Информация ЦБ РФ

"О сроке исполнения запроса/предписания Банка России"
Редакция от 09.01.2020 — Действует

ЦЕНТРАЛЬНЫЙ БАНК РОССИЙСКОЙ ФЕДЕРАЦИИ

ИНФОРМАЦИЯ

Как считать срок исполнения запроса/предписания Банка России, если оно отправлено в личный кабинет в пятницу вечером?

Согласно пункту 4.3 Указания Банка России от 03.11.2017 N 4600-У "О порядке взаимодействия Банка России с кредитными организациями, некредитными финансовыми организациями и другими участниками информационного обмена при использовании ими информационных ресурсов Банка России, в том числе личного кабинета" (далее - Указание Банка России N 4600-У) электронный документ Банка России считается полученным поднадзорной организацией по истечении 24 часов с момента размещения электронного документа в личном кабинете. В случае если момент получения участником информационного обмена электронного документа Банка России выпадает на нерабочий день, то электронный документ Банка России считается полученным до 18 часов 00 минут по московскому времени первого рабочего дня, следующего за нерабочим днем.

Таким образом, если запрос (предписание) Банка России размещен в личном кабинете в пятницу вечером, то он считается полученным до 18 часов 00 минут (по московскому времени) понедельника.

Согласно пункту 3.3 Указания Банка России N 4600-У при направлении электронного документа через личный кабинет участник информационного обмена получает извещение Банка России о загрузке электронного документа в личный кабинет или извещение Банка России об ошибке загрузки электронного документа в личный кабинет, а также извещение Банка России о дате регистрации электронного документа и присвоении ему входящего номера.

Датой и временем представления в Банк России электронного документа являются дата и время (по московскому времени), указанные в извещении Банка России о загрузке электронного документа в личный кабинет, при условии получения участником информационного обмена по тому же электронному документу извещения Банка России о дате регистрации электронного документа и присвоении ему входящего номера.

Какую отчетность должны представлять в Банк России МФО?

МФО обязаны представлять отчетность в Банк России в соответствии с требованиями Указания Банка России от 24.05.2017 N 4383-У "О формах, сроках и порядке составления и представления в Банк России отчетности микрофинансовыми компаниями и микрокредитными компаниями, порядке и сроках раскрытия бухгалтерской (финансовой) отчетности и аудиторского заключения микрофинансовой компании" (далее - Указание) по следующим формам:

для микрокредитных компаний:

- 0420841 "Отчет о персональном составе руководящих органов микрофинансовой организации";

- 0420846 "Отчет о микрофинансовой деятельности микрокредитной компании";

- 0420847 "Отчет о средневзвешенных значениях полной стоимости потребительских микрозаймов";

для микрофинансовых компаний:

- 0420839 "Отчет о лицах, которым микрофинансовой компанией поручено проведение идентификации";

- 0420840 "Отчет о микрофинансовой деятельности микрофинансовой компании";

- 0420841 "Отчет о персональном составе руководящих органов микрофинансовой организации";

- 0420847 "Отчет о средневзвешенных значениях полной стоимости потребительских микрозаймов";

- 0420848 "Отчет об утверждении уполномоченным органом микрофинансовой компании повестки дня общего собрания акционеров (участников), содержащей вопрос об утверждении аудиторской организации (аудитора)";

- 0420849 "Отчет микрофинансовой компании об аудиторской организации (аудиторе)".

Кроме того, в соответствии с требованиями пункта 6 Указания МФО обязаны представлять в Банк России годовую бухгалтерскую (финансовую) отчетность. МФК представляют в Банк России вместе с такой годовой бухгалтерской (финансовой) отчетностью аудиторское заключение о ней.

На основании пункта 5 Указания МФК представляют в Банк России бухгалтерскую (финансовую) отчетность за первый квартал, первое полугодие и девять месяцев календарного года.

Также МФО обязаны представлять в Банк России отчетность в соответствии с требованиями Указания Банка России от 13.01.2017 N 4263-У "О сроках и порядке составления и представления некредитными финансовыми организациями в Банк России отчетности об операциях с денежными средствами" и Указания Банка России от 27.12.2018 N 5047-У "О порядке представления Банку России некредитными финансовыми организациями отчетов о движении средств по счетам (вкладам) в банках за пределами территории Российской Федерации".

Когда МФО освобождаются от обязанности представления отчетности в Банк России?

В соответствии с пунктом 2 статьи 2 Федерального закона от 02.07.2010 N 151-ФЗ "О микрофинансовой деятельности и микрофинансовых организациях" (далее - Закон) микрофинансовой организацией (далее - МФО) является юридическое лицо, которое осуществляет микрофинансовую деятельность и сведения о котором внесены в государственный реестр микрофинансовых организаций (далее - Реестр) в порядке, предусмотренном Законом.

Согласно статье 15 Закона МФО обязаны представлять в Банк России отчетность, в том числе бухгалтерскую (финансовую) отчетность, а также иные документы и информацию, предусмотренные Законом.

Если на отчетную дату МФО исключена из Реестра, отчетность представлять в Банк России не требуется.

Вместе с тем рекомендуется представить в Банк России отчетность за все периоды, в течение которых МФО находилась в Реестре".

Обязательны ли к применению микрофинансовыми организациями (далее - МФО) базовые стандарты саморегулируемой организации в сфере финансового рынка, объединяющей МФО?

Согласно статье 5 Федерального закона от 13.07.2015 N 223-ФЗ "О саморегулируемых организациях в сфере финансового рынка" (далее - Закон N 223-ФЗ) базовые стандарты разрабатываются саморегулируемой организацией в сфере финансового рынка (далее - СРО). Базовые стандарты подлежат согласованию и утверждению в порядке, установленном Указанием Банка России от 09.08.2017 N 4484-У "О порядке согласования комитетом по стандартам по соответствующему виду деятельности финансовых организаций при Банке России базовых стандартов и утверждения Банком России согласованных комитетом по стандартам по соответствующему виду деятельности финансовых организаций при Банке России базовых стандартов".

В соответствии с требованиями Закона N 223-ФЗ и Указания Банка России от 30.05.2016 N 4027-У "О перечне обязательных для разработки саморегулируемыми организациями в сфере финансового рынка, объединяющими микрофинансовые организации, кредитные потребительские кооперативы, базовых стандартов и требованиях к их содержанию, а также перечне операций (содержании видов деятельности) на финансовом рынке, подлежащих стандартизации в зависимости от вида деятельности финансовых организаций" разработаны, согласованы Комитетом по стандартам микрофинансовых организаций, утверждены Банком России и размещены на официальном сайте Банка России в информационно-телекоммуникационной сети "Интернет":

- Базовый стандарт совершения микрофинансовой организацией операций на финансовом рынке;

- Базовый стандарт защиты прав и интересов физических и юридических лиц - получателей финансовых услуг, оказываемых членами саморегулируемых организаций в сфере финансового рынка, объединяющих микрофинансовые организации;

- Базовый стандарт по управлению рисками микрофинансовых организаций (далее - базовые стандарты).

Согласно части 2 статьи 4 Закона N 223-ФЗ базовые стандарты обязательны для исполнения всеми МФО, осуществляющими свою деятельность на основании Федерального закона от 02.07.2010 N 151-ФЗ "О микрофинансовой деятельности и микрофинансовых организациях", вне зависимости от их членства в СРО МФО.

На основании части 1 статьи 14 Закона N 223-ФЗ СРО МФО осуществляет контроль за соблюдением базовых стандартов своими членами. В соответствии со статьей 15 Закона N 223-ФЗ за несоблюдение базовых стандартов СРО МФО вправе применять в отношении своих членов следующие меры:

1. предъявление требования об обязательном устранении членом СРО МФО выявленных нарушений в установленные сроки;

2. вынесение члену СРО МФО предупреждения в письменной форме;

3. наложение штрафа на члена СРО МФО в размере, установленном внутренними документами СРО МФО;

4. исключение из членов СРО МФО;

5. иные меры, установленные внутренними документами СРО МФО, не противоречащие законодательству Российской Федерации и нормативным актам Банка России.

Каким образом выданные векселя отражаются в отчетности микрокредитной компании? Распространяются ли на них ограничения по размеру привлеченных денежных средств? Должна ли рассчитывать и соблюдать экономические нормативы микрокредитная компания при выпуске векселей и одновременном отсутствии привлеченных средств по договорам займа?

Согласно пункту 1 статьи 807 Гражданского кодекса Российской Федерации (далее - ГК РФ) по договору займа займодавец передает или обязуется передать в собственность заемщику деньги, вещи, определенные родовыми признаками, или ценные бумаги, а заемщик обязуется возвратить займодавцу такую же сумму займа или равное количество полученных им вещей того же рода и качества либо таких же ценных бумаг.

С учетом того, что, во-первых, векселедатель фактически получил денежные средства от векселедержателя, во-вторых, исходя из существа вексельного обязательства, векселедержатель вправе истребовать от векселедателя полученные им денежные средства, в-третьих, договор займа с 01.06.2018 не является реальной сделкой, сложившиеся между сторонами обязательственные правоотношения порождают заемное обязательство микрокредитной компании.

