Постановление Правительства РФ от 23.08.2021 N 1380

"Об утверждении Правил предоставления субсидий из федерального бюджета российским организациям на финансовое обеспечение части затрат на разработку конкурентоспособных нишевых аппаратно-программных комплексов для целей искусственного интеллекта"
Редакция от 23.08.2021 — Действует с 26.08.2021

ПРАВИТЕЛЬСТВО РОССИЙСКОЙ ФЕДЕРАЦИИ

ПОСТАНОВЛЕНИЕ
от 23 августа 2021 г. N 1380

ОБ УТВЕРЖДЕНИИ ПРАВИЛ ПРЕДОСТАВЛЕНИЯ СУБСИДИЙ ИЗ ФЕДЕРАЛЬНОГО БЮДЖЕТА РОССИЙСКИМ ОРГАНИЗАЦИЯМ НА ФИНАНСОВОЕ ОБЕСПЕЧЕНИЕ ЧАСТИ ЗАТРАТ НА РАЗРАБОТКУ КОНКУРЕНТОСПОСОБНЫХ НИШЕВЫХ АППАРАТНО-ПРОГРАММНЫХ КОМПЛЕКСОВ ДЛЯ ЦЕЛЕЙ ИСКУССТВЕННОГО ИНТЕЛЛЕКТА

Правительство Российской Федерации постановляет:

1. Утвердить прилагаемые Правила предоставления субсидий из федерального бюджета российским организациям на финансовое обеспечение части затрат на разработку конкурентоспособных нишевых аппаратно-программных комплексов для целей искусственного интеллекта.

2. Настоящее постановление вступает в силу со дня его официального опубликования.

Председатель Правительства
Российской Федерации
М. МИШУСТИН

УТВЕРЖДЕНЫ
постановлением Правительства
Российской Федерации
от 23 августа 2021 г. N 1380

ПРАВИЛА ПРЕДОСТАВЛЕНИЯ СУБСИДИЙ ИЗ ФЕДЕРАЛЬНОГО БЮДЖЕТА РОССИЙСКИМ ОРГАНИЗАЦИЯМ НА ФИНАНСОВОЕ ОБЕСПЕЧЕНИЕ ЧАСТИ ЗАТРАТ НА РАЗРАБОТКУ КОНКУРЕНТОСПОСОБНЫХ НИШЕВЫХ АППАРАТНО-ПРОГРАММНЫХ КОМПЛЕКСОВ ДЛЯ ЦЕЛЕЙ ИСКУССТВЕННОГО ИНТЕЛЛЕКТА

1. Настоящие Правила устанавливают цели, условия и порядок предоставления субсидий из федерального бюджета российским организациям на финансовое обеспечение части затрат на разработку конкурентоспособных нишевых аппаратно-программных комплексов для целей искусственного интеллекта (далее - субсидии).

Субсидии предоставляются в целях разработки указанных конкурентоспособных нишевых аппаратно-программных комплексов в соответствии с мероприятиями, предусмотренными федеральным проектом "Искусственный интеллект" национальной программы "Цифровая экономика Российской Федерации", имея в виду разработку до 2024 года не менее 3 комплексов.

Ежегодно субсидии предоставляются на финансирование не менее 2 комплексных проектов.

Субсидии предоставляются в рамках подпрограммы "Развитие производства систем интеллектуального управления" государственной программы Российской Федерации "Развитие электронной и радиоэлектронной промышленности".

2. Основные понятия, используемые в настоящем постановлении, означают следующее:

"аппаратно-программный комплекс" - комплекс, состоящий из аппаратного и программного обеспечения российского производства, в который в обязательном порядке входят микропроцессор или специализированное ядро, созданные для целей обучения или исполнения моделей искусственного интеллекта, а также программное обеспечение, позволяющее обучать или исполнять модели искусственного интеллекта на этом микропроцессоре (специализированном ядре);

"высокотехнологичное рабочее место" - рабочее место, созданное российской организацией в рамках реализации комплексного проекта и соответствующее следующим критериям:

оснащение технологическим оборудованием, и (или) специализированными средствами проектирования, и (или) высокопроизводительными системами вычислений;

наличие трудовых отношений с работником, занятым на данном рабочем месте и имеющим профильное образование и высокую квалификацию;

"искусственный интеллект" - комплекс технологических решений, позволяющий имитировать когнитивные функции человека (включая самообучение и поиск решений без заранее заданного алгоритма) и получать при выполнении конкретных задач результаты, сопоставимые как минимум с результатами интеллектуальной деятельности человека. Комплекс технологических решений включает в себя информационно-коммуникационную инфраструктуру, программное обеспечение (в котором в том числе используются методы машинного обучения), процессы и сервисы по обработке данных и поиску решений;

"комплексный проект" - комплекс взаимоувязанных мероприятий по разработке конкурентоспособных нишевых аппаратно-программных комплексов, ограниченный по времени и ресурсам, включающий в том числе следующие мероприятия:

выполнение научно-исследовательских, опытно-конструкторских и технологических работ по созданию аппаратно-программных комплексов;

организация тестирования опытных образцов аппаратно-программных комплексов в соответствующих отраслях экономики;

организация серийного выпуска аппаратно-программных комплексов, в том числе создание инфраструктуры;

коммерциализация произведенных аппаратно-программных комплексов;

"конкурентоспособный нишевый аппаратно-программный комплекс" - аппаратно-программный комплекс, разрабатываемый для целевого сегмента рынка (заказчика), не направленный при этом на широкое применение на всем рынке аппаратно-программных комплексов, обладающий конкурентными преимуществами относительно имеющихся аналогов таких комплексов;

"отчетный период" - каждый период реализации комплексного проекта, по результатам которого российская организация обязана представлять в Министерство промышленности и торговли Российской Федерации отчетность в соответствии с подпунктами "б" и "в" пункта 31 и пунктом 32 настоящих Правил;

"период реализации комплексного проекта" - период реализации комплексного проекта в соответствии с планом-графиком финансового обеспечения реализации комплексного проекта за счет субсидии, а также за счет собственных и (или) заемных средств (далее - план-график финансового обеспечения), равный 12 месяцам (с 1 октября по 30 сентября);

"российская организация" - юридическое лицо, образованное в соответствии с законодательством Российской Федерации, информация о котором размещена в открытом доступе в государственной информационной системе промышленности в информационно-телекоммуникационной сети "Интернет" (далее - сеть "Интернет");

"сквозной проект" - комплекс взаимоувязанных мероприятий, направленных на внедрение конкурентоспособных нишевых аппаратно-программных комплексов или систем интеллектуального управления, включающий в том числе проведение научно-исследовательских и опытно-конструкторских работ по разработке радиоэлектронной продукции, организацию производства продукции, создание встроенного программного обеспечения, адаптацию существующего программного обеспечения, а также вывод продукции на рынок с гарантированным объемом ее потребления в различных отраслях экономики, превышающим затраты на реализацию указанных мероприятий, одобренный Общественным экспертным советом по использованию электроники в отраслях экономики при президиуме Правительственной комиссии по цифровому развитию, использованию информационных технологий для улучшения качества жизни и условий ведения предпринимательской деятельности;

"якорный заказчик" - российская организация, выступающая в качестве основного потребителя результата сквозного проекта.

3. Сведения о субсидиях в установленном порядке размещаются на едином портале бюджетной системы Российской Федерации в сети "Интернет" (далее - единый портал) при формировании проекта федерального закона о федеральном бюджете (проекта федерального закона о внесении изменений в федеральный закон о федеральном бюджете).

4. Для заключения Министерством промышленности и торговли Российской Федерации соглашений о предоставлении субсидий с российскими организациями - получателями субсидий в государственной интегрированной информационной системе управления общественными финансами "Электронный бюджет" в соответствии с типовой формой, утвержденной Министерством финансов Российской Федерации (далее соответственно - соглашения, типовая форма), осуществляется отбор российских организаций способом проведения конкурса на основании заявок российских организаций, направленных в Министерство промышленности и торговли Российской Федерации (далее соответственно - заявка, отбор), исходя из наилучших условий достижения результата предоставления субсидии в соответствии с пунктом 13 настоящих Правил и показателей, необходимых для достижения результата предоставления субсидии, в соответствии с пунктом 14 настоящих Правил.

5. Российская организация - участник отбора на 1-е число месяца, предшествующего месяцу подачи заявки в соответствии с пунктом 18 настоящих Правил, должна соответствовать следующим требованиям:

а) у российской организации отсутствует неисполненная обязанность по уплате налогов, сборов, страховых взносов, пеней, штрафов и процентов, подлежащих уплате в соответствии с законодательством Российской Федерации о налогах и сборах;

б) у российской организации отсутствуют просроченная задолженность по возврату в федеральный бюджет субсидий, бюджетных инвестиций, предоставленных в том числе в соответствии с иными правовыми актами, и иная просроченная (неурегулированная) задолженность по денежным обязательствам перед Российской Федерацией;

в) российская организация не находится в процессе реорганизации (за исключением реорганизации в форме присоединения к российской организации - участнику отбора другого юридического лица), ликвидации, в отношении российской организации не введена процедура банкротства, ее деятельность не приостановлена в порядке, предусмотренном законодательством Российской Федерации;

г) российская организация не является иностранным юридическим лицом, а также российским юридическим лицом, в уставном (складочном) капитале которого доля участия иностранных юридических лиц, местом регистрации которых является государство (территория), включенное в утвержденный Министерством финансов Российской Федерации перечень государств и территорий, предоставляющих льготный налоговый режим налогообложения и (или) не предусматривающих раскрытия и предоставления информации при проведении финансовых операций (офшорные зоны), в совокупности превышает 50 процентов;

д) российская организация не получает средства из федерального бюджета на основании иных нормативных правовых актов Российской Федерации на цели, указанные в пункте 1 настоящих Правил;

е) в реестре дисквалифицированных лиц отсутствуют сведения о дисквалифицированных руководителе, членах коллегиального исполнительного органа, лице, исполняющем функции единоличного исполнительного органа, или главном бухгалтере (при наличии) российской организации.

