Свод правил. Подземные инженерные коммуникации. Прокладка горизонтальным направленным бурением. СП 341.1325800.2017

(утв. Приказом Минстроя РФ от 14.11.2017 N 1534/ПР)
Редакция от 14.11.2017 — Не действует Перейти в действующую
Показать изменения

СВОД ПРАВИЛ

ПОДЗЕМНЫЕ ИНЖЕНЕРНЫЕ КОММУНИКАЦИИ

ПРОКЛАДКА ГОРИЗОНТАЛЬНЫМ НАПРАВЛЕННЫМ БУРЕНИЕМ

Underground engineering communications.

Lining of by a method of the horizontal directional drilling

СП 341.1325800.2017

Дата введения
15 мая 2018 года

Предисловие

Сведения о своде правил

1 ИСПОЛНИТЕЛИ: АО "Научно-исследовательский институт транспортного строительства" (АО ЦНИИС); Международная ассоциация специалистов горизонтального направленного бурения (МАС ГНБ)

2 ВНЕСЕН Техническим комитетом по стандартизации ТК 465 "Строительство"

3 ПОДГОТОВЛЕН к утверждению Департаментом градостроительной деятельности и архитектуры Министерства строительства и жилищно-коммунального хозяйства Российской Федерации (Минстрой России)

4 УТВЕРЖДЕН И ВВЕДЕН В ДЕЙСТВИЕ приказом Министерства строительства и жилищно-коммунального хозяйства Российской Федерации от 14 ноября 2017 г. N 1534/пр и введен в действие с 15 мая 2018 г.

5 ЗАРЕГИСТРИРОВАН Федеральным агентством по техническому регулированию и метрологии (Росстандарт)

6 ВВЕДЕН ВПЕРВЫЕ

В случае пересмотра (замены) или отмены настоящего свода правил соответствующее уведомление будет опубликовано в установленном порядке. Соответствующая информация, уведомление и тексты размещаются также в информационной системе общего пользования - на официальном сайте разработчика (Минстрой России) в сети Интернет

Введение

Настоящий свод правил разработан в соответствии с Федеральными законами: от 27 декабря 2002 г. N 184-ФЗ "О техническом регулировании", от 29 декабря 2004 г. N 190-ФЗ "Градостроительный кодекс Российской Федерации", от 29 июня 2015 г. N 162-ФЗ "О стандартизации в Российской Федерации", от 30 декабря 2009 г. N 384-ФЗ "Технический регламент о безопасности зданий и сооружений" и постановлением Правительства Российской Федерации от 29 октября 2010 г. N 870 "Технический регламент о безопасности сетей газораспределения и газопотребления".

Свод правил разработан авторским коллективом: Филиал АО ЦНИИС НИЦ "Тоннели и метрополитены" (руководитель работы - И.М. Малый, канд. техн. наук Е.В. Щекудов, Н.А. Пухова, А.О. Боев, А.А. Шевченко, А.Д. Кобецкий); АО ЦНИИС (канд. экон. наук И.А. Бегун); Международная ассоциация специалистов горизонтального направленного бурения (канд. техн. наук А.И. Брейдбурд, С.Е. Каверин, Р.Н. Матвиенко, Р.Ф. Аминов, Е.В. Азаева, А.Р. Сабитов, М.Р. Фатхутдинов, К.Б. Павлов); СРО НП "Объединение строителей подземных сооружений, промышленных и гражданских объектов" (Р.Р. Салахов).

1 Область применения

1.1 Настоящий свод правил распространяется на проектирование, производство, контроль качества и приемку работ по прокладке горизонтальным направленным бурением (ГНБ) закрытых подземных переходов инженерных коммуникаций различного назначения при строительстве и реконструкции следующих объектов:

- наружных сетей водоснабжения, водоотведения;

- тепловых сетей;

- кабельных линий электроснабжения, связи и телекоммуникаций;

- сетей газораспределения на территориях населенных пунктов, промышленных предприятий и межпоселковых;

- пересечениях вышеперечисленными коммуникациями естественных и искусственных преград, включая: водные преграды (реки, ручьи, водохранилища, заливы, каналы и т.п.), холмы и овраги, лесные и парковые массивы; железные и автомобильные дороги, трамвайные пути, линии метрополитена, территории аэродромов.

Примечание - Оборудование и технология ГНБ могут также применяться для ремонта, очистки и замены водопроводных и канализационных труб, устройства геотермальных или водозаборных скважин, самотечных трубопроводов, горизонтальных скважин для очистки загрязненных территорий, вспомогательных скважин для извлечения из грунта существующих трубопроводов.

1.2 Свод правил не распространяется на прокладку методом ГНБ новых, реконструируемых и капитально ремонтируемых трубопроводов и ответвлений от них, проектирование которых выполняется в соответствии с СП 36.13330, СП 125.13330.

2 Нормативные ссылки

В настоящем своде правил использованы нормативные ссылки на следующие документы:

ГОСТ 9.602-2016 Единая система защиты от коррозии и старения. Сооружения подземные. Общие требования к защите от коррозии

ГОСТ 12.1.007-76 Система стандартов безопасности труда. Вредные вещества. Классификация и общие требования безопасности

ГОСТ 17.1.3.13-86 Охрана природы. Гидросфера. Общие требования к охране поверхностных вод от загрязнения

ГОСТ 17.2.2.02-98 Охрана природы. Атмосфера. Нормы и методы определения дымности отработавших газов дизелей, тракторов и самоходных сельскохозяйственных машин

ГОСТ 908-2004 Кислота лимонная моногидрат пищевая. Технические условия

ГОСТ 2156-76 Натрий двууглекислый. Технические условия

ГОСТ 5100-85 Сода кальцинированная техническая. Технические условия

ГОСТ 5180-2015 Грунты. Методы лабораторного определения физических характеристик

ГОСТ 6996-66 Сварные соединения. Методы определения механических свойств

ГОСТ 7512-82 Контроль неразрушающий. Соединения сварные. Радиографический метод

ГОСТ 8731-74 Трубы стальные бесшовные горячедеформированные. Технические требования

ГОСТ 8733-74 Трубы стальные бесшовные холоднодеформированные и теплодеформированные. Технические требования

ГОСТ 10060-2012 Бетоны. Методы определения морозостойкости

ГОСТ 10704-91 Трубы стальные электросварные прямошовные. Сортамент

ГОСТ 10705-80 Трубы стальные электросварные. Технические условия

ГОСТ 10706-76 Трубы стальные электросварные прямошовные. Технические требования

ГОСТ 12248-2010 Грунты. Методы лабораторного определения характеристик прочности и деформируемости

ГОСТ 12536-2014 Грунты. Методы лабораторного определения гранулометрического (зернового) и микроагрегатного состава

ГОСТ 16037-80 Соединения сварные стальных трубопроводов. Основные типы, конструктивные элементы и размеры

ГОСТ 17410-78 Контроль неразрушающий. Трубы металлические бесшовные цилиндрические. Методы ультразвуковой дефектоскопии

ГОСТ 18599-2001 Трубы напорные из полиэтилена. Технические условия

ГОСТ 20276-2012 Грунты. Методы полевого определения характеристик прочности и деформируемости

ГОСТ 20295-85 Трубы стальные сварные для магистральных газонефтепроводов. Технические условия

ГОСТ 23732-2011 Вода для бетонов и строительных растворов. Технические условия

ГОСТ 25100-2011 Грунты. Классификация

ГОСТ 25358-2012 Грунты. Метод полевого определения температуры

ГОСТ 30416-2012 Грунты. Лабораторные испытания. Общие положения

ГОСТ 30672-2012 Грунты. Полевые испытания. Общие положения

ГОСТ 30732-2006 Трубы и фасонные изделия стальные с тепловой изоляцией из пенополиуретана с защитной оболочкой. Технические условия

ГОСТ 31244-2004 Контроль неразрушающий. Оценка физико-механических характеристик материала элементов технических систем акустическим методом. Общие требования

ГОСТ 31447-2012 Трубы стальные сварные для магистральных газопроводов, нефтепроводов и нефтепродуктопроводов. Технические условия

ГОСТ 33213-2014 (ISO 10414-1:2008) Контроль параметров буровых растворов в промысловых условиях. Растворы на водной основе

ГОСТ Р 50838-2009 Трубы из полиэтилена для газопроводов. Технические условия

ГОСТ Р 50864-96 Резьба коническая замковая для элементов бурильных колонн. Профиль, размеры, технические требования

ГОСТ Р 51164-98 Трубопроводы стальные магистральные. Общие требования к защите от коррозии

ГОСТ Р 52779-2007 (ИСО 8085-2:2001, ИСО 8085-3:2001) Детали соединительные из полиэтилена из газопроводов. Общие технические условия

ГОСТ Р 55276-2012 (ИСО 21307-2011) Трубы и фитинги пластмассовые. Процедуры сварки нагретым инструментом встык полиэтиленовых (ПЭ) труб и фитингов, используемых для строительства газо- и водопроводных распределительных систем

ГОСТ Р 55724-2013 Контроль неразрушающий. Соединения сварные. Методы ультразвуковые

ГОСТ Р 56059-2014 Производственный экологический мониторинг. Общие требования

ГОСТ Р 56063-2014 Производственный экологический мониторинг. Требования к программам производственного экологического мониторинга

ГОСТ Р 57208-2016 Тоннели и метрополитены. Правила обследования и устранения дефектов и повреждений при эксплуатации

ГОСТ Р ИСО 3126-2007 Трубопроводы из пластмасс. Пластмассовые элементы трубопровода. Определение размеров

ГОСТ Р ИСО 21467-2011 Машины землеройные. Машины для горизонтального направленного бурения. Терминология и эксплуатационные показатели

ГОСТ Р МЭК 61386.24015-2014 Трубные системы для прокладки кабелей. Часть 24. Трубные системы для прокладки в земле

ГОСТ ISO 2531-2012 Трубы, фитинги, арматура и их соединения из чугуна с шаровидным графитом для водо- и газоснабжения. Технические условия

ГОСТ ISO 3183-2015 Трубы стальные для трубопроводов нефтяной и газовой промышленности. Общие технические условия

СП 18.13330.2011 "СНиП II-89-80* Генеральные планы промышленных предприятий" (с изменением N 1)

СП 18.13330.2011 отменен. Взамен него с 18.03.2020 введен в действие СП 18.13330.2019.

СП 22.13330.2016 "СНиП 2.02.01-83* Основания зданий и сооружений"

СП 25.13330.2012 "СНиП 2.02.04-88 Основания и фундаменты на вечномерзлых грунтах" (с изменением N 1)

СП 31.13330.2012 "СНиП 2.04.02-84* Водоснабжение. Наружные сети и сооружения" (с изменениями N 1, N 2)

СП 32.13330.2012 "СНиП 2.04.03-85 Канализация. Наружные сети и сооружения"

СП 34.13330.2012 "СНиП 2.05.02-85* Автомобильные дороги" (с изменением N 1)

СП 42.13330.2016 "СНиП 2.07.01-89* Градостроительство. Планировка и застройка городских и сельских поселений"

СП 45.13330.2017 "СНиП 3.02.01-87 Земляные сооружения, основания и фундаменты"

СП 47.13330.2016 "СНиП 11-02-96 Инженерные изыскания для строительства. Основные положения"

СП 48.13330.2011 "СНиП 12-01-2004 Организация строительства" (с изменением N 1)

СП 62.13330.2011 "СНиП 42-01-2002 Газораспределительные системы" (с изменениями N 1, N 2)

СП 66.13330.2011 Проектирование, строительство напорных сетей водоснабжения и водоотведения с применением высокопрочных труб из чугуна с шаровидным графитом

СП 74.13330.2011 "СНиП 3.05.03-85 Тепловые сети"

СП 119.13330.2012 "СНиП 32-01-95 Железные дороги колеи 1520 мм" (с изменением N 1)

СП 120.13330.2012 "СНиП 32-02-2003 Метрополитены" (с изменениями N 1, N 2)

СП 121.13330.2012 "СНиП 32-03-96 Аэродромы"

СП 124.13330.2012 "СНиП 41-02-2003 Тепловые сети"

СП 126.13330.2012 "СНиП 3.01.03-84 Геодезические работы в строительстве"

СП 246.1325800.2016 Положение об авторском надзоре за строительством зданий и сооружений

СП 249.1325800.2016 Коммуникации подземные. Проектирование и строительство закрытым и открытым способом

СанПиН 2.1.4.1110-92 Зоны санитарной охраны источников водоснабжения и водопроводов питьевого назначения

Официальный источник электронного документа содержит неточность: имеется в виду СанПиН 2.1.4.1110-02.

СанПин 2.1.5.980-00 Гигиенические требования к охране поверхностных вод

СанПин 2.1.5.980-00 отменен. Взамен него с 01.03.2021 введен в действие СанПиН 2.1.3684-21.

СанПин 2.2.1/2.1.1.1200-03 Санитарно-защитные зоны и санитарная классификация предприятий, сооружений и иных объектов

СанПин 2.2.3.1384-03 Гигиенические требования к организации строительного производства и строительных работ

СанПин 2.2.3.1384-03 отменен. Взамен него с 01.01.2021 введен в действие СП 2.2.3670-20.

Примечание - При пользовании настоящим сводом правил целесообразно проверить действие ссылочных документов в информационной системе общего пользования - на официальном сайте Федерального органа исполнительной власти в сфере стандартизации в сети Интернет или по ежегодно издаваемому информационному указателю "Национальные стандарты", который опубликован по состоянию на 1 января текущего года, и по выпускам ежемесячного информационного указателя, опубликованного в текущем году. Если заменен ссылочный документ, на который дана датированная ссылка, то следует руководствоваться заменяющим (измененным) документом. Если после утверждения настоящего свода правил в ссылочный документ, на который дана датированная ссылка, внесено изменение, затрагивающее положение, на которое дана ссылка, то это положение рекомендуется применять без учета данного изменения. Если ссылочный стандарт отменен без замены, то положение, в котором дана ссылка на него, применяется в части, не затрагивающей эту ссылку. Сведения о действии сводов правил целесообразно проверить в Федеральном информационном фонде.

3 Термины и определения

В настоящем своде правил применены термины в соответствии с [1], а также следующие термины с соответствующими определениями:

3.1 азимут скважины: Угол между горизонтальной проекцией оси пилотной скважины и направлением юг-север, измеряемый по часовой стрелке.

3.2 бентонит: Коллоидная глина, состоящая в основном из минералов группы монтмориллонита с выраженными сорбционными свойствами и высокой пластичностью.

Примечание - При производстве работ методом ГНБ бентонит применяется в виде глинопорошка.

3.3 буровая головка (пионер): Передовой бур со сменными насадками.

3.4 буровой канал: Расширенная буровая скважина для протягивания трубопровода.

3.5 буровой раствор: Многокомпонентная дисперсная, как правило, бентонитовая жидкостная суспензия, применяемая при бурении пилотной скважины, последовательных расширениях и протягивании трубопровода.

3.6 буровой шлам: Разбуренная порода, смешанная с отработанным буровым раствором и выносимая из забоя скважины.

3.7 вертлюг: Шарнирное соединительное звено, предотвращающее передачу вращения от буровой колонны к протягиваемому трубопроводу.

3.8 высокопрочный чугун с шаровидным графитом; ВЧШГ: Тип чугуна, в котором графит присутствует преимущественно в шаровидной форме.

3.9

горизонтальное направленное бурение: Многоэтапная технология бестраншейной прокладки подземных инженерных коммуникаций при помощи специализированных мобильных буровых установок, позволяющая вести управляемую проходку по криволинейной траектории, расширять скважину, протягивать трубопровод.
Примечание - Бурение ведется под контролем систем радиолокации и с использованием буровых растворов.

[СП 249.1325800.2016, статья 3.11]

3.10

диаметр расширения: Максимальный диаметр отверстия, создаваемого при расширении пилотной скважины.
[ГОСТ Р ИСО 21467-2011, статья 3.2.12]

3.11 закрытый подземный переход; ЗП: Линейный участок инженерной коммуникации, состоящий из одной или нескольких ниток трубопровода, прокладываемый бестраншейным способом под различными препятствиями и ограниченный точками входа и выхода пилотной скважины.

3.12 забой скважины (здесь): Находящаяся в бурении часть скважины.

3.13 забойный двигатель: Устройство в составе буровой колонны, преобразующее, как правило, гидравлическую энергию потока бурового раствора в механическую работу (вращательную или ударную) породоразрушающего инструмента.

Примечание - Применяются забойные двигатели вращательного (турбобур, винтовой забойный двигатель) и ударного типов (гидро- и пневмоударник).

3.14 защитный футляр (здесь): Элемент конструкции трубопровода, защищающий его от внешних воздействий и повреждений на участках перехода под железными и автомобильными дорогами, существующими коммуникациями, зданиями и сооружениями, а также для прокладки электрических кабелей, кабелей связи, сигнальных кабелей.

Примечание - Наличие защитного футляра позволяет выполнять ремонт коммуникаций без вскрытия поверхности земли.

3.15 защитное композитное покрытие: Многослойная система защиты труб и трубодеталей от механических повреждений и коррозии, состоящая из наружной оболочки (стальная, стальная оцинкованная, металлополимерная, полиэтиленовая) и закаченного под давлением между продуктовой трубой и оболочкой промежуточного слоя твердеющего цементно-полимерно-песчаного раствора, армированного полимерной фиброй или стальным каркасом (сеткой).

3.16 калибровка: Дополнительное укрепление и уплотнение стенок и проверка готовности бурового канала к протягиванию трубопровода, путем пропуска калибра - секции (элемента) основной трубы максимального проектного диаметра или расширителя.

3.17 колонна буровых штанг (буровая колонна) (здесь): Ряд последовательно собираемых, по мере проходки, буровых штанг, оснащенный необходимыми приспособлениями и применяемый для передачи крутящего момента и тягового усилия от опорной рамы буровой установки к буровой головке, расширителю, протягиваемому трубопроводу, подачи бурового раствора к буровому инструменту.

3.18 насадка буровой головки (лопатка): Сменный буровой инструмент, обеспечивающий разрушение, оптимальный угол резания грунта и траекторию проходки.

Примечание - Подбирается в зависимости от типа проходимого грунта.

3.19 окружающая среда: Совокупность компонентов природной среды, природных и природно-антропогенных объектов, а также антропогенных объектов <*>.

<*> Здания, дороги, инженерные сети.

3.20 пакет труб: Два и более трубопровода, предназначенные к одновременной прокладке в одну скважину закрытого подземного перехода.

3.21 пилотная скважина: Направляющая скважина, бурение которой осуществляется в первую очередь.

3.22 подводный переход: Закрытый подземный переход, пересекающий водную преграду и ограниченный запорной арматурой или, при ее отсутствии, горизонтом высоких вод с вероятностью превышения не более 10%.

3.23 приближение скважины: Минимально допускаемое расстояние в свету между буровым каналом и пересекаемым (прилегающим к трассе ЗП) объектом.

3.24 расширение скважины (здесь): Технологический процесс увеличения первоначального диаметра пилотной скважины с помощью расширителя.

3.25 регенерация бурового раствора: Очистка и обогащение раствора, обеспечивающие его повторное применение.

3.26 риски при ГНБ: Возможность возникновения непредвиденных и аварийных ситуаций в процессе прокладки коммуникаций методом ГНБ, приводящих к срыву плановых сроков и удорожанию работ, повреждению технологического оборудования, ущербу здоровью технического персонала и других лиц, негативным воздействиям на окружающую среду.

Примечание - Риски возникают вследствие: недостаточного объема и недостоверности инженерных изысканий, ошибок при проектировании трассы и конструкции трубопровода, неправильного подбора оборудования, влияния активных и пассивных помех работе системе локации, нарушения технологии работ.

3.27 система локации: Измерительная система, позволяющая определять и контролировать положения буровой головки и другие характеристики технологического процесса проходки пилотной скважины.

3.28 ситуационно-топографические условия: Совокупность факторов природного и искусственного происхождения, определяющих положение трассы ЗП и организационно-технические решения по производству работ.

3.29 створ перехода: Плановое положение и вертикальная плоскость, соответствующие проектной оси подземного перехода.

3.30

трасса перехода: Положение оси линейной коммуникации (трубопровода, кабеля и др.), отвечающее ее проектному положению на местности.
[СП 249.1325800.2016, статья 3.44]

3.31 точка входа/выхода: Планово-высотное положение начала/завершения бурения пилотной скважины.

3.32 угол входа/выхода скважины (здесь): Угол между осью пилотной скважины в точке входа/выхода и линией горизонта.

4 Обозначения и сокращения

В настоящем своде правил применяются следующие сокращения:

ГНБ - горизонтальное направленное бурение;

ЗП - закрытый переход (подземный);

ЗКП - защитное композитное покрытие;

НД - нормативный документ;

НВД - насос высокого давления (для подачи бурового раствора);

ПВХ - поливинилхлорид;

ПОС - проект организации строительства;

ПП - полипропилен;

ППР - проект производства работ (по закрытому переходу инженерных коммуникаций методом ГНБ);

ППУ - пенополиуретан;

ПЭ - полиэтилен;

СПО - спуско-подъемные операции (буровой колонны и трубопровода);

SDR - стандартное размерное отношение наружного диаметра трубы к толщине стенки.

5 Общие положения

5.1 Настоящий свод правил предназначен для применения при проектировании и строительстве закрытых подземных переходов инженерных коммуникаций по 1.1 методом ГНБ совместно с СП 31.13330, СП 32.13330, СП 62.13330, СП 66.13330, СП 74.13330, СП 124.13330, содержащими обязательные требования ко всем сооружениям и элементам строящихся и реконструируемых инженерных сетей.

5.2 Метод ГНБ для прокладки подземных инженерных коммуникаций следует применять в следующих случаях:

- техническая невозможность или наличие официальных запретов местных органов власти, уполномоченных организаций и землепользователей на прокладку инженерных сетей траншейным способом;

- необходимость обеспечения сохранности существующих элементов инфраструктуры и окружающей среды в границах проектируемого линейного объекта;

- при соответствующем технико-экономическом обосновании.

5.3 Для каждого конкретного объекта и условий строительства применение метода ГНБ должно быть обосновано технико-экономическими расчетами, путем сравнения возможных вариантов прокладки. В составе расчетов для траншейного способа необходимо учитывать ожидаемые стоимостные и временные затраты по перекладке существующих коммуникаций, перекрытию или ограничению движения на автомобильных и железных дорогах, предотвращению негативного влияния разработки котлованов и траншей на окружающую застройку и природную среду.

5.4 Конструктивно-технологические решения по прокладке инженерных коммуникаций методом ГНБ должны обеспечивать проведение работ в подземном пространстве без вскрытия дневной поверхности. Минимальные объемы земляных работ могут предусматриваться в пределах строительных площадок на точках входа или выхода (небольшие котлованы, шурфы, приямки для сбора бурового раствора).

5.5 Метод ГНБ следует применять, как правило, в дисперсных несвязных (пески) и связных (супеси, суглинки, глины) грунтах, в пластичномерзлых и твердомерзлых грунтах по ГОСТ 25100, в которых с помощью бурового тиксотропного раствора обеспечивается устойчивость стенок скважины.

5.6 К сложным геологическим условиям, в которых применение метода ГНБ затруднено или невозможно, относятся: подземные воды с большим напором, глинистые грунты текучей консистенции, плывуны, валунные и гравийно-галечниковые грунты, грунты с включениями искусственного происхождения (обломки железобетонных плит, отходы металлургического производства и т.п.), неустойчивые площадки (карст, оползни, подрабатываемые территории).

5.7 Для обеспечения возможности применения метода ГНБ в сложных геологических условиях по 5.6 следует предусматривать выполнение дополнительных мероприятий по 8.4, использование соответствующего оборудования и бурового инструмента (буровые перфораторы, забойные двигатели, специальные высокопрочные буровые коронки и др.) по А.3 (приложение А).

5.8 Прокладка инженерных коммуникаций методом ГНБ, как правило, осуществляется в три этапа:

- направленное бурение пилотной скважины по заданной проектом трассе;

- однократное или последовательно-многоразовое расширение скважины до образования бурового канала, позволяющего протягивать трубопровод проектного диаметра, при необходимости, калибровка бурового канала (см. 8.6.12);

- протягивание коммуникационного трубопровода (защитного футляра) через буровой канал, как правило, по направлению от точки выхода бура на поверхность к буровой установке.

Примечание - В стесненных условиях направление протягивания определяется возможностью размещения площадки для раскладывания и сборки трубопровода.

5.9 При проектировании и строительстве закрытых подземных переходов инженерных коммуникаций методом ГНБ следует соблюдать правила безопасного выполнения работ и охраны окружающей среды в соответствии с разделами 12 и 13.

6 Особенности инженерных изысканий

6.1 Общие положения

6.1.1 Инженерные изыскания для прокладки подземных коммуникаций методом ГНБ должны выполняться в соответствии с требованиями СП 47.13330, соответствующих нормативных документов на конкретный вид изысканий и включать инженерно-геодезические, инженерно-геологические, инженерно-гидрометеорологические, инженерно-экологические и инженерно-геотехнические виды изысканий.

Примечание - В городских условиях, как правило, выполняются инженерно-геодезические, инженерно-геологические и инженерно-геотехнические виды изысканий.

6.1.2 Полученные в результате изысканий материалы должны быть достаточными для сравнения возможных вариантов прокладки конкретной инженерной коммуникации в соответствии с 5.3, принятия решений по проектированию перехода в соответствии с разделом 7, производства работ по разделу 8.

6.1.3 В техническом задании на проведение изысканий необходимо приводить предполагаемые положения точек входа/выхода бура, площадок развертывания катушек трубопровода или раскладки звеньев протягиваемых труб, технологические проезды к точкам входа/выхода, предварительную глубину заложения трубопровода <*>.

<*> Уточняется по результатам изысканий и проектирования.

6.2 Инженерно-геодезические изыскания

6.2.1 Инженерно-геодезические изыскания следует выполнять в соответствии с СП 47.13330. Требования и правила производства конкретного вида изысканий приведены в [4].

6.2.2 Топографическая съемка должна обеспечивать получение необходимых данных о рельефе местности, существующих водоемах, зданиях и сооружениях (наземных и подземных), других ситуационных материалов по предполагаемой трассе и строительным площадкам для обеспечения проектирования и проведения работ.

6.2.3 Трассировочные работы должны обеспечивать предварительный выбор вариантов трассы, подготовку продольного профиля по створу перехода и поперечных профилей пересечений существующих объектов.

6.2.4 Створ участка перехода ГНБ трассируется камерально. Полевое трассирование выполняется на участках прокладки открытым способом (в траншее, наземно, надземно) при необходимости проектирования таких участков.

6.3 Инженерно-геологические изыскания

6.3.1 Инженерно-геологические изыскания следует выполнять в соответствии с СП 47.13330 и СП 249.1325800 для построения продольного профиля трассы скважины ГНБ, выбора бурового оборудования и состава бурового раствора, определения проницаемости грунтов по длине перехода и возможности просачивания бурового раствора при бурении скважины.

Отчет по инженерно-геологическим изысканиям по профилю перехода и строительным площадкам должен содержать:

- разрезы и буровые колонки с грунтовыми прослойками и напластованиями, мощности слоев и их наклоны;

- положение, количественную и качественную оценки элементов и зон со сложными геологическими условиями по 5.6;

- физико-механические характеристики свойств грунтов по 6.3.10;

- данные об уровнях и режимах подземных вод (с учетом сезонных колебаний).

6.3.2 При пересечении железнодорожных линий и автомобильных дорог минимальные объемы буровых работ [5] при геологических изысканиях должны составлять не менее двух буровых скважин по оси пересечения с каждой стороны железнодорожного земляного полотна или полотна автомобильной дороги, глубиной не менее чем на 3,0 м ниже дна защитного футляра.

6.3.3 Для переходов через водные преграды, на стадии подготовки задания на инженерно-геологические изыскания, глубина скважин назначается исходя из предполагаемого заложения трубопровода, но не менее 6 м до дна водоема, на основании чего уточняются характеристики деформаций русла.

6.3.4 Для переходов через широкие водные преграды могут быть рекомендованы двухэтапные буровые работы. Вначале, на большом расстоянии друг от друга, пробуриваются вертикальные разведочные скважины первого этапа. На втором этапе - скважины с меньшим расстоянием одна от другой на наиболее ответственных участках, при этом расстояние между скважинами по закрытому переходу не должно превышать 50 м, а на участках сложного геологического строения и в условиях существующей застройки - 25 м.

6.3.5 Вертикальные разведочные скважины следует располагать попеременно справа и слева от створа закрытого перехода на максимальном расстоянии 10 м и минимальном расстоянии 5 м от створа перехода. Глубина вертикальной разведочной скважины должна быть не менее чем на 3 - 5 м ниже проектируемого заглубления дна трубопровода.

Примечание - Расположение точек и глубину статического (динамического) зондирования по трассе перехода следует назначать в соответствии с СП 249.1325800.

