УТВЕРЖДАЮ
Руководитель Федеральной
службы по надзору в сфере
защиты прав потребителей
и благополучия человека,
Главный государственный
санитарный врач
Российской Федерации
Г.Г. ОНИЩЕНКО
29 июля 2011 года
4.2. БИОЛОГИЧЕСКИЕ И МИКРОБИОЛОГИЧЕСКИЕ ФАКТОРЫ
МЕТОДЫ САНИТАРНО-МИКРОБИОЛОГИЧЕСКОГО И САНИТАРНО-ПАРАЗИТОЛОГИЧЕСКОГО АНАЛИЗА ПРИБРЕЖНЫХ ВОД МОРЕЙ В МЕСТАХ ВОДОПОЛЬЗОВАНИЯ НАСЕЛЕНИЯ
МЕТОДИЧЕСКИЕ УКАЗАНИЯ
МУК 4.2.2959-11
(в ред. Изменений N 1, утв. Роспотребнадзором 01.03.2021)
Дата введения:
с момента утверждения
1. Разработаны Управлением Федеральной службы по надзору в сфере защиты прав потребителей и благополучия человека по Краснодарскому краю (В.П. Клиндухов, П.Н. Николаевич); Федеральным государственным учреждением здравоохранения "Центр гигиены и эпидемиологии в Краснодарском крае" (В.В. Пархоменко, Е.П. Лаврик, Л.И. Щербина) под редакцией ГОУ ВПО "Кубанский государственный университет" (Г.А. Лещева); Федеральным государственным бюджетным учреждением "Научно-исследовательский институт экологии человека и гигиены окружающей среды" им. А.Н. Сысина Министерства здравоохранения и социального развития Российской Федерации (А.Е. Недачин, Т.З. Артемова, Е.К. Гипп, Р.А. Дмитриева, Т.В. Доскина, А.В. Загайнова, Н.Н. Буторина, В.А. Долгин, Т.Н. Максимкина); Федеральным государственным учреждением науки Федеральным научным центром гигиены им. Ф.Ф. Эрисмана Федеральной службы по надзору в сфере защиты прав потребителей и благополучия человека (Г.М. Трухина, Н.Н. Мойсеенко); Институтом медицинской паразитологии и тропической медицины им. Е.И. Марциновского ГОУ ВПО Первого МГМУ им. И.М. Сеченова (В.П. Сергиев, А.И. Чернышенко, Г.И. Новосильцев, Е.А. Черникова, Н.А. Турбабина).
2. Утверждены Руководителем Федеральной службы по надзору в сфере защиты прав потребителей и благополучия человека, Главным государственным санитарным врачом Российской Федерации Г.Г. Онищенко 29 июля 2011 г.
3. Введены в действие 29 июля 2011 г.
1. Область применения
1.1. Настоящие Методические указания (далее - МУК) устанавливают методы санитарно-микробиологического и санитарно-паразитологического анализа качества прибрежных вод морей в соответствии с Санитарно-эпидемиологическими требованиями к охране прибрежных вод морей от загрязнения в местах водопользования населения (СанПиН 2.1.5.2582-10).
СанПиН 2.1.5.2582-10 отменен. Взамен него с 01.03.2021 введен в действие СанПиН 2.1.3684-21.
1.2. Методические указания предназначены для индивидуальных предпринимателей, юридических лиц, деятельность которых может привести к загрязнению воды морей и оказать неблагоприятное влияние на здоровье населения, а также для органов, уполномоченных осуществлять государственный санитарно-эпидемиологический надзор за качеством прибрежных вод морей.
1.3. Производственный контроль состава и свойств сточных вод и морской воды в контрольных пунктах охраняемых районов обеспечивается водопользователями самостоятельно, либо с привлечением аккредитованной на данный вид деятельности лаборатории.
1.4. Санитарно-микробиологический и санитарно-паразитологический анализ проб прибрежных вод морей осуществляется по показателям: общие (обобщенные) колиформные бактерии (далее - ОКБ), E. coli, энтерококки, стафилококки, колифаги, возбудители кишечных инфекций, возбудители кишечных инфекционных заболеваний (сальмонеллы и шигеллы), Pseudomonas aeruginosa, Legionella pneumophila, Campylobacter jejuni, вирусы (энтеровирусы, ротавирусы, вирусы гепатита A); показателям, определяемым в период начала купального сезона, максимальной антропогенной нагрузки и по эпидемическим показаниям: жизнеспособные яйца гельминтов (аскарид, власоглавов, токсокар, фасциол), цисты патогенных кишечных простейших, ооцисты криптоспоридий. (в ред. Изменений N 1, утв. Роспотребнадзором 01.03.2021)
2. Нормативно-методические документы
В настоящих методических указаниях использованы ссылки на следующие нормативно-методические документы:
1. СанПиН 2.1.5.2582-10 "Гигиенические требования к охране прибрежных вод морей от загрязнения в местах водопользования населения".
2. СП 1.3.2322-08 "Безопасность работы с микроорганизмами III - IV групп патогенности (опасности) и возбудителями паразитарных болезней".
СП 1.3.2322-08 отменен. Взамен него с 01.09.2021 введен в действие СанПиН 3.3686-21.
3. МУК 4.2.2316-08 "Методы контроля бактериологических питательных сред".
4. МУК 4.2.1018-01 "Санитарно-микробиологический анализ питьевой воды".
5. МУК 4.2.2314-08 "Методы санитарно-паразитологического анализа воды".
6. МУК 4.2.2321-08 "Методы определения бактерий рода Campylobacter в пищевых продуктах".
7. МУК 4.2.2029-05 "Санитарно-вирусологический контроль водных объектов".
8. МУК 4.2.1884-04 "Санитарно-микробиологический и санитарно-паразитологический анализ воды поверхностных водных объектов".
9. МУ 1.3.2569-09 "Организация работы лабораторий, использующих методы амплификации НК при работе с материалом, содержащим микроорганизмы I - IV групп патогенности".
10. МУ 2.1.4.1057-01 "Организация внутреннего контроля качества санитарно-микробиологических исследований воды".
11. ГОСТ Р 53415-2009 "Вода. Отбор проб для микробиологического анализа воды".
12. ГОСТ Р 51592-2000 "Вода. Общие требования к отбору проб".
ГОСТ Р 51592-2000 отменен. Взамен него с 01.01.2014 введен в действие ГОСТ 31861-2012.
13. ГОСТ 6709-72 "Вода дистиллированная. Технические условия".
14. ГОСТ 26670-91 "Методы культивирования микроорганизмов".
15. ГОСТ Р 52426-2005 "Вода питьевая. Обнаружение и количественный учет Escherichia coli и колиформных бактерий. Часть 1. Метод мембранной фильтрации".
16. МР 24 ФЦ/513. Определение колиформных бактерий и E. coli с использованием хромогенных и флюорогенных индикаторных сред производства компании "Merck" (Германия)".
17. МР "Обнаружение и идентификация Pseudomonas aeruginosa в объектах окружающей среды (пищевых продуктах, воде, сточных жидкостях)".
18. МР 96/225 "Контроль качества и безопасности минеральных вод по химическим и микробиологическим показателям".
19. МР 01/15702-8-34 "Микробиологическая диагностика кампилобактериоза. Методические рекомендации".
20. ПНД Ф 12.15.1-08 "Методические указания по отбору проб для анализа сточных вод".
3. Оборудование, расходные материалы для работ по микробиологии и паразитологии
1. Приборы для мембранной фильтрации под вакуумом с диаметром фильтрующей поверхности 35 или 47 мм и устройства для создания разрежения (0,5 - 1,0) атм. типа ПВФ-142, ОФФ-25, "ПробоКонг-СЭС-М3", ПВФ-142ВБ, ПМФ-70, АФ 142 "К", "Н".
2. Водяная баня или термостат для температурного режима 45 - 49 °C (для питательных сред).
3. Термостаты, поддерживающие рабочую температуру (37 +/- 1) °C, (44 +/- 0,5) °C, (50 +/- 1) °C.
4. Стерилизатор суховоздушный.
5. Термометр ртутный с диапазоном измерения от 0 до 200 °C с ценой деления шкалы 1 °C.
6. Термометр ртутный с диапазоном измерения от 0 до 50 °C с ценой деления шкалы 0,5 °C.
7. Логгеры (мониторинг температуры в термостате).
8. Термометр спиртовой с диапазоном измерения от -50 до 50 °C с ценой деления шкалы 1 °C для измерения температуры в холодильниках.
9. Стерилизатор паровой, режим работы от 0 до 2,5 кгс/см3.
10. Ламинарный бокс для культуры клеток (класс не ниже 2).
11. Центрифуга лабораторная рефрижераторная WKH-1VH.
12. Микроцентрифуга для пробирок со скоростью вращения 10000 - 16000 об./мин.
13. Нагревательный прибор для варки питательных сред либо магнитные мешалки с подогревом до 300 °C.
14. Микроскоп стереоскопический, обеспечивающий увеличение от 305 до 119х, с полем зрения 39 - 1,9 мм.
15. Инвертированный микроскоп для просмотра флаконов с культурами клеток при анализе на энтеровирусы.
16. Микроскоп биологический, обеспечивающий увеличение от 84х до 1350х.
17. Весы лабораторные общего назначения 4 класса точности, с пределом взвешивания до 1000 г, допустимая погрешность не более 0,1 г по ГОСТ 24104-80.
18. Микроскоп биологический, обеспечивающий увеличение от 84х до 1350.
19. Весы лабораторные общего назначения 4 класса точности, с пределом взвешивания до 200 г, допустимая погрешность не более 0,02 г.
20. PH-метр, обеспечивающий измерение с погрешностью до 0,01.
21. Дистиллятор, обеспечивающий качество дистиллированной воды, отвечающий ГОСТ 6709-72.
22. инкубатор, обеспечивающий температуру до 50 °C.
23. Холодильники бытовые электрические с температурой в камере 4 - 6 °C.
24. Низкотемпературный морозильник с температурой в камере (-70 °C).
25. Иммуноферментный анализатор (ИФА).
26. Стерильный фильтрующий материал для микробиологических целей (мембранные фильтры, аналитические трековые мембраны и другие фильтрующие материалы с диаметром пор не более 0,45 мкм, и размером диска 35 или 47 мм), проверенной ранее партии или другие фильтрующие мембраны с аналогичной способностью фильтрации, разрешенные к применению в установленном порядке.
27. Мембрана микропористая капроновая (ММК диаметр пор 0,2 мкм).
28. Мембрана для концентрирования вирусов из воды типа ФМНЦ - 0,2 мкм.
29. Мембранные фильтры для паразитологических исследований с размерами пор 1,5 - 3,0 мкм, размерами пор 2,4 - 4,5 мкм, трековые микрофильтрационные мембраны с диаметром пор 1,0 - 3,05 мкм.
30. Трековые микрофильтрационные мембраны (АТМ) с диаметром пор 5,0 и 2,5 мкм и префильтр (капроновая сетка) с диаметром пор 25,0 и 67 - 70 мкм для паразитологических исследований.
31. Облучатель бактерицидный.
32. Оптический стандарт мутности на 10 ед.
33. Часы сигнальные или песочные на 2, 3, 5 мин.
34. Макропористое стекло марки МПС 1000 ВГХ.
35. Набор для концентрирования с помощью пакетов с адсорбентом.
36. Ионообменная смола (Анионит АВ 17-8).
37. Набор для сбора и концентрирования вирусов из питьевой воды в системе децентрализованного хозяйственно-бытового водоснабжения, поверхностных и сточных вод.
38. Дозаторы пипеточные полуавтоматические переменного объема 0,5 - 10 мкл; 40 - 200 мкл; 200 - 1000 мкл с наконечниками.
39. Горелки газовые или спиртовки.
40. Петли бактериологические.
41. Пинцеты для работы с мембранными фильтрами.
42. Штативы для пробирок.
43. Емкости эмалированные.
44. Пробки различных размеров: силиконовые, резиновые и другие, выдерживающие стерилизацию сухим жаром и автоклавированием.
45. Вата хлопковая медицинская гигроскопическая.
46. Марля медицинская.
47. Маркеры водостойкие.
49. Шпагат.
50. Бумага плотная для упаковки посуды.
51. Штативы для пробирок 0,6 и 1,5 мл.
52. Планшеты пластиковые для культивирования культур тканей.
53. Батометр с устройством для закрепления стерильных емкостей.
54. Батометр специальный для отбора проб с разных глубин.
Примечание.
1. Для экспресс-анализа индикаторных и патогенных микроорганизмов в воде может использоваться микробиологический анализатор "БакТрак-4300" в соответствии с МУК 4.2.1111-02 "Использование метода измерения электрического сопротивления (импеданса) для санитарно-микробиологического исследования питьевой воды".
2. Для идентификации выделенных культур допускается применение автоматических микробиологических анализаторов (например, VITEK 2 Compact - Методические рекомендации N 02.032-08).
4. Реагенты и реактивы для микробиологии и паразитологии
| Калий хлористый | ГОСТ 3118-77 |
| Калий фосфорнокислый однозамещенный | ГОСТ 4198-75 |
| Калий фосфорнокислый двузамещенный 3-водный | ГОСТ 2483-75 |
| Калия гидроокись | ГОСТ 24363-80 |
| Калия сульфат | ГОСТ 4145-74 |
| Калий йодистый | ГОСТ 4232-74 |
| Калий азотнокислый (нитрат калия) | ГОСТ 19790-74 |
| Кислота соляная | ГОСТ 3118-77 |
| ГОСТ 14261-77 | |
| Кислота ортофосфорная | ТУ 6-09-4229-76 |
| Кислота борная | ТУ 6-09-17-263-89 |
| ГОСТ 9656-73 | |
| Натрий хлористый | ГОСТ 4233-77 |
| Натрий гидрат окиси | ГОСТ 4328-77 |
| или | |
| ГОСТ 9285-78 | |
| Натрий фосфорнокислый трехзамещенный | ГОСТ 201-76 |
| Натрий серноватисто-кислый (тиосульфат натрия) 5-водный | ГОСТ 27068-86 |
| Натрий двууглекислый | ГОСТ 2156-76 |
| Фосфат натрий-аммония двузамещенный, 4-водный | ГОСТ 4170-78 |
| Натрий сернисто-кислый пиро (метабисульфит) | ГОСТ 10575-76 |
| Натрий пировинограднокислый (пируват) | ТУ 6-09-08-990-75 |
| Спирт этиловый ректификованный медицинский | ГОСТ 51652-2000 |
| Официальный источник электронного документа содержит неточность: имеется в виду ГОСТ Р 51652-2000. ГОСТ Р 51652-2000 отменен. Взамен него с 15.02.2015 введен в действие ГОСТ 5962-2013. | |
| Активированный уголь | Р.72.270.3 |
| Агар микробиологический | ГОСТ 17206-84 |
| МУК 4.2.2959-11 | |
| D-глюкоза | ГОСТ 6038-79 |
| L-лактоза | ГОСТ 6038-74 |
| Мальтоза | Sigma (Германия) |
| D-маннит | ГОСТ 8321-74 |
| L-аргинин гидрохлорид (Германия) | |
| Пептон сухой ферментативный для бактериологических целей | ГОСТ 13805-76 |
| Дрожжевой экстракт | ГОСТ 171-81 |
| Трифенилтетразолий хлорид | ТУ 6-09-3838-78 |
| Тетраметил-п-фенилендиамин гидрохлорид | (TEMED) |
| Диметил-п-фенилендиамин дигидрохлорид | ТУ 6-09-1903-77 |
| ГОСТ 5838-79 | |
| Пара-диметиламинобензальдегид | ТУ 6-09-3272-77 |
| Амиловый спирт | ГОСТ 5830-79 |
| Триптофан | (США) |
| Азид-натрия | (Германия) |
| Глицерин | ГОСТ 6824-96 |
| Кальций углекислый | ГОСТ 4530-76 |
| Бриллиантовый зеленый | ТУ 6-09-4278-76 |
| Бромтимоловый синий спирторастворимый | ТУ 6-09-5423-90 |
| Кристаллический фиолетовый | ТУ 6-09-4119-82 |
| Раствор Люголя | сертификат 78-1683233 |
| Йод кристаллический | ТУ 211.003.033.88 |
| Барий хлористый | ГОСТ 4108-72 |
| Магний хлористый кристаллический 6-водный | ГОСТ 4209-77 |
| Сульфат магния | ГОСТ 21458-75 |
| Тетратионат калия | ТУ 6-09-3838-78 |
| Калийная соль б-кетоглютаровой кислоты | (Россия) |
| (Россия) | |
| Глицин, Biotechnology Grade > 99% | (Amresco, США) |
| Пирофосфат железа растворимый | ГОСТ 4147-74 |
| или | |
| ГОСТ 342-77 | |
| Буферный угольно-дрожжевой агар | |
| Глицин, Biotechnology Grade > 99% | (Amresco, США) |
| L-цистеин | (Япония) |
| Пирофосфат железа растворимый | (Sigma, США) |
| Полимиксин B сульфат 500000 ед. | (Германия) |
| Циклогексимид | (Германия) |
| ACES-буфер (N-2-ацетамидо-2-аминоэтан-сульфанильная кислота) | |
| Вода дистиллированная | ГОСТ 6709-72 |
| Приборы мембранного фильтрования для санитарно-гельминтологического исследования морской воды: | |
| 1) вакуумные фильтровальные установки типа ПВФ-142, ПВФ-35, ПВФ-47; | |
| 2) напорного фильтрования типа ПНФ, УППВ | |
| Приборы порошкового фильтрования: | |
| 1) напорного фильтрования - типа ПробоКонг и его модификации; | |
| 2) отборник флотанта фильтрующий типа "ОФФ-25" | |
| Лабораторная центрифуга типа ОПН-3, ОПН-8, ЦЛС-31М, ОС-6М со сменным ротором или другие марки с аналогичными параметрами, обеспечивающие 1500 - 3000 об./мин, позволяющие центрифугировать пробы воды в центрифужных пробирках объемом от 10 мл | |
| Ареометры с пределами измерения от 1,000 до 1,400 кг/м3 | |
| Световые микроскопы отечественные типа МИКМЕД-2 (вариант 2) и других фирм, оснащенные окулярами с увеличением 10х (дополнительно могут быть 7х и 5х), объективами 10х, 40х, 100х. Окуляр-микрометр и объект-микрометр | |
| Мембранные фильтры для фильтрования воды на основе ацетатов целлюлозы типа МФАС-СПА с размерами пор от 1,5 до 3,0 мкм, МФАС-СПА-4 с размерами пор от 2,5 до 4,5 мкм или прозрачные аналитические трековые мембраны АТМ на основе полиэтилентерефталата с размерами пор от 1,0 до 5,0 и более мкм. Диаметр фильтровальных дисков 25, 35, 47, 70 и до 142 мкм в зависимости от диаметра фритты фильтродержателя используемого фильтровального оборудования | |
| Предфильтры - капроновая сетка с ячейками 60 - 70 мкм | |
| Емкости для отбора проб воды из нейтрального материала, пригодные для обеззараживания (широкогорлые стеклянные или пластиковые флаконы емкостью 100 500 мл с притертым или завинчивающимися крышками, металлические или пластиковые канистры емкостью 10 - 25 л, стеклянные бутыли, фляги молочные металлические, эмалированные бидоны и др. | |
| Лабораторный вортекс, лабораторный ротатор | |
| Лотки эмалированные, металлические, эмалированные кастрюли, ведра | |
| Предметные стекла | |
| Часы песочные на 3 - 5 мин, часы сигнальные или электронный таймер | |
| Кисти акварельные широкие (мягкие или полужесткие) | |
5. Оборудование и расходные материалы для ПЦР
ЗОНА 1. Выделение ДНК/РНК из образцов
1. Ламинарный бокс (например, "БАВп-01-"Ламинар-С"-1,2", "Ламинарные системы", Россия, класс биологической безопасности II, тип А).
2. Вортекс (например, "ТЭТА-2", "Биоком", Россия).
3. Набор электронных или механических дозаторов переменного объема (например, "Ленпипет", Россия).
4. Одноразовые полипропиленовые завинчивающиеся или плотно закрывающиеся микропробирки объемом 1,5 мл (например, "Axygen", США).
5. Одноразовые наконечники для дозаторов с аэрозольным барьером до 200 мкл и до 1000 мкл (например, "Axygen", США).
6. Штативы для наконечников (например, "Axygen", США) и микропробирок объемом 1,5 мл (например, "ИнтерЛабСервис", Россия).
7. Холодильник от 2 до 8 °C.
8. Отдельный халат и одноразовые перчатки.
9. Емкость с дезинфицирующим раствором.
При использовании комплекта реагентов "РИБО-преп"
1. Термостат для пробирок типа "Эппендорф" от 25 до 100 °C (например, "ТЕРМО 24-15", "Биоком", Россия).
2. Микроцентрифуга для пробирок типа "Эппендорф" до 16 тыс. об./мин (например, "MiniSpin", "Eppendorf", Германия).
3. Вакуумный отсасыватель медицинский с колбой-ловушкой для удаления надосадочной жидкости (например, "ОМ-1", г. Ульяновск, Россия).
4. Одноразовые наконечники для дозаторов переменного объема до 200 мкл (например, "Axygen", США).
При использовании комплекта реагентов "МАГНО-сорб"
1. Термостат для пробирок объемом 5 мл, диаметром 12 мм от 25 до 100 °C (например, "BioerTechnology", Китай).
2. Термостат для пробирок типа "Эппендорф" от 25 до 100 °C (например, "ТЕРМО 24-15", "Биоком", Россия).
3. Магнитный штатив для пробирок типа "Эппендорф" на 1,5 мл (например, "Promega", США).
4. Магнитный штатив для пробирок на 5 мл, диаметр 12 мм (например, "Promega", США).
5. Вакуумный отсасыватель медицинский с колбой-ловушкой для удаления надосадочной жидкости (например, "ОМ-1", г. Ульяновск, Россия).
6. Одноразовые полипропиленовые завинчивающиеся или плотно закрывающиеся микропробирки объемом 1,5 мл (например, "Axygen", США).
7. Одноразовые полипропиленовые или полистирольные пробирки объемом до 5 мл диаметром 12 мм, круглодонные (например, "Axygen", США).
8. Одноразовые полипропиленовые крышки для пробирок объемом до 5 мл диаметром 12 мм (например, "Axygen", США).
9. Электронный или механический дозатор переменного объема с возможностью дозирования от 1000 до 5000 мкл (например, "Ленпипет", Россия).
10. Одноразовые наконечники для дозаторов переменного объема до 200 мкл, до 1000 мкл и до 5000 мкл (например, "Axygen", США).
ЗОНА 2. Проведение реакции обратной транскрипции, ПЦР и гибридизационно-флуоресцентной детекции продуктов ПЦР-амплификации
1. ПЦР-бокс (например, "БАВ-ПЦР - "Ламинар-С", "Ламинарные системы", Россия).
2. Вортекс (например, "ТЭТА-2", "Биоком", Россия).
3. Набор электронных или автоматических дозаторов переменного объема (например, "Ленпипет", Россия).
4. Одноразовые наконечники с аэрозольным барьером до 200 мкл (например, "Axygen", США).
5. Штативы для наконечников (например, "Axygen", США) и микропробирок на 0,5 (0,2) мл (например, "ИнтерЛабСервис", Россия).
6. Холодильник от 2 до 8 °C с морозильной камерой не выше минус 16 °C.
7. Отдельный халат и одноразовые перчатки.
8. Емкость с крышкой для дезинфицирующего раствора.
При использовании комплектов реагентов "ПЦР-комплект" вариант 100-FRT F, "ПЦР-комплект" вариант 50-FRT F
1. Амплификатор роторного типа, например, "Rotor-Gene" 3000 или 6000 ("CorbettResearch", Австралия) или амплификатор планшетного типа, например, "iQ5" ("BioRad", США), "Мх3000Р" ("Stratagene", США) или эквивалентные.
2. Одноразовые полипропиленовые пробирки для ПЦР:
а) на 0,2 мл (плоская крышка, нестрипованные) (например, "Axygen", США) для постановки в ротор на 36 пробирок - для приборов для ПЦР в реальном времени с детекцией через дно пробирки (например, "Rotor-Gene");
б) на 0,2 мл (куполообразная крышка) (например, "Axygen", США) - для приборов для ПЦР в реальном времени с детекцией через крышку (например, "iQ5", "Мх3000Р").
6. Питательные среды и тест-культуры
6.1. Общие требования
При выполнении микробиологического анализа следует отдавать предпочтение стандартизованным сухим питательным средам промышленного производства. При использовании промышленных сухих питательных сред следует соблюдать способ приготовления, применения и сроки хранения, указанные изготовителем.
Вновь приобретенная партия питательных сред должна пройти контроль качества в соответствии с МУК 4.2.2316-08 "Методы контроля бактериологических питательных сред".
Для приготовления растворов, реактивов и питательных сред применяют дистиллированную воду, отвечающую требованиям ГОСТ 6709-72.
Питательные среды готовят в посуде из инертного материала.
6.2. Растворы для разбавлений и питательные среды
6.2.1. Солевой (физиологический) раствор
В 1 л дистиллированной воды растворяют 8,5 г хлорида натрия, устанавливают pH с расчетом, чтобы после стерилизации pH = 7,0 +/- 0,1. Разливают во флаконы, стерилизуют при температуре (120 +/- 2) °C 15 мин. Разливают мерно непосредственно перед посевом.
Срок хранения - до 1 месяца при комнатной температуре.
6.2.2. Пептонный раствор
В 1 л дистиллированной воды растворяют при кипячении 1 г пептона. Устанавливают pH с расчетом, чтобы после стерилизации pH = 7,0 +/- 0,1. Разливают во флаконы. Стерилизуют при температуре (120 +/- 2) °C 20 мин. Разливают мерно непосредственно перед посевом.
Срок хранения - до 1 месяца при комнатной температуре.
6.2.3. Пептонно-солевой раствор
В 1 л дистиллированной воды растворяют при кипячении 8,5 г хлорида натрия и 1 г пептона. Устанавливают pH с расчетом, чтобы после стерилизации pH = 7,0 +/- 0,1. Стерилизуют при температуре (120 +/- 2) °C 20 мин. Разливают мерно непосредственно перед посевом.
Срок хранения - до 1 месяца при комнатной температуре.
6.2.4. Питательный бульон
Готовят из сухого препарата промышленного производства по способу, указанному производителем.
6.2.5. Питательный агар
Готовят из сухого препарата промышленного производства по способу, указанному на этикетке.
Питательный агар не допускается выдерживать в расплавленном состоянии более 8 ч. Оставшийся неиспользованным агар повторному расплавлению не подлежит.
Питательный агар для определения колифагов прямым методом при посеве 20 мл пробы на чашку Петри готовят, увеличивая навеску сухого препарата на 10 - 15% от прописи. Разливают в емкости, автоклавируют при температуре (120 +/- 2) °C 20 мин.
Полужидкий питательный агар готовят с использованием одной трети навески сухого препарата, указанной на этикетке. Разливают в пробирки и автоклавируют при температуре (120 +/- 2) °C 20 мин.
Питательный агар со стрептомицином готовят из расчета содержания 100 мкг стрептомицина на 1 мл питательного агара, приготовленного по стандартной прописи. Стерильно на стерильной дистиллированной воде готовят раствор стрептомицина в концентрации 10 мг на 1 мл. В готовый питательный агар, отмеренный по объему и остуженный до температуры 45 - 49 °C, вносят приготовленный стерильный раствор стрептомицина из расчета 0,1 мл на 10 мл питательного агара. Разливают в пробирки для приготовления скошенного агара. Срок хранения питательного агара со стрептомицином не более 2 недель. Повторное расплавление питательной среды со стрептомицином запрещается.
6.2.6. Фуксин-сульфитная среда Эндо
Готовят из сухого препарата по способу, указанному производителем.
Готовую среду охлаждают до 60 - 70 °C и разливают в чашки Петри.
Если после застывания на поверхности среды заметны следы влаги, чашки перед посевом необходимо подсушить. Срок хранения чашек со средой не более 3 - 5 суток в темноте, если производителем не оговорены другие сроки.
6.2.7. Лактозный агар с тергитолом-7 и ТТХ
Готовят из сухого препарата по способу, указанному на этикетке. Готовую среду охлаждают на водяной бане до 45 - 50 °C и добавляют приготовленного на стерильной дистиллированной воде 5 мл 0,05% водного раствора ТТХ на 100 мл основной среды. Хорошо перемешивают и разливают в чашки слоем не менее 5 мм. Раствор ТТХ и питательная среда устойчивы в течение недели при температуре 2 - 8 °C в защищенном от света месте.
