Свод правил. Нагрузки и воздействия. Актуализированная редакция СНиП 2.01.07-85*. СП 20.13330.2016

(утв. Приказом Минстроя РФ от 03.12.2016 N 891/ПР)
Редакция от 30.12.2020 — Не действует Перейти в действующую
Показать изменения

УТВЕРЖДЕН
Приказом Министерства строительства
и жилищно-коммунального хозяйства
Российской Федерации
от 3 декабря 2016 г. N 891/пр

СВОД ПРАВИЛ

НАГРУЗКИ И ВОЗДЕЙСТВИЯ

АКТУАЛИЗИРОВАННАЯ РЕДАКЦИЯ
СНиП 2.01.07-85*

Loads and actions

СП 20.13330.2016

(в ред. Изменений N 1, утв. Приказом Минстроя РФ от 05.07.2018 N 402/пр, N 2, утв. Приказом Минстроя РФ от 28.01.2019 N 49/пр, N 3, утв. Приказом Минстроя РФ от 30.12.2020 N 897/пр)

Дата введения
4 июня 2017 года

Предисловие

Сведения о своде правил

1 ИСПОЛНИТЕЛИ - ЦНИИСК им. В.А. Кучеренко АО "НИЦ "Строительство" при участии ФГБУ "Главная геофизическая обсерватория им. А.И. Воейкова"

2 ВНЕСЕН Техническим комитетом по стандартизации ТК 465 "Строительство"

3 ПОДГОТОВЛЕН к утверждению Департаментом градостроительной деятельности и архитектуры Министерства строительства и жилищно-коммунального хозяйства Российской Федерации

4 УТВЕРЖДЕН приказом Министерства строительства и жилищно-коммунального хозяйства Российской Федерации (Минстрой России) от 3 декабря 2016 г. N 891/пр и введен в действие с 4 июня 2017 г.

5 ЗАРЕГИСТРИРОВАН Федеральным агентством по техническому регулированию и метрологии (Росстандарт). Пересмотр СП 20.13330.2011 "СНиП 2.01.07-85* Нагрузки и воздействия"

В случае пересмотра (замены) или отмены настоящего свода правил соответствующее уведомление будет опубликовано в установленном порядке. Соответствующая информация, уведомление и тексты размещаются также в информационной системе общего пользования - на официальном сайте разработчика (Минстрой России) в сети Интернет

Введение

Настоящий свод правил разработан с учетом обязательных требований, установленных в Федеральных законах от 27 декабря 2002 г. N 184-ФЗ "О техническом регулировании", от 30 декабря 2009 г. N 384-ФЗ "Технический регламент о безопасности зданий и сооружений" и содержит общие технические требования по назначению нагрузок, воздействий и их сочетаний при строительстве новых, расширении, реконструкции и перевооружении действующих предприятий, зданий и сооружений.

Свод правил разработан авторским коллективом ЦНИИСК им. В.А. Кучеренко АО "НИЦ "Строительство" (кандидаты техн. наук Н.А. Попов, И.В. Лебедева, д-р техн. наук И.И. Ведяков) при участии РААСН (д-р техн. наук В.И. Травуш) и ФГБУ "Главная геофизическая обсерватория им. А.И. Воейкова" (д-р геогр. наук Н.В. Кобышева).

Изменение N 1 выполнено авторским коллективом АО "НИЦ "Строительство" - ЦНИИСК им. В.А. Кучеренко (руководитель разработки - канд. техн. наук Н.А. Попов, исполнители - канд. техн. наук И.В. Лебедева, д-р техн. наук И.И. Ведяков) при участии РААСН (д-р техн. наук В.И. Травуш) и ФГБУ "Главная геофизическая обсерватория им. А.И. Воейкова" (д-р геогр. наук Н.В. Кобышева). (в ред. Изменения N 1, утв. Приказом Минстроя РФ от 05.07.2018 N 402/пр)

Свод правил разработан авторским коллективом АО "НИЦ "Строительство" - ЦНИИСК им. В.А. Кучеренко (канд. техн. наук Н.А. Попов, канд. техн. наук И.В. Лебедева, д-р техн. наук И.И. Ведяков) при участии РААСН (д-р техн. наук В.И. Травуш), ЗАО "Научно-исследовательский центр СтаДиО" (д-р техн. наук А.М. Белостоцкий, д-р техн. наук П.А. Акимов, канд. техн. наук И.Н. Афанасьева) и ФГБУ "Главная геофизическая обсерватория им. А.И. Воейкова" (д-р геогр. наук Н.В. Кобышева). (в ред. Изменения N 2, утв. Приказом Минстроя РФ от 28.01.2019 N 49/пр)

Изменение N 3 выполнено авторским коллективом АО "НИЦ "Строительство" - ЦНИИСК им. В.А. Кучеренко (руководитель разработки - канд. техн. наук Н.А. Попов, исполнители - канд. техн. наук И.В. Лебедева, канд. техн. наук Л.М. Арутюнян, Д.С. Богачев, д-р техн. наук И.И. Ведяков) при участии РААСН (д-р техн. наук В.И. Травуш) и ФГБУ "Главная геофизическая обсерватория им. А.И. Воейкова" (д-р геогр. наук Н.В. Кобышева). (в ред. Изменения N 3, утв. Приказом Минстроя РФ от 30.12.2020 N 897/пр)

1 Область применения

1.1 Настоящий свод правил устанавливает требования по назначению нагрузок, воздействий и их сочетаний, учитываемых при расчетах зданий и сооружений по предельным состояниям первой и второй групп, в соответствии с положениями ГОСТ 27751.