Таким образом, для целей составления отчетности микрофинансовых организаций, расчета экономических нормативов и формирования резервов на возможные потери по займам денежные средства, поступившие в распоряжение микрофинансовой организации от векселедержателя в пределах суммы выданного микрофинансовой организацией векселя надлежит расценивать в качестве денежных средств, привлеченных в виде займов. Кроме того, на привлеченные таким образом денежные средства также распространяются установленные статьей 12 Федерального закона от 02.07.2010 N 151-ФЗ "О микрофинансовой деятельности и микрофинансовых организациях" ограничения на привлечение денежных средств физических лиц, в том числе индивидуальных предпринимателей.

Что такое официальный сайт микрофинансовой организации? Обязана ли микрофинансовая организация обладать правами на сайт в информационно-телекоммуникационной сети "Интернет", на котором она размещает копию правил предоставления микрозаймов в соответствии с требованиями пункта 2 части 2 статьи 9 Федерального закона от 02.07.2010 N 151-ФЗ "О микрофинансовой деятельности и микрофинансовых организациях"?

Законодательством о микрофинансовой деятельности и принятыми в соответствии с ним нормативными актами Банка России не установлено определение понятия официального сайта микрофинансовой организации.

Согласно статье 2 Базового стандарта совершения микрофинансовой организацией операций на финансовом рынке, статье 2 Базового стандарта защиты прав и интересов физических и юридических лиц - получателей финансовых услуг, оказываемых членами саморегулируемых организаций в сфере финансового рынка, объединяющих микрофинансовые организации, которые в соответствии с частью 2 статьи 4 Федерального закона от 13 июля 2015 года N 223-ФЗ "О саморегулируемых организациях в сфере финансового рынка" являются обязательными для исполнения всеми микрофинансовыми организациями вне зависимости от их членства в саморегулируемой организации, официальный сайт микрофинансовой организации - сайт в информационно-телекоммуникационной сети "Интернет", содержащий информацию о деятельности микрофинансовой организации, электронный адрес которого включает доменное имя, права на которое принадлежат микрофинансовой организации.

В целях исполнения требований Федерального закона от 02.07.2010 N 151-ФЗ "О микрофинансовой деятельности и микрофинансовых организациях", Указания Банка России от 24.05.2017 N 4383-У "О формах, сроках и порядке составления и представления в Банк России отчетности микрофинансовыми компаниями и микрокредитными компаниями, порядке и сроках раскрытия бухгалтерской (финансовой) отчетности и аудиторского заключения микрофинансовой компании" микрофинансовая организация вправе размещать установленную законодательством о микрофинансовой деятельности информацию (копию правил предоставления микрозаймов, а также годовую бухгалтерскую (финансовую) отчетность микрофинансовой компании, промежуточную бухгалтерскую (финансовую) отчетность микрофинансовой компании и аудиторские заключения о них) на сайте в информационно-телекоммуникационной сети "Интернет" вне зависимости от обладания правами на доменное имя электронного адреса этого сайта.

В то же время для целей соблюдения положений Базовых стандартов микрофинансовая компания (а также микрокредитная компания в случае, если микрофинансовая деятельность осуществляется с использованием информационно-телекоммуникационной сети "Интернет") обязана обладать доменным именем электронного адреса сайта, используемого в качестве официального, на праве администрирования (пользования).

1. Учитываются ли при расчете норматива НМКК1 займы и кредиты в случае, если денежные средства привлечены микрокредитной компанией (МКК) от лица, которое на момент предоставления денежных средств являлось учредителем (акционером, участником) МКК, а позднее вышло из состава учредителей (акционеров, участников)?

2. Учитываются ли при расчете норматива НМКК1 займы и кредиты в случае, если денежные средства привлечены МКК от юридического лица, которое на момент предоставления денежных средств не являлось учредителем (акционером, участником) МКК, а позднее вошло в состав учредителей (акционеров, участников)?

Норматив достаточности собственных средств микрокредитной компании (НМКК1) рассчитывается в соответствии с пунктом 2 Указания Банка России от 24.05.2017 N 4384-У "Об установлении экономических нормативов для микрокредитной компании, привлекающей денежные средства физических лиц, в том числе индивидуальных предпринимателей, являющихся учредителями (участниками, акционерами), и (или) юридических лиц в виде займов" (далее - Указание N 4384-У).

При расчете норматива НМКК1 определяется показатель "Зс" - сумма задолженности МКК по основному долгу по полученным микрокредитной компанией займам и кредитам (за исключением предоставленных в неденежной форме), одновременно удовлетворяющим следующим условиям:

заем или кредит предоставлен МКК физическими лицами, в том числе индивидуальными предпринимателями, являющимися ее учредителями (акционерами, участниками), и (или) юридическими лицами, являющимися ее учредителями (акционерами, участниками);

заем или кредит предоставлен на срок не менее 5 лет без права полного или частичного досрочного истребования их заимодавцем (кредитором) до истечения указанного срока;

предельная величина процентов, начисляемых на сумму займа или кредита, не превышает действующую на дату заключения договора займа или кредита ключевую ставку Банка России, увеличенную в 1,2 раза.

С учетом изложенного, денежные средства, привлеченные МКК от физических лиц, в том числе индивидуальных предпринимателей, и юридических лиц, могут учитываться при расчете норматива НМКК1 только в случае, если указанные лица на дату расчета норматива являются учредителями (акционерами, участниками) МКК.

1. В случае если заем (кредит) привлечен МКК от лица, которое на момент предоставления займа являлось учредителем (акционером, участником) МКК, а позднее вышло из состава учредителей (акционеров, участников), сумма привлеченного займа (кредита) может учитываться при расчете норматива НМКК1 исключительно до даты выхода такого лица, являющегося кредитором, из состава учредителей (акционеров, участников) данной МКК (при условии удовлетворения всем требованиям, установленным пунктом 2 Указания N 4384-У).

2. В случае если заем (кредит) привлечен МКК от юридического лица, которое на момент предоставления займа (кредита) не являлось учредителем (акционером, участником) МКК, а позднее вошло в состав учредителей (акционеров, участников), сумма привлеченного займа (кредита) может учитываться при расчете норматива НМКК1 исключительно с даты вхождения такого лица в состав учредителей (акционеров, участников) данной МКК (при условии удовлетворения всем требованиям, установленным пунктом 2 Указания N 4384-У).

Каким образом необходимо заполнять информацию в строках 3.17 и 3.22 раздела III Отчета о микрофинансовой деятельности микрофинансовой компании (Отчет), установленного Указанием Банка России от 24.05.2017 N 4383-У "О формах, сроках и порядке составления и представления в Банк России отчетности микрофинансовыми компаниями и микрокредитными компаниями, порядке и сроках раскрытия бухгалтерской (финансовой) отчетности и аудиторского заключения микрофинансовой компании"?

В целях заполнения Отчета информация по строкам 3.17 и 3.22 раздела III Отчета отражается с учетом требований Указания Банка России от 09.06.2016 N 4037-У "Об установлении методики определения собственных средств (капитала) микрофинансовой компании" (Указание N 4037-У).

В соответствии с пунктом 1 Указания N 4037-У собственные средства (капитал) микрофинансовой компании (МФК) определяются как разница между стоимостью финансовых активов и суммой обязательств, рассчитанных в соответствии с Указанием N 4037-У.

Как следует из пункта 2.2 Указания N 4037-У в состав финансовых активов, принимаемых для определения собственных средств (капитала) МФК, включается, в том числе, дебиторская задолженность:

- по процентным доходам по микрозаймам, в которые включаются проценты за пользование микрозаймом, а также любые заранее установленные договором микрозайма доходы по микрозайму, за вычетом суммы сформированных резервов на возможные потери по займам (по сумме требований по начисленным процентным доходам) в соответствии с Указанием Банка России от 28.06.2016 N 4054-У "О порядке формирования микрофинансовыми организациями резервов на возможные потери по займам" (Указание N 4054-У);

- по процентным доходам по займам, предоставленным юридическим лицам и физическим лицам по договорам займа (за исключением договоров микрозайма), исполнение обязательств по которым обеспечено ипотекой, юридическим лицам, являющимся субъектами малого и среднего предпринимательства или имеющим статус микрофинансовой организации, кредитного потребительского кооператива, сельскохозяйственного кредитного потребительского кооператива, ломбарда, юридическим лицам, являющимся аффилированными лицами микрофинансовой организации, по договорам займа (за исключением договоров микрозайма). В указанные процентные доходы включаются проценты за пользование займом и любые заранее установленные указанными договорами доходы по займу, величина которых уменьшается на величину резерва на возможные потери по займам (по сумме требований по начисленным процентным доходам), рассчитанную в порядке, установленном для микрозаймов Указанием N 4054-У;

- по сумме процентов по договорам банковского депозита, заключенным с кредитными организациями;

- по сумме требований к центральному контрагенту по совершенным за счет МФК на организованном рынке сделкам с ценными бумагами.

В соответствии с пунктом 3 Указания N 4037-У в состав обязательств, принимаемых для определения собственных средств (капитала) МФК, включаются краткосрочные и долгосрочные обязательства МФК.

Необходимо ли микрофинансовой организации формировать резервы на возможные потери по займам (далее - РВПЗ) на сумму основного долга в случае, если есть просроченная задолженность по начисленным процентным доходам, которые являются платежом по займу, но нет просроченной задолженности по основному долгу?