6.2.8. Хромокультколиформ агар
Готовят из сухого препарата по способу, указанному на этикетке. Нагревают на кипящей водяной бане, периодически помешивая, до полного растворения в течение 35 мин. Не автоклавировать, не перегревать. Готовую среду охлаждают до 45 - 50 °C и разливают в чашки Петри. Питательная среда устойчива в течение 2-х недель при температуре 2 - 8 °C в защищенном от света месте. Для предотвращения от высыхания поместить чашки со средой в пластиковые мешки.
6.2.9. Лактозо-пептонная среда
Растворяют при нагревании в 1 л дистиллированной воды 10 г пептона, 5 г натрия хлористого, 5 г лактозы. После растворения ингредиентов и остывания среды до комнатной температуры добавляют индикатор (2 мл 1,6%-го спиртового раствора бромтимолового синего), устанавливают pH (7,4 - 7,6), разливают по 10 мл в пробирки.
Для приготовления концентрированной лактозо-пептонной среды все ингредиенты, кроме воды, увеличивают в 10 раз, разливают по 1 мл в пробирки и по 10 мл во флаконы.
Готовую среду стерилизуют при (112 +/- 2) °C 12 мин.
6.2.10. Питательные среды для подтверждения способности ферментировать лактозу до кислоты и газа и образовывать индол
6.2.10.1. Полужидкая среда с лактозой из сухого препарата
Готовят по способу, указанному производителем.
Срок хранения не более 2 недель при комнатной температуре. В холодильнике не хранить.
Посев производят уколом до дна пробирки. При образовании кислоты цвет питательной среды изменяется в соответствии с использованным индикатором. При газообразовании газ скапливается или по уколу, или на поверхности, или в толще среды появляются разрывы. При инкубации посевов более 5 ч газ может улетучиться. В таких случаях на присутствие газа указывают оставшиеся в толще среды "карманы" - потемнения среды на месте бывшего пузырька газа.
6.2.10.2. Жидкая лактозо-пептонная среда
Готовят в соответствии с п. 6.2.9 с добавлением 1 мл 1,6%-го спиртового раствора бромтимолового синего на 1 л среды, разливают по 3 - 5 мл в пробирки с поплавком или комочком ваты.
6.2.10.3. СИБ-лактоза
Готовят по прописи производителя.
Примечание. При выборе среды для подтверждения ферментации углеводов целесообразно использовать полужидкие среды, которые позволяют улавливать небольшое количество газа и на ранних стадиях ферментации, что повышает чувствительность метода и скорость получения ответа через 4 - 6 ч.
6.2.10.4. Лактозный бульон с борной кислотой
Растворяют в 1 л дистиллированной воды: 10 г пептона; 12,2 г калия фосфорно-кислого двузамещенного (безводного); 4,1 г калия фосфорнокислого однозамещенного (безводного); 3,2 г борной кислоты; 5 г лактозы. После растворения всех ингредиентов при нагревании среду остужают до комнатной температуры и разливают по 5 мл в пробирки с поплавками или комочками ваты, стерилизуют при (112 +/- 2) °C 12 мин. Срок хранения не более 2 недель.
Примечание. Каждую новую партию борной кислоты следует испытывать: при выращивании E. coli при температуре 44 °C среда дает положительную реакцию - помутнение и газ.
6.2.10.5. Среда с триптофаном
10 г ферментативного пептона, 5 г хлористого натрия, 1 г триптофана растворяют в 1 л дистиллированной воды, устанавливают pH - 7,2, разливают в стерильные пробирки и автоклавируют при (120 +/- 2) °C в течение 20 мин.
6.2.11. Реактивы для оксидазного теста
Вариант 1.
Раствор 1%-й водный тетраметил-п-фенилендиамина гидрохлорида. Готовят перед употреблением.
Вариант 2.
Реактив N 1. Раствор 1%-й спиртовой -нафтола.
Реактив N 2. Раствор 1%-й водный диметил-п-фенилендиамина дигидрохлорида.
Растворы сохраняют в темных флаконах с притертыми пробками: 1-й - до одного месяца, 2-й - до одной недели. Перед употреблением к 2,5 частям первого раствора добавляют 7,5 частей второго раствора.
Могут быть использованы коммерческие тест-системы для постановки оксидазного теста (СИБ-оксидаза или аналоги).
Каждую новую партию и периодически раз в месяц реактивы или тест-системы на оксидазу следует испытывать с тест-культурами микроорганизмов, дающих положительную (Ps. aeruginosa, Ps. fluorescens) и отрицательную (E. coli) оксидазную реакцию.
Примечание: перечисленные реактивы являются канцерогенными. Работу по приготовлению реактивов следует выполнять в вытяжном шкафу, используя защитные перчатки и избегая контакта реактива с кожей.
6.2.12. Триптонный агар с желчью и X-глюкуронидом
Готовят из сухого препарата по способу, указанному на этикетке. Разливают в емкости, стерилизуют при температуре (120 +/- 2) °C 15 мин. Готовую среду охлаждают до 45 - 50 °C и разливают в чашки Петри. Питательная среда устойчива в течение 4-х недель при температуре 2 - 8 °C в защищенном от света месте. Для предотвращения от высыхания поместить чашки со средой в пластиковые мешки.
6.2.13. Реактив Ковача
Растворяют 5 г пара-диметиламинобензальдегида в 75 мл амилового спирта на водяной бане при 60 °C. Затем медленно добавляют 25 мл концентрированной соляной кислоты. Приблизительно через 6 ч, после изменения цвета, реактив готов для употребления. Цвет готового реактива должен быть от светло-желтого до светло-коричневого. При использовании некачественного амилового спирта реактив может приобрести темный цвет. Реактив следует хранить при температуре 4 °C в темном месте во флаконе из коричневого стекла. Срок хранения - две недели.
6.2.14. Щелочно-полимиксиновая среда (ЩЕС)
Растворы 1, 2 и 3 стерилизуют раздельно при 112 °C 12 мин. После стерилизации растворы смешивают, проверяют pH (10,0 - 10,2), прибавляют 20000 единиц полимиксина M, 0,5 мл 1,6%-го спиртового раствора бромтимолового синего, разливают в пробирки по 5 мл. В среду удвоенной концентрации добавляют 40000 единиц полимиксина M и 1 мл бромтимолового синего. Разливают в колбы или флаконы по 10, 50 и 100 мл соответственно количеству исследуемой воды.
6.2.15. Приготовление молочно-ингибиторной среды (МИС)
Готовят 2,5%-й мясо-пептонный агар. К 85 мл готового питательного агара, охлажденного до температуры 40 - 45 °C, добавляют 15 мл стерильного обезжиренного (0,5%-й жирности) молока, 1,25 мл 0,01%-го водного раствора кристаллического фиолетового, 1 мл 2%-го водного раствора теллурита калия. Все хорошо смешивают и разливают тонким слоем в чашки Петри.
6.2.16. Азидная среда Сланеца-Бертли
Сухой питательный агар промышленного производства готовят по указанию на этикетке, 4 г калия фосфорнокислого однозамещенного расплавляют при нагревании в 1000 мл дистиллированной воды, устанавливают pH 7,0, разливают мерно в емкости, стерилизуют при (120 +/- 2) °C 20 мин.
Перед употреблением в расплавленный и слегка остуженный агар добавляют из расчета на 100 мл среды: дрожжевого экстракта - 2,0 мл, глюкозы - 1,0 г, азида натрия - 0,04 г, 1%-го водного раствора 2-, 3-, 5-трифенилтетразолий хлорида (ТТХ) - 1 мл. Тщательно смешивают, разливают в чашки по 20 - 25 мл. Хранят в холодильнике не более 2 недель. Среду можно готовить перед употреблением без стерилизации в автоклаве.
6.2.17. Приготовление дрожжевого экстракта
Распределяют равномерно 1000 г прессованных (пекарских) дрожжей в 2000 мл дистиллированной воды, прогревают в автоклаве при 100 °C 30 мин, отстаивают в холодильнике 4 - 5 суток. Надосадочную жидкость разливают во флаконы по 50 - 100 мл, на каждые 100 мл экстракта прибавляют 1,25 мл 0,01%-го водного раствора кристаллического фиолетового, вновь прогревают при 100 °C 30 мин. Хранят экстракт в холодильнике.
Можно применять сухой дрожжевой экстракт промышленного производства, уменьшив концентрацию в 10 раз от указанного в прописях сред.
6.2.18. Питательная среда для выделения энтерококков сухая - энтерококкагар
Готовят по прописи завода-изготовителя.
Навеску тщательно размешивают в 1 л воды дистиллированной, доводят до кипения и кипятят при постоянном помешивании в течение 1 минуты, быстро охлаждают до температуры 45 - 50 °C и разливают в чашки Петри. Минимальное время воздействия высокой температуры при приготовлении среды необходимо из-за наличия в среде ТТХ, который разлагается при нагревании.
6.2.19. Солевой агар с ТТХ для подтверждения наличия энтерококков
Сухой питательный агар по прописи производителя и 65 г хлорида натрия растворяют при нагревании в 1000 мл дистиллированной воды.
Осадок отфильтровывают, разливают мерно во флаконы, стерилизуют при (120 +/- 2) °C 20 мин. Перед употреблением в расплавленную основу из расчета на 100 мл добавляют: 1 г глюкозы, 2 мл дрожжевого экстракта или другого дрожжевого препарата, 1 мл водного 1%-го раствора ТТХ. Тщательно смешивают, разливают в чашки.
6.2.20. Желточно-солевой агар (ЖСА)
Сухой питательный агар по прописи производителя и 90 г хлорида натрия растворяют при нагревании в 1000 мл дистиллированной воды, разливают мерно в емкости, стерилизуют при (120 +/- 2) °C 20 мин. Перед употреблением в расплавленный и остуженный до 50 - 55 °C солевой агар прибавляют один стерильно приготовленный яичный желток, тщательно смешанный с 50 мл физиологического раствора с помощью стеклянных бус, перемешивают и разливают в чашки Петри тонким слоем по 12 - 15 мл для подтверждающего этапа или толстым слоем по 20 - 25 мл для выращивания на мембранных фильтрах.
Допускается использовать сухой препарат промышленного производства (стафилококкагар) как солевую основу с последующим добавлением желточной взвеси.
6.2.21. Среда Мюллера-Кауфмана
В 500 мл исследуемой воды вносят 25 мл 10%-го пептона, 0,5 г желчных солей, 5 г кальция углекислого, 15 г натрия тиосульфата, 0,5 мл 0,1%-го водного раствора бриллиантового зеленого, 10 мл раствора Люголя. Для приготовления раствора Люголя в 10 мл воды вносят 3 г йода кристаллического и 2,5 г калия йодистого.
6.2.22. Приготовление желчной соли по Олькеницкому
К 1000 мл желчи крупного рогатого скота прибавляют 40 г натрия гидрата окиси, гидролизуют в автоклаве при 120 °C 3 ч или 2 раза по 2 ч в эмалированной или стеклянной посуде, исключая алюминиевую. После охлаждения в гидролизат прибавляют 100 мл 20%-го водного раствора бария хлористого и прогревают в автоклаве при 100 °C 1 ч. Через 18 - 24 ч отстаивания надосадочную жидкость сливают и фильтруют. К профильтрованному гидролизату прибавляют при постоянном помешивании 20%-й раствор соляной кислоты до кислой реакции (pH 6,4 - 6,6) и оставляют на 18 - 24 ч. Надосадочную жидкость сливают, осадок промывают водой, прибавляют при нагревании 40%-ный раствор натрия гидрата окиси до слабо щелочной реакции (pH 7,2 - 7,4) и выливают на противень для подсушивания в сушильном шкафу при 115 °C до порошкообразного состояния. Из 1000 мл желчи можно получить 36 г смеси желчных солей. Следует остерегаться перещелачивания при последней операции. Хранят соли в темной банке с притертой пробкой.
6.2.23. Селенитовая среда Лейфсона
Готовят из сухого препарата промышленного производства по указанию на упаковке.
Для приготовления селенитового бульона двойной концентрации увеличивают навеску сухого препарата в два раза на тот же объем дистиллированной воды.
6.2.24. Магниевая среда
Приготовление среды обычной и двойной концентрации.
Готовят раздельно растворы А, Б, В по нижеследующей прописи:
Ингредиенты растворяют, кипятят в течение 10 мин, затем растворы А, Б и В сливают в одну колбу.
При исследовании больших объемов воды наилучшие результаты дает посев воды в магниевую среду по экспедиционной методике посева, заключающейся во внесении навесок и концентрированных растворов ингредиентов среды непосредственно в исследуемую воду в соответствии с нижеследующей прописью:
Каждую навеску ингредиента вносят в исследуемый объем воды по одному после полного растворения предыдущего сразу после внесения.
Все навески можно заранее соединить в одной емкости в виде жидкой кашицы. Через 24 ч хранения при комнатной температуре происходит стерилизация концентрата. Дополнительная стерилизация не требуется.
6.2.25. Питательная среда для сальмонелл РСН
Готовая к применению, производства Ростов НИИ МИ Роспотребнадзора (г. Ростов-на-Дону).
6.2.26. Тетратионатная среда накопления по Preuss
К 1000 мл мясопептонного бульона добавляют 5 мл 0,1%-го водного раствора кристаллического фиолетового, стерилизуют при (112 +/- 2)° С 12 мин. После охлаждения добавляют 20 г тетратионата калия, устанавливают pH 6,5. Среду разливают в стерильные емкости размера, необходимого для последующего посева. Срок хранения - до одной недели при температуре 4 °C.
6.2.27. Висмут-сульфит агар
Готовят из сухого препарата промышленного производства по указанию на этикетке. Разливают в стерильные чашки Петри. Среду готовят заранее. До посева чашки со средой выдерживают в холодильнике не менее 24 ч.
6.2.28. Агар ЭМС (агар с эозиновым метиленовым синим)
Готовят из сухого препарата промышленного производства по прописи производителя.
6.2.29. Бактоагар Плоскирева с антибиотиками
Готовят из сухого препарата промышленного производства по прописи производителя.
6.2.30. Коммерческая среда ЕС-бульон (селективная) для обнаружения и определения количества бактерий E. coli
Способ приготовления среды согласно прописи производителя.
6.2.31. Основа бульона для накопления кампилобактерий (Престона) HiMedia M 899 и (Дойла) HiMedia M 916
Используют готовую среду согласно прописи на этикетке. Растворяют сухую основу порошка в дистиллированной воде. При необходимости производят подогрев среды до кипения для полного растворения частиц. Стерилизация в автоклаве при температуре 121 °C в течение 15 мин. Остудить до температуры 45 °C.
Приготовление полной среды: перед использованием в 500 мл бульона асептически добавить 35 мл стерильной дефибринированной крови барана или древесный уголь, а также растворенное в этаноле содержимое 1 флакончика с добавкой антибиотиков модифицированной III (по Дойлу). Тщательно перемешать и разлить в соответствующие емкости в количествах, необходимых для проведения исследования.
6.2.32. Селективный агар Престона
Состав основы среды:
Пептон 10,0 г
Мясной экстракт 10,0 г
Натрия хлорид 5,0 г
Агар-агар 12,0 г
Вода дистиллированная 1000,0 мл
pH (при 25 °C) 7,5 +/- 0,2
Растворить основные компоненты в дистиллированной воде. При необходимости довести до кипения для полного растворения частиц. Установить pH 7,5 +/- 0,2 с помощью 0,1 н HCl или 0,1 н NaOH. Стерилизовать автоклавированием при температуре 121 °C в течение 15 мин. Остудить до 45 - 50 °C.
Приготовление полной среды: перед использованием в 1000 мл расплавленного и остуженного до 45 - 50 °C агара асептически добавить 70 мл стерильной дефибринированной крови барана; растворенное в 50%-м растворе ацетона содержимое двух флакончиков с добавкой антибиотиков для кампилобактерий IV (по Престону) или I (по Блейзер-Вонг), или растворенное в 50%-м растворе этанола содержимое двух флакончиков с селективной ростовой добавкой для кампилобактерий, или 4 мл аэротолерантной добавки, тщательно перемешать и разлить в стерильные чашки Петри слоем 4 - 5 мм.
6.2.33. Питательная среда для культивирования кампилобактерий, сухая - кампилобакагар
40 г сухой среды размешать в 1 л дистиллированной воды, довести до кипения и кипятить 2 - 3 мин до полного растворения. Среду разлить по 400 мл в колбы и стерилизовать автоклавированием 20 мин при 121 °C. В остуженную до 50 - 55 °C питательную основу среды вносят FBP-добавки и 20 мл бараньей или донорской крови и разливают в чашки Петри по 15 - 20 мл. Для придания среде селективных свойств используют селективные смеси.
Примечание.
Добавки для повышения аэротолерантности (FBP-добавки)
1. FBP-добавки: указанное количество добавок рассчитано на 1 л питательной среды.
Железа сульфат II 0,25 г
Натрий сернисто-кислый пиро (метабисульфит) 0,25 г
Натрий пировиноградно-кислый (пируват) 0,25 г
Навески солей внести в сухую стерильную пробирку, добавить 5 мл стерильной дистиллированной воды, периодически встряхивать в течение 15 - 20 мин. Приготовленный раствор имеет оливковый цвет, не подлежит хранению и должен быть использован в день приготовления.
2. Прописи селективных добавок к питательным средам.
6.2.34. Питательные среды обогащения для выделения Pseudomonas aeruginosa
а) Минеральная среда Бонде нормальной концентрации
Трехзамещенный фосфат натрия 0,28 г
Фосфат натрий-аммония 0,15 г
Однозамещенный фосфат калия 0,1 г
Сульфат магния 0,02 г
Дистиллированной воды до 100,0 мл.
Стерилизация при 1 атм. в течение 20 мин. Непосредственно перед посевом прибавить 2,0 мл 0,01%-го водного раствора кристаллического фиолетового.
б) Концентрат среды Бонде
Все компоненты, кроме воды, добавляют в 10-кратном размере. Концентрат прибавляется к объекту в соотношении 1:10.
в) Среда с хлоридом трифенилтетразола (ТТХ)
Пептон 2,0 г
Дрожжевой экстракт (из пекарских дрожжей) 15,0 мл
или сухого 0,3 г
Двузамещенный фосфат калия 0,2 г
ТТХ 0,8 г
Вода дистиллированная до 100,0 мл.
Стерилизация при 0,5 атм. в течение 15 мин.
г) 10%-й водный раствор ТТХ в дистиллированной воде.
6.2.35. Селективно-дифференциальная среда второго этапа - среда "Блеск"
Мясопептонный стерильный агар 2% 100 мл
Молоко нормализованное стерильное 10,0 мл
10%-й водный раствор ТТХ 8,0 мл
L-аргинин гидрохлорид 0,3 г.
В расплавленный МПА прибавить аргинин, раствор ТТХ (самостерилизуется после хранения при комнатной температуре в течение 2 - 3 дней) и стерильное снятое молоко. Все размешать и разлить в 6 - 7 чашек Петри.
При отсутствии мясопептонного агара возможно применение упрощенного варианта среды "Блеск":
Вода дистиллированная 100,0 мл
Сухой питательный агар по прописи на этикетке.
Стерилизовать при 0,5 атм. в течение 15 мин.
Внести:
стерильного снятого молока 10,0 мл
10%-го водного раствора ТТХ 8,0 мл
Смешать и разлить в 6 - 7 чашек Петри.
6.2.36. Среда Кинг-А
Пептон 2,0 г
Агар 1,5 г
Глицерин 1,0 г
Сульфат калия 1,0 г
Хлорид магния 0,14 г
Вода дистиллированная до 100 мл
PH среды 7,2
Стерилизация при 0,5 атм. в течение 15 мин. Разлить в 6 - 7 чашек Петри.
6.2.37. Среда для определения оксидации мальтозы
Пептон 0,2 г
Агар 1,5 г
Хлорид натрия 0,5 г
Мальтоза 2,0 г
1,6%-й спиртовой или щелочной раствор 1,0 мл
бромтимолового синего
Вода дистиллированная до 100 мл
PH среды 7,2
Стерилизация при 0,5 атм. в течение 15 мин. Разлить в 6 чашек Петри.
6.2.38. Среда для определения теста Хью и Лейфсона (оксидация, ферментация глюкозы)
После растворения всех ингредиентов на водяной бане или автоклаве разлить в пробирки высотой столбика 6 см (независимо от диаметра пробирки), стерилизовать при 0,5 атм. в течение 15 мин, остудить столбиком.
6.2.39. Тест Грегерсена
Простой, быстрый способ, заменяющий окраску по Граму и не требующий оптики.
В капле 3%-ного водного раствора КОН на предметном стекле эмульгируют бактериальную массу, взятую с плотной среды. После нескольких секунд перемешивания петлей взвесь ослизняется и за петлей тянутся слизистые нити, что указывает на принадлежность испытуемой культуры или колонии к грамотрицательному виду бактерий. У грамположительных бактерий, за редкими исключениями, реакция отрицательна.
6.2.40. Тест-системы
Набор для выделения РНК, например, типа "Рибозоль".
Тест-система для определения РНК энтеровирусов.
Тест-система для определения РНК вируса гепатита A.
6.2.41. Тест-культуры микроорганизмов
Контрольный колифаг MS-2, штамм ВКПМ PH 1505, штамм ВКПМ-3254 Escherichia coli
, Escherichia coli штамм 675, Staphylococcus aureus штамм 906 и один из штаммов: Pseudomonas aeruginosae 10145 АТСС или Pseudomonas fluorescens 948 АТСС, тест-штамм Campylobacter jejuni.
7. Внутренний контроль качества микробиологических исследований
Комплекс выполняемых лабораторией мероприятий и процедур, направленных на обеспечение и контроль стабильности требуемых условий роста микроорганизмов, ведения эталонных бактериальных культур, а также предупреждения неблагоприятного воздействия факторов, возникающих в процессе выполнения анализа и оценки его результатов, изложен в МУ 2.1.4.1057-01 "Организация внутреннего контроля качества санитарно-микробиологического исследования воды".
8. Подготовка посуды и материалов
8.1. Общие требования к подготовке лабораторной посуды для анализа
Посуда, применяемая для микробиологического анализа (пробирки, колбы, флаконы), должна быть удобной конструкции, использоваться должным образом и проходить соответствующую подготовку, чтобы гарантировать и чистоту, и стерильность.
После окончания анализа использованную лабораторную посуду с содержимым обеззараживают автоклавированием при температуре (126 +/- 2) °C (0,15 МПа) в течение 60 мин с момента достижения указанной температуры в соответствии с требованиями СП 1.3.2322-08.
После автоклавирования лабораторную посуду многократного применения моют с использованием моющих средств, не содержащих фосфаты, после чего тщательно промывают проточной водопроводной водой до полного удаления моющего средства, ополаскивают дистиллированной водой и высушивают.
Использованные пипетки погружают в рабочий раствор дезинфекционного средства. Через 30 - 60 мин после обеззараживания пипетки тщательно промывают проточной водопроводной водой до полного удаления дезинфицирующего средства, после чего промывают дистиллированной водой и высушивают.
После высушивания чашки Петри, пробирки, пипетки укладывают в металлические пеналы или заворачивают в бумагу. Бумага, используемая для обертывания лабораторной посуды, не должна разрушаться при стерилизации.
Лабораторная посуда для вирусологических исследований должна быть химически чистой, хорошо обезжирена, тщательно вымыта до полного удаления моющих средств и других посторонних примесей, высушена и простерилизована.
Стерилизацию посуды сухим жаром проводят в суховоздушном шкафу одним из способов:
- при температуре (180 +/- 3) °C в течение 1 ч с момента достижения указанной температуры;
- при температуре (160 +/- 5) °C в течение 2,5 ч с момента достижения указанной температуры.
Стерилизацию посуды в автоклаве осуществляют:
- при температуре (126 +/- 1) °C (0,15) МПа в течение (10 +/- 1) мин с момента достижения указанной температуры;
- при температуре (120 +/- 2)°C (0,11) МПа в течение (45 +/- 3) мин с момента достижения указанной температуры.
После окончания стерилизации посуда маркируется с указанием даты стерилизации. Срок хранения стерильной посуды (чашки Петри, пробирки, пипетки), укупоренной в бумагу или металлические пеналы, составляет не более 30 дней.
8.2. Требования к емкостям для отбора проб
Подготовка, стерилизация, материалы дня изготовления емкостей приведены в ГОСТ Р 53415-2009. Вся посуда для отбора проб на санитарно-бактериологические и вирусологические исследования должна быть стерильной и изготовлена из материалов, не влияющих на жизнедеятельность и не оказывающих инактивирующего действия на микроорганизмы и обеспечивающих неизменность состава пробы.
При отборе проб воды для бактериологических исследований используют чистые стерильные бутыли из стекла для многократного применения или из полимерного материала как одноразовые.
Горловины бутылей должны быть укомплектованы плотно закрывающимися пробками (силиконовыми, резиновыми, пластмассовыми, закрывающиеся нажатием или завинчивающимися крышками), защищены снаружи от загрязнений колпачками из алюминиевой фольги или плотной бумаги, которые не должны разрушаться при стерилизации.
Не допускается применение ватных пробок, так как при длительном воздействии высоких температур в условиях стерилизации вата может выделять токсичные вещества, влияющие на результаты анализа.
Для отбора проб путем погружения в чистые воды используют бутыли, которые должны быть стерильными как внутри, так и снаружи, и защищены от загрязнений при хранении после стерилизации, например, упакованы в плотную бумагу.
Вместимость бутыли для отбора проб должна соответствовать объему воды, необходимому для определения всех требуемых микробиологических показателей:
- для определения 4 - 5 индикаторных микроорганизмов - не менее 500 см3;
- индикаторных и патогенных микроорганизмов (сальмонелл) - не менее 1500 см3;
- для определения Campilobacter от 1000 см3 и более;
- для определения вирусов - от 5000 - 10000 см3.
Стерилизацию емкостей проводят по п. 8.1.
При автоклавировании завинчивающиеся крышки не закручивают до конца, чтобы обеспечить замещение воздуха в бутыли паром во время повышения температуры. После стерилизации бутыли плотно закрывают завинчивающимися крышками.
Простерилизованные бутыли должны иметь маркировку с указанием даты стерилизации для последующего учета установленного срока хранения. Срок хранения стерильной посуды для отбора проб не более 30 дней в закрытом шкафу.
Отбор проб воды для паразитологических исследований производят в специально предназначенную для этих целей одноразовую посуду или емкости однократного применения. Посуда (емкости) для многократного использования должна быть изготовлена из материалов, выдерживающих обработку кипячением или дезинфицирующими средствами.
Емкости для паразитологического исследования (сосуды больших объемов - молочные фляги, металлические, пластмассовые ведра) должны быть чистые, тщательно промытые кипяченой водой. Перед отбором проб емкости ополаскивают отбираемой для анализа водой.
8.3. Инактивация дезинфектантов
При отборе проб воды, подвергнутой обеззараживанию химическими реагентами, необходимо проводить нейтрализацию дезинфектанта по ГОСТ Р 53415-2009. Для нейтрализации остаточного количества хлорсодержащих дезинфектантов в емкость, предназначенную для отбора проб, вносят до стерилизации натрий серноватисто-кислый в виде кристаллов или концентрированного раствора из расчета 10 мг на 500 мл воды.
9. Отбор, хранение и транспортирование проб морской воды
9.1. Общие требования к отбору проб
Отбор проб осуществляется в соответствии с требованиями ГОСТ Р 51592-2000 и ГОСТ Р 53415-2009.
Отбор проб морской воды производят специалисты после прохождения инструктажа по технике выполнения отбора проб. Процедура обучения и определения компетентности персонала, отбирающего пробы, должна быть документально оформлена.
Отбор проб проводят с использованием различных плавучих средств, мостов, помостов и других приспособлений в местах, где глубина водоема не менее 1 - 1,5 м. Не допускается проводить отбор проб с берега.
При отборе проб с плавучих средств (корабля, лодки, судна и т.п.) пробы воды следует отбирать с подветренного борта; со стоящего на якоре плавучего средства - с носа.
Поверхностные пробы отбирают с глубины 10 - 30 см от поверхности воды или от нижней кромки льда. Придонные пробы отбирают с глубины 30 - 50 см от дна.
Из одной точки в первую очередь отбирают пробы для микробиологического анализа, затем для других исследований.
До отбора проб или сразу же после отбора следует нанести маркировку на емкость и заполнить акт отбора пробы.
Маркировка емкостей должна быть четкой, сохраняющейся в течение всего времени хранения пробы, и содержать следующую информацию:
- место отбора пробы;
- дату и время отбора.
Допускается кодирование пробы с отражением номера в акте отбора проб.