6.3.6 В дополнение к вертикальным допускается бурение горизонтальных разведочных скважин методом ГНБ по трассе перехода для уточнения результатов инженерно-геологических изысканий по данным пилотного бурения.

6.3.7 Данные инженерно-геологических изысканий скважины подлежат уточнению по результатам проходки пилотной скважины и должны учитываться при расширении, протягивании, калибровке.

6.3.8 Для предупреждения возможности утечки буровой жидкости при направленном бурении все скважины подлежат ликвидации, порядок проведения которой приведен в [6].

6.3.9 Наряду с проходкой разведочных скважин по 6.3.2 - 6.3.7 используют результаты полевых испытаний грунтов по ГОСТ 30672, методы геофизических исследований грунтов приведены в [7].

6.3.10 В результате лабораторных, полевых и геофизических исследований грунтов должны быть получены их физико-механические характеристики необходимые для разработки проектно-технологических решений, включая:

- плотность грунта и его частиц, влажность (по ГОСТ 5180 и ГОСТ 30416);

- коэффициент пористости;

- гранулометрический состав (по ГОСТ 12536) для крупнообломочных грунтов и песков;

- влажность на границах пластичности и текучести, число пластичности и показатель текучести для глинистых грунтов (по ГОСТ 5180);

- угол внутреннего трения, удельное сцепление, модуль деформации и коэффициент поперечной деформации грунтов (по ГОСТ 12248, ГОСТ 20276, ГОСТ 30416 и ГОСТ 30672);

- гранулометрический состав, вид и процентное содержание заполнителя крупнообломочного грунта (по ГОСТ 12536) для крупнообломочных грунтов и песков;

- временное сопротивление при одноосном сжатии в воздушно-сухом и водонасыщенном состоянии, коэффициент выветрелости, показатели размягчаемости и растворимости (по ГОСТ 12248) для скальных грунтов;

- суммарная влажность, суммарная льдистость, льдистость за счет ледяных включений (по ГОСТ 5180, ГОСТ 25100), температура мерзлого грунта (по ГОСТ 25358), температура начала замерзания грунта для мерзлых грунтов.

6.3.11 В соответствии с техническим заданием могут быть определены и другие характеристики грунтов, необходимые для расчетов. Состав лабораторных исследований при необходимости уточняется проектной организацией и указывается в техническом задании на изыскательские работы.

6.4 Инженерно-гидрометеорологические изыскания

6.4.1 Инженерно-гидрометеорологические изыскания следует выполнять для проектирования и строительства подводных переходов, включая:

- определение горизонта высоких вод заданной обеспеченности (1, 2, 3, 5, 10%) и нанесение на продольный профиль;

- определение меженного уровня водной преграды;

- русловую съемку для прогноза профиля предельного размыва русла и деформаций берегов на расчетный период эксплуатации перехода, но не менее 25 лет, нанесение результатов на продольный профиль;

- определение необходимых гидрологических и климатических характеристик (отсутствие затопления поймы, ледохода, заторов и других неблагоприятных факторов).

6.5 Инженерно-экологические изыскания

6.5.1 Инженерно-экологические изыскания следует выполнять в объемах, установленных СП 47.13330 для проектирования, экспертизы проектов и строительства ЗП через водоемы и водотоки суши, морские акватории, на особо охраняемых природных территориях, в их охранных (буферных) зонах, в местах массового обитания редких и охраняемых растений и животных, в зонах объектов всемирного культурного и природного наследия, водоохранных зонах и прибрежных защитных полосах, санитарно-защитных зонах и др.

6.5.2 Результаты изысканий должны быть достаточными для экологической характеристики состояния местности в зонах предполагаемого размещения строительных буровых и сборочных площадок, по трассе ЗП, для выполнения прогнозной оценки ожидаемого воздействия на окружающую среду работ по методу ГНБ и дальнейшей эксплуатации проложенной коммуникации, а также для разработки необходимых мероприятий по охране окружающей среды (раздел 13) в составе проекта строительства.

6.5.3 По результатам изысканий в составе проекта, в случае необходимости <*>, определяются для последующей экспертизы и согласования возможные места захоронения отработанного бурового раствора в земляных амбарах по 9.4.2.

<*> Отсутствие полигонов приема отходов и инертных веществ.

6.6 Инженерно-геотехнические изыскания

6.6.1 Инженерно-геотехнические изыскания следует выполнять в соответствии с СП 249.1325800.

7 Проектирование перехода

7.1 Общие требования к проектированию

7.1.1 Проект ЗП, сооружаемого методом ГНБ, должен быть составной частью проекта устройства инженерных коммуникаций. Основание для проектирования - задание на разработку проекта ЗП. Форма задания приведена в приложении Б.

7.1.2 Разработку проекта ЗП следует выполнять в соответствии с требованиями:

- задания на проектирование;

- технических условий на прокладываемую коммуникацию, выдаваемых эксплуатирующими организациями;

- нормативных документов на проектирование и прокладку конкретного вида подземной коммуникации.

7.1.3 Исходными данными для разработки проекта ЗП являются:

- проект планировки территории;

- результаты инженерных изысканий;

- проект прокладки коммуникации, составной частью которого должен быть ЗП на примыкающих участках;

- требования к характеристикам трубопровода, защитного и антикоррозионного покрытия (для стальных труб);

- ситуационный план М 1:10000, 1:5000, 1:2000 или 1:1000 с нанесенной трассой проектируемой коммуникации;

- сводный план М 1:200, М 1:500 или М 1:1000 проектируемых и существующих инженерных коммуникаций и сооружений;

- действующий инженерно-топографический план М 1:200, М 1:500, М 1:1000.

Примечания

1 Для линейных объектов городов с развитой инженерной инфраструктурой рекомендуется применение инженерно-топографических планов М 1:200.

2 Топографические планы М 1:1000 применяются для трубопроводов прокладываемых вне населенных пунктов;

- НД эксплуатирующих организаций на проектирование коммуникации;

- задание на проектирование с указанием участков ЗП, диаметра и числа проектируемых труб, состава проекта ЗП;

- продольный профиль по проектируемой коммуникации в горизонтальном масштабе, соответствующем масштабу инженерно-топографического плана и вертикальном масштабе 1:100;

- другие документы в зависимости от конкретных условий строительства.

7.1.4 Проектная документация для ЗП должна содержать оптимальные планировочные, конструктивные и технологические решения, обеспечивающие надежность работы подземных инженерных коммуникаций проложенных методом ГНБ на весь период его эксплуатации.

7.1.5 Конструкция сечения ЗП определяется заданием на проектирование и может быть уточнена в составе проекта.

7.1.6 При разработке проекта ЗП необходимо учитывать возможные воздействия на окружающую среду, здания и сооружения, существующие коммуникации, риски повреждения трубопровода и защитных покрытий при строительстве, а также риски возникновения непредвиденных и аварийных ситуаций в процессе строительства (см. приложение В) и предусматривать предварительные меры по минимизации их последствий.

7.1.7 Геотехническую оценку влияния прокладки инженерных коммуникаций методом ГНБ на окружающую застройку и пересекаемые линейные сооружения следует выполнять в соответствии с СП 249.1325800.

7.2 Состав, содержание и порядок согласования проекта

7.2.1 Проект сооружаемого методом ГНБ закрытого перехода инженерных коммуникаций должен входить в состав разделов проектной документации на объекты капитального строительства производственного и непроизводственного назначения (раздел 5 "Сведения об инженерном оборудовании, о сетях инженерно-технического обеспечения, перечень инженерно-технических мероприятий, содержание технологических решений") или в состав разделов проектной документации на линейные объекты (раздел 3 "Технологические и конструктивные решения линейного объекта. Искусственные сооружения").

7.2.2 Проект ЗП, в составе разделов проектной документации объекта капитального строительства или линейного объекта, подлежит согласованию с местными органами исполнительной власти, природоохраны, эксплуатирующими и другими профильными организациями в соответствии с типовой формой технического задания на проектирование (см. приложение Б).

7.2.3 Состав и содержание проектной документации для сооружаемого методом ГНБ ЗП должны соответствовать [8]. Наименования и последовательность размещения текстовых и графических документов, необходимых для формирования проекта ЗП, приведены в приложении Г.

7.2.4 В составе раздела "Мероприятия по охране окружающей среды" должен быть приведен перечень ближайших к объекту полигонов отходов и инертных веществ для приема отработанного бурового раствора. Выбор полигона и его готовность следует уточнять перед началом строительства.

7.3 Проектирование трассы перехода

7.3.1 Профиль трассы

7.3.1.1 Профиль трассы ЗП выполняемого методом ГНБ от точки забуривания до выхода (входа) на поверхность (в котлован или шурф), в зависимости от ситуационно-топографических и инженерно-геологических условий, может включать прямолинейные и криволинейные участки. Радиусы изгиба криволинейных участков определяются по 7.3.2 и эксплуатационными требованиями для конкретного вида прокладываемой коммуникации. Под пересекаемыми капитальными зданиями и сооружениями следует, как правило, предусматривать прямолинейные участки.

7.3.1.2 При проектировании трассы закрытого перехода необходимо учитывать вид прокладываемой коммуникации, тип и диаметр трубопровода, а также вид применяемого технологического оборудования.

Чертеж продольного профиля должен содержать следующие данные:

- уровни грунта по всей длине пересечения и отметки в соответствующей системе координат;

- уровень грунтовых вод;

- уровень водоема, при необходимости, отметки горизонтов высоких и низких вод;

- углы входа и выхода;

- параметры составляющих участков бурового профиля (длины, радиусы изгиба, углы поворота, заглубление);

- горизонтальную и общую длину закрытого перехода.

Примечание - Длина закрытого перехода определяется длиной трассы бурения между точками входа и выхода и может превосходить длину протягиваемого трубопровода за счет дополнительных технологических интервалов на концах перехода (см. 7.3.1.7);

- допускаемые отклонения точки выхода;

- приближение прокладываемой коммуникации к пересекаемому объекту;

- заглубление в критических зонах (например, под озерами, реками, в точке входа и т.п.).

Примечание - Допускаемые отклонения точки выхода пилотной скважины от проектного створа должны определяться в зависимости от вида прокладываемой коммуникации, длины бурения, инженерно-геологических условий строительства.

7.3.1.3 Трасса скважины для обеспечения необходимого заглубления должна начинаться с прямолинейного участка, наклонного к горизонту под углом входа в грунт. В общем случае после прямолинейного участка должен следовать криволинейный вогнутый участок с расчетным радиусом изгиба, затем прямолинейный (горизонтальный или наклонный) участок до следующей кривой (без нарушения допустимого радиуса изгиба) и так до точки выхода по прямолинейному тангенциальному участку с наклоном под углом выхода к поверхности. Пример построения продольного профиля скважины ГНБ приведен на рисунке 7.1.

7.3.1.4 Угол входа скважины в грунт, в зависимости от условий строительства, назначения трубопровода, вида труб и применяемого оборудования, как правило, принимается от 7° до 23°, угол выхода скважины на поверхность от 1° до 45°. При определении в проекте углов входа и выхода следует учитывать необходимость устройства технологических шурфов (приямков) или возможность размещения буровой установки в котловане.

7.3.1.5 При построении трассы бурения начальные участки входа и выхода рекомендуется выполнять прямолинейными с целью повышения технологических возможностей реализации профиля ГНБ при производстве работ.

Примечание - Поверхностные слои грунта, как правило, менее плотные, поэтому при проходке трудно выдерживать необходимый радиус изгиба и возможны выходы бурового раствора.

Рисунок 7.1 - Пример построения продольного профиля трассы скважины ГНБ

Длины прямолинейных участков на входе и выходе рекомендуется увеличивать с возрастанием глубины залегания плотных связанных грунтов, диаметра бурового канала, жесткости буровой колонны.

7.3.1.6 Выбор положения точек входа и выхода скважины следует осуществлять с учетом существующей застройки, наличия коммуникаций и других подземных сооружений, необходимости поворота прокладываемой коммуникации после ЗП. В местах размещения строительных площадок на точках входа/выхода не должно быть заглубленных сооружений и коммуникаций, пересекающих трассу скважины.

7.3.1.7 При надлежащем обосновании допускается, что общая длина скважины ГНБ (A - C, рисунок 7.2) может превосходить длину протягиваемого трубопровода (A - B, рисунок 7.2), за счет проходки вспомогательных технологических интервалов в виде нисходящего начального (B - C, рисунок 7.2) или восходящего конечного хода.

Проходка вспомогательного технологического хода, разработка необходимых шурфов и котлованов должны быть учтены в проекте ЗП в составе ведомости объемов работ (ВР, см. таблицу Г.1 приложения Г).

Примечания

1 Восходящий конечный технологический ход сокращается по длине или исключается при расположении точки выхода A (рисунок 7.2) в шурфе (котловане) ниже поверхности земли.

2 Протягивание производится до проектной точки конца трубопровода В (рисунок 7.2), в которой разрабатывается приемный шурф (котлован) для отсоединения буровой колонны и дальнейшей работы с трубопроводом.

Рисунок 7.2 - Пример продольного профиля трассы ГНБ с нисходящим начальным технологическим ходом

7.3.1.8 Разбивку трассы ЗП на составляющие участки, определение их параметров по 7.3.1.2, общей длины скважины и необходимого для проходки числа буровых штанг, а также подготовку графической части проектной документации по таблице Г.1 (приложение Г) следует выполнять по 7.3.1 - 7.3.5 с учетом принятых значений углов входа/выхода.

7.3.1.9 Подбор буровой установки, необходимой для проходки пилотной скважины и протягивания трубопровода по разработанной трассе ЗП, выполняется в соответствии с А.2.4 - А.2.6 приложения А, соответствующие составы типовых комплектов оборудования ГНБ и производственной бригады приведены в приложении Д.

7.3.1.10 Методика определения геометрических параметров трассы, а также значений необходимых усилий подачи буровой колонны и крутящего момента для проходки пилотной скважины, общего усилия тяги и крутящего момента для расширения скважины и протягивания трубопровода приведена в [9] или других нормированных и апробированных на практике методиках.

Расчеты рекомендуется выполнять с применением специализированного программного обеспечения, автоматизирующего процесс расчетов и подготовки графической документации.

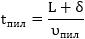
7.3.1.11 Длина плети трубопровода , м, необходимая (и достаточная) для протягивания, определяется по формуле

, (1)

где L - расчетная длина скважины по профилю перехода для закладки трубопровода, м;

- возможное увеличение фактической длины бурового канала (перебур), определяемое с учетом допусков по отклонению точки выхода, м;

a - участки трубопровода от 1,5 до 2,5 м вне бурового канала.

Примечание - Рекомендуется принимать возможное увеличение фактической длины для полиэтиленовых труб 0,10L, м; для стального трубопровода - от 0,03L до 0,05L, м.

7.3.2 Радиусы изгиба криволинейных участков трассы

7.3.2.1 Проектный радиус изгиба трассы прокладки трубопровода , м, в любом случае должен превышать минимальный допустимый радиус изгиба трубы , м, или минимальный допустимый радиус изгиба буровых штанг , м, по А.3.1 приложения А:

, (2)

где = 1,3 - коэффициент надежности для стальных труб;

= 1,5 - коэффициент надежности для буровых штанг;

= 2,0 - коэффициент надежности для пластиковых труб.

7.3.2.2 Минимально допустимый радиус изгиба стальных труб , м, по условиям прочности, с учетом внутреннего давления в трубе на стадии эксплуатации, определяется по формуле

, (3)

где E - модуль упругости стали, МПа;

- наружный диаметр трубы, м;

- расчетное сопротивление стали труб и стыковых соединений (по пределу текучести), МПа.

По технологическим условиям прокладки радиус изгиба трассы трубопровода из стальных труб должен составлять не менее 1200·, а для труб диаметром 820 мм и более - не менее 1400·, м.

7.3.2.3 Минимально допустимый радиус изгиба полиэтиленовых труб , м, определяется, в зависимости от температуры воздуха при протягивании трубопровода и характеристики труб по таблице 7.1.

Таблица 7.1

Стандартное размерное отношение Минимальные радиусы изгиба при температуре прокладки, °C
От 0 до 10 От 10 до 20 Более 20
От 9 до 17 50· 35· 20·
От 21 до 26 75· 50· 30·
От 33 до 41 125· 85· 50·

Для пучка ПЭ труб минимально допустимый радиус изгиба , м, составляет:

, (4)

где n - число труб в пучке.

7.3.2.4 Минимально допустимый радиус изгиба , м криволинейных участков трассы для сборных трубопроводов из труб ВЧШГ по 7.4.11 определяется с учетом установленных изготовителем допусков по углу отклонения в соединении и длины звеньев собираемых труб по формуле

, (5)

где l - длина звена трубы ВЧШГ прокладываемого трубопровода, м;

- допускаемый угол отклонения в соединении, град.

Примечание - Допуски по углу отклонения в соединении и допускаемому усилию при протягивании принимаются по рекомендациям производителя в зависимости от типа и диаметра собираемых труб.

7.3.2.5 При необходимости выполнения одновременного изгиба трассы в плане и профиле необходимо обеспечивать условие: комбинированный радиус изгиба трассы прокладки трубопровода должен превышать минимально допустимые значения по 7.3.2.1 - 7.3.2.4.

, (6)

, (7)

где - комбинированный радиус изгиба трассы, м;

- радиус изгиба трассы в горизонтальной плоскости, м;

- радиус изгиба трассы в вертикальной плоскости, м.

7.3.3 Пересечения и приближения трассы к существующим объектам, защитные футляры

7.3.3.1 Положение трассы ЗП в плане при пересечении линейных объектов: сооружений метрополитена, железных и автомобильных дорог, водных препятствий, существующих коммуникаций и т.п. - следует предусматривать так, чтобы угол пересечения составлял, как правило, от 60° до 90°. Если ситуационно-топографические условия этого не позволяют, то пересечения допускается выполнять в доступных технологических коридорах при условии согласования особенностей конкретного проектного решения с эксплуатирующими и иными заинтересованными организациями.

7.3.3.2 Для предотвращения аварийных ситуаций и выходов бурового раствора необходимо соблюдать минимально допускаемые приближения трассы в плане и профиле к существующим железным и автомобильным дорогам, зданиям и сооружениям, действующим коммуникациям, регламентированные соответствующими нормативными документами. Во всех случаях расстояние в свету между буровым каналом и верхом покрытия автодороги, подошвой рельсов железной дороги или трамвайных путей, основанием насыпи, фундаментом, наружной поверхностью подземного сооружения или коммуникации рекомендуется принимать не менее шести диаметров бурового канала, но не менее 1,5 м.

7.3.3.3 Участки трубопроводов, прокладываемые методом ГНБ на переходах через железные и автомобильные дороги всех категорий с усовершенствованным покрытием капитального и облегченного типов, а также при пересечении существующих коммуникаций должны предусматриваться в защитном футляре в соответствии с СП 34.13330, СП 119.13330 и норм на конкретный вид коммуникаций.

Примечание - Концы футляров для газопроводов систем газораспределения должны быть заделаны гидроизоляционным материалом с устройством на одном конце трубки с запорной арматурой для контроля утечек газа в межтрубном пространстве.

7.3.3.4 Внутренний диаметр футляра следует принимать не менее чем на 100 мм больше наружного диаметра трубопровода, в зависимости от вида прокладываемой коммуникации. При определении диаметра футляра необходимо учитывать размеры опорно-центрирующих и направляющих устройств, а также зазор, необходимый для прокладки продуктовой трубы.

7.3.3.5 При надлежащем обосновании и по согласованию с эксплуатирующими организациями допускается взамен футляров на пересечениях по 7.3.3.1 применять трубы с защитным композитным покрытием армированным стальным арматурным каркасом (см. приложение Е).

Примечание - На выходе и входе трубы газопровода из земли футляры допускается не устанавливать при условии наличия на ней защитного покрытия, стойкого к внешним воздействиям.

7.3.4 Трасса ГНБ на территории аэродромов

7.3.4.1 Участки коллекторов водоотводов и дренажных систем, прокладываемых методом ГНБ на территории аэродромов в соответствии с СП 121.13330, должны проходить вдоль кромок покрытий взлетно-посадочной полосы на расстоянии не менее 15 м. Глубину заложения следует принимать в соответствии с 7.3.3.2, но не менее глубины промерзания грунтов при свободной от снега поверхности. В районах с глубиной промерзания свыше 1,5 м допускается укладывать трубы в зоне промерзания, предусматривая при этом теплоизоляцию.

7.3.4.2 При прокладке методом ГНБ инженерных коммуникаций на территориях аэродромов при пересечении с такими элементам аэродрома, как взлетно-посадочная полоса, рулежная дорожка, перрон и места стоянки воздушных судов, глубину заложения следует принимать по результатам расчетов воздействия эксплуатационных нагрузок, но не менее 3,5 - 4,0 м от поверхности до верха трубы, независимо от ее диаметра. Окончательная глубина прокладки трубопровода согласовывается с соответствующими службами аэропорта.

Примечание - В качестве мероприятия, обеспечивающего дополнительную прочность трубопровода, возможно использование защитных футляров или труб с ЗКП, армированным стальным арматурным каркасом (см. приложение Е).

7.3.4.3 В стесненных ситуационно-топографических условиях, не позволяющих обеспечивать соблюдение требований настоящего свода правил в части трассы и размещения рабочих площадок, проект прокладки подземных коммуникаций горизонтальным направленным бурением на территории аэродромов допускается разрабатывать на основании согласованных технических условий.

7.3.5 Трасса ГНБ в охранной зоне метрополитена <*>

<*> По СП 120.13330.

7.3.5.1 Для инженерных коммуникаций, прокладываемых горизонтальным направленным бурением и пересекающих в плане линии метрополитена, не предъявляются особые требования к их расположению и конструкции в следующих случаях:

- расстояние от верха (низа) конструкции сооружения метрополитена до низа (верха) трубопровода более 20 м;

- между сооружением метрополитена и трубопроводом залегают устойчивые грунты по ГОСТ 25100 (плотные глины, нетрещиноватые полускальные и скальные породы, другие равноценные им по физико-механическим свойствам) мощностью не менее 6,0 м.

Примечание - В отдельных случаях, в зависимости от инженерно-геологических условий, указанные выше параметры могут быть изменены по согласованию с организациями, проектирующими и эксплуатирующими метрополитен.

7.3.5.2 В случаях, отличных от условий 7.3.5.1, к расположению и конструкциям инженерных коммуникаций, прокладываемых горизонтальным направленным бурением в зоне сооружений метрополитена, предъявляются требования по 7.3.5.3 - 7.3.5.8.

7.3.5.3 Пересечение коммуникациями над и под станционными сооружениями метрополитена допускается только в случае строительства в стесненных условиях городской застройки, при условии разработки компенсационных технических решений (например, применение стальных и полимерных футляров или труб с ЗКП, армированных стальным арматурным каркасом по приложению Е), исключающих нарушение гидроизоляции и подлежащих согласованию с организациями, проектирующими и эксплуатирующими метрополитен.

7.3.5.4 Трасса ГНБ на участке пересечения с сооружениями метрополитена должна быть прямолинейной в плане и профиле, с уходом за габариты конструкций не менее чем на 10 м, после чего допускаются криволинейные участки.

7.3.5.5 Напорные трубопроводы теплосети, канализации и водопровода, пересекающие выше или ниже подземные сооружения метрополитена, должны заключаться в защитные стальные футляры, концы которых должны выводиться за габариты сооружений не менее чем на 10 м в каждую сторону.

Примечание - Футляры допускается не устанавливать в соответствии с 7.3.3.5.

7.3.5.6 Прокладка газопроводов под подземными сооружениями метрополитена не допускается.

7.3.5.7 Вертикальное расстояние в свету между буровым каналом и верхом (низом) конструкции метрополитена при его пересечении трассой ГНБ должно соответствовать 7.3.3.2.

7.3.5.8 Прокладка трубопроводов под наземными линиями метрополитена должна предусматриваться в футлярах в соответствии с СП 119.13330 для электрифицированных железных дорог. Концы футляров должны выводиться за пределы ограждения территории метрополитена не менее чем на 3 м.

Примечание - Футляры допускается не устанавливать в соответствии с 7.3.3.5.

7.4 Области применения и характеристики протягиваемых труб

7.4.1 Вид труб для прокладки подземных инженерных коммуникаций методом ГНБ, их характеристики, необходимость и тип защитного покрытия труб, длины и особенности комплектации протягиваемых звеньев следует определять в соответствии с заданием на проектирование, требованиями нормативных документов для конкретного типа прокладываемой коммуникации, результатами изысканий по трассе перехода.

7.4.2 Стальные трубы следует применять для прокладки методом ГНБ:

- водопровода на переходах под железными и автомобильными дорогами, через водные преграды и овраги, на участках с расчетным внутренним давлением более 1,5 МПа, в соответствии с СП 31.13330;

- канализации (в качестве напорных труб) в соответствии с СП 32.13330;

- тепловых сетей в соответствии с СП 124.13330;

- газопроводов в соответствии с СП 62.13330;

- защитных футляров, внутри которых затем прокладываются коммуникационные трубы или кабели в оболочках.

7.4.3 Для подземной бестраншейной прокладки тепловых сетей (магистральных, распределительных и квартальных) применяются стальные трубы и фасонные изделия с тепловой изоляцией из пенополиуретана в полиэтиленовой или металлополимерной защитной оболочке <*>, соответствующие ГОСТ 30732. Оболочка должна предохранять ППУ изоляцию от механических повреждений, воздействий влаги, диффузии и обеспечивать защиту трубы от коррозии. При выборе труб тепловых сетей следует руководствоваться [10].

<*> Трубы с ППУ - ПЭ изоляцией.

7.4.4 В качестве защитных футляров, как правило, следует использовать стальные трубы, соответствующие ГОСТ 10704, ГОСТ 10705, ГОСТ 10706, ГОСТ 8731, ГОСТ 8733, ГОСТ 20295, ГОСТ ISO 3183. Наружная поверхность футляра покрывается изоляцией усиленного типа в заводских, базовых или трассовых условиях.

7.4.5 Трубы из полимерных материалов следует применять для прокладки методом ГНБ трубопроводов хозяйственно-питьевого водоснабжения и канализации в соответствии с СП 31.13330 и СП 32.13330, сетей газораспределения при давлении природного газа до 0,6 МПа включительно внутри поселений и до 1,2 МПа включительно - как межпоселковые линии различного назначения, в соответствии с СП 62.13330.

При соответствующем обосновании, допускается использовать полимерные трубы повышенной прочности в качестве защитных футляров.

7.4.6 В числе полимерных, как правило, применяются полиэтиленовые и полипропиленовые трубы. В отдельных случаях допускается применение труб из полиэтилена армированного стальным сетчатым каркасом (металлопластовые) или синтетическими нитями, из многослойного полиэтилена полиэфирных материалов, стеклопластика и др.

Примечание - Расчетные характеристики применяемых труб следует принимать в соответствии с НД на трубы.

7.4.7 Для прокладки методом ГНБ напорных трубопроводов, транспортирующих воду, в том числе для хозяйственно-питьевого водоснабжения, при температуре от 0 °C до 40 °C, а также другие жидкие и газообразные вещества, к которым полиэтилен химически стоек, следует применять трубы по ГОСТ 18599 из ПЭ 80 при SDR 9,0; 11,0 и 13,6, а также ПЭ 100 при SDR 11,0; 13,6 и 17,0.

Примечания

1 В ГОСТ 18599, ГОСТ Р 50838 и [11] приведены классификация и маркировка труб по сериям S и стандартному отношению SDR, значения которых определяются по формулам:

, (8)

, (9)

где - наружный диаметр трубы, мм;

s - толщина стенки трубы, мм.

7.4.8 Полиэтиленовые трубы сетей газораспределения должны соответствовать ГОСТ Р 50838, соединительные детали - ГОСТ Р 52779. Многослойные полимерные (металлополимерные и армированные синтетическими нитями) трубы и металлические соединительные детали для газопроводов должны соответствовать нормативным документам на конкретную продукцию.

7.4.9 Для газопроводов диаметром до 160 мм включительно рекомендуется применять длинномерные полиэтиленовые трубы, не требующие соединений. При необходимости выполнения соединений сварку следует выполнять по 8.7.7.

7.4.10 При прокладке трубопроводов в условиях абразивных пород и твердых включений, в горной местности, в мерзлых грунтах разных типов, а также в других условиях, требующих дополнительной защиты от повреждений поверхности трубопроводов и его изоляции, следует применять трубы с защитной (композитной, полипропиленовой, стеклопластиковой и др.) оболочкой, либо предварительное протягивание защитного футляра по 7.3.3.3 - 7.3.3.5.

Трубы с защитным утяжеляющим композитным (бетонным) покрытием (см. приложение Е) целесообразно применять для предотвращения всплытия трубопровода в буровом канале при протягивании, для строительства подводных переходов, а также переходов под железными и автомобильными дорогами, под аэродромными покрытиями, при пересечении существующих коммуникаций.