В соответствии с пунктом 2 Указания Банка России от 28.06.2016 N 4054-У "О порядке формирования микрофинансовыми организациями резервов на возможные потери по займам" РВПЗ формируются микрофинансовой компанией ежемесячно, микрокредитной компанией ежеквартально по состоянию на последнее число месяца для микрофинансовой компании (квартала для микрокредитной компании) при наличии не исполненных (полностью либо частично) обязательств перед микрофинансовой организацией в отношении задолженности по микрозаймам и по вложениям в права требования микрофинансовой организации, вытекающим из договоров уступки прав требования по договорам микрозайма, заключенным между заемщиками и микрофинансовыми организациями, а также в отношении обязательств по реструктурированным микрозаймам, установленных по результатам инвентаризации задолженности по состоянию на последнее число месяца для микрофинансовой компании (квартала для микрокредитной компании).

В случае если есть просроченная задолженность по начисленным процентным доходам, которые являются платежом по займу, но нет просроченной задолженности по основному долгу, возникает риск потери как начисленных процентов, так и всей суммы основного долга. В связи с этим необходимо формировать РВПЗ по всей сумме основного долга (за исключением произведенных платежей в счет погашения основного долга) и сумме требований по начисленным процентным доходам. Категория займа выбирается в зависимости от продолжительности просроченных платежей.

Что понимается под задолженностью по договорам, заключенным с физическими лицами, не являющимися индивидуальными предпринимателями, по краткосрочным микрозаймам для целей заполнения раздела IV отчета о микрофинансовой деятельности микрокредитной компании (МКК) и микрофинансовой компании (МФК)?

Данные о структуре задолженности по договорам микрозайма отражаются в разделе IV отчета о микрофинансовой деятельности МКК и МФК (далее - отчет) Указания Банка России от 24.05.2017 N 4383-У "О формах, сроках и порядке составления и представления в Банк России отчетности микрофинансовыми компаниями и микрокредитными компаниями, порядке и сроках раскрытия бухгалтерской (финансовой) отчетности и аудиторского заключения микрофинансовой компании" (далее - Указание N 4383-У).

Задолженность по основному долгу и процентным доходам на отчетную дату по договорам микрозайма определяется, в том числе, для целей формирования резервов на возможные потери по займам. Данные о размере сформированных резервов на возможные потери по микрозаймам отражаются в разделе V отчета.

Для раздела V отчета в соответствии с пунктом 70 Порядка составления и представления отчетности по форме 0420840 "Отчет о микрофинансовой деятельности микрофинансовой компании" Указания N 4383-У и с пунктом 58 Порядка составления и представления отчетности по форме 0420846 "Отчет о микрофинансовой деятельности микрокредитной компании" Указания N 4383-У применяется порядок, предусмотренный Указанием Банка России от 28.06.2016 N 4054-У "О порядке формирования микрофинансовыми организациями резервов на возможные потери по займам" (далее - Указание N 4054-У).

В соответствии с абзацем вторым подпункта 4.1 пункта 4 Указания N 4054-У задолженностью физических лиц, не являющихся индивидуальными предпринимателями, по краткосрочным микрозаймам признается задолженность указанных лиц по договору микрозайма, заключенному на срок до 30 дней включительно в сумме до 30 тысяч рублей включительно.

Таким образом, для целей заполнения раздела IV отчета под задолженностью по договорам, заключенным с физическими лицами, не являющимися индивидуальными предпринимателями, по краткосрочным микрозаймам следует понимать задолженность указанных лиц по договорам микрозайма, заключенным на срок до 30 дней включительно в сумме до 30 тысяч рублей включительно.

Обязаны ли микрофинансовые организации формировать резервы на возможные потери по иным займам, не являющимся микрозаймами?

В соответствии с пунктом 1 Указания Банка России от 28.06.2016 N 4054-У "О порядке формирования микрофинансовыми организациями резервов на возможные потери по займам" (далее - Указание N 4054-У) резервы на возможные потери по займам формируются по правам требования микрофинансовой организации, возникшим со дня внесения сведений о ней в государственный реестр микрофинансовых организаций, вытекающим из договоров микрозайма и договоров уступки прав требования по договорам микрозайма, заключенным между заемщиками и микрофинансовыми организациями.

Таким образом, требования Указания N 4054-У по формированию резервов на возможные потери по займам не распространяются на иные займы, которые микрофинансовая организация вправе выдавать в соответствии с пунктом 3 части 1 статьи 9 Федерального закона от 02.07.2010 N 151-ФЗ "О микрофинансовой деятельности и микрофинансовых организациях".

В то же время, в соответствии с положениями статьи 266 Налогового кодекса Российской Федерации микрофинансовая организация, как налогоплательщик, вправе создавать резервы по сомнительным долгам по любой задолженности перед ней, возникшей в связи с реализацией товаров, выполнением работ, оказанием услуг, в случае, если эта задолженность не погашена в сроки, установленные договором, и не обеспечена залогом, поручительством, банковской гарантией. При этом в отношении задолженности, по которой микрофинансовая организация сформировала резерв на возможные потери по микрозайму, формировать резерв по сомнительным долгам не предусмотрено.

Когда применяется трехкратное ограничение по начислению процентов по договорам потребительского микрозайма и когда применяется двукратное ограничение по начислению процентов и иных платежей при просрочке исполнения обязательств по микрозайму?

Микрофинансовые организации (МФО) не вправе начислять заемщику - физическому лицу проценты по договору потребительского займа, срок возврата потребительского займа по которому не превышает одного года, в случае, если сумма начисленных по договору процентов достигнет трехкратного размера суммы займа - за исключением неустойки (штрафа, пени) и платежей за услуги, оказываемые заемщику за отдельную плату. Данная норма установлена в соответствии с пунктом 9 части 1 статьи 12 Федерального закона от 02.07.2010 N 151-ФЗ "О микрофинансовой деятельности и микрофинансовых организациях" (Закон N 151-ФЗ).

Условие, содержащее данный запрет, должно быть указано МФО на первой странице договора потребительского займа, срок возврата по которому не превышает одного года, перед таблицей, содержащей индивидуальные условия договора потребительского займа.

Из указанной нормы следует, что МФО не вправе начислять заемщику по договору потребительского займа (заключенному на срок до 1 года) проценты, превышающие трехкратный размер выданного потребительского займа.

Следовательно, выдавая заем в сумме 5000 рублей, задолженность заемщика ни в какой момент времени не может превысить 20000 рублей, которые включают сумму займа в размере 5000 рублей и начисленные проценты в размере 15000 рублей (5000 рублей * 3).

Данное ограничение не распространяется на неустойку (штраф, пени) и платные услуги, определенные договором потребительского займа.

Согласно статье 12.1 Закона N 151-ФЗ, после возникновения просрочки исполнения обязательства заемщика - физического лица по возврату суммы займа и (или) уплате причитающихся процентов по договору потребительского займа, срок возврата потребительского займа по которому не превышает одного года, МФО вправе продолжать начислять заемщику - физическому лицу проценты только на не погашенную им часть суммы основного долга. Проценты на не погашенную заемщиком часть суммы основного долга продолжают начисляться только до достижения ими двукратной суммы непогашенной части займа. МФО сможет вновь начать начисление процентов лишь после частичного погашения заемщиком займа и (или) уплаты причитающихся процентов.

Данные условия должны быть указаны МФО на первой странице договора потребительского займа, срок возврата по которому не превышает один год, перед таблицей, содержащей индивидуальные условия договора потребительского займа.

Из указанной нормы следует, что при наступлении просрочки исполнения обязательств по договору потребительского займа МФО может начислять должнику проценты на оставшуюся (непогашенную) часть суммы основного долга. При этом начисленные проценты не могут превышать двукратный размер непогашенной части суммы основного долга.

Следовательно, в тот момент времени, когда сумма просроченной задолженности по основному долгу равна 5000 рублей, сумма, взимаемая с заемщика при просрочке исполнения обязательства, будет равна 15000 рублей, которые включают сумму просроченной задолженности по основному долгу в размере 5000 рублей и начисленные проценты в размере 10000 рублей (5000 рублей * 2).

Обращаем внимание, что указанные трехкратное и двукратное ограничения применяются к договорам потребительского займа, заключенным в период с 1 января 2017 года по 27 января 2019 года включительно. К договорам, заключенным с 28 января 2019 года, применяются ограничения, установленные Федеральным законом от 27.12.2018 N 554-ФЗ "О внесении изменений в Федеральный закон "О потребительском кредите (займе)" и Федеральный закон "О микрофинансовой деятельности и микрофинансовых организациях").

Какие основные отличия микрофинансовых компаний от микрокредитных компаний?