В акте отбора проб морской воды указывают:
- наименование и адрес (юридический и фактический) заказчика;
- объект исследования;
- перечень показателей, подлежащих определению при анализе воды;
- дату, время и место отбора пробы;
- метод отбора пробы со ссылкой на методический документ по отбору проб;
- должность, фамилию, инициалы и подпись специалиста, отбиравшего пробу с указанием лиц, присутствующих при отборе пробы;
- цель исследования: в плановом порядке, по внеплановым мероприятиям или иная информация;
- температуру воды, погодные условия, другие факторы и отклонения от установленных процедур, которые могут повлиять на результаты микробиологического анализа.
9.2. Отбор, хранение и транспортирование проб для санитарно-микробиологических исследований
Отбор, хранение и транспортирование проб для санитарно-микробиологического исследования - по ГОСТ Р 51592, ГОСТ Р 53415-2009.
Отбор проб морской воды осуществляется батометром или пробоотборными устройствами. Допускается использовать любые устройства для отбора поверхностных и глубинных проб, за исключением приспособлений, которые не пригодны для стерилизации.
Поверхностные пробы отбирают батометром, состоящим из штанги длиной около 1 м, к которой прикрепляется площадка для установки стерильной бутыли и подвижное устройство для крепежа бутылей разных размеров.
Глубинные пробы отбирают специальным батометром, предназначенным для этих целей.
При отборе нескольких проб одним пробоотборным устройством (батометром) его каждый раз стерилизуют фламбированием.
Любые возможности загрязнения стерильных устройств для отбора проб за счет средств крепления (веревки, канаты, тросы) должны быть сведены к минимуму, например к использованию проволоки из нержавеющей стали или цепочки на нижнем конце троса.
При отборе проб стерильные емкости открывают непосредственно перед отбором, удаляя пробку вместе со стерильным колпачком. Во время отбора пробка не должна ни с чем соприкасаться. При заполнении стерильных емкостей морской водой должно оставаться пространство между пробкой и поверхностью воды, чтобы пробка не намокала при транспортировании. После наполнения стерильные емкости закрывают пробкой и стерильным колпачком.
Запрещается:
- пробу воды, предназначенную для микробиологического анализа, использовать для измерения температуры или другого измеряемого на месте отбора показателя;
- ополаскивать стерильные емкости перед отбором проб.
При отборе проб воды в местах купания следует учитывать ресуспензию бактерий, адсорбирующихся на глине, иле или органических осадках. Различные естественные и технические источники ресуспендирования увеличивают санитарные риски, например весенние паводки, шторм, судоходство. Неправильно проведенный отбор проб может также привести к эффекту ресуспензии бактерий, например, при заполнении бутылей водой слишком близко ко дну, взмучивании осадков, движении, создаваемом судном, с которого проводят отбор проб.
При необходимости установления влияния глубоководного выпуска сточных вод на зону водопользования следует отбирать пробы с учетом течения, что определяется по направлению движения поплавка от места выпуска на расстоянии до 500 м в нескольких точках, исходя из санитарных ситуаций.
Транспортирование проб осуществляют в чистых продезинфицированных контейнерах-холодильниках, обеспечивающих их сохранность при охлаждении до температуры 4 - 10 °C (например, используя аккумуляторы холода). Крышка контейнера не должна соприкасаться с пробками бутылей.
При транспортировании бутыли с пробами должны быть упакованы таким образом, чтобы:
- защитить их от внешнего воздействия (солнечного излучения, нагревания, загрязнения, замораживания);
- исключить непосредственный контакт проб с пакетами, содержащими лед, чтобы избежать замораживания пробы;
- предусмотреть раздельное размещение в контейнерах неохлажденных и охлажденных проб.
В холодный период года контейнеры снабжают термоизолирующими прокладками, обеспечивающими предохранение проб от промерзания. В лаборатории пробы хранят в холодильнике.
Время хранения между отбором проб и их анализом должно быть минимальным и указано в протоколе испытаний. Максимальный срок хранения охлажденной пробы от момента отбора до начала испытаний (см. ГОСТ Р 51592) не должен превышать 6 ч. Если пробу нельзя охладить при транспортировании, то анализ выполняют не позднее чем через 2 ч. Увеличение времени хранения может снизить достоверность результатов.
При нарушении условий транспортирования и хранения проба воды не подлежит санитарно-бактериологическому анализу.
9.3. Отбор, хранение и транспортирование проб для санитарно-вирусологического исследования
Отбор проб морской воды производят в стерильные одноразовые емкости или емкости многократного применения объемом от 10 до 100 л. Стерилизация емкостей осуществляется крутым кипятком или 5%-м раствором "Фармадезом". Пробы должны быть маркированы в соответствии с п. 8.1. Время транспортировки и хранения проб до их предварительной обработки (концентрирование) и вирусологического исследования не должно превышать 6 часов.
9.4. Отбор, хранение и транспортирование проб для санитарно-паразитологических исследований
9.4.1. Общие требования к отбору проб
Отбор проб морской воды на объектах надзора проводится в соответствии с действующими нормативно-методическими документами (СанПиН, ГОСТ, МУК) и настоящими методическими указаниями.
Для отбора проб воды используют специально предназначенную для этих целей одноразовую посуду или емкости многократного применения. Многоразовая посуда (емкости) должна быть изготовлена из материалов, выдерживающих обработку кипячением.
Отбор проб производят в чистые емкости (сосуды больших объемов), обработанные крутым кипятком или 4%-м раствором "Дезинбак Супер".
Пробы воды отбирают емкостями 1,5 - 2,0 л с интервалом, 3 - 5 мин, что позволяет в течение 40 - 60 мин отобрать усредненную пробу объемом 25 л.
Для санитарно-паразитологического исследования проб морской воды используют три способа отбора.
1. Пробы воды в каждой точке обследуемого объекта отбирают в большие закрывающиеся крышками емкости объемом 25 л с последующей доставкой воды для исследования в лабораторию.
2. Пробы морской воды отбираются по 25 л из каждой точки с последующим концентрированием проб с применением химреактивов (коагулянтов) непосредственно на обследуемом объекте с последующей доставкой для исследования в лабораторию уменьшенного в 10 и более раз объема (осадок с надосадочной жидкостью). С этой целью может быть использована методика первичной концентрации паразитарных патогенов с помощью таких коагулянтов, как сульфат аммония, сульфат железа, сульфат меди в дозе 0,1 - 0,3 г/л. Коагулянт добавляют в пробу воды на месте отбора, затем тщательно перемешивают и отстаивают 1 - 2 ч. После этого надосадочную жидкость удаляют, а осадок переносят в сосуд объемом 1 л и доставляют в лабораторию.
3. Отбор проб морской воды с помощью фильтровальных приборов на объектах водозабора и последующая доставка на исследование в лабораторию концентрированного осадка на мембранных или порошковых фильтрах.
9.4.2. Хранение и транспортирование проб
В лабораторию доставляют маркированные емкости с пробами исследуемой воды или осадок с надосадочной жидкостью после применения коагулянтов, или концентрированный осадок на фильтрах (мембранных или порошковых).
Фильтры, через которые проводилось фильтрование исходной воды с помощью фильтровальных приборов непосредственно на объекте надзора, помещают в широкогорлый флакон или стеклянную банку, добавляют исходной (исследуемой) воды с таким расчетом, чтобы вода покрывала поверхность фильтра, закрывают флакон или банку завинчивающейся или притертой крышкой и доставляют в лабораторию. При использовании фильтровальных приборов с порошковым фильтром в лабораторию доставляют концентрат пробы в пластиковой емкости, входящей в состав прибора.
Емкости с пробами воды, мембранными фильтрами с концентрированным осадком или с порошковым концентратом маркируют с указанием даты и номера пробы, количества мембранных фильтров с одной точки пробоотбора. Маркированные пробы в лабораторию транспортируют для дальнейшего исследования с сопроводительным актом отбора проб воды, где указывается место отбора (населенный пункт, водный объект и т.п.), дата, время забора, количество точек пробоотбора, номера проб, количество воды или количество фильтров и другая информация.
Пробы, не прошедшие предварительную обработку, хранят при температуре 15 - 20 °C не более двух суток. Пробы, прошедшие предварительную обработку, хранят при температуре 4 °C не более суток, а при отсутствии необходимости определения жизнеспособности цист кишечных простейших и яиц гельминтов хранят при температуре 4 °C не более 3 - 4 суток после добавления в них формальдегида из расчета достижения его концентрации в суспензии 2%.
10. Показатели, обязательные для лабораторного, в т.ч. производственного контроля морской воды
10.1. Методы санитарно-бактериологического исследования морской воды
Перед посевом пробу тщательно перемешивают (стараясь не намочить пробку), край емкости фламбируют горящим тампоном, пробирки и чашки, подготовленные для посева, маркируют. Перед каждым отбором новой порции воды для анализа пробу перемешивают стерильной пипеткой.
Для посева проб морской воды используются следующие методы в зависимости от поставленной цели исследования:
- метод прямого посева анализируемого объема воды на агаризованные среды;
- метод мембранной фильтрации;
- титрационный метод.
10.1.1. Метод прямого посева
Метод выполняется путем нанесения дозированного объема воды (0,1 или 0,25 мл) на поверхность предварительно разлитых в чашки Петри агаризованных питательных сред в соответствии с определяемым показателем. Внесенный инокулят растирают стерильным шпателем до полного его впитывания с последующим инкубированием посевов.
Для посева объемов воды, меньших, чем 1 мл, используют метод децимальных разведений. Разведения исследуемого образца пробы следует готовить непосредственно перед анализом. Для разведений используют один из стерильных разбавителей: пептонно-солевой, пептонный или физиологический растворы, разлитых в пробирки по 9 мл. Стерилизация заранее расфасованных растворов разбавителей нежелательна, т.к. при автоклавировании их объем может измениться из-за испарения.
Для приготовления 1 разведения (1/10) 1 мл хорошо перемешанной анализируемой пробы воды стерильной пипеткой переносят в пробирку с 9 мл раствора разбавителя. При этом пипетка не должна быть опущена ниже поверхности разбавителя, чтобы избежать смывания бактерий с наружной стороны пипетки. Другой стерильной пипеткой продуванием воздуха или путем многократного заполнения и опорожнения пипетки тщательно перемешивают содержимое пробирки, отбирают из нее 1 мл и переносят в следующую пробирку с 9 мл раствора разбавителя, получая при этом разведение 1/100.
Посев 0,1 мл исходной воды на поверхность плотных питательных сред будет соответствовать посеву 0,1 мл анализируемой воды, посев 0,1 мл из 1 разведения - 0,01 мл исследуемой пробы. При необходимости посева меньших объемов этой же пипеткой переносят 1 мл содержимого первой пробирки в следующую пробирку с 9 мл раствора разбавителя. Эти операции повторяют до получения необходимого набора разведений.
10.1.2. Метод мембранной фильтрации
Метод мембранной фильтрации используют при посеве больших объемов проб воды (1 мл и более). Искомые микроорганизмы концентрируют из заданного объема воды на мембранные фильтры с последующим помещением фильтров на питательную среду и инкубацией посевов.
Подготовка мембранных фильтров. Мембранные фильтры должны быть стерильными и приготовлены к анализу в соответствии с указаниями производителя.
Подготовка фильтровального аппарата. Воронку и столик фильтровального аппарата обтирают марлевым (ватным) тампоном, смоченным 96°-м спиртом ректификованным, и фламбируют. После сгорания спирта и охлаждения, воронку снимают, а на столик фильтровального аппарата кладут фламбированным пинцетом стерильный мембранный фильтр и снова присоединяют фильтровальную воронку.
Фильтрование воды. В воронку прибора для фильтрования наливают отмеренный объем воды, затем создают вакуум и отфильтровывают содержимое воронки. После окончания фильтрования и осушения фильтра отключают вакуум, воронку снимают, фильтр осторожно поднимают за край фламбированным пинцетом и переносят его, не переворачивая, на питательную среду, разлитую в чашки Петри, избегая пузырьков воздуха между средой и фильтром. Поверхность фильтра с осевшими на ней бактериями должна быть обращена вверх.
При посеве нескольких объемов одной пробы следует фильтровать через один фильтровальный аппарат без фламбирования сначала меньшие, а затем большие объемы воды, меняя каждый раз фильтры. Перед фильтрованием новой пробы прибор обеззараживают.
Анализ следует начинать с фильтрования проб обеззараженной воды или тех проб, которые предположительно не загрязнены, а затем фильтровать загрязненные пробы.
При фильтровании 1 мл исследуемой воды следует в воронку налить предварительно не менее 10 мл стерильной водопроводной воды, а затем внести 1 мл анализируемой воды.
Под каждым фильтром на дне чашки делают надпись с указанием объема профильтрованной воды, номера пробы и даты посева. На одну чашку можно поместить 1 или несколько фильтров, в зависимости от размера чашки, с условием, чтобы фильтры не соприкасались.
10.1.3. Титрационный метод
Метод основан на накоплении бактерий после посева испытуемой морской воды в жидкой питательной среде с последующим пересевом на дифференциальную плотную среду для идентификации выросших колоний по культуральным и биохимическим свойствам.
Титрационный метод при исследовании морской воды менее предпочтителен, чем мембранный в связи с тем, что солевой состав морской воды препятствует накоплению искомых бактерий в питательной среде и приводит к занижению результатов исследований.
Титрационный метод может быть использован:
- при отсутствии материалов и оборудования, необходимых для выполнения анализа методом мембранной фильтрации;
- при анализе воды с большим содержанием взвешенных веществ;
- в случае преобладания в воде посторонней микрофлоры, препятствующей получению на фильтрах изолированных колоний.
Объем воды для посева выбирают с таким расчетом, чтобы в минимальных объемах или в наибольшем разбавлении получить один или несколько отрицательных результатов. При этом следует ориентироваться на результаты предыдущих исследований воды в этом же месте акватории и на рекомендации методических документов. Посев производят в 2 или 3 параллельных рядах, учитывая при этом, что чем больше повторностей, тем выше точность получаемых результатов.
При исследовании морской воды на наличие патогенных бактерий (сальмонелл), когда этап накопления в жидких питательных средах необходим, следует проводить концентрирование бактерий на мембранных фильтрах с последующим их помещением в накопительную среду.
10.2. Определение ОКБ (в ред. Изменений N 1, утв. Роспотребнадзором 01.03.2021)
Понятие показателя. Общие (обобщенные) колиформные бактерии (ОКБ) - грамотрицательные, оксидазоотрицательные, не образующие спор палочки, способные расти на дифференциальных лактозных средах, ферментирующие лактозу до кислоты, альдегида и газа при температуре (37 +/- 1) °C в течение 24 - 48 ч. (в ред. Изменений N 1, утв. Роспотребнадзором 01.03.2021)
Значение показателя. ОКБ - интегральный показатель степени фекального загрязнения, который включает термотолерантные кишечные палочки, E. coli и поэтому обладает индикаторной надежностью в отношении возбудителей бактериальных кишечных инфекций. ОКБ - наиболее чувствительный показатель при выявлении любых источников фекального загрязнения.
Учитывая возможность снижения индикаторного значения лактозоположительных колиформных бактерий в морской воде в результате их более интенсивного отмирания по сравнению с патогенными (сальмонеллами) и потенциально-патогенными бактериями, а также возрастающее эпидемическое значение условно-патогенных бактерий, большинство из которых не ферментируют лактозу, следует обратить внимание на рост лактозоотрицательных бактерий на мембранных фильтрах, определить их принадлежность к бактериям семейства Enterobacteriaceae по отрицательному оксидазному тесту и ферментации глюкозы до кислоты и газа.
10.2.1. Обнаружение колиформных бактерий методом мембранной фильтрации
Выполнение анализа. Объем воды для посева выбирают в зависимости от степени ее предполагаемого загрязнения с таким расчетом, чтобы не менее чем на 2 фильтрах выросли изолированные колонии. При этом нужно ориентироваться на требования СанПиН 2.1.5.2582-10 к составу морской воды по санитарно-микробиологическим показателям (прилож. 1). При исследовании воды неизвестной степени бактериального загрязнения следует засевать не менее 4 десятикратных объемов.
При исследовании воды морей в местах водозаборов для хозяйственно-питьевого водопользования с последующим опреснением и плавательных бассейнов с морской водой фильтруют 100, 10 и 1 мл; в местах рекреации - 50, 10 и 1 мл; в местах изучения влияния выпусков сточных вод - 10 и 1 мл, а также 0,1 мл. Этот объем исследуют методом прямого посева. При исследовании сточных вод после обеззараживания фильтруют 10 и 1 мл. Кроме того, методом прямого посева производят высев на плотные агаризованные среды по 0,1 мл из разведений начиная с -1 до -4. Указанные объемы корректируют в зависимости от результатов предыдущих исследований.
Отмеренный объем воды фильтруют через мембранные фильтры с соблюдением требований п. 10.1.2. Фильтр переносят, не переворачивая, на фуксин-сульфитную среду Эндо, добиваясь полного прилегания его к среде без пузырьков воздуха. Чашки с посевами помещают в термостат дном вверх и инкубируют при температуре (37 +/- 1) °C в течение 24 ч. Помимо среды Эндо можно использовать лактозный агар с тергитолом и ТТХ (п. 6.2.7), хромокультколиформ агар (п. 6.2.8).
Для учета выбирают фильтры, на которых выросли изолированные типичные для лактозоположительных колоний бактерии. Для повышения точности анализа учет ведут не менее чем на двух фильтрах с числом типичных для колиформных бактерий колоний не менее 10 и не более 30 для фильтров с диаметром диска 35 мм и не менее 15 и не более 50 для фильтров с диаметром диска 47 мм. Допустимо вести учет по 1 фильтру или на фильтрах с более густым ростом, но с обязательной оговоркой в приложении к протоколу анализа.
10.2.1.1. Идентификация ОКБ при использовании среды Эндо (в ред. Изменений N 1, утв. Роспотребнадзором 01.03.2021)
Принцип идентификации ОКБ основан на том, что входящий в состав среды сульфат натрия и фуксин подавляют рост грамположительных бактерий. На данной среде колиформные бактерии и E. coli утилизируют лактозу с образованием альдегида и кислоты, а фуксин окрашивает колонии в красный цвет. У лактозоположительных бактерий данный процесс протекает настолько интенсивно, что фуксин кристаллизуется на поверхности колоний, придавая им зеленовато-металлический блеск, а слабо лактозоположительные штаммы колиформных бактерий такого интенсивного блеска не образуют, колонии при этом темно-малиновые без металлического блеска с отпечатком на обратной стороне фильтра и на среде при прямом посеве. Поэтому на среде Эндо в качестве типичных подсчитывают темно-красные, красные, с металлическим блеском или без него, слизистые с темно-малиновым центром или другие подобного типа колонии с отпечатком на обратной стороне фильтра. Лактозоотрицательные бактерии вырастают на агаре Эндо в виде розовых различного оттенка с темным центром и без него колоний.
Если на фильтрах выросли типичные лактозоположительные или розовые характерные для семейства Enterobacteriacea колонии выполняют оксидазный тест.
10.2.1.2. Постановка оксидазного теста
Метод 1 (с использованием тетраметил-п-фенилендиамина)
Мембранный фильтр с выросшими на нем колониями с питательной среды перекладывают на кружок фильтровальной бумаги несколько большего диаметра, чем фильтр, обильно смоченный реактивом для определения оксидазной активности. Реакция считается положительной, если в течение 1 - 4 мин появляется фиолетово-коричневое окрашивание колоний. В случае необходимости дальнейшей идентификации оксидазоотрицательных бактерий пересев колоний на подтверждающие среды производится непосредственно с мембранного фильтра на кружке фильтровальной бумаги. Время пересева не ограничено (прилож. 5).
Метод 2 (с использованием диметил-п-фенилендиамина)
Мембранный фильтр с выросшими на нем колониями с питательной среды перекладывают на кружок фильтровальной бумаги несколько большего диаметра, чем фильтр, обильно смоченный реактивом для определения оксидазной активности. При появлении первых признаков положительной реакции (синее окрашивание колоний), но не более, чем через 4 мин, мембранный фильтр переносят обратно на питательную среду. В случае необходимости дальнейшей идентификации оксидазоотрицательных бактерий пересев колоний на подтверждающие среды целесообразно производить не сразу же после проявления реакции, а после выдерживания на питательной среде свыше 5 мин (прилож. 6).
Метод 3
Полоску фильтровальной бумаги помещают в чистую чашку Петри и смачивают 2 - 3 каплями реактива для оксидазного теста. Бумажные системы промышленного производства смачивают дистиллированной водой. Подсчитывают типичные колонии каждого типа и по 3 - 4 изолированные колонии платиновой петлей или стеклянной палочкой (металлическая петля из нихрома дает ложноположительную реакцию при работе с реактивом тетраметил-п-фенилендиамином) наносят штрихом на подготовленную фильтровальную бумагу. Реакция считается положительной, если в течение 1 мин появляется сине-фиолетовое окрашивание штриха. При отрицательной реакции цвет в месте нанесения культуры не меняется.
Методом 3 допустимо определение оксидазной активности при росте на фильтрах изолированных колоний или при получении чистых культур после рассева на питательном агаре, поскольку при наложении или соприкосновении колоний колиформных бактерий с оксидазоположительными колониями посторонних бактерий можно получить ложноположительную реакцию и неоправданно отбросить из учета колонии бактерий, являющиеся индикаторами фекального загрязнения. Метод 3 дает ошибку определения при нерепрезентативной субъективной выборке колоний для исследования, в отличие от экспрессных методов (методы 1 и 2), с помощью которых выявляется оксидазная активность одновременно всех выросших колоний.
10.2.1.3. Учет результатов
Все оксидазоположительные колонии из учета исключают. Среди колоний, не изменивших первоначального цвета (оксидазоотрицательных), подсчитывают число типичных лактозоположительных колоний (с отпечатками на обратной стороне фильтра до выполнения оксидазного теста).
При лабораторно-производственном контроле за эксплуатируемыми объектами анализ может быть завершен подсчетом таких колоний, которые отнесены к ОКБ по двум признакам: отрицательному оксидазному тесту и ферментации лактозы на лактозной среде Эндо до кислоты.
Дальнейшее подтверждение ОКБ по способности образовывать газ на лактозных средах проводят в следующих случаях:
- при отсутствии достаточно четкой дифференциации лактозоположительных колоний;
- при росте мелкоточечных или мелких плоских колоний, не характерных для колиформных бактерий;
- при небольшом опыте работы выполняющего анализ.
В этих случаях оксидазоотрицательные колонии сразу же после постановки оксидазного теста пересевают в одну из подтверждающих сред с лактозой (полужидкая среда с лактозой). Если на фильтрах выросло менее 5 колоний, исследуют все колонии, если более 5 - то не менее 3 - 4 колоний каждого типа.
Посевы инкубируют при температуре (37 +/- 1) °C в течение 48 ч. Первичный учет на подтверждающих полужидких средах возможен через 4 - 6 ч. При обнаружении кислоты и газа дают положительный ответ. При отсутствии кислоты и газа или при наличии только кислоты пробирки с посевами оставляют для следующего просмотра через 24 ч, а при отрицательном результате для окончательного учета через 48 ч.
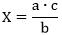
Учет результатов проводится следующим образом. Типичные колонии учитывают как ОКБ при отрицательном оксидазном тесте и образовании кислоты на лактозной среде Эндо. Если при выборочной проверке колоний одного типа получены неодинаковые результаты, то вычисляют число ОКБ среди этого типа по формуле:
где:
X - число подтвержденных бактерий одного типа;
a - общее число колоний этого типа;
b - число проверенных из них;
c - число колоний с положительным результатом.
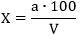
Подсчитывают число подтвержденных колоний ОКБ каждой группы отдельно. Подсчет ведут только на тех фильтрах, где количество изолированных колоний колиформных бактерий не более 30 - 50. Результат подсчета на каждом фильтре суммируют и по формуле определяют число КОЕ в 100 мл:
X - число КОЕ ОКБ в 100 мл;
a - число подтвержденных колоний в сумме;
V - объем воды, профильтрованный через фильтры, на которых велся учет.
Окончательный результат в протоколе анализа выдают: число КОЕ ОКБ в 100 мл.
При отсутствии на фильтрах типичных лактозоположительных колоний и росте характерных лактозоотрицательных (в зонах купания, при ухудшении санитарной и эпидемической обстановки), розовых разных оттенков с центром и без него, крупных, слизистых колоний определяют ферментацию глюкозы до кислоты и газа и оксидазную активность для подтверждения их принадлежности к семейству Enterobacteriaceae. В протоколе анализа дополнительно указывают наличие глюкозоположительных колиформных бактерий (ГКБ).
В случаях сплошного роста на всех фильтрах и невозможности учета результатов анализа в протоколе отмечают "сплошной рост" и анализ повторяют. При отсутствии на фильтрах колоний колиформных бактерий число КОЕ будет меньше той величины, которая была бы определена в случае обнаружения в анализируемом объеме одной клетки ОКБ. При повторном анализе объем исследуемой воды увеличивают. На чистых участках моря фильтруют 100 мл.
10.2.1.4. Обнаружение ОКБ при использовании лактозного агара с тергитолом-7 и ТТХ проводится по методике, изложенной в ГОСТ Р 52426-2005 (в ред. Изменений N 1, утв. Роспотребнадзором 01.03.2021)
Среда используется вместо среды Эндо при исследовании воды с низкой численностью бактерий при условии, что взвешенные вещества и фоновая микрофлора не оказывают отрицательного влияния на фильтрацию, культивирование и учет бактерий.
Принцип действия среды основан на разложении лактозы до кислоты, которая регистрируется индикатором бромтимоловым синим, изменяющим цвет среды под фильтром (отпечаток) до желтого. Селективность среды обеспечивается гептадецилсульфатом натрия (тергитол-7) и 2,- 3,- 5-трифенилтетразолиум хлоридом (ТТХ), которые подавляют большинство грамположительных бактерий. ТТХ играет роль также и дифференцирующего вещества. Лактозоотрицательные колонии бактерий, восстанавливающие ТТХ, окрашиваются в темно-красный цвет, интенсивность которого может достигать коричневого оттенка. Лактозоположительные E. coli и колиформные бактерии восстанавливают ТТХ слабо, и поэтому их колонии окрашены в желто-оранжевый цвет.
Среда обладает низкой селективностью, поэтому она пригодна для обнаружения поврежденных и стрессированных клеток бактерий, в том числе с замедленной ферментацией лактозы.
Учет результатов КОЕ ОКБ и E. coli проводят по п. 10.2.1.3. (в ред. Изменений N 1, утв. Роспотребнадзором 01.03.2021)
10.2.1.5. Обнаружение ОКБ при использовании хромокульт колиформ агара (в ред. Изменений N 1, утв. Роспотребнадзором 01.03.2021)
Хромокульт колиформ агар предназначен для ускоренного в первичном посеве одновременного определения ОКБ и E. coli в морской воде, зонах рекреации, сточных водах. (в ред. Изменений N 1, утв. Роспотребнадзором 01.03.2021)
На этой среде -галактозидаза колиформных бактерий расщепляет хромогенный субстрат (Salmon-GAL) с образованием хромогенного продукта, который окрашивает колонии в розовый (до красного) цвет. Ферменты
-галактозидаза и
-D-глюкуронидаза бактерий E. coli расщепляют хромогенные субстраты (Salmon-GAL и X-GLUC) с образованием хромогенных продуктов, которые окрашивают колонии в темно-синий (до фиолетового) цвет. Фермент триптофаназа выявляется при расщеплении триптофана, включенного в состав среды, с подтверждением образования индола реактивом Ковача.
Среда содержит пируваты, которые способствуют восстановлению поврежденных при обеззараживании клеток бактерий. В состав данной среды вместо лактозы, которая является трудно усваиваемым углеводом, входит сорбит, а в качестве ингибитора грамположительной микрофлоры использован тергитол-7. Посторонние грамотрицательные бактерии образуют бесцветные колонии, за исключением микроорганизмов, обладающих -D-глюкуронидазой. Эти колонии светло-голубого цвета.
Поэтому в качестве ОКБ подсчитывают красные, красно-коричневые с окрашенным ореолом вокруг колонии бактерии. В качестве E. coli учитывают сине-фиолетовые колонии.
Учет результатов КОЕ ОКБ и E. coli проводят по п. 10.2.1.3. (в ред. Изменений N 1, утв. Роспотребнадзором 01.03.2021)
10.2.2. Обнаружение ОКБ титрационным методом (в ред. Изменений N 1, утв. Роспотребнадзором 01.03.2021)
Выполнение анализа. Каждый объем воды или ее разведения засевают в лактозо-пептонную среду. Посев 100 мл анализируемой воды вносят в 10 мл концентрированной лактозо-пептонной среды, 10 мл анализируемой воды вносят в пробирки с 1 мл концентрированной лактозо-пептонной среды, 1 мл пробы воды и 1 мл из разведений вносят в пробирки с 10 мл среды нормальной концентрации. Посевы инкубируют при температуре (37 +/- 1) °C в течение 24 ч.