7.4.11 Трубы из ВЧШГ допускается применять для прокладки методом ГНБ коммунальных и промышленных систем водоснабжения и водоотведения в соответствии с СП 31.13330, СП 66.13330, для тепловых сетей в соответствии с СП 124.13330.

7.4.12 Для прокладки сборных трубопроводов из ВЧШГ методом ГНБ следует применять трубы из высокопрочного чугуна по ГОСТ ISO 2531.

7.4.13 Для сборки трубопровода следует применять гибкие усиленные соединения, обеспечивающие отклонения звеньев труб от линейного направления и выдерживающие расчетные тяговые усилия. Для предотвращения деформаций и разрыва соединений необходимый радиус изгиба трубопровода должен обеспечиваться путем устройства нескольких сгибаний вдоль оси.

7.4.14 Для прокладки методом ГНБ рекомендуется использовать:

- трубы из ВЧШГ с внутренним цементно-песчаным покрытием, внешним цинковым или цинко-алюминиевым покрытием и завершающим эпоксидным или на основе синтетических смол покрытием.

Примечание - В качестве дополнительной защиты от механических повреждений при протягивании в условиях абразивных пород и твердых включений используется полиэтиленовый рукав;

- гибкие раструбно-замковые соединения звеньев труб, прочность которых обеспечивается распределением осевой нагрузки вокруг раструба и ствола трубы.

Примечание - Примеры основных характеристик и типоразмеров труб из ВЧШГ, а также их допуски по углу отклонения в соединении, радиусу изгиба трубопровода, усилию при протягивании и диаметру бурового канала под раструбно-замковые соединения приведены в [27].

7.5 Особенности расчета протягиваемых труб

7.5.1 Проверочный расчет на прочность труб и их соединений при протягивании трубопровода выполняется из условия

, (10)

где - продольное осевое растягивающее напряжение в стенке трубы от протягивания трубопровода с учетом упруго-изогнутых участков, МПа;

- расчетное сопротивление растяжению материала труб и стыковых соединений, МПа.

7.5.2 Суммарные растягивающие напряжения , МПа, возникающие в стенке трубы при протягивании по буровому каналу, определяются по формуле

, (11)

где - усилие протягивания трубопровода по 7.5.4 - 7.5.6, кН;

E - модуль упругости материала трубы, МПа;

- радиус изгиба трассы прокладки трубопровода по 7.3.2, м.

7.5.3 Расчетное сопротивление растяжению материала труб , МПа, следует определять в соответствии с требованиями по проектированию конкретного вида коммуникаций на основе минимального значения нормативного временного сопротивления и предела текучести материала труб и стыковых соединений (по НД) с учетом нормированных значений сопротивлений и коэффициентов надежности по материалу, коэффициентов надежности по назначению трубопровода и условий работ.

7.5.4 Максимально допустимое усилие протягивания трубопровода , кН, не должно превышать значения

, (12)

7.5.5 Максимально допустимые усилия протягивания , кН, полиэтиленовых труб диаметром до 1200 мм по ГОСТ 18599, приведены в таблице Ж.1 приложения Ж.

7.5.6 Максимально допустимое усилие протягивания , кН, сборных трубопроводов из ВЧШГ следует определять с учетом устанавливаемых производителем прочностных характеристик труб и стыковых соединений.

7.6 Проектирование переходов кабельных линий

7.6.1 Пересечение трассы ЗП кабельной линии через железную дорогу с путями электрифицированного рельсового транспорта должно производиться под углом от 75° до 90° к оси пути.

7.6.2 Строительство ЗП кабельных линий методом ГНБ следует выполнять прокладкой кабелей в предварительно протянутых вслед за расширителем полиэтиленовых трубах-оболочках (футлярах), соответствующих ГОСТ 18599 либо в металлических, неметаллических и композитных трубах, соответствующих ГОСТ Р МЭК 61386.24.

7.6.3 Полиэтиленовые трубы-оболочки (футляры) для кабельных линий, протягиваемых в буровой канал, как правило, формируются в виде пакета без установки дополнительных распорок. Для обеспечения регламентируемых ПУЭ [12] расстояний в свету между кабелями диаметр полиэтиленовых труб (футляры), объединяемых в одном пакете, должен составлять, как правило:

- 40, 50, 63 и 90 мм при прокладке кабелей связи;

- 110, 160 мм при прокладке кабелей связи и наружного освещения;

- 110, 160, 225, 280, 315 мм для прокладки силовых кабелей.

Примечание - Применение труб меньшего диаметра возможно при наличии проектного обоснования, а также согласований заказчика и эксплуатирующей организации.

7.6.4 Диаметр бурового канала должен превышать габариты протягиваемого пакета <*> кабельных труб-оболочек не менее чем на 20%.

<*> Наибольшее расстояние между внешними гранями труб в составе пакета, с учетом возможного увеличения за счет концевых захватных устройств.

Рекомендуемые соотношения между общим числом труб-оболочек диаметром 160 мм <**> в протягиваемом пакете, числом действующих кабелей и минимальным диаметром бурового канала приведены в таблице 7.2. Сечения закрытых переходов для прокладки кабелей показаны на рисунке 7.5.

<**> Наиболее распространенные при прокладке кабельных линий.

Таблица 7.2

Соотношения числа труб-оболочек, действующих кабелей и диаметра бурового канала

Число одновременно затягиваемых труб-оболочек диаметром 160 мм Число действующих кабелей (по одному в трубе) Минимальный диаметр бурового канала, мм
2 1 400
3 2 450
4 2 - 3 500
5 3 520
6 4 560
7 4 - 5 600
8 5 - 6 700

Примечание - Для других диаметров труб-оболочек диаметр бурового канала принимается по таблице 8.3, исходя из максимального габарита предполагаемого к протягиванию пакета труб.

а) - для электрокабелей до 35 кВт, полиэтиленовые трубы (футляры) 160 мм;
б) - для кабелей наружного освещения и связи, полиэтиленовые трубы (футляры) 110 мм

Рисунок 7.5 - Сечения закрытых переходов для прокладки кабелей

Примечание - Диаметр скважин Dскв указан с учетом 20% запаса относительно протягиваемых труб.

7.6.5 Кабельные трубы-оболочки, протягиваемые пакетом, должны быть выведены на поверхность земли. Вдоль выхода труб разрабатывается шурф на проектную глубину строящейся коммуникации для стыкования кабелей перехода ГНБ с основной линией. Трубы оболочки укладываются на дно шурфа или обрезаются на уровне дна шурфа. Концы труб закрываются водонепроницаемой манжетой или герметизируются водонепроницаемым материалом (герметиком), грунт в точке входа/выхода труб уплотняется. Варианты устройства шурфов для вывода кабелей из перехода приведены на рисунке 7.6.

Примечание - Могут применяться другие предусмотренные проектом способы герметизации труб-оболочек.

а) - для пакета полиэтиленовых труб (футляров);
б) - для одиночных полиэтиленовых труб (футляров)

Рисунок 7.6 - Варианты шурфов для вывода кабелей из перехода

8 Производство работ

8.1 Организационно-техническая подготовка

8.1.1 Прокладка ЗП инженерных коммуникаций горизонтальным направленным бурением должна проводиться в соответствии с проектной и организационно-технологической документацией (ПОС и ППР), согласованной и утвержденной в порядке, установленном СП 48.13330. Проектно-сметная документация должна быть рассмотрена и согласована застройщиком (заказчиком) или лицом, осуществляющим строительство в соответствии с действующим законодательством (генеральный подрядчик) с участием представителей субподрядных организаций.

8.1.2 Для производства работ необходимо применять специализированное оборудование, соответствующее инженерно-геологическим и гидрогеологическим условиям строительства, протяженности и конструкции предполагаемого к прокладке трубопровода.

Примечание - Характеристики оборудования, рекомендации по его подбору, элементы технического и инфраструктурного оснащения приведены в приложении А, типовой состав бригады для выполнения работ по ГНБ - в приложении Д.

8.1.3 На участке проведения работ должен быть полный комплект инструкций по подготовке, эксплуатации, техническому обслуживанию буровой установки и другого технологического оборудования, а также по ремонту отдельных узлов и безопасному производству работ.

8.1.4 Руководящий состав и инженерно-технические работники подрядной строительной организации, ответственные за организацию и производство работ, осуществление технического контроля качества на всех этапах прокладки коммуникаций методом ГНБ, должны быть соответствующей квалификационной подготовки с аттестацией по правилам безопасного выполнения работ и промышленной безопасности.

8.1.5 Производитель работ должен выполнять оценку и управление возможными рисками, связанными с прокладкой подземных инженерных коммуникаций методом ГНБ, осуществлять организационно-технические мероприятия по предотвращению и снижению рисков, приведенных в приложении В.

8.2 Требования к проекту производства работ

8.2.1 ППР по сооружению ЗП методом ГНБ, в соответствии с СП 48.13330, должен разрабатываться в полном (см. 8.2.3) или неполном объеме (см. 8.2.6), в зависимости от территории и условий строительства, требований местной исполнительной власти, решения застройщика, технического заказчика или лица, осуществляющего строительство (генеральной подрядной строительной организации).

8.2.2 Разработку ППР необходимо выполнять на основании ПОС и другой проектно-сметной документации для объекта капитального строительства либо линейного объекта, в состав которого входит ЗП. Отступления от утвержденных проектных решений без согласования с техническим заказчиком, генеральным подрядчиком и проектной организацией не допускаются.

8.2.3 ППР в полном объеме, кроме общестроительных разделов, соответствующих СП 48.13330, [13], [14] должен включать:

- календарный график прокладки ЗП (см. 8.5, 8.6, 8.8);

- топографические планы строительных площадок со стороны буровой установки (точка входа) и со стороны трубы (точка выхода) (см. 8.3);

- план и продольный профиль монтажной зоны сборки плети трубопровода (см. 8.7);

- пояснительную записку, содержащую технологические решения (см. 8.5); состав и характеристики бурового раствора; значения максимальных скоростей бурения, протягивания, необходимых объемов и давления подачи бурового раствора; способ и этапы расширения скважины (см. 8.6); диаметр бурового канала; порядок развертывания катушек трубопровода или монтажа из сборных звеньев (см. 8.7); порядок протягивания трубопровода в скважину и предельно допустимое значение усилия тяги (см. 8.8); объемы и методы операционного контроля за производством работ при бурении, расширении и протягивании трубопровода (см. 11.3); мероприятия по обеспечению производства работ в холодный период года (см. 8.10); мероприятия по обеспечению безопасного выполнения работ (см. 12); объем отходов, места утилизации отработанного бурового раствора и шлама, природоохранные мероприятия и возможные мероприятия по обеспечению сохранности пересекаемых транспортных, городских и других объектов (см. 13).

Требования охраны труда и безопасности приведены в [15], [16].

8.2.4 Топографический план строительной площадки должен содержать:

- расположение, размер и тип основных элементов комплекса ГНБ (буровая установка, кабина управления, сменное оборудование, блок электроснабжения и т.п.);

- расположение и размеры блоков приготовления и регенерации, емкостей для хранения бурового раствора;

- расположение и размеры возможных приямков и шламоприемников;

- расположение складского участка и, при необходимости, крановой площадки, мастерских, столовых, прорабских, подъездных и внутриплощадочных дорог, ограждения строительной площадки.

Пример типовой схемы расположения оборудования на стройплощадках в точках входа/выхода трубопровода приведен на рисунке 8.1.

8.2.5 Организационно-технологическая документация в составе ППР по монтажной зоне (порядок развертывания катушек трубопровода или монтажа из сборных звеньев, план и продольный профиль монтажной зоны сборки плети трубопровода) должна содержать:

- конструкцию, высоту и положение монтажных роликовых опор, расстояние между ними по 8.7.9 - 8.7.13;

- радиус перегиба трубопровода на стадии монтажа по 8.7.15 - 8.7.18.

8.2.6 ППР по сооружению ЗП в неполном объеме, в дополнение к СП 48.13330, должен включать:

- топографические планы строительных площадок для точек входа/выхода;

- технологические схемы и порядок выполнения буровых работ по 8.4 - 8.6, сборки и протягивания трубопровода по 8.7 - 8.8;

- порядок операционного контроля по 11.3.

1 - буровая установка; 2 - буровые штанги; 3 - насос высокого давления; 4 - добавки к раствору; 5 - установка приготовления бурового раствора; 6 - склад бентонита (с навесом); 7 - блок рециркуляции; 8 - водяной насос; 9 - контейнер для материалов; 10 - мастерская; 11 - яма для бурового раствора; 12 - бытовые помещения; 13 - собранный трубопровод; 14 - роликовые опоры; 15 - стойка для труб и кран; 16 - расходный резервуар; 17 - экскаватор; 18 - яма для бурового раствора (дополн.); 19 - блок рециркуляции бурового раствора

Рисунок 8.1 - Пример типовой схемы расположения основного технологического оборудования на строительных площадках

8.3 Подготовительные работы и обустройство стройплощадок

8.3.1 До начала бурения должны быть выполнены следующие подготовительные работы:

- геодезическая разбивка трассы и вынос в натуру точек начала забуривания и выхода бура из грунта;

- уточнение местоположения и глубины заложения существующих коммуникаций и подземных объектов по трассе ЗП с участием технического заказчика.

Примечание - При отсутствии данных их определение с использованием специализированного оборудования (георадары, трассоискатели и др.) приведено в [17];

- подготовка строительных площадок для размещения буровой установки, насосно-смесительного узла для приготовления бурового раствора, склада буровых штанг, контейнера хранения для бентонита, полимеров, строительных материалов, бытовых помещений (см. рисунок 8.1);

- монтаж буровой установки в точке начала забуривания с обеспечением предусмотренного конструкцией закрепления, для восприятия усилий подачи при бурении и обратной тяги при протягивании трубопровода, а также заземления установки;

- контроль исправности и работоспособности локационной системы.

8.3.2 При необходимости размещения буровой установки на слабых или просадочных грунтах, значительных тяговых и вертикальных нагрузках следует предусматривать дополнительные меры по укреплению основания и закреплению буровой установки, например: устройство монолитной бетонной плиты или укладку бетонных плит, свайного основания, подпорной шпунтовой стенки, внешних упоров. Для достижения проектного угла входа пилотной скважины (см. 7.3.1.4) допускается, в соответствии с ППР, размещение буровой установки под наклоном к горизонту с обеспечением ее надежного закрепления.

8.3.3 Если предусматривается выполнение расширения (от себя) пилотной скважины или протягивание трубопровода от буровой установки, на строительной площадке в точке выхода должна устанавливаться дополнительная установка ГНБ, которая подтягивает расширитель на конечном участке скважины.

8.3.4 В стесненных условиях, например, на участках горной местности, пересечении береговых участков, допускается ведение работ по одноплощадочной схеме со стороны буровой установки, размещенной на точке входа по 10.14.

8.3.5 В качестве дополнительного оборудования, обеспечивающего проведение работ по одноплощадочной схеме, а также в сложных инженерно-геологических условиях, при большой длине и диаметре прокладываемого трубопровода, рекомендуется применять специальный доталкиватель или усилитель тяги, устанавливаемый на буровой установке в точке входа (см. приложение А.6), либо размещать второй буровой комплекс на точке выхода бура.

8.3.6 Размеры строительных площадок должны быть достаточными для размещения необходимого оборудования, технологических сооружений, а также развертывания катушек или раскладки сборного трубопровода так, чтобы он вошел в буровой канал без перегибов и перекручивания.

Типовые размеры буровых установок различных классов и рабочих площадок для их размещения и обеспечения производительной работы приведены в таблице 8.1.

Таблица 8.1

Типовые размеры буровых установок и рабочих площадок

Наименование параметра Значение параметра, м, для буровой установки класса
Мини Миди Макси, Мега
Длина буровых штанг От 1,5 до 3,0 От 3 до 9 От 6 до 12
Площадь основания установки (ширина x длина) От 0,9 x 3,0 до 2,1 x 6,0 От 2,1 x 6,0 до 2,4 x 13,5 Более 2,4 x 13,5
Рекомендуемые размеры рабочей площадки 6 x 18 30 x 45 40 - 50 x 60 - 100

Примечание - При работах в стесненных условиях размеры и конфигурации строительных площадок могут быть изменены, с учетом соблюдения требований безопасного производства работ.

8.3.7 Для устройства ЗП под водными и другими преградами длиной более 300 м размеры рабочих площадок для раскладывания и сборки трубопровода определяются длиной принятой к протягиванию плети и, как правило, должны составлять:

- от 15 до 60 м в длину по оси перехода от точки выхода скважины, в ширину 12 м;

- от 47 до 75 м в длину по оси перехода от точки входа, в ширину от 15 до 45 м.

8.3.8 При планировке площадок на входе/выходе необходимо разрабатывать технологические выемки (приямки), предназначенные для:

- сбора выходящего из скважины бурового раствора;

- ввода бурового инструмента и расширителей в скважину;

- подачи трубопровода для протягивания.

Размеры выемок определяются углами входа/выхода, диаметром бурения, характеристиками бурового оборудования. При необходимости обеспечения требуемого заглубления скважины буровая установка может быть размещена в специальном стартовом котловане.

8.4 Дополнительные мероприятия по обеспечению производства работ в сложных инженерно-геологических условиях

8.4.1 При наличии по трассе бурения скважины сыпучих галечниковых и гравийных грунтов, рыхлых песчаных или глинистых грунтов текучепластичной консистенции, а также напорных (артезианских) вод должны предусматриваться дополнительные мероприятия по обеспечению производства буровых работ:

- крепление обсадной трубой;

- предварительное закрепление грунтов;

- устройство разгрузочных и наблюдательных пьезометрических скважин.

8.4.2 Крепление обсадной трубой следует производить на участках входа или выхода скважины для предотвращения обвалов и выхода бурового раствора на поверхность.

8.4.2.1 Длина обсадной трубы принимается до устойчивых (связных) слоев грунта. Ее внутренний диаметр должен превышать не менее чем на 100 мм диаметр наибольшего из применяемых расширителей, с тем, чтобы скважинный снаряд свободно проходил в трубе при буровых работах и протягивании.

8.4.2.2 Обсадная труба, как правило, формируется из отдельных звеньев, погружаемых в грунт забивкой, забуриванием или вдавливанием.

8.4.2.3 Метод погружения должен выбираться в зависимости от конкретных инженерно-геологических условий и применяющегося технологического оборудования.

8.4.2.4 После завершения прокладки трубопровода обсадная труба может быть полностью или частично извлечена. Для предотвращения осадок поверхности обсадную трубу целесообразно оставить в грунте.

8.4.2.5 Обсадную трубу в нижней точке входа/выхода скважины рекомендуется применять для установки внутреннего запорного клапана и резинового уплотнения с целью обеспечения циркуляции и предотвращения выхода бурового раствора.

8.4.3 Закрепление грунтов производится по трассе бурения, преимущественно в неустойчивых и трещиноватых породах.

8.4.3.1 Предварительное закрепление с поверхности производится в соответствии с СП 22.13330 и СП 45.13330.

Примечание - Как правило, применяется метод инъекции цементного раствора.

8.4.3.2 Допускается закрепление грунта с помощью твердеющего раствора (как правило, смеси бурового и цементного растворов), подаваемого через скважину и буровую колонну при протягивании трубопровода, при этом срок схватывания раствора должен превышать время, необходимое для завершения протягивания.

8.4.4 Разгрузочные скважины должны устраиваться по оси трассы бурения в местах заложения слабых рыхлых и трещиноватых пород, а также при критическом приближении <*> скважины к ответственному или подземному объекту, сохранность которого необходимо обеспечить.

Примечание - Разгрузочные скважины предназначены для снижения избыточного давления бурового раствора, предотвращения гидравлического разрыва сплошности окружающего грунта, связанного с нарушением циркуляции и неконтролируемыми выбросами раствора.

<*> Расстояние до объекта, на котором возможны негативные воздействия при бурении.

8.4.4.1 Число и расположение разгрузочных скважин устанавливается проектом (см. раздел 7), исходя из конкретных условий строительства.

8.4.4.2 Глубина разгрузочных скважин принимается из условия приближения к буровому каналу (после прохода наибольшего расширителя) на расстояние, как правило, от 0,2 до 0,5 м.

8.4.4.3 Типовая схема разгрузочной скважины приведена на рисунке 8.2.

8.4.5 Наблюдательные пьезометрические скважины, регистрирующие свободный уровень грунтовых вод, пьезометрический уровень напорных вод, а также возможный подъем уровня и давление бурового раствора при проходке, следует применять как в комплексе с разгрузочными скважинами, так и отдельно, на подходе к ответственному объекту, для корректировки технологии бурения и состава раствора.

1 - заглушка с вентиляционным отверстием; 2 - грунтовая засыпка; 3 - заполнение тампонажным глиноцементным раствором; 4 - ствол скважины диаметром 200 мм; 5 - ПВХ-труба диаметром от 75 до 100 мм; 6 - гравийная засыпка от 0,5 до 1,0 м; 7 - перфорированный фильтр; 8 - водонепроницаемая заглушка; 9 - буровой ствол скважины ГНБ после расширения

Рисунок 8.2 - Типовая схема разгрузочной скважины

8.5 Бурение пилотной скважины

8.5.1 Бурение следует начинать после закрепления и заземления буровой установки, приготовления бурового раствора, в объеме необходимом для проходки скважины (см. 9.2).

8.5.2 Бурение пилотной скважины необходимо выполнять под предусмотренным проектом углом входа в грунт и далее по проектной траектории в соответствии с профилем и планом прокладки коммуникации (см. рисунок 8.3).

Рисунок 8.3 - Направленное бурение пилотной скважины

8.5.3 Разработку забоя скважины следует проводить передовым буром с применением сменных насадок для различных видов грунта. Изменение направления бурения осуществляется с помощью буровой лопатки (со скосом), размещаемой по центру передового бура.

8.5.3.1 Тип применяемого передового бура следует выбирать по А.3.2 (приложение А) в зависимости от инженерно-геологических условий по трассе перехода.

8.5.3.2 Для скальных пород по ГОСТ 25100 целесообразно применение забойного двигателя повышающего производительность буровых работ. При этом необходимо учитывать увеличение расхода бурового раствора, соответственно характеристикам оборудования.

Примечание - Забойный двигатель - устройство в составе буровой колонны, преобразующее, как правило, гидравлическую энергию потока бурового раствора в механическую работу (вращательную или ударную) породоразрушающего инструмента.

8.5.4 В процессе проходки пилотной скважины должен производиться контроль траектории бурения с применением специальных локационных систем (см. А.5, приложение А). Контроль траектории бурения осуществляется по информации о местоположении, глубине, уклоне, крене (по часам), азимуте буровой головки.

Примечание - На точность измерений могут оказывать влияние активные <*> и пассивные <**> помехи от посторонних источников и определяемые физическими свойствами грунтов.

<*> Генерирующие электромагнитные сигналы приборы, устройства, кабели и др.

<**> Подземные металлические объекты, токопроводящие породы, соленая вода и др.

8.5.5 Коррекцию траектории на основании результатов контроля по 8.5.4 следует выполнять при остановленном вращении буровой колонны, путем регулирования положения скоса буровой головки и последующего задавливания колонны до достижения буровой головкой проектного положения для конкретного участка траектории. После выполнения коррекции необходимо проведение дополнительного цикла локационного контроля по А.5 приложения А.

Примечание - При необходимости, буровая головка может быть отведена назад на длину одной или нескольких штанг с последующей коррекцией траектории бурения.

8.5.6 В процессе бурения через полые буровые штанги и форсунки породоразрушающего инструмента на забой необходимо подавать буровой раствор.

Примечание - Функции, параметры, составы, расчеты, указания по приготовлению, применению и контролю буровых растворов приведены в разделе 9.

8.5.7 Скорость бурения пилотной скважины , м/ч, в зависимости от группы грунтов по буримости и типа применяемого бурового инструмента рекомендуется принимать по таблице 8.2.

Таблица 8.2

Скорость бурения пилотной скважины

Группа грунтов по буримости (приложение И) Скорость бурения пилотной скважины , м/ч, при применении
винтового забойного двигателя гидромонитора
I - 60 и более
II - 40 - 60
III 40 - 50 30 - 40
IV 30 - 40 20 и менее
V 20 - 30 -
VI 10 - 20 -
VII 8 и менее -
VIII - -
IX - -
X - -
XI - -
XII - -

8.5.8 Расчетное время для проходки пилотной скважины на длину перехода tпил, ч, определяется по формуле

, (13)

где L - расчетная длина скважины по профилю перехода, м;

- возможное увеличение фактической длины бурового канала, м (см. 7.3.1.11);

- скорость бурения пилотной скважины, м/ч.

8.5.9 Если грунтовые условия меняются по длине трассы перехода, приведенные в 8.5.7 - 8.5.8 технологические параметры бурения должны определяться для каждого конкретного участка.

8.5.10 В процессе производства работ должны контролироваться: циркуляция бурового раствора, его расход, соответствие грунтов проекту, а при необходимости выполняться корректировки состава раствора и технологических параметров бурения. Если выявленные в процессе бурения инженерно-геологические условия показывают, что дальнейшее применение принятой технологии ГНБ затруднено или невозможно (см. 5.6), необходимо изменение проектно-технологических решений.

8.5.11 Направленное бурение пилотной скважины должно завершаться выходом бура, в заданной проектом точке, на поверхность или в специально подготовленный приямок (приемный котлован).

8.5.12 По результатам контроля траектории в процессе проходки пилотной скважины должна быть оформлена исполнительная документация: протокол бурения, чертежи фактического профиля и плана пилотной скважины, акт приемки пилотной скважины (приложение К).

8.6 Расширение скважины

8.6.1 Расширение скважины следует производить после завершения проходки пилотной скважины. Взамен буровой головки к колонне штанг необходимо присоединить расширитель и протянуть, с одновременным вращением, через скважину в направлении к буровой установке (см. рисунок 8.4).

Примечания

1 Специализированные расширители (римеры) для различных типов грунтов оснащаются высокопрочными режущими кромками, породоразрушающими насадками и производят резание, скалывание и уплотнение грунта.

2 Основные типы и характеристики расширителей скважин приведены в А.3.2 приложения А.

Рисунок 8.4 - Расширение скважины

8.6.2 Конструкцию расширителя необходимо подбирать в соответствии с инженерно-геологическим условием по трассе перехода, физико-механическими свойствами и структурными особенностями разбуриваемых грунтов.

8.6.3 На протяжении всего этапа расширения со стороны трубопровода (точки выхода) должно осуществляться непрерывное наращивание пилотных штанг за расширителем, чтобы в скважине постоянно находилась целая буровая колонна.

8.6.4 На всех этапах производства работ (бурение пилотной скважины, расширение, протягивание трубопровода) в скважину следует подавать буровой раствор для удаления бурового шлама, стабилизации и смазки стенок канала.

8.6.5 Окончательный диаметр бурового канала, этапы и диаметры предварительного расширения скважины, типы и диаметры применяемых расширителей определяются ППР в зависимости от диаметра трубопровода (пакета труб), длины и трассы перехода, инженерно-геологических условий, характеристик буровой установки и вспомогательного оборудования. Для обеспечения протягивания окончательный диаметр бурового канала должен превышать наибольший внешний диаметр трубопровода (включая защитное покрытие и изоляцию) на 20% - 50%. При протягивании в твердых связных грунтах (сухая тугопластичная глина, плотный слежавшийся песок с твердыми включениями) окончательный диаметр бурового канала должен превышать внешний диаметр трубопровода не менее чем на 30%.

8.6.6 Зазор в свету между внешней поверхностью протягиваемого трубопровода и грунтовыми стенками скважины не должен, как правило, превышать 150 мм. Рекомендуемые соотношения между длиной ЗП, диаметрами протягиваемого трубопровода (пакета труб) и бурового канала приведены в таблице 8.3.

Таблица 8.3

Наружный диаметр трубопровода dн или пакета труб, мм Длина перехода, м Диаметр бурового канала не менее, мм
До 200 До 50 1,2dн
50 - 99 1,3dн
100 - 299 1,4dн
Св. 300 dн + 100
201 - 599 50 - 99 1,3dн
100 - 299 1,4dн
Св. 300 1,5dн
Св. 600 Св. 100 dн + 300

8.6.7 Для каждого прохода расширителя расчетная скорость его протягивания (бурения на текущем этапе расширения) , м/мин, определяется по формуле

, (14)

где - диаметр текущего расширения скважины, м;

- диаметр предыдущего расширения пилотной скважины, м;

F - грунтовый коэффициент расхода бурового раствора, принимается по таблице Л.1 приложения Л;

- интенсивность подачи бурового раствора при расширении, м3/мин.

Примечание - Превышение расчетной скорости бурения на этапе расширения приводит к обжиму бурового инструмента, снижение - к перерасходу бурового раствора.

