Бумага и картон. Определение массы. ГОСТ р ИСО 536-2013

(утв. Приказом Росстандарта от 22.11.2013 N 1794-СТ)
Редакция от 22.11.2013 — Действует с 01.01.2015

НАЦИОНАЛЬНЫЙ СТАНДАРТ РОССИЙСКОЙ ФЕДЕРАЦИИ

БУМАГА И КАРТОН

ОПРЕДЕЛЕНИЕ МАССЫ

Paper and board. Determination of grammage

ГОСТ Р ИСО 536-2013

Дата введения
1 января 2015 года

Предисловие

1 ПОДГОТОВЛЕН Открытым акционерным обществом "Центральный научно-исследовательский институт бумаги" (ОАО "ЦНИИБ") на основе собственного аутентичного перевода на русский язык стандарта, указанного в пункте 4

2 ВНЕСЕН Техническим комитетом по стандартизации ТК 157 "Древесная масса. Бумага, картон и изделия из них"

3 УТВЕРЖДЕН И ВВЕДЕН В ДЕЙСТВИЕ Приказом Федерального агентства по техническому регулированию и метрологии от 22 ноября 2013 г. N 1794-ст

4 Настоящий стандарт идентичен международному стандарту ИСО 536:2012 "Бумага и картон. Определение массы" (ISO 536:2012 "Paper and board - Determination of grammage").

При применении настоящего стандарта рекомендуется использовать вместо ссылочных международных стандартов соответствующие им национальные стандарты Российской Федерации и межгосударственные стандарты, сведения о которых приведены в дополнительном приложении ДА

5 ВВЕДЕН ВПЕРВЫЕ

Правила применения настоящего стандарта установлены в ГОСТ Р 1.0-2012 (раздел 8). Информация об изменениях к настоящему стандарту публикуется в ежегодном (по состоянию на 1 января текущего года) информационном указателе "Национальные стандарты", а официальный текст изменений и поправок - в ежемесячном информационном указателе "Национальные стандарты". В случае пересмотра (замены) или отмены настоящего стандарта соответствующее уведомление будет опубликовано в ближайшем выпуске информационного указателя "Национальные стандарты". Соответствующая информация, уведомление и тексты размещаются также в информационной системе общего пользования - на официальном сайте Федерального агентства по техническому регулированию и метрологии в сети Интернет (gost.ru)

1 Область применения

Настоящий стандарт устанавливает метод определения массы бумаги и картона площадью 1 м (далее - масса 1 м).

2 Нормативные ссылки

В настоящем стандарте использованы нормативные ссылки на следующие международные стандарты <*>:

<*> Для датированных ссылок используют только указанное издание стандарта. В случае недатированных ссылок - последнее издание стандарта, включая все изменения и поправки.

ИСО 186 Бумага и картон. Отбор проб для определения среднего качества (ISO 186, Paper and board - Sampling to determine average quality)

ИСО 187 Бумага, картон и целлюлоза. Стандартная атмосфера для кондиционирования и испытания, и методика контроля за атмосферой и условиями кондиционирования образцов (ISO 187, Paper, board and pulps - Standard atmosphere for conditioning and testing and procedure for monitoring the atmosphere and conditioning of samples)

ИСО 287 Бумага и картон. Определение влажности партии. Метод высушивания в сушильном шкафу (ISO 287, Paper and board - Determination of moisture content of a lot - Oven-drying method)

3 Термины и определения

В настоящем стандарте применен следующий термин с соответствующим определением:

3.1 масса 1 м2 (grammage); масса на единицу площади (mass per unit area): Масса на единицу площади бумаги или картона, измеренная методом, установленным в настоящем стандарте.

Примечание - Массу 1 м2 продукции выражают в граммах на квадратный метр.

4 Сущность метода

Сущность метода настоящего стандарта заключается в измерении площади и массы испытуемых образцов бумаги и картона и вычислении массы 1 м2 продукции по полученным результатам.