6. Помимо требований, установленных пунктом 5 настоящих Правил, российская организация - участник отбора должна соответствовать следующим критериям:

а) российская организация реализует или планирует реализовывать комплексный проект;

б) среднесписочная численность работников российской организации за предшествующий календарный год составляет не менее 20 человек;

в) российская организация создана не менее чем за 3 года до даты подачи заявки, либо в случае, если российская организация создана менее чем за 3 года до даты подачи заявки, она является дочерним обществом российской организации, созданной не менее чем за 3 года до даты подачи заявки, с долей участия в уставном капитале не менее 50 процентов, либо включена (входит) в перечень системообразующих предприятий российской экономики или является дочерним обществом такой российской организации с долей участия в уставном капитале не менее 50 процентов;

г) российская организация обладает финансово-экономической устойчивостью в соответствии с методикой оценки финансово-экономического состояния российской организации согласно приложению N 1. В случае если российская организация - участник отбора создана менее чем за 3 года до даты подачи заявки, оценка финансово-экономического состояния, предусмотренная приложением N 1 к настоящим Правилам, осуществляется в отношении российской организации, имеющей долю в уставном капитале российской организации - участника отбора не менее 50 процентов;

д) за последние 3 года с российской организацией не было расторгнуто соглашение о предоставлении субсидии, заключенное в рамках государственной программы Российской Федерации "Развитие электронной и радиоэлектронной промышленности", в том числе в одностороннем порядке Министерством промышленности и торговли Российской Федерации.

7. Комплексный проект, реализуемый российской организацией, должен соответствовать следующим критериям:

а) срок реализации комплексного проекта составляет не более 6 лет;

б) осуществляется разработка не менее одного конкурентоспособного нишевого аппаратно-программного комплекса;

в) срок разработки и тестирования опытных образцов конкурентоспособных нишевых аппаратно-программных комплексов не превышает 3 лет.

8. Субсидируемые расходы российских организаций на разработку конкурентоспособных нишевых аппаратно-программных комплексов включают в себя непосредственно связанные с реализацией комплексного проекта следующие затраты (расходы):

а) расходы на оплату труда работников, непосредственно участвующих в реализации комплексного проекта, а также расходы на обязательное пенсионное страхование, обязательное социальное страхование на случай временной нетрудоспособности и в связи с материнством, обязательное медицинское страхование, обязательное социальное страхование от несчастных случаев на производстве и профессиональных заболеваний, начисленные на указанные суммы расходов на оплату труда, в размере не менее 25 процентов и не более 80 процентов размера предоставленной субсидии в отчетном периоде;

б) накладные расходы в размере не более 100 процентов суммы расходов, указанных в подпункте "а" настоящего пункта, включающие:

расходы на оплату труда работников, непосредственно занятых выполнением работ в рамках реализации комплексного проекта, входящих в состав административно-управленческого персонала российской организации, связанных с ее планово-хозяйственной деятельностью, а также расходы на обязательное пенсионное страхование, обязательное социальное страхование на случай временной нетрудоспособности и в связи с материнством, обязательное медицинское страхование, обязательное социальное страхование от несчастных случаев на производстве и профессиональных заболеваний, начисленные на указанные суммы расходов на оплату труда;

расходы на аренду зданий, строений и сооружений, которые российская организация использует для реализации комплексного проекта;

расходы на обслуживание и ремонт зданий, строений и сооружений, которые российская организация использует для реализации комплексного проекта;

расходы на оснащение и обслуживание высокотехнологичных рабочих мест, создаваемых и модернизируемых в ходе выполнения научно-исследовательских, опытно-конструкторских и технологических работ в рамках реализации комплексного проекта;

расходы на приобретение у российских организаций и иностранных (в случае отсутствия российских аналогов) организаций неисключительных лицензий на результаты интеллектуальной деятельности, необходимых для реализации комплексного проекта;

расходы на оплату транспортировки грузов, непосредственно связанных с реализацией комплексного проекта;

в) расходы по договорам на выполнение научно-исследовательских, опытно-конструкторских и технологических работ, выполняемых сторонними организациями, в размере не более 30 процентов размера предоставленной субсидии в отчетном периоде, за исключением выполнения научно-исследовательских, опытно-конструкторских и технологических работ дочерними организациями и организациями, входящими в реестр российских организаций, оказывающих услуги (выполняющих работы) по проектированию и разработке изделий электронной компонентной базы и электронной (радиоэлектронной) продукции, в соответствии с постановлением Правительства Российской Федерации от 31 декабря 2020 г. N 2392 "О ведении реестра российских организаций, оказывающих услуги (выполняющих работы) по проектированию и разработке изделий электронной компонентной базы и электронной (радиоэлектронной) продукции";

г) расходы на приобретение и (или) изготовление (в том числе проектирование, транспортировку, монтаж, пусконаладочные работы и испытание) макетов, стендов, установок, контрольно-измерительной и иной аппаратуры, приборов, технологической оснастки, а также другого специального оборудования, необходимого для разработки конкурентоспособных нишевых аппаратно-программных комплексов, в размере не более 30 процентов размера предоставленной субсидии в отчетном периоде;

д) расходы на приобретение у российских организаций неисключительных лицензий на программное обеспечение, необходимое для разработки конкурентоспособных нишевых аппаратно-программных комплексов, в размере не более 40 процентов размера предоставленной субсидии в отчетном периоде;

е) расходы на производство опытного образца и опытной серии конкурентоспособных нишевых аппаратно-программных комплексов, в том числе на приобретение материалов и покупных комплектующих изделий, их тестирование, сертификацию и (или) регистрацию, а также на проведение испытаний, в размере не более 20 процентов размера предоставленной субсидии в отчетном периоде;

ж) расходы на аренду (лизинг) технологического оборудования и технологической оснастки, необходимых для реализации комплексного проекта, в размере не более 10 процентов размера предоставленной субсидии в отчетном периоде;

з) расходы на обеспечение правовой охраны созданных в ходе выполнения научно-исследовательских, опытно-конструкторских и технологических работ результатов интеллектуальной деятельности, включая патентование, в том числе за рубежом, в размере не более 5 процентов размера предоставленной субсидии в отчетном периоде.

9. Затраты (расходы) на закупку товаров, работ, услуг определяются исходя из стоимости доступных на рынке аналогов.

10. Размер собственных и (или) заемных средств, привлекаемых российской организацией по каждому комплексному проекту в течение срока реализации комплексного проекта, не должен составлять менее 30 процентов стоимости комплексного проекта и должен привлекаться на финансовое обеспечение затрат (расходов), указанных в пункте 8 настоящих Правил, возникших со дня начала реализации комплексного проекта, но не ранее 1 января года, в котором заключено соглашение.

Собственные и (или) заемные средства должны привлекаться российской организацией в рамках каждого периода реализации комплексного проекта в размере не менее 15 процентов размера субсидии за каждый соответствующий период.

11. Субсидии предоставляются российским организациям, прошедшим отбор, на финансовое обеспечение части затрат (расходов), указанных в пункте 8 настоящих Правил, осуществленных российской организацией в пределах объемов затрат, предусмотренных бизнес-планом комплексного проекта, обязательства по которым возникли не ранее календарного года получения субсидии, в том числе до заключения соглашения, и максимального ежегодного размера субсидии, установленного пунктом 12 настоящих Правил.

12. Максимальный ежегодный размер субсидии, предоставляемой российской организации по одному комплексному проекту, составляет не более 500 млн рублей.

13. Результатом предоставления субсидии на дату окончания реализации комплексного проекта является разработка российской организацией в рамках реализации комплексного проекта не менее одного конкурентоспособного нишевого аппаратно-программного комплекса.

14. Показателями, необходимыми для достижения результата предоставления субсидии, являются:

а) достижение на дату окончания реализации комплексного проекта объема производства и реализации конкурентоспособных нишевых аппаратно-программных комплексов, включая реализацию исключительных и неисключительных прав на результаты интеллектуальной деятельности и их составных частей, созданных в рамках комплексного проекта, превышающих не менее чем в 2 раза размер предоставленной субсидии;

б) количество создаваемых и модернизируемых высокотехнологичных рабочих мест в рамках реализации комплексного проекта;

в) соотношение размера субсидии, запрашиваемой на разработку конкурентоспособных нишевых аппаратно-программных комплексов в рамках реализации комплексного проекта, и размера собственных и (или) заемных средств, планируемых к привлечению для реализации комплексного проекта;

г) количество созданных результатов интеллектуальной деятельности, охраняемых патентами и (или) удовлетворяющих условиям патентоспособности, а также охраняемых в качестве секретов производства (ноу-хау), в том числе ключевых технических решений.

15. Отбор проводится конкурсной комиссией, образуемой Министерством промышленности и торговли Российской Федерации, в целях определения победителей отбора.

Отбор проводится при наличии лимитов бюджетных обязательств, доведенных в установленном порядке до Министерства промышленности и торговли Российской Федерации как получателя средств федерального бюджета на цели, указанные в пункте 1 настоящих Правил.

В случае наличия неиспользованных лимитов бюджетных обязательств, образовавшихся по результатам проведения первого отбора, Министерство промышленности и торговли Российской Федерации вправе провести в течение финансового года дополнительные отборы с учетом ранее принятых обязательств по предоставлению субсидий.

Заключение соглашений осуществляется не позднее 30-го рабочего дня после определения победителя по результатам проведения отбора.

Отбор проводится с соблюдением сроков, установленных пунктом 26.2 Положения о мерах по обеспечению исполнения федерального бюджета, утвержденного постановлением Правительства Российской Федерации от 9 декабря 2017 г. N 1496 "О мерах по обеспечению исполнения федерального бюджета".

16. В целях проведения отбора Министерство промышленности и торговли Российской Федерации:

а) разрабатывает и утверждает методику проведения научно-технической оценки комплексных проектов, которая подлежит публикации на официальном сайте Министерства промышленности и торговли Российской Федерации в сети "Интернет";

б) размещает в течение 10 рабочих дней после принятия решения о проведении отбора на едином портале, а также на официальном сайте Министерства промышленности и торговли Российской Федерации в сети "Интернет" объявление о проведении отбора с указанием:

сроков проведения отбора (дата и время начала (окончания) подачи заявок российскими организациями), которые не могут быть меньше 30 календарных дней, следующих за днем размещения объявления о проведении отбора;

наименования, места нахождения, почтового адреса, адреса электронной почты Министерства промышленности и торговли Российской Федерации;

результата предоставления субсидии в соответствии с пунктом 13 настоящих Правил;

доменного имени, и (или) сетевого адреса, и (или) указателей страниц сайта в сети "Интернет", на котором обеспечивается проведение отбора;

требований к российским организациям в соответствии с пунктами 5 и 6 настоящих Правил, критериев, которым должен соответствовать комплексный проект в соответствии с пунктом 7 настоящих Правил, и перечня документов в соответствии с пунктом 18 настоящих Правил, представляемых российскими организациями для подтверждения их соответствия указанным требованиям;

порядка подачи заявок российскими организациями и требований, предъявляемых к форме и содержанию заявок, подаваемых российскими организациями в соответствии с пунктом 18 настоящих Правил;

порядка отзыва заявок, порядка возврата заявок, определяющего в том числе основания для возврата заявок, а также порядка внесения изменений в заявки;

правил рассмотрения и оценки заявок в соответствии с пунктами 20 - 24 настоящих Правил;

порядка предоставления российским организациям разъяснений положений объявления о проведении отбора, даты начала и окончания срока предоставления разъяснений положений объявления о проведении отбора;

срока, в течение которого победитель (победители) отбора должен подписать соглашение;

условий признания победителя (победителей) отбора уклонившимся от заключения соглашения;

даты размещения результатов отбора на едином портале, а также на официальном сайте Министерства промышленности и торговли Российской Федерации в сети "Интернет", которая не может быть позднее 14-го календарного дня, следующего за днем определения победителя отбора;

в) формирует проект соглашения и размещает его на официальном сайте Министерства промышленности и торговли Российской Федерации в сети "Интернет";

г) разрабатывает конкурсную документацию, включающую в себя требования к заявке, содержанию и оформлению бизнес-плана комплексного проекта, представляемого для участия в отборе, а также к прилагаемым в соответствии с пунктом 18 настоящих Правил документам, и размещает ее на официальном сайте Министерства промышленности и торговли Российской Федерации в сети "Интернет".