Примечание - Далее по тексту, где это возможно, термин "воздействие" опущен и заменен термином "нагрузка", а слова "здания и сооружения" заменены словом "сооружения".

1.2 При проектировании следует учитывать нагрузки, возникающие при возведении и эксплуатации сооружений, а также при изготовлении, хранении и перевозке строительных конструкций.

2 Нормативные ссылки

В настоящем своде правил использованы нормативные ссылки на следующие документы:

ГОСТ 27751-2014 Надежность строительных конструкций и оснований. Основные положения

СП 131.13330.2018 "СНиП 23-01-99* Строительная климатология" (в ред. Изменения N 3, утв. Приказом Минстроя РФ от 30.12.2020 N 897/пр)

Абзац. - Исключен. (в ред. Изменения N 3, утв. Приказом Минстроя РФ от 30.12.2020 N 897/пр)

Абзац. - Исключен. (в ред. Изменения N 3, утв. Приказом Минстроя РФ от 30.12.2020 N 897/пр)

Примечание - При пользовании настоящим сводом правил целесообразно проверить действие ссылочных документов в информационной системе общего пользования - на официальном сайте федерального органа исполнительной власти в сфере стандартизации в сети Интернет или по ежегодному информационному указателю "Национальные стандарты", который опубликован по состоянию на 1 января текущего года, и по выпускам ежемесячного информационного указателя "Национальные стандарты" за текущий год. Если заменен ссылочный документ, на который дана недатированная ссылка, то рекомендуется использовать действующую версию этого документа с учетом всех внесенных в данную версию изменений. Если заменен ссылочный документ, на который дана датированная ссылка, то рекомендуется использовать версию этого документа с указанным выше годом утверждения (принятия). Если после утверждения настоящего свода правил в ссылочный документ, на который дана датированная ссылка, внесено изменение, затрагивающее положение на которое дана ссылка, то это положение рекомендуется применять без учета данного изменения. Если ссылочный документ отменен без замены, то положение, в котором дана ссылка на него, рекомендуется применять в части, не затрагивающей эту ссылку. Сведения о действии сводов правил целесообразно проверить в Федеральном информационном фонде стандартов.

3 Термины и определения

В настоящем своде правил применены следующие термины с соответствующими определениями:

3.1 воздействия: Нагрузки, изменения температуры, влияния на строительный объект окружающей среды, действие ветра, осадка оснований, смещение опор, деградация свойств материалов во времени и другие эффекты, вызывающие изменения напряженно-деформированного состояния строительных конструкций. При проведении расчетов воздействия допускается задавать, как эквивалентные нагрузки;

3.2 коэффициент надежности по нагрузке: Коэффициент, учитывающий в условиях нормальной эксплуатации сооружений возможное отклонение нагрузок в неблагоприятную (большую или меньшую) сторону от нормативных значений;

3.3 коэффициент сочетаний нагрузок: Коэффициент, учитывающий уменьшения вероятности одновременного достижения несколькими нагрузками их расчетных значений;

3.4 нагрузки: Внешние механические силы (вес конструкций, оборудования, снегоотложений, людей и т.п.), действующие на строительные объекты;

3.5 нагрузки длительные: Нагрузки, изменения расчетных значений которых в течение расчетного срока службы строительного объекта пренебрежимо мало по сравнению с их средними значениями;

3.6 нагрузки кратковременные: Нагрузки, длительность действия расчетных значений которых существенно меньше срока службы сооружения;

3.7 нормативное (базовое) значение нагрузок: Основная базовая характеристика, устанавливаемая соответствующими нормами проектирования, техническими условиями или заданием на проектирование;

3.8 особые нагрузки: Нагрузки и воздействия (например, взрыв, столкновение транспортных средств с частями сооружений, авария оборудования, пожар, землетрясение, некоторые климатические нагрузки, отказ работы несущего элемента конструкций), создающие аварийные ситуации с возможными катастрофическими последствиями; (в ред. Изменения N 1, утв. Приказом Минстроя РФ от 05.07.2018 N 402/пр)

3.9 расчетное значение нагрузки: Предельное (максимальное или минимальное) значение нагрузки в течение срока эксплуатации объекта;

3.10 расчетные сочетания нагрузок: Все возможные неблагоприятные комбинации нагрузок, которые необходимо учитывать при проектировании объекта.

4 Общие положения

4.1 Основными характеристиками нагрузок, установленных в настоящих нормах, являются их нормативные (базовые) значения.

При необходимости учета влияния реологических или нелинейных свойств материалов, длительности нагрузок, при проверке на выносливость, усталостной прочности и в других случаях, оговоренных в нормах проектирования конструкций и оснований, устанавливаются пониженные нормативные значения нагрузок от оборудования, людей, животных и транспортных средств на перекрытия жилых, общественных и сельскохозяйственных зданий, от мостовых и подвесных кранов, снеговых, температурных климатических воздействий. (в ред. Изменения N 3, утв. Приказом Минстроя РФ от 30.12.2020 N 897/пр)

4.2 Расчетное значение нагрузки следует определять как произведение ее нормативного значения на коэффициент надежности по нагрузке , соответствующий рассматриваемому предельному состоянию. Минимальные значения коэффициента надежности в основных и особых сочетаниях нагрузок определяются следующим образом: (в ред. Изменения N 1, утв. Приказом Минстроя РФ от 05.07.2018 N 402/пр)

а) при расчете по предельным состояниям 1-й группы - в соответствии с 7.2 - 7.4, 8.1.4, 8.2.7, 8.3.5, 8.4.5, 9.8, 10.12, разделом 11, 12.5 и 13.8; (в ред. Изменения N 2, утв. Приказом Минстроя РФ от 28.01.2019 N 49/пр)

В электронном документе текст соответствует официальному источнику.