Из посевов в среду накопления, где отмечено помутнение, образование кислоты и газа или только помутнение, производят высев петлей на сектора среды Эндо с таким расчетом, чтобы получить изолированные колонии. Посевы на среде Эндо инкубируют при температуре (37 +/- 1) °C в течение 16 - 18 ч.
Результат считается положительным на присутствие в пробе ОКБ при наличии в среде накопления помутнения и газообразования, а при высеве на подтверждающую среду типичных лактозоположительных колоний (темно-красных с металлическим блеском или без него). (в ред. Изменений N 1, утв. Роспотребнадзором 01.03.2021)
Наличие ОКБ требуется подтвердить:
- если в среде накопления имеет место сомнительная реакция (небольшое газообразование или только помутнение);
- если на среде Эндо выросли колонии с недостаточно четкими дифференциальными признаками лактозоположительных колиформных бактерий. В этом случае необходимо проверить наличие отпечатка на среде Эндо после снятия петлей подозрительных колоний, подтвердить принадлежность этих колоний к грамотрицательным бактериям (тест Грегерсена по п. 6.2.41), выполнить оксидазный тест по п. 10.2.1.2 и подтвердить способность к газообразованию при посеве изолированных 1 - 2 колоний каждого типа с каждого сектора на полужидкую среду с лактозой и последующей инкубацией посевов при температуре (37 +/- 1) °C в течение 24 ч.
При отсутствии изолированных колоний проводят рассев на среду Эндо общепринятыми бактериологическими методами.
Отрицательный ответ дают, если:
- в среде накопления нет признаков роста;
- на секторах среды Эндо нет роста;
- на секторах среды Эндо выросли не характерные для колиформных бактерий колонии (прозрачные, с неровными краями, расплывчатые, а также розовые без отпечатков на среде и т.п.);
- все колонии оказались оксидазоположительными;
- если в подтверждающем тесте на среде с углеводом не отмечено газообразования.
Учет результатов. После определения положительных и отрицательных результатов на наличие ОКБ в исследуемых объемах морской воды, засеянной в среду накопления, вычисляют наиболее вероятное число (НВЧ) ОКБ КОЕ в 100 мл по одной из таблиц прилож. 3.
10.3. Обнаружение E. coli
E. coli - индикаторная группа бактерий, включает такие колиформные бактерии, которые помимо ферментации лактозы при температуре (44 +/- 0,5) °C образуют индол из триптофана (44,0 +/- 0,5) °C в течение (21 +/- 3) ч.
10.3.1. Классический метод определения E. coli мембранным методом
Для определения числа E. coli используют мембранные фильтры с посевами воды при проведении анализа на ОКБ.
На фильтрах, где выросли изолированные колонии, подсчитывают типичные колонии лактозоположительных бактерий. Каждую колонию или часть из них, при росте до 10 - 15 КОЕ или по 3 - 4 колонии каждого подсчитанного типа, подтверждают на принадлежность к E. coli. Одновременно с пересевом в полужидкую среду с лактозой для подтверждения ОКБ эту же колонию пересевают в пробирку со средой, содержащей триптофан, прогретую до температуры (44 - 45) °C для определения образования индола. Посевы немедленно переносят в термостат для инкубации при температуре (44 +/- 0,5) °C в течение 24 ч.
Продукцию индола определяют одним из общепринятых методов - с помощью индикаторных бумажек или реактива Ковача. При образовании индола дают положительный ответ на наличие E. coli.
10.3.2. Метод определения E. coli с использованием лактозного бульона с борной кислотой
Для упрощения анализа тест на образование индола можно заменить посевом в лактозный бульон с борной кислотой, прогретый до температуры 44 - 45 °C, с последующей инкубацией при температуре (44 +/- 0,5) °C в течение 24 - 48 ч. Положительный ответ на E. coli дают при помутнении среды и наличии газа в пробирке. При использовании этой среды индол не определяют.
10.3.3. Ускоренный метод определения E. coli с использованием хромокульт колиформ агара
Хромокульт колиформ агар также можно использовать для определения E. coli. Учет результатов посева воды изложен в п. 10.2.1.5. Поскольку в среду добавлен триптофан, то при нечеткой дифференциации можно подтвердить наличие E. coli по образованию индола при нанесении реактива Ковача капельным методом на подозрительные колонии. Окрашивание колоний стабильно сохраняется в течение нескольких дней и не зависит от pH среды, температуры и освещения.
10.3.4. Ускоренный метод определения E. coli на триптоновом агаре с желчью и X-глюкуронидом
Среда позволяет определять E. coli в первичном посеве. На данной среде через 24 ч инкубации посевов образуются колонии зеленого цвета, которые учитываются как E. coli. Рост посторонней флоры угнетается за счет содержания в среде желчи и температуры инкубации при 44 °C.
10.3.5. Обнаружение E. coli титрационным методом
Выполнение анализа. Если в посевах в среду накопления обнаружен газ, а при высеве на среду Эндо выросли темно-красные колонии с металлическим блеском (п. 10.2.2), то одновременно с определением ОКБ подтверждают наличие E. coli, для чего по 2 - 3 типичные колонии с каждого сектора среды Эндо засевают в пробирки со средой, содержащей триптофан для установления способности продуцировать индол при температуре 44 °C. После инкубации посевов продукцию индола определяют одним из общепринятых методов (реактивом Ковача или индикаторной бумажкой).
Вместо среды, содержащей триптофан, можно сделать посев в лактозный бульон с борной кислотой, соблюдая описанные выше условия посева и инкубации. Положительный ответ на наличие в среде накопления E. coli дают при помутнении и образовании газа.
Положительный ответ дают при наличии кислоты и газа в лактозной среде и при образовании индола.
Учет результатов проводят по таблицам прилож. 3.
В протоколе исследования указывают КОЕ E. coli в 100 мл воды.
10.4. Определение энтерококков
Энтерококки - грамположительные, каталазоотрицательные, полиморфные круглые, или чаще слегка вытянутые с заостренными концами кокки, располагающиеся попарно или в коротких цепочках, способные расти на питательных средах с 0,04% азида натрия и характеризуются устойчивостью к росту в питательном бульоне при температуре 45 °C, в среде с 40% желчью и с 6,5% хлорида натрия, при pH 9,6, при температуре 60 °C в течение 30 мин.
К группе энтерококков относят Enterococcus faecalis с биоварами zymogenes и liquefaciens, который имеет основное индикаторное значение, Enterococcus faecium, Enterococcus durans.
Значение показателя и область применения.
Энтерококки - индикаторный показатель, обязательный для лабораторного, в том числе производственного контроля качества морской воды для хозяйственно-питьевого водопользования после опреснения, в местах водозаборов для плавательных бассейнов и водолечебниц, в зонах рекреации и в черте населенных мест.
Превышение нормативов по энтерококкам в морской воде свидетельствует о поступлении свежего фекального загрязнения и потенциальной эпидемической опасности объекта исследования.
10.4.1. Обнаружение энтерококков методом мембранной фильтрации
Выполнение анализа. Объем испытуемой воды для посева выбирают с таким расчетом, чтобы не менее чем на двух фильтрах выросли изолированные колонии в количестве от 5 до 50 при диаметре фильтра 35 мм и от 10 до 100 при диаметре фильтра 47 мм.
При этом можно ориентироваться на результаты предыдущих исследований.
При исследовании воды неизвестного качества число засеваемых десятикратных объемов увеличивают до 3 - 4.
Отмеренный объем воды фильтруют через мембранные фильтры по п. 10.1.2. После фильтрации фильтр переносят, не переворачивая, на плотную азидную среду Сланеца-Бертли или энтерококкагар и добиваются полного прилегания его к среде без пузырьков воздуха. Чашки с посевами помещают в термостат дном вверх и инкубируют при температуре (37 +/- 1) °C в течение 24 - 48 ч.
Для учета выбирают фильтры, на которых выросло число колоний, указанное выше.
Подсчитывают колонии, характерные для энтерококков: выпуклые, с ровными краями, темно-малиновые, розовые, светло-розовые, равномерно окрашенные или с темно-красным не четко оформленным центром.
Очень мелкие (на пределе видимости невооруженным глазом), плоские разных оттенков, ярко-малиновые с четко выраженным центром и бесцветным ободком колонии не учитывают. Дифференциацию энтерококков от посторонней микрофлоры можно проводить по морфологии колоний под бинокулярной лупой.
При необходимости подтвердить наличие энтерококков по 2 - 3 колонии каждого типа:
- микроскопируют после окраски по Граму (МУК 4.2.1018-01) и при обнаружении в мазках грамположительных полиморфных, как правило, слегка вытянутых с заостренными концами диплококков дают положительный ответ;
- пересевают секторами на солевой агар с ТТХ; после 24 - 48 ч инкубации посевов при температуре 37 °C энтерококки на среде дают равномерный нежный рост на протяжении всего штриха. Иные бактерии на этой подтверждающей среде не растут;
- выполняют каталазный тест; для этого петлей наносят каплю дистиллированной воды на предметное стекло, в которой растирают исследуемую культуру. После подсушивания на воздухе добавляют каплю свежеприготовленной 3%-й перекиси водорода. При отсутствии пузырьков газа тест считается каталазоотрицательным. В качестве контрольной каталазоположительной культуры используют любой вид стафилококков.
Учет результатов. Для определения индекса подсчитанное число колоний энтерококков на фильтрах, где выросло менее 50 - 70 колоний, суммируют и делят на объем воды, профильтрованный через фильтры, на которых велся подсчет.
В протоколе исследования указывают КОЕ энтерококков в 100 мл воды.
10.4.2. Обнаружение энтерококков титрационным методом
Выполнение анализа. Анализируемый объем морской воды и ее разбавления засевают параллельно в 2 или 3 ряда накопительной щелочно-полимиксиновой среды (ЩЭС). Объемы 100 и 10 мл засевают в равные объемы среды двойной концентрации; 1 мл исследуемой воды или ее разбавления засевают в 5 мл среды нормальной концентрации. Посевы инкубируют при температуре (37 +/- 1) °C. Через 48 ч из посевов, где отмечены признаки роста (помутнение или помутнение и изменение цвета среды), производят пересев на 4 - 6 секторов одной из плотных питательных сред (молочно-ингибиторной - МИС, энтерококкагар или азидную среду Сланеца-Бертли). Плотные питательные среды инкубируют 24 - 48 ч при температуре (37 +/- 1) °C.
Учет результатов. В качестве положительных результатов на МИС отмечают наличие аспидно-черных, выпуклых колоний с металлическим блеском, ровными краями (Enterococcus faecalis), а также мелких сероватых колоний (Enterococcusfaecium, Enterococcus durans). На азидной среде и энтерококкагаре энтерококки образуют крупные выпуклые, темно-малиновые, розовые, светло-розовые, равномерно окрашенные или с темно-красным не четко оформленным центром. При необходимости подтвердить наличие энтерококков по 2 - 3 колонии каждого типа микроскопируют и выполняют каталазный тест или проверяют способность роста на солевом агаре с ТТХ.
Вычисляют наиболее вероятное число (НВЧ) КОЕ в 100 мл по одной из таблиц прилож. 3. В протоколе исследования указывают наиболее вероятное число КОЕ энтерококков в 100 мл воды.
10.4.3. Упрощенный метод определения энтерококков
Выполнение анализа. При анализе воды титрационным методом лактозо-пептонная среда используется одновременно для накопления ОКБ и энтерококков. Сначала делают высев из лактозо-пептонной среды для определения колиформных бактерий по п. 10.2.2, затем - на энтерококки. Из всех емкостей лактозо-пептонной среды, где имелось помутнение, независимо от наличия или отсутствия газа, делают высев со дна пробирки на сектора среды МИС, азидной среды или энтерококкагара, путем троекратного нанесения материала бактериологической петлей диаметром 2 - 3 мм для посева штрихом. Среды инкубируют 24 ч при температуре (37 +/- 1) °C. (в ред. Изменений N 1, утв. Роспотребнадзором 01.03.2021)
Учет результатов производят по п. 10.2.2.
10.5. Обнаружение стафилококков методом мембранной фильтрации
Стафилококки определяют на участках моря, используемых для купания, в воде плавательных бассейнов, в том числе с морской водой, в лечебных грязях как показатель загрязнения воды микрофлорой верхних дыхательных путей и кожных покровов человека. При оценке качества воды, используемой для купания, этот показатель имеет самостоятельное значение наряду с показателями фекального загрязнения. Кроме того, патогенные стафилококки являются возбудителями гнойных и воспалительных заболеваний кожи, верхних дыхательных путей, глаз, наружного уха.
При оценке качества воды индикаторами считают стафилококки, обладающие лецитовителлазной активностью, в основном Staphylococcus aureus. Пробу в объеме 100; 10,0; 1,0 мл фильтруют через мембранные фильтры по п. 10.1.2. После фильтрации фильтры помещают на желточно-солевой агар и инкубируют при температуре (37 +/- 1) °C в течение 24 - 48 ч. Подсчитывают блестящие выпуклые колонии белого, палевого, золотистого цвета, окруженные радужной с перламутровым блеском зоной; 96 - 98% таких колоний образованы Staphylococcus aureus.
При необходимости подтвердить принадлежность таких бактерий к Staphylococcus aureus подозрительные колонии пересевают на желточно-солевой агар, микроскопируют, определяют плазмо-коагулазную активность. При наличии мелких грамположительных кокков, располагающихся в виде гроздей, и коагулировании плазмы дают положительный ответ.
Однако возможны исключения: некоторые штаммы Staphylococcus aureus не имеют пигмента или лецитиназы, а ряд штаммов Staphylococcus epidermidis обладает лецитиназной активностью. Выявление пигмента в ряде случаев требует дополнительной инкубации в течение 24 - 48 ч при комнатной температуре на свету.
Число колоний стафилококков делят на объем воды, профильтрованной через фильтры, на которых велся учет, и умножают на 100.
10.6. Определение колифагов
10.6.1. Определение колифагов прямым методом
Колифаги - бактериальные вирусы, способные лизировать кишечную палочку и формировать зоны лизиса (бляшки) на ее газоне на питательном агаре через (18 +/- 2) ч при температуре (37 +/- 1) °C.
Значение показателя и область применения. Колифаг - нормируемый показатель, обязательный для проведения лабораторного контроля качества морской воды для хозяйственно-питьевого водопользования после опреснения, в местах водозабора для плавательных бассейнов и водолечебниц, а также в зонах рекреации и в черте населенных мест в отношении возможного вирусного загрязнения.
Превышение норматива показателя в морской воде свидетельствует о потенциальной эпидемической опасности объекта в отношении вирусной микрофлоры.
Выполнение анализа. Для выполнения данного исследования необходимо подготовить тест-культуру - штамм 3254 E. coli
. На всех этапах исследования используют бактериальную взвесь, приготовленную следующим образом: штамм 3254 E. coli
(п. 2.2.6) засевают в пробирку со скошенным питательным агаром со стрептомицином. Через (18 +/- 2) ч инкубации при температуре (37 +/- 1) °C производят смыв бактерий с косяка 5 мл стерильного солевого раствора (п. 2.4.2.1) и по стандарту мутности готовят взвесь E. coli в концентрации 109 бактериальных клеток в 1 мл.
Допускается в день анализа внести штамм 3254 E. coli
в питательный бульон, инкубировать в течение 4 ч при (37 +/- 1) °C и использовать при внесении в питательный агар, расплавленный и остуженный до 45 - 49 °C.
Объем воды для посева выбирают в зависимости от степени ее загрязнения с таким расчетом, чтобы на чашках выросло до 300 БОЕ, без образования сливных зон. При посеве на чашку Петри 10 мл, 1,0 мл или соответствующих десятикратных разбавлений используют питательный агар, приготовленный из сухого препарата промышленного производства способом, указанным на этикетке. При посеве 100 мл исследуемой воды применяют питательный агар, приготовленный из сухого препарата промышленного производства с увеличением навески на 10 - 15%. В зависимости от плотности используемого агара проводят посевы воды по 10 мл на 10 чашек или по 20 мл на 5 чашек.
Исследуемую воду освобождают от сопутствующей бактериальной флоры, добавляя хлороформ из расчета 1 мл хлороформа на 10 мл воды. Пробу тщательно встряхивают и отстаивают в течение 15 мин при комнатной температуре для осаждения хлороформа. На исследование берут воду над хлороформом.
В питательный агар, расплавленный и остуженный до 45 - 49 °C, добавляют смыв E. coli
из расчета 1,0 мл смыва на каждые 100 мл агара, перемешивают.
Параллельно осуществляют постановку отрицательного контроля. "Отрицательный контроль" - подтверждает отсутствие контаминации фагом штамма 3254 E. coli
, питательных сред, лабораторной посуды, оборудования на этапах подготовки и проведения анализа, а также позволяет оценить способность тест-культуры E. coli давать равномерный газон на мясопептонном агаре. "Отрицательным контролем" служит исследование стерильной водопроводной воды, проводимое аналогично анализируемой пробе воды. С этой целью, в зависимости от посевной дозы исследуемой воды, в стерильную чашку Петри вносят от 1 до 20 мл стерильной водопроводной воды. Чашку с контрольным посевом и опытные чашки, слегка приоткрывая, заливают 25 мл смеси мясопептонного агара с E. coli и оставляют при комнатной температуре до застывания. Чашки с застывшим агаром помещают дном вверх в термостат и инкубируют при температуре (37 +/- 1) °C в течение (18 +/- 2) ч.
Учет результатов. Просмотр чашек с посевами осуществляют в проходящем свете. Негативные колонии колифага или бляшки - это зоны лизиса бактериального газона в виде изолированных, прозрачных образований с четко выраженными округлыми краями. При высоких концентрациях эти негативные колонии могут сливаться, образовывать "ажурный" газон E. coli вплоть до его полного лизиса.
В контрольной чашке бляшки должны отсутствовать.
При исследовании 100 мл воды (5 чашек по 20 мл или 10 чашек по 10 мл) подсчитывают и суммируют все бляшки, выросшие на чашках Петри.
Если посевная доза была меньше 100 мл воды, число подсчитанных бляшек колифагов делят на объем исследованной пробы и умножают на 100 мл.
Результат выражают в бляшкообразующих единицах (БОЕ) на 100 мл пробы воды.
В протоколе исследования указывают количество БОЕ колифага в 100 мл воды.
Предварительный учет результатов допустимо проводить через 5 - 6 ч инкубации. На этом этапе при наличии четких зон лизиса может быть выдан предварительный ответ о присутствии колифагов в воде. Окончательный количественный учет прямого посева проводят через (18 +/- 2) ч. Если отмечен сливной рост бляшек и счет затруднителен, то по данным прямого посева может быть выдан качественный результат: "обнаружено в 100 мл воды".
При наличии зон лизиса в контрольной чашке результат исследования считают недействительным.
В этом случае следует проверить стерильность лабораторного оборудования, посуды, питательных сред, а также провести контрольный посев на чистоту штамма 3254 E. coli
.
Для проверки культуры E. coli на чистоту в стерильную чашку Петри вносят 1,0 мл смыва суточной культуры E. coli, заливают расплавленным и остуженным до 45 - 49 °C питательным агаром и инкубируют при температуре 37 + 1 °C в течение (18 +/- 2) ч. Наличие зон лизиса в посеве свидетельствует о контаминации культуры E. coli колифагом.
При контаминации штамма 3254 E. coli
необходимо использовать пробирку с культурой, хранящейся в холодильнике на полужидком агаре или получить новую леофилизированную культуру - E. coli
.
При использовании новой культуры штамма 3254 E. coli
необходимо проверить ее способность лизироваться специфическим колифагов MS-2. Анализ выполняют следующим образом: в стерильную чашку Петри вносят расплавленный и остуженный мясопептонный агар с добавлением смыва с суточной культуры штамма 3254 E. coli
. После застывания агара на его поверхность наносят каплю суспензии колифага MS-2 и инкубируют в течение 18 +/- 2 ч при 37 +/- 1 °C. Культуру считают восприимчивой и пригодной для проведения исследований при наличии зоны лизиса.
При проведении анализов воды на колифаг в сомнительных случаях проводят контрольный посев на подтверждение фаговой природы лизиса.
Методика подтверждения "фаговой" природы лизиса. В сомнительных случаях, при обнаружении на газоне кишечной палочки артефактов за счет капель конденсата, негомогенно застывшего агара, не характерных бляшек колифага с бактериальными колониями и др. следует провести исследование на подтверждение фаговой природы лизиса.
Методика подтверждения фаговой природы лизиса заключается в следующем. Бактериологической петлей извлекают участок агара с бляшкой колифага, вызывающей сомнение, помещают его в 5 мл питательного бульона, добавляют каплю тест-культуры E. coli
и инкубируют при 37 °C в течение (18 +/- 2) ч. Полученную культуру обрабатывают хлороформом (1 мл на 10 мл бульона) и исследуют на наличие фага. Высев осуществляют петлей или пипеткой на поверхность питательного агара, содержащего взвесь E. coli, чашки инкубируют в термостате при (37 +/- 1) °C в течение (18 +/- 2) ч. Наличие четких, характерных для фага, зон лизиса на поверхности агара расценивают как подтверждение наличия фага.
10.6.2. Ведение эталонных культур колифага MS-2 штамма 3254 E. coli

10.6.2.1. Ведение штамма 3254 E. coli

После вскрытия ампулы со штаммом 3254 E. coli
содержимое регидратируют, перемешивают, переносят в пробирку с питательным бульоном и инкубируют при (37 +/- 1) °C в течение (18 +/- 2) ч. После инкубации из питательного бульона делают высев на скошенный питательный агар со стрептомицином в две пробирки и инкубируют при (37 +/- 1) °C в течение (18 +/- 2) ч. Одну пробирку используют для постановки тестов на соответствие паспортным свойствам. После прохождения тестов вторую пробирку с посевом используют для создания запасов рабочей культуры.
С этой целью культуру со скошенного агара засевают уколом в столбик с полужидким агаром в количестве 4 - 10 пробирок, в зависимости от интенсивности работы из расчета 1 - 3 пробирки на 1 месяц и 1 пробирка для восполнения запасов рабочей культуры через 3 месяца. Посевы инкубируют при (37 +/- 1) °C в течение (18 +/- 2) ч, при наличии роста пробирки перекрывают резиновыми (силиконовыми) пробками и закладывают на хранение при температуре 4 - 8 °C. Пробирку, предназначенную для восполнения запасов рабочей культуры, маркируют и хранят отдельно (предпочтительно в отдельном холодильнике).
Восполнение запасов рабочей культуры проводят в конце 3, 6 и 9 месяца с момента вскрытия ампулы со штаммом. Из пробирки, предназначенной для восполнения запасов, производят посев в питательный бульон. Инкубация при (37 +/- 1) °C в течение (18 +/- 2) ч. После инкубации делают высев на 2 пробирки со скошенным агаром со стрептомицином и инкубируют при (37 +/- 1) °C в течение (18 +/- 2) ч. Один из посевов используют для постановки тестов на соответствие паспортным свойствам, второй - для восполнения запасов рабочей культуры.
Для целевого использования накануне анализа культуру с полужидкого агара высевают на 2 пробирки со скошенным питательным агаром со стрептомицином и инкубируют при (37 +/- 1) °C в течение (18 +/- 2) ч. Культуру из одной пробирки используют по назначению, вторую пробирку - для получения культуры для работы на следующий день. Для получения культуры на третий день работы высев производят с полужидкого агара.
Культуру E. coli
используют в течение года.
10.6.2.2. Ведение штамма колифага MS-2
Культуру со штаммом 3254 E. coli
, хранящуюся на полужидком агаре, засевают в пробирку с 10 мл питательного бульона и инкубируют при (37 +/- 1) °C в течение (18 +/- 2) ч. На следующий день 0,1 мл культуры повторно засевают в 3 - 4 пробирки с 10 мл питательного бульона и инкубируют в течение двух часов.
После вскрытия ампулы со штаммом колифага MS-2 содержимое регидратируют, перемешивают, переносят с пробирки с бульонной культурой Е.coli
и инкубируют при (37 +/- 1) °C в течение (18 +/- 2) ч. После инкубации в пробирки добавляют по 1 мл хлороформа, закрывают резиновыми пробками, интенсивно встряхивают и оставляют на ночь в холодильнике. Отбирают культуру над хлороформом, переносят в стерильные пробирки, добавляют 1 мл хлороформа, перекрывают резиновыми пробками, встряхивают и хранят в холодильнике для использования по назначению.
Культуру колифага MS-2 используют в течение года.
11. Дополнительные показатели
11.1. Обнаружение возбудителей кишечных инфекционных заболеваний
В соответствии с требованиями СанПиН 2.1.5.2582-2010 проводят определение возбудителей кишечных инфекционных заболеваний с целью подтверждения их отсутствия в 1 л морской воды в зонах водопользования в начале купального сезона, при максимальной антропогенной нагрузке, а также с учетом эпидемической ситуации.
Для определения сальмонелл используют две из следующих сред накопления: селенитовый бульон, магниевую среду, среду Мюллера- Кауфмана, питательную среду для накопления сальмонелл, готовую к применению, производства ФБУН "Ростовский НИИ микробиологии и паразитологии" (г. Ростов-на-Дону) - РСН.
Среды РСН и магниевая среда позволяют определять как вегетативные, так и стрессированные формы бактерий, а также обладают высокой эффективностью при посеве воды экспедиционным методом.
11.1.1. Качественный метод
Отобранную пробу воды в объеме 1 л засевают по 500 мл в две среды накопления. При использовании среды Мюллера-Кауфмана необходимо в 500 мл исследуемой воды внести все ингредиенты среды согласно п. 6.2.21, при посеве в магниевую среду навески вносят согласно п. 6.2.24. При культивировании сальмонелл в селенитовой среде в исследуемую пробу воды в объеме 500 мл добавляют 500 мл среды двойной концентрации (п. 6.2.23). При использовании среды РСН (п. 6.2.25) в качестве среды накопления для определения возможности загрязнения воды сальмонеллами в 500 мл анализируемой пробы вносят 500 мл среды.
Для снижения риска негативного влияния большого количества солей, находящихся в морской воде, 500 мл пробы фильтруют через один или несколько мембранных фильтров, которые после фильтрации помещают в 100 мл среды накопления.
Посевы воды в средах накопления инкубируют при температуре 37 °C в течение 22 - 48 ч. Предварительный просмотр посевов проводят через 22 - 24 ч. При отсутствии роста в среде накопления посевы оставляют на 48 ч. Из каждой емкости, где отмечено равномерное помутнение среды, производят высев на 2 чашки с висмут-сульфитным агаром для выявления сальмонелл. Посев производят так, чтобы получить изолированный рост колоний в соответствии с ГОСТ 26670-91. Чашки с посевами инкубируют при температуре 37 °C в течение 18 - 20 ч.
На висмут-сульфит агаре сальмонеллы растут в виде аспидно-черных колоний с металлическим блеском участка среды вокруг колонии, так называемое "зеркало", и черным отпечатком под колонией. Исключение в этом отношении составляют S. paratyphi A, некоторые сальмонеллы из группы C и других групп, которые при росте на висмут-сульфитном агаре образуют нежные, зеленоватые колонии с темным центром и без него, слегка выпуклые с ровными краями.
Через 22 +/- 2 ч инкубации при температуре 37 °C проводят просмотр посевов и отбирают подозрительные на сальмонеллы колонии. При обнаружении на чашках колоний, подозрительных на сальмонеллы, по 3 - 4 изолированных колоний с каждой чашки снимают для посева в пробирки с комбинированными средами для определения биохимических свойств, подтверждающих их принадлежность к роду Salmonella (типа Ресселя, Клиглера, Олькельницкого и др.). Окончательное определение морфологических, биохимических и серологических свойств сероваров производят по общепринятым методам идентификации бактерий семейства Enterobacteriacae.
При выявлении сальмонелл дают положительный ответ.
11.1.2. Количественный метод
Исследование воды на сальмонеллы количественным методом повышает вероятность выделения возбудителя из воды. Установленная численность сальмонелл в местах водопользования позволяет судить о степени опасности и экстренности проведения противоэпидемических (профилактических) мероприятий. Определение сальмонелл в воде различного вида водопользования при посеве в среду РНС и магниевую среду накопления проводят титрационным методом. При исследовании проб воды в местах хозяйственно-питьевого и лечебно-оздоровительного водопользования производят посев 100 мл, 10 мл и 1 мл.
