Бензины. Определение МТБЭ, ЭТБЭ, тамэ, дипэ, метанола, этанола и трет-бутанола методом инфракрасной спектроскопии. ГОСТ 32338-2013

(утв. Приказом Росстандарта от 22.11.2013 N 718-СТ)
Редакция от 22.11.2013 — Документ не действует

МЕЖГОСУДАРСТВЕННЫЙ СТАНДАРТ

БЕНЗИНЫ

ОПРЕДЕЛЕНИЕ МТБЭ, ЭТБЭ, ТАМЭ, ДИПЭ, МЕТАНОЛА, ЭТАНОЛА И ТРЕТ-БУТАНОЛА МЕТОДОМ ИНФРАКРАСНОЙ СПЕКТРОСКОПИИ

Gasolines Determination of MTBE, ETBE, TAME, DIPE, methanol, ethanol and tert-butanol by method of infra-red spectroscopy

ГОСТ 32338-2013

Дата введения
1 января 2015 года

Предисловие

Цели, основные принципы и порядок проведения работ по межгосударственной стандартизации установлены ГОСТ 1.0-92 "Межгосударственная система стандартизации. Основные положения" и ГОСТ 1.2-2009 "Межгосударственная система стандартизации. Стандарты межгосударственные, правила и рекомендации по межгосударственной стандартизации. Правила разработки, принятия, применения, обновления и отмены"

ГОСТ 1.0-92 отменен. Взамен него с 01.07.2016 введен в действие ГОСТ 1.0-2015.

Сведения о стандарте

1 ПОДГОТОВЛЕН Федеральным государственным унитарным предприятием "Всероссийский научно-исследовательский центр стандартизации, информации и сертификации сырья, материалов и веществ" (ФГУП "ВНИИЦСМВ") на основе собственного аутентичного перевода на русский язык стандарта, указанного в пункте 4

2 ВНЕСЕН Федеральным агентством по техническому регулированию и метрологии

3 ПРИНЯТ Межгосударственным советом по стандартизации, метрологии и сертификации (протокол от 14 ноября 2013 г. N 44-2013)

За принятие проголосовали:

Краткое наименование страны по МК (ИСО 3166) 004-97 Код страны по МК (ИСО 3166) 004-97 Сокращенное наименование национального органа по стандартизации
Армения AM Минэкономики Республики Армения
Киргизия KG Кыргызстандарт
Россия RU Росстандарт
Узбекистан UZ Узстандарт

4 Настоящий стандарт идентичен стандарту ASTM D 5845-11 Standard test method for determination of MTBE, ETBE, TAME, DIPE, methanol, ethanol and tert-butanol in gasoline by infrared spectroscopy (Стандартный метод определения МТБЭ, ЭТБЭ, ТАМЭ, ДИПЭ, метанола, этанола и трет-бутанола в бензине инфракрасной спектроскопией).

Настоящий стандарт разработан на основе ГОСТ Р 52256-2004 "Бензины. Определение МТБЭ, ЭТБЭ, ТАМЭ, ДИПЭ, метанола, этанола и трет-бутанола методом инфракрасной спектроскопии".

Стандарт ASTM разработан комитетом ASTM D02 "Нефтепродукты и смазочные материалы" и находится под контролем подкомитета D02.04.0F "Методы спектроскопического поглощения" Американского общества по испытаниям и материалам.

Перевод с английского языка (en).

Наименование настоящего стандарта изменено относительно наименования указанного стандарта для приведения в соответствие с ГОСТ 1.5-2001 (подраздел 3.6).

Официальные экземпляры стандарта ASTM, на основе которого подготовлен настоящий межгосударственный стандарт, и стандартов ASTM, на которые даны ссылки, имеются в Федеральном информационном фонде технических регламентов и стандартов.

Сведения о соответствии межгосударственных стандартов ссылочным стандартам приведены в дополнительном приложении Д.А.

Степень соответствия - идентичная (IDT)

5 Приказом Федерального агентства по техническому регулированию и метрологии от 22 ноября 2013 г. N 718-ст межгосударственный стандарт ГОСТ 32338-2013 введен в действие в качестве национального стандарта Российской Федерации с 1 января 2015 г.