б) при расчете по предельным состояниям 2-й группы - принимаются равными единице, если в нормах проектирования конструкций и оснований не установлены другие значения.

4.3 Расчетные значения особых нагрузок устанавливаются в соответствующих нормативных документах или в задании на проектирование.

Абзац второй. - Исключен. (в ред. Изменения N 1, утв. Приказом Минстроя РФ от 05.07.2018 N 402/пр)

4.4 Расчетные значения климатических нагрузок и воздействий (снеговые и гололедные нагрузки, воздействия ветра, температуры и др.) допускается назначать в установленном порядке на основе анализа соответствующих климатических данных для места строительства.

4.5 При расчете конструкций и оснований для условий возведения зданий и сооружений расчетные значения снеговых, ветровых, гололедных нагрузок и температурных климатических воздействий разрешается снижать на 20%.

4.6 Дополнительные требования по назначению нормативных и расчетных значений нагрузок, а также коэффициентов надежности по нагрузкам и коэффициентов сочетаний допускается устанавливать в нормативных документах на отдельные виды сооружений, строительных конструкций и оснований.

4.7 Для зданий и сооружений повышенного уровня ответственности, а также во всех случаях, не указанных в настоящем своде правил, дополнительные требования к нагрузкам и воздействиям на строительные конструкции и основания необходимо устанавливать в нормативных документах на отдельные виды сооружений, строительных конструкций и оснований, а также в заданиях на проектирование с учетом рекомендаций, разработанных в рамках научно-технического сопровождения проектирования.

5 Классификация нагрузок

5.1 В зависимости от продолжительности действия нагрузок следует различать постоянные и временные (длительные , кратковременные , особые ) нагрузки.

5.2 Нагрузки, возникающие при изготовлении, хранении и перевозке конструкций, а также при возведении сооружений, следует учитывать в расчетах как кратковременные.

Нагрузки, возникающие на стадии эксплуатации сооружений, следует учитывать в соответствии с указаниями 5.3 - 5.6.

5.3 К постоянным нагрузкам следует относить:

а) вес частей сооружений, в том числе несущих и ограждающих строительных конструкций;

б) вес и давление грунтов (насыпей, засыпок), горное давление;

в) гидростатическое давление.

Сохраняющиеся в конструкции или основании усилия от предварительного напряжения следует учитывать в расчетах как усилия от постоянных нагрузок.

5.4 К длительным нагрузкам следует относить:

а) вес временных перегородок, подливок и подбетонок под оборудование;

б) вес стационарного оборудования: станков, аппаратов, моторов, емкостей, трубопроводов с арматурой, опорными частями и изоляцией, ленточных конвейеров, постоянных подъемных машин с их канатами и направляющими, а также вес жидкостей и твердых тел, заполняющих оборудование;

в) давление газов, жидкостей и сыпучих тел в емкостях и трубопроводах, избыточное давление и разрежение воздуха, возникающее при вентиляции шахт;

г) нагрузки на перекрытия от складируемых материалов и стеллажного оборудования в складских помещениях, холодильниках, зернохранилищах, книгохранилищах, архивах и подобных помещениях;

д) температурные технологические воздействия от стационарного оборудования;

е) вес слоя воды на плоских водонаполненных покрытиях;

ж) вес отложений производственной пыли, если не предусмотрены соответствующие мероприятия по ее удалению;

и) пониженные значения кратковременных нагрузок (см. 4.1), которые устанавливаются в нормах проектирования строительных конструкций и оснований.

Примечание - При расчете на прогрессирующее обрушение пониженные нормативные значения кратковременных нагрузок, перечисленных в разделе 8, определяются умножением их нормативных значений на коэффициент 0,35; в разделе 9 - в соответствии с 9.19 и 9.20; в разделе 10 - умножением их нормативных значений на коэффициент 0,5. (в ред. Изменения N 3, утв. Приказом Минстроя РФ от 30.12.2020 N 897/пр)

к) воздействия, обусловленные деформациями основания, не сопровождающимися коренным изменением структуры грунта, а также оттаиванием вечномерзлых грунтов;

л) воздействия, обусловленные изменением влажности, усадкой и ползучестью материалов.

5.5 К кратковременным нагрузкам следует относить:

а) нагрузки от оборудования, возникающие в пускоостановочном, переходном и испытательном режимах, а также при его перестановке или замене;

б) вес людей, ремонтных материалов в зонах обслуживания и ремонта оборудования;

в) нагрузки от людей, животных, оборудования на перекрытия жилых, общественных и сельскохозяйственных зданий, кроме нагрузок, указанных в 5.4, а, б, г, д; (в ред. Изменения N 3, утв. Приказом Минстроя РФ от 30.12.2020 N 897/пр)

г) нагрузки от подвижного подъемно-транспортного оборудования (погрузчиков, электрокаров, кранов-штабелеров, тельферов, а также от мостовых и подвесных кранов), включая вес транспортируемых грузов; (в ред. Изменения N 3, утв. Приказом Минстроя РФ от 30.12.2020 N 897/пр)

д) нагрузки от транспортных средств;

е) климатические (снеговые, ветровые, температурные и гололедные), указанные в разделах 10 - 13.

