Приказ Росстата от 29.05.2020 N 277

"Об утверждении Указаний по заполнению формы федерального статистического наблюдения N 29-СХ "Сведения о сборе урожая сельскохозяйственных культур"
Редакция от 29.05.2020 — Документ утратил силу, см. «Приказ Росстата от 29.07.2022 N 530»

ФЕДЕРАЛЬНАЯ СЛУЖБА ГОСУДАРСТВЕННОЙ СТАТИСТИКИ

ПРИКАЗ
от 29 мая 2020 г. N 277

ОБ УТВЕРЖДЕНИИ УКАЗАНИЙ ПО ЗАПОЛНЕНИЮ ФОРМЫ ФЕДЕРАЛЬНОГО СТАТИСТИЧЕСКОГО НАБЛЮДЕНИЯ N 29-СХ "СВЕДЕНИЯ О СБОРЕ УРОЖАЯ СЕЛЬСКОХОЗЯЙСТВЕННЫХ КУЛЬТУР"

В соответствии с подпунктом 5.5 Положения о Федеральной службе государственной статистики, утвержденного постановлением Правительства Российской Федерации от 2 июня 2008 г. N 420, и во исполнение позиции 1.16.10 Федерального плана статистических работ, утвержденного распоряжением Правительства Российской Федерации от 6 мая 2008 г. N 671-р, приказываю:

1. Утвердить прилагаемые Указания по заполнению формы федерального статистического наблюдения N 29-СХ "Сведения о сборе урожая сельскохозяйственных культур" и ввести их в действие с отчета за 2021 год.

2. С введением в действие указанных в пункте 1 настоящего приказа Указаний по заполнению формы федерального статистического наблюдения N 29-СХ "Сведения о сборе урожая сельскохозяйственных культур" признать утратившим силу приказ Росстата от 15 августа 2011 г. N 354 "Об утверждении Указаний по заполнению формы федерального статистического наблюдения N 29-СХ "Сведения о сборе урожая сельскохозяйственных культур".

Руководитель
П.В. МАЛКОВ

Приложение

УТВЕРЖДЕНЫ
приказом Росстата
от 29.05.2020 N 277

УКАЗАНИЯ ПО ЗАПОЛНЕНИЮ ФОРМЫ ФЕДЕРАЛЬНОГО СТАТИСТИЧЕСКОГО НАБЛЮДЕНИЯ N 29-СХ "СВЕДЕНИЯ О СБОРЕ УРОЖАЯ СЕЛЬСКОХОЗЯЙСТВЕННЫХ КУЛЬТУР"

I. ОБЩИЕ ПОЛОЖЕНИЯ

1. Форму федерального статистического наблюдения N 29-СХ "Сведения о сборе урожая сельскохозяйственных культур" (далее - форма) предоставляют юридические лица, осуществляющие сельскохозяйственную деятельность, кроме субъектов малого предпринимательства и крестьянских (фермерских) хозяйств.

Юридические лица предоставляют форму в территориальный орган Росстата по окончании уборки и оприходования урожая, но не позднее 21 ноября, из них осуществляющие производство продукции растениеводства в закрытом грунте - 21 ноября отчетного года и 10 января после отчетного периода.

В случае если день срока предоставления первичных статистических данных (далее - данные) отчитывающимися субъектами приходится на нерабочий день, таким днем считается ближайший следующий за ним рабочий день.

Сельскохозяйственные организации, проводившие уборку урожая поздних сельскохозяйственных культур (кукуруза, подсолнечник, сахарная свекла) после отчетной даты, указанной на форме (21 ноября), также предоставляют 10 января после отчетного периода уточненные данные об убранных площадях и валовых сборах сельскохозяйственных культур взамен ранее отправленных за подписью руководителя организации с сопроводительным письмом об уточнении отчетных данных.

Убранные площади и сбор продукции после перезимовки сельскохозяйственных культур в отчет не включаются.

По форме за отчетный период возможно направление респондентом подписанного в установленном порядке отчета по форме, не заполненного значениями показателей ("пустого" отчета по форме).

Во всех представляемых отчетах такого вида должен заполняться исключительно титульный раздел формы, а в остальных разделах не должны указываться никакие значения данных, в том числе нулевые и прочерки.

Организации-банкроты, на которых введено конкурсное производство, не освобождаются от предоставления данных по форме. Только после вынесения определения арбитражного суда о завершении в отношении организации конкурсного производства и внесения в единый государственный реестр юридических лиц записи о его ликвидации (пункт 3 статья 149 Федерального закона от 26 октября 2002 г. N 127-ФЗ "О несостоятельности (банкротстве)") организация-должник считается ликвидированной и освобождается от предоставления данных.

Форму предоставляют также филиалы, представительства и подразделения действующих на территории Российской Федерации иностранных организаций в порядке, установленном для юридических лиц.

2. При наличии у юридического лица обособленных подразделений, форма федерального статистического наблюдения заполняется как по каждому обособленному подразделению <1>, так и по юридическому лицу без этих обособленных подразделений.

<1> Обособленное подразделение организации - любое территориально обособленное от нее подразделение, по месту нахождения которого оборудованы стационарные рабочие места. Признание обособленного подразделения организации таковым производится независимо от того, отражено или не отражено его создание в учредительных или иных организационно-распорядительных документах организации, и от полномочий, которыми наделяется указанное подразделение. При этом рабочее место считается стационарным, если оно создается на срок более одного месяца (пункт 2 статья 11 Налогового кодекса Российской Федерации).