При исследовании проб воды, предназначенной для рекреационного, культурно-бытового водопользования, и в месте сброса сточных вод засевают 2 объема по 100 мл, 2 по 10 мл, 2 по 1 мл и 2 объема по 1 мл из первого и второго разведений.
При исследовании сточных вод до очистки засевают 2 объема по 1 мл и 2 объема из разведений от 10-1 до 10-7, после очистки - 2 объема по 100 мл, 2 по 10 мл, 2 по 1 мл и 2 объема по 1 мл из разведений от 10-1 до 10-3.
Учитывая высокий солевой состав морской воды, 100 и 10 мл исследуемой пробы предварительно фильтруют через мембранный фильтр, который после фильтрации опускают в накопительную среду. Фильтр после фильтрации 100 мл морской воды опускают в 100 мл РНС и магниевой среды нормальной концентрации, 10 мл в 10 мл среды, 1 мл и последующие разведения засевают в указанном объеме без фильтрации в 9 мл среды нормальной концентрации.
Дальнейшее исследование проводят по п. 11.1.1.
Наиболее вероятное число индекса сальмонелл (НВЧ) в 1000 мл воды определяют по таблицам (прилож. 3, табл. 3.3).
В протоколе исследования указывают наиболее вероятное число КОЕ сальмонелл в 1000 мл воды.
11.1.3. Определение шигелл
Для выявления шигелл используют селенитовый бульон. Для этого профильтровывают через мембранный фильтр 500 мл воды, который вносят в накопительную среду. После инкубации посевов в течение 18 - 20 ч при температуре 37 °C при наличии признаков роста (помутнение среды) из каждого флакона делают высевы на чашки с агаром ЭМС (агар с эозиновым метиленовым синим) или бактоагар Плоскирева с антибиотиками.
Шигеллы на ЭМС-агаре вырастают в виде круглых, прозрачных, нежных, бесцветных колоний. Колонии шигелл Зонне более плотные, иногда белесоватые, с изрезанными краями.
На бактоагаре Плоскирева шигеллы растут в виде бесцветных прозрачных, нежных колоний, слегка возвышающихся над поверхностью агара (шигеллы Флекснера). Колонии шигелл Зонне бывают иногда белесоватые, приобретающие через 48 ч слегка розовый оттенок. Окончательное определение биохимических и серологических свойств, био- и сероваров проводят в соответствии с действующими нормативно-методическими документами.
При выявлении шигелл дают положительный ответ.
11.2. Обнаружение Pseudomonas aeruginosa
Определение понятия и значение показателя. Pseudomonas aeruginosa (синегнойная палочка) - потенциально-патогенная, грамотрицательная облигатно-аэробная, не образующая спор палочка, подвижная с единичными, полярно расположенными жгутиками, обладает оксидазной активностью, расщепляет глюкозу до кислоты, растет при температуре 42 °C, образует преимущественно сине-зеленый пигмент, относится к семейству Pseudomonadaceae.
Количественное определение Ps. aeruginosa является основным при исследовании объектов окружающей среды. Степень обсемененности Ps. aeruginosa, как и индексы E. coli и сальмонелл, характеризует санитарное состояние и уровень эпидемической опасности объекта: воды источников водоснабжения, питьевой воды централизованного водоснабжения, рекреационных вод прибрежных пляжей, акваторий, плавательных бассейнов, сточных жидкостей при оценке качества биологической очистки и обеззараживания. Известны острые кишечные инфекции псевдомонадной этиологии водного происхождения и различные формы заболеваний (отиты, поражения кожного покрова) у купающихся в бассейнах, содержащих Ps. aeruginosa.
Пробы морской воды в зонах рекреации, в местах забора воды для хозяйственно-питьевых целей, воды бассейнов с морской водой отбирают в объеме 1 л, в местах выпуска сточных вод - 100 мл.
Выполнение анализа. Исследование на Ps. aeruginosa проводят в три этапа: накопление в жидкой среде обогащения; выделение Ps. aeruginosa на плотной селективно-дифференциальной среде; идентификация Ps. aeruginosa с использованием ограниченного набора наиболее надежных тестов.
В качестве среды накопления используют среду Бонде с кристаллическим фиолетовым. При этом 1 л исследуемой морской воды засевают по 500 мл в 50 мл концентрата среды Бонде; 100 мл - в 10 мл концентрата среды Бонде, 10 и 20 мл воды в 100 и 200 мл среды Бонде обычной концентрации.
Учитывая особенности морской воды - большой солевой состав, предпочтительно исследуемую морскую воду отфильтровывать через мембранные фильтры. После фильтрации 100 мл воды фильтр помещают в 100 мл среды Бонде нормальной концентрации, после фильтрации 10 мл пробы мембранные фильтры помещают в 10 мл среды накопления. 1 мл воды засевают без фильтрации в 10 мл среды накопления обычной концентрации. Инкубацию посевов осуществляют при температуре 37 °C в течение 24 - 48 ч. Допустимо инкубировать посев сточных вод при температуре 42 °C. Через 24 ч посевы просматривают. При отсутствии помутнения посевы инкубируют до 48 ч. Отсутствие роста в среде накопления через 48 ч позволяет выдать отрицательный ответ.
При помутнении среды Бонда и образовании на поверхности тонкой прозрачной пленки, поднимающейся по стенке емкости, проводят пересев из среды обогащения на сектора плотной среды "Блеск" или цетримидный агар. Емкость перед посевом не встряхивать. Петлей забирают пленку с поверхности и производят посев уколом ближе к борту чашки для снятия излишков посевного материала, потом остаток материала распределяют в виде макроколонии 1 х 4 см, далее посев проводят частыми многочисленными штрихами по поверхности среды для получения максимального количества изолированных колоний. Посевы помещают в термостат при 37 °C на 24 - 48 ч с предварительным просмотром через 24 ч инкубации.
На цетримидном агаре колонии Ps. aeruginosa образуют желтовато-зеленый пигмент (пиоцианин), флуоресцирующий в УФ-свете. При нечетком результате проводят идентификацию по дополнительным тестам.
На среде "Блеск" колонии Ps. aeruginosa либо сплошь покрыты золотистым налетом, либо содержат многочисленные золотистые вкрапления. Иногда вокруг колонии отмечается просветление или светло-красное окрашивание среды. Часто колонии Ps. aeruginosa принимают веретенообразную форму, как бы распространяясь по вдавлению в агаре от штриха петлей. Появление блеска можно наблюдать уже через 20 - 22 ч инкубации при 37 °C, но максимального развития феномен достигает через 42 - 44 ч. Среда "Блеск" бактерицидна для всех грамположительных и большинства грамотрицательных бактерий и лишь некоторые ТТХ-резистентные штаммы клебсиелл, серраций и энтеробактерий могут развиваться на среде "Блеск" в виде темно-красных разного размера колоний, лишенных блеска, или выпуклых блестящих ярко-красных колоний.
При наличии множественного роста колоний с золотистым блеском достаточно отобрать для последующего исследования 1 - 2 изолированные наиболее типичные колонии. При росте единичных колоний с блеском или с золотистыми вкраплениями следует отбирать все типичные колонии, но не более 5 - 6.
При предположении массивного обсеменения объекта Ps. aeruginosa (сточные жидкости) исследование может быть начато непосредственно со второго этапа, т.е. с посева исследуемого объекта на среду "Блеск". При этом материал в объеме 0,1 мл распределяется шпателем по поверхности среды.
В стандартах ИСО рекомендуется определение Ps. aeruginosa методом мембранной фильтрации с помещением фильтров с посевами на цетримидный агар.
Для подтверждения обнаружения Ps. aeruginosa наиболее типичные колонии отсевают макроколониями (бляшками) на среду Кинг-А (на одной чашке можно расположить 12 - 18 макроколоний). Посевы помещают в термостат на 22 - 24 ч при 37 °C с последующим дополнительным хранением чашек с посевами при комнатной температуре 18 - 20 ч. Макроколонии Ps. aeruginosa на среде Кинг-А, как правило, имеют характерную уплощенную шероховатую форму с неровными краями и кружевным венчиком в результате ограниченного роения, реже гладкую с ровными краями. Образующийся феназин, результат сочетания цианина, рубрина и меланина, имеет, в зависимости от преобладания одного из этих пигментов, буроватый оттенок с вариантами от сине-зеленого до коричнево-красного, который диффундирует в агар.
При наличии продуцирующей феназин колонии характерной формы исследование можно считать законченным с положительным результатом. При наличии феназин-положительной колонии не типичной формы, но дававшей на среде "Блеск" золотистый налет, также подтверждается наличие Ps. aeruginosa.
При выявлении атипичных колоний, феназин-отрицательных, не дававших на среде "Блеск" золотистый блеск, исследование проводится дальше: определяется реакция цитохромоксидазы и тест "Грегерсена". При положительном результате обеих тестов исследования проводят по схеме:
- посев на среду с мальтозой макроколониями (бляшками) в количестве 12 - 18 на одной чашке; после инкубации посевов при температуре 37 °C в течение 16 - 18 ч определяется результат: цвет не изменен - реакция отрицательная, пожелтение макроколонии и подлежащей среды - реакция положительная;
- мальтозоотрицательные колонии засевают в среду Хью-Лейфсона (среда О/Ф) уколом до дна пробирки; посев в среду О/Ф производят иглой не короче 6 см. Среду О/Ф инкубируют при температуре 37 °C в течение 16 - 18 ч. В среде О/Ф для Ps. aeruginosa характерны положительная оксидация (пожелтение верхней части среды) и зеленое окрашивание нижних 2/3 столбика (оксидация +, ферментация -). Штаммы не относящиеся к Ps. aeruginosa дают или положительную оксидацию и ферментацию - пожелтение всего столбика или отрицательную оксидацию и ферментацию.
Для сокращения сроков исследования допустимо произвести одновременный посев на среду с мальтозой и среду О/Ф.
Помимо качественного исследования воды на наличие синегнойных палочек возможно их количественное определение, которое характеризует санитарное состояние объекта и уровень его эпидемической опасности. Для этого проводят посев проб воды в двух рядах (2 объема по 100 мл; 2 по 10 мл; 2 по 1 мл; 2 по 0,1 мл; 2 по 0,01 мл и т.д.). Идентификацию Ps. aeruginosa проводят вышеописанным способом. Учет НВЧ - в соответствии с табл. 3.3 прилож. 3.
11.3. Обнаружение Campilobacter jejuni методом мембранной фильтрации
Определение понятия и значение показателя. К роду Campilobacter относятся микроаэрофильные подвижные, хемоорганотрофные, не образующие спор и капсул грамотрицательные бактерии спиралевидной, S-образной или изогнутой формы. Длина клеток кампилобактеров 0,5 - 5 мкм, толщина - 0,2 - 0,8 мкм, имеют один или два полярно расположенных жгутика, могут обладать плазмидами. В старых культурах бактерии часто принимают сферические или кокковые формы.
Кампилобактерам присущ дыхательный тип метаболизма. В качестве источника энергии они, в основном, используют аминокислоты, но не утилизируют углеводы. Кампилобактеры - микроаэрофилы. Кислород необходим для их роста, но становится токсичным для микроорганизмов в избыточном количестве. Для большинства штаммов оптимальной является концентрация кислорода 3 - 6%. Кампилобактерии являются капнофилами, то есть нуждаются в высоких концентрациях (до 10%), обладают каталазной и оксидазной активностью.
В соответствии с СанПиН 2.1.5.2582-10 C. jejuni является дополнительным показателем, который определяется в случае превышения допустимых уровней загрязнения по обязательным микробиологическим показателям (не менее чем в 2 последовательно отобранных пробах), а также с учетом эпидемической ситуации.
Выполнение анализа. Исследуемую пробу воды в объеме 10 литров предварительно концентрируют фильтрованием через мембранные фильтры с диаметром пор 0,45 мкм по п. 10.1.2. После фильтрации фильтры переносят во флаконы с 20 - 25 мл обогатительной питательной среды для культивирования кампилобактерий - селективный бульон Престона или селективный бульон Дойла. При исследовании морской воды с высоким уровнем биологического загрязнения и сточных вод в питательную среду вносят дополнительно селективные добавки антибиотиков по п. 6.2.34. Посевы инкубируют в микроаэрофильных условиях при 42,5 °C в течение 48 ч. Длительность инкубации составляет 48 ч с обязательным просмотром посевов через 24 ч.
Оптимальная газовая среда для культивирования бактерий рода кампилобактер имеет состав: двуокись углерода () - 10%, кислород - 5%, азот - 82%. Для ее создания можно использовать:
- газовую смесь заводского изготовления;
- газогенераторные пакеты;
- анаэробные инкубаторы или -инкубаторы, позволяющие поддерживать температуру (42 +/- 1) °C.
При наличии признаков роста в среде обогащения (равномерное помутнение среды или голубовато-серая пленка) осуществляют пересев на плотную селективную среду - кампилобакагар или угольный эритрит-агар по МУК 4.2.2321-08 с расчетом получения максимального количества изолированных колоний. Длительность инкубации посевов при температуре 42,5 °C в микроаэрофильных условиях может составлять до 48 ч при необходимом ежесуточном контроле роста культуры.
На поверхности селективного агара кампилобактерии образуют мелкие, округлые колонии или колонии средних размеров серого цвета или полупрозрачные с сероватым оттенком, гладкие, влажные, блестящие неправильной формы, как бы растекающиеся по ходу штриха. Отбирают 5 типичных или подозрительных на принадлежность к Campylobacter изолированных колоний (если число таких колоний менее 5, отбирают все колонии), суспендируя каждую из колоний в 1 мл бульона для бруцелл или любой жидкой среды без антибиотиков и крови. Манипуляции по отбору колоний для исследования и их пересев необходимо проводить в максимально короткие сроки.
Идентификацию выросших колоний осуществляют в 2 этапа: 1 этап предусматривает подтверждение принадлежности к роду Campilobacter, 2 этап - определение вида кампилобактерий.
Определение принадлежности к роду Campylobacter проводят на основании окраски по Граму, определения подвижности при микроскопии раздавленной капли с помощью фазово-контрастного устройства. Бактерии рода Campylobacter - грамотрицательные мелкие, тонкие палочки с одним или более завитками. В мазке имеют вид запятой, буквы S, или галочки при соединении двух клеток. В стареющих культурах (через 48 - 72 ч инкубации на твердой среде) могут обнаруживаться кокковидные клетки.
Подтверждение принадлежности выросших колоний к роду Campylobacter проводят на основании определения оксидазной и каталазной активности и способности утилизировать глюкозу, сахарозу и лактозу. Бактерии рода Campylobacter оксидазоположительны, каталазоположительны, за исключением C. upsaliensis, не утилизируют углеводы.
Идентификацию бактерий C. jejuni от других видов бактерий рода Campilobacter проводят по определению гидролиза гиппурата (п. 8.2.4 МУК 4.2.2321-08). Для определения гидролиза гиппурата в пробирку с 0,4 мл раствора гиппурата вносят полную петлю исследуемой чистой культуры. Для полного смешивания пробирку инкубируют на водяной бане при температуре 37 °C в обычной атмосфере. Через 2 ч добавляют 0,2 мл нингидринового реактива. После тщательного перемешивания пробирку с культурой дополнительно инкубируют на водяной бане в течение 10 мин. О положительной реакции свидетельствует появление фиолетового или темно-синего окрашивания. К гидролизу гиппурата способны только бактерии C. jejuni. Представители других видов рода Campilobacter не ферментируют гиппурат.
Для видовой дифференциации выделенных культур возможно использование диагностических систем (стрип) apiCampy фирмы bioMerieux (Франция).
Бактерии C. jejuni не должны содержаться в 10 л исследуемой воды.
12. Санитарно-вирусологическое исследование проб морской воды
Вирусы являются дополнительными показателями качества морской воды, которые определяют в случае превышения допустимых уровней загрязнения по обязательным бактериологическим показателям и колифагам (не менее чем в 2-х последовательно отобранных пробах), а также с учетом эпидемической ситуации.
Для определения вирусов исследуют большие объемы воды - 10 и более литров, что предусматривает их предварительное концентрирование.
Концентрирование вирусов из проб воды проводят сразу же после поступления проб в лабораторию одним из методов: методом концентрирования вирусов с использованием ионообменных смол; двухэтапным методом концентрирования вирусов путем сорбции на ионообменной смоле и последующим осаждением с помощью сульфата аммония; методом концентрирования вирусов с использованием набора для сбора и концентрирования вирусов с помощью ловушечного устройства и методом концентрирования с использованием сернокислого алюминия.
12.1. Метод концентрирования вирусов с использованием ионообменных смол
Подготовку ионообменных смол (аниониты АВ-17-8, АВ-17-8-чс) осуществляют следующим образом.
Сухую смолу замачивают на 2 - 3-х суток в дистиллированной воде. Затем воду сливают и смолу обрабатывают смесью равных объемов свежеприготовленных растворов 2%-ной соляной кислоты и 10%-ного хлорида натрия из расчета 1 л смеси на 100 г смолы. Продолжительность контакта 24 ч. После этого смолу отмывают дистиллированной водой до нейтрального значения pH 7,0.
Перед концентрированием pH исследуемой пробы воды доводят до значений 5,5 - 6,0 путем добавления концентрированной соляной кислоты.
Для осуществления концентрирования стеклянную бюретку (колонку) диаметром 1,2 - 1,5 см, к нижнему концу которой присоединен резиновый шланг с завинчивающимся зажимом, устанавливают в штативе строго вертикально. На дно колонки помещают небольшой слой стекловаты или флизелина для удержания смолы. В колонку вносят суспензию смолы, удаляя через нижний резиновый шланг избыток воды. Заполнение колонки следует проводить медленно, избегая образования пузырьков воздуха в столбике смолы. Высота столбика смолы должна быть 10 - 12 см.
Емкость с пробой воды располагают выше колонок, в нее опускают стерильный резиновый шланг со стеклянной трубкой на конце. С другой стороны шланга должна быть резиновая пробка со вставленной в нее стеклянной трубкой для прохождения воды. Подача воды осуществляется побудительным откачиванием стерильной резиновой грушей из тубуса с пробкой, после чего пробку с тубусом плотно вставляют в колонку. Винтовым зажимом на нижнем шланге колонки регулируют подачу воды, создавая скорость 10 - 12 мл в минуту, при этом необходимо, чтобы вода в колонке полностью покрывала столбик смолы.
После окончания концентрирования (примерно через 16 - 18 ч, при исследовании 10 л) осуществляют элюцию вирусов со смолы 0,5 М раствором фосфатного буфера с pH 8,2. Для этого в колонку вносят 10 мл фосфатного буфера, интенсивно встряхивают и оставляют в горизонтальном положении в течение 1 ч при комнатной температуре. Затем элюат переносят в стерильный флакон и доводят до pH 7,2 1 М раствором соляной кислоты.
Приготовление 0,5 М фосфатного буфера с pH 8,2. Готовят навески солей: - 71,0 г (раствор A) и
- 68,0 г (раствор B). Каждую навеску вносят в отдельную мерную колбу, добавляют дистиллированную воду до объема 1 л и растворяют соли. Для получения буфера с pH 8,2 смешивают 96,5 мл раствора A и 3,5 мл раствора B и одним из этих растворов доводят pH буфера до 8,2.
Удаление бактериальной микрофлоры. Антибактериальную обработку полученных элюатов выполняют одним из двух методов:
а) обработка хлороформом путем добавления его в элюат из расчета (1 мл хлороформа в 10 мл элюата), интенсивно встряхивают 10 мин и центрифугируют 10 мин при 2000 об./мин для разделения фаз. Водную фазу (верхнюю) отбирают пипеткой в стерильный флакон и добавляют 100 МЕ/мл пенициллина и 10,0 мг/мл стрептомицина;
б) фильтрация через стерилизующие насадки с фильтрами 0,22 км путем переноса через них пробы элюата стерильным шприцем объемом 5 - 20 мл в стерильный флакон.
Обработанные одним из указанных выше методов элюаты хранят не более 24 ч при температуре 4 °C. При температуре -20 °C элюаты хранят в течение 1 года.
12.2. Двухэтапный метод концентрирования вирусов (сорбция на ионообменной смоле и осаждение с помощью сульфата аммония)
(разработан Нижегородским ФГУН НИИ эпидемиологии и микробиологии им. академика И.Н. Блохиной Роспотребнадзора)
Метод осуществляется в два этапа.
I этап. Концентрирование и элюция вируса гепатита A и энтеровирусов из проб воды при помощи сорбции на ионообменной смоле.
В качестве сорбента используют смесь, состоящую из ионообменной смолы АВ-17-8 (подготовленной в соответствии с МУК 4.2.2029-05) и гидроксида алюминия, которой заполняют стеклянную бюретку (колонку) диаметром 36 - 38 мм и длиной 250 - 300 мм. Колонка должна иметь в нижней части впаянную перегородку из пористого стекла (стеклянный фильтр Шота N 2) и резиновый шланг, присоединенный к нижнему концу колонки. После установки колонки в штативе в нее вносят ионообменную смолу (высота столбика смолы должна составлять не менее 30 - 40 мм) и навеску гидроксида алюминия (8 - 10 г).
Исследуемую пробу воды в бутылях или канистре подкисляют с помощью соляной кислоты до pH 3,0 - 4,5, располагают выше колонки и через резиновую трубку с пробкой для колонки подают воду в колонку, регулируя скорость прохождения с помощью винта на резиновой трубке, присоединенной к нижнему концу колонки. Скорость прохождения воды через колонку должна составлять 10 - 15 мл/мин.
После прохождения исследуемой воды через колонку нижний резиновый шланг перекрывают и осуществляют элюцию вируса с адсорбента при помощи 0,05 М глицинового буфера с pH 11,5, который вносят в колонку в объеме 100 мл. Адсорбент в колонке и элюент тщательно перемешивают и выдерживают в течение 10 - 15 мин. Затем элюат удаляют из колонки через нижний резиновый шланг и с помощью глицинового буфера с pH 1,5 устанавливают pH элюата на уровне 7,0 - 8,0.
Приготовление глицинового буфера с pH 11,5.
Навеску 0,385 г аминоуксусной кислоты растворяют в 100 мл дистиллированной воды и получают глицин. К 50 мл глицина добавляют 50 мл 0,1 N раствора гидроксида натрия и получают глициновый буфер с pH 11,5.
Для приготовления глицинового буфера (pH 1,5 - 1,6) к 38 мл глицина добавляют 62 мл 0,1 N раствора соляной кислоты.
II этап. Вторичное концентрирование антигена и энтеровирусов - осаждение с помощью сульфата аммония.
Вторичное концентрирование (осаждение) вирусов проводят на холоде. Для этого к элюату дробно (в течение 20 - 30 мин) добавляют 1/2 объема насыщенного раствора сульфата аммония/, тщательно перемешивают и оставляют на ночь. Утром смесь центрифугируют в течение 1 ч при 5 - 6 тыс. об./мин. Супернатант сливают, а осадок растворяют в 1 - 2 мл физиологического раствора с pH 7,2 - 7,4.
При необходимости концентрат делят на 2 части, одну из которых исследуют на наличие антигена ВГА, другую - подвергают антибактериальной обработке в соответствии с п. 5.1.6 и используют для заражения тканевых культур с целью выделения энтеровирусов.
Приготовление насыщенного раствора сульфата аммония.
В 1 л теплой стерильной дистиллированной воды (30 - 35 °C) растворяют 800 г сульфата аммония //. Полученный раствор фильтруют, доводят до pH 7,2 и охлаждают в холодильнике.
Обработанные элюаты хранят не более 24 ч при температуре 4 °C. При температуре -20 °C элюаты хранят в течение 1 года.
12.3. Метод концентрирования вирусов с использованием набора для концентрирования вирусов из воды с помощью ловушечного устройства
(разработан Белорусским НИИ эпидемиологии и микробиологии)
Ловушечное устройство состоит из насадки, с помощью которой ее можно закреплять на трубке, подающей воду, а также на водопроводном кране. Ниже насадки с помощью синтетической трубки прикреплен держатель. В держатель, состоящий из двух свинчивающихся частей с резьбой, вставляется специальный картридж-ловушка, внутри которой находится адсорбент, сорбирующий вирусы из воды. Применяемая ловушка является одноразовой, а само устройство может использоваться после стерилизации многократно в соответствии с прилагаемой инструкцией.
12.3.1. Область применения
Метод используют для концентрирования вирусов из водопроводной воды и воды открытых водоемов.
12.3.2. Подготовка ловушечного устройства и фильтрование воды
Перед использованием в ловушечное устройство вставляют ловушку, после чего его заворачивают в бумагу для стерилизации и стерилизуют сухим жаром при температуре 80 °C 45 мин. Ловушечное устройство с вставленной ловушкой закрепляют на штативе ниже емкости с исследуемой водой. Подача воды через ловушку осуществляется через шланг со стеклянным тубусом на конце, на который надевается насадка ловушки. С помощью винтового зажима устанавливают необходимую скорость протекания воды - 1 л за 1,5 мин, что составляет 40 - 45 л/ч. Объем пропускаемой воды должен составить от 100 до 1000 л, что достигается при скорости тока воды 40 - 45 л/ч в течение 24 ч. После окончания фильтрации ловушечное устройство снимают с крана и помещают в стерильный пакет, который доставляют в вирусологическую лабораторию. После извлечения ловушки использованное ловушечное устройство подвергают обеззараживанию в 3% растворе перекиси водорода в течение 12 ч, затем многократно (не менее 10 раз) промывают в проточной воде и высушивают для последующей стерилизации и повторного использования.
12.3.3. Элюция сконцентрированных вирусных частиц
Ловушку с адсорбентом в стерильных условиях извлекают из ловушечного устройства и помещают в чашку Петри. С помощью ножниц ловушку вскрывают, содержащийся внутри адсорбент вымывают в чашку Петри стерильной дистиллированной водой в объеме 5 - 10 мл. Полученную взвесь адсорбента в дистиллированной воде переносят с помощью пипетки с отпиленным концом в стеклянную колонку. Вытекающую из колонки воду собирают в стерильный пенициллиновый флакон. Элюцию вирусов осуществляют с помощью специального элюента, содержащегося в наборе. Для получения рабочего раствора концентрат разводят стерильной дистиллированной водой в соотношении 1:10 (объем элюента/объем воды). Вирус элюируют путем пропускания 3 мл элюента через адсорбент в колонке. Полученную фракцию (элюат) собирают в стерильный пенициллиновый флакон.
Использованный адсорбент заливают 3% раствором перекиси водорода для обеззараживания на 12 ч.
С целью увеличения эффективности обнаружения вирусов в элюатах проб воды при исследовании методом ПЦР (обнаружение РНК энтеровирусов) и ИФА (обнаружение антигенов энтеровирусов) проводят дополнительное концентрирование элюатов с помощью ультрацентрифугирования либо обрабатывают элюаты полиэтиленгликолем 6000 (ПЭГ 6000).
Ультрацентрифугирование элюата. Ультрацентрифугирование проводят при 40000 - 50000 g в течение 2 ч с использованием угловых или бакет-роторов. В стерильную центрифужную пробирку наливают вируссодержащий элюат, а затем с помощью шприца на дно пробирки наслаивают 10 - 20% раствор сахарозы так, чтобы она занимала 5 - 10% от объема пробирки. После центрифугирования супернатант удаляют. Осадок ресуспендируют в 0,5 мл стерильной дистиллированной воды для ПЦР-исследований или в фосфатно-солевом твинсодержащем буфере (pH 7,2) для ИФА.
Обработка элюата полиэтиленгликолем 6000 (ПЭГ 6000). В элюат добавляют ПЭГ 6000 и хлористый натрий, находящийся непосредственно в пробирках для центрифугирования, до конечных концентраций 10% и 0,5 М соответственно. Смесь тщательно перемешивают до растворения ПЭГ и затем выдерживают в течение 10 - 12 ч при 4 °C. Образовавшуюся суспензию центрифугируют при 10000 g в течение 1 ч или при 6000 g в течение 2 ч. Супернатант удаляют, а осадок ресуспендируют в 0,5 мл стерильной дистиллированной воды для ПЦР-исследований или в фосфатно-солевом твинсодержащем буфере (pH 7) - для ИФА.
12.4. Метод концентрирования вирусов с использованием сернокислого алюминия
Пробу воды объемом 10 л осторожно нагревают на водяной бане до 18 - 20 °C. Затем добавляют в нее 20 мл 10% раствора , который равномерно при помощи электрической мешалки распределяют по всей пробе. После этого проверяют pH воды и доводят до 5,4 - 5,8 с помощью 0,1 N NaOH или 0,1 N HCl. Воду оставляют при комнатной температуре на 4 ч или в холодильнике при температуре 4 °C на 18 ч для осаждения образовавшихся хлопьев. Затем надосадочную жидкость осторожно сливают через край или при помощи водоструйного насоса. Оставшийся рыхлый осадок переносят в центрифужный стакан и центрифугируют при 2000 об./мин в течение 30 мин. Надосадочную жидкость удаляют, осадок ресуспендируют в 3 - 5 мл раствора Хенкса с pH 7,4 с предварительно добавленными в него противобактериальными и противогрибковыми препаратами.
