям к заявкам, установленным в объявлении о проведении отбора, содержат недостоверную информацию, в том числе информацию о месте нахождения и адресе организации;

б) документы, предусмотренные пунктом 8 настоящих Правил, не представлены (представлены не в полном объеме);

в) лимит бюджетных обязательств, доведенных в установленном порядке до Министерства промышленности и торговли Российской Федерации как получателя средств федерального бюджета на цели, указанные в пункте 1 настоящих Правил, исчерпан;

г) заявка подана после даты и (или) времени, определенных для подачи заявок;

д) организация не соответствует требованиям, установленным пунктом 7 настоящих Правил.

14. В случае отказа организации заключить соглашение о предоставлении субсидии Министерство промышленности и торговли Российской Федерации заключает соглашение о предоставлении субсидии с организацией, порядковый номер заявки которой следует за порядковым номером заявки организации, отказавшейся от заключения соглашения о предоставлении субсидии.

15. В течение 10 рабочих дней после проведения конкурса на официальном сайте Министерства промышленности и торговли Российской Федерации в сети "Интернет" и едином портале размещается информация о результатах рассмотрения заявок, включающая следующие сведения: (в ред. Постановления Правительства РФ от 16.08.2021 N 1337)

дата, время и место проведения рассмотрения заявок;

дата, время и место оценки заявок организаций;

информация об организациях, заявки которых были рассмотрены;

информация об организациях, заявки которых были отклонены, с указанием причин их отклонения, в том числе положений объявления о проведении конкурса, которым не соответствуют такие заявки;

последовательность оценки заявок, присвоенные заявкам значения по критерию оценки заявок, указанному в пункте 12 настоящих Правил, принятое на основании результатов оценки заявок решение о присвоении таким заявкам порядковых номеров;

наименование получателя (получателей) субсидии, с которым заключается соглашение о предоставлении субсидии.

Информация о размере субсидии, предоставляемой организации, размещается на официальном сайте Министерства промышленности и торговли Российской Федерации в сети "Интернет" и едином портале в течение 5 рабочих дней после принятия решения о предоставлении субсидии. (в ред. Постановления Правительства РФ от 16.08.2021 N 1337)

16. Субсидия предоставляется в размере 70 процентов суммы фактических затрат организации на уплату процентов по кредиту.

При этом размер субсидии не может превышать величину, рассчитанную исходя из 70 процентов базового индикатора, рассчитанного в соответствии с постановлением Правительства Российской Федерации от 20 июля 2016 г. N 702 "О применении базовых индикаторов при расчете параметров субсидирования процентной ставки за счет средств федерального бюджета по кредитам, облигационным займам и (или) договорам лизинга в зависимости от сроков кредитования, а также определении предельного уровня конечной ставки кредитования, при превышении которого субсидирование процентной ставки не осуществляется". (в ред. Постановления Правительства РФ от 16.08.2021 N 1337)

Размер субсидии обосновывается организацией в соответствии с расчетом размера субсидии согласно приложению N 2.

17. Субсидии не предоставляются на уплату процентов, начисленных и уплаченных:

а) по просроченной ссудной задолженности;

б) по кредитам, ставка по которым превышает предельный уровень конечной ставки кредитования, определяемый в соответствии с постановлением Правительства Российской Федерации от 20 июля 2016 г. N 702 "О применении базовых индикаторов при расчете параметров субсидирования процентной ставки за счет средств федерального бюджета по кредитам, облигационным займам и (или) договорам лизинга в зависимости от сроков кредитования, а также определении предельного уровня конечной ставки кредитования, при превышении которого субсидирование процентной ставки не осуществляется".

18. Предоставление субсидии осуществляется ежемесячно, но не чаще одного раза в месяц. Для получения субсидии организация, с которой заключено соглашение о предоставлении субсидии, не позднее 15-го числа месяца, следующего за месяцем, в котором организация осуществила уплату начисленных процентов по кредиту, но не позднее 15 ноября текущего года направляет в Министерство промышленности и торговли Российской Федерации заявление о предоставлении субсидии с приложением к нему следующих документов:

а) выписка по ссудному счету организации, подтверждающая получение кредита, а также документы, подтверждающие своевременную уплату организацией начисленных процентов за пользование кредитом, фактически понесенные затраты по которому в соответствии с заявлением о предоставлении субсидии подлежат возмещению, и своевременное его погашение, которые заверены соответствующей кредитной организацией;