17. Рассмотрение и оценка комплексных проектов, представленных российскими организациями - участниками отбора в составе заявки, осуществляется экспертным советом по проведению научно-технической оценки комплексных проектов и контролю за их реализацией, созданным в соответствии с подпунктом "г" пункта 8 Правил предоставления из федерального бюджета субсидий российским организациям на финансовое обеспечение части затрат на создание научно-технического задела по разработке базовых технологий производства приоритетных электронных компонентов и радиоэлектронной аппаратуры, утвержденных постановлением Правительства Российской Федерации от 17 февраля 2016 г. N 109 "Об утверждении Правил предоставления из федерального бюджета субсидий российским организациям на финансовое обеспечение части затрат на создание научно-технического задела по разработке базовых технологий производства приоритетных электронных компонентов и радиоэлектронной аппаратуры" (далее - экспертный совет), с участием представителей автономной некоммерческой организации "Цифровая экономика" (по согласованию).

18. Для участия в отборе российская организация представляет в Министерство промышленности и торговли Российской Федерации в сроки и в соответствии с требованиями, указанными в объявлении о проведении отбора, прошитые, постранично пронумерованные и запечатанные в конверт следующие документы (при наличии технической возможности указанные документы представляются в Министерство в электронном виде через государственную информационную систему промышленности):

а) составленная в произвольной форме заявка, подписанная руководителем и главным бухгалтером (при наличии) российской организации;

б) справка налогового органа, подтверждающая соответствие российской организации требованию, указанному в подпункте "а" пункта 5 настоящих Правил (в случае непредставления российской организацией такого документа Министерство промышленности и торговли Российской Федерации запрашивает ее самостоятельно);

в) составленная в произвольной форме справка, подписанная руководителем и главным бухгалтером (при наличии) российской организации, подтверждающая соответствие российской организации требованиям, указанным в подпунктах "б" - "е" пункта 5 настоящих Правил;

г) сведения о численности и заработной плате работников российской организации за календарный год, предшествующий календарному году подачи заявки, по форме, утвержденной Федеральной налоговой службой;

д) выписка из Единого государственного реестра юридических лиц, заверенная в установленном порядке (в случае непредставления российской организацией такого документа Министерство промышленности и торговли Российской Федерации запрашивает ее самостоятельно);

е) составленная в произвольной форме справка о финансово-экономическом состоянии российской организации, оценка которого проведена в соответствии с методикой, предусмотренной приложением N 1 к настоящим Правилам, подписанная руководителем и главным бухгалтером (лицом, на которое возложено ведение бухгалтерского учета) российской организации, с приложением бухгалтерской отчетности (форма по ОКУД 0710001, 0710002, 0710004) не менее чем за 3 последних года ведения хозяйственной деятельности российской организации;

ж) утвержденный руководителем российской организации бизнес- план комплексного проекта, оформленный в соответствии с требованиями, установленными в конкурсной документации (подпункт "г" пункта 16 настоящих Правил);

з) согласие на публикацию в сети "Интернет" информации о российской организации - участнике отбора, подаваемой заявке и иной информации о российской организации - участнике отбора, связанной с отбором, подписанное руководителем российской организации - участника отбора;

и) расчет размера субсидии согласно приложению N 2, подписанный руководителем и главным бухгалтером (при наличии) российской организации - участника отбора;

к) гарантийные письма потенциальных заказчиков (потребителей) продукции о готовности проведения тестирования разработанных российской организацией в рамках реализации комплексного проекта конкурентоспособных нишевых аппаратно-программных комплексов;

л) письмо якорного заказчика о необходимости реализации комплексного проекта в рамках сквозного проекта с приложением копии решения Общественного экспертного совета по использованию электроники в отраслях экономики при президиуме Правительственной комиссии по цифровому развитию, использованию информационных технологий для улучшения качества жизни и условий ведения предпринимательской деятельности об одобрении сквозного проекта, в рамках которого планируется реализация комплексного проекта (при наличии).

19. Российская организация - участник отбора может единовременно представить документы для участия в конкурсе не более чем по 3 комплексным проектам, в том числе по комплексным проектам, реализуемым российской организацией за счет собственных и (или) заемных средств. Заявка подается в отношении каждого реализуемого проекта.

В случае превышения допустимого количества заявок, подаваемых российской организацией - участником отбора для участия в отборе в соответствии с настоящим пунктом, к участию в отборе допускаются первые 3 заявки, зарегистрированные в соответствии с требованиями, установленными подпунктом "а" пункта 20 настоящих Правил.

20. Министерство промышленности и торговли Российской Федерации в срок, не превышающий 3 рабочих дней со дня представления российской организацией документов, указанных в пункте 18 настоящих Правил:

а) регистрирует в специальном журнале N 1 в порядке поступления документы, представленные в соответствии с пунктом 18 настоящих Правил, который прошнуровывается, нумеруется постранично и скрепляется печатью Министерства промышленности и торговли Российской Федерации. Документы, представленные через государственную информационную систему промышленности, регистрируются в специальном журнале N 1 в соответствии с датой и временем регистрации в указанной системе;

б) запрашивает при необходимости справку налогового органа об отсутствии у российской организации - участника отбора на 1-е число месяца, предшествующего месяцу подачи заявки, неисполненной обязанности по уплате налогов, сборов, страховых взносов, пеней, штрафов и процентов, подлежащих уплате в соответствии с законодательством Российской Федерации о налогах и сборах, и выписку из Единого государственного реестра юридических лиц;

в) направляет документы, указанные в пункте 18 настоящих Правил, поступившие в сроки, установленные в объявлении о проведении отбора, и справку, указанную в подпункте "б" настоящего пункта, в конкурсную комиссию;

г) возвращает документы российским организациям - участникам отбора без вскрытия конвертов в случае их получения после указанных в объявлении о проведении отбора даты и времени окончания подачи заявок.

21. Отбор заявок проводится в 3 этапа.

22. На 1-м этапе отбора:

а) конкурсная комиссия в сроки, установленные в объявлении о проведении отбора:

вскрывает конверты с документами, представленными участниками отбора в соответствии с пунктом 18 настоящих Правил, в указанные в объявлении о проведении отбора время и месте;

обеспечивает проверку заявок и документов на их соответствие требованиям пункта 18 настоящих Правил, а также проверку соответствия российской организации - участника отбора требованиям и критериям, указанным в пунктах 5 и 6 настоящих Правил, и соответствие комплексного проекта критериям, установленным пунктом 7 настоящих Правил;

оформляет по итогам вскрытия конвертов с документами, проверки документов и участников отбора на соответствие требованиям настоящих Правил и объявления о проведении отбора протокол вскрытия конвертов, содержащий следующие сведения:

дата, время и место проведения вскрытия конвертов с представленными в соответствии с пунктом 18 настоящих Правил заявками;

дата, время и место проведения рассмотрения заявок;

информация о российских организациях - участниках отбора, заявки которых были рассмотрены;

информация о российских организациях - участниках отбора, заявки которых были отклонены, с указанием причин их отклонения, положений настоящих Правил и объявления о проведении отбора, которым такие заявки не соответствуют;

информация о российских организациях - участниках отбора, заявки которых допущены к участию в отборе;

обеспечивает в течение 3 рабочих дней со дня подписания протокола вскрытия конвертов передачу экспертному совету документов, представленных в соответствии с пунктом 18 настоящих Правил;

б) все присутствующие на заседании члены конкурсной комиссии в течение 7 рабочих дней после вскрытия конвертов с документами подписывают протокол вскрытия конвертов, который размещается на едином портале и на официальном сайте Министерства промышленности и торговли Российской Федерации в сети "Интернет".

23. На 2-м этапе отбора:

а) экспертный совет:

проводит в течение 20 рабочих дней после получения документов, представленных в соответствии с пунктом 18 настоящих Правил, оценку комплексных проектов в соответствии с методикой, указанной в подпункте "а" пункта 16 настоящих Правил, по следующим критериям:

ожидаемый объем выручки от реализации конкурентоспособных нишевых аппаратно-программных комплексов, созданных в рамках реализации комплексного проекта;

соответствие конкурентоспособных нишевых аппаратно-программных комплексов, разрабатываемых в рамках реализации комплексного проекта, характеристикам, удовлетворяющим потребностям нишевого (целевого) сегмента рынка (заказчика);

конкурентоспособность аппаратно-программных комплексов, разрабатываемых в рамках реализации комплексного проекта, по отношению к имеющимся аналогам;

экономическая эффективность российской организации и комплексного проекта;

научный потенциал российской организации и комплексного проекта;

оформляет по итогам рассмотрения комплексных проектов заключение и протокол экспертной оценки комплексных проектов, который содержит следующие сведения:

дата, время и место проведения рассмотрения заявок;

информация о российских организациях - участниках отбора, заявки которых были рассмотрены;

информация о российских организациях - участниках отбора, заявки которых не прошли научно-техническую оценку;

информация о российских организациях - участниках отбора, заявки которых прошли научно-техническую оценку;

заключение по каждому комплексному проекту, сформированное каждым членом экспертного совета, содержащее результаты научно-технической оценки комплексного проекта, проведенной в соответствии с методикой, предусмотренной подпунктом "а" пункта 16 настоящих Правил, и обоснование полученного результата;

б) все присутствующие на заседании члены экспертного совета подписывают протокол экспертной оценки, который передается в конкурсную комиссию.