5 Аппаратура

5.1 Устройство для нарезания испытуемых образцов (например, нож), обеспечивающее нарезание образцов с чистыми и ровными кромками с погрешностью не более ±1,0%. После проверки точности нарезания путем проведения нескольких предварительных резок проводят нарезание испытуемых образцов требуемого размера. Если невозможно нарезать сразу все образцы с указанной выше точностью, то образцы нарезают по одному.

Среднеарифметическое значение всех полученных определений площади образцов или каждое из полученных значений площади используют для расчета массы 1 м2 продукции.

5.2 Весы с погрешностью взвешивания не более ±0,5% фактической массы. Весы должны быть чувствительны к изменению массы не более чем на ±0,2%. Если весы имеют градуированную шкалу для непосредственного считывания значений массы, то цена деления шкалы должна обеспечивать измерение массы с указанной выше точностью.

Можно применять специальные весы, со шкалой для непосредственного считывания значений массы 1 м2 продукции, при условии, что выполняются вышеуказанные требования к точности взвешивания и площадь каждого образца должна быть не менее 50000 мм2 (500 см2) и не более 100000 мм2 (1000 см2) (см. раздел 8 и 9.2).

При использовании весы должны быть защищены от потоков воздуха.

6 Отбор проб

Отбор проб бумаги и картона проводят в соответствии ИСО 186. Количество листов пробы продукции, отбираемых от партии, должно быть не менее 5, чтобы из них можно было нарезать не менее 20 испытуемых образцов. Если партия состоит из продукции с разной массой 1 м2 или разных типов, видов, марок и т.д., то в выборке должен быть представлен весь ассортимент испытуемой продукции.

7 Кондиционирование

Кондиционирование испытуемых образцов проводят по ИСО 187, если имеется соответствующее указание об их кондиционировании в документации на продукцию.

Если определяют массу 1 м2 испытуемых образцов после высушивания или образцов без кондиционирования (приложение А) или используют другие условия кондиционирования, то в протоколе испытания об этом должна быть сделана соответствующая запись.

8 Проведение испытания

Для определения массы 1 м2 бумаги и картона после кондиционирования испытуемые образцы нарезают и взвешивают в стандартных условиях атмосферы по ИСО 187. Эти же условия должны соблюдаться при отборе листов пробы от партии.

С помощью устройства для нарезания (5.1) вырезают не менее 20 испытуемых образцов из пяти листов пробы. По возможности из каждого листа пробы вырезают одинаковое количество образцов.

Площадь каждого образца должна быть не менее 50000 мм2 (например, 200х250 мм), но не более 100000 мм2.

Испытуемый образец может быть представлен в виде нарезанных мелких кусочков испытуемой продукции, если ее размеры не позволяют вырезать образцы указанных выше размеров.

Примечание - В случае ограниченных размеров испытуемой продукции и отсутствия возможности испытания образцов в виде маленьких кусочков площадь испытуемых образцов должна быть не менее 10000 мм2 (100 см2).

Измеряют размеры образцов с точностью до 0,5 мм и вычисляют площадь каждого образца.

Каждый испытуемый образец взвешивают на весах (5.2) с точностью до трех значащих цифр.

Рекомендуется избегать непосредственного контакта образцов с руками, особенно при работе с мелкими кусочками бумаги и картона.

9 Обработка результатов испытания

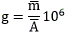
9.1 Массу 1 м2 продукции , г/м2, рассчитывают по формуле (1) или (2)

, (1)

где m - масса взвешенного образца продукции, г;

A - площадь взвешенного образца продукции, мм2.

За результат испытания принимают среднеарифметическое значение всех полученных определений, округленное до трех значащих цифр;

или

, (2)

где - среднеарифметическое значение массы испытуемых образцов всех полученных определений, г;

- среднеарифметическое значение площади испытуемых образцов всех полученных определений, мм2.

Результат испытания округляют до трех значащих цифр.