8.6.8 Расчетное время , ч, требующееся для расширения бурового канала от диаметра предыдущего расширения до диаметра текущего расширения на длину перехода, определяется по формуле

, (15)

где L - расчетная длина скважины по профилю перехода, м;

- возможное увеличение фактической длины бурового канала, м (см. 7.3.1.11);

- скорость расширения, м/мин.

При нескольких последовательно выполняемых расширениях суммируются временные затраты на каждую операцию.

8.6.9 Скорость протягивания расширителя обычно принимается от 0,3 до 1,4 м/мин и регулируется выбором расширителя соответствующего типа и диаметра, ограничением площади разрабатываемого забоя.

8.6.10 Площадь забоя при расширении и диаметр расширителя первой ступени Dр1, м, следует определять в зависимости от прочности грунта с учетом следующих ограничений:

- для рыхлых и малопрочных грунтов, соответствующих I - III группам по буримости для механического вращательного бурения (приложение И), максимальная площадь забоя не более 0,5 м2, диаметр расширителя первой ступени Dр1 - до 0,8 м;

- для грунтов средней прочности, соответствующих IV - VI группам по буримости для механического вращательного бурения (приложение И), максимальная площадь забоя не более 0,3 м2, диаметр расширителя первой ступени Dр1 - до 0,6 м;

- для прочных скальных грунтов, соответствующих VII и выше группам по буримости для механического вращательного бурения (приложение И), максимальная площадь забоя не более 0,2 м2, диаметр расширителя первой ступени Dр1 - до 0,5 м.

8.6.11 Шаг последовательного расширения и размерный ряд необходимых расширителей определяются исходя из окончательного проектного диаметра бурового канала по 8.6.5 и ограничения площади забоя по 8.6.10. Рекомендуемый минимальный шаг расширения по диаметру скважины (увеличения диаметра расширителя) - 100 мм [18].

8.6.12 При наличии по трассе перехода абразивных пород и твердых включений, готовность бурового канала к протягиванию рабочего трубопровода устанавливается предварительным пропуском калибра (элемента или секции трубы максимального диаметра) по отсутствию недопустимых деформаций и механических повреждений покрытия в соответствии с требованиями нормативных технических документов для конкретного типа трубопровода.

8.6.13 По окончании формирования бурового канала составляется акт приемки расширенной скважины и готовности ее под протягивание трубопровода по соответствующей форме приложения К.

8.7 Сборка трубопровода и организация технологического изгиба для подачи в грунт

8.7.1 Сборка и подготовка трубопровода к протягиванию должны проводиться одновременно или опережать буровые работы. К моменту завершения расширения бурового канала трубопровод или его передовой участок, размещаемый, как правило, по створу перехода на противоположной от буровой установки стороне скважины (точка выхода), должен быть скомплектован, сварен (соединен муфтами), если предусмотрено испытан и, в случае необходимости, подготовлен к протягиванию путем установки на роликовые опоры.

Примечание - Предварительная растяжка всей плети труб или сборка передового и последующих участков является предпочтительной, по сравнению с посекционной сборкой в процессе протягивания, за счет сокращения времени и снижения риска заклинивания трубопровода в скважине при перерывах в протягивании.

8.7.2 Допускается сборка плети труб под углом, в плане, к створу, перехода, при невозможности размещения трубопровода строго по створу. При этом следует предусматривать мероприятия для обеспечения допустимого радиуса технологического изгиба в горизонтальной плоскости в соответствии с 8.7.3 и выделение соответствующих монтажных площадок. Непосредственно перед входом в скважину трубопровод должен быть без изгибов в плане.

8.7.3 В стесненных условиях строительства допускается производить сборку трубопровода в процессе протягивания путем последовательного наращивания плети соединением секций труб. При этом необходимо выполнять мероприятия по обеспечению устойчивости стенок расширенного бурового канала к обрушению при технологических перерывах в протягивании в соответствии с 8.8.7.

8.7.4 Конструкции и размеры отдельных секций, а также составных участков собираемого трубопровода должны соответствовать приведенным в составе проектной документации (см. таблицу Г.2, приложения Г).

8.7.5 Для прокладки трубопроводов из полимерных труб диаметром до 160 мм включительно рекомендуется применять длинномерные трубы, поставляемые в катушках.

8.7.6 Сборку плетей трубопроводов, включая погрузочно-разгрузочные работы, хранение, монтаж и сварку секций труб, контроль качества и изоляцию сварных стыков, очистку полости и гидравлические испытания участка трубопровода, следует производить по 7.4 согласно:

- СП 31.13330 - для наружных сетей водоснабжения;

- СП 66.13330 - для напорных сетей водоснабжения и водоотведения из труб ВЧШГ;

- СП 32.13330 - для наружных систем канализации;

- СП 124.13330 - для тепловых сетей;

- СП 62.13330, ГОСТ 9.602, ГОСТ 6996, ГОСТ 7512, ГОСТ 16037, ГОСТ Р 55724 - для сетей газораспределения из стальных труб;

- СП 62.13330, ГОСТ 18599, ГОСТ Р 50838, ГОСТ Р 52779, ГОСТ Р 55276 - для сетей газораспределения из полимерных труб.

Сборка плетей трубопроводов для систем водоснабжения и канализации из полимерных материалов приведена в [11].

8.7.7 При выборе типа соединения ПЭ труб следует отдавать предпочтение стыковой сварке, которая более надежна по условиям протягивания трубопровода в буровой канал, т.к. попадание перед муфтой обломков скальной породы или гравия, а также обрушение стенок скважины при аварийной остановке могут привести к разрыву или повреждению трубопровода.

8.7.8 Сборку и испытания трубопроводов необходимо проводить на основании соответствующих регламентов, разрабатываемых для конкретного ЗП подземных инженерных коммуникаций.

8.7.9 Плеть трубопровода, подготовленную для протягивания, в пределах монтажной площадки, целесообразно размещать на специальных роликовых опорах, уменьшающих до минимума сопротивление трения и снижающих необходимое усилие тяги.

В качестве роликовых опор, как правило, используются стальные рамы, на которые крепятся ролики из твердой резины или полиуретана с шаровыми подшипниками. На инвентарных опорах ширина расположения роликов должна регулироваться для возможности использования для протягивания труб разных размеров.

8.7.10 Роликовые опоры должны обеспечивать:

- равномерное распределение нагрузки плети трубопровода;

- минимальный коэффициент трения качения трубопровода по роликам;

- поперечную устойчивость уложенного трубопровода при его перемещении;

- сохранность изоляционного покрытия труб при протаскивании.

8.7.11 Габариты опор и расстояния между ними следует определять из условий:

- предотвращения недопустимых деформаций трубопровода (прогиб, выгиб);

- обеспечения сохранности внешнего защитного покрытия;

- минимизации осадок опор для тяжелого трубопровода.

Несущая способность конструкции и основания роликовых опор, с учетом возможной перегрузки за счет неполной работы ближайших опор, должна превышать расчетную нагрузку не менее чем в 1,5 раза. Нагрузки на опоры должны регулироваться путем изменения их высотного положения.

8.7.12 Основание и конструкции опор должны предотвращать их осадку. Опоры следует устанавливать точно по створу перехода на предварительно спланированную поверхность грунта, на железобетонные плиты, уложенные на песчаное основание, с заглублением в грунт и устройством щебеночного основания.

8.7.13 Высотные отметки и соосность опор должны контролироваться геодезическими методами по СП 126.13330. Опоры должны быть установлены без перекосов в продольном и поперечном направлениях. До начала сборки и протяжки плети трубопровода роликовые направляющие необходимо проверить и смазать во избежание заклинивания отдельных роликов.

8.7.14 Трубопровод в процессе протягивания должен поддерживаться краном-трубоукладчиком. Не допускается самопроизвольное перемещение трубопровода на опорах.

8.7.15 Для обеспечения подачи стального трубопровода в буровой канал и предотвращения недопустимых деформаций трубопровод должен быть переведен из горизонтального положения (на сборочном участке) в угол выхода пилотной скважины, путем придания ему соответствующего технологического изгиба (см. рисунок 8.5).

8.7.16 Необходимый технологический изгиб трубопровода следует организовывать путем подъема плети с помощью промежуточных опор, высота которых уменьшается в сторону точки выхода (см. рисунок 8.5). Взамен промежуточных опор допускается применять трубоукладчики или крановую технику необходимой грузоподъемности.

8.7.17 Расстановку опор в зоне технологического изгиба, включая назначение их высоты и промежуточных расстояний, следует выполнять на основании расчета напряженно деформированного состояния трубопровода с учетом следующих характеристик:

- изгибная жесткость труб;

- угол входа в скважину;

- уклон спусковой дорожки;

- допустимые нагрузки на опоры.

Рисунок 8.5 - Схема организации технологического изгиба для подачи трубопровода

8.7.18 Расчет параметров подходного участка в зоне технологического изгиба приведен в [18].

Для стальных труб радиус технологического перегиба собранной на поверхности плети , м, должен быть не менее

, (16)

где - наружный диаметр трубы, м.

8.7.19 В зависимости от конкретных условий строительной площадки и характеристик трубопровода подача собранной плети в скважину производится путем:

- устройства наклонной трассировки подходного участка в створе трубопровода (спусковой дорожки) с учетом допустимого радиуса естественного изгиба трубопровода;

- подъема трубопровода распределенными вдоль плети трубоукладчиками при разной высоте удерживающих их катков.

8.7.20 На обводненных участках поймы трубопровод допускается подавать в скважину по траншее заполненной водой с помощью кранов-трубоукладчиков. Длина траншеи определяется ППР в зависимости от конкретных условий строительства, глубина траншеи должна превышать осадку плавающего трубопровода не менее чем на 0,5 м.

8.7.21 Для подачи в скважину плети трубопровода из ВЧШГ, в дополнение к промежуточным роликовым опорам, необходимо применять направляющие, поддерживающие плеть у каждого раструбно-замкового соединения.

Примечание - Для обеспечения перегиба трубопровода с заданным углом входа в скважину, в качестве передвижных направляющих опор, на подходном участке могут использоваться трубоукладчики с троллейными подвесками.

8.8 Протягивание трубопровода

8.8.1 Протягивание трубопровода должно осуществляться с минимальным перерывом после завершения расширения и калибровки бурового канала по 8.6.12. Протягивание следует проводить с использованием плетей трубопровода максимальной длины, определяемой по условиям растяжки на строительной площадке.

8.8.2 Перед началом протягивания необходимо провести приемку собранного трубопровода (участка трубопровода, пакета труб) с составлением акта по приложению К (форма 4).

Примечание - Для труб, протягиваемых пакетом, из-за возможного изменения их взаиморасположения, необходима маркировка их концов (клеймение, нестираемая краска, надпилы и т.п.).

8.8.3 На передний конец трубопровода следует устанавливать оголовок с закрепленным на нем вертлюгом, предотвращающим вращение трубопровода. К концу колонны буровых штанг крепится расширитель диаметром, как правило, соответствующим последнему расширению.

Примечание - В отдельных случаях диаметр расширителя при протяжке трубы может приниматься менее диаметра бурового канала, но не менее диаметра протягиваемого трубопровода.

Сборка буровой колонны для протягивания трубопровода через буровой канал на буровую установку приведена на рисунке 8.6. Форма оголовка должна снижать лобовое сопротивление бурового раствора и препятствовать врезанию трубопровода в грунт при протягивании.

8.8.4 Буровая установка должна затягивать в скважину плеть протаскиваемого трубопровода по траектории пилотной скважины. Буровой раствор в скважину необходимо подавать на всем протяжении протягивания трубопровода.

8.8.5 Тяговое усилие не должно превышать предельно допустимого значения, определенного проектом из условия прочности трубы. Значение тягового усилия следует контролировать по штатным приборам буровой установки или с помощью специальных регистрирующих динамометров, устанавливаемых в составе протягиваемой буровой колонны, и фиксировать в журнале производства работ.

1 - буровая штанга; 2 - расширитель; 3 - шарнирное соединение; 4 - вертлюг; 5 - оголовок; 6 - трубопровод

Рисунок 8.6 - Сборка буровой колонны для протягивания трубопровода через буровой канал на буровую установку

8.8.6 Для предотвращения заклинивания трубы в скважине процесс протягивания трубопровода должен идти без остановок и перерывов, исключая обоснованные технологической необходимостью подсоединения новых плетей или звеньев.

8.8.7 Запрещается начинать протягивание, если невозможно завершить его до конца из-за ограничений на работу в ночное время. Если протягивание уже начато, следует использовать все организационно-технологические возможности для его полного завершения. Для правильной организации работ в составе ППР должен быть приведен почасовой (суточный) график протягивания трубопровода. Для трубопроводов большой длины следует предусматривать круглосуточный режим протягивания.

8.8.8 В случае вынужденных технологических перерывов в протягивании трубопровода для предотвращения прихвата к стенкам канала следует проводить периодическую циркуляцию бурового раствора в скважине и проворачивание буровой колонны.

8.8.9 В условиях значительной протяженности горизонтального участка скважины, для предотвращения всплытия находящегося в заполненном раствором буровом канале пустотелого трубопровода, применяется увеличение его веса за счет применения толстостенных труб, снижения плотности бурового раствора, дополнительной балластировки по 8.8.9.1 - 8.8.9.5.

Примечание - Всплытие трубопровода в буровом канале приводит к повышению трения протягивания.

8.8.9.1 Балластировка осуществляется непосредственным заливом воды в полость рабочего трубопровода. Подача балластной воды в находящуюся в скважине часть трубопровода должна выполняться через промежутки времени в зависимости от темпа протягивания.

8.8.9.2 Необходимый объем воды, придающий нулевую плавучесть при протягивании, в расчете на 1 пог. м находящегося в буровом канале трубопровода, +_+, м3/м, следует определять по выражению:

, (17)

где - наружный диаметр трубы, м;

- плотность бурового раствора, г/см3;

- масса 1 пог. м протягиваемой трубы, кг/м.

8.8.9.3 Для залива воды при балластировке трубопровода должны быть подготовлены водопроводная линия, подтянутая к точке выхода на трубной стороне, и вводимый внутрь трубы водовод.

8.8.9.4 Не допускается перелив воды и увеличение нагрузок на подходном участке трубопровода к скважине. Вода заполнения должна выводиться из трубопровода после протягивания.

8.8.9.5 Допускается проводить балластировку протягиваемого трубопровода по технологии "труба в трубе":

- извлекаемыми внутренними полиэтиленовыми трубами с заполнением их водой или другими материалами;

- для футляра - с помощью предварительно протянутого в нем рабочего трубопровода.

8.8.10 Протягивание в защитный футляр по 7.3.3.3, 7.3.3.4, 7.4.4, 7.4.5 (трубу-оболочку по 7.6) плети трубопровода (кабелей) осуществляется с помощью заранее проложенного внутри футляра троса или колонны штанг и включает следующие операции:

- установка лебедки или буровой установки со стороны противоположной собранной плети трубопровода (подготовленным к протяжке кабелям);

- присоединение оголовка протягиваемой плети трубопровода (кабеля) к тросу или колонне штанг;

- протягивание плети трубопровода (кабеля) в защитный футляр (трубу-оболочку) с помощью лебедки или установки ГНБ;

- завершение протягивания плети трубопровода после того, как передовой элемент достигнет места установки ГНБ.

8.9 Завершающие работы

8.9.1 После окончания протягивания трубопровода должны быть выполнены следующие работы:

- демонтаж технологических устройств и систем;

- удаление и утилизация остатков буровых жидкостей;

- удаление и утилизация остатков бурового шлама;

- герметизация концов проложенного трубопровода путем установки заглушек;

- демонтаж ограждений и обратная засыпка рабочих котлованов, приямков и т.п.;

- очистка и планировка рабочих площадок на точках входа и выхода;

- очистка и техобслуживание буровых штанг и инструмента;

- ремонт и восстановление подъездных дорог;

- восстановление плодородного слоя грунта в случаях нарушения.

8.9.2 По завершении приемки проложенных методом ГНБ трубопроводов применительно к различным видам инженерных коммуникаций выполняются:

- стыковка проложенного трубопровода с участками открытой прокладки;

- протягивание (закладка) в проложенные футляры трубопровода, силовых или слаботочных кабелей по 8.8.10;

- устройство на концах проложенных трубопроводов колодцев, камер, дренажных систем, запорных устройств и др.

8.9.3 Состав и способы выполнения завершающих технологических операций должны быть предусмотрены проектными решениями на инженерные сети, в состав которых входят участки, проложенных методом ГНБ, трубопроводов.

8.10 Особенности производства работ в холодный период года

8.10.1 Для повышения производительности и снижения дополнительных затрат работы по бурению рекомендуется выполнять при положительных температурах наружного воздуха.

8.10.2 При среднесуточных температурах в холодный период ниже 5 °C следует принимать следующие меры по обеспечению круглосуточной непрерывной работы:

- буровая установка и узел приготовления бурового раствора, оборудование для его перекачки и регенерации должны размещаться в тепляке;

- трубопроводы для подачи и откачки бурового раствора должны быть утеплены.

Примечание - Возможно применение труб по ГОСТ 30732 с тепловой изоляцией из пенополиуретана и защитной оболочкой;

- для приготовления буровых растворов должна применяться вода температурой от 4 °C до 40 °C.

8.10.3 Работы по протягиванию ПЭ труб, как правило, должны производиться при температуре наружного воздуха не ниже минус 15 °C. При более низкой температуре необходимо организовывать подогрев пропуском подогретого воздуха через подготовленный к укладке трубопровод. Температура подогретого воздуха не должна быть более 60 °C.

8.10.4 Разматывание труб с катушек (бухт) должно проводиться при температуре наружного воздуха не ниже указанной в техническом документе изготовителя на партию. Допускается вести разматывание и при более низких температурах, если созданы условия для предварительного подогрева труб на катушке (в бухте). При этом перерывы в работе до полной укладки плети из катушки не допускаются.

9 Буровые растворы

9.1 Требования к буровому раствору и его составу при ГНБ

9.1.1 При бурении пилотной скважины, расширении и калибровке бурового канала, протягивании трубопровода необходимо применять буровой раствор обеспечивающий:

- удержание выбуренного грунта во взвешенном состоянии;

- очистку ствола скважины от выбуренного грунта;

- предотвращение налипания на буровой инструмент и обжима буровой колонны за счет стабилизации активности связных грунтов (по ГОСТ 25100) при контакте с водой;

- предотвращение обрушения стенок скважины в несвязных грунтах (по ГОСТ 25100), за счет образования тонкой и прочной фильтрационной корки с низким уровнем водопроницаемости;

- охлаждение бурового инструмента;

- снижение коэффициента трения;

- передачу гидравлической энергии забойному двигателю.

9.1.2 Основные параметры бурового раствора, в зависимости от типа проходимых грунтов и гранулометрических размеров частиц выбуренной породы, должны соответствовать значениям, приведенным в таблицах 9.1 и 9.2.

Таблица 9.1

Параметр бурового раствора Рекомендуемое значение Средство измерения Допустимая погрешность измерения
Плотность, г/см3 1,01 - 1,04 Рычажные весы +/- 0,01
Условная вязкость, с:     +/- 0,5
глина 30 - 80  
суглинок/супесь 40 - 60 Вискозиметр
песок, песок гравелистый 40 - 80 Марша
гравийный грунт, трещиноватые скальные грунты от 80 и выше  
Уровень водоотдачи, см3/30 мин:   Фильтр-пресс (5 дюймов) +/- 0,5
несвязные грунты Не более 15    
связные и скальные грунты не более 35    
Содержание песка, масс. % Не более 1 Набор для определения содержания песка +/- 0,5

Примечание - Значения параметров буровых растворов определяются по ГОСТ 33213 и в соответствии с эксплуатационной документацией на средства измерения.

Таблица 9.2

Разновидность крупнообломочных грунтов и песков Размер частиц, мм Статическое напряжение сдвига (СНС (10 с)) Динамическое напряжение сдвига (ДНС)
фунт/100 фут2 дПа фунт/100 фут2 дПа
Крупнообломочные:          
- гравийный (при неокатанных гранях - дресвяный) > 2
(> 50%)
> 40 >= 200 >= 60 >= 300
Пески:          
- гравелистый; > 2 15 - 30 75 - 150 20 - 40 100 - 200
- крупный; > 0,50 8 - 20 40 - 100 15 - 25 75 - 125
- средней крупности; > 0,25 7 - 12 35 - 60 12 - 20 60 - 100
- мелкий/пылеватый. > 0,10 5 - 8 25 - 40 10 - 15 50 - 75

Примечания

1 Деципаскаль (дПа) = 0,1 Паскаль (Па).

2 Параметры СНС и ДНС определяются по ГОСТ 33213-2014 (6.3.2 - 6.3.3).

3 Значения параметров СНС и ДНС для глинистых грунтов не регламентируются.

9.1.3 Для ГНБ следует применять растворы исключительно на водной основе в сочетании с бентонитом и специальными добавками. Типовой объемный состав бурового раствора приведен в таблице 9.3.

Таблица 9.3

Состав бурового раствора
Вода 94% - 98%
Бентонит 2% - 6%
Специальные добавки до 1%

9.1.4 Для приготовления бурового раствора следует применять воду из водопровода, естественных водоемов, колодцев и артезианских скважин, соответствующую ГОСТ 23732. Допускается применение морской воды в сочетании со специализированными добавками или прошедшей технологию опреснения воды.

9.1.5 У воды для бурового раствора должны быть следующие показатели:

- уровень кислотности (показатель активности ионов водорода, pH) от 8 до 10 ед.;

- уровень жесткости (содержание ионов кальция) не более 5 °Ж (14 Dh);

- содержание хлоридов не более 1000 мг/л.

Примечание - Dh - немецкие градусы, °Ж - градус жесткости.

9.1.6 Соответствие воды показателям кислотности и общей жесткости следует контролировать до начала работ при подборе состава бурового раствора и, при необходимости, регулировать.

Примечание - Для повышения показателя pH воды и снижения уровня жесткости, как правило, применяется кальцинированная сода (карбонат натрия) по ГОСТ 5100, для снижения показателя pH воды и удаления ионов кальция (например, в случае цементного загрязнения), гидрокарбонат натрия (пищевая сода) по ГОСТ 2156 или лимонная кислота по ГОСТ 908.

9.1.7 Для производства буровых работ по 9.1.1 рекомендуется применять растворы на основе модифицированного бентонита (см. М.3 приложения М). Применение немодифицированного бентонита (см. М.4 приложения М) приводит к повышению рисков возникновения аварийных ситуаций (см. 3.26) и допускается для буровых комплексов не ниже класса Мега (см. таблицу А.1 приложения А).

9.1.8 Регулирование свойств и соответствующих параметров бурового раствора по 9.1.2 следует осуществлять с помощью специальных добавок, обеспечивающих:

- улучшение реологических параметров по таблице 9.2 (например, добавка ксантан);

- контроль уровня фильтрации (например, добавка полимер РАС).

Примечание - Расход специальных добавок, отвечающих за реологические характеристики и уровень фильтрации, зависит от качества и концентрации используемого бентонита;

- стабилизацию активности связанных грунтов (набухание, налипание) при контакте с водой (например, добавка полимер РНРА);

- снижение коэффициента трения (например, добавка лубрикант);

- обеспечение тампонирования трещин и предотвращение потери циркуляции раствора по 9.2.6, 9.2.7 (например, добавка сшитый полиакриламид).

9.1.9 Состав бурового раствора для конкретных условий ГНБ следует определять аналитически и проверять параметры лабораторным методом, исходя из следующих исходных данных:

- грунтовые условия по трассе проходки;

- параметры скважины (длина, диаметр);

- технические характеристики буровой установки (сила тяги, крутящий момент);

- рекомендации производителя компонентов;

- практического опыта применения разных составов.

Рекомендуемые составы буровых растворов на основе модифицированного бентонита и с применением специальных добавок, в зависимости от группы грунтов по буримости (приложение И), приведены в приложении Н.

9.1.10 Порядок проведения контроля состава и качества бурового раствора в процессе проведения работ приведен в 11.3.3.

9.2 Приготовление, расчет необходимых объемов и подача бурового раствора

9.2.1 Буровой раствор следует готовить непосредственно перед началом работ и постоянно пополнять его объем в процессе проходки пилотной скважины, расширения бурового канала, протягивания калибра и трубопровода.

Примечание - Состав оборудования для приготовления бурового раствора приведен в А.4 (приложение А).

9.2.2 Приготовление раствора следует производить в следующей последовательности:

- заливка в емкость для перемешивания необходимого количества воды.

Примечание - При необходимости через бункер приема добавляются компоненты водоподготовки по 9.1.6, доводящие значения параметров воды до необходимых значений по 9.1.5. Последующие компоненты вводятся в подготовленную воду;

- через бункер приема добавляется бентонит по 9.1.7 и выполняется перемешивание смеси в течение 5 - 20 мин;

- последовательно вводятся специальные добавки по 9.1.8 с перемешиванием смеси в течение 3 - 5 мин после каждой добавки.

9.2.3 Готовый буровой раствор может сразу подаваться на насос высокого давления (НВД) либо в буферную емкость для хранения.

9.2.4 Хранить раствор, приготовленный на период производства работ, следует в закрытой емкости. При хранении без перемешивания допускается появление на поверхности раствора отслоенной воды.

Примечание - Рекомендуется производить кратковременное перемешивание в течение 5 - 10 мин с периодичностью один раз в 2 - 3 ч.

9.2.5 Расчеты необходимых объемов бурового раствора и весового количества компонентов (специальных добавок), для каждой стадии производства буровых работ, в зависимости от класса эксплуатируемой буровой установки (см. таблицу А.1 приложения А), следует выполнять по методикам приложения М.

9.2.6 В процессе выполнения всех буровых технологических операций по 9.2.1 требуется обеспечивать постоянную подачу бурового раствора с помощью НВД в буровой инструмент и обратный выход раствора, перемешанного с выбуренной породой (пульпой), в специально оборудованный приямок в точке входа/выхода (циркуляцию бурового раствора).

Примечание - Поддержание циркуляции бурового раствора значительно снижает риски аварийных ситуаций, связанных с процессом построения скважины.

9.2.7 Для обеспечения циркуляции скважина должна быть заполнена буровым раствором, который необходимо подавать без перебоев и в объеме, достаточном для выноса выбуренной породы. Необходимый для поддержания циркуляции объем бурового раствора следует определять по приложению Л в зависимости от класса буровой установки и объема породы, выбуриваемой на конкретной стадии производства работ, с учетом значения грунтового коэффициента по таблице Л.1 (приложение Л).

9.3 Очистка и регенерация бурового раствора

9.3.1 Очистка и регенерация бурового раствора должны обеспечивать его повторное применение и сокращение затрат на приготовление бурового раствора, необходимого для сооружения ЗП методом ГНБ.

Примечание - В зависимости от компоновки системы, можно добиться различной степени очистки раствора, включая практически полную очистку (до 90%).

9.3.2 Очистку и регенерацию бурового раствора (с применением соответствующего оборудования по А.4.3 приложения А), целесообразно использовать при прокладке трубопроводов большого диаметра и значительных расходах раствора совместно с буровыми установками классов Макси и Мега с тягой более 400 кН.

9.3.3 Полученный после очистки раствор следует контролировать на соответствие его параметров исходным значениям по 9.1.2 и, при необходимости, выполнять регенерацию путем ввода бентонита, специальных добавок по 9.1.8 или обогащением новым буровым раствором с перемешиванием смеси в течение не менее 5 мин после каждой добавки.

9.3.4 Расчет необходимого для работы объема бурового раствора, с учетом его очистки и регенерации, приводится в приложении Л.

9.4 Утилизация отработанного бурового раствора

9.4.1 В процессе производства работ (по мере заполнения накопительных емкостей) или по завершении ГНБ отработанный буровой раствор должен вывозиться со строительной площадки с помощью специализированной техники для складирования на определенном, в соответствии с техническим заданием, полигоне отходов и инертных веществ.

9.4.2 При наличии соответствующего положительного заключения государственной экологической экспертизы и необходимых согласований местных органов власти (профильных инстанций) допускается захоранивать отработанный буровой раствор или буровой шлам в земляных амбарах с дальнейшим восстановлением планировки поверхности грунта, в местах иловых захоронений, на снегоплавильных пунктах, в очистные сооружения, сточные коллекторы. Места захоронений и слива отработанного бурового раствора должны находиться за пределами водоохранных и природоохранных зон, объектов инфраструктуры.

9.4.3 Системы очистки и регенерации бурового раствора (см. А.4.3 приложения А) целесообразно применять также для его полной или частичной утилизации. При необходимости (и в зависимости от компоновки системы) отработанный буровой раствор можно утилизировать прямо на строительной площадке, разделяя пульпу на сухой остаток и техническую воду, которые по экологическим нормам гораздо проще утилизировать с учетом 9.4.2.