24. На 3-м этапе отбора:

а) конкурсная комиссия:

проверяет в течение 10 рабочих дней со дня подписания протокола экспертной оценки комплексных проектов соответствие документов, прошедших научно-техническую экспертизу, условиям, установленным в объявлении о проведении отбора, и определяет рейтинг заявок согласно приложению N 3;

присваивает каждой заявке порядковый номер на основании определенного рейтинга заявок;

оформляет по итогам оценки и определения рейтинга заявок в течение 3 рабочих дней, следующих за днем окончания проведения оценки и определения рейтинга заявок, протокол оценки и определения рейтинга заявок, который содержит следующие сведения:

дата, время и место проведения оценки и определения рейтинга заявок;

последовательность оценки заявок, значения по каждому из предусмотренных критериев оценки, присвоенные заявкам, решение о присвоении заявкам порядковых номеров, принятое на основании результатов оценки заявок;

информация о российских организациях - участниках отбора, с которыми будут заключены соглашения;

б) Министерство промышленности и торговли Российской Федерации в течение 5 рабочих дней со дня подписания конкурсной комиссией протокола оценки и определения рейтинга заявок размещает протокол на едином портале и официальном сайте Министерства в сети "Интернет".

25. Основаниями для отклонения заявки являются:

а) несоответствие российской организации - участника отбора требованиям и критериям в соответствии с пунктами 5 и 6 настоящих Правил;

б) несоответствие заявки и документов, представленных российской организацией - участником отбора, требованиям пункта 18 настоящих Правил и требованиям, установленным в объявлении о проведении отбора;

в) несоответствие информации о комплексном проекте, приведенной в заявке и документах, представленных российской организацией - участником отбора, критериям, указанным в пункте 7 настоящих Правил;

г) недостоверность представленной российской организацией - участником отбора информации, в том числе информации о месте нахождения и адресе юридического лица;

д) несоответствие информации, представленной в заявке, аналогичной информации в прилагаемых документах;

е) подача российской организацией - участником отбора заявки после даты и (или) времени, определенных для подачи заявок в объявлении о проведении отбора, а также в случае подачи заявок более чем по 3 комплексным проектам;

ж) отрицательное заключение экспертного совета на заявку;

з) недостаточность лимитов бюджетных обязательств, доведенных в установленном порядке до Министерства промышленности и торговли Российской Федерации как получателя средств федерального бюджета на цели, указанные в пункте 1 настоящих Правил (в связи с очередностью поступления заявок).

26. В течение 20 рабочих дней со дня подписания протокола оценки и определения рейтинга заявок Министерство промышленности и торговли Российской Федерации заключает с победителями отбора соглашения на сроки реализации комплексных проектов в соответствии с бизнес-планами комплексных проектов согласно присвоенным в соответствии с подпунктом "а" пункта 24 настоящих Правил порядковым номерам заявок (начиная с первого) до исчерпания лимитов бюджетных обязательств, доведенных в установленном порядке до Министерства как получателя средств федерального бюджета на цели, указанные в пункте 1 настоящих Правил.

Обязательства о предоставлении субсидии принимаются Министерством промышленности и торговли Российской Федерации на период доведенных до него лимитов бюджетных обязательств на цели, указанные в пункте 1 настоящих Правил, с возможностью пролонгации в случае доведения до него лимитов бюджетных обязательств на указанные цели на очередной финансовый год.

27. В случае отказа российской организации заключить соглашение Министерство промышленности и торговли Российской Федерации заключает соглашение с российской организацией, порядковый номер заявки которой следует за порядковым номером заявки российской организации, отказавшейся от заключения соглашения.

28. Соглашения (дополнительные соглашения к соглашению) подписываются усиленной квалифицированной электронной подписью лиц, имеющих право действовать от имени каждой из сторон.

29. Соглашение предусматривает в том числе:

а) срок реализации и общую стоимость комплексного проекта;

б) максимальный размер субсидии на срок реализации комплексного проекта в соответствии с заявкой;

в) значения результата предоставления субсидии в соответствии с пунктом 13 настоящих Правил и показателей, необходимых для достижения результата предоставления субсидии, в соответствии с пунктом 14 настоящих Правил, по каждому периоду реализации комплексного проекта;

г) план-график реализации комплексного проекта с указанием сроков выполнения ключевых событий и результатов выполнения плановых значений показателей, необходимых для достижения результата предоставления субсидии;

д) план-график финансового обеспечения, содержащий этапы финансового обеспечения реализации комплексного проекта с отдельным указанием размера собственных и (или) заемных средств российской организации - получателя субсидии и размера субсидии, которые направляются на реализацию комплексного проекта на каждом его этапе;

е) согласие российской организации - получателя субсидии на проведение Министерством промышленности и торговли Российской Федерации и органами государственного финансового контроля проверок, в том числе на территории российской организации - получателя субсидии, соблюдения российской организацией - получателем субсидии целей, условий и порядка предоставления субсидии, которые установлены соглашением и настоящими Правилами, а также обязанность российской организации - получателя субсидии по включению в договоры (соглашения), заключенные в целях исполнения обязательств по соглашению, положений о согласии лиц, являющихся поставщиками (подрядчиками, исполнителями), на проведение указанных проверок;

ж) порядок пересмотра условий соглашения и согласования новых условий соглашения в случае уменьшения Министерству промышленности и торговли Российской Федерации как получателю средств федерального бюджета ранее доведенных лимитов бюджетных обязательств на соответствующий финансовый год, приводящего к невозможности предоставления субсидии в размере, определенном в соглашении;

з) требование по ведению российской организацией - получателем субсидии раздельного учета затрат (расходов), связанных с реализацией комплексного проекта;

и) обязательство российской организации - получателя субсидии о представлении в срок, установленный в пункте 31 настоящих Правил, отчетности о достижении результатов предоставления субсидии и показателей, необходимых для достижения результата предоставления субсидии, а также об осуществлении расходов, источником финансового обеспечения которых является субсидия, по формам, определенным типовой формой;

к) формы и сроки представления российской организацией - получателем субсидии дополнительной отчетности, в том числе:

отчета о выполнении условий предоставления субсидии и значений показателей, необходимых для достижения результата предоставления субсидии;

отчета о целевом использовании субсидии;

отчета о достижении ключевых событий, установленных планом-графиком реализации комплексного проекта;

отчета о производстве и реализации конкурентоспособных нишевых аппаратно-программных комплексов;

л) ответственность российской организации - получателя субсидии за несоблюдение порядка и сроков представления отчетности, указанной в пунктах 31 и 32 настоящих Правил;

м) запрет на размещение полученной субсидии на депозитных счетах в кредитных организациях или государственной корпорации развития "ВЭБ.РФ";

н) перечень затрат (расходов), на финансовое обеспечение которых предоставляется субсидия;

о) обязанность представления российской организацией сведений о проведенных в рамках реализации комплексного проекта опытно-конструкторских и технологических работах гражданского назначения (при наличии таковых) в Министерство науки и высшего образования Российской Федерации в порядке, предусмотренном Положением о единой государственной информационной системе учета научно-исследовательских, опытно-конструкторских и технологических работ гражданского назначения, утвержденным постановлением Правительства Российской Федерации от 12 апреля 2013 г. N 327 "О единой государственной информационной системе учета научно-исследовательских, опытно-конструкторских и технологических работ гражданского назначения";

п) положения о казначейском сопровождении, установленные правилами казначейского сопровождения в соответствии с бюджетным законодательством Российской Федерации;

р) обязанность представления российской организацией в Министерство промышленности и торговли Российской Федерации ежемесячного отчета о ходе реализации комплексного проекта не позднее 5-го рабочего дня, следующего за отчетным месяцем, содержащего информацию об осуществленных расходах, источником финансового обеспечения которых является субсидия, расходах, осуществленных за счет внебюджетных средств, а также информацию об общем статусе реализации комплексного проекта на конец отчетного месяца;

с) обязательство российской организации обеспечить включение продукции, созданной в рамках комплексного проекта, в единый реестр российской радиоэлектронной продукции, созданный в соответствии с пунктом 1 постановления Правительства Российской Федерации от 10 июля 2019 г. N 878 "О мерах стимулирования производства радиоэлектронной продукции на территории Российской Федерации при осуществлении закупок товаров, работ, услуг для обеспечения государственных и муниципальных нужд, о внесении изменений в постановление Правительства Российской Федерации от 16 сентября 2016 г. N 925 и признании утратившими силу некоторых актов Правительства Российской Федерации".

30. Российской организации - получателю субсидии запрещается приобретение за счет полученных из федерального бюджета средств иностранной валюты, за исключением операций, осуществляемых в соответствии с валютным законодательством Российской Федерации при закупке (поставке) высокотехнологичного импортного оборудования, технологической оснастки, результатов интеллектуальной деятельности, сырья и комплектующих изделий, а также связанных с достижением целей предоставления этих средств иных операций, определенных настоящими Правилами.

Российская организация - получатель субсидии обязана распространить указанное условие на иных юридических лиц и индивидуальных предпринимателей, получающих средства на основании договоров, заключенных с российской организацией - получателем субсидии.

31. Для получения субсидии российская организация - получатель субсидии представляет в Министерство промышленности и торговли Российской Федерации:

а) не позднее 1 ноября календарного года, предшествующего году получения субсидии (в рамках 1-го периода реализации комплексного проекта - в течение 30 рабочих дней со дня заключения соглашения), следующие документы:

составленное в произвольной форме заявление о предоставлении субсидии с указанием размера субсидии, подписанное руководителем и главным бухгалтером (при наличии) российской организации;

справки о соответствии получателя субсидии на 1-е число месяца, предшествующего месяцу подачи заявления о предоставлении субсидии, требованиям, указанным в подпунктах "б" - "е" пункта 5 настоящих Правил, подписанные руководителем и главным бухгалтером (при наличии) российской организации;

б) до 31 октября года предоставления субсидии и последующих периодов реализации комплексного проекта:

отчет о достижении результатов предоставления субсидии и показателей, необходимых для достижения результатов предоставления субсидии, в соответствии с типовой формой;

отчет о расходах, источником финансового обеспечения которых является субсидия, в соответствии с типовой формой;

в) в сроки, указанные в подпункте "к" пункта 29 настоящих Правил:

отчет о выполнении условий предоставления субсидии и значений показателей, необходимых для достижения результата предоставления субсидии, по форме, установленной соглашением, подписанный руководителем российской организации;

отчет о целевом использовании субсидии на реализацию комплексного проекта по форме, установленной соглашением, подписанный руководителем российской организации;

отчет о достижении ключевых событий, установленных планом-графиком реализации комплексного проекта, по форме, установленной соглашением, подписанный руководителем российской организации.

32. Российская организация ежегодно начиная с года, следующего за годом начала производства и реализации конкурентоспособных нишевых аппаратно-программных комплексов, до года, следующего за годом окончания реализации комплексного проекта, представляет отчет о производстве и реализации таких комплексов, по форме, установленной соглашением, подписанный руководителем российской организации, с приложением подтверждающих документов.

33. При наличии технической возможности отчетность представляется в Министерство промышленности и торговли Российской Федерации в электронном виде через государственную информационную систему промышленности.

