Постановление Правительства РФ от 29.10.2021 N 1855

"О внесении изменений в Правила предоставления в 2021 году иных межбюджетных трансфертов, имеющих целевое назначение, из федерального бюджета бюджетам субъектов Российской Федерации и бюджету г. Байконура, источником финансового обеспечения которых являются бюджетные ассигнования резервного фонда Правительства Российской Федерации, в целях финансового обеспечения расходных обязательств субъектов Российской Федерации и г. Байконура по предоставлению межбюджетных трансфертов бюджету соответствующего территориального фонда обязательного медицинского страхования на дополнительное финансовое обеспечение оказания медицинской помощи лицам, застрахованным по обязательному медицинскому страхованию, в том числе с заболеванием и (или) подозрением на заболевание новой коронавирусной инфекцией (COVID-19), в рамках реализации территориальных программ обязательного медицинского страхования"
Редакция от 29.10.2021 — Действует с 30.10.2021

ПРАВИТЕЛЬСТВО РОССИЙСКОЙ ФЕДЕРАЦИИ

ПОСТАНОВЛЕНИЕ
от 29 октября 2021 г. N 1855

О ВНЕСЕНИИ ИЗМЕНЕНИЙ В ПРАВИЛА ПРЕДОСТАВЛЕНИЯ В 2021 ГОДУ ИНЫХ МЕЖБЮДЖЕТНЫХ ТРАНСФЕРТОВ, ИМЕЮЩИХ ЦЕЛЕВОЕ НАЗНАЧЕНИЕ, ИЗ ФЕДЕРАЛЬНОГО БЮДЖЕТА БЮДЖЕТАМ СУБЪЕКТОВ РОССИЙСКОЙ ФЕДЕРАЦИИ И БЮДЖЕТУ Г. БАЙКОНУРА, ИСТОЧНИКОМ ФИНАНСОВОГО ОБЕСПЕЧЕНИЯ КОТОРЫХ ЯВЛЯЮТСЯ БЮДЖЕТНЫЕ АССИГНОВАНИЯ РЕЗЕРВНОГО ФОНДА ПРАВИТЕЛЬСТВА РОССИЙСКОЙ ФЕДЕРАЦИИ, В ЦЕЛЯХ ФИНАНСОВОГО ОБЕСПЕЧЕНИЯ РАСХОДНЫХ ОБЯЗАТЕЛЬСТВ СУБЪЕКТОВ РОССИЙСКОЙ ФЕДЕРАЦИИ И Г. БАЙКОНУРА ПО ПРЕДОСТАВЛЕНИЮ МЕЖБЮДЖЕТНЫХ ТРАНСФЕРТОВ БЮДЖЕТУ СООТВЕТСТВУЮЩЕГО ТЕРРИТОРИАЛЬНОГО ФОНДА ОБЯЗАТЕЛЬНОГО МЕДИЦИНСКОГО СТРАХОВАНИЯ НА ДОПОЛНИТЕЛЬНОЕ ФИНАНСОВОЕ ОБЕСПЕЧЕНИЕ ОКАЗАНИЯ МЕДИЦИНСКОЙ ПОМОЩИ ЛИЦАМ, ЗАСТРАХОВАННЫМ ПО ОБЯЗАТЕЛЬНОМУ МЕДИЦИНСКОМУ СТРАХОВАНИЮ, В ТОМ ЧИСЛЕ С ЗАБОЛЕВАНИЕМ И (ИЛИ) ПОДОЗРЕНИЕМ НА ЗАБОЛЕВАНИЕ НОВОЙ КОРОНАВИРУСНОЙ ИНФЕКЦИЕЙ (COVID-19), В РАМКАХ РЕАЛИЗАЦИИ ТЕРРИТОРИАЛЬНЫХ ПРОГРАММ ОБЯЗАТЕЛЬНОГО МЕДИЦИНСКОГО СТРАХОВАНИЯ

Правительство Российской Федерации постановляет:

1. Утвердить прилагаемые изменения, которые вносятся в Правила предоставления в 2021 году иных межбюджетных трансфертов, имеющих целевое назначение, из федерального бюджета бюджетам субъектов Российской Федерации и бюджету г. Байконура, источником финансового обеспечения которых являются бюджетные ассигнования резервного фонда Правительства Российской Федерации, в целях финансового обеспечения расходных обязательств субъектов Российской Федерации и г. Байконура по предоставлению межбюджетных трансфертов бюджету соответствующего территориального фонда обязательного медицинского страхования на дополнительное финансовое обеспечение оказания медицинской помощи лицам, застрахованным по обязательному медицинскому страхованию, в том числе с заболеванием и (или) подозрением на заболевание новой коронавирусной инфекцией (COVID-19), в рамках реализации территориальных программ обязательного медицинского страхования, утвержденные постановлением Правительства Российской Федерации от 7 августа 2021 г. N 1310 "Об утверждении Правил предоставления в 2021 году иных межбюджетных трансфертов, имеющих целевое назначение, из федерального бюджета бюджетам субъектов Российской Федерации и бюджету г. Байконура, источником финансового обеспечения которых являются бюджетные ассигнования резервного фонда Правительства Российской Федерации, в целях финансового обеспечения расходных обязательств субъектов Российской Федерации и г. Байконура по предоставлению межбюджетных трансфертов бюджету соответствующего территориального фонда обязательного медицинского страхования на дополнительное финансовое обеспечение оказания медицинской помощи лицам, застрахованным по обязательному медицинскому страхованию, в том числе с заболеванием и (или) подозрением на заболевание новой коронавирусной инфекцией (COVID-19), в рамках реализации территориальных программ обязательного медицинского страхования" (Собрание законодательства Российской Федерации, 2021, N 33, ст. 6106).

2. Настоящее постановление вступает в силу со дня его официального опубликования.

Председатель Правительства
Российской Федерации
М. МИШУСТИН

УТВЕРЖДЕНЫ
постановлением Правительства
Российской Федерации
от 29 октября 2021 г. N 1855

ИЗМЕНЕНИЯ, КОТОРЫЕ ВНОСЯТСЯ В ПРАВИЛА ПРЕДОСТАВЛЕНИЯ В 2021 ГОДУ ИНЫХ МЕЖБЮДЖЕТНЫХ ТРАНСФЕРТОВ, ИМЕЮЩИХ ЦЕЛЕВОЕ НАЗНАЧЕНИЕ, ИЗ ФЕДЕРАЛЬНОГО БЮДЖЕТА БЮДЖЕТАМ СУБЪЕКТОВ РОССИЙСКОЙ ФЕДЕРАЦИИ И БЮДЖЕТУ Г. БАЙКОНУРА, ИСТОЧНИКОМ ФИНАНСОВОГО ОБЕСПЕЧЕНИЯ КОТОРЫХ ЯВЛЯЮТСЯ БЮДЖЕТНЫЕ АССИГНОВАНИЯ РЕЗЕРВНОГО ФОНДА ПРАВИТЕЛЬСТВА РОССИЙСКОЙ ФЕДЕРАЦИИ, В ЦЕЛЯХ ФИНАНСОВОГО ОБЕСПЕЧЕНИЯ РАСХОДНЫХ ОБЯЗАТЕЛЬСТВ СУБЪЕКТОВ РОССИЙСКОЙ ФЕДЕРАЦИИ И Г. БАЙКОНУРА ПО ПРЕДОСТАВЛЕНИЮ МЕЖБЮДЖЕТНЫХ ТРАНСФЕРТОВ БЮДЖЕТУ СООТВЕТСТВУЮЩЕГО ТЕРРИТОРИАЛЬНОГО ФОНДА ОБЯЗАТЕЛЬНОГО МЕДИЦИНСКОГО СТРАХОВАНИЯ НА ДОПОЛНИТЕЛЬНОЕ ФИНАНСОВОЕ ОБЕСПЕЧЕНИЕ ОКАЗАНИЯ МЕДИЦИНСКОЙ ПОМОЩИ ЛИЦАМ, ЗАСТРАХОВАННЫМ ПО ОБЯЗАТЕЛЬНОМУ МЕДИЦИНСКОМУ СТРАХОВАНИЮ, В ТОМ ЧИСЛЕ С ЗАБОЛЕВАНИЕМ И (ИЛИ) ПОДОЗРЕНИЕМ НА ЗАБОЛЕВАНИЕ НОВОЙ КОРОНАВИРУСНОЙ ИНФЕКЦИЕЙ (COVID-19), В РАМКАХ РЕАЛИЗАЦИИ ТЕРРИТОРИАЛЬНЫХ ПРОГРАММ ОБЯЗАТЕЛЬНОГО МЕДИЦИНСКОГО СТРАХОВАНИЯ

1. В пункте 5 слова "с 1 января по 30 июня" заменить словами "с 1 января по 31 августа".