Заполненные формы предоставляются юридическим лицом в территориальные органы Росстата по месту фактического осуществления деятельности юридического лица (обособленного подразделения).

При наличии у юридического лица обособленных подразделений, осуществляющих деятельность за пределами Российской Федерации, сведения по ним в настоящую форму не включаются.

В случае заключения договора на аренду земли арендатор предоставляет форму в орган Росстата в субъекте Российской Федерации по месту нахождения земли.

3. Руководитель юридического лица назначает должностных лиц, уполномоченных предоставлять данные от имени юридического лица (в том числе в обособленных подразделениях).

4. При реорганизации юридического лица в форме преобразования юридическое лицо, являющееся правопреемником, с момента своего создания должно предоставлять отчет по форме (включая данные реорганизованного юридического лица) в срок, указанный на бланке формы за период с начала отчетного года, в котором произошла реорганизация.

5. В адресной части формы указывается полное наименование отчитывающейся организации в соответствии с учредительными документами, зарегистрированными в установленном порядке, а затем в скобках - краткое наименование. На бланке формы, содержащей сведения по обособленному подразделению юридического лица, указывается наименование обособленного подразделения и юридического лица, к которому оно относится.

По строке "Почтовый адрес" указывается наименование субъекта Российской Федерации, юридический адрес с почтовым индексом; если фактический адрес не совпадает с юридическим, то указывается фактическое местонахождение респондента (почтовый адрес). Для обособленных подразделений, не имеющих юридического адреса, указывается почтовый адрес с почтовым индексом.

В кодовой части титульного листа формы на основании Уведомления о присвоении кода ОКПО (идентификационного номера), размещенного на интернет-портале Росстата по адресу: http://websbor.gks.ru/online/#!/gs/statistic-codes, отчитывающаяся организация проставляет:

код по Общероссийскому классификатору предприятий и организаций (ОКПО) - для юридического лица, не имеющего территориально обособленных подразделений;

идентификационный номер - для территориально обособленного подразделения юридического лица и для головного подразделения юридического лица.

В качестве головного подразделения юридического лица выступает обособленное подразделение, где находится администрация предприятия или местонахождение которого соответствует зарегистрированному юридическому адресу.

6. Данные приводятся в тех единицах измерения, которые указаны в форме.

7. Данные о размерах убранной площади и собранного урожая необходимо сопоставить с данными оперативной отчетности по форме федерального статистического наблюдения N П-1(СХ) "Сведения о производстве и отгрузке сельскохозяйственной продукции". Все случаи расхождения данных должны быть объяснены в пояснении к отчету по форме.

II. ЗАПОЛНЕНИЕ ПОКАЗАТЕЛЕЙ ФОРМЫ N 29-СХ

Раздел 1. Сельскохозяйственные культуры

8. В графе 4 данного раздела отражаются уточненные данные о посевных площадях, показанные в отчете по форме N 4-СХ "Сведения об итогах сева под урожай", с учетом фактических посевов поздних культур под урожай текущего года, произведенных в хозяйстве после сдачи отчета по форме N 4-СХ (например, летних посадок картофеля), а также с учетом хозяйственного использования посевов (на зерно, зеленый корм, сено и так далее).

В посевных площадях указывают посевы:

озимых культур и многолетних сеяных трав, сохранившихся к концу массового сева яровых;

яровых культур - вся засеянная весной площадь, не исключая летней гибели.

К погибшим озимым следует относить:

озимые, полностью погибшие в осенне-зимний период до начала массового сева яровых (независимо от того, пересевались они яровыми посевами или нет);

озимые, погибшие весной и пересеянные яровыми культурами;

не пересеянные площади погибших весной озимых, на которых сохранились подсеянные многолетние травы (подробно этот вопрос описан в указаниях по заполнению формы N 4-СХ, которые размещены на интернет-портале Росстата по адресу: www.gks.ru/Респондентам/Формы федерального статистического наблюдения и формы бухгалтерской (финансовой) отчетности/Альбом форм федерального статистического наблюдения/Поиск по формам (4-СХ).

Если на площади озимых культур, использованных на зеленый корм или силос, в текущем году до окончания весеннего сева были произведены посевы яровых культур, то посевы этих яровых культур показываются в отчете по соответствующей яровой культуре как основные посевы и включаются в общую посевную площадь. В этом случае посевы озимых культур, использованные на зеленый корм или силос, учитываются как промежуточные посевы по строке 1606 и в общую посевную площадь не включаются.

Если погибшие в летний период культуры были пересеяны другими культурами, то в отчете должны быть показаны посевные площади тех культур, которыми был произведен пересев, и сбор урожая этих культур.

В случае когда площадь посева той или иной культуры была использована не по первоначальному назначению, в графе 4 эта площадь отражается по фактическому использованию. Так, если посевы зерновых и зернобобовых культур, произведенные на сено, зеленый корм или силос и учтенные по форме N 4-СХ в числе посевов однолетних трав или посевов на силос, фактически убирались на зерно, то в отчете по форме N 29-СХ они должны быть показаны не в группе кормовых культур, а в группе зерновых и зернобобовых по соответствующей культуре.