6 ВВЕДЕН ВПЕРВЫЕ

Информация об изменениях к настоящему стандарту публикуется в ежегодном информационном указателе "Национальные стандарты", а текст изменений и поправок - в ежемесячном информационном указателе "Национальные стандарты". В случае пересмотра (замены) или отмены настоящего стандарта соответствующее уведомление будет опубликовано в ежемесячном информационном указателе "Национальные стандарты". Соответствующая информация, уведомление и тексты размещаются также в информационной системе общего пользования - на официальном сайте Федерального агентства по техническому регулированию и метрологии в сети Интернет

1 Область применения

1.1 Настоящий стандарт устанавливает метод определения метанола, этанола, трет-бутанола, метил-трет-бутилового эфира (МТБЭ), этил-трет-бутилового эфира (ЭТБЭ), трет-амил-метилового эфира (ТАМЭ) и диизопропилового эфира (ДИПЭ) в бензине инфракрасной спектроскопией.

Метод может быть использован для определения массовой доли метанола от 0,1% до 6%; этанола - от 0,1% до 11%; трет-бутанола - от 0,1% до 14% и ДИПЭ, МТБЭ, ЭТБЭ и ТАМЭ - от 0,1% до 20%.

1.2 Значения, выраженные в единицах системы СИ, следует считать стандартными.

1.3 В настоящем стандарте не предусмотрено рассмотрение всех вопросов обеспечения безопасности, связанных с его применением. Пользователь настоящего стандарта несет ответственность за установление соответствующих правил по технике безопасности и охране здоровья, а также определяет целесообразность применения законодательных ограничений перед его использованием.

2 Нормативные ссылки

Для применения настоящего стандарта необходимы следующие ссылочные документы. Для недатированных ссылок применяют последнее издание ссылочного документа (включая все его изменения).

2.1 Стандарты ASTM <1>

<1> Уточнить ссылки на стандарты ASTM можно на сайте ASTM, www.astm.org, или в службе поддержки клиентов ASTM: service@astm.org. В информационном томе ежегодного сборника стандартов ASTM (Annual Book of ASTM Standards) следует обращаться к сводке стандартов ежегодного сборника стандартов на странице сайта.

ASTM D 1298 Test method for density, relative density (specific gravity), or API gravity of crude petroleum and liquid petroleum products by hydrometer method [Метод определения плотности, относительной плотности (удельного веса), плотности в градусах API сырой нефти и жидких нефтепродуктов ареометром]

ASTM D 4052 Test method for density, relative density, and API gravity of liquids by digital density meter (Метод определения плотности и относительной плотности жидкостей электронным плотномером)

ASTM D 4057 Practice for manual sampling of petroleum and petroleum products (Практика ручного отбора проб нефти и нефтепродуктов)

ASTM D 4307 Practice for preparation of liquid blends for use as analytical standards (Практика приготовления жидких смесей для использования в качестве стандартов для анализа)

ASTM D 4815 Test method for determination of MTBE, ETBE, TAME, DIPE, tertiary-amyl alcohol and C1 to C4 alcohols in gasoline by gas chromatography (Метод определения МТБЭ, ЭТБЭ, ТАМЭ, ДИПЭ, трет-амилового спирта и спиртов от C1 до C4 в бензине газовой хроматографией)

ASTM D 5599 Test method for determination of oxygenates in gasoline by gas chromatography and oxygen selective flame ionization detection (Метод определения оксигенатов в бензине газовой хроматографией с кислородселективным пламенно-ионизационным детектором)

ASTM E 1655 Practices for infrared multivariate quantitative analysis (Практика по инфракрасному многомерному количественному анализу)

2.2 Дополнительный стандарт <1>

<1> Code of Federal Regulation, Part 80 of Title 40, Section 80/46(g); also published in the Federal Register, Volume 59, No. 32, February 16, 1994, p. 7828.