б) справка о целевом использовании кредита по форме согласно приложению N 3 с отметкой соответствующей кредитной организации, подтверждающей использование кредита на цели, указанные в пункте 1 настоящих Правил, и приложением копий платежных документов, заверенных руководителем организации. При этом использованием кредита в целях, указанных в пункте 1 настоящих Правил, признается осуществление организацией следующих расходов при производстве выпускаемой промышленной продукции, указанной в приложении N 1 к настоящим Правилам:

оплата труда, уплата страховых взносов на обязательное пенсионное, обязательное медицинское и обязательное социальное страхование на случай временной нетрудоспособности и в связи с материнством, взносов на обязательное социальное страхование от несчастных случаев на производстве и профессиональных заболеваний;

аренда помещений и оборудования, сервисное обслуживание и содержание основных средств;

проведение текущего ремонта и обслуживание находящегося в эксплуатации оборудования;

приобретение оборудования, не являющегося амортизируемым имуществом, приобретение товарно-материальных ценностей, включая сырье, материалы, расходные материалы, комплектующие, необходимые для производства, оснастку промышленного оборудования, инструменты, спецодежду;

обеспечение нормальных условий труда и мер по технике безопасности;

оплата услуг по охране имущества и иных услуг охранной деятельности;

оплата услуг по содержанию имущества, в том числе расходы на коммунальные услуги;

оплата транспортных и командировочных расходов;

оплата расходов на топливно-энергетические ресурсы;

оплата услуг связи, а также услуг, технологически неразрывно связанных с услугами связи;

уплата взносов по добровольному страхованию, если такое страхование является условием осуществления производственной деятельности;

приобретение неисключительных лицензий на программное обеспечение и оплата работ по конфигурированию и модернизации программ, а также на поддержку и обновление лицензионного программного обеспечения, в том числе баз данных;

оплата работ по созданию и поддержанию сайта в сети "Интернет";

финансирование опытно-конструкторских работ, приобретение неисключительных прав на результаты интеллектуальной деятельности и (или) средства индивидуализации, приобретение прав использования результатов интеллектуальной деятельности или средств индивидуализации;

подготовка и дополнительное профессиональное образование работников организации, приобретение справочной и технической литературы, а также курьерские услуги;

проведение мероприятий по размещению заказов на поставку товаров, выполнение работ и оказание услуг для обеспечения деятельности;

обеспечение участия в процедурах закупок товаров, работ и услуг и (или) исполнения обязательств, возникших в результате участия в процедурах закупок товаров, работ и услуг;

разработка технической, технологической и другой нормативно-регламентирующей документации;

оплата услуг переработки сырья и производства готовой продукции;

в) расчет размера субсидии по форме согласно приложению N 2 к настоящим Правилам;

г) справка, подписанная руководителем и главным бухгалтером (при наличии) организации, скрепленная печатью (при наличии) организации, с указанием банковских реквизитов расчетных счетов организации, на которые в случае принятия положительного решения будет перечислена субсидия;

д) справка, подписанная руководителем и главным бухгалтером (при наличии) организации, скрепленная печатью (при наличии) организации, об объемах реализации выпускаемой продукции в отчетном периоде с указанием объемов реализации выпускаемой продукции за соответствующий отчетному периоду период предыдущего года;

е) копия соглашения о реализации корпоративной программы повышения конкурентоспособности, заключенного в соответствии с постановлением Правительства Российской Федерации от 23 февраля 2019 г. N 191 "О государственной поддержке организаций, реализующих корпоративные программы повышения конкурентоспособности, и внесении изменения в Правила предоставления из федерального бюджета субсидии в виде имущественного взноса Российской Федерации в государственную корпорацию "Банк развития и внешнеэкономической деятельности (Внешэкономбанк)" на возмещение части затрат, связанных с поддержкой производства высокотехнологичной продукции" (при наличии).

ж) подпункт утратил силу. (в ред. Постановления Правительства РФ от 16.08.2021 N 1337)

19. Субсидии предоставляются в пределах лимитов бюджетных обязательств, доведенных в установленном порядке до Министерства промышленности и торговли Российской Федерации как получателя средств федерального бюджета на цели, предусмотренные пунктом 1 настоящих Правил.

20. Министерство промышленности и торговли Российской Федерации регистрирует в порядке поступления документы, указанные в пункте 18 настоящих Правил, в специальном журнале, который должен быть прошнурован, пронумерован и скреплен печатью Министерства промышленности и торговли Российской Федерации.