10 Особенности прокладки подводных переходов

10.1 Подводные переходы следует располагать на прямолинейных и слабоизогнутых участках рек, избегая пересечения широких многорукавных русел и излучин, имеющих спрямляющие потоки. Створ подводного перехода следует предусматривать перпендикулярным к динамической оси потока, избегая участков, сложенных скальными грунтами.

10.2 Протяженность участка перехода определяется местоположением точек входа и выхода скважины. Допускается отклонение точки выхода пилотной скважины на дневную поверхность от проектного положения не более 1% от длины перехода, но не более плюс 9 м и минус 3 м по оси скважины и 3 м в плане по нормали к ней.

10.3 При прокладке методом ГНБ газопровода сети газораспределения укладка сигнальной ленты и сигнального кабеля для обозначения его трассы не требуется. На границах ЗП трубопровода методом ГНБ устанавливаются опознавательные знаки.

10.4 Прокладка трубопроводов должна предусматриваться с заглублением в дно пересекаемых водных преград, с учетом предельного профиля по прогнозу деформаций русла и берегов пересекаемой водной преграды. Прогноз деформаций русла и берегов составляется на срок эксплуатации прокладываемой коммуникации, но не менее 25 лет.

10.5 Минимальное заглубление трубопровода (защитного футляра) в дно водоема , м, на участке подводного перехода определяется по формуле

, (18)

где B1 - наибольшее из значений прогнозируемого размыва, дноуглубления или мощности техногенного грунта, м.

10.6 До начала бурения пилотной скважины организация-производитель работ должна выполнить контрольные промеры глубин по створу подводного перехода с уточнением значений проектных отметок дна водоема и трассы заложения трубопровода. Заглубление должно быть достаточным для предотвращения возможности прорыва бурового раствора и попадания его в водную среду в соответствии с 10.5.

10.7 Расстояние в плане между параллельными газопроводами сети газораспределения должно быть не менее 15 м.

10.8 Расстояние в свету в зоне пересечения трубопровода с другими инженерными сооружениями должно быть не менее 1,5 м.

10.9 С учетом повышенной сложности строительства и невозможности ремонта трубопровода в процессе эксплуатации, для подводных переходов следует применять стальные или полиэтиленовые трубы с увеличенной (по сравнению с расчетной) толщиной стенки, размерными отношениями и коэффициентами запаса прочности соответствующими СП 62.13330, другим нормативным документам.

10.10 Угол входа скважины (от 8° до 15°) определяется топографическими и геологическими условиями. При перепаде отметок забуривания нижней точки скважины от 30 до 45 м и диаметре трубопровода до 500 мм угол входа может быть увеличен до 20°. Угол выхода должен быть в пределах от 5° до 8°.

10.11 Диаметр бурового канала для протягивания трубопровода в зависимости от геологических условий принимается равным 1,2 - 1,5 наружного диаметра трубы.

10.12 Емкости либо шламоприемники для отработанного бурового раствора должны быть предусмотрены на обоих берегах.

10.13 Для участков, сложенных просадочными грунтами по ГОСТ 25100, в проекте должны быть предусмотрены инженерные мероприятия по усилению естественного основания площадок и водоотводу: устройство лежневых оснований, оснований из дренирующих грунтов, устройство водопропускных сооружений и дренажных канав, тампонирование грунтов, отсыпка ограждающих дамб на подтопляемых территориях.

10.14 Устройство подводного перехода по одноплощадочной схеме (см. 8.3.4 - 8.3.5) включает следующие технологические операции:

- бурение пилотной скважины при расположении точки входа на расстоянии не менее 10 м от береговой линии;

- расширение и калибровка пилотной скважины по направлению от буровой установки ("от себя");

- проталкивание стального футляра с предварительным контролем сварных стыков;

- протягивание плети основного трубопровода (кабелей) внутри футляра по 8.8.10 с берега или с трубоукладочной баржи.

11 Контроль выполнения и сдача работ

11.1 Организация контроля

11.1.1 Контроль качества работ, выполняемых методом ГНБ, должен осуществляться в соответствии с требованиями нормативных документов на прокладку инженерных коммуникаций конкретного вида и настоящего свода правил.

11.1.2 При прокладке подземных инженерных коммуникаций методом ГНБ надлежит выполнять все виды производственного контроля, предусмотренные СП 48.13330 - входной, операционный и приемочный при сдаче работ. При входном контроле проверяют качество поступающих на строительную площадку конструкций, изделий и материалов. Операционный контроль обеспечивает качество выполнения буровых и строительно-монтажных работ, приемочный - качество и соответствие проекту прокладки трубопровода.

11.1.3 Результаты контроля следует фиксировать в общем и специальных журналах работ [19], в актах на освидетельствование скрытых работ [20], в специализированных формах ведения исполнительной документации в соответствии с настоящим сводом правил (см. приложение К), других документах.

11.1.4 Авторский надзор за прокладкой подземных коммуникаций методом ГНБ проводится застройщиком или техническим заказчиком с привлечением лица, осуществляющего подготовку проектной документации, в течение всего периода производства работ по прокладке коммуникаций. Порядок осуществления и функции авторского надзора приведены в СП 246.1325800.

11.2 Входной контроль

11.2.1 Входному контролю должны подвергаться все поступающие на строительство материалы и изделия, в том числе предназначенные к прокладке трубы, детали и узлы трубопроводов, компоненты буровых растворов, технологическое оборудование, сварочные, изоляционные расходные материалы и др.

11.2.2 Все поступающие на строительство материалы и изделия должны соответствовать требованиям к их маркам, типам, свойствам и другим характеристикам, указанным в проектной документации. При этом, проверяются наличие и содержание сопроводительных документов, подтверждающих качество поступающих материалов и изделий. При необходимости, должны выполняться контрольные измерения и испытания характеристик поступающей продукции. Объемы, методы и средства контрольных измерений и испытаний должны соответствовать нормативным документам на конкретный вид материалов и изделий. Результаты входного контроля должны быть документированы в журналах входного контроля и (или) лабораторных испытаний.

Примечание - Испытания полиэтиленовых труб проводятся по ГОСТ Р 50838, контроль размеров - по ГОСТ Р ИСО 3126 при температуре (23 +/- 5) °C. Контроль стальных сварных труб - по ГОСТ 31447, труб и изделий из чугуна с шаровидным графитом - по ГОСТ ISO 2531.

11.2.3 При прокладке методом ГНБ газопроводов сети газораспределения входной контроль труб, трубных изделий, запорной арматуры, сварочных и изоляционных материалов выполняется в соответствии с СП 62.13330. Отсутствие повреждений изоляционного и антикоррозионного покрытия (для стальных труб) следует контролировать в соответствии с ГОСТ 9.602 и ГОСТ Р 51164.

11.3 Операционный контроль за производством работ

11.3.1 При операционном контроле должны осуществляться:

- контроль выполнения подготовительных работ;

- контроль состава и показателей качества бурового раствора;

- контроль бурения пилотной скважины;

- контроль расширения скважины;

- контроль сборки и готовности трубопровода к протягиванию;

- контроль устройства спусковой дорожки (если предусмотрено в ППР);

- контроль протягивания трубопровода.

11.3.2 В процессе подготовительных работ с применением геодезических методов и приборов по СП 126.13330 выполняется контроль соответствия проектной документации:

- положения разбивочной оси перехода, существующих сооружений, коммуникаций, препятствий;

- планировки и обустройства строительных площадок;

- размеров и расположения технологических выемок (приямков);

- положения буровой установки на точке входа и начального угла забуривания.

11.3.3 Контроль состава и качества бурового раствора следует проводить по разделу 9 и 11.3.3.1 - 11.3.3.8.

Примечание - Задача контроля раствора - получение достоверной информации о текущих значениях его параметров с целью своевременного обнаружения их отклонений от принятых значений и регулирования его свойств при изменении условий бурения.

11.3.3.1 Перед началом буровых работ определяются контрольные значения параметров качества по 9.1.2 для принятого в соответствии с 9.1.9 состава раствора, возможна его корректировка с учетом фактически поставленных компонентов.

11.3.3.2 В процессе бурения пилотной скважины, расширения и протягивания трубопровода должен осуществляться постоянный контроль параметров приготовляемого и подаваемого в скважину бурового раствора.

11.3.3.3 Контроль параметров бурового раствора должен производиться для каждого замеса или не реже чем через каждые два часа для смесителей непрерывного действия.

11.3.3.4 Значения контролируемых параметров бурового раствора приведены в 9.1.2, методика определения и вычисления параметров бурового раствора должна соответствовать ГОСТ 33213.

11.3.3.5 Для уточнения соответствия подобранного состава и количества подаваемого бурового раствора, скорости бурения следует контролировать плотность выходящего из скважины бурового раствора/пульпы не реже одного раза за смену.

11.3.3.6 При изменении гидрогеологических условий бурения по сравнению с проектными выполняется корректировка состава бурового раствора.

11.3.3.7 Должна быть обеспечена достоверность измерений параметров бурового раствора в соответствии с [2]. Измерения параметров буровых растворов для ГНБ должны проводиться в соответствии с аттестованными методиками завода-изготовителя компонентов и указаниями эксплуатационных документов на средства измерений.

11.3.3.8 Результаты подбора и корректировок состава, измерений в процессе производства работ должны регистрироваться в журнале контроля параметров бурового раствора. Рекомендуемая форма журнала приведена в приложении К (форма 5). Перечень контрольных параметров может быть дополнен и изменен в соответствии с методикой проведения испытаний.

11.3.4 При бурении пилотной скважины по 8.5, должен проводиться по 11.3.4.1 - 11.3.4.5 контроль:

- технологических параметров бурения;

- направления бурения;

- завершения проходки скважины.

11.3.4.1 Контроль технологических параметров бурения на соответствие ППР должен осуществляться постоянно в процессе бурения по приборам буровой установки. Следует вести контроль следующих технологических параметров:

- усилия и скорости подачи в забой буровой колонны;

- скорости вращения бурового инструмента;

- давления и расхода бурового раствора.

11.3.4.2 В процессе бурения, а также после завершения проходки и расширения скважины, следует визуально и инструментально контролировать состояние, износ и деформации бурового инструмента, расширителей, штанг.

11.3.4.3 Контроль за направлением бурения, глубиной и пройденной длиной скважины для каждой буровой штанги следует вести посредством локационных систем, приведенных в А.5 (приложение А).

Допускается применение систем инструментального контроля фактического направления и глубины проходки с погрешностью измерения не более 5%. По результатам производитель работ составляет протокол бурения пилотной скважины по приложению К (форма 1), готовит чертежи фактического профиля и плана пилотной скважины.

Примечания

1 Для штанг длиной св. 4 м контроль целесообразно осуществлять несколько раз по длине штанги.

2 Для оперативной сверки значений локационных данных с указанными в проекте рекомендуется применять специализированное программное обеспечение.

11.3.4.4 После завершения проходки пилотной скважины следует по СП 126.13330 провести контроль соответствия фактических координат точки выхода бурового инструмента проектным, отклонение точки выхода пилотной скважины от проектного створа не должно превышать допусков, определяемых проектом (см. 7.3.1.2).

11.3.4.5 При зафиксированных отклонениях профиля и точки выхода пилотной скважины от проекта дальнейшие работы по устройству подземного перехода методом ГНБ допускается продолжать только после согласования фактического профиля с проектной организацией и техническим заказчиком.

11.3.5 Контроль расширения пилотной скважины следует проводить по 8.6 и 11.3.5.1.

11.3.5.1 В процессе расширения пилотной скважины, по штатным приборам буровой установки, следует вести контроль на соответствие ППР следующих технологических параметров:

- тягового усилия и скорости протягивания расширителя;

- вращающего момента;

- давления подачи и расхода бурового раствора.

Необходимо визуально контролировать наличие циркуляции (см. 9.2.6, 9.2.7) и определять плотность раствора, выходящего из скважины (см. 9.1.2).

11.3.6 Контроль сборки и подготовки трубопровода к протягиванию следует проводить по 8.7.1 - 8.7.8.

13.3.7 Контроль устройства спусковой дорожки следует проводить по 8.7.9 - 8.7.21 и 11.3.7.1 - 11.3.7.2.

В электронном документе нумерация пунктов соответствует официальному источнику.

11.3.7.1 Контроль устройства спусковой дорожки для подачи собранного трубопровода в буровой канал, следует выполнять визуально и геодезическими методами. Контролю подлежат: число, положение и качество устройства опор, их соосность с осью скважины, расстояние между опорами и до точки входа скважины, высота опор.

11.3.7.2 Правильность установки опор спусковой дорожки, как в плане, так и по высоте контролируется по СП 126.13330.

Отклонения при установке опор не должны превышать:

- 2,5 см - по высоте;

- 25,0 см - по оси плети;

- 2,5 см - перпендикулярно к оси.

11.3.8 Контроль протягивания трубопровода следует проводить по 8.8.1 - 8.8.8 и 11.3.8.1 - 11.3.8.3.

11.3.8.1 В процессе протягивания трубопровода следует вести контроль значений тягового усилия и скорости протягивания, давления подачи и расхода бурового раствора при циркуляции.

11.3.8.2 Если при протягивании производится балластировка (см. 8.8.9), то следует осуществлять контроль объема воды, подаваемой в трубопровод и степени его заполнения с сопоставлением измеренных значений с проектными.

11.3.8.3 Для завершения работ в установленный срок следует контролировать выполнение почасового графика протягивания трубопровода (не допуская необоснованных остановок и перерывов).

11.4 Приемочный контроль при сдаче работ

11.4.1 Для сдачи работ должен быть проведен контроль соответствия проекту проложенного методом ГНБ подземного трубопровода, включающий инструментальную проверку его фактического планового и высотного положений, а также необходимые для данного вида коммуникаций испытания. Порядок сдачи работ приведен в приложении П.

11.4.2 Плановое положение трубопровода проверяется путем протягивания излучателя-зонда, выноски оси трубопровода на поверхность и определения координат точек оси по СП 126.13330.

Высотное положение проверяется с помощью локационных систем, применяемых при производстве работ методом ГНБ (см. приложение А). Допускается применение других систем инструментального контроля фактического планового и высотного положений трубопровода, погрешность измерений которых составляет не более 5%.

Примечание - Для обработки результатов инструментального контроля рекомендуется применять сертифицированное программное обеспечение, использованное при бурении.

11.4.3 Проложенные методом ГНБ трубопроводы, в составе водопроводных, водосточных и канализационных сетей, при сдаче подлежат испытаниям на прочность и герметичность в соответствии с СП 31.13330, СП 32.13330, СП 66.13330.

11.4.4 Проложенные методом ГНБ газопроводы сетей газораспределения подлежат:

- контролю изоляционного состояния покрытия после протягивания и подсоединения к смежным участкам в соответствии с ГОСТ 9.602;

- механическим испытаниям сварных стыков в соответствии с СП 62.13330;

- контролю физическими методами стыков газопроводов по ГОСТ 7512 и ГОСТ Р 55724;

- приемочным испытаниям на прочность и герметичность в соответствии с СП 62.13330.

11.4.5 Значения испытательного давления, которому следует подвергать трубопроводы перед сдачей в эксплуатацию на всех этапах испытаний, должны соответствовать приведенным в проекте.

11.4.6 Трубопровод считается выдержавшим испытание на прочность и проверку на герметичность, если за время его испытания на прочность при достижении испытательного давления не произойдет разрыв труб, нарушение стыковых соединений, утечка воды, а при проверке на герметичность не будет обнаружена утечка воды.

11.4.7 По результатам приемочного инструментального контроля и испытаний исполнитель работ по ГНБ должен подготовить исполнительные чертежи (план и продольный профиль), отражающие планово-высотное положение и технические характеристики проложенного трубопровода, а также другие исполнительные документы, предусмотренные для коммуникаций конкретного вида.

11.4.8 Исполнительные чертежи фактических плановых положений и профилей трубопроводов, проложенных методом ГНБ, должны быть выполнены в масштабе 1:100, 1:200, 1:500, 1:1000 в зависимости от длины, глубины и других характерных особенностей перехода, соответствовать общим требованиям к геодезическим чертежам в строительстве, выполняться на основе проектного топографического плана и проектного продольного профиля по результатам произведенных в натуре измерений.

Исполнительные чертежи должны подготавливаться на каждый выполненный трубопровод (скважину).

11.4.9 На исполнительный план наносится створ проложенного методом ГНБ трубопровода с геодезическими привязками к стационарным объектам либо в геодезических координатах. Текстовая информация должна включать: наименование, протяженность, тип и число труб в скважинах, при необходимости пикетаж, литерные обозначения, радиусы изгибов в плане, инженерное предназначение трубопровода с техническими характеристиками.

11.4.10 На продольных профилях отображаются траектории залегания проложенных методом ГНБ трубопроводов, существующие и проектируемые инженерные коммуникации и сооружения, препятствия природного и искусственного происхождений.

Профили для верха, низа и оси трубопровода (либо пучка труб) относительно фактической и планировочной поверхностей земли должны быть выполнены в абсолютных отметках, привязанных к характерным точкам, с шагом не более 6,0 м на криволинейных участках и не более 20,0 м на прямолинейных участках траекторий трубопроводов. На профилях указываются значения радиусов изгиба трубопроводов, уклоны прямолинейных участков (в градусах либо процентах).

11.4.11 Дополнительно на каждом профиле приводятся, с указанием направления, поперечные сечения (на концах перехода и при необходимости по трассе перехода), эти сечения изображаются схематично с обязательным указанием диаметров трубопроводов, соответствующих отметок, их взаиморасположения в скважине согласно маркировке на конце ЗП (при наличии нескольких труб в пучке), расстояний между центрами либо крайними стенками трубопроводов в соседних скважинах (в случае нескольких скважин, расположенных параллельно на удалении не более 10 м относительно друг друга). В профилях также указываются технические характеристики проложенных трубопроводов.

11.4.12 Исполнительные чертежи выпускаются под штампом подрядной организации с указанием ответственных за их составление специалистов и должны быть заверены их подписями. На исполнительные чертежи также могут быть нанесены согласования и визы заинтересованных сторон строительного и авторского контроля, эксплуатирующей организации, иных служб и организаций.

11.4.13 Формы отчетных и исполнительных документов должны содержать требуемые для предоставления сведения и быть завизированными полномочными представителями заинтересованных сторон (приложение К, форма 6).

11.4.14 Ответственность за достоверное отображение планово-высотного положения на исполнительных чертежах подземного трубопровода проложенного методом ГНБ несет строительная организация.

12 Правила безопасного выполнения работ

12.1 Общие положения организации безопасного выполнения работ

12.1.1 Производство работ методом ГНБ следует выполнять в соответствии с: СанПин 2.2.3.1384, [13], [23], [24], [25]. Сведения о проектировании и расчете трубопроводов из полимерных материалов приведены в [11], о безопасных условиях труда - в [16], [21].

12.1.2 Необходимо обеспечить надежную и устойчивую двустороннюю связь между площадками на стороне работы буровой установки (точка входа) и зоной сборки трубопровода (точка выхода).

12.1.3 Вытекающий из скважины буровой раствор необходимо направлять в специальные приямки и коллекторы для подачи в накопительные емкости или амбары с целью повторного применения, временного хранения или утилизации. К месту работ должна быть подведена линия промывочной воды либо осуществлена ее доставка в необходимом количестве для автономного использования.

12.1.4 При проведении гидравлического испытания трубопроводов давление следует поднимать постепенно до значения, установленного утвержденной инструкцией по испытаниям. Запрещается находиться перед заглушками, в зоне временных и постоянных упоров.

12.2 Меры безопасности от поражения электрическим током при выполнении буровых работ

12.2.1 При ведении буровых работ с опасностью электрического удара необходимо организовывать, проверять и применять систему защиты от поражения электрическим током.

Бурение не допускается без предварительной проверки системы защиты от поражения электрическим током.

Примечание - Помимо штатного устройства обнаружения электрического удара, эта система включает в себя изолированные соединительные кабели, экраны, защитную обувь и рукавицы.

12.2.2 Токоведущие части электроустановок должны быть изолированы, ограждены или размещены в местах, недоступных для случайного прикосновения к ним.

12.2.3 Устройство и эксплуатацию систем электрозащиты и изоляции должен выполнять персонал с допуском к проведению электромеханических работ.

12.2.4 При повреждении оптоволоконного кабеля, из-за опасности получения травмы глаз, работникам запрещается заглядывать в скважину и в кабельный короб.

12.3 Требования безопасности при повреждении водопроводно-канализационных трубопроводов

12.3.1 Перед началом работ положение трубопроводов должно быть уточнено в соответствии с 13.1.9.

12.3.2 При повреждении водопроводно-канализационных трубопроводов необходимо немедленно уведомить местные органы Государственного санитарного надзора, эксплуатирующие организации и принять меры для их ликвидации.

12.3.3 В зависимости от степени повреждения водопровода эксплуатирующая организация может выполнить его немедленное отключение с момента начала противоаварийных работ.

12.3.4 В случае незначительного повреждения ремонтные работы производятся без отключения или с периодическим отключением водоснабжения.

12.3.5 При возникновении повреждений канализационной сети необходимо обеспечить перекрытие задвижек или установку пробок для отвода поступающих сточных вод через аварийный выпуск, либо отключить поврежденный участок, а также сети подвальных помещений зданий, находящихся под угрозой подтопления.

12.4 Требования безопасности при работе буровой установки

12.4.1 При подготовке и работе буровой установки необходимо строго выполнять требования [22] и инструкции по эксплуатации используемой буровой машины.

12.5.2 Перед началом бурения необходимо закрепить буровую установку и заземлить.

В электронном документе нумерация пунктов соответствует официальному источнику.

12.5.3 Для предотвращения возможного ухода в сторону и травмирования персонала расширитель должен быть опущен в скважину до начала вращения бурильной колонны.

12.5.4 Перед подъемом и спуском буровой колонны все крепежные детали должны регулярно проверяться на износ и повреждения.

13 Охрана окружающей среды

13.1 Общие положения по охране окружающей среды

13.1.1 При проектировании и производстве работ необходимо учитывать и соблюдать требования [8], [25], [26], СП 18.13330, СП 32.13330, СП 42.13330, СП 62.13330, СП 66.13330, СП 124.13330, СП 249.1325800, СанПин 2.2.1/2.1.1.1200, СанПиН 2.1.4.1110, СанПин 2.1.5.980, включая: обеспечение сохранности геологических условий и гидрологического режима; своевременное устройство поверхностного водоотвода, недопущение попадания временных стоков в существующие сети водоотведения и на почву (в соответствии с ГОСТ 17.1.3.13), а также стоянки транспортных средств вне специально отведенных для этих целей площадок; соответствие применяемых машин и оборудования требованиям по ограничению шума, вибрации и выхлопу отработавших газов по ГОСТ 17.2.2.02, при необходимости, проведение рекультивации земель.

13.1.2 Риски, возникающие при проведении работ методом ГНБ, и рекомендации по их снижению приведены в приложении В.

13.1.3 Требования по охране окружающей природной среды и защите существующих сооружений следует включать в проект в виде раздела, а в сметах определять необходимые затраты.

13.1.4 Мероприятия по защите водоемов и водотоков, расположенных вблизи и над прокладываемой трассой трубопровода, необходимо предусматривать в соответствии с требованиями [3] и санитарных норм (13.1.1), 13.2.4.

13.1.5 При проектировании необходимо предусматривать опережающее сооружение природоохранных объектов, создание сети временных дорог, проездов и мест стоянок строительной техники, а также мероприятия по предотвращению загрязнения окружающей среды строительными и бытовыми отходами, горючесмазочными материалами.

13.1.6 Смещения сооружений на поверхности и пересекаемых коммуникаций могут быть снижены при:

- соблюдении технологических параметров бурения;

- недопущении перерывов при бурении, расширении и протягивании трубопровода;

- применении оптимального состава бурового раствора;

- уменьшении диаметра расширения скважины и значения кольцевого зазора между трубой и грунтом;

- увеличении глубины заложения трубопровода;

- прокладке трубопровода в плотных слоях грунта;

- заполнении кольцевого зазора твердеющим тампонажным раствором;

- обязательном устранении, в соответствии с 8.9.1, неблагоприятных последствий производства работ в зоне строительства.

13.1.7 Перед началом работ все подземные сооружения и коммуникации в створе ЗП должны быть определены и сверены с данными по их назначению, расположению и конструкции, приведенными в проектной документации. При необходимости <*>, необходимо уточнять их положение геофизическими способами или шурфлением в присутствии представителя владельца или эксплуатирующей организации.

<*> Отсутствие точных данных по планово-высотному положению.

13.1.8 При пересечении в плане трассой ГНБ сооружений метрополитена, зданий и сооружений I и II уровней ответственности необходимо проводить обследование и последующий мониторинг их несущих конструкций, оснований и фундаментов для оценки возможного влияния производства работ. Работы по геотехническому мониторингу следует выполнять в соответствии с СП 249.1325800.

13.1.9 В необходимых случаях, определяемых расчетом по 7.1.7, при проходке скважин в непосредственной близости или под фундаментами ответственных зданий и сооружений, в сложных гидрогеологических условиях (неустойчивые крупнообломочные грунты, водонасыщенные пески) проектом следует предусматривать меры защиты окружающей застройки в соответствии с СП 249.1325800.

13.1.10 При проектировании и ведении работ по устройству ЗП методом ГНБ под эксплуатируемыми автомобильными и железными дорогами следует руководствоваться СП 34.13330 и СП 119.13330.

13.1.11 В сложных гидрогеологических условиях, а также при диаметре бурового канала свыше 400 мм и расстоянии по вертикали от бурового канала до подошвы рельса менее 5 м, перед началом буровых работ под железнодорожными путями, в зоне их пересечения, следует устанавливать страховочные пакеты, повышающие вертикальную и горизонтальную жесткость рельсошпальной решетки.

13.1.12 При прокладке методом ГНБ коммуникаций в мерзлых грунтах по ГОСТ 25100 необходимо обеспечивать сохранение грунтов основания в мерзлом состоянии в соответствии с СП 25.13330.

13.1.13 Промывку и дезинфекцию трубопроводов следует выполнять гидравлическим способом с повторным использованием воды. Хлоросодержащие реагенты, как правило, используемые для дезинфекции трубопроводов должны быть разрешены к применению органами санитарно-эпидемиологического надзора. Опорожнять трубопроводы после промывки и дезинфекции следует в места, указанные в ПОС.

13.1.14 В процессе строительства ЗП следует обеспечивать проведение геотехнического мониторинга грунтового массива, конструкций сооружений I и II уровней ответственности в зоне влияния работ в соответствии с СП 249.1325800, а также производственного экологического мониторинга состояния и загрязнения поверхностных и подземных вод, водоемов, земель, почв и недр, растительного и животного мира лесных и парковых зон в соответствии с ГОСТ Р 56059 и ГОСТ Р 56063. На основании результатов мониторинга принимаются решения по минимизации и устранению последствий аварийных ситуаций.

13.2 Предотвращение и устранение последствий выхода бурового раствора

13.2.1 Буровой раствор должен приготовляться перед началом бурения и постоянно пополняться в процессе бурения. Постоянная подача бурового раствора в забой обеспечивает устойчивость скважины.

13.2.2 Компоненты, применяемые для приготовления буровых растворов, должны быть экологически безопасными (не ниже 4-го класса опасности по ГОСТ 12.1.007) с санитарно-эпидемиологическим заключением.

13.2.3 Для предотвращения выхода бурового раствора на поверхность и в подземные сооружения необходимо:

- тщательно соблюдать установленные ППР значения параметров бурения: давления подачи раствора, размеров сопла, скорости подачи и тяги;

- ограничивать значения давления подачи бурового раствора, как правило, до 10 МПа;

- не допускать резких перепадов давления;

- соблюдать минимально допускаемые приближения к существующим коммуникациям и сооружениям в соответствии с 7.3.3 - 7.3.5.

13.2.4 В разделе "Мероприятия по охране окружающей среды" (см. 7.2.4) в соответствии с техническим заданием должны содержаться решения по локализации и устранению последствий возможных аварийных ситуаций, связанных с разливами бурового раствора, включая:

- устройство обвалований;

- развертывание резинотканевых емкостей для сбора бурового раствора;

- перекачивание раствора в приемные емкости для регенерации либо для вывоза и утилизации;

- установку боковых заграждений или кессонов в случаях прорыва бурового раствора в урезах или русле реки, откачка раствора в плавучую или береговую емкость.

13.2.5 В пределах строительных площадок необходимо:

- предотвращать проливы и неконтролируемые выбросы бурового раствора по 8.4, 8.5;

- обеспечивать безопасное приготовление и хранение бурового раствора и его компонентов по 9.2;

- обеспечивать безопасную утилизацию остаточного бурового раствора и бурового шлама по 9.4;

- в случаях нарушения выполнять восстановление плодородного слоя грунта.

13.2.6 Бентонитовый буровой раствор допускается применять для заливки дна искусственных выемок различного назначения (котлованы, дренажные траншеи, ландшафтные, ирригационные и пожарные водоемы и др.) с целью предотвращения фильтрации воды в грунт.