Пример. В хозяйстве весной было посеяно 20 га гороха на силос. К отчетному сроку убрали на силос только 5 га, а остальные 15 га убрали на зерно. В этом случае в отчете по форме N 29-СХ убранные 5 га гороха на силос следует показать по строке 1409, а остальные 15 га гороха - по строке 1123 в группе зернобобовых культур.

Также, если посевы кукурузы производились для получения зеленой массы, а фактически убирались на зерно в полной спелости, то они должны быть показаны в группе зерновых культур по строке 1117.

Вместе с тем посевы зерновых культур (озимых и яровых), погибших в летний период и не пересеянных (в том числе и использованных на выпас, сено, зеленый корм и силос), из числа зерновых культур не исключаются и, следовательно, не переводятся в число кормовых культур.

Если отдельные участки посевов (из числа не погибших) весной предназначались на зерно, а фактически были убраны и использованы на сено, зеленый корм, силос, а также для получения гранул и брикетов, то они показываются в группе кормовых культур по однолетним травам или силосным культурам с обязательным объяснением причин такого перевода из зерновых культур.

9. В строках 1238, 1324, 1434 показываются итоги посевной площади по группам культур, в строке 1440 - вся посевная площадь под урожай отчетного года.

Из общей посевной площади выделяются площади посева:

предварительных культур на распаханных лугах и пастбищах в порядке их коренного улучшения (строка 1441);

в междурядьях садов (строка 1442).

По итоговой строке 1140 показываются посевная и убранная площади, а также валовой сбор и урожайность зерновых и зернобобовых культур.

В справочных сведениях по строке 1614 приводятся площади только чистых паров, предназначенных под посев озимых культур осенью текущего года, а также под посев яровых культур в будущем году.

В эту строку включаются:

черные пары, то есть чистые пары, поднятые осенью прошлого года под посевы озимых текущего года;

кулисные чистые пары, на которых произведен посев высокостебельных культур с целью задержания зимой снега на полях и борьбы с эрозией почв;

сидеральные пары, на которых произведен посев люпина и других бобовых культур на зеленое удобрение;

ранние пары, то есть чистые пары, обработка которых начинается весной в год парования.

Не включаются в эту строку:

занятые пары (кроме сидеральных);

перепашка паров;

черные пары, поднятые осенью прошлого года, но фактически использованные под посев яровых культур текущего года;

площади, вспаханные на вновь осваиваемых в текущем году залежных землях.

По строке 1625 показывается площадь повторных (пожнивных), междурядных (уплотненных) посевов, из них в строке 1630 выделяются кормовые культуры, в том числе кукуруза на силос и зеленый корм - в строке 1631.

10. В графе 5 показывается общая площадь уборки:

по зерновым и зернобобовым культурам, семенам технических культур и трав - площадь, с которой произведен обмолот;

по остальным культурам - вся фактически убранная к отчетному сроку площадь, включая ту площадь, с которой собран урожай, но еще полностью не учтен и не оприходован.

Уточненная посевная площадь и общая площадь уборки приводятся в целых гектарах.

В случае если площадь уборки окажется меньше посевной площади (за счет летней гибели посевов или по каким-либо другим причинам), в примечании к отчету (или в сопроводительном письме к отчету) необходимо дать объяснение.

11. В графе 6 показывается фактический сбор урожая в первоначально оприходованном весе - все количество продукции соответствующего вида, сбор урожая которой к отчетному сроку полностью учтен и оприходован в физическом весе, а также продукция, собранная, но не взвешенная и не оприходованная.

12. В графе 7 по зерновым и зернобобовым культурам, масличным (подсолнечнику, сое, рапсу и другим), эфиромасличным культурам, однолетним и многолетним травам на семена показывается все количество зерна и семян этих культур в весе после доработки (то есть за вычетом неиспользуемых отходов и усушки при доработке в хозяйстве).

Соломка льна-долгунца, конопли, картофель, продукция овощных, бахчевых и кормовых культур учитывается в физическом (первоначально оприходованном) весе, сахарной свеклы, табака - в физическом и зачетном весе.

Сбор урожая приводится в целых центнерах (допускается запись с десятичными знаками после запятой в случае малых величин).

13. В графе 8 показывается сбор урожая с повторных (пожнивных), промежуточных, междурядных (уплотненных) посевов (при наличии их в хозяйстве). Здесь же учитывается сбор падалицы по соответствующим культурам.

14. В графе 9 приводится средний сбор с 1 гектара убранной площади в центнерах с точностью до одной десятой по всем сельскохозяйственным культурам. Сбор с 1 гектара зерновых и зернобобовых культур, семян масличных культур, однолетних и многолетних трав исчисляется путем деления данных графы 7 (валовой сбор в весе после доработки) на данные графы 5 (общая площадь уборки); по другим техническим культурам, картофелю, овощебахчевым и кормовым культурам - путем деления данных графы 6 (валовой сбор в первоначально оприходованном весе) на данные графы 5 (общая площадь уборки).

15. При заполнении данных по отдельным культурам необходимо учитывать следующее.

Кукуруза приводится по видам хозяйственного назначения:

кукуруза в полной спелости на зерно - в числе зерновых и зернобобовых культур;

кукуруза восковой спелости на карнаж, кукуруза в домолочно-восковой, молочно-восковой спелости на силос, зеленый корм (початки и стебли) - в числе кормовых культур.