Сравнение микрофинансовых организаций (МФО) в виде микрофинансовой компании (МФК) и микрокредитной компании (МКК)

N Сравнительный признак МФК МКК
1 Предельная сумма микрозайма физическому лицу (основного долга физического лица перед МФО по договорам микрозайма) 1 млн. руб. 500 тыс. руб.
2 Предельная сумма микрозайма юридическому лицу и индивидуальному предпринимателю (основного долга юридического лица или индивидуального предпринимателя перед МФО по договорам микрозайма) 5 млн. руб. 5 млн. руб.
3 Привлечение денежных средств Разрешено
- без ограничений по сумме от юридических лиц;
- без ограничений по сумме от физических лиц (в т.ч. индивидуальных предпринимателей), являющихся учредителями (участниками, акционерами);
- на сумму не менее 1,5 млн руб. от физических лиц (в т.ч. индивидуальных предпринимателей), не являющихся учредителями (участниками, акционерами).
Разрешено
- без ограничений по сумме от юридических лиц;
- без ограничений по сумме от физических лиц (в т.ч. индивидуальных предпринимателей), являющихся учредителями (участниками, акционерами).
Запрещено
- от физических лиц (в т.ч. индивидуальных предпринимателей), не являющихся учредителями (участниками, акционерами).
4 Размер собственных средств (капитала) Не менее 70 млн. руб. Требования отсутствуют
5 Выпуск облигаций Разрешено с учетом ограничений Запрещено
6 Соблюдение экономических нормативов а) достаточности собственных средств;
б) ликвидности;
в) максимального размера риска на одного заемщика или группу связанных заемщиков;
г) максимального размера риска на связанное с МФК лицо (группу связанных с МФК).
а) достаточности собственных средств;
б) ликвидности.
7 Формирование резервов на возможные потери по займам Обязанность установлена Обязанность установлена
8 Осуществление производственной и торговой деятельности Запрещено Разрешено
9 Делегирование кредитной организации проведения идентификации (упрощенной идентификации) клиента - физического лица Разрешено Запрещено
Идентификация (упрощенная идентификация) проводится самостоятельно.
10 Ежегодный аудит Обязаны проводить и представлять в Банк России аудиторское заключение о годовой бухгалтерской (финансовой) отчетности. Федеральным законом "О микрофинансовой деятельности и микрофинансовых организациях" обязанность не установлена.
Обязанность может возникать из норм Федерального закона от 30.12.2008 N 307-ФЗ "Об аудиторской деятельности", также аудит годовой бухгалтерской (финансовой) отчетности может производиться инициативно. В случае наличия аудиторского заключения о годовой бухгалтерской (финансовой) отчетности возникает обязанность представления его в Банк России в срок и в порядке предусмотренные Банком России для представления годовой бухгалтерской (финансовой) отчетности.
11 Членство в саморегулируемой организации в сфере финансового рынка, объединяющей МФО (СРО) Обязательное членство Обязательное членство
12 Надзор Банка России за соблюдением Федерального закона "О микрофинансовой деятельности и микрофинансовых организациях" и (или) принятых в соответствии с ним нормативных правовых актов Российской Федерации и нормативных актов Банка России Банк России осуществляет постоянный надзор. Банк России осуществляет надзор в случае:
1) МКК не является членом СРО;
2) при наличии информации о возможном нарушении МКК Федерального закона "О микрофинансовой деятельности и микрофинансовых организациях" и (или) принятых в соответствии с ним нормативных правовых актов Российской Федерации и нормативных актов Банка России;
3) при возникновении необходимости проведения проверки МКК Банком России, обусловленной проводимой проверкой деятельности СРО, членом которой является такая МКК.

Вправе ли микрофинансовая компания выдавать потребительские займы на сумму свыше одного миллиона рублей? Вправе ли микрокредитная компания выдавать потребительские займы на сумму свыше пятисот тысяч рублей?

В соответствии с требованиями Федерального закона от 02.07.2010 N 151-ФЗ "О микрофинансовой деятельности и микрофинансовых организациях" (далее - Закон N 151-ФЗ), микрофинансовая компания не может выдавать физическому лицу микрозаем (микрозаймы), если сумма основного долга заемщика перед микрофинансовой компанией по договорам микрозайма в случае предоставления такого микрозайма (микрозаймов) превысит один миллион рублей. Для микрокредитной компании ограничение значения суммы основного долга заемщика составляет пятьсот тысяч рублей.

Таким образом, если на момент заключения договора микрозайма с микрофинансовой/микрокредитной компанией сумма основного долга заемщика превысит установленное значение в один миллион рублей/пятьсот тысяч рублей, такой договор не может быть заключен.

Законом N 151-ФЗ также установлено, что микрофинансовые организации (микрофинансовые и микрокредитные компании) вправе осуществлять иную деятельность, в том числе выдавать иные займы, перечень которых ограничен иными займами юридическим лицам и физическим лицам по договорам займа, исполнение обязательств по которым обеспечено ипотекой, и иными займами юридическим лицам, являющимся субъектами малого и среднего предпринимательства или имеющим статус микрофинансовой организации, кредитного потребительского кооператива, сельскохозяйственного кредитного потребительского кооператива, ломбарда, а также юридическим лицам, являющимся аффилированными лицами микрофинансовой организации.

Таким образом, микрофинансовые организации не вправе выдавать потребительские займы, сумма которых превышает один миллион рублей (для микрофинансовых компаний) или пятьсот тысяч рублей (для микрокредитных компаний), за исключением займов физическим лицам, обязательства заемщиков по которым обеспечены ипотекой.

Необходимо ли микрофинансовой организации, зарегистрированной в форме учреждения или некоммерческого партнерства, изменить организационно-правовую форму в связи с изменениями от 29 марта 2016 года?

С 29 марта 2016 года вступил в силу Федеральный закон от 29.12.2015 N 407-ФЗ "О внесении изменений в отдельные законодательные акты Российской Федерации и признании утратившими силу отдельных положений законодательных актов Российской Федерации" (далее - Закон N 407-ФЗ), который, в частности, внес изменения в Федеральный закон от 02.07.2010 N 151-ФЗ "О микрофинансовой деятельности и микрофинансовых организациях" (далее - Закон N 151-ФЗ).

С 29 марта 2016 года приобрести статус микрофинансовой организации (далее - МФО) вправе юридическое лицо, зарегистрированное в форме фонда, автономной некоммерческой организации, хозяйственного общества или товарищества (часть 3 статьи 5 Закона N 151-ФЗ). Таким образом, с указанной даты исключается возможность для приобретения статуса МФО юридическим лицом, зарегистрированным в форме учреждения, а также некоммерческого партнерства.

В соответствии с частью 3 статьи 5 Закона N 407-ФЗ микрофинансовые организации, сведения о которых внесены в государственный реестр МФО до 29 марта 2016 года, признаются микрокредитными компаниями и обязаны до 29 марта 2017 года привести свое наименование в соответствие с требованиями Закона N 151-ФЗ.

Наименование микрофинансовой компании должно содержать словосочетание "микрофинансовая компания" и указание на ее организационно-правовую форму. Наименование микрокредитной компании должно содержать словосочетание "микрокредитная компания" и указание на ее организационно-правовую форму (часть 16 статьи 5 Закона N 151-ФЗ).

Таким образом, в период с 29 марта 2016 года по 29 марта 2017 года те МФО, которые зарегистрированы в форме учреждения или некоммерческого партнерства, обязаны преобразоваться в одну из допустимых Законом N 151-ФЗ (а также гражданским законодательством) организационно-правовых форм.

Распространяется ли ограничение на начисление процентов по договорам потребительского микрозайма в соответствии с пунктом 9 части 1 статьи 12 Федерального закона от 02.07.2010 N 151-ФЗ "О микрофинансовой деятельности и микрофинансовых организациях" на договоры, заключенные микрофинансовой организацией до 29 марта 2016 года?

29 марта 2016 года вступил в силу Федеральный закон от 29.12.2015 N 407-ФЗ "О внесении изменений в отдельные законодательные акты Российской Федерации и признании утратившими силу отдельных положений законодательных актов Российской Федерации" (далее - Закон N 407-ФЗ), который, в частности, внес изменения в Федеральный закон от 02.07.2010 N 151-ФЗ "О микрофинансовой деятельности и микрофинансовых организациях" (далее - Закон N 151-ФЗ), в соответствии с которыми ограничивается начисление процентов по договорам потребительского микрозайма, заключенным на короткий срок.

Для микрофинансовых организаций предусмотрен запрет на начисление заемщику - физическому лицу процентов и иных платежей по договору потребительского займа, срок возврата потребительского займа по которому не превышает одного года, за исключением неустойки (штрафа, пени) и платежей за услуги, оказываемые заемщику за отдельную плату, в случае, если сумма начисленных по договору процентов и иных платежей достигнет четырехкратного размера суммы займа.

Условие, содержащее данный запрет, должно быть указано микрофинансовой организацией на первой странице договора потребительского займа, срок возврата потребительского займа по которому не превышает одного года, перед таблицей, содержащей индивидуальные условия договора потребительского займа.

Акты гражданского законодательства не имеют обратной силы и применяются к отношениям, возникшим после введения их в действие. Действие закона распространяется на отношения, возникшие до введения его в действие, только в случаях, когда это прямо предусмотрено законом (пункт 1 статьи 4 Гражданского кодекса Российской Федерации).

Таким образом, ограничение на начисление процентов по договорам потребительского микрозайма (пункт 9 части 1 статьи 12 Закона N 151-ФЗ) будет применяться к договорам микрозайма, заключенным с 29 марта 2016 года.

Увидел в газете объявление о приеме микрофинансовой организацией денежных средств от 30 тысяч рублей под высокий процент. Разъясните, законно ли это, насколько мне известно, микрофинансовые организации не могут привлекать суммы менее 1,5 млн. руб.