34. В случае недостижения на дату окончания реализации комплексного проекта указанного в соглашении планового значения показателя, необходимого для достижения результата предоставления субсидии "достижение на дату окончания реализации комплексного проекта объема производства и реализации конкурентоспособных нишевых аппаратно-программных комплексов, включая реализацию исключительных и неисключительных прав на результаты интеллектуальной деятельности и их составных частей, созданных в рамках комплексного проекта, превышающих не менее чем в 2 раза размер предоставленной субсидии":

а) между Министерством промышленности и торговли Российской Федерации и российской организацией заключается дополнительное соглашение сроком не менее чем на 12 месяцев;

б) российская организация в течение срока действия дополнительного соглашения ежеквартально, до 15-го числа последнего месяца квартала, представляет в Министерство промышленности и торговли Российской Федерации отчет, предусмотренный пунктом 32 настоящих Правил. В случае если указанный отчет представлен российской организацией с нарушением установленного в настоящем подпункте срока, российская организация уплачивает пени, рассчитанные в порядке, установленном абзацем третьим пункта 45 настоящих Правил.

35. Министерство промышленности и торговли Российской Федерации регистрирует в специальном журнале N 2 в порядке поступления документы, указанные в пунктах 31 и 32 настоящих Правил, который прошнуровывается, нумеруется постранично и скрепляется печатью Министерства. Документы, представленные через государственную информационную систему промышленности, регистрируются в соответствии с датой и временем регистрации в указанной системе.

Министерство промышленности и торговли Российской Федерации рассматривает представленные российскими организациями документы, указанные в пунктах 31 и 32 настоящих Правил, в порядке поступления и обеспечивает проведение проверки полноты и достоверности сведений, содержащихся в них, а также соответствие российской организации - получателя субсидии требованию, указанному в подпункте "а" пункта 5 настоящих Правил, в течение 30 рабочих дней со дня их поступления.

36. Предоставление субсидий осуществляется в пределах лимитов бюджетных обязательств, доведенных в установленном порядке до Министерства промышленности и торговли Российской Федерации как получателя средств федерального бюджета на цели, указанные в пункте 1 настоящих Правил.

В случае если лимитов бюджетных обязательств, доведенных в установленном порядке до Министерства промышленности и торговли Российской Федерации как получателя средств федерального бюджета на цели, указанные в пункте 1 настоящих Правил, недостаточно для предоставления субсидии в текущем периоде реализации комплексного проекта в полном объеме, размер предоставляемой получателю субсидии () определяется по формуле:

,

где:

ЛБО - доведенные в установленном порядке до Министерства промышленности и торговли Российской Федерации как получателя средств федерального бюджета лимиты бюджетных обязательств на цели, указанные в пункте 1 настоящих Правил, по соответствующей подпрограмме государственной программы Российской Федерации "Развитие электронной и радиоэлектронной промышленности";

- размер предоставляемой субсидии в соответствии с заключенным соглашением для i-й российской организации;

- размер предоставляемой субсидии в соответствии с заключенным соглашением для j-й российской организации.

37. Сумма субсидии, которую Министерство промышленности и торговли Российской Федерации не предоставило российской организации - получателю субсидии в отчетном периоде в соответствии с абзацем вторым пункта 36 настоящих Правил (определяется как разность размера субсидии, указанной в отчетном периоде согласно плану-графику финансового обеспечения, и размера предоставленной субсидии в отчетном периоде), может быть предоставлена российской организации - получателю субсидии в полном объеме или частично в очередном периоде реализации комплексного проекта при наличии лимитов бюджетных обязательств после проведения отбора в соответствии с пунктом 15 настоящих Правил.

38. Основаниями для отказа российской организации - получателю субсидии в предоставлении субсидии являются:

а) несоответствие российской организации - получателя субсидии требованиям и критериям, предусмотренным пунктами 5 и 6 настоящих Правил;

б) несоответствие представленных российской организацией - получателем субсидии документов требованиям, предусмотренным пунктами 31 и 32 настоящих Правил, или непредставление (представление не в полном объеме) указанных документов;

в) непредставление российской организацией - получателем субсидии в установленный срок отчетности (в случае первичного предоставления субсидии не требуется), указанной в пунктах 31 и 32 настоящих Правил;

г) установление факта недостоверности представленной российской организацией - получателем субсидии информации;

д) фактическое недостижение значений результата предоставления субсидии и всех показателей, необходимых для достижения результата предоставления субсидии, предусмотренных соглашением, на дату представления отчетности суммарно более чем на 30 процентов плановых значений этих показателей на конец отчетного периода (нарастающим итогом с начала реализации проекта);

е) фактическое невыполнение ключевых событий, установленных планом-графиком реализации комплексного проекта, предусмотренного соглашением, более чем на 30 процентов в отчетном периоде.

39. При наличии оснований, указанных в подпунктах "в" и (или) "г" пункта 38 настоящих Правил, Министерство промышленности и торговли Российской Федерации не позднее 3 рабочих дней после наступления срока представления отчетности, указанного в пункте 31 настоящих Правил, или установления факта недостоверности представленной российской организацией - получателем субсидии информации направляет российской организации - получателю субсидии уведомление о наличии оснований для отказа в предоставлении субсидии на очередной плановый период с указанием сроков представления в Министерство необходимых документов и сведений. В случае непредставления российской организацией - получателем субсидии документов и сведений, указанных в уведомлении, в установленный срок, Министерство принимает решение о приостановлении предоставления субсидии в следующем периоде реализации комплексного проекта.

При наличии событий, указанных в подпунктах "д" и "е" пункта 38 настоящих Правил, Министерство промышленности и торговли Российской Федерации не позднее 3 рабочих дней после их наступления направляет российской организации - получателю субсидии официальное письмо с уведомлением о наличии основания для отказа в предоставлении субсидии в очередном периоде реализации комплексного проекта, а также принимает решение о проведении в установленном порядке проверки соблюдения целей, условий и порядка предоставления субсидии на территории российской организации - получателя субсидии до 1 ноября текущего календарного года.

В случае если в ходе проверки не выявлено несоблюдение российской организацией - получателем субсидии целей, условий и порядка предоставления субсидии и (или) российская организация - получатель субсидии устранила выявленные замечания в установленные сроки, Министерство промышленности и торговли Российской Федерации принимает решение о возможности предоставления субсидии российской организации - получателю субсидии в следующем периоде реализации комплексного проекта.

В случае если в ходе проверки выявлено несоблюдение российской организацией - получателем субсидии целей, условий и порядка предоставления субсидии, Министерство промышленности и торговли Российской Федерации вправе принять решение о расторжении соглашения, в том числе в одностороннем порядке, либо о реализации комплексного проекта получателем субсидии в течение периода, в котором выявлены нарушения, за счет собственных и (или) заемных средств с возможностью предоставления субсидии в следующем периоде реализации комплексного проекта в случае устранения указанных выявленных нарушений.

Решение о расторжении соглашения, в том числе в одностороннем порядке, принимается Министерством промышленности и торговли Российской Федерации в течение 20 рабочих дней со дня выявления нарушений и отказа получателя субсидии в их устранении.

40. Перечисление субсидии получателю субсидии осуществляется на казначейский счет для осуществления и отражения операций с денежными средствами юридических лиц, не являющихся участниками бюджетного процесса, бюджетными и автономными учреждениями, открытый в территориальном органе Федерального казначейства, не позднее 2-го рабочего дня после представления в территориальный орган Федерального казначейства российской организацией - получателем субсидии распоряжений о совершении казначейских платежей для оплаты денежного обязательства получателя субсидии.

41. Информация о размерах и сроках перечисления субсидий учитывается Министерством промышленности и торговли Российской Федерации при формировании прогноза кассовых выплат из федерального бюджета, необходимого для составления в установленном порядке кассового плана исполнения федерального бюджета.

42. Министерство промышленности и торговли Российской Федерации и орган государственного финансового контроля проводят обязательные проверки соблюдения российскими организациями - получателями субсидий целей, условий и порядка предоставления субсидий.

43. Основаниями для расторжения соглашения, в том числе одностороннего расторжения соглашения Министерством промышленности и торговли Российской Федерации, являются:

а) фактическое недостижение значений результата предоставления субсидии и всех показателей, необходимых для достижения результата предоставления субсидии, предусмотренных соглашением, более чем на 50 процентов их плановых значений на конец отчетного периода (нарастающим итогом с начала реализации комплексного проекта);

б) фактическое невыполнение ключевых событий плана-графика реализации комплексного проекта, предусмотренного соглашением, более чем на 50 процентов на конец отчетного периода (нарастающим итогом с начала реализации комплексного проекта);

в) непредставление отчетности, установленной в соответствии с пунктами 31 и 32 настоящих Правил, в течение более 6 месяцев с установленной даты;

г) неиспользование субсидии в соответствии с планом-графиком финансового обеспечения в течение 2 периодов реализации комплексного проекта подряд;

д) выявление в ходе проведения проверок, в том числе на территории российской организации - получателя субсидии, фактов несоблюдения целей, условий и порядка предоставления субсидии, а также несоответствия фактического статуса реализации комплексного проекта относящимся к реализации комплексного проекта сведениям, условиям соглашения и документам, представляемым российской организацией - получателем субсидии в соответствии с пунктами 31 и 32 настоящих Правил.

44. Российская организация возвращает субсидию в размере, рассчитанном согласно приложению N 4 в следующих случаях:

а) недостижение значения результата предоставления субсидии;

б) по итогам реализации комплексного проекта значение показателя, необходимого для достижения результата предоставления субсидии "достижение на дату окончания реализации комплексного проекта объема производства и реализации конкурентоспособных нишевых аппаратно-программных комплексов, включая реализацию исключительных и неисключительных прав на результаты интеллектуальной деятельности и их составных частей, созданных в рамках комплексного проекта, превышающих не менее чем в 2 раза размер предоставленной субсидии", указанного в соглашении, составляет менее 90 процентов планового значения, определенного соглашением, и не достигнуто в течение одного календарного года с даты завершения комплексного проекта.

45. В случае установления Министерством промышленности и торговли Российской Федерации и (или) органом государственного финансового контроля в ходе обязательной проверки фактов несоблюдения целей, условий и порядка предоставления субсидии соответствующие средства в размере выявленных нарушений подлежат возврату в доход федерального бюджета в порядке, установленном бюджетным законодательством Российской Федерации.

В случае одностороннего расторжения соглашения Министерством промышленности и торговли Российской Федерации в соответствии с пунктом 43 настоящих Правил субсидия подлежит возврату в доход федерального бюджета в полном объеме с уплатой процентов в размере одной трехсотой ключевой ставки, установленной Центральным банком Российской Федерации, за каждый день пользования указанными денежными средствами.