9.2 Если применяют специальные весы для непосредственного считывания значений массы 1 м2 продукции (5.2), то массу 1 м2 g, г/м2, вычисляют по формуле

, (3)

где - масса 1 м2 взвешенного образца, г;

- площадь образца, для которой откалиброваны весы, мм2;

A - площадь взвешенного образца, мм2.

За результат испытания принимают среднеарифметическое значение всех полученных определений, округленное до трех значащих цифр.

Вычисляют стандартное отклонение полученных результатов.

10 Протокол испытания

Протокол испытания должен содержать:

a) ссылку на настоящий стандарт;

b) дату и место проведения испытания;

c) условия кондиционирования;

d) всю информацию, необходимую для идентификации продукции;

e) площадь испытуемых образцов, использованных при испытании;

f) количество проведенных определений;

g) среднеарифметическое значение показателя и стандартное отклонение полученных результатов испытания;

Примечание - Если определяют колебание массы 1 м2 бумаги и картона в единице продукции, то информацию по перечислениям протокола с) - f) приводят по каждому листу пробы, вырезанному из разных мест рулона или листа;

h) любые отклонения от метода настоящего стандарта или любые другие обстоятельства, которые могли повлиять на результаты испытания.

Приложение А
(обязательное)

ОПРЕДЕЛЕНИЕ МАССЫ 1 КВ. М ПРОДУКЦИИ ПОСЛЕ ВЫСУШИВАНИЯ В СУШИЛЬНОМ ШКАФУ И ПРИ ИСПЫТАНИИ БЕЗ КОНДИЦИОНИРОВАНИЯ (В ЕСТЕСТВЕННЫХ УСЛОВИЯХ АТМОСФЕРЫ)

А.1 Определение массы 1 кв. м продукции после высушивания в сушильном шкафу

Измеряют площадь каждого образца бумаги и картона после кондиционирования по разделу 7 настоящего стандарта.

Испытуемые образцы высушивают в соответствии с ИСО 287 и определяют их массу.

Массу 1 м2 продукции вычисляют по разделу 9 настоящего стандарта.

А.2 Определение массы 1 кв. м продукции при испытании без кондиционирования (в естественных условиях атмосферы)

По этому методу отбор проб продукции, в том числе подготовку образцов к испытанию, проводят в тех же естественных условиях атмосферы, в которых находится сама продукция.

Из листов пробы вырезают испытуемые образцы и сразу же взвешивают с максимальной точностью. Листы пробы вырезают на таком расстоянии от наружных слоев бумаги или картона, на котором атмосферные условия не влияют на их влажность.

Приложение В
(справочное)

ТОЧНОСТЬ МЕТОДА

Данные по точности метода, представленные в таблицах В.1 и В.2, были обобщены Службой сравнительного анализа Союза европейских производителей бумаги (CEPI-CTS). Оценка сходимости и воспроизводимости результатов испытаний по программе CEPI-CTS основана на результатах испытания образцов трех уровней, проведенных в 2011 г. 17 лабораториями из 11 европейских стран.

Расчеты проводились в соответствии со стандартами [1] и [2].

Стандартное отклонение сходимости , представленное в таблице В.1, это суммарное стандартное отклонение, рассчитанное как среднеквадратичное значение всех стандартных отклонений результатов испытаний, полученных в лабораториях. Определение сходимости по таблице В.1 отличается от принятого определения сходимости по стандарту [3].

Пределы сходимости и воспроизводимости результатов испытаний, приведенные в настоящем стандарте, означают, что максимальное расхождение при сравнении двух результатов испытания для аналогичных материалов при аналогичных условиях испытания, может иметь место в 19 случаях из 20. Пределы сходимости и воспроизводимости могут быть разными для разных материалов или при разных условиях испытания.

Пределы сходимости и воспроизводимости вычисляют умножением значений стандартных отклонений сходимости и воспроизводимости на число 2,77.

Примечания

1 Значения стандартного отклонения сходимости и внутрилабораторного стандартного отклонения являются идентичными. Однако значение стандартного отклонения воспроизводимости не является идентичным значению межлабораторного стандартного отклонения. Значение стандартного отклонения воспроизводимости есть сумма значений межлабораторного и внутрилабораторного стандартных отклонений, а именно:

(В.1)

2 При условии, что результаты испытаний имеют нормальное распределение и расчет значения стандартного отклонения основан на большом количестве испытаний, то .