Юридическое лицо для осуществления деятельности в качестве микрофинансовой организации (МФО) должно быть в обязательном порядке внесено в государственный реестр МФО, который ведет Банк России. Проверить наличие организации в реестре можно на сайте ЦБ РФ по адресу: http://www.cbr.ru/finmarket/sv_micro/. МФО в соответствии со статьей 12 закона от 02.07.2010 N 151-ФЗ "О микрофинансовой деятельности и микрофинансовых организациях" не имеют права привлекать денежные средства физических лиц, не являющихся учредителями (членами, участниками, акционерами) МФО, в сумме менее 1,5 миллионов рублей. Следует отметить, что отдельные МФО допускают нарушения законодательных требований, направленные на обход ограничений по привлечению денежных средств физических лиц по договорам займа. Банк России применяет к таким организациям меры воздействия, предусмотренные действующим законодательством РФ, вплоть до исключения сведений о юридическом лице из реестра МФО. Обращаем особое внимание, что в настоящее время практически во всех регионах РФ активизировались юридические лица, не являющиеся МФО (не включенные в реестр) и привлекающие денежные средства граждан под достаточно высокий процент. Зачастую подобные фирмы используют наименования, схожие до степени смешения с реально существующими микрофинансовыми организациями, и имитируют деятельность МФО. Банк России не наделен функциями контроля и надзора за юридическими лицами, не являющимися МФО, и не уполномочен применять к ним меры ответственности и воздействия. Граждане, передавая указанным организациям денежные средства, подвергают себя риску их утраты или хищения. Банк России призывает потребителей финансовых услуг быть осмотрительнее при заключении договоров займа и обращать внимание на наличие организации в реестре МФО, а также принимать во внимание ограничение по минимальной сумме денежных средств, привлекаемых МФО от сторонних физических лиц (не менее 1,5 миллионов рублей). При наличии сведений и документов об осуществлении МФО деятельности с нарушением требований действующего законодательства Российской Федерации, необходимо направлять соответствующие материалы в Службу Банка России по защите прав потребителей финансовых услуг и миноритарных акционеров.

Существуют ли специальные требования к копии правил предоставления микрозаймов, размещаемой микрофинансовой организацией в месте, доступном для обозрения и ознакомления с ними любого заинтересованного лица, и в сети Интернет?

Согласно части 2 статьи 8 Федерального закона от 02.07.2010 N 151-ФЗ "О микрофинансовой деятельности и микрофинансовых организациях" правила предоставления микрозаймов (далее - Правила) утверждаются органом управления микрофинансовой организации. Процедура утверждения Правил предполагает наличие отметки об их утверждении и реквизитов соответствующего решения органа управления микрофинансовой организации.

Микрофинансовые организации обязаны размещать копию Правил в месте, доступном для обозрения и ознакомления с ними любого заинтересованного лица, и в сети Интернет.

Исходя из того, что отсутствие у заемщиков полной информации о микрозайме влечет нарушение их прав как потребителей в сфере финансовых услуг, копия Правил должна полностью соответствовать оригиналу, то есть воспроизводить информацию подлинника документа и его внешние признаки.

Вправе ли микрофинансовая организация привлекать агента при осуществлении деятельности по выдаче потребительских микрозаймов?

Согласно статье 4 Федерального закона от 21.12.2013 N 353-ФЗ "О потребительском кредите (займе)" (далее - Закон N 353-ФЗ) профессиональная деятельность по предоставлению потребительских займов осуществляется кредитными организациями, а также некредитными финансовыми организациями в случаях, определенных федеральными законами об их деятельности.

В соответствии с частью 2.1 статьи 3 Федерального закона от 02.07.2010 N 151-ФЗ "О микрофинансовой деятельности и микрофинансовых организациях" (далее - Закон N 151-ФЗ) микрофинансовые организации вправе осуществлять профессиональную деятельность по предоставлению потребительских займов в порядке, установленном Законом N 353-ФЗ.

При этом согласно пункту 2 части 1 статьи 2 Закона N 151-ФЗ под микрофинансовой организацией понимается юридическое лицо, осуществляющее микрофинансовую деятельность и внесенное в государственный реестр микрофинансовых организаций в порядке, предусмотренном Законом N 151-ФЗ.

Таким образом, предоставление потребительских микрозаймов согласно положениям Закона N 353-ФЗ и Закона N 151-ФЗ является профессиональной деятельностью, осуществляемой лицами, обладающими специальной правоспособностью микрофинансовой организации.

В противном случае, а именно в случае признания допустимости передачи возникшего в силу определенного статуса права на осуществление конкретного вида деятельности другому лицу, утрачивается смысл получения данного статуса.

Вместе с тем следует учитывать, что в соответствии с частью 1 статьи 7 Закона N 353-ФЗ договор потребительского кредита (займа) заключается в порядке, установленном законодательством Российской Федерации для кредитного договора, договора займа, с учетом особенностей, предусмотренных Законом N 353-ФЗ.

Согласно пункту 1 статьи 807 Гражданского кодекса Российской Федерации договор займа считается заключенным с момента передачи денег или других вещей. В соответствии с частью 6 статьи 7 Закона N 353-ФЗ договор потребительского займа считается заключенным с момента передачи заемщику денежных средств.

При этом ни Гражданский кодекс Российской Федерации, ни Закон N 151-ФЗ, ни Закон N 353-ФЗ не содержат запрета на привлечение агента при осуществлении микрофинансовой организацией деятельности по выдаче потребительских микрозаймов.

В этой связи не усматривается препятствий для привлечения агента, например, в целях распространения информации об условиях предоставления микрозаймов, приема заявлений о предоставлении микрозайма, подписания от имени микрофинансовой организации договоров микрозайма, формирования комплекта документов в отношении заемщика и иных действий, при условии, что непосредственно выдача денежных средств и, как следствие, заключение договора микрозайма осуществляется самой микрофинансовой организацией (например, путем перевода денежных средств со своего банковского счета, выдачи денежных средств из своей кассы).

Соблюдает ли микрофинансовая организация требования статьи 12 Федерального закона от 02.07.2010 N 151-ФЗ "О микрофинансовой деятельности и микрофинансовых организациях" (далее - Закон N 151-ФЗ), если сделка совершается на следующих условиях:

Микрофинансовая организация на платной основе уступает физическому лицу права требования (цессия) по выданным договорам микрозайма с обязательным обратным выкупом. Сумма цессии в рамках одного договора уступки прав требования менее одного миллиона пятисот тысяч рублей. Устанавливается фиксированный срок обратного выкупа, а также вознаграждение в виде процентов физическому лицу, которому права требования были уступлены.

Указанная сделка предусматривает обязательный выкуп прав требования по договору микрозайма микрофинансовой организацией (цессия с обратным выкупом), при котором денежные средства возвращаются кредитору - физическому лицу по номинальной стоимости портфеля вне зависимости от степени обесценения. Также механизм предусматривает гарантированный доход кредитора.

Срок финансирования в представленном механизме является фиксированным, после чего микрофинансовая организация выкупает обратно заемное обязательство (в том числе просроченное) и уплачивает вознаграждение кредитору. Исходя из изложенного, описанная выше схема обладает признаками договора займа, так как предусматривает фактическую передачу денежных средств от кредитора - физического лица к микрофинансовой организации, возвратность в установленный срок указанных денежных средств, а также гарантированный доход кредитора.

В соответствии со статьей 12 Закона N 151-ФЗ микрофинансовая организация не вправе, в том числе, привлекать денежные средства физических лиц. Данное ограничение не распространяется на привлечение денежных средств физических лиц:

- являющихся учредителями (членами, участниками, акционерами) микрофинансовой организации;

- предоставляющих денежные средства в рамках заключенного одним займодавцем с микрофинансовой организацией договора займа на сумму один миллион пятьсот тысяч рублей и более, при условии, что сумма основного долга микрофинансовой организации перед таким займодавцем не должна составлять менее одного миллиона пятисот тысяч рублей в течение всего срока действия указанного договора;

- приобретающих облигации микрофинансовой организации номинальной стоимостью более одного миллиона пятисот тысяч рублей каждая, а также физических лиц, являющихся квалифицированными инвесторами в соответствии с законодательством о рынке ценных бумаг и приобретающих облигации микрофинансовой организации, предназначенные для квалифицированных инвесторов.

В представленном механизме сумма цессии в рамках одного договора может быть менее одного миллиона пятисот тысяч рублей.

Исходя из изложенного, представленный механизм направлен на нивелирование требования, установленного статьей 12 Закона N 151-ФЗ, в соответствии с которым сумма основного долга микрофинансовой организации перед займодавцем не должна составлять менее одного миллиона пятисот тысяч рублей в течение всего срока действия указанного договора. В связи с чем в данной схеме усматривается нарушение статьи 12 Закона N 151-ФЗ в случае, если сумма цессии в рамках одного договора будет менее одного миллиона пятисот тысяч рублей.

Является ли законным осуществление микрофинансовой деятельности (негласным) товариществом, предусматривающим совместное осуществление индивидуальными предпринимателями и микрофинансовой организацией указанной деятельности?

В соответствии с подпунктом 1 пункта 1 статьи 2 Федерального закона от 02.07.2010 N 151-ФЗ "О микрофинансовой деятельности и микрофинансовых организациях" (далее - Федеральный закон N 151-ФЗ) микрофинансовая деятельность - это деятельность юридических лиц, имеющих статус микрофинансовой организации, а также иных юридических лиц, имеющих право на осуществление микрофинансовой деятельности в соответствии со статьей 3 Федерального закона N 151-ФЗ, по предоставлению микрозаймов (микрофинансирование).