GC/OFID EPA Test method - Oxygen and oxygenate content analysis (by way of gas chromatography with oxygen-selective flame ionization detection) [Метод определения. Содержание кислорода и оксигената (газовой хроматографией с кислородселективным пламенно-ионизационным детектированием)]

3 Термины и определения

3.1 В настоящем стандарте применены следующие термины с соответствующими определениями:

3.1.1 многокомпонентная калибровка (multivariate calibration): Процесс создания калибровочной модели с использованием многокомпонентных математических соотношений для корреляции измеренных значений оптических плотностей, полученных для ряда калибровочных образцов, и концентраций стандартных компонентов этих образцов или определенных свойств ряда образцов.

Результирующую многокомпонентную калибровочную модель применяют для анализа спектров неизвестных образцов при оценке концентрации компонента или определенных свойств неизвестного образца.

3.1.2 оксигенат (oxygenate): Кислородсодержащее органическое соединение, которое может быть использовано как топливо или добавка к топливу, например разные спирты и простые эфиры.

4 Сущность метода

4.1 Образец бензина вводят в ячейку для жидкого образца. Пучок инфракрасных лучей, пройдя через образец, попадает на детектор и сигнал детектора регистрируется.

Область инфракрасного спектра выбирают с помощью установки высокоселективных полосовых фильтров перед образцом или после него или по результатам математического расчета областей после получения полного спектра. Проводят многокомпонентный математический анализ, преобразующий сигнал детектора для выбранных областей в спектре неизвестного образца в концентрацию каждого компонента.

5 Назначение метода

5.1 Спирты и простые эфиры вводят в бензин для получения реформулированного бензина с пониженными выбросами или для повышения октанового числа. Для обеспечения приемлемого качества товарного бензина тип и концентрацию оксигенатов указывают в документах на бензин.

К числу проблем, связанных с топливами, содержащими оксигенаты, относятся приемистость, давление насыщенных паров, разделение фаз и выбросы от испарения.

5.2 Данный метод быстрее, проще и дешевле других современных методов.

5.3 Метод можно использовать для качественного контроля при производстве бензина.

5.4 Настоящий метод не коррелируется с методом по GC/OFID EPA.

5.5 Для некоторых образцов, испытанных при проведении межлабораторных испытаний, наблюдались ошибочные показатели с положительным знаком. Поскольку в межлабораторных испытаниях используют ограниченное количество базовых бензинов, невозможно установить ожидаемую периодичность или значения ошибочных показаний с положительным знаком, предполагаемые для большего количества базовых бензинов.

6 Аппаратура

6.1 Инфракрасный спектрометр (ИК-спектрометр) в среднем диапазоне спектра одного из типов, приведенных в 6.1.1 - 6.1.3.

6.1.1 ИК-спектрометр с фильтром

Прибор состоит из источника инфракрасного излучения (ИК-излучения), ячейки, пропускающей инфракрасные лучи (ИК-лучи), или жидкостной ячейки с нарушенным полным внутренним отражением, волнового избирательного фильтра, модулятора, детектора аналого-цифрового преобразователя, микропроцессора и устройства ввода образца.

6.1.2 ИК-спектрометр с Фурье-преобразователем

Прибор состоит из источника инфракрасного излучения (ИК-излучения), ячейки, пропускающей ИК-лучи, или жидкостной ячейки с нарушенным полным внутренним отражением, сканирующего интерферометра, детектора, аналого-цифрового преобразователя, микропроцессора и устройства ввода образца.

6.1.3 Дисперсионный ИК-спектрометр

Прибор состоит из источника инфракрасного излучения (ИК-излучения), ячейки, пропускающей ИК-лучи, или жидкостной кюветы с нарушенным полным внутренним отражением, волнового дисперсионного элемента (решетки или призмы), модулятора, детектора, аналого-цифрового преобразователя, микропроцессора и устройства введения образца.

7 Реактивы и материалы

7.1 Стандарты для калибровки и проверочные растворы для контроля качества

При подготовке образцов для калибровки и контроля качества следует использовать химические вещества чистотой не менее 99%. При отсутствии реактивов высокой степени чистоты должен быть проведен точный анализ реактива с использованием соответствующим образом откалиброванного газового хроматографа и/или других методов (например, определение воды).

7.1.1 Базовые бензины, не содержащие оксигенаты.

7.1.2 Метанол.

7.1.3 Этанол.