В случае если в отчетном периоде российская организация - получатель субсидии представила отчетные документы, указанные в пунктах 31 и 32 настоящих Правил (хотя бы один из указанных отчетов), с нарушением установленных сроков, российская организация - получатель субсидии уплачивает пени в размере одной трехсотой ключевой ставки, установленной Центральным банком Российской Федерации, за каждый день просрочки до даты представления установленной отчетности в полном объеме.

В случае если в отчетном периоде российская организация - получатель субсидии не привлекла внебюджетные средства в размере, установленном планом-графиком финансового обеспечения, она уплачивает в доход федерального бюджета штраф в размере 10 процентов размера указанных средств, но не более чем в размере, эквивалентном 30 процентам средств не использованной в этом отчетном периоде субсидии.

46. В соответствии с решением Министерства промышленности и торговли Российской Федерации о наличии потребности в не использованном на начало текущего финансового года остатке субсидии, принимаемым в соответствии с бюджетным законодательством Российской Федерации, остаток субсидии может быть использован в текущем финансовом году для финансового обеспечения расходов, соответствующих целям предоставления субсидии.

47. Субсидия подлежит возврату в доход федерального бюджета на основании:

а) соответствующего требования Министерства промышленности и торговли Российской Федерации - в течение 10 рабочих дней со дня получения российской организацией - получателем субсидии указанного требования;

б) представления и (или) предписания органа государственного финансового контроля - в сроки, установленные в соответствии с бюджетным законодательством Российской Федерации.

48. Российская организация - получатель субсидии не более одного раза в течение 2 периодов реализации комплексного проекта вправе обратиться в Министерство промышленности и торговли Российской Федерации с мотивированным заявлением о внесении изменений в значение результата предоставления субсидии, значения показателей, необходимых для достижения результата предоставления субсидии, и план-график реализации комплексного проекта (далее - заявление) в следующих случаях:

а) введение торговых и экономических санкций в отношении российских юридических и (или) физических лиц, оказывающих влияние на реализацию комплексного проекта;

б) изменение валютных курсов более чем на 30 процентов с фиксацией измененного курса в течение не менее 6 месяцев, предшествующих дате подачи заявления;

в) изменение стоимости высокотехнологичного импортного производственного оборудования, технологической оснастки, результатов интеллектуальной деятельности, сырья, комплектующих изделий и услуг, необходимых для реализации комплексного проекта, на мировых рынках в рублевом эквиваленте более чем на 30 процентов с фиксацией измененной стоимости в течение не менее 6 месяцев, предшествующих дате подачи заявления.

49. В случае наступления одного или нескольких событий, указанных в пункте 48 настоящих Правил, российская организация - получатель субсидии направляет в Министерство промышленности и торговли Российской Федерации заявление, подписанное руководителем российской организации - получателя субсидии, с приложением документов, свидетельствующих о наступлении указанных событий, расчетов, обосновывающих степень влияния наступивших событий на результат предоставления субсидии, и показателей, необходимых для достижения результата предоставления субсидии, указанных в соглашении, а также предложения о внесении изменений в план-график реализации комплексного проекта (при наличии технической возможности указанные документы представляются в Министерство в электронном виде через государственную информационную систему промышленности).

После получения заявления Министерство промышленности и торговли Российской Федерации в течение 3 рабочих дней обеспечивает его передачу в экспертный совет. Экспертный совет в течение 20 рабочих дней после получения заявления проводит оценку документов и оформляет заключение о целесообразности внесения изменений в значение результата предоставления субсидии, значения показателей, необходимых для достижения результата предоставления субсидии, и план-график реализации комплексного проекта.

Решение о возможности (невозможности) внесения изменений в значение результата предоставления субсидии, значения показателей, необходимых для достижения результата предоставления субсидии, и план-график реализации комплексного проекта принимается Министерством промышленности и торговли Российской Федерации не позднее 30 рабочих дней после получения заявления. При этом уточнение указанных в соглашении значений результата предоставления субсидии и показателей, необходимых для достижения результата предоставления субсидии, в рамках отдельных периодов реализации комплексного проекта могут вноситься при условии сохранения итоговых значений результата предоставления субсидии и показателей, необходимых для достижения результата предоставления субсидии, на дату завершения реализации комплексного проекта, а внесение изменений в план-график реализации комплексного проекта - при условии сохранения срока его реализации.

Приложение N 1
к Правилам предоставления субсидий
из федерального бюджета российским
организациям на финансовое обеспечение
части затрат на разработку конкурентоспособных
нишевых аппаратно-программных комплексов
для целей искусственного интеллекта

МЕТОДИКА ОЦЕНКИ ФИНАНСОВО-ЭКОНОМИЧЕСКОГО СОСТОЯНИЯ РОССИЙСКОЙ ОРГАНИЗАЦИИ

1. Настоящая методика устанавливает порядок проведения оценки финансово-экономического состояния российской организации, которая подает заявку на участие в отборе на право получения субсидий из федерального бюджета российскими организациями на финансовое обеспечение части затрат на разработку конкурентоспособных нишевых аппаратно-программных комплексов для целей искусственного интеллекта в рамках государственной программы Российской Федерации "Развитие электронной и радиоэлектронной промышленности", утвержденной постановлением Правительства Российской Федерации от 15 апреля 2014 г. N 329 "Об утверждении государственной программы Российской Федерации "Развитие электронной и радиоэлектронной промышленности" (далее соответственно - субсидии, отбор).

2. Оценку своего финансово-экономического состояния российская организация проводит самостоятельно на основании бухгалтерской отчетности (форма по ОКУД 0710001, 0710002, 0710004) не менее чем за 3 последних года ведения хозяйственной деятельности в соответствии с подпунктом "е" пункта 18 Правил предоставления субсидий из федерального бюджета российским организациям на финансовое обеспечение части затрат на разработку конкурентоспособных нишевых аппаратно-программных комплексов для целей искусственного интеллекта, утвержденных постановлением Правительства Российской Федерации от 23 августа 2021 г. N 1380 "Об утверждении Правил предоставления субсидий из федерального бюджета российским организациям на финансовое обеспечение части затрат на разработку конкурентоспособных нишевых аппаратно-программных комплексов для целей искусственного интеллекта".

3. Финансово-экономическое состояние российской организации оценивается баллами на основе значения интегрального показателя финансово-экономического состояния российской организации, определяемого в соответствии со следующими показателями:

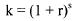
а) коэффициент финансовой зависимости, характеризующий структуру капитала российской организации и степень зависимости российской организации от кредиторов по состоянию на конец года, предшествующего году подачи заявки на участие в отборе (), рассчитываемый по формуле:

,

где:

До - долгосрочные обязательства (код строки 1400 формы по ОКУД 0710001);

Ко - краткосрочные обязательства (код строки 1500 формы по ОКУД 0710001);

Дбп - доходы будущих периодов, образованных за счет целевого финансирования (средства субсидии, коды строк 1450 и 1530 формы по ОКУД 0710001);

Оа - оборотные активы (код строки 1200 формы по ОКУД 0710001);

Ва - внеоборотные активы (код строки 1100 формы по ОКУД 0710001);

Ова - оборотные и внеоборотные активы, сформированные за счет средств целевого финансирования (средства субсидии, в разрезе кодов строк 1100 и 1200 формы по ОКУД 0710001);

б) коэффициент абсолютной ликвидности, отражающий уровень платежеспособности и возможности погашения текущих обязательств российской организации по состоянию на конец года, предшествующего году подачи заявки на участие в отборе (Кл), рассчитываемый по формуле:

,

в) чистые активы, характеризующие общую финансово-экономическую эффективность деятельности российской организации (код строки 3600 формы по ОКУД 0710004), определяются по состоянию на конец года, предшествующего году подачи заявки на участие в отборе;

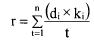
г) среднегодовой темп прироста выручки за последние 3 календарных года, характеризующий динамику развития российской организации (), рассчитываемый по формуле:

,

где:

В1 - выручка за отчетный год или год, предшествующий году подачи заявки на участие в отборе (код строки 2110 формы по ОКУД 0710002);

В3 - выручка за год, предшествующий предыдущему году отчетного года (код строки 2110 формы по ОКУД 0710002);

д) рентабельность продаж по валовой прибыли, характеризующая эффективность используемых ресурсов и прибыльность продаж при ведении финансово-хозяйственной деятельности российской организации за год, предшествующий году подачи заявки на участие в отборе (РП), рассчитываемая по формуле:

,

где ВП - валовая прибыль (код строки 2100 формы по ОКУД 0710002);

е) соответствие объема планируемой в рамках комплексного проекта реализации продукции масштабу деятельности российской организации (МД), рассчитываемое по формуле:

,

где:

ПОВ - планируемый объем выручки (объем производства и реализации продукции, создаваемой в рамках комплексного проекта, за срок реализации комплексного проекта без учета налога на добавленную стоимость) в рамках реализации комплексного проекта;

В2 - выручка за предыдущий год отчетного года (код строки 2110 формы по ОКУД 0710002);

ж) коэффициент обеспеченности собственных инвестиций в комплексный проект, характеризующий способность российской организации обеспечить требуемый объем собственных инвестиций в комплексный проект по состоянию на конец года, предшествующего году подачи заявки на участие в отборе (КОси), рассчитываемый по формуле:

,

где ПОси - планируемый объем собственных инвестиций в комплексный проект.

4. Интегральный показатель оценки финансово-экономического состояния российской организации (ИОС) рассчитывается по формуле:

,

где:

i - количество показателей, равное 7;

Bi - вес показателя, равный:

для показателя "коэффициент финансовой зависимости" - 10 процентам;

для показателя "коэффициент абсолютной ликвидности" - 10 процентам;

для показателя "чистые активы" - 10 процентам;

для показателя "среднегодовой темп прироста выручки за последние 3 календарных года" - 10 процентам;

для показателя "рентабельность продаж по валовой прибыли" - 15 процентам;

для показателя "отношение планируемого объема выручки (объема производства и реализации продукции, создаваемой в рамках комплексного проекта, за срок реализации комплексного проекта без учета налога на добавленную стоимость) в рамках реализации комплексного проекта к среднегодовому объему выручки российской организации за предыдущие 3 календарных года" - 20 процентам;

для показателя "коэффициент обеспеченности собственных инвестиций в комплексный проект" - 25 процентам;

Бi - балл показателя, равный:

для значений показателя "коэффициент финансовой зависимости":

больше 0,7 - 0 баллов;

больше 0,5, но менее 0,7 - 1 балл;

менее 0,5 - 2 балла;

для значений показателя "коэффициент абсолютной ликвидности":

менее 1 - 0 баллов;

не менее 2 - 1 балл;

более 1, но менее 2 - 2 балла;

для значений показателя "чистые активы":

не более 0 - 0 баллов;

более 0 - 2 балла;

для значений показателя "среднегодовой темп прироста выручки за последние 3 календарных года":

не более 0 - 0 баллов;

более 0, но менее 3,9 процента - 1 балл;

более 3,9 процента - 2 балла;

для значений показателя "рентабельность продаж по валовой прибыли":

от 0 до 8 процентов - 0 баллов;

более 8 процентов, но менее 30 процентов - 1 балл;

более 30 процентов - 2 балла;

для значений показателя "отношение планируемого объема выручки (объема производства и реализации продукции, создаваемой в рамках комплексного проекта, за срок реализации комплексного проекта без учета налога на добавленную стоимость) в рамках реализации комплексного проекта к среднегодовому объему выручки российской организации за предыдущие 3 календарных года":

более 8 - 0 баллов;

более 2, но менее 8 - 1 балл;

менее 2 - 2 балла;

для значений показателя "коэффициент обеспеченности собственных инвестиций в комплексный проект":

более 0,7 - 0 баллов;

более 0,3, но менее 0,7 - 1 балл;

менее 0,3 - 2 балла;

Кп - коэффициент приведения, равный 50.