Сбор урожая кукурузы на зерно в полной спелости учитывается по строке 1117. В графе 6 показывается физический вес зерна, намолоченного комбайнами, а в случае если кукуруза убиралась в початках, - вес этих початков в пересчете на сухое зерно.

Пересчет початков кукурузы в полной спелости на сухое зерно производится по фактическому выходу зерна из початков, определенному хлебоприемными пунктами путем обмолота среднесуточных образцов, с учетом базисной влажности зерна в початках (базисная влажность зерна в початках кукурузы принимается в размере 22%).

Перевод на зерно початков кукурузы полной спелости, оставленных в хозяйстве, производят по среднему проценту выхода зерна базисной влажности с початков кукурузы, поставленных в федеральные и региональные фонды. Этот средний процент устанавливается по данным реестров накладных на принятое зерно следующим образом.

По всем реестрам подсчитывается зачетный вес зерна кукурузы, физический вес початков и фактический вес зерна.

Средний процент выхода зерна исчисляется как отношение:

,

где зачетный вес зерна определяется по фактическому весу зерна с учетом натуральной надбавки или скидки на степень влажности и засоренности.

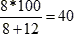
Пример. В хозяйстве по подсчету реестров накладных по кукурузе, сданной на хлебоприемные пункты, получены следующие данные:

физический вес початков - 10 000 кг;

зачетный вес - 7296 кг.

В этом случае процент выхода зерна из початков с учетом надбавки и скидки на степень влажности и засоренности будет равен:

.

На основании данного процента определяется физический вес зерна кукурузы, оставленной в хозяйстве.

Из рассчитанного указанным способом физического веса зерна кукурузы, оставленной в хозяйстве, производится скидка на повышенную сверхбазисную влажность зерна в початках, установленную путем анализа в контрольно-семенной лаборатории. На каждый процент повышенной влажности зерна в початках (свыше базисной - 22%) производится снижение веса зерна в размере одного процента.

Пример. Оставлено в хозяйстве 1000 кг початков кукурузы в полной спелости. Фактический выход зерна из початков, проданных на хлебоприемные пункты (без скидки на повышенную влажность), составляет, как указано выше, 73%. Влажность зерна в початках кукурузы, оставленных в хозяйстве, по данным контрольно-семенной лаборатории, составляет 25%, то есть выше базисной на 3%. Пересчет этого количества початков в зерно производится следующим образом:

1) Определяют физический выход зерна (за вычетом стержней), по проценту выхода зерна из початков:

кг;

2) Из этого количества исключают 3% на повышенную влажность зерна в початках:

кг.

В данном случае физический вес початков кукурузы, оставленных в хозяйстве, будет равен 1000 кг, а в пересчете на сухое зерно - 708 кг (730 - 22).

Итого в хозяйстве будет получено кукурузы в пересчете на сухое зерно в размере 8004 кг (7296 + 708).

Если продажа кукурузы хозяйством не производилась, то початки кукурузы полной спелости переводят в зерно на основании лабораторного анализа.

16. Посевы сорго на зерно, солома которого используется на веники, отражаются в группе зерновых культур по строке 1135. Посевы веничного сорго, которые убираются в стадии молочно-восковой спелости, показываются в прочих технических культурах (строка 1236).

17. В числе зернобобовых культур учитывается отдельными показателями сбор урожая гороха, фасоли, чечевицы, кормовых бобов, вики и виковых смесей (с преобладанием вики), люпина кормового сладкого, нута, прочих зернобобовых (чина, маш и другие), убранных на сухое зерно.

18. Сбор продукции льна-долгунца и конопли показывается в виде семян (в строках 1203, 1206 и 1209 соответственно), соломки (1204, 1207 и 1210) и волокна (1205 и 1208).

Конопля южная показывается только в южных регионах (Краснодарский и Ставропольский края, Республика Адыгея, Кабардино-Балкарская Республика, Республика Северная Осетия - Алания), во всех других коноплесеющих регионах данные о продукции конопли отражаются в соответствующих строках по конопле среднерусской.

По конопле, убираемой на "зеленец", убранная площадь и сбор продукции показываются только по строкам 1207 и 1208, а по южным регионам - по строке 1210.

В графе 4 уточненная посевная площадь льна-долгунца на семена, соломку и волокно (строки 1203 - 1205) отражается одним показателем.

В графе 5 по льну-долгунцу и конопле на семена показывается площадь, с которой фактически произведен обмолот, а в графе 6 - количество намолоченных и очищенных семян с этой площади.

По льну-долгунцу и конопле на волокно убранной площадью считается площадь, на которой произведено теребление, независимо от того, полностью ли в дальнейшем произведена с этой площади обработка соломы или нет.

По конопле, в случае использования весенней технологии уборки стеблей конопли, согласно которой стебли остаются в поле в стоячем состоянии до весны следующего года, в строках 1207 и 1208 в графе 5 показываются убранные площади конопли, включая площади с посевов предыдущего года (если не были показаны в отчетном году), в графе 6 - сбор продукции, соответствующей убранной площади. (При этом в графе 4 указываются посевные площади только за отчетный год.)

В графе 6 по строкам 1204, 1207 и 1210 указывается фактический сбор соломы льна-долгунца и конопли.