5.6 К особым нагрузкам следует относить:

а) сейсмические;

б) взрывные;

в) ударные, в том числе нагрузки от столкновений транспортных средств с частями сооружения;

г) нагрузки, вызываемые резкими нарушениями технологического процесса, временной неисправностью или поломкой оборудования;

д) воздействия, обусловленные деформациями основания, сопровождающимися коренным изменением структуры грунта (например, при замачивании просадочных грунтов) или оседанием его в районах горных выработок и в карстовых районах;

е) нагрузки, обусловленные пожаром;

ж) климатические (снеговые, ветровые, температурные и гололедные) нагрузки, действие которых может привести к аварийной расчетной ситуации.

Другие типы особых воздействий устанавливаются в нормах проектирования конструкций и оснований. (в ред. Изменения N 1, утв. Приказом Минстроя РФ от 05.07.2018 N 402/пр)

6 Сочетания нагрузок

6.1 Расчет конструкций и оснований по предельным состояниям 1-й и 2-й групп следует выполнять с учетом неблагоприятных сочетаний нагрузок или соответствующих им усилий.

Эти сочетания устанавливаются из анализа реальных вариантов одновременного действия различных нагрузок для рассматриваемой стадии работы конструкции или основания.

6.2 В зависимости от учитываемого состава нагрузок следует различать:

а) основные сочетания нагрузок, состоящие из постоянных, длительных и кратковременных

(6.1)

б) особые сочетания нагрузок, состоящие из постоянных, длительных, кратковременных и одной из особых нагрузок.

, (6.2)

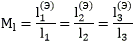
где - нагрузка для основного сочетания;

- нагрузка для особого сочетания;

(i = 1, 2, 3, ...,) - коэффициенты сочетаний для длительных нагрузок;

(i = 1, 2, 3, ...,) - коэффициенты сочетаний для кратковременных нагрузок.

6.3 Для основных и особых сочетаний нагрузок, за исключением случаев, оговоренных в нормах проектирования сооружений в сейсмических районах и в нормах проектирования конструкций и оснований, коэффициент сочетаний длительных нагрузок определяется следующим образом:

=1,0; ==...=0,95, (6.3)

где - коэффициент сочетаний, соответствующий основной по степени влияния длительной нагрузке;

, - коэффициенты сочетаний для остальных длительных нагрузок.

6.4 Для основных сочетаний необходимо использовать следующие значения коэффициентов сочетаний кратковременных нагрузок

=1,0; =0,9; ==...=0,7, (6.4)

где - коэффициент сочетаний, соответствующий основной по степени влияния кратковременной нагрузке;

- коэффициент сочетаний, соответствующий второй кратковременной нагрузке;

, - коэффициенты сочетаний для остальных кратковременных нагрузок.

Для крановых нагрузок коэффициенты сочетаний устанавливаются в соответствии с 9.18.

6.5 Для особых сочетаний, определяемых формулой (6.2), необходимо использовать следующие значения коэффициентов сочетаний кратковременных нагрузок:

=0,5, ==...=0,3, (6.5)

где - коэффициент сочетаний, соответствующий первой кратковременной нагрузке;

, - коэффициенты сочетаний для остальных кратковременных нагрузок.

Другие значения коэффициентов сочетаний кратковременных нагрузок допускается устанавливать в нормативных документах на проектирование конструкций и оснований. (в ред. Изменения N 1, утв. Приказом Минстроя РФ от 05.07.2018 N 402/пр)

6.6 При учете сочетаний нагрузок в соответствии с 6.3 - 6.5 за одну временную нагрузку следует принимать:

а) нагрузку одного вида от одного источника (давление или разрежение в емкости, снеговую, ветровую, гололедную нагрузки, температурные климатические воздействия, нагрузку от одного погрузчика, электрокара, мостового или подвесного крана);

б) нагрузку от нескольких источников, принимаемые со своими расчетными значениями, если они действуют совместно (нагрузки от оборудования, людей и складируемых материалов на одно или несколько перекрытий с учетом коэффициентов , приведенных в 6.7 и 6.8; нагрузки от нескольких мостовых или подвесных кранов с учетом коэффициента , приведенного в 9.18; гололедно-ветровую нагрузку, определяемую в соответствии с 12.3). (в ред. Изменения N 2, утв. Приказом Минстроя РФ от 28.01.2019 N 49/пр)

6.7 При расчете балок, ригелей, плит, стен, колонн и фундаментов, воспринимающих нагрузки от одного перекрытия, нормативные значения нагрузок, указанные в таблице 8.3, допускается снижать в зависимости от грузовой площади A, м2, с которой передаются нагрузки на рассчитываемый элемент, умножением на коэффициент или , равный:

а) для позиций 1, 2, 12, а (при A > = 9 м2)

; (6.6)

б) для позиций 4, 11, 12, б (при A > = 36 м2)

. (6.7)

(в ред. Изменением N 2, утв. Приказом Минстроя РФ от 28.01.2019 N 49/пр)