13.3 Крепление технологических выемок

13.3.1 Ограждением рабочих котлованов, расположением и размерами технологических шурфов и приямков должна быть исключена возможность недопустимых осадок и смещений расположенных в зоне работ зданий, сооружений, дорог и инженерных коммуникаций.

13.3.2 Устройство выемок без крепления в насыпных, песчаных и пылевато-глинистых грунтах выше уровня грунтовых вод допускается с устройством откосов, крутизна которых должна соответствовать значениям, приведенным в [14, таблица 1].

13.3.3 Крепление вертикальных стенок котлованов и шурфов глубиной от 3 до 5 м в грунтах естественной влажности должно выполняться, как правило, с применением инвентарной сборно-разборной крепи с винтовыми распорками или рамных конструкций с деревянной затяжкой. При большей глубине, а также в сложных гидрогеологических условиях, крепление должно быть выполнено по индивидуальному проекту.

13.4 Обеспечение сохранности сооружений метрополитена

13.4.1 В пределах охранной зоны метрополитена прокладку инженерных коммуникаций методом ГНБ допускается производить по согласованию с организациями, проектирующими и эксплуатирующими метрополитен, в соответствии с СП 120.13330.

13.4.2 Ведение буровых работ в охранной зоне эксплуатируемого метрополитена должно осуществляться с учетом выполнения следующих организационных требований:

- работы в охранной зоне на расстоянии от 15 до 40 м от сооружений метрополитена следует проводить в присутствии соответствующих служб эксплуатирующей организации, для чего производитель работ должен уведомить эти службы о производстве работ не позднее чем за три дня до их начала;

- работы в охранной зоне на расстоянии от 5 до 15 м от сооружений метрополитена разрешается проводить после издания совместного с эксплуатирующей организацией приказа, устанавливающего организационно-технические условия их безопасного проведения;

- при производстве работ в охранной зоне на расстоянии до 5 м от сооружений метрополитена дополнительно следует производить вынос на поверхность габаритов подземных сооружений метрополитена.

13.4.3 При производстве работ силами специализированной организации должен проводиться мониторинг технического состояния сооружений метрополитена в соответствии с ГОСТ Р 57208.

Приложение А

ОБОРУДОВАНИЕ ДЛЯ ПРОИЗВОДСТВА РАБОТ

А.1 Состав оборудования, технического и инфраструктурного оснащения

А.1.1 Основное технологическое оборудование, необходимое для производства работ, включает: буровую установку в комплекте с буровым инструментом, оборудование для приготовления, подачи, регенерации бурового раствора, контрольные локационные системы.

Примечание - К дополнительному оборудованию относятся: доталкиватели труб, усилители тяги, дополнительные емкости для хранения бурового раствора, шламовые и водяные насосы, технологические трубопроводы и шланги для подачи раствора или воды, вспомогательный инструмент и приспособления (гидравлические ключи, захваты для трубопроводов, калибраторы, роликовые опоры и т.п.).

А.1.2 К элементам технического и инфраструктурного оснащения относятся: транспортные машины различной грузоподъемности, подъемные механизмы (автокраны, краны-манипуляторы), экскаваторы или бульдозеры, специальный транспорт для подвоза воды, вакуумной экскавации и перевозки бурового шлама, передвижные электростанции различной мощности, оборудование для сварки трубопроводов, электро- и газосварочное оборудование, отапливаемое бытовое помещение, биотуалет, контейнер-мастерская для текущего ремонта и хранения комплектов запасных частей и расходных материалов с сушкой для спецодежды, геодезический инструмент (нивелир, теодолит), полевой набор-лаборатория для подбора и контроля состава бурового раствора, средства связи.

А.2 Буровые установки

А.2.1 Буровая установка (см. рисунок А.1) - единый комплекс взаимосвязанных механизмов и устройств, обеспечивающих под управлением оператора технологический процесс прокладки трубопровода методом ГНБ, включая передвижение, закрепление на точке бурения, сборку, вращение и подачу буровой колонны, подачу бурового раствора, контроль и корректировку направления бурения, протягивание расширителей и трубопровода.

А.2.2 В соответствии с установившейся классификацией и в зависимости от развиваемой силы тяги установки ГНБ подразделяются на следующие классы: Мини - до 100 кН, Миди - от 100 до 400 кН, Макси - от 400 до 2500 кН и Мега - более 2500 кН. Классификация, возможные области применения и основные характеристики установок приведены в таблице А.1. Номенклатура машин для горизонтального направленного бурения соответствует ГОСТ Р ИСО 21467.

А.2.3 Буровые установки классов Мини, Миди и частично Макси (с рабочим местом оператора по номенклатуре ГОСТ Р ИСО 21467), как правило, представляют собой самоходные устройства на гусеничном ходу. Установки класса Мега и частично Макси (с рабочим местом по номенклатуре ГОСТ Р ИСО 21467), а также специализированные системы бурения из шахты или колодца (колодезная машина по ГОСТ Р ИСО 21467) не оборудуются приводом и ходовым механизмом, а размещаются на опорной раме по ГОСТ Р ИСО 21467, непосредственно устанавливаемой на спланированной грунтовой поверхности и закрепляемой с помощью анкерных устройств (рамная буровая установка).

Примечание - В отдельных случаях установки класса Мега могут снабжаться приводом и ходовым механизмом.

А.2.4 Несамоходные большие буровые установки размещаются на трейлерном автоприцепе (трейлерные буровые установки) или компонуются в виде отдельных модулей, транспортируемых в стандартных контейнерах автотранспортом и монтируемых на месте производства работ (машина поузлового монтажа по ГОСТ Р ИСО 21467).

1 - ходовой механизм (чаще гусеничный с кабиной оператора); 2 - буровой лафет (оснащается сменной кассетой со штангами); 3 - гидравлическая система регулировки угла бурения; 4 - приводной механизм вращательного бурения и поступательного движения; 5 - буровая колонна из инвентарных штанг; 6 - гидравлическое зажимное устройство; 7 - буровая головка; 8 - фиксирующее анкерное устройство (анкерная плита)

Рисунок А.1 - Принципиальная схема самоходной буровой установки ГНБ

Таблица А.1

Классификация и основные характеристики буровых установок

Класс буровой установки Область применения Максимальная тяговая сила, кН Максимальный крутящий момент, кН·м Масса буровой установки, т Максимальная длина бурения, м Максимальное расширение, мм
Мини В городских условиях для прокладки кабельных линий и ПЭ труб диаметром до 250 мм До 100 1 - 10 до 7 250 300
Миди В городских условиях и сельской местности при прокладке трубопроводов диаметром до 800 мм, при пересечениях транспортных магистралей и небольших водных путей 100 - 400 10 - 30 7 - 25 750 1000
Макси При прокладке трубопроводов длиной св. 700 м и диаметром до 1250 мм 400 - 2500 30 - 100 25 - 60 1000 1800
Мега При прокладке магистральных трубопроводов длиной более 1000 м и диаметром до 1800 мм Более 2500 Более 100 Более 60 2000 2000

Примечание - Приведены максимальные технические характеристики оборудования отдельно по длине бурения и возможному расширению. Взаимосвязь между этими параметрами определяется согласно А.2.4 - А.2.6.

А.2.5 Подбор буровой установки для конкретного объекта производится на основании данных по типу, диаметру и длине предполагаемого к прокладке трубопровода, по инженерно-геологическим условиям строительства, с учетом требований по обеспечению необходимых значений усилий тяги и крутящего момента. Для обеспечения протягивания буровая установка должна обеспечивать силу тяги , кН, обеспечивающую выполнение условия:

, (А.1)

где Рп - расчетное значение необходимого усилия для протягивания трубопровода, кН;

k1 - коэффициент запаса по тяге буровой установки, приведен в таблице А.2.

Таблица А.2

Коэффициенты запаса буровой установки Группа по буримости (приложение И)
I - III IV - VI VII и выше
k1 1,5 2 2,5
k2 1,2 1,35 1,5

А.2.6 Крутящий момент и скорость вращения шпинделя обеспечивают мощность, передаваемую от буровой установки через штанги на буровую головку и расширитель.

Примечание - За исключением случаев, когда дополнительная мощность передается на буровой инструмент при использовании забойного двигателя.

Для обеспечения разработки грунта при проходке пилотной скважины и расширении бурового канала буровая установка должна развивать крутящий момент Мб, кН·м, не менее

, (А.2)

где k2 - коэффициент запаса по мощности буровой установки, приведен в таблице А.2;

- наибольшее расчетное значение суммарного крутящего момента для проходки пилотной скважины или расширения канала, кН·м.

А.2.7 Для определения типа и требуемых характеристик буровой установки, в зависимости от вида прокладываемой коммуникации, длины и диаметра необходимого бурового канала, рекомендуется применять результаты, приведенные в таблицах А.1, А.3.

Таблица А.3

Необходимое минимальное значение силы тяги буровой установки, кН

Длина проходки, м Диаметр бурового канала <*>, мм
До 100 100 - 250 250 - 350 350 - 450 450 - 650 650 - 850 Свыше 800
До 50 50 70 70 100 120 200 360
50 - 100 70 70 100 120 200 360 400
100 - 150 70 100 120 120 200 400 500
150 - 250 100 120 200 200 360 400 500
250 - 400 120 200 200 360 400 500 600
400 - 600 200 200 360 360 500 500 600
600 - 800 360 400 450 500 600 700 1000
800 - 1000 400 450 500 600 700 1000 1200
1000 - 1200 600 700 800 1000 1200 1500 2000
1200 - 1400 700 800 1000 1200 1500 2000 2500
Св. 1400 1000 1200 1500 2000 2500 3000 4000

<*> Следует принимать по данным таблицы 8.3.

А.3 Буровой инструмент

А.3.1 Буровые штанги

А.3.1.1 Собираемая в процессе бурения колонна буровых штанг должна обеспечивать:

- передачу крутящего момента и осевого давления от буровой установки на скважинный породоразрушающий инструмент;

- перенос бурового раствора к буровому инструменту;

- передачу тягового усилия к расширителю и протягиваемому трубопроводу.

А.3.1.2 Предел текучести стали для буровых штанг - не менее 525 МПа. Замки штанг (выполняемые, как правило, с конической резьбой по ГОСТ Р 50864) должны обеспечивать их равнопрочное, надежное и простое сборно-разборное соединение. Перед свинчиванием на резьбу и упорные поверхности штанг должна наноситься резьбовая смазка с цинковым (или другим металлическим) наполнителем (например, Резьбол Б).

А.3.1.3 Для буровых штанг установлены следующие показатели: длина, диаметр и толщина стенки штанги, тип резьбы, допускаемая нагрузка по прочности тяги и крутящему моменту замка, минимальный радиус изгиба. Типовые размеры штанг приведены в таблице А.4.

Таблица А.4

Диаметр, мм 60 73 89 102 114 127 140 168
Длина, м 2,0 - 3,0 3,0 - 4,5 4,5 - 6,0 5,0 - 6,0 5,0 - 6,0 9,6 - 10,6 9,6 - 10,6 Более 10,6

А.3.1.4 Тип и размер применяемых буровых штанг должны соответствовать проектным значениям радиуса изгиба, силы тяги и крутящего момента по траектории бурения. Минимальный радиус изгиба буровой штанги принимается по данным производителя и, как правило, находится в интервале от 30 м до 250 м.

А.3.1.5 Буровые штанги подвергаются износу за счет трения, особенно при бурении в твердых породах. Перед началом работ необходимо провести их визуальный осмотр. По результатам осмотра, при необходимости, выполняется выборочный инструментальный контроль (толщинометрия и дефектоскопия буровых штанг) с применением специализированных приборов реализующих ультразвуковые и акустические методы по ГОСТ 17410, ГОСТ 31244. Штанги с нарушением геометрической формы, недопустимым износом и дефектами металла, отбраковываются.

А.3.2 Породоразрушающий инструмент

А.3.2.1 Инструмент для бурения пилотной скважины

Для землистых и мягких грунтов I - IV групп по буримости для механического вращательного бурения (приложение И), должны применяться гидромониторные долота длиной от 300 до 1000 мм и диаметром от 40 до 200 мм. Гидромониторные долота отличаются числом и размерами промывочных насадок. Как правило, применяют не более пяти насадок с раскрывающимся диаметром от 1 до 10 мм. Для регулирования направления бурения управляющая поверхность головки гидромониторного долота либо вся труба долота выполняется со скосом под небольшим углом.

Для грунтов средней крепости IV - VII групп по буримости для механического вращательного бурения (приложение И) применяются шарошечные долота с гидромониторными насадками, которые способны механически разрушать горную породу. Для шарошечного долота рекомендуется применять забойные двигатели.

Для твердых скальных пород VIII и выше групп по буримости для механического вращательного бурения (приложение К) применяется твердосплавный буровой инструмент.

Передовой бур (пионер) со сменными насадками и буровая лопатка предназначены для проведения универсальных работ по разрушению грунта и регулировке угла бурения.

А.3.2.2 Инструмент для расширения скважины

Для рыхлых и малопрочных грунтов применяются расширители цилиндрического типа с насадками.

Для грунтов средней прочности применяются однозубые фрезы или летучие резцы, состоящие из режущего кольца, соединенного с центральной бурильной трубой через три или более распорки. Насадки могут быть расположены в кольце или в распорках. Плоское долото может также монтироваться на кольце и распорках для механической защиты и выемки грунта.

Для прочных скальных пород применяются раздвижные буровые расширители, состоящие из твердосплавных шарошек, установленных вокруг центральной стабильной бурильной трубы. Струйные насадки, смонтированные на расширителях, очищают шарошки и транспортируют буровой шлам к выходу из скважины.

А.3.2.3 Для обеспечения необходимого расширения скважины следует применять цилиндрические расширители увеличивающегося диаметра, при этом передняя секция последующего расширителя должна быть равна максимальному диаметру предыдущего. Цилиндрические расширители должны быть снабжены стабилизаторами для фиксации и предотвращения качания буровой колонны в скважине во время расширения.

Примечание - Возможно применение расширителей других конструкций.

А.3.2.4 В качестве вспомогательного оборудования буровой колонны, используют переходники и переводники для соединения штанги с буром, римером, вертлюгом. Вертлюг предотвращает скручивание протягиваемого трубопровода.

А.3.2.5 Буровые штанги, амортизатор, буровая головка, расширители и ножи относятся к сменной оснастке (быстроизнашивающиеся части). Срок службы сменной оснастки рекомендуется принимать:

- 1 год - буровых штанг;

- 4 мес. - стартовых штанг (амортизаторов);

- 6 мес. - буровых головок;

- 4 мес. - расширителей;

- 3 мес. - буровых лопаток (насадки).

А.4 Оборудование для приготовления, подачи, очистки и регенерации бурового раствора

А.4.1 В состав оборудования должны входить: поддон (бункер) для складирования компонентов бурового раствора и дополнительных реагентов, смесительная установка, баки для бурового раствора, насос высокого давления, установки очистки и обогащения раствора для его повторного применения. С установками классов Миди и Макси целесообразно применять два бака: для подготовительного рабочего раствора и для перемешивания.

Технологическая схема блока приготовления бурового раствора включает: емкость для перемешивания компонентов бурового раствора, оснащенную гидравлическим и/или механическим перемешивателем; гидроэжекторный смеситель, оснащенный загрузочной воронкой; центробежный насос.

А.4.2 Буровые установки классов Мини и Миди могут укомплектовываться компактными смесителями непрерывного действия. Для обеспечения эффективной работы такого рода смесителей необходимо применять компоненты бурового раствора, не требующие длительного перемешивания и разбухающие в форсунке буровой головки.

А.4.3 Система очистки бурового раствора состоит из набора технологического оборудования, где каждая последующая ступень удаляет выбуренную породу меньшей фракции, чем предыдущая. Степень очистки каждой конкретной ступени зависит от параметров выбранного оборудования и определяется средним размером удаляемых частиц ("точка отсечки"):

- до 75 микрон - вибрационное сито;

- до 45 микрон - гидроциклон 10 дюймов (пескоотделитель);

- до 25 микрон - гидроциклон 4 дюйма (илоотделитель);

- до 5 - 10 микрон центрифуга;

- меньше 1 микрона (до состояния технической воды) - блок коагуляции и флокуляции, используемый для утилизации бурового раствора.

А.5 Системы локации

А.5.1 При проходке пилотной скважины должен осуществляться постоянный контроль за положением бурового инструмента с помощью специализированных систем локации, позволяющих отслеживать: глубину бурения, угол наклона трассы к горизонту, крен бурового инструмента (положение скоса буровой лопатки или иного инструмента "по часам"), азимут скважины (при необходимости), отклонение в плане, другие условия и характеристики технологического процесса. Для получения и обработки данных рекомендуется применять сертифицированное программное обеспечение, поставляемое производителем локационной системы или другими производителями.

А.5.2 Переносная локационная система, как правило, состоит из приемника-локатора, удаленного дисплея (повторителя) и, работающего от батарей, излучателя-зонда, помещаемого непосредственно за буровой головкой или в ее корпусе. Типовая схема действия электромагнитной системы подземной локации приведена на рисунке А.2.

Рисунок А.2 - Схема действия электромагнитной системы подземной локации

А.5.3 При наличии значительных помех измерениям (см. 8.5.4), снижающих точность электромагнитного способа локации, при проходке скважин большой протяженности (когда может не хватить заряда аккумуляторных батарей), а также в условиях местности, не позволяющих размещать приемник точно над излучателем, целесообразно применять кабельный способ локации. При этом способе данные о положении буровой головки в текущий момент времени от измерительного зонда, размещаемого за буровой головкой, передаются на управляющий компьютер по кабелю, который продевается внутри каждой штанги при проходке пилотной скважины. По этому же кабелю осуществляется электропитание погружного измерительного зонда.

А.5.4 Погрешность прибора для измерений глубины должна быть в пределах 5%. При работе в зонах с высоким уровнем помех, искажающих результаты измерений глубины, а также при необходимости высокоточных измерений следует вести контроль проходки пилотной скважины по значениям уклона буровой головки. Погрешность измерений продольного уклона для высокоточной прокладки должна быть не более 0,1% (1 мм по вертикали на 1 м по горизонтали).

Примечание - К объектам, для которых необходимы высокоточные измерения, в первую очередь относятся самотечные водопроводные и канализационные коммуникации.

А.6 Дополнительное оборудование для протягивания трубопровода

А.6.1 В качестве дополнительного оборудования, обеспечивающего проведение работ по протягиванию в сложных инженерно-геологических условиях, а также при большой длине и диаметре прокладываемого трубопровода, могут быть использованы гидравлические доталкиватели труб или усилители тяги.

А.6.2 Доталкиватель труб монтируется в месте выхода скважины и сборки трубопровода. Технология работ с применением доталкивателя на первых этапах не отличается от 8.5 - 8.7: проводится пилотное бурение и выполняется требуемое число предварительных расширений диаметра скважины. На стадии протягивания трубопровода доталкиватель применяется в дополнение к силе тяги буровой установки и должен обеспечивать проталкивающие усилия в направлении буровой установки. За счет использования объединенной мощности установки ГНБ и доталкивателя достигается оптимальное распределение усилий на различных стадиях протяжки.

А.6.3 Усилитель тяги используется как дополнительное навесное оборудование для увеличения тягового усилия на буровых штангах при совместной работе с установкой ГНБ. При этом установка ГНБ должна обеспечивать вращение штанг, расположенных внутри узла зажима установки. Применение усилителей тяги рекомендуется при прокладке труб большого диаметра легкими установкам и при работе в стесненных условиях.

Приложение Б

ТИПОВАЯ ФОРМА ЗАДАНИЯ НА ПРОЕКТИРОВАНИЕ ЗАКРЫТОГО ПЕРЕХОДА, СООРУЖАЕМОГО МЕТОДОМ ГОРИЗОНТАЛЬНОГО НАПРАВЛЕННОГО БУРЕНИЯ

Задание на проектирование ЗП по титулу                                      
                                               
(наименование титула линейного объекта)

Перечень основных требований Содержание требований
1 Общие данные
1.1 Основание для проектирования линейного объекта  
1.2 Основные технические характеристики линейного объекта (вид инженерной коммуникации, общая протяженность, материалы трубопроводов)  
1.3 Особые условия строительства линейного объекта (инженерно-топографические характеристики участков строительства)  
1.4 Обоснования для проектирования ЗП ГНБ (технические условия, протоколы обследования местности, иные требования и согласования заинтересованных сторон)  
1.5 Заказчик  
1.6 Исполнитель  
1.7 Вид строительства (новое строительство, перекладка, реконструкция)  
1.8 Основные технико-экономические показатели ЗП ГНБ  
1.9 Инженерные изыскания  
- Инженерно-геодезические изыскания  
- Инженерно-геологические изыскания  
- Инженерно-гидрометеорологические изыскания  
- Инженерно-экологические изыскания  
1.10 Указания о выделении очередей строительства и пусковых комплексов, их состав  
1.11 Указания о необходимости разработки вариантов проектных решений  
1.12 Стадийность проектирования  
1.13 Исходно-разрешительная документация, предоставляемая Заказчиком  
1.14 Исходные данные, получаемые проектной организацией  
2 Основные требования к проектным решениям
Перечень проектной документации Требования и объемы проектирования
2.1 Инженерные изыскания  
2.2 Технологические и конструктивные решения ЗП ГНБ  
2.3 Проект организации строительства ЗП ГНБ  
2.4 Мероприятия по охране окружающей среды  
3 Дополнительные требования
3.1 Количество экземпляров проектной документации, передаваемой Заказчику  
3.2 Необходимость представления проектной документации на электронных носителях  
3.3 Указания о необходимости согласований проектной документации  
3.4 Сроки проектирования  
3.5 Требования по разработке сметной документации  
3.6 Прочие требования  
(подписи ответственных исполнителей)        
       
(должность)   (подпись)   (инициалы, фамилия)
       
(должность)   (подпись)   (инициалы, фамилия)

Приложение В

СНИЖЕНИЕ РИСКОВ ПРОБЛЕМНЫХ ТЕХНОЛОГИЧЕСКИХ И АВАРИЙНЫХ СИТУАЦИЙ ПРИ ПРОКЛАДКЕ КОММУНИКАЦИЙ МЕТОДОМ ГОРИЗОНТАЛЬНОГО НАПРАВЛЕННОГО БУРЕНИЯ

В.1 Виды и классификация рисков

В.1.1 Риски возникновения последующих проблемных аварийных ситуаций ГНБ закладываются еще при проведении инженерных изысканий, проектировании трассы и конструкции трубопровода, проведении подготовительных работ.

В.1.2 При проведении инженерных изысканий возможны:

- недостаточный объем и отсутствие комплексного подхода по 6.1;

- неточности геологических изысканий по 6.3, приводящие к искаженным данным по типам проходимых слоев грунта, их мощности, физико-механическим характеристикам, уровням и режимам подземных вод;

- ошибки топографической съемки и построения инженерно-топографического плана по 6.2;

- неправильное определение положения существующих коммуникаций.

В.1.3 На стадии проектирования из-за неполноты исходных данных и недостаточной проработки проекта возможны риски ошибок:

- в построении трассы перехода по 7.3;

- оценке поверхностных деформаций;

- в определении конструкции перехода по 7.4 - 7.6;

- в подборе буровой установки, штанг, бурового инструмента, характеристик и состава бурового раствора по 9.1.

В.1.4 На стадии строительства из-за непредвиденных геотехнических условий, ошибок проектно-технологических решений, влияния активных и пассивных помех системы локации, нарушений в технологии производства работ по разделу 8, возможен риск возникновения технологических проблем и аварийных ситуаций, включая:

- потерю бурового инструмента;

- отклонения от проектной трассы бурения;

- обрушение скважины;

- просадки или подъем поверхности;

- выход бурового раствора на поверхность, в водоем, в подземные сооружения и коммуникации по трассе бурения вследствие избыточного давления подачи раствора, недостаточной глубины покрытия;

- загрязнение грунтовых вод химическими и полимерными добавками к буровым растворам (кальцинированная сода, полимеры, активные и моющие вещества);

- загрязнение природной (городской) среды отработанным раствором и шламом в местах расположения строительных площадок;

- повреждения трубопровода из-за превышения предельно-допустимого значения усилия протяжки по прочности трубы;

- повреждения защитного покрытия труб;

- недостаточность усилия тяги буровой установки;

- заклинивание трубопровода при протягивании.

Основные проблемные или аварийные ситуации, их причины и последствия приведены в таблице В.1.

В.2 Снижение рисков

В.2.1 Для предотвращения или снижения рисков возникновения технологических проблем и аварийных ситуаций со стороны организации-производителя работ по ГНБ требуется:

- анализ результатов инженерных изысканий и проектной документации, при необходимости, проведение экспертизы и корректировки проекта в части построения оптимальной трассы бурения, включая углы входа и выхода, радиусы изгиба, заглубление, длины участков и др.;

- применение надежного оборудования и технологии, соответствующей инженерно-геологическим условиям;

- контроль неукоснительного выполнения требований нормативных документов;

- входной контроль материалов и изделий;

- применение эффективных буровых растворов в объемах, достаточных для пилотного бурения, расширения скважины и протягивания трубопровода с учетом раздела 9;

- своевременное и оперативное реагирование на изменения инженерных и гидрогеологических условий проходки, включая корректировку состава бурового раствора и технологии бурения, проведение дополнительных мероприятий по обеспечению производства работ (см. 8.4), применение вспомогательного оборудования и др.;

- операционный контроль выполнения работ в соответствии с 11.3;

- не допускать перерыва между последовательным расширением бурового канала и протягиванием трубопровода, а также в процессе протягивания;

- привлекать к проведению работ квалифицированный персонал, прошедший специальное обучение;

- предусматривать дополнительные технологические мероприятия по предотвращению аварийных ситуаций (по 8.4) в сложных инженерно-геологических условиях;

- рассматривать вероятность устройства резервного перехода и наметить его возможное местоположение.

Примечание - Наилучшим вариантом является участие организации-производителя работ по ГНБ в разработке проекта ЗП.

Таблица В.1

Проблемные и аварийные ситуации

Характеристика проблемной или аварийной ситуации Возможные причины Возможные последствия
Потери бурового раствора, нарушение его циркуляции Проницаемые и/или трещиноватые породы вдоль трассы бурения;
слоистость и разломы пород;
чрезмерное давление подачи бурового раствора;
недопустимые отклонения траектории бурения;
превышение скорости проходки
Поглощение бурового раствора, различные по объему выходы на поверхность, попадание в подземные сооружения и коммуникации
Фильтрация бурового раствора непосредственно в водоток Проницаемые и/или трещиноватые породы вдоль трассы бурения;
слоистость и разломы пород;
чрезмерное давление подачи бурового раствора;
недопустимые отклонения траектории бурения
Мутность воды и донные отложения с возможными отрицательными последствиями для водоема, рыбы и водопользователей ниже по течению
Обрушение скважины, размыв грунтовых полостей по трассе бурения Несоответствие технологии производства работ инженерным и гидрогеологическим условиям;
оползневые процессы;
эрозия или осадки грунта
Осадки поверхности, смещения зданий и сооружений
Остановка бура, застрявшая буровая колонна Обрушение скважины вдоль трассы бурения;
наличие набухающей высокопластичной глины, валунов, бентонитовых сланцев, угольных пластов и др.;
деформация/поломка бурового инструмента
Проведение земляных работ для извлечения оборудования. Вероятны осадки грунта
Застрявший при протягивании трубопровод (расширитель) Обрушение скважины вдоль трассы бурения;
деформация/поломка бурового инструмента;
недостаточное расширение ствола;
повреждение/разрыв стыка труб;
недостаточная мощность буровой установки;
возникновение "гидрозамка"
Вероятны осадки, бурение новой скважины
Поврежденная труба или защитное покрытие Недостаточное расширение ствола;
обрушение скважины вдоль трассы бурения;
отсутствие/недостаточность/неисправность роликовых опор или направляющих на площадке трубной стороны;
чрезмерно крутой угол входа или выхода;
недостаточный радиус изгиба плети трубопровода;
превышение значения предельно допустимого усилия протягивания по прочности трубы;
валуны, гравий, искусственные включения; обсадная труба в скважине
Прокладка нового перехода

Примечание - При аварийной ситуации буровой инструмент, вся скважинная сборка или часть трубопровода могут быть потеряны. Извлечь оставленное в скважине оборудование в большинстве случаев технически возможно, однако следует сопоставить стоимость и трудоемкость этих работ, связанных чаще всего с раскопками поверхности, со стоимостью оставленного оборудования.

В.2.2 Для каждого типа грунта необходимо применять определенные ППР технологические параметры бурения (см. 8.2.3). Рекомендации по выбору технологических параметров бурения приведены в 8.5 и таблице 8.2.