7.1.4 трет-Бутанол.

7.1.5 МТБЭ.

7.1.6 ЭТБЭ.

7.1.7 ТАМЭ.

7.1.8 ДИПЭ.

Предостережение - Эти вещества воспламеняются и могут быть опасны при проглатывании или вдыхании.

8 Отбор проб

8.1 Общие требования

8.1.1 Во избежание потерь от испарения и изменения состава обращаться с пробами следует очень осторожно.

8.1.2 Пробы бензина отбирают методами, установленными в ASTM D 4057 (или эквивалентными) или национальных документах на продукцию. Не используют метод отбора проб вытеснением водой, т.к. некоторые спирты или простые эфиры могут быть экстрагированы в водную фазу.

8.1.3 Пробы до проведения испытания необходимо хранить в ледяной бане или холодильнике при температуре от 0 °C до 5 °C, защищенными от воздействия высоких температур.

8.1.4 Не допускается хранить пробы в протекающих контейнерах. При обнаружении протечки контейнер выбрасывают и получают новую пробу.

8.1.5 Контейнер с пробой должен быть заполнен не менее чем на 80%. Если контейнеры наполнены менее чем на 80% или их несколько раз открывали и отбирали пробы, необходимо получить новую пробу.

8.2 Обращение с пробой при проведении испытания

8.2.1 Перед проведением испытания образцов методом инфракрасной ИК-спектрометрии температуру пробы необходимо довести до температуры проведения испытания 15 °C - 38 °C.

8.2.2 После отбора пробы контейнер герметично закрывают и хранят в ледяной бане или холодильнике при температуре от 0 °C до 5 °C.

9 Калибровка инфракрасного спектрометра

9.1 Подготовка к калибровке

Прибор готовят к работе в соответствии с инструкцией фирмы-изготовителя.

9.2 Калибровка

9.3

Каждый прибор должен быть откалиброван фирмой-изготовителем или пользователем в соответствии с ASTM E 1655, в котором изложена процедура многокомпонентной калибровки инфракрасных спектрометров, используемых для определения физических характеристик нефтяных и нефтехимических продуктов, обработки данных, проведения калибровки и проверки правильности калибровки. С целью улучшения калибровки или статистического прогнозирования для многокомпонентных ИК-моделей специально не рекомендуется учитывать отклонения и наклон кривой.

В электронном документе нумерация пунктов соответствует официальному источнику.

9.3 Калибровка оборудования

Правильность калибровки оборудования, позволяющего точно определить каждый тип оксигената в присутствии соединений, характерных для бензина или других оксигенатов, которые в стандартных концентрациях вызывают спектральные помехи, проверяют в соответствии с процедурой, описанной в приложении А1. Основные классы соединений, которые вызывают помехи, включают ароматические углеводороды, разветвленные алифатические углеводороды и другие оксигенаты (отличающиеся от определяемого оксигената).

10 Стандартные образцы для контроля качества результатов испытаний

10.1 Ежедневно контролируют правильность работы прибора проведением испытания не менее одного стандартного образца для контроля качества с определенной массовой долей оксигенатов. Процентный состав стандартных образцов для контроля качества должен соответствовать ASTM D 4307 при установленной массовой доле кислорода для данного оксигената.

Рекомендуемые массовые доли оксигенатов в стандартных образцах для контроля качества приведены в таблице 1.

Таблица 1

Рекомендуемые массовые доли оксигенатов в стандартных образцах для контроля качества

Наименование оксигената Заданная массовая доля оксигената, %, при массовой доле кислорода (O2)
2,00% 2,7% 3,5%
Метанол 4,00 5,41 -
Этанол 5,76 7,77 10,1
трет-Бутанол 9,26 12,5 -
МТБЭ 11,0 14,9 -
ТАМЭ 12,8 17,2 -
ДИПЭ 12,8 17,2 -
ЭТБЭ 12,8 17,2 -

10.2 Полученные массовые доли индивидуальных оксигенатов должны соответствовать значениям в приготовленных стандартных образцах для контроля качества с точностью до +/- 5% [например, массовая доля МТБЭ составляет (14,0 +/- 0,7)% масс.] или с точностью +/- 0,3%, в зависимости от выбранного большего значения [например, массовая доля метанола составляет (4,0 +/- 0,3)% масс.].