В качестве элюентов, кроме раствора Хенкса, может быть использован 0,5 М раствор фосфатного буфера с pH 8,2.
Перед проведением исследований на клеточных культурах или в ПЦР суспензию снова центрифугируют при 2000 об./мин в течение 30 мин, надосадочную жидкость сбрасывают и осадок ресуспендируют в 4 мл раствора Хенкса (pH 7,4) с антибактериальными и противогрибковыми препаратами.
Перед заражением клеточных культур проводится дополнительная антибактериальная хлороформом в соответствии с п. 11.1.
Пробы воды, обработанные солями алюминия, хранят только при температуре 4 °C в течение 1 недели.
12.5. Методы выделения энтеровирусов в культурах клеток
Исследование полученных элюатов на энтеровирусы проводят в культуре ткани в соответствии с документом "Руководство по вирусологическим исследованиям полиомиелита", рекомендованным Всемирной организацией здравоохранения (1998). При этом следует отметить, что для выделения вирусов используют максимально возможный полученный элюат (кроме 1 мл, заложенного на хранение, и объема, используемого для исследования в ИФА и ПЦР). Для выделения вирусов используют следующие культуры тканей: RD, Hep-2, BGM и другие чувствительные к энтеровирусам линии клеток.
Перевиваемые культуры клеток RD, Hep-2 (Cincinnatti), BGM наиболее пригодны для проведения лабораторных исследований и позволяют выделять достаточно широкий спектр энтеровирусов, которые могут присутствовать в водных объектах окружающей среды.
Культура клеток RD, происходящая из человеческой рабдомиосаркомы, обладает высокой чувствительностью к вирусам полиомиелита, многим типам вируса ECHO, некоторым вирусам Корсаки A. Вирусы полиомиелита и вирусы Корсаки В хорошо размножаются в культуре клеток Hep-2, полученной из эпидермоидной карциномы человека. Культура клеток BGM - перевиваемая культура клеток почек африканской зеленой мартышки - чувствительна к вирусам полиомиелита и вирусам Корсаки B. Использование, по крайней мере, двух культур позволяет выявлять, возможно, больший спектр вирусов, а комбинация клеток, обладающих различной чувствительностью к различным энтеровирусам, может помочь при идентификации выделенного цитопатогенного агента. Чрезвычайно полезным является поддержание и использование в лабораторных исследованиях культуры клеток L20B. Эта культура клеток создана на основе мышиной линии L-клеток, в которую экспрессированы человеческие рецепторы к полиовирусу. Она позволяет селективно выделять только полиовирусы, что делает ее незаменимой культурой при идентификации выделенных цитопатогенных агентов для разделения смесей вирусов. Культуры клеток для лабораторного исследования следует получать из аттестованного источника, например, из лаборатории, обладающей банком клеток. Необходимо периодически контролировать чувствительность используемых в лаборатории клеток. Для этого после каждых 8 - 10 пассажей клеток на них проводят титрование референс-штаммов вакцинного вируса полиомиелита. После 15 - 20 последовательных пассажей следует перейти на свежую линию из банка клеточных культур или получить ее в референс-лаборатории. Эта процедура позволяет сохранять высокую чувствительность клеток и снижает риск контаминации клеток микоплазмами. Для исследования одной пробы используют не менее двух культур клеток площадью не менее 75 см2. Это соответствует трем флаконам емкостью 50,0 мл (поверхность каждого флакона составляет 25 см2). Два из этих флаконов должны быть с культурой клеток RD, один - с любой другой из рекомендованных культур. Флаконы со свежеобразованным монослоем клеток микроскопируют для того, чтобы убедиться в здоровом состоянии клеток. Монослой клеток, подходящий для заражения, обычно формируется в течение 2 - 3 дней после "посадки" клеток на флаконы при концентрации клеток 1 х 10 мл ростовой среды. После замены ростовой среды на 4,5 мл поддерживающей среды (без сыворотки) флаконы маркируют (указывают номер пробы, дату заражения, номер пассажа). В каждый флакон вносят по 0,5 мл обработанной исследуемой пробы воды. Все используемые клеточные линии следует инокулировать одновременно.
Обязательно оставляют по 1 незараженному контрольному флакону каждой культуры. Флаконы инкубируют в термостате при температуре 36 °C. Ежедневно, обычно в течение 5 - 7 дней, проверяют культуры на наличие цитопатогенного эффекта (ЦПЭ). Все признаки ЦПЭ, токсичности, контаминации посторонними микроорганизмами регистрируют в лабораторном журнале. При появлении ЦПЭ (при охвате изменениями 75% клеточного монослоя) прекращают инкубацию флаконов и сохраняют культуральную жидкость при 20 °C для следующего пассажа на той же культуре клеток.
Содержимое каждого флакона с культурой клеток пассируют индивидуально, флаконы никогда не объединяют. Для пассажа могут быть использованы культуры, выращенные в пробирках. Если при первичном заражении не наблюдали ЦПЭ, то делают так называемый "слепой" пассаж. Культуры, в которых не проявлялся ЦПЭ, инкубируют и наблюдают в течение не менее 14 дней. При отсутствии ЦПЭ в течение этого срока культуры отбрасывают как негативные. При хорошем состоянии культуры клеток первичное заражение и один пассаж вместе составляют период наблюдения 14 дней. В ряде случаев (например, при выделении агента с низкой цитопатогенной активностью, или при наличии в пробе вируса в небольшом количестве) необходимо сделать последующие пассажи. При этом следует помнить, что каждый последующий пассаж увеличивает риск перекрестной контаминации.
При выделении вирусов из проб воды различного происхождения в культуре клеток можно столкнуться с рядом нежелательных явлений. Если при первичном заражении в культуре клеток развивается быстрая (в течение 1 - 2 дней после внесения исследуемого субстрата) дегенерация клеток, то, скорее всего, это связано с неспецифической токсичностью пробы. Такие культуры нужно заморозить при -20 °C, оттаять и выполнить пассаж. Если признаки токсичности обнаружатся вновь, то следует вернуться к исходной пробе, развести ее ФСБ 1:10 и повторить заражение. Бактериальная контаминация, которая проявляется в виде помутнения среды, приводит к гибели клеток и делает выявление вирусного ЦПЭ затруднительным или невозможным. В этом случае следует вернуться к исходной пробе, обработать ее хлороформом и повторить процедуры заражения.
Особое внимание следует уделять предупреждению перекрестной вирусной контаминации во время процедур заражения и пассирования. Нельзя сливать среду через край флакона или пробирки, в которые вносилась исследуемая проба, даже если ЦПЭ отсутствует. Удаление среды производят пипеткой, которую меняют после каждой процедуры. При заражении с помощью автоматических микропипеток используют только наконечники с фильтрами. Следует избегать процедур, при которых образуются аэрозоли (например, энергичное пипетирование). По возможности не рекомендуется использование посуды с резиновыми пробками, которые помещаются внутрь горлышка флакона или пробирки, целесообразно использовать посуду с внешней резьбой на горлышке, которая закрывается завинчивающимися крышками.
Известно, что в пробах воды присутствуют смеси вирусов, с чем могут быть связаны затруднения при идентификации выделенных изолятов. Для разделения смесей и правильной идентификации выделенных вирусов, а также для того, чтобы избежать потери вирусов полиомиелита, все изоляты, "положительные" на культуре клеток RD, следует пассировать на клетки L20B. Наличие выраженного ЦПЭ указывает на присутствие в пробе вируса полиомиелита. Некоторые реовирусы, аденовирусы, а также полиоэнтеровирусы могут проявлять ЦПЭ на клетках L20B и затруднять идентификацию выделенных изолятов и интерпретацию результатов исследования. Такие изоляты следует направить в соответствующую референс-лабораторию для заключительного исследования.
В лабораторной практике часто используют метод адсорбции исследуемого материала на клеточном монослое. При использовании этого метода из флакона/пробирки удаляют ростовую среду, ополаскивают монослой стерильным ФСБ, вносят исследуемую пробу и инкубируют флакон при температуре 36 °C в течение 1 ч. Таким образом, создают лучшие условия для адсорбции вируса клетками, если он присутствует в пробе. После истечения срока инкубации в каждый флакон/пробирку вносят необходимое количество поддерживающей среды. Применение этого метода может способствовать выявлению вируса при его незначительных количествах в исследуемом материале, а также ускорить проявление ЦПЭ, по крайней мере, на 1 сутки. Следует иметь в виду, что при использовании этого метода, в результате дополнительных открываний крышек, во много раз возрастает вероятность контаминации (перекрестной вирусной или бактериальной). Его рекомендуется проводить в ламинарном шкафу. Ввиду высокого риска контаминации этот метод не следует использовать для пассирования или инокуляции изолятов вирусов.
Идентификация цитопатических агентов, выделенных в реакции нейтрализации. В основе идентификации выделенных цитопатических агентов (ЦПА) в реакции нейтрализации лежит взаимодействие исследуемого вируса с гомологичной антисывороткой (или смесью антисывороток), которая нейтрализует вирус, что проявляется в виде отсутствия ЦПЭ на культуре клеток. Обычно в опыте нейтрализации вирусную суспензию, содержащую 100 ТЦЦ, смешивают с диагностическими сыворотками.
После инкубации в течение 1 - 2 ч при 37 °C эту смесь соединяют с культурой клеток. Опыт ежедневно просматривают под микроскопом в течение не менее 3 дней. Иммунная сыворотка, которая предотвращает развитие ЦПЭ, указывает тип вируса.
При постановке реакции нейтрализации необходимо соблюдать несколько важнейших положений.
Для идентификации ЦПА всегда используют ту культуру клеток, на которой они были выделены. Если ЦПА был выделен в нескольких культурах клеток, то следует провести идентификацию каждого штамма. Это связано с тем, что в пробах воды могут содержаться смеси энтеровирусов, а чувствительность клеточных культур к различным энтеровирусам различна.
В опыте необходимо использовать разведение испытуемого изолята, содержащее 100 ТЦД. Для того чтобы определить необходимое разведение, проводят предварительное титрование выделенного ЦПА. Опытные лаборатории, использующие культуры клеток со стабильной чувствительностью, могут избежать этой процедуры. Известно, что суспензия вируса, полученная на культуре, где цитопатогенные изменения поражают 75 - 100% клеточного монослоя, содержит примерно 10 ТЦД. Поэтому в опыте используют разведения -3 - 4, 50, -10 и 10. Это экономит время исследования и материалы, необходимые для предварительного титрования. Однако контрольное титрование исследуемого изолята рекомендуется включать в каждый опыт по идентификации. Это позволяет рассчитать титр вируса в условиях данного опыта.
Реакцию нейтрализации проводят в панелях для культуры клеток с плоским дном (микрометод). Микрометод позволяет экономить все компоненты, необходимые для постановки опыта, однако при недостаточном опыте возникает опасность перекрестной лабораторной контаминации.
Титрование вирусов, а также постановку реакции нейтрализации выполняют в соответствии с документом "Руководство по вирусологическим исследованиям полиомиелита".
12.6. Выявление РНК кишечных вирусов (гепатит A, ротавирусы, энтеровирусы, норовирусы, астровирусы) методом ПЦР с этапом обратной транскрипции
12.6.1. Постановка ПЦР с использованием электрофоретического метода
Организация и постановка полимеразной цепной реакции с этапом обратной транскрипции (ОТ-ПЦР) для выявления РНК энтеровирусов, ротавирусов и вируса гепатита A из концентратов проб морской воды и сточных вод может быть осуществлена в лабораториях, оснащенных необходимым оборудованием.
Для выделения РНК из концентратов проб морской воды необходимо применять метод двустадийного выделения:
- фенол-хлороформная экстракция;
- сорбция РНК на частицы силикагеля.
Выявление РНК энтеровирусов, гепатита A, ротавирусов, норовирусов, астровирусов методом ПЦР с этапом обратной транскрипции можно производить, используя разные методы, наиболее простым из которых является электрофоретический метод. Для постановки электрофореза можно использовать комплект стандартных реагентов для электрофореза в агарозном геле в соответствии с инструкцией производителя.
Учет результатов проводят визуально с помощью трансиллюминатора. При этом агарозный гель либо достают из кюветы и помещают на стекло трансиллюминатора, либо используют емкости из УФ-проницаемых материалов.
При постановке ОТ-ПЦР для выявления в пробе "минус" цепи РНК энтеровирусов, положительные образцы должны содержать полосу ДНК размером 207 п.н. Размер полосы определяют по соотношению с положительным контролем и ДНК-маркером. Результаты можно документировать посредством фотографирования или видеосъемки геля с использованием ультрафиолетовых фильтров.
Амплификацию полученной в реакции обратной транскрипции кДНК осуществляют с использованием тест-системы для амплификации участка кДНК энтеровирусов длиной 207 п.н. в соответствии с прилагаемой инструкцией.
12.6.2. Постановка ПЦР с системой детекции флуоресцентного сигнала в режиме "реального времени"
Выявление кишечных вирусов методом полимеразной цепной реакции (ПЦР) с гибридизационно-флуоресцентной детекцией включает в себя три этапа:
1) экстракцию (выделение) РНК/ДНК из исследуемого материала;
2) обратную транскрипцию РНК и ПЦР-амплификацию кДНК/ДНК;
3) гибридизационно-флуоресцентную детекцию, которая производится непосредственно в ходе ПЦР (вариант FRT).
Экстракция РНК/ДНК из исследуемого материала проводится в присутствии внутреннего контрольного образца (ВКО), который позволяет контролировать выполнение процедуры исследования для каждого образца. Затем с полученными пробами РНК проводятся реакция обратной транскрипции (ОТ) и реакция амплификации участка синтезированной кДНК в одном реакционном буфере (ОТ-ПЦР). Реакция амплификации участка кДНК/ДНК проводится при помощи специфичных к этому участку кДНК/ДНК праймеров и фермента Taq-полимеразы. В составе реакционной смеси для амплификации присутствуют флуоресцентно-меченые олигонуклеотидные зонды, которые гибридизуются с комплементарным участком амплифицируемой ДНК-мишени, в результате чего происходит нарастание интенсивности флуоресценции. Это позволяет регистрировать накопление специфического продукта амплификации путем измерения интенсивности флуоресцентного сигнала. Детекция флуоресцентного сигнала осуществляется непосредственно в ходе ПЦР с помощью амплификатора с системой детекции флуоресцентного сигнала в режиме "реального времени". По каналу, соответствующему флуорофору FAM, детектируется продукт амплификации ВКО (внутреннего контрольного образца). По каналу, соответствующему флуорофору JOE, детектируется продукт амплификации кДНК/ДНК. Контрольный образец амплификации является комплексным и аналогично детектируется по каналам, соответствующим флуорофорам FAM и JOE.
Хранение исследуемого материала. Перед началом работы следует ознакомиться с методическими рекомендациями "Взятие, транспортировка, хранение клинического материала для ПЦР-диагностики", разработанными ФГУН ЦНИИЭ Роспотребнадзора, Москва, 2008.
Для проведения анализа используется следующий материал: концентраты (элюаты) проб воды (сточная, питьевая, вода из поверхностных водоемов и т.д.); контейнер с материалом доставляется в лабораторию в емкости со льдом в течение суток.
Подготовка исследуемого материала к экстракции ДНК/РНК.
Образцы концентратов (элюатов) водных проб используют для выделения вирусной РНК без предварительной обработки. В случае наличия в исследуемых образцах видимых примесей или видимой глазом окраски, данные пробы непосредственно перед анализом тщательно перемешивают на вортексе, после чего производится их центрифугирование в течение 1 мин при 10 тыс. g при комнатной температуре. Надосадочную жидкость используют для выделения РНК. Хранить материал можно не более 1 сут. при температуре от 2 до 8 °C и длительно при -68 °C. Допускается только однократное замораживание-оттаивание материала.
Схема проведения ПЦР-исследования
Проведение ПЦР-исследования осуществляется в соответствии с блок-схемой:
ПЦР-исследование состоит из следующих этапов:
I. Экстракция (выделение) РНК из исследуемых образцов.
II. Проведение обратной транскрипции и амплификации.
III. Интерпретация результатов.
12.6.2.1. Экстракция РНК из исследуемых образцов (проводится в ЗОНЕ-1 - помещении для обработки исследуемого материала)
Для экстракции ДНК используются комплекты реагентов:
- "РИБО-преп". Объем образцов концентратов (элюатов) воды для выделения РНК/ДНК - 0,1 мл;
- "МАГНО-сорб" вариант 100 - 1000. Объем образцов концентратов (элюатов) воды для выделения РНК - 1,0 мл;
- "МАГНО-сорб" вариант 100 - 200. Объем образцов концентратов (элюатов) воды для выделения РНК - 0,2 мл. Выделение РНК из образцов при использовании комплекта реагентов "РИБО-преп".
Порядок работы
1. Раствор для лизиса (если он хранился при температуре от 2 до 8 °C) прогреть при температуре 65 °C до полного растворения кристаллов.
2. Отобрать необходимое количество одноразовых пробирок на 1,5 мл с плотно закрывающимися крышками (включая отрицательный и положительный контроли выделения). Внести в каждую пробирку по 10 мкл внутреннего контрольного образца. Добавить в пробирки по 300 мкл раствора для лизиса. Промаркировать пробирки.
3. В пробирки с раствором для лизиса и ВКО внести по 100 мкл пробы, используя наконечники с аэрозольным барьером. В пробирку отрицательного контроля (ОК) выделения внести 100 мкл ОКО. В пробирку положительного контроля (ПК) выделения внести 90 мкл ОКО и 10 мкл положительного контрольного образца.
4. Содержимое пробирок тщательно перемешать на вортексе, процентрифугировать в течение 5 с на микроцентрифуге для удаления капель с внутренней поверхности крышки и прогреть 5 мин при 65 °C в термостате.
5. Добавить в пробирки по 400 мкл раствора для преципитации, перемешать на вортексе.
6. Центрифугирование пробирки на микроцентрифуге в течение 5 мин при 13000 об./мин.
7. Аккуратно отобрать надосадочную жидкость, не задевая осадок, используя вакуумный отсасыватель и отдельный наконечник на 200 мкл для каждой пробы.
8. Добавить в пробирки по 500 мкл раствора для отмывки 3, плотно закрыть крышки, осторожно промыть осадок, переворачивая пробирки 3 - 5 раз. Можно провести процедуру одновременно для всех пробирок, для этого необходимо накрыть пробирки в штативе сверху крышкой или другим штативом, прижать их и переворачивать штатив.
9. Центрифугировать при 13 тыс. об./мин в течение 1 - 2 мин на микроцентрифуге.
10. Осторожно, не захватывая осадок, отобрать надосадочную жидкость, используя вакуумный отсасыватель и отдельный наконечник на 10 мкл для каждой пробы.
11. Добавить в пробирки по 200 мкл раствора для отмывки 4, плотно закрыть крышки и осторожно промыть осадок, переворачивая пробирки 3 - 5 раз.
12. Центрифугировать при 13000 об./мин в течение 1 - 2 мин на микроцентрифуге.
13. Осторожно, не захватывая осадок, отобрать надосадочную жидкость, используя вакуумный отсасыватель и отдельный наконечник на 10 мкл для каждой пробы.
14. Поместить пробирки в термостат при температуре 65 °C на 5 мин для подсушивания осадка (при этом крышки пробирок должны быть открыты).
15. Добавить в пробирки по 50 мкл РНК-буфера. Перемешать на вортексе. Поместить в термостат при температуре 65 °C на 5 мин, периодически встряхивая на вортексе.
16. Центрифугировать при 13000 об./мин в течение 1 мин на микроцентрифуге. Надосадочная жидкость содержит очищенные РНК и ДНК. Указанный материал готов к постановке обратной транскрипции (ОТ) и ПЦР.
Выделение РНК/ДНК из образцов при использовании комплекта реагентов "МАГНО-сорб"
А. Выделение РНК/ДНК из 1000 мкл исследуемого образца
Порядок работы
1. Лизирующий раствор "МАГНО-сорб" и раствор для отмывки 5 прогреть при температуре 60 °C до полного растворения кристаллов.
2. Подготовить необходимое количество одноразовых пробирок на 5 мл и одноразовых крышек (включая отрицательный и положительный контроли выделения) и промаркировать их.
3. При выделении РНК из 24 образцов:
а) во флакон с лизирующим раствором "МАГНО-сорб" (70 мл) внести 0,28 мл ВКО, все содержимое пробирки с компонентом А (0,6 мл) и все содержимое пробирки с магнетизированной силикой (0,9 мл);
б) закрыть крышку флакона и аккуратно перемешать переворачиванием 5 - 7 раз, избегая образования пены;
в) внести в пробирки на 5 мл по 2,6 мл подготовленной смеси лизирующего раствора "МАГНО-сорб", ВКО, компонента А и магнетизированной силики.
4. При выделении PH К менее, чем из 24 образцов:
а) смешать в отдельной стерильной пробирке на 1,5 мл ВКО, компонент А и магнетизированную силику из расчета на одну точку 10 мкл ВКО, 20 мкл компонента А и 30 мкл магнетизированной силики. При расчете необходимо учитывать запас - рассчитывать на одну точку больше, например:
б) внести в пробирки на 5 мл по 60 мкл подготовленной смеси ВКО, компонента А и магнетизированной силики;
в) внести в пробирки на 5 мл по 2,6 мл лизирующего раствора МАГНО-сорб.
5. Добавить в каждую пробирку с лизирующим раствором 1 мл исследуемого образца и перемешать пипетированием, закрыть крышкой.
6. Для каждой панели необходимо поставить положительный контроль (ПК). Для этого в пробирку с лизирующим раствором добавить 0,01 мл ПКО и 0,1 мл ОКО, перемешать пипетированием, закрыть крышкой.
7. Для каждой панели необходимо поставить отрицательный контроль (ОК). Для этого в пробирку с лизирующим раствором добавить 0,1 мл ОКО, перемешать пипетированием, закрыть крышкой.
8. Поместить пробирки в термостат с температурой 60 °C на 10 мин.
9. Перенести пробирки в магнитный штатив на 6 мин.
10. Используя наконечники без фильтра на 1000 мкл, осторожно, по внутренней стенке пробирки, отобрать надосадочную жидкость, используя вакуумный отсасыватель и отдельный наконечник для каждой пробы. Перенести пробирки в обычный штатив.
11. Добавить в пробирки по 700 мкл раствора для отмывки 5, пробирки закрыть крышкой.
12. Отобрать необходимое количество одноразовых пробирок на 1,5 мл (включая отрицательный и положительный контроли выделения) и промаркировать их.
13. Ресуспендировать магнетизированную силику со стенок осторожным вортексированием, а затем пипетированием, и перенести всю жидкость в приготовленные пробирки на 1,5 мл.
14. Переставить пробирки в магнитный штатив и инкубировать 2 мин.
15. Отобрать надосадочную жидкость и перенести пробирки в обычный штатив.
16. Добавить 700 мкл раствора для отмывки 5, ресуспендировать магнетизированную силику и повторить п. п. 14 - 15.
17. Аналогично провести одну отмывку 700 мкл раствора для отмывки 6.
18. Добавить 200 мкл раствора для отмывки 7, перемешать, а затем коротко осадить капли на вортексе.
19. Переставить пробирки в магнитный штатив на 1 мин, затем отобрать надосадочную жидкость.
20. Высушить сорбент, оставив пробирки с открытыми крышками на магнитном штативе в течение 10 мин.
21. Добавить 70 мкл буфера для элюции и перемешать на вортексе.
22. Поместить пробирки в термостат при температуре 60 °C на 5 мин, через 2 мин перемешать на вортексе.
23. Коротко осадить капли на вортексе и переставить пробирки в магнитный штатив. Инкубировать 2 мин. Надосадочная жидкость содержит очищенные РНК и ДНК.
РНК/ДНК-пробы не рекомендуется хранить дольше 30 мин при температуре от 2 до 8 °C.
Б. Выделение ДНК/РНК из 200 мкл исследуемого образца
Порядок работы
1. Лизирующий раствор "МАГНО-сорб" и раствор для отмывки 5 прогреть при температуре 60 °C до полного растворения кристаллов.
2. Подготовить необходимое количество одноразовых пробирок на 1,5 мл (включая отрицательный и положительный контроли выделения) и промаркировать их.
3. Смешать в отдельной стерильной пробирке на 1,5 мл ВКО, компонент А и магнетизированную силику из расчета на одну точку 10 мкл ВКО, 10 мкл компонента А и 20 мкл магнетизированной силики. При расчете необходимо учитывать запас - рассчитывать на одну точку больше, например:
4. Внести в пробирки по 40 мкл подготовленной смеси ВКО STI-248-rec, компонента А и магнетизированной силики.
5. Внести в пробирки 900 мкл лизирующего раствора "МАГНО-сорб".
6. Добавить в каждую пробирку с лизирующим раствором 200 мкл исследуемого образца плазмы и перемешать на вортексе.
7. Для каждой панели необходимо поставить положительный контроль (ПК). Для этого в пробирку с лизирующим раствором добавить 10 мкл ПКО и 90 мкл ОКО, перемешать на вортексе.
8. Для каждой панели необходимо поставить отрицательный контроль (ОК). Для этого в пробирку с лизирующим раствором добавить 100 мкл ОКО, перемещать на вортексе.
9. Поместить пробирки в термостат с температурой 60 °C на 10 мин.
10. Перенести пробирки в магнитный штатив на 2 мин.
11. Используя наконечник без фильтра на 1000 мкл, осторожно, по внутренней стенке пробирки, отобрать надосадочную жидкость, используя вакуумный отсасыватель и отдельный наконечник для каждой пробы. Перенести пробирки в обычный штатив.
12. Добавить в пробирки по 700 мкл раствора для отмывки 5.
13. Смыть магнетизированную силику вортексированием, а затем осадить капли кратким центрифугированием.
14. Поставить пробирки в обычный штатив, открыть крышки и переставить в магнитный штатив. Инкубировать 2 мин.
15. Отобрать надосадочную жидкость и перенести пробирки в обычный штатив.
16. Повторить отмывку раствором для отмывки 5 (п. п. 12 - 15).
17. Аналогично провести одну отмывку 700 мкл раствора для отмывки 6.
18. Добавить 200 мкл раствора для отмывки 7, перемешать, а затем осадить капли на вортексе. Поставить пробирки в обычный штатив и открыть крышки.
19. Переставить пробирки в магнитный штатив на 1 мин, затем отобрать надосадочную жидкость.
20. Высушить сорбент, оставив пробирки с открытыми крышками на магнитном штативе в течение 10 мин.
21. Добавить 70 мкл буфера для элюции и перемешать на вортексе.
22. Поместить пробирки в термостат при температуре 60 °C на 5 мин, через 2 мин перемешать на вортексе.
23. Коротко осадить капли на вортексе и переставить пробирки в магнитный штатив. Инкубировать 2 мин. Надосадочная жидкость содержит очищенные РНК и ДНК.
РНК/ДНК-пробы не рекомендуется хранить дольше 30 мин при температуре от 2 до 8 °C.
II. Проведение обратной транскрипции и амплификации проводится соответствии с инструкцией, прилагаемой к каждой конкретной тест-системе.
III. Амплификация с гибридизационно-флуоресцентной детекцией проводится в соответствии с инструкцией, прилагаемой к каждой конкретной тест-системе.
Интерпретация результатов проводится в соответствии с инструкцией, прилагаемой к каждой конкретной тест-системе.
13. Санитарно-паразитологическое исследование морской воды
Санитарно-паразитологическое исследование морской воды проводят в период начала купального сезона, максимальной антропогенной нагрузки и по эпидемическим показаниям.
Пробы воды после пробоподготовки (фильтрации) и получения концентрированных смывов осадка исследуются санитарно-паразитологическими, серологическими, молекулярно-биологическими методами для выявления возбудителей паразитарных болезней (яиц гельминтов и патогенных кишечных простейших).
Санитарно-паразитологические методы применяются при исследовании на яйца, личинки гельминтов и патогенных кишечных простейших (цист лямблий и ооцист криптоспоридий).
Серологические методы применяются для обнаружения антигена к специфическим антителам патогенных простейших (цисты лямблий и ооцисты криптоспоридий) в комплексе АГ + АТ.
Молекулярно-биологическими методами (ПЦР) определяют специфические нуклеиновые кислоты ДНК или РНК паразитарного агента (цисты лямблий и ооцисты криптоспоридий) или его генетической мутации.