Таблица В.1

Оценка сходимости результатов испытаний, проведенная CEPI-CTS

Проба продукции Количество лабораторий Среднее значение массы 1 м2 g, г/м2 Стандартное отклонение , г/м2 Коэффициент вариации , r, % Предел сходимости r, г/м2
Проба уровня 1 17 51,0 0,51 1,00 1,41
Проба уровня 2 16 <а> 94,6 1,04 1,10 2,88
Проба уровня 3 17 281 1,60 0,57 4,44
<а> Значения грубых ошибочных результатов не включены.

Таблица В.2

Оценка воспроизводимости результатов испытаний, проведенная CEPI-CTS

Проба продукции Количество лабораторий Среднее значение массы 1 м2 g, г/м2 Стандартное отклонение , г/м2 Коэффициент вариации , R, % Предел воспроизводимости R, г/м2
Проба уровня 1 17 51,0 0,65 1,27 1,80
Проба уровня 2 16 <а> 94,6 1,47 1,56 4,08
Проба уровня 3 17 281 3,67 1,31 10,2
<а> Значения ошибочных результатов не включены.

Приложение ДА
(справочное)

СВЕДЕНИЯ О СООТВЕТСТВИИ ССЫЛОЧНЫХ МЕЖДУНАРОДНЫХ СТАНДАРТОВ НАЦИОНАЛЬНЫМ СТАНДАРТАМ РОССИЙСКОЙ ФЕДЕРАЦИИ (И ДЕЙСТВУЮЩИМ В ЭТОМ КАЧЕСТВЕ МЕЖГОСУДАРСТВЕННЫМ СТАНДАРТАМ)

Таблица ДА. 1

Обозначение ссылочного международного стандарта Степень соответствия Обозначение и наименование соответствующего национального стандарта
ИСО 186:2002 MOD ГОСТ 32546-2013 (ISO 186:2002) Бумага и картон. Отбор проб для определения среднего качества
ИСО 187:1990 IDT ГОСТ Р ИСО 187-2012 Целлюлоза, бумага, картон. Стандартная атмосфера для кондиционирования и испытания. Метод контроля за атмосферой и условиями кондиционирования
ИСО 287:2009 - <*>
<*> Соответствующий национальный стандарт отсутствует. До его утверждения рекомендуется использовать перевод на русский язык данного международного стандарта. Перевод данного международного стандарта находится в Федеральном информационном фонде технических регламентов и стандартов
Примечание - В настоящей таблице использовано следующее условное обозначение степени соответствия стандартов:
IDT - идентичные стандарты. MOD - модифицированные стандарты.

БИБЛИОГРАФИЯ

[1] ISO/TR 24498:2006, Paper, board and pulps - Estimation of uncertainty for test methods (ИСО/ТО 24498:2006 Бумага, картон и целлюлоза. Оценка погрешностей для методов испытания) <*>

<* >Официальный перевод этого стандарта находится в Федеральном информационном фонде технических регламентов и стандартов.

[2] TAPPI Test method 1200 sp-07, Interlaboratory evaluation of test methods to determine TAPPI repeatability and reproducibility (ТАППИ Метод испытания T 1200 sp-07. Межлабораторная оценка методов испытания при определении ТАППИ сходимости и воспроизводимости) <*>

<*> Официальный перевод этого стандарта находится в Федеральном информационном фонде технических регламентов и стандартов.

[3] ISO 5725-1:1994, Accuracy (trueness and precision) of measurement methods and results - Part 1: General principles and definitions (ИСО 5725-1:1994 Точность (достоверность и прецизионность) методов измерений и результатов. - Часть 1. Основные принципы и определения) <*>

<*> Официальный перевод этого стандарта находится в Федеральном информационном фонде технических регламентов и стандартов.