6.8 При определении усилий для расчета колонн, стен и фундаментов, воспринимающих нагрузки от двух перекрытий и более, полные нормативные значения нагрузок, указанные в позициях 1, 2, 4, 11, 12, а и 12, б таблицы 8.3, допускается снижать умножением на коэффициенты сочетания или :

а) для позиций 1, 2, 12, а

; (6.8)

б) для позиций 4, 11, 12, б

, (6.9)

где , - определяются в соответствии с 6.7;

n - общее число перекрытий, нагрузки от которых учитываются при расчете рассматриваемого сечения колонны, стены, фундамента. (в ред. Изменением N 2, утв. Приказом Минстроя РФ от 28.01.2019 N 49/пр)

7 Вес конструкций и грунтов

7.1 Нормативное значение веса конструкций заводского изготовления следует определять на основании стандартов, рабочих чертежей или паспортных данных заводов-изготовителей, для других строительных конструкций и грунтов - по проектным размерам и удельному весу материалов и грунтов с учетом их влажности в условиях возведения и эксплуатации сооружений.

7.2 Коэффициенты надежности по нагрузке для веса строительных конструкций и грунтов приведены в таблице 7.1.

Таблица 7.1

Конструкции сооружений и вид грунтов Коэффициент надежности по нагрузке
Конструкции  
Металлические, за исключением случаев, указанных в 7.3 1,05
Бетонные (со средней плотностью свыше 1600 кг/м3), железобетонные, каменные, армокаменные, деревянные 1,1
Бетонные (со средней плотностью 1600 кг/м3 и менее), изоляционные, выравнивающие и отделочные слои (плиты, материалы в рулонах, засыпки, стяжки и т.п.), выполняемые:  
в заводских условиях 1,2
на строительной площадке 1,3
Грунты  
В природном залегании 1,1
На строительной площадке 1,15
Примечание - При определении нагрузок от грунта следует учитывать нагрузки от складируемых материалов, оборудования и транспортных средств, передаваемые на грунт.

7.3 При проверке конструкций на устойчивость положения против опрокидывания, а также в других случаях, когда уменьшение веса конструкций и грунтов может ухудшить условия работы конструкций, следует произвести расчет, принимая для веса конструкции или ее части коэффициент надежности по нагрузке =0,9, если иное значение не указано в нормах проектирования этих конструкций.

При этом следует учесть также случай пониженных значений кратковременных нагрузок.

8 Нагрузки от оборудования, людей, животных, складируемых материалов и изделий, транспортных средств

Правила настоящего раздела распространяются на нагрузки от людей, животных, оборудования, изделий, материалов, временных перегородок, транспортных средств, действующие на перекрытия, покрытия, лестницы зданий и сооружений и полы на грунтах.

Варианты загружения перекрытий этими нагрузками следует принимать в соответствии с предусмотренными условиями возведения и эксплуатации зданий, в наиболее неблагоприятном расчетном положении.

Если на стадии проектирования данные об этих условиях недостаточны, при расчете конструкций и оснований необходимо рассмотреть следующие варианты загружения отдельных перекрытий:

сплошное загружение принятой нагрузкой;

неблагоприятное частичное загружение при расчете конструкций и оснований, чувствительных к такой схеме загружения;

отсутствие временной нагрузки.

8.1 Определение нагрузок от оборудования, складируемых материалов и изделий

8.1.1 Нагрузки от оборудования (в том числе трубопроводов, транспортных средств), складируемых материалов и изделий устанавливаются в задании на проектирование на основании технологических решений, в котором должны быть приведены:

а) возможные на каждом перекрытии и полах на грунте места расположения и габариты опор оборудования, размеры участков складирования и хранения материалов и изделий, места возможного перемещения оборудования в процессе эксплуатации или перепланировки;

б) нормативные значения нагрузок и коэффициенты надежности по нагрузке, принимаемые в соответствии с указаниями настоящих норм, для машин с динамическими нагрузками - нормативные значения инерционных сил и коэффициенты надежности по нагрузке для инерционных сил, а также другие необходимые характеристики.

Фактические нагрузки на перекрытия допускается заменять эквивалентными равномерно распределенными нагрузками, рассчитанные значения которых должны обеспечивать несущую способность и жесткость элементов конструкций и их узлов, требуемые по условиям их загружения фактическими нагрузками.

8.1.2 Нормативное значение веса оборудования, в том числе трубопроводов, следует определять на основании стандартов, а для нестандартного оборудования - на основании паспортных данных заводов-изготовителей или рабочих чертежей.

Нагрузки от веса оборудования включают в себя: собственный вес установки или машины (в том числе привода, постоянных приспособлений, опорных устройств, подливок и подбетонок), вес изоляции, заполнителей оборудования, наиболее тяжелой обрабатываемой детали, вес транспортируемого груза, соответствующий номинальной грузоподъемности и т.п.

При этом следует предусматривать мероприятия, исключающие необходимость усиления несущих конструкций, связанного с перемещением технологического оборудования во время монтажа или эксплуатации здания.

Число учитываемых одновременно погрузчиков или электрокаров и их размещение на перекрытии при расчете различных элементов следует принимать по заданию на проектирование на основании технологических решений.

Динамическое воздействие вертикальных нагрузок от погрузчиков и электрокаров допускается учитывать путем умножения нормативных значений статических нагрузок на коэффициент динамичности, равный 1,2.