Яйца и личинки гельминтов можно выявить только санитарно-паразитологическими методами.
Для выявления патогенных кишечных простейших (цист лямблий и ооцист криптоспоридий) можно применить любой из нижеперечисленных методов. Наиболее чувствительным является серологический метод иммуномагнитной сепарации с иммунофлуоресцентным мечением, который позволяет выявить цисты лямблий и ооцисты криптоспоридий даже при незначительной их концентрации в воде.
13.1. Методы санитарно-паразитологического исследования проб морской воды и их концентратов
13.1.1. Метод порошковой фильтрации
Метод используется при исследовании морской воды на яйца, личинки гельминтов и патогенных кишечных простейших (цист лямблий и ооцист криптоспоридий).
Оборудование: отборник флотанта фильтрующий "ОФФ-25" в комплекте, центрифуга с качающимся ротором с прозрачными пластиковыми или стеклянными центрифужными стаканчиками объемом 100 - 150 мл.
Расходные материалы: аналитические трековые мембраны (ATM) с диаметром диска 25 мм.
Реактивы и красители: раствор Люголя, красители или флуорохромы, флуоресцентно-меченые антитела, промывочные и фиксирующие растворы, флотирующая жидкость.
Порядок приготовления препарата для микроскопического исследования:
- взбалтывают смыв в бутылке и разливают по центрифужным стаканчикам, доливают дистиллированной воды до верха стаканчика;
- центрифугируют в качающемся роторе со скоростью 1000 - 1500 об./мин, 10 мин;
- удаляют надосадочную жидкость.
Примечание 1.
Целесообразно провести предварительное отстаивание концентрата с целью уменьшения объема осадка. Для этого взбалтывают смыв ПробоКонга и дают ему отстояться 10 мин для оседания крупной фракции. Надосадочную жидкость помещают в центрифужные пробирки. Полученный осадок также можно исследовать методом иммуномагнитной сепарации (п. 13.1.4) или ПЦР (п. 13.1.5):
- к осадку (примерно 20 мл без предварительного отстаивания) приливают флотирующую жидкость, объем которой должен в 5 раз превышать объем осадка (примерно 100 мл);
- осадок тщательно взбалтывают стеклянной палочкой и отмечают на стенке пробирки маркером уровень жидкости;
- наслаивают сверху 5 - 10 мм дистиллированной воды или применяемого физиологического раствора.
Примечание 2.
Наслоение воды или физраствора предотвращает прилипание зерен к стенкам пробирки и возможное последующее загрязнение ими препарата для микроскопирования, а также испарение воды из флотирующей жидкости с выпадением кристалликов соли на объектах, приводящим к их "потоплению".
Не рекомендуется наслаивать водопроводную воду, т.к. ионы кальция и магния, содержащиеся в ней, образуют нерастворимые сульфаты при контакте с флотирующей жидкостью на основе сульфата цинка, что приводит к помутнению флотанта и возможной забивке микропористой мембраны:
- центрифугируют со скоростью 1500 - 2000 об./мин 10 мин, при этом паразитарные агенты всплывают, а частицы порошкового фильтра оседают.
Примечание 3.
Стаканчики в роторе должны быть установлены в предназначенные для них ячейки, недопустимо устанавливать их в ячейки или стаканчики большего диаметра так, чтобы они могли раскачиваться (совершать прецессию) во время центрифугирования, что приводит к перемешиванию границы слоев растворов.
Не рекомендуется останавливать центрифугу тормозом:
- с помощью отборника флотанта фильтрующего ОФФ-25 (по прилагаемой инструкции) отбирают флотант на прозрачную трековую мембрану, промывают ее дистиллированной водой от флотирующей жидкости, обрабатывают красителями или флуоресцирующими антителами.
Примечание 4.
При отсутствии ОФФ-25 флотант можно отсосать пипеткой и перенести в центрифужную пробирку, разбавить не менее чем в 5 раз дистиллированной водой, центрифугировать 5 мин при 1500 об./мин, надосадочную жидкость удалить, из осадка готовить препараты для микроскопирования или исследовать его методом иммуномагнитной сепарации или ПЦР:
- на чистое предметное стекло наносят палочкой для иммерсионных жидкостей каплю глицерина и размазывают боковой поверхностью этой палочки на участке под фильтр;
- извлекают из ОФФ-25 мембрану пинцетом (согласно инструкции), касаются ее нижней стороной фильтровальной бумаги для удаления возможных капель воды и укладывают, постепенно опуская ее, начиная с края, на подготовленное предметное стекло, следя, чтобы не образовывались под мембраной пузыри; для лучшего пропитывания мембраны глицерином следует подождать несколько минут.
13.1.2. Флотационный метод исследования
Применение метода
1. Для исследования концентрированного осадка (смыва) воды после фильтрации через мембранные или порошковые фильтры.
2. Для выявления в воде яиц гельминтов и цист лямблий.
Реактивы
Один из флотационных растворов:
- 33%-й сульфат цинка семиводный , хч, уд. плотностью 1,26 - 1,30;
- 30%-й водный раствор сахарозы уд. плотностью 1,26 - 1,30;
- раствор тиосульфата натрия (гипосульфита натрия) , хч, уд. плотностью 1,3 - 1,4.
Вода дистиллированная; 40%-й раствор формалина; йод кристаллический, хч, калий йодистый (KI), хч; метиленовый синий сухой, хч; 1%-й раствор Люголя.
Приготовление флотационных растворов
- 33%-й раствор сульфата цинка семиводный , хч, уд. плотностью 1,26 - 1,30: 331 г вещества растворить в 0,5 л горячей дистиллированной воды, довести до 1 л и нагреть до кипения;
- 30%-й водный раствор сахарозы уд. плотностью 1,26 - 1,30: 300 г сахарозы, чда, растворить в 0,5 л горячей дистиллированной воды, довести до 1 л и нагреть до кипения;
- раствор тиосульфата натрия (гипосульфита натрия) , хч, уд. плотностью 1,3 - 1,4: 1300 г вещества на 1 л горячей дистиллированной воды.
Любую из вышеперечисленных солей растворяют горячей водой в эмалированной посуде порциями при постоянном перемешивании до полного растворения, подогревая на медленном огне или электроплите. Контролируют удельную плотность флотационного раствора ареометром, когда температура раствора снизится до 18 - 20 °C.
Приготовление рабочих растворов химреактивов
- 1%-й раствор Люголя: 5 мл 5%-го маточного раствора Люголя + 20 мл физиологического раствора (срок хранения в темном стекле 14 дней);
- 5%-й маточный раствор Люголя: 10 г йодида калия растворить в 30 мл дистиллированной воды + 5 г кристаллического йода, размешать до полного растворения и долить до 100 мл дистиллированной водой (хранить в темном стекле);
- 2%-й водный раствор формалина: 1 часть 40%-го формальдегида растворяют в 20 частях дистиллированной воды.
1. Пробу воды фильтруют на одном из фильтровальных приборов (в соответствии с паспортом и инструкцией) через мембранные фильтры типа МФАС-СПА или прозрачные аналитические трековые мембраны (ATM*), или порошковый фильтр гидробиологический (ПГФ).
2. Осадок с мембранных фильтров смывают кисточкой в 10 мл дистиллированной воды (на один фильтр) в химический стакан, чашку Петри или лоток. При использовании порошкового фильтра гидробиологического его необходимо отстаивать в течение 10 мин и исследовать надосадочную жидкость.
3. Весь полученный смыв с мембранных фильтров или после концентрации химреактивами, или надосадочную жидкость порошкового фильтра центрифугируют в пробирках емкостью 10 мл и более в течение 5 мин при 1500 об./мин.
4. Надосадочную жидкость осторожно удаляют.
5. В пробирку с осадком добавляют 6 - 8 мл дистиллированной воды или 2%-го водного раствора формалина (если не проводится исследование на жизнеспособность) и тщательно перемешивают стеклянной палочкой.
6. Суспензию вновь центрифугируют в течение 5 мин при 1500 об./мин
7. Надосадочную жидкость осторожно удаляют или отсасывают пипеткой.
8. К осадку добавляют 3 мл одного из флотационных растворов с удельным весом 1,3 - 1,4, но не менее 1,26 и тщательно перемешивают стеклянной палочкой.
9. Центрифугируют в течение 5 мин при 2000 об./мин или 10 мин при 1500 об./мин.
10. Далее исследуют надосадочную жидкость, которую осторожно отсасывают пипеткой и переносят в центрифужную пробирку, разбавляя в 4 раза дистиллированной водой, и центрифугируют в течение 5 мин при 1500 об./мин
11. Надосадочную жидкость осторожно удаляют или отсасывают пипеткой.
12. Из осадка готовят препараты в виде мазка или капли (в зависимости от прозрачности осадка) на предметных стеклах, покрывают покровным стеклом и микроскопируют при увеличении микроскопа: объектив 10' - 40', окуляр 10'. Для исследования на цисты лямблий микропрепараты до нанесения покровного стекла окрашивают 1%-м раствором Люголя.
13.1.3. Метод последовательной фильтрации через систему прозрачных аналитических трековых мембран (ATM)
13.1.3.1. Исследование на яйца, личинки гельминтов и цисты лямблий
Химреактивы: дистиллированная вода, 50%-й раствор глицерина, 1%-й раствор Люголя.
Ход исследования
1. Предварительно на заборное устройство прибора для фильтрования ПВФ-142 крепят предфильтр в виде капроновой сетки с размерами ячейки 67 - 70 мкм (поставляется в комплекте с ATM).
2. Аналитическую трековую мембрану (ATM) с диаметром пор 5,0 мкм помещают на фритту фильтродержателя прибора для фильтрования и сверху укладывают фильтр с размером пор 25,0 мкм, уплотняют кольцом из эластичной резины. Для плотного (без складок) прилегания ATM к фритте рекомендуется смочить мембрану дистиллированной водой и плотно уложить на фритту фильтродержателя.
3. После фильтрации обе мембраны последовательно по одной осторожно снимают пинцетом с фритты фильтродержателя на заранее подготовленные тонкие пластмассовые квадратные пластинки размером 150 х 150 мм (поставляются в комплекте с ATM) и переносят в лоток.
4. Профильтрованную в отдельную емкость пробу воды повторно фильтруют с использованием ATM с диаметром пор 2,5 мкм, которую укладывают на фритту фильтродержателя между двумя уплотнительными кольцами из полиэтилена или обрезиненного лавсана (поставляются в комплекте с ATM).
5. После фильтрации ATM осторожно снимают пинцетом с фритты на пластиковый диск, который должен быть помещен в лоток. Со всех трех фильтров аккуратно и тщательно, придерживая диск с мембраной пинцетом за край, производят смыв осадка с обеих поверхностей мембран и с пластиковых дисков, на которых эти фильтры лежали. Смыв проводят плоской, средней жесткости кисточкой в лоток с дистиллированной водой. При этом периодически споласкивают мембраны и диски дистиллированной водой из химического стакана. Общий объем дистиллированной воды при смыве осадка со всех 3-х фильтров не должен превышать 300 - 500 мл.
6. Полученный концентрированный смыв сливают из лотка в воронки прибора для фильтрации типа ПВФ-35 или ПВФ-47 и фильтруют через аналитические мембраны ATM с диаметром пор 3,0 - 2,5 мкм. В зависимости от первоначальной загрязненности воды фильтруют последовательно, меняя мембраны.
7. После фильтрации мембраны ATM осторожно снимают пинцетом с фильтродержателя (фритты) фильтровального прибора и переносят на предметное стекло, предварительно обработав его 50%-м раствором глицерина (для этого на поверхность предметного стекла наносят 1 - 2 капли 50%-го раствора глицерина и стеклянной палочкой распределяют по всей поверхности тонким слоем), затем сверху мембраны наносят каплю 1%-го раствора Люголя и накрывают покровными стеклами (24 х 24 мм) всю поверхность мембраны.
8. Микроскопируют препарат при увеличениях: окуляр 7х или 10х; объектив 10х; для идентификации яиц гельминтов и исследования на цисты лямблий - объектив 40х.
13.1.3.2. Исследование на ооцисты криптоспоридий
Химреактивы: спирт 96%-й, дистиллированная вода, смесь Никифорова (равные пропорции этилового эфира и спирта 96%-го); краска по Циль-Нильсену промышленного изготовления или реактивы для ее приготовления (фенол кристаллический, фуксин основной, 5%-й раствор серной кислоты; 0,2%-й водный раствор метиленового синего или 5%-й раствор малахитовой зелени на 10%-м этиловом спирте); иммерсионное масло.
Приготовление раствора краски по Циль-Нильсену: фуксин основной 2 г растворить в 12 мл спирта 96%-го; фенола 5 г растворить в 50 мл дистиллированной воды; слить вместе растворы фуксина и фенола, долить дистиллированной воды до 100 мл и тщательно перемешать.
1. После фильтрации пробы воды через прозрачную аналитическую трековую мембрану ATM диаметром пор 2,5 - 3,0 мкм на фильтровальном приборе или получения концентрированного смыва (п. 10.1.3) мембрану тщательно высушивают в лотке на воздухе.
2. Фиксируют в смеси Никифорова 5 мин
3. После фиксации мембрану вновь тщательно высушивают в лотке на воздухе.
4. Затем окрашивают фильтр ATM в кювете (лотке, чашке Петри) карболовым фуксином (краска по Циль-Нильсену) в течение 20 мин.
5. После окраски фильтры промывают под проточной водой, предварительно закрепив ATM за край химического стакана, с таким расчетом, чтобы струя воды не попадала на поверхность мембраны, а закрепленный фильтр свободно плавал в воде. Фильтр считается промытым, когда из стакана польется прозрачная вода.
6. Обесцвечивают (дифференцируют) 5%-м раствором серной кислоты в течение 10 с и снова промывают (согласно п. 5).
7. Дополнительно окрашивают 0,2%-м водным раствором метиленового синего (входит в состав краски по Циль-Нильсену, промышленного приготовления) или 5%-м раствором малахитовой зелени (приготовленном на 10%-м этиловом спирте) в течение 3 - 5 мин. Промывают под струей проточной воды (согласно п. 5).
8. Пинцетом фильтр из воды переносят в кювету (лоток, чашку Петри) и тщательно высушивают на воздухе.
9. Сухой окрашенный фильтр (ATM) помещают на предметное стекло, предварительно смазанное тонким слоем иммерсионного масла (для лучшей адгезии), накрывают покровным стеклом и микроскопируют под иммерсией при увеличении микроскопа: окуляр 10х, объектив 90х или 100х.
Результат окрашивания: ооцисты криптоспоридий окрашиваются в разные оттенки ярко-красного (малинового, вишневого) цвета и имеют вид округлых образований диаметром 5 - 6 мкм с отчетливо видимой оболочкой и структурированным содержанием (можно наблюдать наличие 4 веретенообразных темно-окрашенных спорозоитов) на синем (сиреневом) или зеленом основном фоне.
13.1.4. Исследование воды на цисты лямблий и ооцисты криптоспоридий методом иммуномагнитного разделения и мечения флуоресцирующими антителами (IMS)
Метод представлен двухэтапной реакцией, при которой обнаружение искомого антигена в комплексе антиген-антитело (АГ - АТ) происходит с помощью иммуномагнитной суспензии (для выделения: ооцист криптоспоридий - Cryptosporidium Beads, цист лямблий - Giardia Beads).
Реагенты и химреактивы диагностического набора AquaGlo G/C
Иммунореагент (импортного производства) AquaGlo G/C концентрированный или в рабочем разведении;
фосфатный буфер в таблетках (PBS) или концентрированный солевой моющий буфер 20XWash Buffer;
защитная среда No-FadeTM, М101 или Elvanol No-FadeTM, М102;
контрастирующий реагент, С101 (Contersain);
контроль положительный (взвесь с цистами лямблий и ооцистами криптоспоридий) Positiv Control: G. lamblia, C. parvum.
Реагенты и химреактивы диагностического набора Aureon CG Kit:
иммуномагнитная суспензия Cryptosporidium Beads, специфичная к ооцистам криптоспоридий;
иммуномагнитная суспензия Giardia Beads, специфичная к цистам лямблий;
буфер для иммуномагнитной сепарации IMS BufferTM;
моющий буфер IT-Wash BufferTM;
концентрированный раствор 2-меркаптоэтанола 14,3 М (2-меркаптоэтанола, готовый раствор 20 мМ готовить свежим непосредственно перед проведением анализа, разбавляя концентрированный 14,3 М раствор в отношении 1:700).
Примечание: возможно применение диагностических наборов, в состав которых могут входить, например, другие контрастирующие вещества - метящий раствор 4',6-диамидино-2-фенилиндола (DAPI). Все изменения в проведении реакции регулируются инструкцией к применению диагностического теста.
Материалы и оборудование
Слайды SuperStick: S100-1 (одно окно), S100-2 (два окна), S100-3 (три окна);
покровные стекла;
бумажные салфетки;
стеклянные палочки;
ячейка влажности;
пастеровские пипетки стеклянные или разовые полистироловые;
инкубатор или водяная баня (37 и 50 °C);
наклонный штатив для слайдов;
фен или специальное устройство для подсушки слайдов;
магнитный штатив MagnetOn 4TTM;
магнитная ручка SepPen;
наконечники для магнитной ручки;
автоматические пипетки на 100 - 1000 мкл;
наконечники для автоматических пипеток;
градуированная пипетка на 5 мл;
лабораторный вортекс;
лабораторный ротатор;
лабораторный таймер;
пробирки для иммуномагнитной сепарации (ИМС-пробирки с одной плоской стороной);
микроцентрифужные пробирки на 1,5 - 2,0 мл типа "Epindorf";
штатив для ИМС-пробирок;
штатив для микроцентрифужных пробирок;
люминесцентный микроскоп с набором необходимых фильтров и принадлежностей в рекомендованной комплектации;
канадский бальзам или бесцветный маникюрный лак.
Ход исследования
Этап I. Выделение ооцист криптоспоридий и цист лямблий из воды с помощью метода иммуномагнитной сепарации (IMS).
1) Подготовка проб к исследованию
После фильтрации воды осадок с фильтров смывают в 10 мл дистиллированной воды, переливают в центрифужную пробирку и центрифугируют 10 мин при 1500 об./мин. Удаляют надосадочную жидкость и осадок исследуют. При этом осадок должен быть не более 1 мл. Если получился больший объем осадка, его необходимо ресуспендировать дистиллированной водой и далее обрабатывать как 2 и более порции.
Примечание: все иммунореагенты и буферные растворы диагностического набора перед использованием выдержите в течение одного часа при комнатной температуре.
2) Процедуры связывания и промывки цист лямблий и ооцист криптоспоридий
1. Внести 5 мл IMS-буфера из диагностического набора в пробирку для иммуномагнитной сепарации (ИМС-пробирку с плоской боковой поверхностью), закрыть пробирку крышкой и вращать пробирку, смачивая буфером ее внутренние стенки.
2. Перенести IMS-буфер в пробирку с осадком исследуемой пробы и ресуспендировать осадок.
3. Ресуспендированный осадок перенести обратно в ИМС-пробирку. Промыть пробирку, в которой был исследуемый осадок, 2,5 мл дистиллированной воды и перенести в ИМС-пробирку. Процедуру промывки повторить. После выполнения процедуры объем ресуспендированной пробы должен <...>.
4. Перемешать весь объем иммуномагнитной суспензии Cryptosporidium Beads и Giardia Beads диагностического набора на вортексе в течение 10 - 15 с, отобрать микродозатором из каждого флакона по 100 мкл (0,1 мл) суспензии и перенести ее в пробирку для ИМС, в которой уже находится порция пробы.
5. Закрепить ИМС-пробирку, закрытую крышкой, в штативе лабораторного ротатора и перемешать в течение одного часа при скорости 15 - 25 об./мин маятникообразными движениями (не переворачивая пробирку!).
6. Извлечь ИМС-пробирку из ротатора и поместить ее в магнитный штатив MagnetOn 4TTM, при этом плоская сторона пробирки должна быть обращена к магниту штатива.
7. Осторожно наклоняют пробирку вместе с магнитным штативом по направлению от дна к крышке пробирки и наоборот в течение 2 мин (не переворачивать пробирку с магнитным штативом!).
По мере движения на плоской стороне ИМС-пробирки будет образовываться осадок (налет).
8. Не вынимая ИМС-пробирку из магнитного штатива, открыть крышку и осторожно слить надосадочную жидкость из пробирки, при этом не повредив осадок (налет) на плоской стороне пробирки.
9. В пробирку добавить 1 мл моющего буфера IT-Wash Buffer (WB). Удалить пробирку из штатива и взболтать с таким расчетом, чтобы смыть в этот раствор осадок с плоской стороны пробирки.
10. Поместить в ИМС-пробирку магнитную ручку SepPen и собрать магнитную суспензию на наконечнике ручки, осторожно перемешивая содержимое пробирки в течение примерно 1 мин.
11. Удалить из ИМС-пробирки магнитную ручку SepPen, переворачивая ее, нажать на кнопку ручки, чтобы убрать магнитный сердечник из наконечника.
12. В микроцентрифужную пробирку Epindorf (объемом на 1,5 - 2 мл) поместить пипеточным дозатором 1 мл моющего буфера WB и перенести ранее собранную суспензию, вращая наконечник ручки SepPen в растворе буфера (при этом магнит убран из наконечника нажатием кнопки ручки).
Примечание: не сбрасывать наконечник! Этот же наконечник понадобится в п. 17 процедуры ИМС.
13. В ИМС-пробирку добавить 1 мл буфера WB (общий объем 2,0 мл), закрыть крышку, и осторожно переворачивая пробирку, промыть буфером внутренние стенки пробирки и крышки.
14. ИМС-пробирку поместить в магнитный штатив MagnetOn 4TTM; и осторожно наклонять (вправо-влево) в течение 30 - 60 с, чтобы собрать остатки магнитной суспензии и промыть внутреннюю поверхность ИМС-пробирки.
15. Не вынимая ИМС-пробирку из магнитного штатива, слить моющий буфер WB из пробирки и добавить в пробирку новую порцию моющего буфера WB объемом 1 мл. Закрыть крышку, и осторожно вращая пробирку, промыть буфером внутренние стенки пробирки и крышки (ИМС-пробирка остается в магнитном штативе).
16. ИМС-пробирку удалить из штатива и взбалтыванием смыть суспензию с плоской стороны пробирки.
17. Открыть крышку ИМС-пробирки и поместить в нее магнитную ручку SepPen (для сбора остатков иммуномагнитной суспензии), с тем же наконечником, который использовался, и перенести в микроцентрифужную пробирку с моющим буфером WB и первой порцией осадка (п. 2.12), при этом пробирка должна быть установлена в магнитный штатив.
18. Микроцентрифужную пробирку периодически наклоняют вместе с магнитным штативом (вправо-влево) 1 мин. Затем оставить штатив вместе с пробиркой в покое на 15 с в вертикальном положении.
19. Не вынимая микроцентрифужную пробирку из магнитного штатива открыть крышку и слить моющий буфер WB из пробирки, добавить в пробирку 1 мл новой порции моющего буфера WB, при этом не повредив осадок (налет) на стенке пробирки со стороны магнита.
3) Процедуры диссоциации
1. Приготовить рабочий раствор 2-меркаптоэтанола в концентрации 1:700: к 0,1 мл 2-меркаптоэтанола добавить 7 мл дистиллированной воды.
2. Не вынимая микроцентрифужную пробирку из магнитного штатива, открыть крышку и слить моющий буфер из пробирки, добавить в пробирку 100 мкл рабочего раствора 2-меркаптоэтанола. Перемешать суспензию на вортексе в течение 30 с.
3. Поместить микроцентрифужную пробирку в термостат или водяную баню при 50 °C на 5 мин.
4. Перемешать суспензию в микроцентрифужной пробирке на вортексе в течение 30 с, установить пробирку в магнитный штатив на 10 - 15 с, не вынимая из магнитного штатива, отобрать супернатант и перенести его на слайд SuperStickTM для последующего иммунофлуоресцентного мечения. (При этом осадок (налет) остается на стенке пробирки, не исследуется.)
5. Во второе окно слайда S100-2 вносят каплю положительного контроля (взвесь с цистами лямблий и ооцистами криптоспоридий) Positiv Control: G. lamblia, C. parvum.
6. Перед началом процедуры мечения концентраты проб и контроль, нанесенные на слайды, необходимо подсушить в слабом токе теплого (не горячего!) воздуха или с помощью специального устройства для подсушки слайдов. Не допускается перегрев слайдов!
Этап II. Детекция (идентификация) ооцист криптоспоридий и цист лямблий методом иммунофлуоресцентного мечения
1) Подготовка к мечению
1. По одной капле (около 45 мкл) иммунореагента AquaGloTM G/C <*> вносят в каждую лунку слайда с подсушенной пробой и контролем. При необходимости с помощью аппликатора или стеклянной палочки распределяют реагент по лунке. Не касаться поверхности лунок!
<*> Концентрированный иммунореагент AquaGloTM G/C разбавляют буфером DB в 20 раз. Например, если для работы нужен 1 мл готового рабочего раствора иммунореагента, смешивают 50 мкл концентрированного 20х иммунореагента с 950 мкл разбавляющего буфера DB. Если нужно получить 20 мл готового иммунореагента, смешивают 1 мл концентрированного 20х иммунореагента с 19 мл разбавляющего буфера DB. Хранится рабочее разведение иммунореагента при 4 °C.
Иммунореагент AquaGloTM G/С рабочий раствор, поэтому не требует дополнительного разведения.
2. Слайды помещают в ячейку влажности в темноте и инкубируют не менее 30 мин при 37 °C или не менее 40 мин при комнатной температуре. (Допускается более длительное время инкубации.)
3. Нанести по одной капле фосфатного буфера (PBS) или солевого раствора в каждую лунку и выдерживать не менее 2 мин.
4. Наклонить каждый слайд на чистую фильтровальную бумагу и осторожно аспирировать излишек жидкости из нижней части лунки с помощью фильтровальной бумаги или пастеровской пипетки. Избегать перемешивания пробы. Не касаться пипеткой поверхности лунок!
2) Процедура мечения
1. Чтобы снизить неспецифическую флуоресценцию и выделить фон для лучшего наблюдения яблочно-зеленой флуоресценции цист и ооцист, нанести по одной капле контрастирующего красителя в каждую лунку и выдержать 1 мин при комнатной температуре.
2. Нанести одну кашпо фосфатного буфера (PBS) или солевого моющего буфера 20xWash Buffer (предварительно развести концентрированный солевой моющий буфер: 19 частей дистиллированной воды и 1 часть буфера) в каждую лунку и выдержать 1 мин при комнатной температуре.
3. Наклонить каждый слайд на чистую фильтровальную бумагу и осторожно аспирировать излишек жидкости из нижней части лунки с помощью фильтровальной бумаги или пастеровской пипетки. Избегать перемешивания пробы. Не касаться пипеткой поверхности лунок!
4. Разложить слайды на наклонном штативе и подсушить в слабом токе теплого воздуха.
5. Нанести 1 каплю монтирующей среды No-FadeTM в каждую лунку. Покрыть покровным стеклом, края заклеить канадским бальзамом или бесцветным лаком и микроскопировать под масляной иммерсией на люминесцентном микроскопе.
Примечание. Меченые препараты должны храниться в темноте при температуре (5 +/- 3) °C. Не допускать замораживания! Меченые препараты могут храниться в течение 72 ч от выполнения мечения до завершения исследования и подтверждения проб.
3) Люминесцентная микроскопия
Исследуют препараты не менее чем при 200-кратном общем увеличении на наличие яблочно-зеленой флюоресценции, микроскопируя все поля зрения лунки слайда. Перед началом микроскопии препаратов исследуемых проб следует предварительно просмотреть препарат положительного контроля, прилагаемого в диагностическом наборе в виде контрольной суспензии с подсчитанными цистами лямблий и ооцистами криптоспоридий.
Результат:
- цисты лямблий - сверкающие и флюоресцирующие яблочно-зеленым светом объекты, от округлых до овальных (8 - 14 мкм в длину на 7 - 10 мкм в ширину), с ярко подсвеченными краями;
- ооцисты криптоспоридий - сверкающие и флюоресцирующие яблочно-зеленым светом объекты от овальных до сферических (от 3 до 5 мкм в диаметре), с ярко подсвеченными краями.
Применение метода:
1) для выявления специфических антигенов простейших: цист лямблий и ооцист криптоспоридий в воде;
2) реакцию можно проводить для выявления одного из антигенов, либо одновременно обоих.
13.1.5. Обнаружение цистных форм
криптоспоридий и лямблий в морской воде
методом полимеразной цепной реакции (ПЦР)
Метод ПЦР определяет специфические нуклеиновые кислоты ДНК или РНК, что позволяет провести прямое обнаружение инфекционного агента или генетической мутации.