При этом под микрофинансовой организацией понимается юридическое лицо, осуществляющее микрофинансовую деятельность и внесенное в государственный реестр микрофинансовых организаций в установленном порядке. Таким образом, предоставление микрозаймов, согласно положениям Федерального закона N 151-ФЗ, является деятельностью, осуществляемой лицами, обладающими специальной правоспособностью.

С учетом изложенного, предоставление микрозаймов должно осуществляться непосредственно субъектом, обладающим соответствующим статусом. В противном случае, а именно в случае фактического осуществления данной деятельности лицами, не обладающими соответствующим статусом, но с привлечением микрофинансовой организации, утрачивается смысл получения данного статуса.

Кроме того, в указанном случае микрофинансовая организация может рассматриваться в качестве "промежуточного звена", направленного на нивелирование законодательных требований и призванным обеспечить формальную легитимность указанной деятельности.

Следовательно, данная схема деятельности может быть признана как не соответствующая требованиям Федерального закона N 151-ФЗ.

О расчете показателя долговой нагрузки

В МФО обратился потенциальный заемщик со среднемесячным доходом 70 000 руб. У него уже имеется задолженность по двум займам с другими кредиторами. Как определить среднемесячный платеж заемщика по этим займам и рассчитать ПДН?

1. Для договора займа на срок 15 дней.

Условия договора: заем предоставлен без использования банковской карты, на дату расчета ПДН остаток задолженности по основному долгу составил 11 000 рублей, полная стоимость кредита (займа) составляет 293,4% годовых. Задолженность по займу погашается одним платежом в конце срока.

Для потребительских займов, заключенных на срок до 30 дней включительно, показатель "ЧБП" принимается равным сроку предоставления займа в днях.

2. Для договора займа на срок 60 дней.

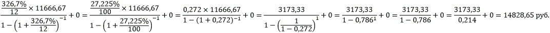
Условия договора: заем предоставлен без использования банковской карты, на дату расчета ПДН остаток задолженности по основному долгу составил 11 666,67 рублей, полная стоимость кредита (займа) составляет 326,7% годовых. Задолженность по займу погашается ежемесячно, аннуитетными платежами по графику. Срок погашения задолженности по займу истекает через один месяц.

Обращаем внимание, что ПСК в формуле расчета среднемесячного платежа, указана в процентах. Для целей проведения арифметических расчетов значение ПСК может быть указано в процентах годовых, т.е. с указанием знака "%" (в приведенном примере - 326,7%), либо переведено в десятичную дробь: убрать знак "%" (326,7) и разделить значение на 100 (3,267).

Предположим, что по займу, на который в МФО была подана заявка, среднемесячный платеж заемщика составит 9 302,52 руб.

Таким образом, сумма среднемесячных платежей заемщика по всем договорам потребительского кредита (займа) составит:

12 362,39 + 14 828,65 + 9 302,52 = 36 493,56 руб.

При среднемесячном доходе 70 000 руб. ПДН заемщика составит:

Порядок расчета дохода заемщика, указанный в пункте 3.7 приложения 2 к Указанию N 5115-У (Указанию N 5114-У) является правом или обязанностью организации? Правомерно ли при предоставлении потребительских займов в размере до 50 тысяч рублей или потребительских займов на цели приобретения автотранспортного средства, исполнение обязательств заемщика по которым обеспечено залогом приобретаемого автотранспортного средства, использовать такой же подход, как для обычных займов?

Пункт 3.7 Приложения 2 введен с целью снижения нагрузки на микрофинансовые компании при расчете ПДН в случае предоставления потребительских займов до 50 тыс. рублей или потребительских займов на цели приобретения автотранспортного средства, обеспеченных залогом этого автотранспортного средства. В связи с этим полагаем, что Указание N 5115-У (Указание N 5114-У) не ограничивает МФО в праве устанавливать более жесткие требования к источникам информации, используемым при расчете ПДН при предоставлении указанных видов потребительских займов.

Какие документы для подтверждения дохода заемщика могут быть запрошены у самозанятых граждан и лиц, использующих патенты?

В соответствии с пунктом 3.4 Приложения 2 доходы, полученные заемщиком, учитываются при определении величины среднемесячного дохода заемщика только при наличии подтверждающих документов.

Пунктом 3.5 Приложения 2 установлен перечень документов, используемых для определения величины среднемесячного дохода заемщика, в том числе для подтверждения доходов самозанятых граждан и лиц, использующих патенты, могут быть использованы:

заявление о предоставлении потребительского займа, содержащее информацию о величине дохода заемщика;

справка по форме 2-НДФЛ (по форме 3-НДФЛ);

выписка по счету заемщика;

иные документы, выданные государственными (муниципальными) органами, учреждениями, организациями или предприятиями, должностными лицами Вооруженных сил Российской Федерации и воинских формирований, физическими лицами, зарегистрированными в качестве индивидуальных предпринимателей, в частности:

декларация по единому сельскохозяйственному налогу (для индивидуальных предпринимателей, являющихся сельскохозяйственными товаропроизводителями);

декларация по налогу, уплачиваемому в связи с применением упрощенной системы налогообложения (для индивидуальных предпринимателей, использующих данную систему налогообложения);

декларация по единому налогу, уплачиваемому в виде единого дохода на вмененный доход для отдельных видов деятельности;

копии квитанций (платежных поручений) об уплате налогов за налоговые периоды, соответствующие периоду расчета среднемесячного дохода;

книга учета доходов и расходов и хозяйственных операций индивидуального предпринимателя;

книга учета доходов и расходов организаций и индивидуальных предпринимателей, применяющих упрощенную систему налогообложения;

книга учета доходов индивидуальных предпринимателей, применяющих патентную систему налогообложения;

книга учета доходов и расходов индивидуальных предпринимателей, применяющих систему налогообложения для сельскохозяйственных товаропроизводителей (единый сельскохозяйственный налог).

Также к заявлению о предоставлении потребительского займа, содержащем информацию о величине дохода заемщика, могут быть приложены иные документы, содержащие подтверждающую доходы информацию, при условии, что указанная информация в соответствии с критериями, установленным во внутренней методике, оценивается как достоверная и актуальная, а также если перечень и порядок их представления установлен МФО во внутренних документах в соответствии с требованиями Приложения 2 на основании пункта 1.3 Приложения 2.

Необходимо ли рассчитывать ПДН и показатель А3 при уступке в пользу МФО прав требования по договорам займа, заключенным ранее с другими кредиторами

В соответствии с положениями абзаца третьего пункта 1.1 Приложения 2 МФО рассчитывает ПДН при принятии решения о предоставлении потребительского займа в сумме (с лимитом кредитования), а также при принятии решения об увеличении лимита кредитования по потребительскому займу не позднее даты принятия такого решения.

Таким образом Указанием N 5115-У (N 5114-У) не установлена обязанность МФО рассчитывать ПДН по займам, по которым права требования были переданы МФО и (или) приобретены МФО на основании договора цессии. Вместе с тем, в случае, если по указанным договорам займа МФО принимает решение об изменении суммы (увеличении лимита кредитования), МФО необходимо рассчитывать ПДН.

Результат расчета ПДН должен быть сохранен? Если да, то в каком виде?

Исходя из пункта 1.2 Приложения 2 при определении методики расчета ПДН МФО следует предусмотреть порядок документального оформления расчета ПДН и фиксации его результата, в том числе в целях предоставления соответствующих документов при проведении проверок в соответствии с требованиями Инструкции Банка России от 01.09.2014 N 156-И "Об организации инспекционной деятельности Банка России в отношении некредитных финансовых организаций, саморегулируемых организаций некредитных финансовых организаций и не являющихся кредитными организациями операторов платежных систем, операторов услуг платежной инфраструктуры".

Предусмотрена ли ответственность за неверный расчет ПДН?

Нарушение порядка расчета ПДН может повлечь некорректное определение показателя А3 и, как следствие, неверный расчет НМФК1 (для микрофинансовых компаний) и НМКК1 (для микрокредитных компаний), что является основанием для применения со стороны Банка России мер, предусмотренных законодательством Российской Федерации, нормативными актами Банка России.

Необходимо ли рассчитывать ПДН в отношении физического лица, которому отказано в предоставлении займа?

Согласно пункту 1.1 Приложения 2 ПДН - отношение суммы среднемесячных платежей по всем потребительским кредитам (займам) заемщика к величине среднемесячного дохода заемщика, рассчитывается по каждому заемщику при принятии решения о предоставлении потребительского займа в сумме (с лимитом кредитования) 10 000 рублей и более, а также при принятии решения об увеличении лимита кредитования по потребительскому займу не позднее даты принятия МФО такого решения.

В связи с этим в случае принятия решения об отказе в предоставлении займа в сумме (с лимитом кредитования) 10 000 рублей и более, а также при принятии решения об отказе в увеличении лимита кредитования по потребительскому займу основания для обязательного расчета МФО ПДН отсутствуют.

Вместе с тем, ПДН может выступать одним из критериев принятия решения о предоставлении займа.

Нужно ли рассчитывать ПДН при изменении срока действия (пролонгации) договора потребительского займа?

Исходя из пункта 1.1 Приложения 2, ПДН рассчитывается при принятии решения о предоставлении потребительского займа или при принятии решения об увеличении лимита кредитования по такому займу.