В.2.3 При расширении бурового канала и протягивании трубопровода возможен риск возникновения перед расширителем "гидрозамка" <*>, превышающего мощность тяги буровой установки и возникающего из-за потери циркуляции. Для обеспечения циркуляции и снижения риска возникновения "гидрозамка" необходимо:

- при бурении, расширении и протяжке подавать в скважину достаточное количество бурового раствора, не допуская перерывов, в соответствии с разделом 9;

- ограничивать скорости проходки при бурении пилотной скважины, расширении и протягивании трубопровода в соответствии с 8.5.8 - 8.5.11, 8.6.8, 8.6.9;

- использовать расширители, соответствующие гидрогеологическим условиям проходки по А.3 (приложение А);

- при невозможности дальнейшей протяжки, извлечь расширитель и выполнить повторное бурение пилотной скважины.

<*> Гидравлического сопротивления.

Приложение Г

СОСТАВ, НАИМЕНОВАНИЯ И ПОСЛЕДОВАТЕЛЬНОСТЬ РАЗМЕЩЕНИЯ ТЕКСТОВЫХ И ГРАФИЧЕСКИХ ДОКУМЕНТОВ В КОМПЛЕКТЕ ПРОЕКТА ЗАКРЫТОГО ПЕРЕХОДА

Таблица Г.1

Наименование и последовательность размещения документов в комплекте проекта ЗП Шифр документа Проектная документация Рабочая документация
Текстовые документы
1 Титульный лист - + +
2 Содержание С + +
3 Состав проекта СП + +
4 Ведомость согласований ВС + +
5 Пояснительная записка ПЗ + +
(при необходимости)
6 Заключение об инженерно-геологических условиях строительства ГЗ +
(при необходимости)
+
(при необходимости)
7 Технические условия - + +
8 Тексты согласований - + +
9 Письма, протоколы и другая документация (при необходимости) - + +
10 Ведомости объемов работ ВР + +
Графические документы
11 План ЗП - + +
12 Продольный профиль. Конструктивное сечение ЗП - +
(при необходимости)
+

Обозначения:

"+" - должен быть;

"-" - отсутствует.

Примечания

1 Необходимость заключения об инженерно-геологических условиях, определяется в задании на проектирование.

2 В случае отсутствия чертежа продольного профиля (при разработке стадии "П") конструктивное сечение ЗП показывается на плане ЗП.

3 В составе ведомости объемов работ ВР учитываются длины бурения входных-выходных участков по 7.3.1.6 (при их наличии), а также разработка необходимых шурфов, траншей и котлованов.

Таблица Г.2

Состав пояснительной записки к проекту ЗП

Номер раздела Состав пояснительной записки
1 Общие сведения
2 Характеристика района строительства
2.1 Условия строительства
2.2 Сведения об инженерно-геологических условиях строительства
3 Технические и конструктивные решения, включая конструкцию и размеры секций сборного трубопровода, антикоррозионное и защитное покрытие (при необходимости)
4 Мероприятия по охране окружающей среды
5 Технологические решения по строительству закрытых переходов
5.1 Основные способы работ и выбор строительных механизмов
5.2 Продолжительность строительства и сведения о числе работающих
5.3 Основные виды строительных и монтажных работ, конструкций, подлежащих освидетельствованию
5.4 Геодезические работы
5.5 Особенности строительства ЗП при пересечении с железнодорожными путями, автомобильными дорогами, метрополитенами, существующими коммуникациями, водными преградами и т.п.
5.6 Контроль качества выполняемых работ

Приложение Д

СОСТАВЫ ТИПОВЫХ КОМПЛЕКСОВ ОБОРУДОВАНИЯ И ПРОИЗВОДСТВЕННОЙ БРИГАДЫ

Д.1 Рекомендуемые составы типовых комплексов основного и дополнительного оборудования, а также технического и инфраструктурного оснащения в зависимости от класса применяемой буровой установки ГНБ приведены в таблице Д.1.

Таблица Д.1

Рекомендуемый состав оборудования комплекса, элементы технического и инфраструктурного оснащения, необходимые для производства работ по технологии ГНБ

Наименование оборудования Число единиц оборудования для буровой установки ГНБ класса
Мини Миди Макси Мега
Установка ГНБ в комплекте с буровым инструментом и контрольной локационной системой 1 1 1 1
Установка для приготовления и подачи бурового раствора (растворный узел) 1 1 1 - 2 1 - 2
Полевой набор приборов для подбора и контроля состава бурового раствора Один комплект Один комплект Один комплект Один комплект
Установка для регенерации бурового раствора - 1 1 1
Специальный транспорт для подвоза воды 1 1 - 2 4 - 8 5 - 10
Специальный транспорт для вакуумной экскавации и перевозки бурового шлама (илососные машины) 1 2 - 4 4 - 8 5 - 10
Грузовой трейлер для транспортирования установки ГНБ и основного оборудования 1 1 - 2 2 - 5 5 - 10
Грузовой автотранспорт для перевозки дополнительного оборудования и элементов технического оснащения, бентонита и полимеров 2 2 10 - 15 15 - 25
Бытовое помещение с биотуалетом 1 1 1 - 2 1
Контейнер-мастерская (укомплектованный слесарным и электроинструментом, бензопилой, шанцевым инструментом, комплектами запасных частей и расходных материалов и т.п.) 1 1 1 1 - 2
Автокран либо кран-манипулятор 1 1 2 3
Экскаватор 1 1 2 2
Бульдозер 1 1 2 2
Передвижная дизельная электростанция мощностью 16 кВт и более 1 1 1 - 2 3
Передвижная электростанция мощностью до 16 кВт 1 1 1 1
Электро- и газосварочное оборудование По одному комплекту По одному комплекту По одному комплекту По одному комплекту
Оборудование для стыковой и муфтовой сварки полимерных трубопроводов По одному комплекту По одному комплекту По одному комплекту По одному комплекту
Гидравлические ключи один комплект один комплект один комплект один комплект
Водяной насос 1 шт. 1 шт. 2 шт. 2 шт.
Шламовый насос 1 шт. 1 шт. 2 шт. 2 шт.

Примечания

1 Для решения производственных задач по конкретному объекту возможно применение дополнительных единиц специальной техники и оборудования (плавательных средств при пересечении водных преград, болотоходной специальной техники, трубоукладчиков, установки для вертикального бурения, грейфера, водолазного оборудования, доталкивателя труб и усилителя тяги, компрессорного оборудования, оборудования для геолокации, трассоискателя и др.).

2 Число спецтранспорта корректируется в зависимости от дальности перевозки.

Д.2 Рекомендуемый типовой состав бригады для производства работ по прокладке инженерных коммуникаций методом ГНБ, в зависимости от класса применяемой буровой установки, приведен в таблице Д.2.

Таблица Д.2

Состав бригады ГНБ

Наименование специалистов Число специалистов, чел., для работ на буровой установке класса
Мини Миди Макси Мега
Начальник бурового комплекса 1 1 1 1
Производитель работ - сменный мастер 1 2 3 3
Геодезист 1 1 1 1
Специалист по подбору и контролю состава бурового раствора 1 2 3 3
Оператор установки ГНБ 1 2 3 3
Оператор растворосмесительного узла 1 2 3 3
Оператор локатора 1 2 3 3
Водитель водовозной машины 1 1 - 2 2 - 4 2 - 5
Водитель-оператор илососной машины 1 2 - 4 4 - 8 5 - 10
Оператор установки для регенерации бурового раствора - 1 3 3
Крановщик - 1 3 3
Экскаваторщик 1 1 3 3
Бульдозерист - 1 3 3
Разнорабочий 1 - 2 2 - 3 4 - 6 6 - 12
Водитель грузового автотранспорта, в т.ч. с правом управления автомобилем с прицепом 1 2 4 - 9 10 - 18

Примечания

1 Приведенный состав бригады предполагает круглосуточную работу комплексов с буровыми установками классов Макси и Мега.

2 Для решения производственных задач по конкретному объекту возможно привлечение дополнительной рабочей силы и квалифицированных специалистов (операторов спецтехники, водолазов, геолокаторщиков, операторов компрессорного оборудования и др.).

3 Работа экскаватора или бульдозера организуется в круглосуточном режиме для ликвидации возможных выбросов (воды, грязи, раствора) и нарушений скважины в точках входа/выхода.

Приложение Е

ТИПОВЫЕ ХАРАКТЕРИСТИКИ ЗАЩИТНОГО КОМПОЗИТНОГО ПОКРЫТИЯ

Е.1 ЗКП предназначено для защиты антикоррозионного, теплоизоляционного, гидроизоляционного покрытия труб, а также самих труб от механических повреждений при их транспортировании, а также прокладке и эксплуатации различных видов инженерных коммуникаций. ЗКП предотвращает всплытие трубы за счет ее утяжеления.

Е.2 ЗКП может быть применено для стальных, чугунных, полимерных и композитных труб наружным диаметром от 100 до 2000 мм, соответствующих проектно-техническим требованиям для прокладки ЗП.

Е.3 Состав и технические характеристики ЗКП приведены в таблице Е.1.

Таблица Е.1

Наименование характеристики Значение
1 Состав покрытия Цементно-полимерно-песчаная смесь в оболочке
2 Армирование покрытия Полиэтиленовая фибра, арматурный каркас
3 Толщина одного слоя покрытия, мм 15 - 130
4 Плотность покрытия, кг/м3 1900 - 3400
5 Предел прочности материала покрытия при сжатии, МПа Не менее 40
6 Допускаемый радиус изгиба трубы с покрытием, м Не менее 1200dн
7 Водопоглощение материала покрытия, % по массе Не более 5%
8 Морозостойкость по ГОСТ 10060 Не менее F100
9 Тип оболочки Стальная, стальная оцинкованная, сталеполимерная, полимерная
10 Сплошность покрытия Полное заполнение пространства между трубой и оболочкой

Е.4 Конструкция труб с ЗКП приведена на рисунке Е.1. ЗКП охватывает трубопровод по всей наружной поверхности за исключением концов труб длиной a1 от 250 до 500 мм. Концы изолируются при сборке трубопровода.

Е.5 Трубы поставляются с ЗКП, нанесенным в заводских условиях. Совместно с трубами должны поставляться комплекты материалов для защиты сварных соединений, предназначенные для установки на участки, прилегающие к кольцевому сварному соединению, на которые не нанесено ЗКП.

Рисунок Е.1 - Конструкция трубы с ЗКП

Е.6 Типовые значения погонной массы ЗКП для труб различных диаметров представлены в таблице Е.2. При производстве труб с ЗКП, по требованию потребителя, могут подбираться различные значения толщины и плотности покрытия.

Таблица Е.2

Типовые значения погонной массы ЗКП

Наружный диаметр покрываемой трубы, мм Масса 1 пог. м покрытия, кг Наружный диаметр покрываемой трубы, мм Масса 1 пог. м покрытия, кг
159 22 530 79
219 31 720 105
273 40 820 111
325 50 1020 134
377 58 1220 170
426 66 1420 201

Для труб диаметром более 1420 мм, масса 1 пог. м покрытия определяется по данным производителя.

Е.7 Областями эффективного применения ЗКП при прокладке подземных трубопроводов методом ГНБ являются:

- горная местность;

- сложные геологические условия (скальные, обломочные, щебеночные и галечные грунты), в том числе в сейсмических зонах, требующие предотвращения повреждений поверхности трубопроводов, изоляционных и теплогидроизоляционных покрытий трубопроводов;

- подводные переходы, обводненная и заболоченная местность;

- мерзлые грунты по ГОСТ 25100;

- переходы под железными и автомобильными дорогами;

- зоны пересечения и сверхнормативного сближения со зданиями и сооружениями повышенного и нормального уровней ответственности, коммуникациями.

Приложение Ж

ДОПУСКИ ПО УСИЛИЯМ ПРОТЯГИВАНИЯ ПОЛИЭТИЛЕНОВЫХ ТРУБ

Таблица Ж.1

Допустимые усилия протягивания, кН, полиэтиленовых труб из ПЭ 80 и ПЭ 100 по ГОСТ 18599

Средний наружный диаметр трубы, мм Размерное отношение наружного диаметра к толщине стенки
17 13,6 11 9
ПЭ 80 ПЭ 100 ПЭ 80 ПЭ 100 ПЭ 80 ПЭ 100 ПЭ 80 ПЭ 100
40 2,5 3,2 2,5 3,2 3,3 4,2 4,2 5,3
50 3,3 4,2 4,2 5,3 5,8 7,4 6,7 8,4
63 5,8 7,4 7,5 9,5 8,4 10,5 10,9 13,7
90 11,7 14,7 15,0 18,9 17,5 22,1 20,9 26,3
110 18,4 23,1 21,7 27,3 26,7 33,6 31,7 39,9
125 22,5 28,4 28,4 35,7 34,2 43,1 40,9 51,5
140 28,4 35,7 35,1 44,1 42,6 53,6 50,9 64,1
160 37,6 47,3 45,9 57,8 55,9 70,4 66,8 84,0
180 47,6 59,9 58,5 73,5 70,1 88,2 91,0 114,5
200 58,5 73,5 71,8 90,3 86,8 109,2 104,4 131,3
225 74,3 93,5 91,0 114,5 110,2 138,6 131,9 165,9
250 91,0 114,5 111,9 140,7 135,3 170,1 162,8 204,8
280 114,4 143,9 140,3 176,4 169,5 213,2 204,6 257,3
315 145,3 182,7 177,9 223,7 214,6 269,9 258,9 325,5
355 184,5 232,1 225,5 283,5 272,2 342,3 328,2 412,7
400 233,8 294,0 285,6 359,1 346,5 435,8 416,7 524,0
450 296,4 372,8 361,6 454,7 438,4 551,3 526,9 662,6
500 116,1 146,0 446,7 561,8 541,1 680,4 649,6 816,9
560 458,4 576,5 560,3 704,6 678,0 852,6 815,0 1024,8
630 581,2 730,8 708,9 891,5 859,2 1080,5 1031,2 1296,8
710 737,3 927,2 900,1 1131,9 1091,3 1372,4 - -
800 935,2 1176,0 1142,3 1436,4 1384,4 1740,9 - -
900 1183,2 1487,9 1445,4 1817,6 - - - -
1000 1462,9 1839,6 1785,2 2244,9 - - - -
1200 2104,2 2646,0 - - - - - -

Примечания

1 При расчетном сопротивлении для ПЭ 80 .

2 При расчетном сопротивлении для ПЭ 100 .

3 - предел текучести для материала труб.

Приложение И

КЛАССИФИКАЦИЯ ГРУНТОВ ДЛЯ МЕХАНИЧЕСКОГО ВРАЩАТЕЛЬНОГО БУРЕНИЯ СКВАЖИНЫ

Таблица И.1

Группа грунта Наименование и характеристика грунта
I Торф и растительный слой без корней; рыхлые лесс, пески (не плывуны), супеси без гальки и щебня; ил влажный и иловатые грунты; суглинки лессовидные; трепел: мел слабый
II Торф и растительный слой с корнями или с небольшой примесью мелкой (до 3 см) гальки и щебня; супеси и суглинки с примесью до 20% мелкой (до 3 см) гальки или щебня; пески плотные; суглинок плотный; лесс; мергель рыхлый; плывун без напора; лед; глины средней плотности (ленточные и пластичные); мел; диатомит; сажи; каменная соль (галит); нацело каолинизированные продукты выветривания изверженных и метаморфизованных пород; железная руда охристая
III Суглинки и супеси с примесью свыше 20% мелкой (до 3 см) гальки или щебня; лесс плотный; дресва; плывун напорный; глины с частыми прослоями (до 5 см) слабосцементированных песчаников и мергелей, плотные, мергелистые, загипсованные, песчанистые; алевролиты глинистые слабосцементированные; песчаники, слабосцементированные глинистым и известковистым цементом; мергель; известняк-ракушечник; мел плотный; магнезит; гипс тонкокристаллический, выветрелый; каменный уголь слабый; бурый уголь; сланцы тальковые, разрушенные всех разновидностей; марганцевая руда; железная руда окисленная, рыхлая; бокситы глинистые
IV Галечник, состоящий из мелких галек осадочных пород; мерзлые водоносные пески, ил, торф; алевролиты плотные глинистые; песчаники глинистые; мергель плотный; неплотные известняки и доломиты; магнезит плотный; пористые известняки, туфы; опоки глинистые; гипс кристаллический; ангидрит; калийные соли; каменный уголь средней твердости; бурый уголь крепкий; каолин (первичный); сланцы глинистые, песчано-глинистые, горючие, углистые, алевролитовые; серпентиниты (змеевики) сильновыветрелые и оталькованные; неплотные скарны хлоритового и амфибол-слюдистого состава; апатит кристаллический; сильновыветрелые дуниты, перидотиты; кимберлиты, затронутые выветриванием; мартитовые и им подобные руды, сильновыветрелые; железная руда мягкая вязкая; бокситы
V Галечно-щебенистые грунты; галечник мерзлый, связанный глинистым или песчано-глинистым материалом с ледяными прослойками; мерзлые: песок крупнозернистый и дресва, ил плотный, глины песчанистые, песчаники на известковистом и железистом цементе; алевролиты; аргиллиты; глины аргиллитоподобные, весьма плотные, плотные сильнопесчанистые; конгломерат осадочных пород на песчано-глинистом или другом пористом цементе; известняки; мрамор; доломиты мергелистые; ангидрит весьма плотный; опоки пористые выветрелые; каменный уголь твердый; антрацит, фосфориты желваковые; сланцы глинисто-слюдяные, слюдяные, тальково-хлоритовые, хлоритовые, хлорито-глинистые, серицитовые; серпентиниты (змеевики); выветрелые альбитофиры, кератофиры; туфы серпентинизированные вулканические; дуниты, затронутые выветриванием; кимберлиты брекчиевидные; мартитовые и им подобные руды, неплотные
VI Ангидриты плотные, загрязненные туфогенным материалом; глины плотные мерзлые; глины плотные с прослоями доломита и сидеритов; конгломерат осадочных пород на известковистом цементе; песчаники полевошпатовые, кварцево-известковистые; алевролиты с включением кварца; известняки плотные доломитизированные, скарнированные; доломиты плотные; опоки; сланцы глинистые, кварцево-серицитовые, кварцево-слюдяные, кварцево-хлоритовые, кварцево-хлорито-серицитовые, кровельные; хлоритизированные и рассланцованные альбитофиры, кератофиры, порфириты; габбро; аргиллиты, слабоокремненные; дуниты, не затронутые выветриванием; перидотиты, затронутые выветриванием; амфиболиты; пироксениты крупнокристаллические; тальково-карбонатные породы; апатиты, скарны эпидото-кальцитовые; колчедан сыпучий; бурые железняки ноздреватые; гематито-мартитовые руды; сидериты
VII Аргиллиты окремненные; галечник изверженных и метаморфических пород (речник); щебень мелкий без валунов; конгломераты с галькой (до 50%) изверженных пород на песчано-глинистом цементе; конгломераты осадочных пород на кремнистом цементе; песчаники кварцевые; доломиты весьма плотные; окварцованные полевошпатовые песчаники, известняки; каолин агальматолитовый; опоки крепкие плотные; фосфоритовая плита; сланцы слабоокремненные; амфибол-магнетитовые, куммингтонитовые, рогово-обманковые, хлорито-роговообманковые; слаборассланцованные альбитофиры, кератофиры, порфиры, порфириты, диабазовые туфы; затронутые выветриванием: порфиры, порфириты; крупно- и среднезернистые, затронутые выветриванием граниты, сиениты, диориты, габбро и другие изверженные породы; пироксениты, пироксениты рудные; кимберлиты базальтовидные; скарны кальцитосодержащие авгито-гранатовые; кварцы пористые (трещиноватые, ноздреватые, охристые); бурые железняки ноздреватые пористые; хромиты; сульфидные руды; мартито-сидеритовые и гематитовые руды; амфибол-магнетитовые руды
VIII Аргиллиты кремнистые; конгломераты изверженных пород на известковистом цементе; доломиты окварцованные; окремненные известняки и доломиты; фосфориты плотные пластовые; сланцы окремненные: кварцево-хлоритовые, кварцево-серицитовые, кварцево-хлорито-эпидотовые, слюдяные; гнейсы; среднезернистые альбитофиры и кератофиры; базальты выветрелые; диабазы; порфиры и порфириты; андезиты; диориты, не затронутые выветриванием; лабрадориты; перидотиты; мелкозернистые, затронутые выветриванием граниты, сиениты, габбро; затронутые выветриванием гранито-гнейсы, пегматиты, кварцево-турмалиновые породы; скарны крупно- и среднезернистые кристаллические авгито-гранатовые, авгито-эпидотовые; эпидозиты; кварцево-карбонатные и кварцево-баритовые породы; бурые железняки пористые; гидрогематитовые руды плотные; кварциты гематитовые, магнетитовые; колчедан плотный; бокситы диаспоровые
IX Базальты, не затронутые выветриванием; конгломераты изверженных пород на кремнистом цементе; известняки карстовые; кремнистые песчаники, известняки; доломиты кремнистые; фосфориты пластовые окремненные; сланцы кремнистые; кварциты магнетитовые и гематитовые тонкополосчатые, плотные мартито-магнетитовые; роговики амфибол-магнетитовые и сирицитизированные; альбитофиры и кератофиры; трахиты; порфиры окварцованные; диабазы тонкокристаллические; туфы окремненные; ороговикованные; затронутые выветриванием липариты, микрограниты; крупно- и среднезернистые граниты, гранито-гнейсы, гранодиориты; сиениты; габбро-нориты; пегматиты; березиты; скарны мелкокристаллические авгито-эпидото-гранатовые; датолито-гранато-геденбергитовые; скарны крупнозернистые, гранатовые; окварцованные амфиболит, колчедан; кварцево-турмалиновые породы, не затронутые выветриванием; бурые железняки плотные; кварцы со значительным количеством колчедана; бариты плотные
X Валунно-галечные отложения изверженных и метаморфизованных пород; песчаники кварцевые сливные; джеспилиты; затронутые выветриванием, фосфатно-кремнистые породы; кварциты неравномернозернистые; роговики с вкрапленностью сульфидов; кварцевые альбитофиры и кератофиры; липариты; мелкозернистые граниты, гранито-гнейсы и гранодиориты; микрограниты; пегматиты плотные, сильно кварцевые; скарны мелкозернистые гранатовые, датолито-гранатовые; магнетитовые и мартитовые руды, плотные, с прослойками роговиков; бурые железняки окремненные; кварц жильный; порфириты сильно окварцованные и ороговикованные
XI Альбитофиры тонкозернистые, ороговикованные; джеспилиты, не затронутые выветриванием; сланцы яшмовидные кремнистые; кварциты; роговики железистые, очень твердые; кварц плотный; корундовые породы; джеспилиты гематито-мартитовые и гематито-магнетитовые
XII Совершенно не затронутые выветриванием монолито-сливные джеспилиты, кремень, яшмы, роговики, кварциты, эгириновые и корундовые породы

Приложение К

ФОРМЫ ИСПОЛНИТЕЛЬНОЙ ДОКУМЕНТАЦИИ

1 Форма протокола бурения скважины

Протокол бурения скважины методом горизонтального направленного бурения
(заполняется на каждую скважину)

Наименование строительной организации, юридический и почтовый адреса, контактные телефоны  
Объект (наименование, шифр)  
Адрес производства работ
(уточненное географическое месторасположение в конкретном регионе, населенный пункт, улица, номера строений в непосредственной близости)
 
Наименование перехода методом ГНБ
(текстовое наименование, пикеты, литерные обозначения, нумерация или обозначения скважины)
 
Вид прокладываемой методом ГНБ коммуникации
(наименование коммуникации, обозначения технических характеристик трубопровода(ов) по НД, их число в скважине)
 
Фирма-производитель и наименование установки ГНБ  
Длина одной буровой штанги, м  
Система локации, тип зонда  
Должность, инициалы, фамилия лица, ответственного за составление протокола бурения  
Должность, инициалы, фамилия руководителя буровых работ  

Таблица 1

Длина пилотной скважины, м Угол наклона буровой головки, % Глубина нахождения буровой головки, см Примечание (фиксирование ориентиров по профилю бурения)
1      
2      
3      
4      
5      
6      
7      
8      
9      
10      
11      
12      
13      
14      
15      
16      
17      
18      
19      
20      
21      
22      
23      
24      
25      
26      
27      

Примечания

1 Номера (1 - 50), как правило, соответствуют номерам штанг. Допускается определение характеристик с увеличенной частотой.

2 Ориентирами по профилю бурения должны служить стенки рабочего и приемного котлованов, существующие инженерные коммуникации, края дорожного полотна, урезы воды, наземные и подземные объекты инфраструктуры. Их краткие обозначения в протоколе бурения скважины дают возможность четкой корреляции с плановым положением створа прокладываемого(ых) впоследствии трубопровода(ов).

3 В случае, если число штанг (точек фиксирования положения буровой головки по профилю бурения) больше 50, необходимо дополнить таблицу до требуемого числа без изменения общей структуры протокола бурения скважины методом ГНБ.

Характеристики скважины:

Число расширений пилотной скважины                   Координаты точки входа                      
Диаметр окончательного расширения, мм                   Координаты точки входа                      
Длина проложенного(ых) в скважину трубопровода(ов), м               Дата начала работ - дата окончания работ                
Подпись лица, ответственного за составление протокола бурения                                        
Подпись руководителя буровых работ                                              
                                                             
М.П.                                                            

2 Форма акта приемки пилотной скважины

                                Строительство (ремонт) ___________
                                                       ___________
                                                Объект ___________
                                                       ___________
 
                            АКТ N ____
                    приемки пилотной скважины
                    _________________________
                      (основной, резервной)
                    нитки подводного перехода
                    "___" __________ 20___ г.
 
Составлен представителями:
подрядчика ______________________________________________________,
                 (должность, организация, инициалы, фамилия)
технического надзора заказчика <*> ______________________________,
                                (должность, организация, инициалы,
                                             фамилия)
заказчика ________________________________________________________
                (должность, организация, инициалы, фамилия)
в  том, что проведенными промерами фактического положения пилотной
скважины  и  контролем  углов  наклона  и азимута во время бурения
установлено:
пилотная  скважина  на  участке  от ПК/км _______ до ПК/км _______
выполнена   в   соответствии   с   проектной документацией, чертеж
N _______, принята  и  считается готовой для производства работ по
расширению пилотной скважины.
Ведомость проектных и фактических отметок пилотной скважины по оси
подводного перехода прилагается.
 
Представитель подрядчика _________________ ___________ ___________
                            (должность)     (подпись)    (дата)
Представитель технического
надзора заказчика <*>    _________________ ___________ ___________
                            (должность)     (подпись)    (дата)
Представитель заказчика  _________________ ___________ ___________
                            (должность)     (подпись)    (дата)
 

<*> Приводится и заполняется в случае осуществления технического надзора специализированной организацией по договору с заказчиком.

3 Форма акта приемки расширенной скважины и готовности ее под протягивание трубопровода

                                Строительство (ремонт) ___________
                                                       ___________
                                                Объект ___________
                                                       ___________
 
                            АКТ N ____
 
                 Акт приемки расширенной скважины
            и готовности для протягивания трубопровода
                    _________________________
                      (основной, резервной)
                    нитки подводного перехода
                    "___" __________ 20___ г.
 
Составлен представителями:
подрядчика ______________________________________________________,
                 (должность, организация, инициалы, фамилия)
технического надзора заказчика <*> ______________________________,
                                (должность, организация, инициалы,
                                             фамилия)
заказчика ________________________________________________________
                (должность, организация, инициалы, фамилия)
в  том,  что  расширение  пилотной  скважины  на  участке от ПК/км
___________  до  ПК/км  ___________  в  соответствии  с  проектной
документацией, N _________.
Скважина   расширена   до   диаметра   ____________  мм, принята и
считается   готовой   для   производства   работ   по протягиванию
трубопровода.
 
Представитель подрядчика _________________ ___________ ___________
                            (должность)     (подпись)    (дата)
Представитель технического
надзора заказчика <*>    _________________ ___________ ___________
                            (должность)     (подпись)    (дата)
Представитель заказчика  _________________ ___________ ___________
                            (должность)     (подпись)    (дата)
 

<*> Приводится и заполняется в случае осуществления технического надзора специализированной организацией по договору с заказчиком.

4 Форма акта приемки трубопровода

                                Строительство (ремонт) ___________
                                                       ___________
                                                Объект ___________
                                                       ___________
 
                              Акт N
                приемки трубопровода (пакета труб)
                  для протягивания перехода ГНБ
 
         Участок от ПК/км __________ до ПК/км ___________
 
                                     от "___" ___________ 201__ г.
 