8.1.3 При задании нормативных значений нагрузок в складских помещениях необходимо учитывать эквивалентную равномерно распределенную нагрузку на перекрытия, покрытия и полы на грунтах, а также вертикальную и, при необходимости, горизонтальную сосредоточенные нагрузки, прикладываемые для учета возможного неблагоприятного влияния местных нагрузок и воздействий.

Эти нагрузки следует определять по заданию на проектирование на основании технологических решений, с учетом удельного веса складируемых материалов и изделий, возможного их размещения по площади помещений и максимальных значений высоты складирования и принимать не менее нормативных значений, приведенных в таблице 8.1.

Таблица 8.1

(в ред. Изменения N 1, утв. Приказом Минстроя РФ от 05.07.2018 N 402/пр)

Здания и помещения Нормативные значения равномерно распределенных нагрузок , кПа Нормативные значения сосредоточенных нагрузок Qt, кН
Торговые склады Не менее 5,0 Не менее 6,0
Производственные и промышленные складские помещения По заданию на проектирование, но не менее:
3,0 - для расчета плит и второстепенных балок;
2,0 - для расчета ригелей, колонн и фундаментов
По заданию на проектирование, но не менее 3,0
Книгохранилища; архивы По заданию на проектирование, но не менее 5,0 Не менее 6,0

8.1.4 Коэффициент надежности по нагрузке для веса оборудования и материалов приведен в таблице 8.2.

Таблица 8.2

Оборудование и материалы Коэффициент надежности по нагрузке
Стационарное оборудование 1,05
Изоляция стационарного оборудования 1,2
Заполнители оборудования (в том числе резервуаров и трубопроводов):  
жидкости 1,0
суспензии, шламы, сыпучие тела 1,1
Погрузчики и электрокары (с грузом) 1,2
Складируемые материалы и изделия 1,2
Книгохранилища; архивы 1,2
(в ред. Изменением N 1, утв. Приказом Минстроя РФ от 05.07.2018 N 402/пр)

8.2 Равномерно распределенные нагрузки

8.2.1 Нормативные значения равномерно распределенных кратковременных нагрузок на плиты перекрытий, лестницы и полы на грунтах приведены в таблице 8.3.

Таблица 8.3

N пп. Помещения зданий и сооружений Нормативные значения равномерно распределенных нагрузок , кПа, не менее
1 Квартиры жилых зданий; спальные помещения детских дошкольных учреждений и школ-интернатов; жилые помещения домов отдыха и пансионатов, общежитий и гостиниц; палаты больниц и санаториев; террасы 1,5
2 Служебные помещения административного, инженерно-технического, научного персонала организаций и учреждений; офисы, классные помещения учреждений просвещения; бытовые помещения (гардеробные, душевые, умывальные, уборные) промышленных предприятий и общественных зданий и сооружений 2,0
3 Кабинеты и лаборатории учреждений здравоохранения, лаборатории учреждений просвещения, науки; помещения электронно-вычислительных машин; кухни общественных зданий; помещения учреждений бытового обслуживания населения (парикмахерские, ателье и т.п.); технические этажи жилых и общественных зданий высотой менее 75 м; подвальные помещения 2,0
4 Залы:  
а) читальные 2,0
б) обеденные (в кафе, ресторанах, столовых и т.п.) 3,0
в) собраний и совещаний, ожидания, зрительные и концертные, спортивные, танцевальные, фитнес-центры, бильярдные 4,0
г) торговые, выставочные и экспозиционные 4,0
(в ред. Изменения N 3, утв. Приказом Минстроя РФ от 30.12.2020 N 897/пр)
Пункт 5. - Исключен.
(в ред. Изменения N 1, утв. Приказом Минстроя РФ от 05.07.2018 N 402/пр)
6 Сцены зрелищных предприятий 5,0
7 Трибуны:  
а) с закрепленными сиденьями 4,0
б) для стоящих зрителей 5,0
8 Чердачные помещения 0,7
9 Покрытия на участках:  
а) с возможным скоплением людей (выходящих из производственных помещений, залов, аудиторий и т.п.) 4,0
б) используемых для отдыха 1,5
в) прочих 0,7
10 Балконы (лоджии) с учетом нагрузки:  
а) полосовой равномерной на участке шириной 0,8 м вдоль ограждения балкона (лоджии) 4,0
б) сплошной равномерной на площади балкона (лоджии), воздействие которой не благоприятнее, чем определяемое по 10, а 2,0
11 Участки обслуживания и ремонта оборудования в производственных помещениях 1,5
12 Вестибюли, фойе, коридоры, лестницы (с относящимися к ним проходами), примыкающие к помещениям, указанным в позициях:  
а) 1, 2 и 3 3,0
б) 4, 5, 6, 11 и 13 4,0
в) 7 5,0
(в ред. Изменения N 3, утв. Приказом Минстроя РФ от 30.12.2020 N 897/пр)
13 Перроны вокзалов, железнодорожные платформы и пассажирские переходы 4,0
(в ред. Изменения N 3, утв. Приказом Минстроя РФ от 30.12.2020 N 897/пр)
14 Помещения для скота:  
а) мелкого 2,0
б) крупного 5,0
Примечания
1 Нагрузки, указанные в поз. 8, следует учитывать на площади, не занятой оборудованием и материалами.
2 Нагрузки, указанные в поз. 9, не следует учитывать одновременно со снеговой нагрузкой.
3 Нагрузки, указанные в поз. 10, следует учитывать при расчете несущих конструкций балконов (лоджий) и участков стен в местах защемления этих конструкций. При расчете нижележащих участков стен, фундаментов и оснований нагрузки на балконы (лоджии) следует принимать равными нагрузкам примыкающих основных помещений зданий и снижать их с учетом 6.7 и 6.8.
(в ред. Изменения N 2, утв. Приказом Минстроя РФ от 28.01.2019 N 49/пр)
4 Нормативные значения нагрузок для зданий и помещений, указанных в позициях 3, 4, г, 6, 11 и 14, следует принимать по заданию на проектирование на основании технологических решений.
(в ред. Изменения N 1, утв. Приказом Минстроя РФ от 05.07.2018 N 402/пр)
5 При проектировании танцевальных залов, сцен театрально-зрелищных предприятий и трибун спортивных сооружений необходимо учитывать динамическое действие нагрузок с частотой, равной 2 Гц, и интенсивностью (амплитудой), равной 1,7 кПа. Значение коэффициента динамичности, а также площадь воздействия устанавливаются в нормах проектирования или задании на проектирование.
(в ред. Изменения N 3, утв. Приказом Минстроя РФ от 30.12.2020 N 897/пр)