2. В пункте 7:

а) абзац первый после слов "и бюджету г. Байконура ()" дополнить словами "за период с 1 января по 30 июня 2021 г.";

б) абзац четвертый дополнить словами "за период с 1 января по 30 июня 2021 г.";

в) абзац шестой после слов "(109,1 тыс. рублей)" дополнить словами "с 1 января по 30 июня 2021 г.".

3. Дополнить пунктом 7.1 следующего содержания:

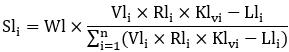
"7.1. Размер дополнительных бюджетных ассигнований в целях предоставления иного межбюджетного трансферта бюджету i-го субъекта Российской Федерации и бюджету г. Байконура () за период с 1 января по 31 августа 2021 г. определяется по формуле:

,

где:

Wl - объем бюджетных ассигнований федерального бюджета на предоставление иных межбюджетных трансфертов бюджетам субъектов Российской Федерации и бюджету г. Байконура за период с 1 января по 31 августа 2021 г.;

- объем медицинской помощи, оказанной в i-м субъекте Российской Федерации или г. Байконуре застрахованным по обязательному медицинскому страхованию лицам с заболеванием и (или) подозрением на заболевание новой коронавирусной инфекцией (COVID-19) (по кодам U07.1, U07.2) в условиях круглосуточного стационара за период с 1 января по 31 августа 2021 г., по результатам контроля объемов, сроков, качества и условий предоставления медицинской помощи, а также ее финансового обеспечения с учетом неоплаченных счетов и реестров счетов в связи с превышением медицинской организацией объемов предоставления и (или) финансового обеспечения медицинской помощи, распределенных медицинской организации в соответствии с частью 10 статьи 36 Федерального закона "Об обязательном медицинском страховании в Российской Федерации";

- стоимость госпитализации застрахованных по обязательному медицинскому страхованию лиц с заболеванием и (или) подозрением на заболевание новой коронавирусной инфекцией (COVID-19) в условиях круглосуточного стационара в i-м субъекте Российской Федерации или г. Байконуре в размере не более средней стоимости госпитализации пациентов с заболеванием и (или) подозрением на заболевание новой коронавирусной инфекцией (COVID-19) в условиях круглосуточного стационара, фактически сложившейся в Российской Федерации с 1 января по 31 августа 2021 г. (103,7 тыс. рублей), скорректированной на стоимость госпитализаций пациентов с неинфекционными заболеваниями в условиях круглосуточного стационара, рассчитанную исходя из среднего норматива финансовых затрат на один случай госпитализации (за исключением медицинской помощи, финансовое обеспечение которой осуществляется в соответствии с пунктом 11 статьи 5 Федерального закона "Об обязательном медицинском страховании в Российской Федерации"), установленного Программой государственных гарантий бесплатного оказания гражданам медицинской помощи на 2021 год и на плановый период 2022 и 2023 годов, утвержденной постановлением Правительства Российской Федерации от 28 декабря 2020 г. N 2299 "О Программе государственных гарантий бесплатного оказания гражданам медицинской помощи на 2021 год и на плановый период 2022 и 2023 годов", с учетом коэффициента дифференциации 2021 года для i-го субъекта Российской Федерации или г. Байконура, рассчитанного в соответствии с методикой распределения субвенций, предоставляемых из бюджета Федерального фонда обязательного медицинского страхования бюджетам территориальных фондов обязательного медицинского страхования на осуществление переданных органам государственной власти субъектов Российской Федерации полномочий Российской Федерации в сфере обязательного медицинского страхования, утвержденной постановлением Правительства Российской Федерации от 5 мая 2012 г. N 462 "О порядке распределения, предоставления и расходования субвенций из бюджета Федерального фонда обязательного медицинского страхования бюджетам территориальных фондов обязательного медицинского страхования на осуществление переданных органам государственной власти субъектов Российской Федерации полномочий Российской Федерации в сфере обязательного медицинского страхования";

- значение коэффициента, характеризующего выполнение объема предоставления медицинской помощи в условиях круглосуточного стационара за период с 1 января по 31 августа 2021 г., установленного в территориальной программе обязательного медицинского страхования i-го субъекта Российской Федерации или г. Байконура (если значение коэффициента больше 1, его значение принимается равным 1);

- размер иных межбюджетных трансфертов, распределенных в соответствии с распоряжениями Правительства Российской Федерации от 25 июня 2021 г. N 1722-р и от 20 июля 2021 г. N 1997-р бюджету i-го субъекта Российской Федерации или бюджету г. Байконура.".

4. В пункте 9 слова "с 1 января по 30 июня" заменить словами "с 1 января по 31 августа".