Пересчет продукции льна в волокно производится следующим образом.

Пример. В хозяйстве имеется 120 га посевов льна-долгунца. К отчетному сроку убранная (вытеребленная) площадь льна-долгунца составляет 120 га. С этой площади оприходовано и сдано на льнозаводы: соломой - 600 ц, трестой - 1200 ц, волокном - 80 ц. Кроме того, в наличии имеется тресты в хозяйстве к отчетному сроку - 100 ц.

По данным льнозавода, средний выход волокна по этому хозяйству составляет: из тресты - 25%, из соломы - 19%. В этом случае общий сбор урожая льна-долгунца в переводе на волокно с площади 120 га рассчитывается следующим образом:

ц,

итого - 519 центнеров, или 4,3 ц с гектара.

Таким же образом производится и пересчет продукции конопли в волокно. В вес соломы и волокна среднерусской конопли должны включаться, соответственно, посконь и матерка вместе. В продукцию льноволокна и пеньки включаются длинное волокно, кудель и пакля.

19. Посевная площадь сахарной свеклы и сбор ее, в зависимости от использования, показывается либо по строке 1213, либо по строке 1402.

По строке 1213 указывается сбор сахарной свеклы с посевов, предназначенных для сдачи продукции на сахарные заводы для переработки.

В случае сдачи на заводы сахарной свеклы с посевов, предназначавшихся ранее на корм скоту, сбор продукции и соответствующая этой части урожая площадь в отчете показывается по строке 1213.

В строке 1214 отдельно учитываются маточники сахарной свеклы: в графе 4 - площадь, на которой весной произведен посев сахарной свеклы семенами для получения в текущем году маточных корней; в графе 5 - площадь, на которой выкопаны корни маточной свеклы; в графе 6 - количество выкопанных корней, заложенных на зимнее хранение. Продукция маточной сахарной свеклы в валовой сбор сахарной свеклы не включается.

По строке 1215 в графе 4 отражается площадь, на которой весной произведена посадка маточных корней для получения в текущем году семян сахарной свеклы; в графе 5 - площадь, с которой высадки сахарной свеклы срезаны и обмолочены; в графах 6 и 7 - количество намолоченных семян (в первоначально оприходованном весе и в весе после доработки).

20. В строке 1216 продукция по табаку показывается в зачетном весе, при этом учитывается вся оприходованная продукция из урожая отчетного года - как реализованная, так и оставшаяся или израсходованная в хозяйстве (в пересчете на зачетную массу).

21. По строке 1229 показываются площади посева цикория отчетного года и предыдущих лет, убранная площадь в отчетном году и сбор корней цикория, очищенных от земли и прикорневых листьев, в первоначально оприходованном весе по графе 6 и после подсушки - в графе 7. Трава и цветки цикория в этой строке не показываются.

22. По строке 1230 отражаются данные о площадях и продукции лекарственных культур (в соответствии с классификатором ОКПД2). В графе 6 показывается лекарственное сырье в первоначально оприходованном весе, в графе 7 - в зачетном весе или в весе после подсушки до кондиции сырья, пригодного для хранения.

23. В строках 1237, 1233, 1242, 1243 показываются площади и продукция эфиромасличных культур, кроме культур, выращиваемых для использования в медицинских целях. Посевная площадь отражается одним числом. По строке 1237 показываются убранные площади и сбор урожая семян аниса, бадьяна, кориандра, укропа, тмина и других эфиромасличных, по строке 1242 - убранные площади и сбор урожая необработанных пряностей (перец, тимьян, имбирь, лист лавровый и другие); по строке 1243 - убранные площади и сбор другой продукции эфиромасличных культур (листья, стебли, цветки, кора и другое сырье), предназначенной для использования в парфюмерии, в качестве инсектицидов, фунгицидов и для аналогичных целей.

24. В строке 1235 продукция хлопка-сырца приводится в первоначально оприходованном весе и в зачетном весе.

В первоначально оприходованном весе учитывается весь урожай хлопка-сырца ручного или машинного сбора, исключающий наличие минеральных и органических примесей: камней, обрезков ткани, зеленых коробочек или их створок, крупных зеленых листьев (размером более 4 см2), зеленых сорняков, зазелененных или промасленных долек.

Зачетный вес определяется по кондиционной массе, приведенной к расчетной норме по засоренности и базисной норме по влажности в соответствии с ГОСТом 16298-81 при приеме хлопка-сырца машинного сбора и ГОСТом 10202-71 - при приемке хлопка-сырца ручного сбора.

25. По строке 1301 учитывается весь сбор картофеля - крупного и мелкого, включая картофель, выданный населению за работы по уборке его, а также картофель, полученный в результате перепашки и боронования картофельного поля после основной уборки.

26. По строке 1302 учитывается продукция овощей только с открытого грунта, причем в отчете показывается также продукция и частичного сбора овощей до и после массовой уборки. Из строки 1302 отдельно выделяются основные овощные культуры: капуста всякая, в том числе цветная и брокколи, огурцы, помидоры, свекла столовая, морковь столовая, лук репчатый, чеснок, зеленый горошек, а в строке 1312 отражаются прочие овощи - салат, шпинат, лук на перо, укроп, щавель, перец, столовые корнеплоды (петрушка, сельдерей, пастернак, редька, брюква, редис), горох и фасоль на лопатку, незрелые бобы, кабачки, тыква и другие овощи.