Комиссия в составе представителей:
организации-производителя работ __________________________________
                                (должность, организация, инициалы,
                                              фамилия)
генерального подрядчика __________________________________________
                       (должность, организация, инициалы, фамилия)
технического надзора заказчика ___________________________________
                               (должность, организация, инициалы,
                                             фамилия)
проектной организации ____________________________________________
                      (должность, организация, инициалы, фамилия)
произвела освидетельствование работ, выполненных _________________
                                                   (наименование
__________________________________________________________________
                строительно-монтажной организации)
по подготовке для протягивания трубопровода (участка трубопровода,
передового звена трубопровода, пакета труб).
Комиссии предъявлены:
1 Проектная документация на устройство перехода ГНБ N ___________,
разработчик __________________
2  Сертификаты качества (другие документы) на материалы и изделия,
применяемых при сборке трубопровода.
3  Исполнительные  стандартизированные  формы контроля качества по
сборке трубопровода.
4 ________________________________________________________________
5 ________________________________________________________________
Комиссия,  ознакомившись  с представленными документами и проверив
выполнение        работ        в        натуре,        установила:
__________________________________________________________________
Подготовленный  к  протягиванию трубопровод (участок трубопровода,
передовое   звено   трубопровода,   пакет   труб)   общей   длиной
____________ м собран из труб по НД ________ длиной ________ м.
Соединение  труб выполнено сваркой (муфтами, замковыми элементами,
др. способом) по НД __________ в соответствии с проектом.
Трубы имеют (не имеют) защитное покрытие типа ______________.
Передовое  звено  соединено  с окончательным расширителем диаметра
_______ мм.
На основании рассмотренных данных решили:
1 Подготовленный к протягиванию трубопровод (участок трубопровода,
пакет труб) соответствует проекту.
2   Повреждений   изоляции   не   обнаружено, сварочно-монтажные и
изоляционные работы, а также испытания выполнены в полном объеме.
3  Разрешить  протягивание  трубопровода  с  усилием тяги не более
_________ тс.
 
Подписи ____________________
        ____________________

5 Форма журнала контроля параметров бурового раствора

Строительство (ремонт)
 
Объект
 

ЖУРНАЛ КОНТРОЛЯ ПАРАМЕТРОВ БУРОВОГО РАСТВОРА

Показатель активности ионов водорода воды, ед. pH
Дата, время Место отбора пробы раствора Параметры бурового раствора Исполнитель должность, инициалы, фамилия, подпись
Плотность, г/см3 Условная вязкость, с Показатель фильтрации, см3 Толщина фильтрационной корки, мм Пластическая вязкость, мПа·с Динамическое напряжение сдвига (ДНС), дПа Статическое напряжение сдвига (СНС), дПа
СНС10с СНС10мин
1 2 4 5 6 7 8 9 10 11 12
В электронном документе нумерация граф таблицы соответствует официальному источнику.
                   

6 Форма акта приемки закрытого перехода

                                Строительство (ремонт) ___________
                                                       ___________
                                                Объект ___________
                                                       ___________
 
                         Акт N __________
               приемки ЗП, проложенного методом ГНБ
 
         Участок от ПК/км __________ до ПК/км ___________
 
                                     от "___" ___________ 201__ г.
 
Комиссия в составе представителей:
организации-производителя работ __________________________________
                                (должность, организация, инициалы,
                                              фамилия)
генерального подрядчика __________________________________________
                       (должность, организация, инициалы, фамилия)
технического надзора заказчика ___________________________________
                               (должность, организация, инициалы,
                                             фамилия)
проектной организации ____________________________________________
                      (должность, организация, инициалы, фамилия)
эксплуатирующей организации ______________________________________
                              (должность, организация, инициалы,
                                            фамилия)
произвела освидетельствование работ, выполненных _________________
                                                   (наименование
__________________________________________________________________
                строительно-монтажной организации)
по прокладке методом ГНБ подземного трубопровода
__________________________________________________________________
                      (наименование объекта)
Комиссии предъявлены:
1 Проектная документация на устройство перехода ГНБ N ___________,
разработчик ______________________
2 Проект производства работ.
3 Протокол бурения скважины.
4  Акт  <*>  приемки  трубопровода  (пакета труб) для протягивания
перехода ГНБ.
5 Исполнительная производственная документация и стандартизованные
формы контроля качества для данного вида коммуникации.
6 Исполнительные чертежи планового положения и продольного профиля
трубопровода.
Комиссия, ознакомившись с представленными материалами, установила:
__________________________________________________________________
Трубопровод   длиной   ______   м,   диаметром _______ мм комиссии
проложен   методом   ГНБ   с   использованием   буровой установкой
типа ______________________________
Начало работ ______________________
Окончание работ ______________________
При выполнении работ применены:
__________________________________________________________________
__________________________________________________________________
__________________________________________________________________
__________________________________________________________________
   (наименование материалов, конструкций, изделий со ссылкой на
     сертификаты или другие документы подтверждающие качество)
 
При   выполнении   работ   отсутствуют   (допущены)  отклонения от
проектной документации ___________________________________________
__________________________________________________________________
     (при наличии отклонений указывается, кем они согласованы,
               номера чертежей и дата согласования)
 
Решение комиссии:
Работы   выполнены   в   соответствии   с проектной документацией,
нормативными документами и соответствуют требованиям их приемки.
На  основании  изложенного  разрешается  производство  последующих
работ по устройству (прокладке, монтажу).
__________________________________________________________________
__________________________________________________________________
                (наименование работ и конструкций)
 
Подписи
Представители:
      Организации-производителя работ ____________________________
      Генерального подрядчика ____________________________________
      Технического надзора заказчика _____________________________
      Проектной организации ______________________________________
      Эксплуатирующей организации ________________________________
 

<*> Составляется в обязательном порядке для газопродуктопроводов, а также по требованию заказчика для сборных трубопроводов диаметром св. 500 мм.

Приложение Л

РАСЧЕТ НЕОБХОДИМОГО ОБЪЕМА И КОЛИЧЕСТВА КОМПОНЕНТОВ БУРОВОГО РАСТВОРА

Л.1 Необходимый для производства буровых работ объем приготовляемого бурового раствора , м3, составляет:

, (Л.1)

где - необходимый начальный объем бурового раствора, м3;

Примечание - Начальный объем бурового раствора, в зависимости от применяемого оборудования для его приготовления и подачи, принимается:

- от 3 до 8 м3 - при эксплуатации установок классов мини и миди (см. таблицу А.1 приложения А);

- от 20 до 50 м3 - при эксплуатации установок классов макси и мега (см. таблицу А.1 приложения А);

- расчетный объем бурового раствора;

- коэффициент учета потерь бурового раствора, в зависимости от используемой системы регенерации, принимается от 0,1 до 0,5. Если система регенерации проектом не предусматривается, то = 1.

Л.2 При эксплуатации установок классов Мини и Миди (см. таблицу А.1 приложения А) определяется общий расчетный объем бурового раствора на все этапы производства работ , м3, включая проходку пилотной скважины, расширение, калибровку и протягивание по формуле:

, (Л.2)

где - наибольший диаметр расширения скважины (бурового канала), м;

L - расчетная длина скважины по профилю перехода, м;

- возможное увеличение фактической длины бурового канала (перебур) (см. 7.3.1.11), м;

F - грунтовый коэффициент расхода бурового раствора (таблица Л.1).

Примечания

1 Грунтовый коэффициент расхода бурового раствора F учитывает увеличение его объема по сравнению с объемом бурового канала для обеспечения бурения в грунтах различной крепости, технологической циркуляции по 9.2.6, 9.2.7, поглощение раствора грунтом и определяет расчетный объем бурового раствора, необходимого для эффективной очистки 1 м3 бурового канала.

2 При изменении грунтовых условий по сравнению с проектными необходимый объем бурового раствора может корректироваться по результатам работ.

Таблица Л.1

Грунтовые условия бурения (приложение И) Значение грунтового коэффициента расхода бурового раствора, F
Мягкие породы (грунты I - III групп) I группа Пески (не плывуны), супеси без гальки и щебня; суглинки лессовидные; мел слабый; торф; растительный слой без древесных корней; лесс 3
Илы, глины текучие и пластичные 5
II группа Супеси плотные; суглинок твердый; мергель рыхлый; суглинок плотный; мел 4
Глины тугопластичные; плывун 5
III группа Песчано-глинистые породы с примесью до 20% мелкой (до 3 см) гальки или щебня; лесс плотный; пески плотные; алевролиты глинистые слабосцементированные; песчаники, сцементированные глинистым и известковым цементом; мергель; мел плотный 5
Глины с прослоями (до 5 см) слабосцементированных песчаников и мергелей, полутвердые, мергелистые, загипсованные, песчанистые; глины плотные; дресва; магнезит; плывун напорный; гипс тонкокристаллический, выветрелый 6
Средние породы (грунты IV - V групп) IV группа Мерзлые водоносные пески/ил/торф 5
Песчаники глинистые; гипс кристаллический; мергель плотный; алевролиты плотные, глинистые; неплотные известняки и доломиты; магнезит плотный 6
Глины твердые, моренные отложения без валунов 7
V группа Мерзлые породы: песок крупнозернистый, дресва, ил плотный, глины песчаные; песчаники на известковистом и железистом цементе; алевролиты; аргиллиты; доломиты мергелистые; известняки; конгломерат осадочных пород на песчано-глинистом цементе 6
Галечник мерзлый, связанный глинистым или песчано-глинистым материалом с ледяными прослойками; ангидрит весьма плотный; мрамор 7
Галечник мелкий из осадочных пород, галечно-щебенистые и дресвяные породы; глины аргиллитоподобные, твердые; фосфориты желваковые; цементный камень 8
Твердые породы (грунты VI - VII групп) VI группа Конгломерат осадочных пород на известковистом цементе; песчаники полевошпатовые кварцево-известковистые; алевролиты с включением кварца; известняки плотные доломитизированные 7
Ангидрит плотный; доломиты плотные; опоки; аргиллиты, слабоокремненные; моренные отложения с валунами 8
Глины твердые мерзлые; глины плотные с прослоями доломита и сидеритов; апатиты, скарны эпидото-кальцитовые; колчедан сыпучий; сидериты 9
VII группа Конгломераты с галькой (до 50%) изверженных пород на песчано-глинистом цементе 9
Конгломераты осадочных пород на кремнистом цементе; песчаники кварцевые; известняки окварцованные; аргиллиты окремненные; фосфоритовая плита; кимберлиты базальтовидные 10 и более
Крепкие породы (грунты VIII - XII групп) VIII - XII группы Фосфориты плотные; граниты; колчедан; базальты; кремнистые известняки/сланцы/песчаники; валуны; кремень; яшмы и т.д. -

Примечание - В трещиноватых породах грунтовый коэффициент расхода бурового раствора может быть увеличен до 1,5 раз.

Л.3 При эксплуатации установок классов Макси и Мега (см. таблицу А.1 приложения А) расчетный объем бурового раствора , м3, необходимо определять для каждого этапа производства работ по Л.3.1 - Л.3.5.

Л.3.1 Расчетный объем бурового раствора на этап проходки пилотной скважины - , м3, определяется по формуле

, (Л.3)

где - интенсивность подачи бурового раствора на пилотное бурение, м3/мин, принимается в зависимости от длины перехода, от 0,2 до 1 м3/мин, а при использовании винтового забойного двигателя - до 2 м3/мин (см. таблицу Л.2);

- расчетная механическая скорость бурения пилотной скважины, м/ч, принимается по 8.5.7;

L - расчетная длина скважины по профилю перехода, м;

- возможное увеличение фактической длины бурового канала, м (см. 7.3.1.11);

= 1,2 - коэффициент учета расхода бурового раствора на сопутствующие технологические операции (СПО, промывка инструмента и другие).

Таблица Л.2

Длина участка, м 0 - 300 300 - 500 500 - 1000 1000 - 1500 1500 - 1700
Гидромонитор
, м3/мин 0,2 0,3 0,5 0,7 1,0
Винтовой забойный двигатель
, м3/мин 0,7 0,8 1,0 1,5 2,0
Примечание - Использовать среднее значение, в зависимости от длины участка.

Л.3.2 Расчетный объем бурового раствора на этап расширения скважины - , м3, определяется по формуле

, (Л.4)

где - время расширения в расчете на длину перехода по 8.6.8, ч;

Примечание - В качестве принимается чистое время бурения при расширении (мото-часы работы буровой установки), без учета времени на смену бурового инструмента, СПО и других технологических остановок.

- интенсивность подачи бурового раствора при расширении, м3/мин.

Примечание - Интенсивность подачи бурового раствора при расширении, , м3/мин, принимается численно равной не менее значения текущего расширения , м. - по Л.3.1.

Л.3.3 Расчетный объем бурового раствора на калибровку скважины - , м3

, (Л.5)

где - скорость протягивания калибра, м/ч, принимается, как правило, в 1,5 - 3 раза выше скорости последнего расширения по 8.6.7;

- интенсивность подачи бурового раствора при калибровке, м3/мин, принимается соответствующей на последнем этапе расширения;

- возможное увеличение фактической длины бурового канала, м (см. 7.3.1.11);

L - расчетная длина скважины по профилю перехода, м;

- по Л.3.1.

Л.3.4 Расчетный объем бурового раствора на протягивание трубопровода - , м3.

, (Л.6)

где - интенсивность подачи бурового раствора при протягивании, м3/мин, принимается соответствующей на последнем этапе расширения;

- скорость протягивания трубы, м/ч, принимается, как правило, от 30 до 180 м/ч (от 0,5 до 3 м/мин);

Примечание - Скорость протягивания снижается с увеличением диаметра трубы и увеличивается при повышении производительности НВД.

- возможное увеличение фактической длины бурового канала, м (см. 7.3.1.11);

L - расчетная длина скважины по профилю перехода, м.

Л.3.5 Общий расчетный объем необходимого для производства работ бурового раствора , м3, определяется по формуле

, (Л.7)

Л.4 Расчет необходимого количества компонентов бурового раствора на все этапы производства буровых работ для установок классов Мини и Миди или на очередной этап для установок классов Макси и Мега производится по формуле

, (Л.8)

где - количество компонента бурового раствора на соответствующий этап, кг;

- концентрация компонента бурового раствора на соответствующий этап, кг/м3;

- объем приготовляемого бурового раствора на весь объем или на очередной этап, м3.

Л.5 Концентрация компонента ci устанавливается при разработке рецептуры бурового раствора на соответствующий этап буровых работ.

Примечание - При разработке рецептуры бурового раствора необходимо учитывать особенности этапа бурения (8.5 - 8.8), данные геологических изысканий (6.3), технические характеристики бурового комплекса (приложение А), а также рекомендации производителей компонентов бурового раствора.

Приложение М

ТРЕБОВАНИЯ К БЕНТОНИТАМ, ПРИМЕНЯЕМЫМ ПРИ ГОРИЗОНТАЛЬНОМ НАПРАВЛЕННОМ БУРЕНИИ

М.1 Бентонит представляет собой природную глину, которая на 70% (и более) состоит из минерала монтмориллонит. Если в составе глины количество монтмориллонита меньше 70%, то такая глина относится к бентонитоподобным глинам. В ГНБ такой вид глины в качестве основы бурового раствора не используется.

М.2 В качестве основы бурового раствора для ГНБ используются бентониты следующих видов:

- модифицированный (природный кальциевый или натриевый бентонит, обработанный кальцинированной содой, полимерами или другими химикатами, улучшающими качество суспензии);

- немодифицированный (природный кальциевый или натриевый бентонит, не обработанный химическими методами либо обработанный в незначительной для ГНБ (М.3) степени).

М.3 Модифицированный бентонит для ГНБ, разведенный в дистиллированной воде при концентрации 25 г/л (8,74 г/350 мл), должен соответствовать значениям таблицы М.1.

Таблица М.1

Контролируемый параметр Значение
Показание по шкале вискозиметра при скорости вращения 600 об/мин Не менее 25
Отношение динамического напряжения сдвига (ДНС) к пластической вязкости Не менее 1
Показание по шкале вискозиметра при скорости вращения 3 об/мин Не менее 8
Динамическое напряжение сдвига (ДНС), фунт/100 фут2 Не менее 15

М.4 При несоответствии параметров бентонита значениям таблицы М.1 бентонит относится к виду немодифицированных. К используемым немодифицированным бентонитам, обработанным химическими методами в незначительной для ГНБ степени, относятся бентониты марок ПБА, ПББ, ПБМА, ПБМБ, ПБМВ, ПБМГ и т.д., а также другие марки.

Приложение Н

СОСТАВЫ БУРОВОГО РАСТВОРА НА ОСНОВЕ МОДИФИЦИРОВАННОГО БЕНТОНИТА

Таблица Н.1

Наименование компонента Количество компонента, кг на 1 м3 воды, для
группы грунтов по буримости (см. приложение И)
I - III IV - V VI - VII
суглинки, глины разной степени плотности, твердости и пластичности супеси, пески разной степени крупности и плотности алевролиты и песчаники слабосцементированные; выветрелые, мергель; мел разной степени плотности и твердости, выветрелые суглинки и супеси с примесью мелкой (до 3 см) гальки или щебня до 20% мерзлые породы: глины и суглинки, супесь, песок разной степени крупности, дресва галечно-щебенистые грунты, связанные глинистым или другим материалом твердые горные осадочные породы на песчано-глинистом или другом пористом цементе твердые горные осадочные породы на известковистом или кремнистом цементе
Кальцинированная сода 0,2 - 1,5 0,2 - 1,5 0,2 - 1,5 0,2 - 1,5 0,2 - 1,5 0,2 - 1,5 0,2 - 1,5 0,2 - 1,5
Бентонит модифицированный 0 - 20 15 - 60 10 - 30 20 - 50 20 - 60 30 - 60 20 - 40 15 - 30
Частично гидроизолированный полиакриламид (PHPA) 0,5 - 2,0 - - 0,5 - 1,5 - 0 - 1,0 - -
Полианионная целлюлоза (PAC) - 0,3 - 3,0 0 - 1,0 0 - 1,0 0,5 - 3,0 0,5 - 2,0 - -
Ксантан 0 - 2,0 0,3 - 2,0 0,5 - 2,0 1,0 - 3,0 0,3 - 3,0 1,0 - 3,0 1,0 - 2,0 0,5 - 1,0
Лубрикант 0 - 5,0 0 - 5,0 0 - 5,0 0 - 5,0 0 - 5,0 0 - 5,0 0 - 5,0 0 - 5,0

Примечание - В многокомпонентных системах бурового раствора, где одновременно применяются полимеры разных типов (PAC, PHPA, ксантан) в количестве каждого более 1 кг, рекомендуется применять низковязкие виды полимеров PAC и PHPA.

Приложение П

ПОРЯДОК СДАЧИ РАБОТ

П.1 Проложенные методом ГНБ трубопроводы сдаются приемочной комиссии. При приемке оценивается соответствие выполненных работ согласованным проектным решениям либо согласованным в установленном порядке изменениям первоначальных проектных решений.

П.2 Для сдачи работ должны быть подготовлены и представлены следующие документы:

- проект производства работ;

- акты приемки, сертификаты качества, технические паспорта использованных материалов и изделий;

- исполнительная производственная документация, включая: журнал производства работ по форме [23], журнал параметров бурового раствора (приложение К);

- протокол бурения скважины (приложение К);

- акт приемки пилотной скважины (приложение К);

- акт приемки расширенной скважины и готовности ее к протаскиванию (приложение К);

- акт приемки трубопровода для протягивания (приложение К);

- исполнительные чертежи планового положения и продольного профиля трубопровода, проложенного методом ГНБ;

- исполнительные документы по установленным формам для коммуникаций конкретного вида (протоколы испытаний, журналы и акты контроля сварных соединений, изоляции, герметичности, прочностных показателей и др.).

Примечание - Для ЗП сооружаемых установками классов Макси и Мега порядок приемки работ должен быть поэтапным: пилотное бурение, каждое расширение и протаскивание должны быть приняты комиссионно Заказчиком, Генподрядчиком, страховщиком, производителем работ, проектировщиком.

П.3 Обязательность предоставления тех или иных документов определяется приемочной комиссией в зависимости от типа и предназначения проложенных методом ГНБ трубопроводов. Исполнитель работ обязан в рабочем порядке ознакомить всех членов приемочной комиссии с оформленными документами, выполнить их правомочные требования.

П.4 В случае принятия всеми членами приемочной комиссии решения о соответствии выполненных работ по прокладке трубопровода методом ГНБ и их документального оформления установленным требованиям осуществляется приемка работ. По результатам составляется акт приемки подземного перехода трубопровода, выполненного методом ГНБ, по форме, приведенной в приложении К.

П.5 В случае принятия приемочной комиссией решения о несоответствии выполненных работ по прокладке трубопровода методом ГНБ и их документального оформления установленным требованиям исполнитель работ в минимальный срок обязан устранить выявленные недостатки.

Если проложенные методом ГНБ трубопроводы имеют грубые технические несоответствия, которые влекут за собой невозможность их эксплуатации, приемочная комиссия принимает отрицательное решение по приемке работ. Решение оформляется документально в виде акта произвольной формы, в котором фиксируются значения параметров, выявленных на построенном объекте нарушений со ссылками на соответствующие требования проекта, настоящего свода правил или обязательных требований нормативных документов. К акту прикладываются оформленные в установленном порядке протоколы испытаний, иные формы технических заключений, подтверждающие факты несоответствия выполненных работ эксплуатационным требованиям. Несоответствующие эксплуатационным параметрам трубопроводы подлежат перекладке.

Приложение Р

ОСНОВНЫЕ БУКВЕННЫЕ ОБОЗНАЧЕНИЯ ВЕЛИЧИН

a - участки трубопровода вне бурового канала;
- наибольшее из значений прогнозируемого размыва, дноуглубления или мощности техногенного грунта;
- концентрация компонента бурового раствора;
- диаметр предыдущего расширения пилотной скважины;
- диаметр расширителя первой ступени;
- диаметр текущего расширения скважины;
- наружный диаметр трубы;
E - модуль упругости;
F - грунтовый коэффициент расхода бурового раствора;
- коэффициент учета расхода бурового раствора на сопутствующие технологические операции;
- глубина заложения от верха трубы до дна водоема;
- коэффициент надежности;
- коэффициент учета потерь бурового раствора при использовании системы регенерации;
- коэффициент запаса по тяге буровой установки;
- коэффициент запаса по мощности буровой установки;
- длина плети трубопровода;
L - расчетная длина скважины по профилю перехода;
l - длина звена трубы ВЧШГ прокладываемого трубопровода;
M - крутящий момент, развиваемый буровой установкой для проходки или расширения скважины;
- количество компонента бурового раствора на соответствующий этап;
N - число труб в пучке;
- сила тяги буровой установки;
- масса 1 пог. м протягиваемой трубы;
- усилие протягивания трубопровода;
- радиус изгиба трассы прокладки трубопровода;
- минимальный допустимый радиус изгиба трубы;
- комбинированный радиус изгиба трассы, м;
- минимально допустимый радиус изгиба для пучка труб;
- радиус изгиба трассы в вертикальной плоскости, м;
- радиус изгиба трассы в горизонтальной плоскости, м;
- радиус технологического перегиба;
- расчетное сопротивление растяжению материала труб и стыковых соединений;
- минимальный допустимый радиус изгиба буровых штанг;
s - толщина стенки трубы;
- расчетное время для проходки пилотной скважины;
- время расширения в расчете на длину перехода;
- расчетный объем бурового раствора;
- объем воды, придающий нулевую плавучесть;
- объем бурового раствора на затягивание трубопровода;
- объем бурового раствора на калибровку скважины;
- объем бурового раствора на проходку пилотной скважины;
- необходимый начальный объем бурового раствора;
- объем приготовляемого бурового раствора на весь объем или на очередной этап;
- объем бурового раствора на расширение скважины;
- интенсивность подачи бурового раствора при протягивании;
- интенсивность подачи бурового раствора при калибровке;
- интенсивность подачи бурового раствора на пилотное бурение;
- интенсивность подачи бурового раствора при расширении;
- допускаемый угол отклонения в соединении, град;
- возможное увеличение фактической длины бурового канала (перебур);
- плотность бурового раствора;
- продольное осевое растягивающее напряжение в стенке трубы от протягивания трубопровода;
- скорость бурения пилотной скважины;
- расчетная скорость протягивания.

БИБЛИОГРАФИЯ

[1] Федеральный закон от 29 декабря 2004 г. N 190-ФЗ "Градостроительный кодекс Российской Федерации"
[2] Федеральный закон от 26 июня 2008 г. N 102-ФЗ "Об обеспечении единства измерений"
[3] Федеральный закон от 3 июня 2006 г. N 74-ФЗ "Водный кодекс Российской Федерации"
[4] СП 11-104-97 Инженерно-геодезические изыскания для строительства
[5] Инструкция о пересечении железнодорожных линий ОАО "РЖД" инженерными коммуникациями (утверждена распоряжением Открытого акционерного общества "Российские железные дороги" от 16 мая 2014 г. N 1198р)
[6] ВСН 162-69 Инструкция на тампонаж разведочных и стационарных скважин, пробуренных в процессе проведения инженерно-геологических изысканий для строительства метрополитенов и горных тоннелей
[7] СП 11-105-97 Инженерно-геологические изыскания для строительства
[8] Постановление Правительства Российской Федерации от 16 февраля 2008 г. N 87 "О составе разделов проектной документации и требованиях к их содержанию"
[9] СП 42-101-2003 Общие положения по проектированию и строительству газораспределительных систем из металлических и полиэтиленовых труб
[10] Приказ Федеральной службы по экологическому, технологическому и атомному надзору от 25 марта 2014 г. N 116 "Об утверждении Федеральных норм и правил в области промышленной безопасности "Правила промышленной безопасности опасных производственных объектов, на которых используется оборудование, работающее под избыточным давлением" (зарегистрирован в Министерстве юстиции Российской Федерации 19 мая 2014 г., регистрационный N 32326)
В связи с утратой силы Приказа Ростехнадзора от 25.03.2014 N 116 с 01.01.2021 следует руководствоваться принятым взамен Приказом Ростехнадзора от 15.12.2020 N 536.
[11] СП 40-102-2000 Проектирование и монтаж трубопроводов систем водоснабжения и канализации из полимерных материалов. Общие требования
[12] ПУЭ Правила устройства электроустановок (7-е изд.)
[13] СНиП 12-03-2001 Безопасность труда в строительстве. Часть 1. Общие требования
[14] СНиП 12-04-2002 Безопасность труда в строительстве. Часть 2. Строительное производство
[15] СП 12-136-2002 Решения по охране труда и промышленной безопасности в проектах организации строительства и проектах производства работ
[16] ПБ 03-428-02 Правила безопасности при строительстве подземных сооружений
[17] МДС 11-21.2009 Методика определения точного местоположения и глубины залегания, а также разрывов подземных коммуникаций (силовых, сигнальных кабелей, трубопроводов газо-, водоснабжения и др.), предотвращающих их повреждения при проведении земляных работ
[18] РД-91.040.00-КТН-308-09 Строительство подводных переходов нефтепроводов способом наклонно-направленного бурения
[19] РД-11-05-2007 Порядок ведения общего и (или) специального журнала учета выполнения работ при строительстве, реконструкции, капитальном ремонте объектов капитального строительства
[20] РД-11-02-2006 Требования к составу и порядку ведения исполнительной документации при строительстве, реконструкции, капитальном ремонте объектов капитального строительства и требования, предъявляемые к актам освидетельствования работ, конструкций, участков сетей инженерно-технического обеспечения
[21] СТО Газпром 18000.1-001-2014 Единая система управления охраной труда и промышленной безопасностью в ОАО "Газпром". Основные положения
[22] Приказ Министерства труда и социальной защиты Российской Федерации от 22 декабря 2014 г. N 1073н "Об утверждении профессионального стандарта "Оператор комплекса горизонтального направленного бурения в строительстве" (зарегистрирован в Министерстве юстиции Российской Федерации 20 января 2015 г., регистрационный N 35602)
[23] Приказ Федеральной службы по экологическому, технологическому и атомному надзору от 12 марта 2013 г. N 101 "Об утверждении Федеральных норм и правил в области промышленной безопасности "Правила безопасности в нефтяной и газовой промышленности" (зарегистрирован в Министерстве юстиции Российской Федерации 19 апреля 2013 г., регистрационный N 28222)
В связи с утратой силы Приказа Ростехнадзора от 12.03.2013 N 101 с 01.01.2021 следует руководствоваться принятым взамен Приказом Ростехнадзора от 15.12.2020 N 534.
[24] Приказ Министерства энергетики Российской Федерации от 13 января 2003 г. N 6 "Об утверждении Правил технической эксплуатации электроустановок потребителей" (зарегистрирован в Министерстве юстиции Российской Федерации 22 января 2003 г., регистрационный N 4145)
[25] СН 2.2.4/2.1.8.562-96 Шум на рабочих местах, в помещениях жилых, общественных зданий и на территории жилой застройки
СН 2.2.4/2.1.8.562-96 отменен. Взамен него с 01.03.2021 введен в действие СанПиН 1.2.3685-21.
[26] СП 2.1.5.1059-01 Гигиенические требования к охране подземных вод от загрязнения