Заключение соглашения об изменении срока действия договора потребительского займа (без увеличения суммы займа) не предусматривает принятия решения о предоставлении потребительского займа (увеличении лимита кредитования). В связи с этим рассчитывать ПДН при заключении такого соглашения не требуется.

Вместе с тем, согласно пункту 1.2 Приложения 2 МФО самостоятельно определяет Методику расчета ПДН в части, не противоречащей требованиям указанного приложения, в соответствии с характером и масштабами совершаемых МФО операций, уровнем и сочетанием рисков, а также с учетом доступности и качества информации, используемой при расчете ПДН.

Таким образом, МФО вправе рассчитывать ПДН при заключении с заемщиком дополнительного соглашения об изменении срока договора займа, предусмотрев данный расчет в своей Методике.

Может ли период времени между расчетом ПДН и датой предоставления займа превышать 15 календарных дней с учетом специфики продукта МФО?

Исходя из пункта 2.3 Приложения 2, временной интервал между расчетом ПДН и датой предоставления займа не должен превышать 15 календарных дней.

Вправе ли МФО для получения информации, необходимой для расчета ПДН, взаимодействовать только с одним БКИ, или необходимо взаимодействовать с несколькими?

Указание N 5115-У (N 5114-У) не содержит требование к количеству запрашиваемых БКИ.

Принимая во внимание положения пункта 1.2 Приложения 2, полагаем, что МФО вправе самостоятельно определить количество БКИ, данные которых используются МФО при расчете ПДН.

МФО вправе указать во внутренних документах БКИ, информация из которого (которых) используется при расчете суммы среднемесячных платежей по всем кредитам и займам заемщика.

Где размещена информация о средневзвешенной ставке по кредитам (займам), обязательства заемщика по которым обеспечены ипотекой?

Информация о средневзвешенной ставке по кредитам (займам), обязательства заемщика по которым обеспечены ипотекой, размещены во вкладке "Показатели рынка жилищного (ипотечного жилищного) кредитования (региональный разрез)" в подрубрике "Жилищное (ипотечное жилищное) кредитование" рубрики "Показатели рынка жилищного (ипотечного жилищного) кредитования" подраздела "Банковский сектор" раздела "Статистика" официального сайта Банка России в сети "Интернет".

Можно ли для расчета суммы среднемесячных платежей по всем потребительским кредитам (займам) заемщика использовать данные, содержащиеся в полях "Следующий платеж" и "Ежемесячный платеж" кредитного отчета, полученного из БКИ?

В соответствии с положениями главы 2 Приложения 2 МФО обязана рассчитать сумму среднемесячных платежей по всем договорам потребительского кредита (займа) заемщика. Порядок расчета среднемесячных платежей предусмотрен пунктами 2.4, 2.5, 2.7 Приложения 2.

При этом МФО обязана рассчитать среднемесячные платежи по предоставленным кредитам за период с даты предоставления кредита (займа) (или даты расчета ПДН) до предусмотренной договором даты полного исполнения обязательств по кредиту. При этом отчеты БКИ содержат сведения только о платежах, произведенных на текущую дату, что не позволяет корректно произвести расчет среднемесячного платежа только на основе данных БКИ. Таким образом, информации, содержащейся в полях "Следующий платеж" и "Ежемесячный платеж" кредитного отчета, предоставленного БКИ, недостаточно для расчета среднемесячных платежей заемщика в соответствии с требованиями Приложения 2.

Каким образом получить информацию о ПСК, если неизвестна категория потребительского микрозайма?

При отсутствии в кредитном отчете, полученном из БКИ, сведений о категории потребительских кредитов (займов) потенциального заемщика в целях определения подлежащего применению среднерыночного значения ПСК, публикуемого Банком России, МФО вправе уточнить у потенциального заемщика условия ранее заключенных им договоров. В случае непредставления заемщиком соответствующей информации рекомендуем использовать среднеарифметическое значение ПСК, установленное Банком России в отношении потребительских микрозаймов с обеспечением в виде залога, потребительских микрозаймов с иным обеспечением, потребительских микрозаймов без обеспечения (кроме POS-микрозаймов), POS-микрозаймов для соответствующего периода.

Принимая во внимание пункты 1.2 и 1.3 Приложения 2, методика расчета ПДН, разрабатываемая МФО, должна позволять реально оценивать риски МФО, а информация, используемая для расчета ПДН, должна рассматриваться как достоверная и актуальная.

Если помимо заявления (анкеты) заемщика МФО запрашиваются кредитные отчеты БКИ, то подлежит ли применению пункт 3.6 приложения 2 к Указанию N 5115-У (N 5114-У)?

Пункт 3.6 Приложения 2 применяется в случае, если при определении величины среднемесячного дохода заемщика используется только заявление, указанное в абзаце втором пункта 3.5 указанного приложения.

В случае если для оценки величины дохода заемщика используются кредитные отчеты, предоставляемые БКИ, для определения величины среднемесячного дохода заемщика необходимо руководствоваться пунктом 3.8 Приложения 2.

Возможен ли альтернативный метод расчета среднемесячного платежа по потребительским кредитам (займам), предоставленным другими кредиторами с использованием банковских карт, в том числе на условиях овердрафт (п. 2.8 Указания N 5115 (N 5114-У)?

Пункт 2.8 Приложения 2 распространяется на определенную в нем категорию потребительских кредитов (займов) и не предполагает использование МФО альтернативных способов расчета значения среднемесячных платежей заемщика.

В случае если сведения из кредитного отчета, предоставляемого БКИ, не позволяют достоверно и актуально определить среднемесячные платежи по договорам потребительского кредита (займа), заключенным заемщиком с другими кредиторами (заимодавцами), МФО в соответствии с пунктом 2.10 Приложения 2 вправе рассчитывать сумму среднемесячных платежей с использованием иной документально подтвержденной информации.

При предоставлении потребительского займа в размере до 50 тысяч рублей или потребительских займов на цели приобретения автотранспортного средства, исполнение обязательств заемщика по которым обеспечено залогом приобретаемого автотранспортного средства, в расчет ПДН включается только величина дохода, указанная в заявлении на предоставление потребительского займа, подписанном заемщиком. Так ли это?

В соответствии с пунктом 3.7 Приложения 2 при предоставлении потребительских займов в размере до 50 тысяч рублей или потребительских займов на цели приобретения автотранспортного средства, исполнение обязательств заемщика по которым обеспечено залогом приобретаемого автотранспортного средства, в расчет ПДН включается величина дохода, указанная в заявлении на предоставление потребительского займа, подписанном заемщиком, и скорректированная МФО с использованием внутренних моделей, применяемых для оценки платежеспособности заемщика и включенных в Методику без учета ограничений, установленных пунктом 3.6 Приложения 2. Указанный пункт действует по 01.10.2020 включительно.

Где размещена информация о среднедушевом денежном доходе? Как ее использовать?

Пунктом 3.6 Приложения 2 при определении среднемесячного дохода заемщика на основании среднеарифметического значения среднедушевого денежного дохода региона местонахождения заемщика прямо предусмотрены основания определения соответствующего региона - регистрация заемщика по месту пребывания на территории региона Российской Федерации или по месту жительства (при отсутствии регистрации по месту пребывания). Иные подходы для определения региона местонахождения заемщика не предусмотрены. Обращаем внимание, что порядок регистрационного учета граждан Российской Федерации по месту пребывания и по месту жительства в пределах Российской Федерации установлен Законом Российской Федерации от 25.06.1993 N 5242-1 "О праве граждан Российской Федерации на свободу передвижения, выбор места пребывания и жительства в пределах Российской Федерации".

Оперативные данные по среднедушевым денежным доходам населения в разрезе субъектов Российской Федерации, которые обновляются ежеквартально, размещены на официальном сайте Федеральной службы государственной статистики в сети "Интернет" - gks.ru, в разделе "Публикации/Публикации, характеризующие экономическое положение субъектов Российской Федерации/Статистический бюллетень "Социально-экономическое положение федеральных округов".

Что делать, если кредитные отчеты, предоставленные БКИ, содержат неактуальную и (или) недостоверную информацию? Можно ли МФО установить в Методике расчета ПДН, что информация, содержащаяся в заявлении (анкете) заемщика, является достоверной и актуальной?

При расчете величины среднемесячных платежей по всем потребительским кредитам (займам) заемщика в соответствии с пунктом 2.10 Приложения 2 в случае, если сведения из кредитного отчета, предоставляемого БКИ, не позволяют достоверно и актуально определить среднемесячные платежи по договорам потребительского кредита (займа), заключенным заемщиком с другими кредиторами (заимодавцами), для их расчета в соответствии с пунктами 2.5 и 2.8 Приложения 2 может быть использована документально подтвержденная информация, оцениваемая МФО как достоверная и актуальная в соответствии с критериями, установленными в методике расчета ПДН согласно положениям пунктов 1.2 и 1.3 Приложения 2.

При этом МФО вправе рассчитывать значение среднемесячных платежей по кредитам и займам по договорам, заключенным заемщиком с другими кредиторами (заимодавцами), в том числе с использованием документально подтвержденной информации, в частности, оформленного и подписанного заемщиком заявления о предоставлении кредита (займа) с подписанным заемщиком подтверждением, что содержащаяся в заявлении информация достоверна и актуальна.

При расчете величины среднемесячного дохода заемщика Указание N 5115-У (N 5114-У) не ограничивает МФО в установлении в методике расчета ПДН критериев достоверности и актуальности информации, полученной из БКИ, а также в использовании для расчета ПДН информации из иных источников, указанных в пункте 3.5 Приложения 2.