Сбор початков сахарной кукурузы молочной и молочно-восковой спелости для консервирования, использования в свежем виде на продовольствие показывается вместе с прочими овощными культурами (по физическому весу початков - без скидок).

Посевная площадь овощей по культурам приводится в гектарах с одним десятичным знаком, а валовой сбор - в целых центнерах.

Сумма данных по отдельным культурам должна давать общий итог овощей.

27. Площадь и валовой сбор урожая маточников двухлетних овощных культур, семенников однолетних овощных культур, семенников двухлетних и многолетних овощных культур и лука на севок не включаются в площади и валовой сбор овощей и показываются отдельно соответственно в строках 1316, 1317, 1318 и 1319.

По семенникам однолетних овощных культур (огурцы, помидоры и так далее) учитывается площадь, урожай с которой полностью используется для получения семян овощей. При частичном (выборочном) использовании однолетних овощей на семена площадь и продукция их полностью показываются по строке 1302.

Площадь посева овощных сортов гороха (зеленого горошка), урожай с которой собран на семена для реализации или оставлен на семенные цели в хозяйстве, должна учитываться не в числе гороха на зерно (то есть не в числе зерновых и зернобобовых культур), а по строке 1317.

Остальные посевы овощных сортов гороха (зеленого горошка), убранные на зерно, должны учитываться в группе зерновых и зернобобовых культур.

28. В строке 1320 учитываются площади, валовой сбор и урожайность арбузов и дынь.

В строке 1323 отдельно от бахчевых продовольственных культур показываются площади и продукция семенников продовольственных бахчевых культур.

29. В строке 1326 показываются убранная площадь и сбор грибов (шампиньонов, вешенок), выращенных в теплицах, подвалах и других приспособленных помещениях.

30. По строке 1403 показываются площади и валовой сбор маточных кормовых корнеплодов, предназначенных для хранения зимой и высадки их в следующем году как семенники кормовых корнеплодов; по строкам 1404 и 1704 отражаются соответственно площади семенников кормовых корнеплодов и бахчевых кормовых культур, а также валовой сбор семян с этих площадей в первоначально оприходованном весе и в весе после доработки.

31. В строке 1406 показываются посевная и убранная площадь кукурузы, используемой на кормовые цели в домолочно-восковой, молочно-восковой и восковой спелости.

По строке 1416 выделяются данные по кукурузе, убранной на карнаж (плющеное зерно кукурузы), по строкам 1407 и 1408 - о сборе зеленой массы кукурузы на силос и на зеленый корм соответственно.

По кукурузе, убранной на карнаж, в графе 6 показывается физический вес початков кукурузы или намолоченного зерна (в зависимости от способа уборки кукурузы), в графе 7 - вес кукурузы в пересчете на зерно в фазе восковой спелости влажностью 35%.

Пересчет на зерно производят по среднему проценту выхода зерна с початков кукурузы. Средний процент выхода зерна определяется по фактическому выходу зерна из початков путем обмолота среднесуточных образцов.

Пример: из 100 кг обмолоченных початков кукурузы получено 75 кг зерна с влажностью 38%.

Средний процент выхода зерна составляет 75%.

Если общий физический вес початков кукурузы составил 800 центнеров, выход зерна (за вычетом стержней) составит 600 центнеров (75% от 800).

Из этого количества исключают 3% (38 - 35) на повышенную влажность зерна в початках - 18 кг (3% от 600).

В данном случае объем зерна в пересчете на влажность 35% составит 582 центнера (600 - 18).

Урожай кукурузы, скормленной скоту путем выпаса, в отчете не отражается.

32. В строке 1409 показываются площади всех культур на силос (кроме кукурузы) и сбор урожая зеленой массы, полученной только с этой площади. Многолетние травы, использованные на силос, а также засилосованная масса дикорастущих растений, листьев капусты, ботвы (картофеля, кормовых корнеплодов, сахарной свеклы и так далее) и трав с естественных сенокосов в этот показатель не включаются.

33. По строкам 1411, 1417 и 1443 учитываются площади однолетних, многолетних беспокровных и подпокровных многолетних трав посева текущего года (включая посев осени прошлого года), предназначенные для использования на сено, зеленый корм, на выпас и на семена. Из общей площади однолетних трав выделяются данные по площади озимых, использованных на зеленый корм, сено и выпас, на которой в текущем году не были посеяны яровые культуры, и записываются в строке 1616.

34. В строке 1606 показываются как промежуточные посевы площади озимых культур, которые были использованы на зеленый корм и силос, а затем на этой площади до окончания весеннего сева были посеяны яровые культуры. Валовой сбор с этих посевов отражается в графе 8 по фактическому использованию: в строке 1413 - на зеленый корм, в строке 1409 - на силос.

35. По строке 1421 указываются сохранившиеся к концу сева яровых посевы прошлых лет на сено, зеленый корм, на выпас и на семена с учетом сроков продуктивного использования посевов многолетних трав.

По агротехническим нормам продуктивное использование многолетних трав начинается для клевера, люцерны, эспарцета - со 2-го года, для злаковых многолетних трав на богаре - с 3-го года, для злаковых многолетних трав на орошении - со 2-го года. Продуктивность бобовых многолетних трав сохраняется для клевера - до 2 лет, люцерны - до 7 лет, злаковых многолетних трав - до 7 лет.