21. Министерство промышленности и торговли Российской Федерации рассматривает в течение 10 рабочих дней в порядке поступления документы, указанные в пункте 18 настоящих Правил, и проверяет полноту и достоверность содержащихся в них сведений, соответствие документов условиям соглашения о предоставлении субсидии. (в ред. Постановления Правительства РФ от 16.08.2021 N 1337)

Решение о предоставлении субсидии либо мотивированное решение об отказе в предоставлении субсидии принимается Министерством промышленности и торговли Российской Федерации по мере рассмотрения документов для получения субсидии, но не позднее 15 декабря текущего года.

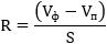
22. Решение о допуске организации к рассмотрению документов для получения субсидии принимается Министерством промышленности и торговли Российской Федерации путем ранжирования организаций (R), определяемого по формуле:

,

где:

- фактический объем реализации выпускаемой продукции в отчетном периоде (рублей);

- фактический объем реализации выпускаемой продукции за соответствующий отчетному периоду период базового 2019 года (рублей);

S - запрашиваемый организацией за отчетный период размер субсидии (рублей).

23. К ранжированию допускаются организации, у которых планируемый объем реализации выпускаемой продукции соответствует показателям, указанным в подпункте "ж" пункта 7 настоящих Правил.

24. Организации допускаются к рассмотрению документов для получения субсидии по результатам ранжирования в порядке убывания рангов организаций в пределах лимитов бюджетных обязательств, доведенных в установленном порядке до Министерства промышленности и торговли Российской Федерации как получателя средств федерального бюджета на цели, указанные в пункте 1 настоящих Правил.

В случае равенства показателя ранжирования у нескольких организаций более высокий ранг присваивается в первую очередь организациям, заключившим соглашение о реализации корпоративной программы повышения конкурентоспособности и предоставившим копию этого соглашения в соответствии с подпунктом "е" пункта 18 настоящих Правил, во вторую очередь - организациям, запрашивающим меньшую сумму субсидии.

25. Основаниями для отказа в предоставлении субсидии являются:

а) несоответствие представленных документов пункту 18 настоящих Правил;

б) установление факта недостоверности представленной организацией информации;

в) непредставление (представление не в полном объеме) документов, указанных в пункте 18 настоящих Правил;

г) наличие в составе заявления о предоставлении субсидии (или в справке о целевом использовании кредита) сведений о расходах при производстве промышленной продукции, не указанных в подпункте "б" пункта 18 настоящих Правил;

д) подпункт утратил силу. (в ред. Постановления Правительства РФ от 16.08.2021 N 1337)

е) исчерпание лимитов бюджетных обязательств, доведенных в установленном порядке до Министерства промышленности и торговли Российской Федерации как получателя средств федерального бюджета на цели, указанные в пункте 1 настоящих Правил.

ж) подпункт утратил силу. (в ред. Постановления Правительства РФ от 16.08.2021 N 1337)

26. Министерство промышленности и торговли Российской Федерации в течение 10 рабочих дней со дня принятия решения о предоставлении субсидии уведомляет в письменной форме о принятом решении организацию, подавшую заявление о предоставлении субсидии. (в ред. Постановления Правительства РФ от 16.08.2021 N 1337)

27. Перечисление субсидии осуществляется не позднее 10-го рабочего дня после принятия решения о предоставлении субсидии в установленном порядке на расчетный счет организации, открытый в российской кредитной организации, исходя из размера субсидии, предусмотренного приложением N 2 к настоящим Правилам.

28. Результатом предоставления субсидии в соответствии с настоящими Правилами является прирост объема реализации продукции в отчетном году.

Показателем, необходимым для достижения результата предоставления субсидии по соглашениям о предоставлении субсидии, заключенным с организациями, является осуществление в 2020 году реализации выпускаемой продукции собственного производства в объеме не менее 50 процентов объема выпускаемой продукции собственного производства, реализованной организацией в 2019 (базовом) году (в стоимостном выражении), 2021 году - не менее 90 процентов к 2019 году и 2022 году - не менее 110 процентов к 2019 году.

Показатель, необходимый для достижения результата предоставления субсидии (K), определяется по формуле:

,

где:

d - объем реализации выпускаемой продукции собственного производства в отчетном году;

D - объем реализации выпускаемой продукции собственного производства в 2019 году.

29. Организации, получившие субсидию в отчетном году, обязаны представить не позднее 1 марта года, следующего за отчетным финансовым годом, отчет о достижении в отчетном году результата предоставления субсидии и показателя, необходимого для достижения результата предоставления субсидии, по форме установленной типовой формой соглашения, утвержденной Министерством финансов Российской Федерации, с приложением к отчету копий форм федерального статистического наблюдения N П-1 "Сведения о производстве и отгрузке товаров и услуг".