5. Значение интегрального показателя оценки финансово-экономического состояния российской организации, равное 50 и более, свидетельствует о финансово-экономической устойчивости российской организации.

6. Расчет и результаты проведенной оценки финансово-экономического состояния российская организация указывает в справке, предусмотренной подпунктом "е" пункта 18 Правил предоставления субсидий из федерального бюджета российским организациям на финансовое обеспечение части затрат на разработку конкурентоспособных нишевых аппаратно-программных комплексов для целей искусственного интеллекта, утвержденных постановлением Правительства Российской Федерации от 23 августа 2021 г. N 1380 "Об утверждении Правил предоставления субсидий из федерального бюджета российским организациям на финансовое обеспечение части затрат на разработку конкурентоспособных нишевых аппаратно-программных комплексов для целей искусственного интеллекта".

Приложение N 2
к Правилам предоставления субсидий
из федерального бюджета российским
организациям на финансовое обеспечение
части затрат на разработку конкурентоспособных
нишевых аппаратно-программных комплексов
для целей искусственного интеллекта

РАСЧЕТ РАЗМЕРА СУБСИДИИ, ПРЕДОСТАВЛЯЕМОЙ ИЗ ФЕДЕРАЛЬНОГО БЮДЖЕТА РОССИЙСКИМ ОРГАНИЗАЦИЯМ НА ФИНАНСОВОЕ ОБЕСПЕЧЕНИЕ ЧАСТИ ЗАТРАТ НА РАЗРАБОТКУ КОНКУРЕНТОСПОСОБНЫХ НИШЕВЫХ АППАРАТНО-ПРОГРАММНЫХ КОМПЛЕКСОВ ДЛЯ ЦЕЛЕЙ ИСКУССТВЕННОГО ИНТЕЛЛЕКТА

1. Размер субсидии, предоставляемой из федерального бюджета российским организациям на финансовое обеспечение части затрат на разработку конкурентоспособных нишевых аппаратно-программных комплексов для целей искусственного интеллекта (далее - субсидия) (Р), рассчитывается по формуле:

где:

- размер субсидии, предоставляемой за период с 1 октября по 31 декабря;

- размер субсидии, предоставляемой за период с 1 января по 30 сентября.

2. Размер субсидии, предоставляемой за период с 1 октября по 31 декабря (), рассчитывается по формуле:

,

где:

- расходы на оплату труда работников, непосредственно занятых выполнением научно-исследовательских, опытно-конструкторских и технологических работ, за период выполнения ими работ в рамках комплексного проекта, а также расходы на обязательное пенсионное страхование, на обязательное социальное страхование на случай временной нетрудоспособности и в связи с материнством, обязательное медицинское страхование, обязательное социальное страхование от несчастных случаев на производстве и профессиональных заболеваний, начисленные на указанные суммы расходов на оплату труда, в размере не менее 25 процентов и не более 80 процентов размера субсидии, предоставленной в отчетном периоде;

- накладные расходы в размере не более 100 процентов суммы расходов на оплату труда работников, непосредственно занятых реализацией комплексного проекта, в отчетном периоде;

- расходы по договорам на выполнение научно-исследовательских, опытно-конструкторских и технологических работ в размере не более 60 процентов размера субсидии, предоставленной в отчетном периоде;

- расходы на приобретение и (или) изготовление (в том числе проектирование, транспортировку, монтаж, пусконаладочные работы и испытание) макетов, стендов, установок, контрольно-измерительной и иной аппаратуры, приборов, технологической оснастки, а также другого специального оборудования, необходимого для разработки конкурентоспособных нишевых аппаратно-программных комплексов для целей искусственного интеллекта в размере не более 30 процентов размера субсидии, предоставленной в отчетном периоде;

- расходы на производство опытного образца и опытной серии продукции, в том числе на приобретение материалов и покупных комплектующих изделий, их тестирование, сертификацию и (или) регистрацию, а также на проведение испытаний в размере не более 20 процентов размера субсидии, предоставленной в отчетном периоде;

- расходы на приобретение у российских организаций неисключительных лицензий на программное обеспечение, необходимое для разработки конкурентоспособных нишевых аппаратно-программных комплексов для целей искусственного интеллекта в размере не более 40 процентов размера субсидии, предоставленной в отчетном периоде;

- расходы на аренду (лизинг) технологического оборудования и технологической оснастки, необходимых для создания научно-технического задела в размере не более 10 процентов размера субсидии, предоставленной в отчетном периоде;

- расходы на обеспечение правовой охраны созданных в ходе выполнения научно-исследовательских, опытно-конструкторских и технологических работ результатов интеллектуальной деятельности (в том числе патентование) в размере не более 5 процентов размера субсидии, предоставленной в отчетном периоде.

3. Размер субсидии, предоставляемой за период с 1 января по 30 сентября (), рассчитывается по формуле:

.

Приложение N 3
к Правилам предоставления субсидий
из федерального бюджета российским
организациям на финансовое обеспечение
части затрат на разработку конкурентоспособных
нишевых аппаратно-программных комплексов
для целей искусственного интеллекта

МЕТОДИКА ОПРЕДЕЛЕНИЯ РЕЙТИНГА ЗАЯВОК, ПРЕДСТАВЛЕННЫХ РОССИЙСКИМИ ОРГАНИЗАЦИЯМИ НА УЧАСТИЕ В ОТБОРЕ НА ПРЕДОСТАВЛЕНИЕ СУБСИДИЙ ИЗ ФЕДЕРАЛЬНОГО БЮДЖЕТА НА ФИНАНСОВОЕ ОБЕСПЕЧЕНИЕ ЧАСТИ ЗАТРАТ НА РАЗРАБОТКУ КОНКУРЕНТОСПОСОБНЫХ НИШЕВЫХ АППАРАТНО-ПРОГРАММНЫХ КОМПЛЕКСОВ ДЛЯ ЦЕЛЕЙ ИСКУССТВЕННОГО ИНТЕЛЛЕКТА

1. Настоящая методика устанавливает порядок определения рейтинга заявок, представленных российскими организациями на участие в отборе на предоставление субсидий из федерального бюджета на финансовое обеспечение части затрат на разработку конкурентоспособных нишевых аппаратно-программных комплексов для целей искусственного интеллекта (далее - заявки).

2. Рейтинг заявки () определяется по формуле:

,

где:

- рейтинг, присуждаемый i-й заявке по критерию, касающемуся включения комплексного проекта в состав сквозного проекта, одобренного Общественным экспертным советом по использованию электроники в отраслях экономики при президиуме Правительственной комиссии по цифровому развитию, использованию информационных технологий для улучшения качества жизни и условий ведения предпринимательской деятельности (далее - экспертный совет);

- рейтинг, присуждаемый i-й заявке по критерию, касающемуся ожидаемого объема выручки от реализации конкурентоспособных нишевых аппаратно-программных комплексов в целях искусственного интеллекта, созданных в ходе реализации комплексного проекта;

- удельный вес рейтинга, присуждаемого i-й заявке по критерию, касающемуся ожидаемого объема выручки от реализации конкурентоспособных нишевых аппаратно-программных комплексов в целях искусственного интеллекта, созданных в ходе реализации комплексного проекта, значимость которого составляет 45 процентов;

- рейтинг, присуждаемый i-й заявке по критерию, касающемуся количества создаваемых и модернизируемых высокотехнологичных рабочих мест в рамках реализации комплексного проекта;

- удельный вес рейтинга, присуждаемого i-й заявке по критерию, касающемуся количества вновь создаваемых и модернизируемых высокотехнологичных рабочих мест в рамках реализации комплексного проекта, значимость которого составляет 15 процентов;

- рейтинг, присуждаемый i-й заявке по критерию, касающемуся количества создаваемых результатов интеллектуальной деятельности, охраняемых патентами или иными охранными документами и (или) охраняемых в качестве секретов производства (ноу-хау), в рамках реализации комплексного проекта;

- удельный вес рейтинга, присуждаемый i-й заявке по критерию, касающемуся количества создаваемых результатов интеллектуальной деятельности, охраняемых патентами или иными охранными документами и (или) охраняемых в качестве секретов производства (ноу-хау), значимость которого составляет 10 процентов;

- рейтинг, присуждаемый i-й заявке по критерию, касающемуся соотношения размера субсидии, запрашиваемой на разработку конкурентоспособного нишевого аппаратно-программного комплекса для целей искусственного интеллекта в рамках комплексного проекта, и размера собственных и (или) заемных средств, планируемых к привлечению для реализации комплексного проекта;

- удельный вес рейтинга, присуждаемый i-й заявке по критерию, касающемуся соотношения размера субсидии, запрашиваемой на разработку конкурентоспособного нишевого аппаратно-программного комплекса для целей искусственного интеллекта, и размера собственных и (или) заемных средств, планируемых к привлечению для реализации комплексного проекта, значимость которого составляет 30 процентов.

3. Рейтинг, присуждаемый i-й заявке по критерию, касающемуся включения комплексного проекта в состав сквозного проекта, одобренного экспертным советом (), определяется равным 2 в случае включения комплексного проекта в состав сквозного проекта, одобренного экспертным советом. В остальных случаях указанный рейтинг принимается равным 1.

4. Рейтинг, присуждаемый i-й заявке по критерию, касающемуся ожидаемого объема выручки от реализации конкурентоспособных нишевых аппаратно-программных комплексов в целях искусственного интеллекта, созданных в ходе реализации комплексного проекта (), определяется по формуле:

,

где:

- предложение i-го участника конкурса по ожидаемому объему выручки от реализации конкурентоспособных нишевых аппаратно-программных комплексов в целях искусственного интеллекта, созданных в ходе реализации комплексного проекта (рублей);

- минимальный объем выручки от реализации конкурентоспособных нишевых аппаратно-программных комплексов в целях искусственного интеллекта, созданных в ходе реализации комплексного проекта, установленный в объявлении о проведении отбора (рублей);

- максимальный объем выручки от реализации конкурентоспособных нишевых аппаратно-программных комплексов в целях искусственного интеллекта, созданных в ходе реализации комплексного проекта, установленный в объявлении о проведении отбора (рублей).