При использовании многолетних трав посева прошлых лет за пределами агротехнических норм их продуктивного использования, площади многолетних трав следует исключать из общей посевной площади и учитывать убранные площади и полученные с них корма в строках 1501 - 1502, 1526 - 1527 (сенокосы и культурные пастбища).

36. В графе 5 по сену сеяных трав, естественных и улучшенных сенокосов, культурных пастбищ включается площадь, с которой оприходовано сено, включая сено, использованное в хозяйстве на корм скоту, выданное работникам хозяйства, использованное на приготовление сенной муки.

Если показанные в отчете по форме N 4-СХ посевы однолетних и многолетних трав использованы на корм скоту путем выпаса, то в отчет записывается только площадь, использованная на выпас; урожай зеленой массы сеяных трав, скормленных скоту путем выпаса, в отчете не отражается.

По травам, если имели место вторые и третьи укосы, то в графе 5 показывается физически убранная площадь трав, то есть площадь, на которой был произведен только первый укос (в сбор урожая включается вся продукция, полученная от всех укосов).

Урожайность рассчитывается путем деления сбора урожая, полученного от всех укосов, на физическую убранную площадь (то есть площадь, на которой был произведен только первый укос).

В тех случаях, когда один укос был использован на сено, а другой - на зеленый корм, в отчете фактически убранная площадь в графе 5 должна быть показана 2 раза, один раз - как убранная на сено и второй раз - как убранная на зеленый корм.

Сумма убранных площадей однолетних и многолетних трав может не совпадать с посевной площадью этих трав, указанных в соответствующих строках отчета, за счет гибели посевов или двукратного использования одних и тех же площадей.

37. Сбор урожая сеяных трав, скошенных на зеленый корм (включая зеленую массу, использованную на приготовление витаминно-травяной муки и сенажа), а по многолетним травам - и скошенных на силос, приводится в отчете в весе зеленой массы.

Так как на сенаж расходуется провяленная трава с влажностью 50 - 55%, она должна быть переведена на свежескошенную траву. Для перевода провяленной травы на свежескошенную необходимо пользоваться следующими (примерными) коэффициентами:

Если % влажности провяленной травы, израсходованной на сенаж, составлял То количество провяленной травы надо умножить на следующий коэффициент при пересчете на траву с влажностью
67% 70% 75% 80%
50% 1,52 1,67 2,0 2,5
55% 1,36 1,5 1,8 2,25

Необходимо следить за правильностью этих переводов. В частности, по однолетним и многолетним травам необходимо определить соотношение среднего сбора зеленой массы и урожайности сухого сена как за прошлые годы, так и за текущий год. В случае когда соотношение в текущем году будет резко отличаться от соотношения за прошлые годы, необходимо тщательно проверить правильность перевода провяленной травы на свежескошенную. Трава, израсходованная на силос или зеленую подкормку, показывается в физическом весе без какого-либо перевода.

38. По строкам 1426 - 1431 показывается убранная площадь и сбор семян многолетних трав. В строках 1427 и 1428 показываются клевер красный и люцерна, используемые в полевых и кормовых севооборотах. Площади и сбор семян клевера белого и розового и люцерны желтой по этим строкам не приводятся.

По строке 1430 отражается площадь и сбор семян лугопастбищных трав (клевер белый и розовый, лядвенец рогатый, люцерна желтая, лисохвост луговой, мятлик луговой и болотный, овсяница луговая и красная, райграс пастбищный и многоукосный, полевица белая, канареечник тростниковидный, бекмания обыкновенная, волоснец сибирский, регнерия волокнистая, пырей бескорневищный, тимофеевка луговая, ежа сборная, костер безостый и другие). Из строки 1430 выделяются данные по убранным площадям и валовым сборам семян злаковых лугопастбищных трав (тимофеевка луговая, овсяница луговая, ежа сборная, костер безостый, пырей бескорневищный, лисохвост луговой, мятлик луговой и болотный, полевица белая, овсяница луговая и красная, волоснец сибирский, бекмания обыкновенная, канареечник тростниковидный, регнерия волокнистая, райграс пастбищный и многоукосный и другие) и записываются в строке 1431.

Полученные семена трав показывают в весе после доработки (за вычетом неиспользуемых отходов и усушки при доработке в хозяйстве).

39. В строках 1501 и 1502 по естественным сенокосам в убранную площадь (графа 5) должна включаться вся площадь, с которой производилось сенокошение, включая земли запаса и лесного фонда своего и других районов.

По строкам 1526 и 1527 показывается площадь улучшенных (коренного улучшения) сенокосов и культурных пастбищ, убранная, соответственно, на сено и на зеленый корм, сенаж, силос, травяную муку, а также продукция с этих площадей.

Раздел 2. Производство овощей закрытого грунта

40. В данном разделе показывается используемая площадь теплиц, парников и утепленного грунта и посевы под пленкой под урожай текущего года под первый оборот.

Площадь сооружений защищенного грунта, использованная для посева (посадки) под второй и последующие обороты, в отчет не включается.

По строке 1702 учитывается сбор овощей по видам сооружений защищенного грунта. Весь сбор овощей во всех видах сооружений защищенного грунта определяется суммированием данных строки 1702 и записывается в строке 1703 раздела 1.