8.2.2 Нормативные значения нагрузок на ригели и плиты перекрытий от веса временных перегородок следует принимать в зависимости от их конструкции, расположения и характера опирания на перекрытия и стены. Указанные нагрузки допускается учитывать как равномерно распределенные добавочные нагрузки, принимая их нормативные значения на основании расчета для предполагаемых схем размещения перегородок, но не менее 0,5 кПа.

Абзацы второй - третий. - Исключены. (в ред. Изменения N 2, утв. Приказом Минстроя РФ от 28.01.2019 N 49/пр)

8.2.3 Пониженные нормативные значения равномерно распределенных кратковременных нагрузок, указанных в таблице 8.3, устанавливаются в нормах проектирования строительных конструкций и оснований в зависимости от рассматриваемой расчетной ситуации. (в ред. Изменения N 3, утв. Приказом Минстроя РФ от 30.12.2020 N 897/пр)

8.2.4-8.2.5. Пункты исключены. (в ред. Изменения N 2, утв. Приказом Минстроя РФ от 28.01.2019 N 49/пр)

8.2.6 Нормативные значения горизонтальных нагрузок на поручни перил лестниц и балконов следует принимать:

а) для жилых зданий, дошкольных организаций, домов отдыха, санаториев, больниц и других лечебных учреждений - 0,5 кН/м;

б) для трибун и спортивных залов - 1,5 кН/м;

в) для других зданий и помещений - 0,8 кН/м или по заданию на проектирование;

г) для обслуживающих площадок, мостиков, ограждений крыш, предназначенных для непродолжительного пребывания людей, нормативное значение горизонтальной нагрузки на поручни перил следует принимать 0,3 кН/м, если по заданию на проектирование на основании технологических решений не требуется большее значение нагрузки. (в ред. Изменения N 2, утв. Приказом Минстроя РФ от 28.01.2019 N 49/пр)

8.2.7 Коэффициенты надежности по нагрузке для равномерно распределенных нагрузок, указанных в 8.2.2, следует принимать:

1,3 - при нормативном значении менее 2,0 кПа;

1,2 - при нормативном значении 2,0 кПа и более. (в ред. Изменения N 3, утв. Приказом Минстроя РФ от 30.12.2020 N 897/пр)

Коэффициент надежности по нагрузке от веса временных перегородок следует принимать в соответствии с 7.2.

Для нагрузок, указанных в 8.2.6, следует принимать коэффициент надежности по нагрузке =1,2. (в ред. Изменения N 2, утв. Приказом Минстроя РФ от 28.01.2019 N 49/пр)

8.3 Сосредоточенные нагрузки (в ред. Изменения N 2, утв. Приказом Минстроя РФ от 28.01.2019 N 49/пр)

8.3.1 Несущие элементы перекрытий, покрытий, лестниц и балконов (лоджий) должны быть проверены на сосредоточенную вертикальную нагрузку, приложенную к элементу, в неблагоприятном положении на квадратной площадке со сторонами не более 10 см.

Абзацы второй - третий. - Исключены. (в ред. Изменения N 3, утв. Приказом Минстроя РФ от 30.12.2020 N 897/пр)

8.3.2-8.3.3. Пункты исключены. (в ред. Изменения N 2, утв. Приказом Минстроя РФ от 28.01.2019 N 49/пр)

8.3.4 Если в задании на проектирование на основании технологических решений не предусмотрены более высокие нормативные значения сосредоточенных нагрузок, их следует принимать:

а) для перекрытий и лестниц - 1,5 кН;

б) для чердачных перекрытий, покрытий, террас и балконов - 1,0 кН;

в) для покрытий, по которым можно передвигаться только с помощью трапов и мостиков, - 0,5 кН.

Элементы, рассчитанные на возможные при возведении и эксплуатации местные нагрузки от оборудования и транспортных средств, допускается не проверять на указанную сосредоточенную нагрузку. (в ред. Изменения N 3, утв. Приказом Минстроя РФ от 30.12.2020 N 897/пр)

8.3.5 Для сосредоточенных нагрузок, указанных в 8.3.4, следует принимать коэффициент надежности по нагрузке =1,2. (в ред. Изменений N 2, утв. Приказом Минстроя РФ от 28.01.2019 N 49/пр, N 3, утв. Приказом Минстроя РФ от 30.12.2020 N 897/пр)

8.4 Нагрузки от транспортных средств

8.4.1 Настоящий раздел регламентирует значения вертикальных строительных нагрузок на перекрытия, покрытия и полы на грунтах от колесных транспортных средств, движущихся как свободно, так и по рельсовым путям.