5. Рейтинг, присуждаемый i-й заявке по критерию, касающемуся создаваемых и модернизируемых высокотехнологичных рабочих мест в рамках реализации комплексного проекта (), определяется по формуле:

,

где:

- предложение i-ro участника отбора по количеству создаваемых и модернизируемых высокотехнологичных рабочих мест (штук);

- минимальное количество создаваемых и модернизируемых высокотехнологичных рабочих мест, установленное в объявлении о проведении отбора (штук);

- максимальное количество создаваемых и модернизируемых высокотехнологичных рабочих мест, заявленное одним из участников отбора (штук).

6. Рейтинг, присуждаемый i-й заявке по критерию, касающемуся количества создаваемых результатов интеллектуальной деятельности, охраняемых патентами или иными охранными документами и (или) охраняемых в качестве секретов производства (ноу-хау), в рамках реализации комплексного проекта (), определяется по формуле:

,

где:

- предложение i-го участника отбора о создании патентоспособного ключевого технического решения:

если созданное в ходе реализации комплексного проекта ключевое техническое решение будет потенциально охраноспособным в качестве:

изобретения, то = 5;

полезной модели, то = 3;

если в ходе реализации комплексного проекта в качестве ключевого технического решения будет использован ранее запатентованный результат интеллектуальной деятельности, исключительное право на который принадлежит i-му участнику конкурса, то = 2;

если в ходе реализации комплексного проекта в качестве ключевого технического решения будет использован результат интеллектуальной деятельности, не являющийся патентоспособным, то = 1.

При отсутствии информации о ключевом техническом решении = 0;

- максимальный уровень патентоспособности ключевого технического решения, заявленный одним из участников конкурса.

7. Рейтинг, присуждаемый i-й заявке по критерию, касающемуся соотношения размера субсидии, запрашиваемой на разработку конкурентоспособного нишевого аппаратно-программного комплекса для целей искусственного интеллекта в рамках комплексного проекта, и размера собственных и (или) заемных средств, планируемых к привлечению для реализации комплексного проекта (), определяется по формуле:

,

где:

- начальный (максимальный) размер соотношения размера субсидии, запрашиваемой на разработку конкурентоспособных нишевых аппаратно-программных комплексов для целей искусственного интеллекта, и размера собственных и (или) заемных средств, планируемых к привлечению для реализации комплексного проекта;

- предложение i-го участника отбора по соотношению размера субсидии, запрашиваемой на разработку конкурентоспособных нишевых аппаратно-программных комплексов для целей искусственного интеллекта в рамках комплексного проекта, и размера собственных и (или) заемных средств, планируемых к привлечению для реализации комплексного проекта.

ПРИЛОЖЕНИЕ N 4
к Правилам предоставления субсидий
из федерального бюджета российским
организациям на финансовое обеспечение
части затрат на разработку конкурентоспособных
нишевых аппаратно-программных комплексов
для целей искусственного интеллекта

РАСЧЕТ РАЗМЕРА СУБСИДИИ, ПРЕДОСТАВЛЕННОЙ ИЗ ФЕДЕРАЛЬНОГО БЮДЖЕТА РОССИЙСКОЙ ОРГАНИЗАЦИИ НА ФИНАНСОВОЕ ОБЕСПЕЧЕНИЕ ЧАСТИ ЗАТРАТ НА РАЗРАБОТКУ КОНКУРЕНТОСПОСОБНЫХ НИШЕВЫХ АППАРАТНО-ПРОГРАММНЫХ КОМПЛЕКСОВ ДЛЯ ЦЕЛЕЙ ИСКУССТВЕННОГО ИНТЕЛЛЕКТА, ПОДЛЕЖАЩЕЙ ВОЗВРАТУ В ДОХОД ФЕДЕРАЛЬНОГО БЮДЖЕТА В СЛУЧАЕ НЕДОСТИЖЕНИЯ РОССИЙСКОЙ ОРГАНИЗАЦИЕЙ РЕЗУЛЬТАТА ПРЕДОСТАВЛЕНИЯ СУБСИДИИ

Размер субсидии, предоставленной из федерального бюджета российской организации на финансовое обеспечение части затрат на разработку конкурентоспособных нишевых аппаратно-программных комплексов для целей искусственного интеллекта, подлежащей возврату в доход федерального бюджета (тыс. рублей) (А), рассчитывается по формуле:

,

где:

- достигнутое значение результата предоставления субсидии "Разработка российской организацией в рамках реализации комплексного проекта не менее одного конкурентоспособного нишевого аппаратно-программного комплекса для целей искусственного интеллекта, единиц";

- плановое значение результата предоставления субсидии "Разработка российской организацией в рамках реализации комплексного проекта не менее одного конкурентоспособного нишевого аппаратно-программного комплекса для целей искусственного интеллекта, единиц", указанное в соглашении о предоставлении субсидии;

- удельный вес результата предоставления субсидии "Разработка российской организацией в рамках реализации комплексного проекта не менее одного конкурентоспособного нишевого аппаратно-программного комплекса для целей искусственного интеллекта, единиц", значимость которого составляет 50 процентов;

- достигнутое значение показателя, необходимого для достижения результата предоставления субсидии "Количество создаваемых и модернизируемых высокотехнологичных рабочих мест в рамках реализации комплексного проекта, единиц";

- плановое значение показателя, необходимого для достижения результата предоставления субсидии "Количество создаваемых и модернизируемых высокотехнологичных рабочих мест в рамках реализации комплексного проекта, единиц", указанное в соглашении о предоставлении субсидии;

- удельный вес показателя, необходимого для достижения результата предоставления субсидии "Количество создаваемых и модернизируемых высокотехнологичных рабочих мест в рамках реализации комплексного проекта, единиц", значимость которого составляет 15 процентов;

- достигнутое значение показателя, необходимого для достижения результата предоставления субсидии "Соотношение размера субсидии, запрашиваемой на разработку конкурентоспособных нишевых аппаратно-программных комплексов для целей искусственного интеллекта в рамках реализации комплексного проекта, и размера собственных и (или) заемных средств, планируемых к привлечению для реализации комплексного проекта";

- плановое значение показателя, необходимого для достижения результата предоставления субсидии "Соотношение размера субсидии, запрашиваемой на разработку конкурентоспособных нишевых аппаратно-программных комплексов для целей искусственного интеллекта в рамках реализации комплексного проекта, и размера собственных и (или) заемных средств, планируемых к привлечению для реализации комплексного проекта", указанное в соглашении о предоставлении субсидии;

- удельный вес показателя, необходимого для достижения результата предоставления субсидии "Соотношение размера субсидии, запрашиваемой на разработку конкурентоспособных нишевых аппаратно-программных комплексов для целей искусственного интеллекта в рамках реализации комплексного проекта, и размера собственных и (или) заемных средств, планируемых к привлечению для реализации комплексного проекта", значимость которого составляет 20 процентов;

- достигнутое значение показателя, необходимого для достижения результата предоставления субсидии "Количество созданных результатов интеллектуальной деятельности, охраняемых патентами и (или) удовлетворяющих условиям патентоспособности (с подтверждением результатами проведенных в соответствии с ГОСТ Р 15.011-96 патентных исследований), а также охраняемых в качестве секретов производства (ноу-хау), в том числе ключевых технических решений, единиц";

- плановое значение показателя, необходимого для достижения результата предоставления субсидии "Количество созданных результатов интеллектуальной деятельности, охраняемых патентами и (или) удовлетворяющих условиям патентоспособности (с подтверждением результатами проведенных в соответствии с ГОСТ Р 15.011-96 патентных исследований), а также охраняемых в качестве секретов производства (ноу-хау), в том числе ключевых технических решений, единиц", указанное в соглашении о предоставлении субсидии;

- удельный вес показателя, необходимого для достижения результата предоставления субсидии "Количество созданных результатов интеллектуальной деятельности, охраняемых патентами и (или) удовлетворяющих условиям патентоспособности (с подтверждением результатами проведенных в соответствии с ГОСТ Р 15.011-96 патентных исследований), а также охраняемых в качестве секретов производства (ноу-хау), в том числе ключевых технических решений, единиц", значимость которого составляет 15 процентов;

k - коэффициент, учитывающий средний размер ключевой ставки, устанавливаемой Центральным банком Российской Федерации, рассчитываемый по формуле:

,

где:

r - средний размер ключевой ставки, устанавливаемой Центральным банком Российской Федерации, рассчитываемый по формуле:

,

где:

n - количество периодов реализации, в которых действовали различные уровни ключевой ставки Центрального банка Российской Федерации;

t - суммарное количество календарных дней со дня заключения российской организацией соглашения о предоставлении субсидии;

- количество календарных дней действия i-й ключевой ставки Центрального банка Российской Федерации (в пределах периода реализации со дня заключения российской организацией соглашения о предоставлении субсидии);

- значения уровней ключевой ставки Центрального банка Российской Федерации;

s - количество лет со дня заключения российской организацией соглашения о предоставлении субсидии (дробное значение с округлением до 10-й доли при наличии неполных лет);

V - размер средств федерального бюджета, использованный российской организацией в рамках реализации комплексного проекта на день окончания срока его реализации или на день окончания периода реализации, в котором принято решение о расторжении соглашения о предоставлении субсидии, в том числе его одностороннем расторжении Министерством промышленности и торговли Российской Федерации в соответствии с пунктом 43 Правил предоставления субсидий из федерального бюджета российским организациям на финансовое обеспечение части затрат на разработку конкурентоспособных нишевых аппаратно-программных комплексов для целей искусственного интеллекта, утвержденных постановлением Правительства Российской Федерации от 23 августа 2021 г. N 1380 "Об утверждении Правил предоставления субсидий из федерального бюджета российским организациям на финансовое обеспечение части затрат на разработку конкурентоспособных нишевых аппаратно-программных комплексов для целей искусственного интеллекта" (тыс. рублей).

Достигнутые значения показателей, необходимых для достижения результата предоставления субсидии, учитываются на день окончания срока реализации комплексного проекта.

В случае если достигнутое значение показателя, необходимого для достижения результатов предоставления субсидии (, , ), превышает плановое значение этого показателя (, , ), отношение достигнутого значения показателя к плановому значению показателя считается равным 1.

В случае если достигнутое значение показателя, необходимого для достижения результатов предоставления субсидии (), меньше планового значения этого показателя (), отношение достигнутого значения показателя к плановому значению показателя считается равным 1.