30. Информация о размерах и сроках перечисления субсидий учитывается Министерством промышленности и торговли Российской Федерации при формировании прогноза кассовых выплат из федерального бюджета, необходимого для составления в установленном порядке кассового плана исполнения федерального бюджета.

31. Министерство промышленности и торговли Российской Федерации и органы государственного финансового контроля проводят обязательные проверки соблюдения организацией целей, условий и порядка предоставления субсидии. (в ред. Постановления Правительства РФ от 16.08.2021 N 1337)

32. В случае нарушения организацией - получателем субсидии условий, установленных при предоставлении субсидии, выявленного в том числе по фактам проверок, проведенных Министерством промышленности и торговли Российской Федерации и (или) органами государственного финансового контроля, организация обязана возвратить в доход федерального бюджета в порядке, установленном бюджетным законодательством Российской Федерации, полученную в соответствующем отчетном финансовом году субсидию в полном объеме с уплатой за каждый день со дня предоставления субсидии пеней, размер которых составляет одну трехсотую ключевой ставки Центрального банка Российской Федерации суммы субсидии, действующей на первый день предоставления средств субсидии: (в ред. Постановления Правительства РФ от 16.08.2021 N 1337)

а) на основании требования Министерства промышленности и торговли Российской Федерации - не позднее 10-го рабочего дня со дня получения организацией указанного требования;

б) на основании представления и (или) предписания органа государственного финансового контроля - в сроки, установленные в соответствии с бюджетным законодательством Российской Федерации. (в ред. Постановления Правительства РФ от 16.08.2021 N 1337)

33. В случае недостижения в отчетном году значения результата предоставления субсидии, показателя, необходимого для достижения результата предоставления субсидии, указанного в пункте 28 настоящих Правил, субсидия подлежит взысканию в доход федерального бюджета в части, пропорциональной отклонению объема реализации продукции от величины, установленной пунктом 28 настоящих Правил, с уплатой начиная с отчета за отчетный период пеней, размер которых составляет одну трехсотую ключевой ставки Центрального банка Российской Федерации возвращаемой суммы субсидии, действующей на первый день предоставления средств субсидии, за каждый день с даты предоставления субсидии.

34. Возврат субсидий в соответствии с пунктом 33 настоящих Правил не применяется в случае, если исполнение обязательств по достижению результата предоставления субсидии оказалось невозможным вследствие обстоятельств непреодолимой силы.

Приложение N 1
к Правилам предоставления
субсидий российским организациям
промышленности на возмещение части
затрат на обслуживание кредитов,
направленных на увеличение объемов
реализации продукции и повышение
конкурентоспособности российской
промышленной продукции

(форма)

СПРАВКА О ДЕЯТЕЛЬНОСТИ ОРГАНИЗАЦИИ ПРОМЫШЛЕННОСТИ, ОСУЩЕСТВЛЯЮЩЕЙ ДЕЯТЕЛЬНОСТЬ В СФЕРЕ ЛЕГКОЙ ПРОМЫШЛЕННОСТИ, И ПРОДУКЦИИ, ВЫПУСКАЕМОЙ УКАЗАННОЙ ОРГАНИЗАЦИЕЙ <*>

(в ред. Постановления Правительства РФ от 16.08.2021 N 1337)

Период Наименование продукции Объем
произведенной продукции
(в натуральном выражении <**>)
произведенной продукции
(тыс. рублей)
реализованной продукции
(тыс. рублей)
(в ред. Постановления Правительства РФ от 16.08.2021 N 1337)
       
       
Руководитель организации      
  (подпись)   (ф.и.о.)
Главный бухгалтер организации (при наличии)      
  (подпись)   (ф.и.о.)
"__" _________ 20__ г.
М.П. (при наличии)

<*> Заполняется включительно по квартал, предшествующий дате составления настоящей справки.