Если содержание индивидуального оксигената выходит за пределы указанного диапазона, проводят повторную калибровку прибора по ASTM E 1655.

Не допускается использовать стандартные образцы для контроля качества для первоначальной калибровки или повторной калибровки прибора. Не допускается проводить испытания образцов без соблюдения требований к контролю качества.

11 Проведение испытания

11.1 Выдерживают пробы при температуре от 15 °C до 38 °C.

11.2 В соответствии с инструкциями фирмы-изготовителя устанавливают базовую линию прибора и вводят образец в ячейку. Если в инструкции указано об использовании для установления базовой линии бензина, не содержащего оксигенаты, этот бензин будет отличаться от бензина, не содержащего оксигенаты, которые используют для приготовления стандартных образцов при проверке правильности калибровки или стандартных образцов контроля качества результатов испытания.

11.3 Тщательно очищают ячейку, вводя в нее достаточное количество образца, чтобы обеспечить не менее чем трехкратное промывание ячейки испытуемым раствором.

11.4 Перед испытанием неизвестных образцов проверяют правильность работы оборудования по результатам испытания стандартных образцов контроля качества (раздел 10).

11.5 Вводят образец способом, установленным изготовителем, и получают показания, фиксируемые прибором.

12 Вычисления

12.1 Преобразование концентрации оксигенатов в массовые доли

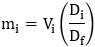
Если прибор дает показания в объемных процентах для каждого компонента, полученные результаты переводят проценты по массе по формуле

, (1)

где - массовая доля каждого определяемого оксигената, %;

- объемная доля каждого оксигената, %;

- относительная плотность индивидуального оксигената при температуре 15 °C (таблица 5);

- относительная плотность исследуемого топлива при температуре 15 °C, определенная по ASTM D 1298 или ASTM D 4052. Если плотность не измеряли, используют предполагаемую плотность 0,742.

12.2 Общая массовая доля кислорода

Общую массовую долю кислорода в топливе , %, определяют по сумме массовых долей кислорода в каждом оксигенантном компоненте, определенном по 12.1, по формуле

, (2)

где - массовая доля каждого оксигената, %;

16,0 - атомная масса кислорода;

- число атомов кислорода в молекуле оксигената;

- молекулярная масса молекулы оксигената, указанная в таблице 2.

Таблица 2

Физические свойства

Наименование компонента CAS номер Молекулярная масса Относительная плотность при температуре 15 °C
Метанол 67-56-1 32,04 0,7963
Этанол 64-17-5 46,07 0,7939
трет-Бутанол 75-65-0 74,12 0,7922
МТБЭ 1634-04-4 88,15 0,7460
ДИПЭ 108-20-3 102,18 0,7300
ЭТБЭ 637-92-3 102,18 0,7452
ТАМЭ 994-05-8 102,18 0,7758

13 Обработка результатов

13.1 Результаты определения каждого оксигената и общее содержание кислорода определяют с точностью до 0,1%.

За отсутствие принимают концентрацию метанола менее указанного минимального значения диапазона определяемых концентраций (1.1).

14 Прецизионность и смещение <3>

<3> Подтверждающие данные находятся в файле штаб-квартиры ASTM (ASTM International Headquarters) и их можно получить, запросив исследовательский отчет RR:D02-1374.

В электронном документе нумерация сносок соответствует официальному источнику.

14.1 Прецизионность метода установлена статистическим анализом результатов межлабораторных испытаний.