В строках 1711 - 1712 отражаются данные (в тыс. штук с одним-двумя десятичными знаками после запятой) о другой продукции растениеводства: луковицы, клубнелуковицы, корневища цветов; рассада цветочных, овощных, ягодных культур (кроме произведенной для внутреннего потребления); культуры плодовые и ягодные, включая черенки и отводки; культуры декоративные, включая черенки и отводки; цветы срезанные и бутоны цветочные (всех видов); мицелий гриба (грибница).

Раздел 3. Многолетние насаждения

41. По строкам 2101 - 2104, 2201, 2203, 2301 в графе 4 показывается площадь обособленных садов, ягодников и виноградников всех возрастов, а в графе 5 - площадь в плодоносящем возрасте, независимо от того, был ли фактически получен с этих насаждений в текущем году урожай или нет.

В графах 4 и 5 данного раздела учитывается общая и плодоносящая площадь плодово-ягодных и виноградных насаждений, включая списанные (независимо от времени списания), но не раскорчеванные площади. В эти же графы должна быть включена физическая площадь изреженных (независимо от степени изреженности) обособленных участков сада. В графу 5 должны быть включены также и площади насаждений, с которых в отчетном году была получена продукция, но к моменту составления отчета эти площади были раскорчеваны.

При наличии в хозяйстве на одном и том же обособленном участке насаждений разных породных групп (например, семечковых и косточковых) общая площадь насаждений распределяется по породным группам (семечковым и косточковым) путем перевода числа деревьев каждой породы на принятую норму посадки корней данной породы на 1 га. Если сумма исчисленных таким путем площадей под отдельными породными группами плодовых насаждений не совпадает с фактической общей площадью обособленного участка, разница должна быть распределена пропорционально исчисленным площадям под насаждениями породных групп.

Пример. В хозяйстве имеется смешанный сад семечковых и косточковых площадью 25 га. Фактически в саду имеется 2500 деревьев семечковых и 9600 деревьев косточковых. Для данного района (хозяйства) число деревьев на одном гектаре по принятой схеме закладки составляет семечковых 312, косточковых 800.

Распределение 25 га площади производится следующим образом:

1) определяется площадь семечковых и косточковых насаждений исходя из расчета принятой средней нормы закладки деревьев на гектар:

2500 : 312 = 8 га - семечковые (по норме);

9600 : 800 = 12 га - косточковые (по норме);

2) определяется доля насаждений по видам в общей площади сада:

% - семечковый сад;

% - косточковый сад;

3) определяется площадь, занимаемая плодовыми насаждениями по видам:

га - занято семечковыми;

га - занято косточковыми.

При наличии в садах между плодовыми деревьями (в междурядьях) посадок ягодных насаждений (клубники, смородины, крыжовника и так далее) по строке 2201 в графах 4 и 5 показывается общая площадь ягодников (обособленная площадь плюс площадь ягодников в междурядьях плодовых насаждений), по строке 2202 - обособленная площадь ягодников.

Площадь под смородиной и крыжовником в междурядьях плодовых насаждений определяется путем перевода числа кустов на площадь по средней норме посадки на 1 га. Размер площади под земляникой, клубникой и малиной в междурядьях определяется по фактически занятой площади этими ягодниками (путем обмера).

Площадь садов, ягодников и виноградников показывается в гектарах целым числом.

В графе 6 показывается площадь многолетних насаждений плодоносящего возраста, с которой фактически производился сбор продукции.

В графе 7 показывается общий сбор (с насаждений в плодоносящем возрасте и с молодых насаждений, не сданных в эксплуатацию), а в графе 8 - сбор с насаждений, достигших плодоносящего возраста. В строке 2201 по ягодникам показывается общий сбор урожая как с обособленной площади ягодников, так и сбор с междурядных посадок.

Валовой сбор приводится в центнерах целым числом.

В графе 9 показывается средний сбор с одного гектара (в центнерах с одним десятичным знаком), полученный путем деления данных графы 8 на данные графы 6.

Площадь, валовой сбор и урожайность черноплодной рябины учитываются по ягодникам.

Дикорастущие плодовые деревья и полученная с них продукция в отчет не включаются.

Из общего количества виноградников (строка 2301) выделяются площади, валовой сбор и урожайность виноградников столовых сортов (строка 2302) и кишмишных сортов (строка 2303), а также площади виноградников на шпалерах (строка 2305).

Для целей настоящей формы к столовым сортам винограда следует относить сорта: Агадаи, Аг изюм, Альфа, Волгодон, Восток, Герард, Дольчатый, Жемчуг Саба, Иршаи Оливер, Италия, Карабурну, Кардинал, Кировобадский столовый, Козузюм, Королева виноградников, Куйбышевский, Куйбышевский ранний, Куйбышевский скороспелый, Мадлен Анжевин, Мускат Восковой, Мускат Гамбургский, Мускат Дербентский, Мускат Степной, Мускат Венгерский, Мускат Транспортабельный, Мускат Узбекистанский, Народный, Нимранг, Первенец Куйбышева; Сенсо, Хатми, Цимлянский черный, Чауш белый, Чауш мускатный, Шасла белая, Шасла мускатная, Шасла розовая, Шасла Рамминга.

К кишмишным сортам винограда относится Кишмиш Черный.