<**> Указывается с расшифровкой единицы произведенной продукции в физических мерах (веса, длины, объема и др.). (в ред. Постановления Правительства РФ от 16.08.2021 N 1337)

Приложение N 2
к Правилам предоставления
субсидий российским организациям
промышленности на возмещение части
затрат на обслуживание кредитов,
направленных на увеличение объемов
реализации продукции и повышение
конкурентоспособности российской
промышленной продукции

(форма)

РАСЧЕТ РАЗМЕРА СУБСИДИИ, ПРЕДОСТАВЛЯЕМОЙ РОССИЙСКИМ ОРГАНИЗАЦИЯМ ПРОМЫШЛЕННОСТИ НА ВОЗМЕЩЕНИЕ ЧАСТИ ЗАТРАТ НА ОБСЛУЖИВАНИЕ КРЕДИТОВ, НАПРАВЛЕННЫХ НА УВЕЛИЧЕНИЕ ОБЪЕМОВ РЕАЛИЗАЦИИ ПРОДУКЦИИ И ПОВЫШЕНИЕ КОНКУРЕНТОСПОСОБНОСТИ РОССИЙСКОЙ ПРОМЫШЛЕННОЙ ПРОДУКЦИИ

(в ред. Постановления Правительства РФ от 16.08.2021 N 1337)

Расчетный период (период, затраты по которому в соответствии с заявлением на предоставление субсидии подлежат возмещению)
 
(полное наименование организации)
ИНН   КПП   расчетный счет  
в                     БИК  
  (наименование кредитной организации)                  
корреспондентский счет                                  
код вида деятельности организации по ОКВЭД2                          
(цель кредита)
по кредитному договору от "__" __________ 20__ г. N _______________
в                                      
  (наименование кредитной организации)
в период с "__" __________ 20__ г. по "__" ___________ 20__ г.                
1. Дата предоставления кредита                                
2. Срок погашения кредита по кредитному договору                              
3. Сумма полученного кредита                                
4. Процентная ставка по кредиту                                
5. Размер базового индикатора                                

(в ред. Постановления Правительства РФ от 16.08.2021 N 1337)

Остаток ссудной задолженности, исходя из которой начисляется субсидия Количество дней пользования кредитом в расчетном периоде (периоде, затраты по которому в соответствии с заявлением подлежат возмещению) Размер субсидии
Размер субсидии
1 2 3 4

Размер субсидии ______________ рублей (минимальная величина из графы 3 или 4)

Руководитель организации    
  (подпись)   (ф.и.о.)
Главный бухгалтер организации (при наличии)    
  (подпись)   (ф.и.о.)
"__" _________ 20__ г.
М.П. (при наличии)

Расчет подтверждается:

Руководитель кредитной организации      
  (подпись)   (ф.и.о.)
Главный бухгалтер организации (при наличии)      
  (подпись)   (ф.и.о.)
"__" __________ 20__ г.
М.П. (при наличии)

<*> Без учета задолженности по кредитам и процентам по ним, уплаченным с нарушением установленного графика.

Приложение N 3
к Правилам предоставления
субсидий российским организациям
промышленности на возмещение части
затрат на обслуживание кредитов,
направленных на увеличение объемов
реализации продукции и повышение
конкурентоспособности российской
промышленной продукции

(форма)

СПРАВКА О ЦЕЛЕВОМ ИСПОЛЬЗОВАНИИ КРЕДИТА, НАПРАВЛЕННОГО НА УВЕЛИЧЕНИЕ ОБЪЕМОВ РЕАЛИЗАЦИИ ПРОДУКЦИИ И ПОВЫШЕНИЕ КОНКУРЕНТОСПОСОБНОСТИ РОССИЙСКОЙ ПРОМЫШЛЕННОЙ ПРОДУКЦИИ

Номер и дата заключения кредитного договора (открытия кредитной линии) Сумма кредита - всего (рублей) Дата получения кредитных средств (транша в рамках кредитной линии) в соответствии с кредитным договором, подлежащих субсидированию Сумма полученных кредитных средств, подлежащих субсидированию (рублей) Целевое использование кредита
вид расходов <*> сумма расходов (рублей) номер и дата платежного поручения, подтверждающего несение расходов
           

Использование кредита на цели, указанные в кредитном договоре от "__" __________ 20__ г. N _____ ___________, подтверждаю.

Руководитель кредитной организации      
  (подпись)   (ф.и.о.)
Руководитель организации      
  (подпись)   (ф.и.о.)
Главный бухгалтер организации (при наличии)      
  (подпись)   (ф.и.о.)
М.П. (при наличии)

<*> Вид расходов указывается в соответствии с подпунктом "б" пункта 18 Правил предоставления субсидий российским организациям промышленности на возмещение части затрат на обслуживание кредитов, направленных на увеличение объемов реализации продукции и повышение конкурентоспособности российской промышленной продукции, утвержденных постановлением Правительства Российской Федерации от 14 сентября 2020 г. N 1426 "Об утверждении Правил предоставления субсидий российским организациям промышленности на возмещение части затрат на обслуживание кредитов, направленных на увеличение объемов реализации продукции и повышение конкурентоспособности российской промышленной продукции".