14.2 Повторяемость

Расхождение результатов последовательных определений, полученных одним и тем же оператором на одной и той же аппаратуре в постоянных рабочих условиях на идентичном испытуемом материале в течение длительного времени при нормальном и правильном выполнении метода, не должно превышать указанные значения более чем в одном случае из двадцати:

наименование оксигената повторяемость, %
МТБЭ 0,13
ТАМЭ 0,13
ЭТБЭ 0,15
Этанол 0,13
Метанол 0,07
трет-Бутанол 0,10
ДИПЭ 0,14
общее содержание кислорода 0,05

14.3 Воспроизводимость

Расхождение между двумя единичными и независимыми результатами, полученными разными операторами, работающими в различных лабораториях, на идентичных испытуемых материалах в течение длительного времени, не должно превышать указанные значения более чем в одном случае из двадцати:

наименование оксигената повторяемость, %
МТБЭ 0,98
ТАМЭ 1,36
ЭТБЭ 0,77
Этанол 0,59
Метанол 0,37
трет-Бутанол 0,59
ДИПЭ 0,79
общее содержание кислорода 0,30

14.4 Смещение

При проведении межлабораторных испытаний проб значительное смещение не наблюдалось. Не следует утверждать, что смещение отсутствует, т.к. были исследованы базовые бензины недостаточно широкого диапазона. Поэтому можно говорить только о тех значениях, которые наблюдались при проведении межлабораторных испытаний.

Приложение А1
(обязательное)

ПРОВЕРКА ПРАВИЛЬНОСТИ КАЛИБРОВКИ

А1.1 Подготовка стандартных образцов

Требования для приготовления стандартных образцов приведены в таблице А1.1.

Таблица А1.1

Требования для проверки правильности калибровки

Образец Обозначение базового бензина Массовая доля оксигената, %
МТБЭ ТАМЭ ЭТБЭ Этанол Метанол трет-Бутанол ДИПЭ
1 A       10,0      
2 A       5,0      
3 A 16,5            
4 A 9,0       1,5 2,0  
5 A   18,5          
6 A 4,0 12,0         1,25
7 A     17,0        
8 A     9,5 4,0      
9 A         5,5    
10 A       3,0 3,5    
11 A           12,0  
12 A   9,0       6,0  
13 A             16,5
14 A     7,0       10,0
15 A 7,0 3,0 6,0        
16 A 5,0 5,0 3,0     3,0 5,0
17 A   1,5   2,0 2,0    
18 A 2,0     7,0      
19 B       9,0      
20 B       6,0      
21 B 14,0            
22 B 10,0       2,0 1,5  
23 B   16,5          
24 B 4,0 11,0         2,0
25 B     15,5        
26 B     8,0 5,0      
27 B         5,0    
28 B       3,0 3,5    
29 B           12,0  
30 B   5,0       8,0  
31 B             16,5
32 B     6,0       9,0
33 B 6,0 3,0 4,0        
34 B 2,0 8,0 2,0     4,0  
35 B   1,5   1,5 1,5   7,0
36 B 8,0     4,0      
Примечание - Базовый бензин A должен содержать не менее 60% алкилата. Рекомендуемый состав базового бензина A: 60% алкилата, 30% широкой фракции бензина риформинга и 10% легкого прямогонного бензина.
Базовый бензин B должен содержать не менее 60% широкой фракции бензина риформинга. Рекомендуемый состав базового бензина B: 60% широкой фракции бензина риформинга, 30% бензина ККФ и 10% легкого прямогонного бензина.

Могут быть использованы дополнительные стандартные образцы. Многокомпонентные стандартные образцы оксигенатов готовят по ASTM D 4307 или в соответствующем масштабе для большего числа смесей.

Чтобы убедиться в отсутствии оксигенатов, мешающих определению в базовых бензинах, их необходимо предварительно проанализировать методом газовой хроматографии по ASTM D 4815, ASTM D 5599 или GC/OFID EPA.

Для определения влияния углеводородной матрицы базовых бензинов эти бензины, использованные для приготовления стандартных растворов для проверки калибровки, должны отличаться от базовых, использованных для подготовки стандартных образцов для калибровки.

Чтобы свести к минимуму испарение легких компонентов, химические вещества и бензины, используемые для приготовления стандартных образцов, выдерживают при температуре от 5 °C до 20 °C.

Образцы или базовые бензины, использованные для проверки правильности калибровки, не применяют для самой калибровки (или повторной калибровки) прибора.

А1.1.1 Испытание стандартных образцов

Метод испытания стандартных образцов для проверки правильности калибровки приведен в разделе 11 настоящего стандарта.

При необходимости результаты переводят из объемных в массовые проценты (см. раздел 12 настоящего стандарта).