Какими могут быть критерии, позволяющие оценить достоверность и актуальность сведений, используемых для расчета среднемесячных платежей?

Критерии, в соответствии с которыми документально подтвержденная информация оценивается МФО как достоверная и актуальная, определяются МФО в Методике расчета ПДН. Согласно пункту 1.2 Приложения 2 МФО самостоятельно определяет методику расчета ПДН в части, не противоречащей требованиям указанного приложения, в соответствии с характером и масштабами совершаемых ей операций, уровнем и сочетанием рисков, а также с учетом доступности и качества информации, используемой при расчете ПДН. В качестве критериев достоверности и актуальности информации могут использоваться такие критерии как сопоставимость, давность, возможность быть проверенной и подтвержденной.

Где можно получить информацию о рыночных значениях процентных ставок по договорам потребительского кредита (займа), заключенным с другими кредиторами (заимодавцами), на аналогичных условиях в календарном квартале, в котором был заключен договор потребительского кредита (займа) (если отсутствует среднерыночное значение полной стоимости потребительского кредита (займа) (далее - ПСК), опубликованное Банком России, по категориям потребительских кредитов (займов)? (пункт 2.6 Приложения 2).

Ввиду наличия по категориям потребительского займа среднерыночных значений ПСК, опубликованных Банком России, в соответствии с третьим абзацем пункта 2.6 Приложения 2, если отсутствует среднерыночное значение ПСК, опубликованное Банком России, по календарному кварталу, в котором был заключен договор потребительского займа, МФО для расчета среднемесячных платежей может использовать среднерыночные значения ПСК, опубликованные Банком России, ближайшего календарного квартала, следующего за календарным кварталом, в котором был заключен договор потребительского займа.

В соответствии с четвертым абзацем пункта 2.6 Приложения 2 при отсутствии среднерыночного значения ПСК, опубликованного Банком России, по категориям потребительских кредитов (займов), для определения среднеарифметического значения процентной ставки, на основе доступных рыночных значений процентных ставок по потребительским кредитам (займам), заключенным на аналогичных условиях в календарном квартале, в котором был заключен другим кредитором договор потребительского кредита (займа), МФО следует использовать информацию, содержащую релевантные сведения о значениях процентных ставок, которые использовались бы участниками рынка при определении процентной ставки по аналогичным (сопоставимым) договорам потребительского кредита (займов), из любых доступных источников.

Обязательно ли МФО запрашивать кредитный отчет из БКИ для расчета среднемесячных платежей заемщика?

Сумма среднемесячных платежей по договорам потребительского кредита (займа), заключенным заемщиком (созаемщиком) с другими кредиторами (заимодавцами), а также по договорам потребительского кредита (займа), в отношении которых заемщик выступает поручителем, рассчитывается с учетом информации, содержащейся в кредитном отчете, предоставляемом БКИ по запросу МФО в соответствии со статьей 6 Федерального закона от 30.12.2004 N 218-ФЗ "О кредитных историях", и иной информации, используемой для расчета среднемесячных платежей.

При этом в соответствии с пунктами 2.6, 2.7, 2.10 Приложения 2 предусмотрено использование иной информации в случае отсутствия в кредитном отчете, предоставляемом БКИ, необходимой информации. Таким образом, для оценки суммы среднемесячных платежей по всем потребительским кредитам (займам) заемщика необходимо запросить кредитный отчет в БКИ.

Если ПДН заемщика составляет более 50%, то какие действия должна предпринять МФО? И означает ли это автоматический отказ в выдаче займа?

В случае если при принятии решения о предоставлении потребительского займа в сумме (с лимитом кредитования) 10 000 рублей и более, а также при принятии решения об увеличении лимита кредитования по потребительскому займу ПДН составил более 50%, сумма требований по основному долгу и начисленным процентным доходам (включая проценты за пользование потребительским займом, любые установленные договором потребительского займа доходы, а также неустойку (штрафы, пени) в суммах, присужденных судом или признанных должником, на дату вступления решения суда в законную силу или на дату признания должником) по такому договору займа должна быть учтена при определении показателя А3 в целях расчета НМФК1 (НМКК1).

В случае если при принятии решения о предоставлении потребительского займа в сумме (с лимитом кредитования) 10 000 рублей и более, а также при принятии решения об увеличении лимита кредитования по потребительскому займу ПДН составил 50% и менее, сумма требований по основному долгу и начисленным процентным доходам (включая проценты за пользование потребительским займом, любые установленные договором потребительского займа доходы, а также неустойку (штрафы, пени) в суммах, присужденных судом или признанных должником, на дату вступления решения суда в законную силу или на дату признания должником) по такому договору займа при определении показателя А3 в целях расчета НМФК1 (НМКК1) не учитывается.

Действующим законодательством не предусмотрен запрет МФО на предоставление потребительского займа в сумме (с лимитом кредитования) 10 000 рублей и более, а также на принятие решения об увеличении лимита кредитования по потребительскому займу в случае, если ПДН по такому займу превышает 50%.

Как рассчитывать показатель "ЧБП", если срок договора займа составляет менее 30 дней?

При расчете среднемесячных платежей по потребительским кредитам (займам) сроком менее 30 дней показатель "ЧБП" должен равняться количеству дней, на которые заключен договор.

Что включается в показатель "ТЗ"?

Показатель "ТЗ" - сумма текущей задолженности по потребительскому кредиту (займу) на дату последнего платежа, указанная в кредитном отчете, предоставляемом БКИ. В сумму текущей задолженности включается сумма непогашенной, непросроченной задолженности по основному долгу, по начисленным процентам, а также по иным начисленным платежам.

Что включается в показатель "ПрЗ"?

Показатель "ПрЗ" - сумма просроченной задолженности по договору потребительского кредита (займа), определенная с использованием информации, указанной в кредитном отчете, предоставляемом БКИ. В сумму просроченной задолженности включается сумма просроченной задолженности по основному долгу и по уплате начисленных процентов, а также иные просроченные платежи по договору потребительского займа.

Что включается в показатель "СрЗ"?

Показатель "СрЗ" - сумма срочной задолженности по договору потребительского кредита (займа) без учета задолженности по процентным платежам, определенная с использованием информации, указанной в кредитном отчете, предоставляемом бюро кредитных историй (далее - БКИ). В расчет суммы срочной задолженности включается сумма непросроченной задолженности по основному долгу.

Согласно пункту 2 Указания N 5114-У (N 5115-У) в расчет показателя А3 включаются сумма требований по договорам потребительского займа в сумме (с лимитом кредитования) 10 тыс. руб. и более. При этом в приложении 1 указано, что в показателе А3 учитываются потребительские займы, заключенные в сумме более 10 тыс. руб. Включаются ли в расчет показателя А3 потребительские займы, заключенные в сумме ровно 10 тыс. руб.?

Да, включаются. Сумма договоров займа (сумма лимита кредитования), включаемых в показатель А3 при расчете НМФК1 (НМКК1), должна составлять 10 тысяч рублей (включительно) и более.

Возможно ли не рассчитывать показатель долговой нагрузки (далее - ПДН) и использовать "консервативный подход", при котором договоры в сумме от 10 тыс. рублей автоматически включаются в показатель А3 при расчете НМФК1?

Расчет норматива достаточности собственных средств (НМФК1 или НМКК1) должен осуществляться в соответствии с Указанием Банка России от 02.04.2019 N 5115-У "Об установлении экономических нормативов для микрофинансовой компании, привлекающей денежные средства физических лиц, в том числе индивидуальных предпринимателей, и (или) юридических лиц в виде займов, и микрофинансовой компании, осуществляющей выпуск и размещение облигаций" (далее - Указание N 5115-У) и Указанием Банка России от 02.04.2019 N 5114-У "Об установлении экономических нормативов для микрокредитной компании, привлекающей денежные средства физических лиц, в том числе индивидуальных предпринимателей, являющихся учредителями (участниками, акционерами), и (или) юридических лиц в виде займов" (далее - Указание N 5114-У).

Согласно пункту 2 Указания N 5115-У (N 5114-У) в показатель А3, используемый при расчете НМФК1 (НМКК1), включается сумма требований по основному долгу и начисленным процентным доходам (включая проценты за пользование потребительским займом, любые установленные договором потребительского займа доходы, а также неустойку (штрафы, пени) в суммах, присужденных судом или признанных должником, на дату вступления решения суда в законную силу или на дату признания должником) по договорам потребительского займа в сумме (с лимитом кредитования) 10 тысяч рублей (включительно) и более, при принятии решения о заключении которых или об увеличении лимита кредитования по которым отношение суммы среднемесячных платежей по всем потребительским кредитам (займам) заемщика к величине среднемесячного дохода заемщика, рассчитанное в соответствии с приложением 2 к Указанию N 5115-У (N 5114-У) (далее - Приложение 2), составило более 50 процентов.

В связи с применением с 1 октября 2019 года требований Указания N 5115-У (N 5114-У) в части расчета ПДН в установленных случаях и применения установленных экономических нормативов, Банк России за неисполнение или ненадлежащее исполнение микрофинансовой организацией (далее - МФО) указанных требований вправе применять меры, предусмотренные законодательством Российской Федерации, нормативными актами Банка России.