Аналитическая чувствительность тест-систем для выявления ДНК (РНК) микроорганизмов методом ПЦР составляет 1 х 102 - 1 х 104 м.к. (гемэквивалент/мл), специфичность - более 85%.
Необходимое оборудование и инструментарий
Амплификатор типа "Терцик МС-2" со скоростью нагрева/охлаждения активного элемента не менее 1,5 °C/с.
Прибор для горизонтального электрофореза типа "Sub CellGT System" с комплектом кювет и гребенок.
Источник напряжения типа "Power Pac 300" с диапазоном регулируемого напряжения 50 - 300 В.
Видеосистема типа "Gel Doc 2000TM", предназначенная для ввода в компьютер, анализа и документирования изображений люминесцирующих следов ДНК в гелях, окрашенных бромистым этидием: диапазон излучения 300 - 400 нм, чувствительность - не менее 10 нг ДНК (по бромистому этидию).
Холодильник бытовой или холодильный шкаф с морозильной камерой, обеспечивающей температуру минус 20 °C.
Микроцентрифуга настольная для пробирок типа Эппендорф (частота вращения не менее 13000 об./мин).
Термостат типа "TERMO 24-15" под пробирки типа Эппендорф вместимостью 0,5 и 1,5 мл, диапазон температур от 15 до 120 °C, количество гнезд - не менее 20 каждого типа, точность поддержания температуры - 0,2 °C, разность температур между соседними ячейками - не более 0,5 °C.
Аппарат для встряхивания типа "Вортекс", скорость вращения 250 - 3000 об./мин.
Печь микроволновая (мощностью не менее 400 W).
Весы лабораторные общего назначения 2-го класса точности наибольшим пределом взвешивания 200 г.
Анализатор потенциометрический, погрешность измерений pH = 0,01.
Стерилизатор паровой медицинский.
Дистиллятор, обеспечивающий качество дистиллированной воды по ГОСТ 6709-72.
Гомогенизатор перистальтического типа "Стомайкер".
Облучатель бактерицидный типа ОБН-150.
Дозаторы с переменным объемом дозирования:
0,2 - 2,0 мкл с шагом 0,01 мкл, с точностью = 1,2%;
0,5 - 10,0 мкл с шагом 0,01 мкл, с точностью = 0,8%;
2 - 20 мкл с шагом 0,01 мкл, с точностью = 0,8%;
20 - 200 мкл с шагом 0,1 мкл, с точностью = 0,6%;
100 - 1000 мкл с шагом 1 мкл, с точностью = 3%;
2 - 10 мл с шагом 0,1 мл, с точностью = 0,5%.
Пинцеты медицинские.
Лабораторная посуда и расходные материалы:
Бумага фильтровальная лабораторная.
Посуда химическая стеклянная: воронки, колбы мерные плоскодонные конические (25, 50, 100, 200, 1000 мл), цилиндры мерные (25, 100, 1000 мл).
Пробирки микроцентрифужные типа Эппендорф (0,2; 0,5; 1,5 мл).
Наконечники полистироловые с фильтром для дозаторов с переменным объемом дозирования до: 10; 20; 200; 1000 мм3; 10 см3.
Химреактивы (хч):
Кислота соляная, кислота борная, гидроокись натрия, хлористый натрий, этилендиаминтетрауксусная кислота (ЭДТА), гексадецилтриметиламмоний бромид (СТАВ). Корпорация "Сигма Алдрич" (Sigma).
Трис (оксиметил) аминометан, Альбумин бычий сывороточный сухой (БСА). Корпорация "Сигма Алдрич" (Sigma).
Этидий бромистый, спирт этиловый, спирт изопропиловый, масло вазелиновое, вода дистиллированная, вода деионизированная, хлороформ, 2-меркаптоэтанол.
Термостабильный фермент Taq-полимераза, оптимум работы в области 70 - 72 °C. Корпорация "Сигма Алдрич" (Sigma), кат. N Д 1806.
Буфер для ПЦР с MgC12. Корпорация "Сигма Алдрич" (Sigma).
Агароза для электрофореза (тип П). Корпорация "Сигма Алдрич" (Sigma).
Маркер молекулярной массы ДНК. Корпорация "Сигма Алдрич" (Sigma).
Праймеры.
Допускается использование других реактивов с техническими характеристиками не хуже указанных выше. Препараты импортного производства должны иметь международный сертификат качества ИСО 9000 или EN 29000.
Приготовление растворов и буферов
Приготовление 1 М ТРИС-HCl (pH 7,5). В мерной колбе на 100 мл растворяют 12,11 г Трис (оксиметил) аминометана (молекулярный вес 121) в 80 мл дистиллированной воды, доводят pH концентрированной соляной кислотой до 7,5, затем доводят объем раствора до метки деионизованной водой, перемешивают. Хранят при температуре -20 °C не более года.
Приготовление 5 М NaCl. Растворяют 29,22 г натрия хлористого (молекулярный вес 58,5) в 100 мл дистиллированной воды, перемешивают. Хранят в колбе с притертой пробкой при комнатной температуре до 1 года.
Приготовление 30%-й NaOH. Растворяют 3 г натрия гидроокиси (молекулярный вес 40) в 7 мл дистиллированной воды.
Приготовление 0,5 М ЭДТА (pH 8,0). В мерной колбе на 100 л растворяют 18,62 г этилендиаминтетрауксусной кислоты (молекулярный вес 372,2) в 80 мл дистиллированной воды. Раствором 30%-й натрия гидроокиси доводят pH раствора до 8,0; затем дистиллированной водой - объем раствора до метки, перемешивают. Хранят в колбе с притертой пробкой при комнатной температуре до 1 года.
Приготовленные растворы автоклавируют при 1 ати., 121 °C 15 - 20 мин или фильтруют через мембраны Millipore 0,4 мкм.
Приготовление хлороформа, насыщенного водой. Смешивают 100 мл хлороформа с 20 мл деионизированной воды и оставляют на 24 ч для насыщения. Срок хранения при температуре от 4 до 5 °C не более 6 мес.
Приготовление 70%-го раствора этилового ректификованного спирта. Смешивают 70 мл 96%-го этилового ректификованного спирта с 26 мл деионизированной воды. Срок хранения при температуре от 4 до 5 °C не более 2 мес.
Приготовление раствора БСА (20 мкг/мл). Растворяют 0,002 г сухого альбумина бычьего сывороточного в 1 мл деионизированной воды, 10 мкл полученного раствора смешивают с 990 мкл деионизированной воды. Срок хранения в морозильной камере при температуре минус 20 °C не более 6 месяцев.
Приготовление лизирующего буфера (2%-го "СТАВ"). Растворяют 0,5 г гексадецилтриметиламмония бромида в 10 мл деионизированной воды (при плохом растворении подогреть на водяной бане), добавляют 2,5 мл 1 М Трис-HCl, 7 мл 5 М NaCl, 1 мл 0,5 М ЭДТА, доводят объем раствора деионизированной водой до 25 мл, перемешивают. Срок хранения при температуре от 4 до 5 °C не более 6 месяцев, допустимо образование осадка.
Перед использованием раствор выдерживают при комнатной температуре или подогревают в термостате при температуре 65 °C до полного растворения осадка.
Непосредственно перед использованием в приготовленный лизирующий буфер вносят меркаптоэтанол из расчета 4 мм3 на 1 см3 лизирующего буфера и перемешивают.
Приготовление 1х ТВЕ буфера для электрофореза. В мерной колбе на 1000 мл растворить 10,8 мг Трис (оксиметил) аминометана, 5,5 г борной кислоты и 0,92 г этилендиаминтетрауксусной кислоты, довести дистиллированной водой до метки, перемешать до полного растворения. Срок хранения 1х раствора - 10 дней, обычно готовят 10х и перед употреблением разбавляют до 1х, используют максимум три раза.
Приготовление 1х ТАЕ буфера для электрофореза. В мерную колбу вместимостью 1000 мл вносят 242 г Трис-основания, 57,1 мл ледяной уксусной кислоты, 10,0 мл 0,5 М ЭДТА, доливают деионизованной водой до метки. Полученный концентрированный раствор перед употреблением разводят в 50 раз. Используют для проведения электрофореза не более двух раз.
Приготовление раствора бромистого этидия - (10 г/мл). Растворяют 1 г бромистого этидия в 100 мл дистиллированной воды. Срок хранения в посуде из темного стекла (обязательно при температуре от 4 до 5 °C) не более 12 мес.
Приготовление 2%-го раствора агарозного геля. Допускается хранение готового геля в 1х буфере для электрофореза в холодильнике при температуре от 4 до 5 °C - не более 2-х суток.
13.1.5.1. Проведение анализа ПЦР
13.1.5.1.1. Выделение ДНК с помощью набора Diatom DNA Prep 100/200
Приготовление рабочего раствора солевого буфера. Содержимое флакона с 10-кратным солевым буфером, 10 мл, переносят в мерный цилиндр, доводят бидистиллированной водой до метки 100 мл и 96%-м этиловым спиртом до метки 300 мл и перемешивают. Готовый рабочий раствор солевого буфера в герметично закрытой посуде хранят при температуре 4 °C.
В пробирку объемом 1,5 мл вносят 100 мкл исследуемой пробы, добавляют 400 мкл лизирующего реагента и перемешивают содержимое пробирки переворачиванием (5 - 10 раз). Интенсивное встряхивание смеси не рекомендуется.
Термостатируют пробирку со смесью 5 - 7 мин при температуре 65 °C. Если выделение ДНК проводится из твердого сухого мелко измельченного материала, то следует термостатировать 30 - 40 мин.
После термостатирования центрифугируют пробирку со смесью 10 с при 5000 об./мин в том случае, если смесь содержит нерастворенные клеточные фрагменты или другой нерастворимый материал. Прозрачный супернатант целиком переносят в чистую пробирку.
В пробирку с чистой смесью добавляют 20 мкл суспензии сорбента NucleoSTM (перед использованием NucleoSTM следует интенсивно встряхнуть на вортексе).
Пробирку помещают на ротатор и перемешивают 10 мин (10 - 20 об./мин).
Центрифугируют 10 с при 5000 об./мин.
Осторожно, не задевая осадка, удаляют супернатант.
К осадку добавляют 200 мкл лизирующего реагента, тщательно перемешивают на вортексе до гомогенного состояния.
Примечание: если суспендирование затруднено (при большой нагрузке ДНК из-за сильного слипания сорбента), то его необходимо вначале осторожно суспендировать пипетированием, а затем перемешать на вортексе.
Добавляют в пробирку 1 мл рабочего раствора солевого буфера.
Перемешивают содержимое пробирки переворачиванием 5 - 10 раз.
Центрифугируют 10 - 20 с при 2000 об./мин.
Осторожно, не задевая осадка, удаляют супернатант.
Добавляют в пробирку 1 мл солевого буфера, перемешивают содержимое пробирки на вортексе, центрифугируют 10 с при 5000 об./мин и осторожно удаляют супернатант.
Подсушивают осадок при температуре 65 °C в течение 4 - 5 мин.
В эту же пробирку вносят 50 - 100 мкл Экстра ГенаТМ.
Внимание! Экстра ГенТМ следует отбирать от общего объема при постоянном перемешивании!
1. Суспендируют содержимое пробирки на вортексе 5 - 10 с до получения гомогенной суспензии, затем термостатируют 4 - 5 мин при 65 °C.
2. Еще раз суспендируют содержимое пробирки на вортексе перед центрифугированием.
3. Центрифугируют 1 мин при 10000 об./мин.
4. Переносят супернатант с ДНК в чистую пробирку. ДНК хранят при температуре -20 °C.
13.1.5.1.2. Амплификация
При проведении ПЦР обязательно готовят следующие пробы:
ДНК-матрица положительного контроля с праймерами к соответствующим возбудителям;
ДНК-матрица отрицательного контроля с праймерами к соответствующим возбудителям;
ДНК-матрица отрицательного контроля с теми же праймерами;
исследуемые образцы ДНК криптоспоридий и лямблий с праймерами.
Праймеры для идентификации:
криптоспоридий:
1 - CCG AGT TTG ATC CAA AAA GTTACG AA;
2 - CGT TAA CGG AAT TAA CCA GAC;
лямблий:
1 - AGG GCT CCG GCA TAA CTT TCC;
2 - GTA TCT GTG ACC CGT CCG AG.
Реакционная смесь для проведения полимеразной цепной реакции, рассчитанная на 10 проб, представлена в табл. 1.
Таблица 1
В пробирку типа Эппендорф вносят на холоде следующие реактивы:
Примечание: реакционную смесь готовят на необходимое количество проб, но не менее 5.
Подготовка к проведению амплификации
Реакционную смесь разливают в пробирки для проведения ПЦР по 18 мкл в каждую.
В каждую пробирку с 18 мкл добавляют 2 мкл раствора ДНК.
Смесь перемешивают, центрифугируют (30 с при 3000 об./мин).
При использовании амплификатора с крышкой без подогрева в каждую пробирку добавляют каплю минерального масла.
Условия амплификации представлены в табл. 2.
Таблица 2
После проведения амплификации пробы готовы для проведения электрофореза в агарозном геле.
13.1.5.1.3. Проведение электрофореза в агарозном геле
Приготовление агарозного геля
Для приготовления 2%-й агарозы необходимо к 1 г агарозы добавить 50 мл буфера ТВЕ и тщательно перемешать.
Полученный раствор помещают в микроволновую печь (на 2 - 5 мин, в зависимости от мощности печи - следить за интенсивностью кипения суспензии!) или кипятят на водяной бане 15 мин до полного растворения агарозы.
Расплавленную агарозу охлаждают до 56 °C и добавляют 5 мкл бромистого этидия (концентрация 10 мг/мл), тщательно перемешивают.
Расплавленную агарозу с бромистым этидием разливают в подготовленную форму. Толщина геля 0,5 - 0,7 см.
Через 30 - 40 мин удаляют гребенку. Готовый гель можно использовать сразу, можно хранить в 1х буфере в холодильнике при 4 °C.
13.1.5.1.4. Проведение электрофореза
Смешивают в отдельной пробирке 2 мкл буфера для нанесения и 10 мкл реакционной смеси. Вносят смесь в лунки геля. (Можно использовать соотношение буфер - реакционная смесь - 2:8.) В одну из лунок (чаще в крайнюю) вносят маркер молекулярной массы (100 - 100 Вр). Помещают заполненный гель в камеру для электрофореза, заполненную буфером 1 х ТБЕ. Толщина слоя буфера над поверхностью геля примерно 2 - 3 мм.
В режиме постоянного напряжения 100 V электрофорез длится примерно 70 - 90 мин.
Гель (без формы) помещают на фильтр трансиллюминатора и просматривают в проходящем ультрафиолетовом свете.
При оценке результата ПЦР ожидаемый размер продукта (относительно маркера):
- для C. parvum - 400 - 451 в.р.,
- для Giardia lamblia - 161 в.р.
Документируют результат электрофореза - либо на фотопленку "Микрат Изопан" (изопанхроматическая фотопленка чувствительностью 3 ед. ГОСТ, фотографическая широта 10, разрешение - 300 линий/мм), либо при помощи гельдокументирующей системы. Фотокопия геля должна быть приложена к отчету по идентификации (при цифровой съемке распечатывается на принтере с разрешением не менее 300 dpi).
13.2. Идентификация выявленных возбудителей кишечных паразитарных болезней
При микроскопировании подсчитывают число паразитарных патогенов во всем объеме осадка, что соответствует их числу во всей исследованной пробе. Одновременно определяют систематическую принадлежность обнаруживаемых паразитических организмов; идентификация их проводится по следующим признакам.
Цисты лямблий - овальная форма, размеры 10 - 14 мк в длину и 6 - 10 мк в ширину; незрелые цисты содержат 2 ядра, зрелые - 4; ядра находятся у переднего полюса цисты. Оболочка цисты отчетливо выражена и большей частью отстает от протоплазмы, что является одним из характерных отличий цист лямблий от цист других простейших. Внутри цисты вдоль по средней линии проходят две опорные нити - аксостили; в косом или поперечном направлении лежат характерные парабазальные тела (2 - в незрелых и 4 - в зрелых цистах), нередко заметен сложно свернутый жгутиковый аппарат. Плотность - 1,06 - 1,09.
Ооцисты криптоспоридий - округлая форма, размеры 4 - 6 мк. Оболочка отчетливо выражена. Внутри ооцисты 4 веретенообразных или круглых спорозоита.
Цисты амебы дизентерийной - округлая, редко овальная форма, размеры от 10 до 16 мк; молодые цисты содержат 1 - 2 ядра с центрально расположенной звездчатой кариосомой, зрелые цисты содержат 4 ядра, в зрелых четырехъядерных и незрелых двухъядерных цистах ядра расположены в различных плоскостях; оболочка цист двухконтурная в виде светлого прозрачного ободка. Одноядерные цисты почти всегда содержат в большом количестве гликоген, который в виде крупной вакуоли с нерезкими очертаниями занимает обычно больше половины цисты и раствором Люголя окрашивается в темно-коричневый цвет. Плотность - 1,08 - 1,1.
Следует иметь в виду, что в природной воде могут встречаться цисты Entamoeba dispar, идентичные цистам дизентерийной амебы, но не обладающие патогенными свойствами для человека. В этом случае следует в протоколе исследования отмечать находки без указания видовой принадлежности таких цист. Для идентификации их необходимы дополнительные специальные исследования. Однако и в данной ситуации должна быть настороженность в отношении эпидемического неблагополучия.
Цисты Балантидия кишечного - правильная круглая форма, плотная двухконтурная оболочка, средний размер около 50 мк. Внутри цист имеется крупное бобовидное ядро. Протоплазма однородна, гликоген в ней распылен равномерно. Под оболочкой в некоторых цистах заметно углубление, представляющее собой редуцированный цитостом - органеллу, соответствующую началу пищеварительной трубки многоклеточных. Ресничный покров отсутствует. Плотность - 1,1.
Яйца аскариды человеческой (свиной) - оплодотворенные яйца овальной или шаровидной формы. Наружная оболочка крупнобугристая, толстая, коричневого цвета (иногда встречаются яйца без наружной бугристой оболочки). Размеры яиц 50 - 70 х 40 - 50 мк. Яйцеклетка мелкозернистая и шаровидная, расположена в центре яйца. Плотность - 1,10 - 1,14.
Зрелое яйцо (способное заразить при заглатывании) содержит внутри подвижную личинку, свернувшуюся кольцевидно или перекрестно.
Яйца токсокары (аскариды собачьей) - почти круглые, 65 - 75 мк в диаметре, с нежно ячеистой наружной толстой оболочкой темно-коричневого цвета, внутри яйца видна округлая зародышевая клетка. Зрелые инвазионные яйца содержат внутри подвижную свернувшуюся кольцом или перекрестно личинку. Плотность - 1,22.
Яйца власоглава - симметричные, имеют лимонообразную или бочонковидную форму. Оболочка темно-коричневая, толстая. На обоих полюсах имеются светлоокрашенные пробковидные образования. Размеры яиц 50 - 54 х 23 - 26 мк. В зрелых инвазионных яйцах видна подвижная личинка. Плотность - 1,16 - 1,22.
Яйца острицы - асимметричные. Одна сторона заметно уплощена, другая выпукла. Размеры яиц 50 - 60 х 30 - 32 мк. Оболочка тонкая, гладкая и бесцветная. Яйца могут быть на различных стадиях созревания, до головастикоподобной личинки включительно. Плотность - 1,14.
Яйца цепня карликового - оболочка яйца бесцветная, тонкая, гладкая. Форма овальная. Размер яиц 40 х 50 мк, эмбриофора (зародыш) почти шаровидная (29 х 30 мк), с длинными нитевидными придатками на полюсах. Плотность - 1,12.
Онкосферы тениид (цепня свиного и эхинококков) - овальная форма, размеры 31 - 40 х 20 - 30 мк; имеют тонкую наружную оболочку и толстую радиально-исчерченную внутреннюю оболочку темно-коричневого цвета. Внутри онкосферы находится зародыш-эмбриофора с шестью зародышевыми крючьями. Плотность - 1,24.
Отрицательный результат анализа не гарантирует отсутствия паразитарных патогенов в пробе, поэтому результат исследования должен представляться в протоколе термином "не обнаружены". Обнаружение даже одного экземпляра паразитарных патогенов в 1 пробе питьевой воды указывает на эпидемическое неблагополучие в системе питьевого водоснабжения.
13.3. Визуальная оценка вероятной жизнеспособности цист патогенных простейших кишечника и яиц гельминтов
Оценка вероятной жизнеспособности цист патогенных простейших и яиц гельминтов визуально проводится по следующим критериям, подтверждающим жизнеспособность:
- целость наружной оболочки (отсутствие ее разрывов, вдавлений, выбухания, сморщивания);
- четкая внутренняя структура цисты или яйца - у цист четко видны ядра, отсутствует зернистость. У цист лямблий, кроме того, видны аксостили, жгутиковый аппарат, медиальное тело;
- целость наружной оболочки, отсутствие вакуолей и внутри четко видны спорозоиты у ооцист криптоспоридий;
- для яиц гельминтов (аскарид, токсокар, власоглавов, остриц) характерно наличие дробящейся зародышевой клетки или подвижной личинки. У живых онкосфер тениид и карликового цепня зародышевые крючья расположены попарно, а у мертвых - беспорядочно;
- при окраске препарата 1%-м водным раствором эозина жизнеспособные цисты лямблий не воспринимают окраску в течение первых 5 мин, мертвые окрашиваются сразу же в розовый цвет. Поэтому указанную окраску следует использовать до микроскопии только в том случае, когда на изучение препарата потребуется не более 5 мин. Часто просмотр мазка длится 15 - 30 мин, тогда 1%-й водный эозин можно вводить аккуратно, не сдвигая препарат под покровное стекло пипеткой в точке, где при предварительном просмотре уже обнаружены цисты лямблий;
- жизнеспособность онкосфер тениид и яиц аскарид, содержащих личинку, определяют путем окрашивания препарата смесью, содержащей метиленовый синий. Живые онкосферы тениид, а также личинки, находящиеся внутри яиц аскарид, не окрашиваются в течение первых 15 мин. Мертвые окрашиваются сразу в синий цвет;
- жизнеспособность онкосфер тениид можно также определить по движению зародышей при воздействии на них пищеварительными ферментами. Для этого исследуемый осадок, содержащий онкосферы, помещают на часовое стекло в искусственный дуоденальный сок. Стекло ставят в термостат при 36 - 38 °C на 4 ч. Живые зародыши освобождаются от оболочек, а мертвые - нет;
- оболочки жизнеспособных онкосфер растворяются также в подкисленном пепсине (pH 5 - 6) и в щелочном растворе трипсина (pH 8 - 8,5) через 6 - 8 ч при температуре 38 °C.
ТРЕБОВАНИЯ К СОСТАВУ МОРСКОЙ ВОДЫ ПО САНИТАРНО-МИКРОБИОЛОГИЧЕСКИМ И ПАРАЗИТОЛОГИЧЕСКИМ ПОКАЗАТЕЛЯМ В КОНТРОЛЬНЫХ СТВОРАХ И МЕСТАХ ВОДОПОЛЬЗОВАНИЯ НАСЕЛЕНИЯ (САНПИН 2.1.5.2582-10)
| Показатели | Единицы измерения | Категории морского водопользования | |||
| для хозяйственнопитьевого водопользования | в местах водозабора для плавательных бассейнов и водолечебниц | купание | занятия водным спортом, и в черте населенных мест | ||
| ОКБ <*> | КОЕ/100 мл | < 100 | < 10 | < 500 | < 1000 |
| (в ред. Изменений N 1, утв. Роспотребнадзором 01.03.2021) | |||||
| Е. coli <*> | КОЕ/100 мл | < 10 | < 10 | < 10 | < 100 |
| Колифаги <*> | КОЕ/100 мл | < 10 | < 10 | < 10 | < 10 |
| Энтерококки <*> | КОЕ/100 мл | < 10 | < 10 | < 10 | < 10 |
| Стафилококки <*> | КОЕ/100 мл | - | 0 | 0 | 10 |
| Возбудители инфекционных заболеваний <**>: | |||||
| Сальмонеллы | КОЕ/100 мл | Не должны содержаться в 1 л воды | |||
| Шигеллы | КОЕ/100 мл | Не должны содержаться в 1 л воды | |||
| Вирусы (энтеровирусы, ротавирусы, вирусы гепатита A) <**> | вир/10 л | Не должны содержаться в 10 л воды | |||
| Ps. aeruginosae, Campilobacter jejuni и др. <**> | КОЕ/1 л | Не должны содержаться в 1,0 л воды | |||
| Жизнеспособные яйца гельминтов (аскарид, власоглавов, токсокар, фасциол), цисты патогенных кишечных простейших, ооцисты криптоспоридий <***> | Кл/25 л | Не должны содержаться в 25 л воды | |||
Примечание (цитировано по СанПиН):
<*> - показатели, обязательные для лабораторного, в том числе производственного контроля морской воды;
<**> - дополнительные показатели, определяемые в случае превышения допустимых уровней загрязнения по обязательным микробиологическим показателем (не менее чем в 2-х последовательно отобранных пробах), а также с учетом эпидемической ситуации;
<***> - показатели, определяемые в периоды начала купального сезона, максимальной антропогенной нагрузки, а также с учетом эпидемической ситуации.
ЛАБОРАТОРНЫЙ КОНТРОЛЬ МОРСКОЙ ВОДЫ В ПУНКТАХ ОХРАНЯЕМЫХ РАЙОНОВ АКВАТОРИИ (САНПИН 2.1.5.2582-10)
РАСЧЕТ НАИБОЛЕЕ ВЕРОЯТНОГО ЧИСЛА БАКТЕРИЙ В МОРСКОЙ ВОДЕ
Таблица 3.1
РАСЧЕТ НАИБОЛЕЕ ВЕРОЯТНОГО ЧИСЛА БАКТЕРИЙ В 100 МЛ МОРСКОЙ ВОДЫ ПРИ ИСПОЛЬЗОВАНИИ ДВУХРЯДОВОЙ СХЕМЫ ПОСЕВА
При исследовании других объемов воды, помимо 1; 0,1 и 0,01, соответственно уменьшают или увеличивают НВЧ. Например, при исследовании объемов 10; 1 и 0,1 мл НВЧ уменьшают в 10 раз; при исследовании объемов 0,1; 0,01 и 0,001 мл НВЧ увеличивают в 10 раз; при исследовании объемов 0,01; 0,001 и 0,0001 мл НВЧ увеличивают в 100 раз и т.д.
Если при исследовании воды сделан посев более чем трех десятикратных объемов воды или разбавлений, то учитывают 3 такие последовательные объема, в последнем из которых получен один или несколько отрицательных результатов. Например: 10 мл - обе пробирки положительны, 1 мл - аналогично, 0,1 мл - положительный результат только в одной пробирке, 0,01 мл - отрицательный результат в обеих пробирках. Учитывают объемы 1; 0,1 и 0,01 мл.
Таблица 3.2
РАСЧЕТ НАИБОЛЕЕ ВЕРОЯТНОГО ЧИСЛА БАКТЕРИЙ В 100 МЛ МОРСКОЙ ВОДЫ ПРИ ИСПОЛЬЗОВАНИИ ТРЕХРЯДОВОЙ СХЕМЫ ПОСЕВА
1) <*> - Вероятность ниже допустимого уровня.
2) Схему посева табл. 3.2 используют при необходимости получения более точных результатов.
Таблица 3.3
РАСЧЕТ ИНДЕКСА САЛЬМОНЕЛЛ (НВЧ В 1000 МЛ) ПРИ ИСПОЛЬЗОВАНИИ ДВУХРЯДОВОЙ СХЕМЫ ПОСЕВА ВОДЫ
Примечание: при исследовании других объемов воды, помимо 1; 0,1 и 0,01 мл, соответственно, уменьшают или увеличивают НВЧ сальмонелл.
Приложение 4
(справочное)
РАСЧЕТ НАИБОЛЕЕ ВЕРОЯТНОГО ЧИСЛА (НВЧ) КОЛИФАГОВ В МОРСКОЙ ВОДЕ НАИБОЛЕЕ ВЕРОЯТНОЕ ЧИСЛО (НВЧ) В 100 МЛ
АЛГОРИТМ ЭКСПРЕССНОГО ТЕСТА ОПРЕДЕЛЕНИЯ ОКСИДАЗНОЙ АКТИВНОСТИ С РЕАКТИВОМ ТЕТРАМЕТИЛ-П-ФЕНИЛЕНДИАМИН ГИДРОХЛОРИД
Приложение 6
(справочное)