А1.1.2 Критерии для подтверждения правильности калибровки

Калибровку считают правильной, если полностью соблюдены требования А1.1.2.1 - А1.1.2.3.

А1.1.2.1 Точность определения каждого оксигената

Результаты определения каждого оксигената в каждом стандартном образце должны соответствовать пределам, установленным в таблице А1.2.

Если известно, что какой-либо оксигенат отсутствует в отдельном стандартном образце для проверки правильности калибровки, отклонение, определенное для этого оксигената, должно быть ниже указанного в таблице А1.2.

Таблица А1.2

Максимальная ошибка, допустимая при проверке правильности калибровки

Наименование оксигената Ошибка, %, не более
Оксигенат присутствует Оксигенат отсутствует
МТБЭ 1,5 0,9
ТАМЭ 2,0 1,8
ЭТБЭ 1,2 1,9
Этанол 0,9 0,6
Метанол 0,6 0,3
трет-Бутанол 0,9 0,9
ДИПЭ 1,2 0,9

А1.1.2.2 Общая точность

Сумма расчетных стандартных отклонений (SEP) для каждого анализируемого оксигената и для всех образцов в наборе образцов при проверке правильности калибровки приведена в таблице А1.3.

Таблица А1.3

Максимальное стандартное расчетное отклонение, допустимое при проверке правильности калибровки

Наименование оксигената Сумма SEP для образцов, содержащих оксигенат, %, не более Сумма SEP для всех образцов во всех стандартных образцах, приготовленных для проверки правильности калибровки, %, не более
МТБЭ 0,9 0,5
ТАМЭ 1,2 0,9
ЭТБЭ 0,75 0,6
Этанол 0,4 0,25
Метанол 0,25 0,15
трет-Бутанол 0,55 0,45
ДИПЭ 0,6 0,35

А1.1.2.3 Повторяемость

Каждый стандартный образец, приготовленный для проверки правильности калибровки, испытывают два раза. Результаты повторных испытаний любого образца не должны отличаться более чем на 0,3%.

А1.1.3 Периодичность проведения проверки правильности калибровки

Правильность калибровки определяют при наладке спектрометра, после ремонта или в случае сомнений в правильности результатов испытания. Если результаты выходят за допустимые отклонения, необходимо провести повторную калибровку спектрометра и соответственно процедуру проверки правильности калибровки.

Приложение ДА
(справочное)

СВЕДЕНИЯ О СООТВЕТСТВИИ МЕЖГОСУДАРСТВЕННЫХ СТАНДАРТОВ ССЫЛОЧНЫМ СТАНДАРТАМ

Таблица ДА.1

Обозначение и наименование ссылочного стандарта Степень соответствия Обозначение и наименование соответствующего межгосударственного стандарта
ASTM D 1298-99 (2005) Метод определения плотности, относительной плотности (удельного веса), плотности в градусах API сырой нефти и жидких нефтепродуктов ареометром - <*>
ASTM D 4052-11 Метод определения плотности и относительной плотности жидкостей электронным плотномером - <*>
ASTM D 4057-11 Практика ручного отбора проб нефти и нефтепродуктов - <*>
ASTM D 4307-10 Практика приготовления жидких смесей для использования в качестве стандартов для анализа - <*>
ASTM D 4815-09 Метод определения МТБЭ, ЭТБЭ, ТАМЭ, ДИПЭ, трет-амилового спирта и спиртов от C1 до C4 в бензине газовой хроматографией - <*>
ASTM D 5599-00 (2010) Метод определения оксигенатов в бензине газовой хроматографией с кислородселективным пламенно-ионизационным детектором - <*>
ASTM E 1655-05 Руководство по инфракрасному многомерному количественному анализу - <*>
GC/OFID EPA Метод определения. Содержание кислорода и оксигената (газовой хроматографией с кислородселективным пламенно-ионизационным детектированием) - <*>
<*> Соответствующий межгосударственный стандарт отсутствует. До его утверждения рекомендуется использовать перевод на русский язык данного стандарта. Перевод данного стандарта находится в Федеральном информационном фонде технических регламентов и стандартов.