Расчетные значения таких нагрузок включают собственный вес транспортных средств и полезные нагрузки, определяемые их техническими параметрами в соответствии с паспортной документацией заводов-изготовителей.

В случаях, оговоренных в нормах на проектирование конструкций, необходим также учет горизонтальных нагрузок, передаваемых на элементы несущих конструкций зданий и сооружений.

Вертикальные и горизонтальные нагрузки, способы их приложения и расположение должны определяться в каждом конкретном случае заданием на проектирование.

Нормативные значения эквивалентных вертикальных равномерно распределенных и местных сосредоточенных нагрузок на перекрытия, покрытия и полы на грунтах автостоянок следует определять по таблице 8.4.

Таблица 8.4

N п.п. Помещения зданий и сооружений Нормативные значения равномерно распределенных нагрузок , кПа, не менее Нормативные значения сосредоточенных нагрузок , кН, не менее
1 Автостоянки в зданиях для автомашин общим весом до 3 тс включительно:    
а) площади парковки 3,5 20,0
б) пандусы и подъездные пути 5,0 25,0
2 Автостоянки в зданиях для автомашин общим весом от 3 до 16 тс:    
а) площади парковки 5,0 90,0
б) пандусы и подъездные пути 7,0 100,0
3 Автостоянки для автомашин общим весом свыше 16 тс По заданию на проектирование
Примечания
1 Общий вес - совокупность собственного веса автомобиля и максимальной полезной нагрузки.
2 Нормативные значения нагрузок для зданий и помещений, указанных в 2, а, б следует принимать по заданию на проектирование на основании технологических решений.
3 Если внутригаражные проезды доступны для проезда автотранспорта, не размещаемого на автостоянке, то их следует относить к подъездным путям.

8.4.2 При расчете плит перекрытий на продавливание и в других случаях учета местных воздействий следует учитывать сосредоточенные нагрузки величиной 0,5, приложенные на две квадратные площадки стороной 100 мм для позиций 1, а и 1, б таблицы 8.4 и 200 мм для позиций 2, а и 2, б, расположенные на расстоянии 1,8 м друг от друга, в наиболее неблагоприятном возможном положении. Указанные нагрузки не следует рассматривать одновременно с равномерно распределенной нагрузкой .

8.4.3 Расчетные значения нагрузок, указанные в таблице 8.4, допускается уточнять в соответствии с техническими данными автотранспортных средств, с учетом заданной схемы их размещения и коэффициента динамичности, принимаемого не менее 1,4. (в ред. Изменения N 2, утв. Приказом Минстроя РФ от 28.01.2019 N 49/пр)

8.4.4 Пониженные нормативные значения равномерно распределенных нагрузок от транспортных средств устанавливаются в нормах проектирования в зависимости от рассматриваемой расчетной ситуации. (в ред. Изменения N 3, утв. Приказом Минстроя РФ от 30.12.2020 N 897/пр)

8.4.5 Для нагрузок, указанных в 8.4.1, следует принимать коэффициент надежности по нагрузке =1,2.

9 Нагрузки от мостовых и подвесных кранов

9.1 Нагрузки от мостовых и подвесных кранов следует определять в зависимости от групп режимов их работы, устанавливаемых в таблице А.1 приложения А и других нормативных документах, от вида привода и способа подвеса груза.

9.2 Нормативные значения вертикальных нагрузок, передаваемых колесами кранов на балки кранового пути, и другие необходимые для расчета данные следует принимать в соответствии с требованиями государственных стандартов на краны, а для нестандартных кранов - в соответствии с данными, указанными в паспортах заводов-изготовителей.

Примечание - Под крановым путем понимаются обе балки, несущие один мостовой кран, и все балки, несущие один подвесной кран (две балки - при однопролетном, три - при двухпролетном подвесном кране и т.п.).

9.3 Нормативное значение горизонтальной нагрузки, направленной вдоль кранового пути и вызываемой торможением моста крана, следует принимать равным 0,1 полного нормативного значения вертикальной нагрузки на тормозные колеса рассматриваемой стороны крана.

При отсутствии данных допускается принимать, что половина колес крана являются тормозными.

9.4 Нормативное значение горизонтальной нагрузки, направленной поперек кранового пути и вызываемой торможением электрической тележки, следует принимать равным:

- для кранов с гибким подвесом груза - 0,05 суммы подъемной силы крана и веса тележки;

- для кранов с жестким подвесом груза - 0,1 суммы подъемной силы крана и веса тележки.

Эту нагрузку следует учитывать при расчете поперечных рам зданий и балок крановых путей. При этом принимается, что нагрузка передается на одну сторону (балку) кранового пути, распределяется поровну между всеми опирающимися на нее колесами крана и может быть направлена как внутрь, так и наружу рассматриваемого пролета.

9.5 Нормативное значение горизонтальной нагрузки, направленной поперек кранового пути и вызываемой перекосами мостовых кранов и непараллельностью крановых путей (боковой силой), для каждого ходового колеса крана следует принимать равным 0,2 полного нормативного значения вертикальной нагрузки на колесо.

Эту нагрузку необходимо учитывать только при расчете прочности и устойчивости балок крановых путей и их креплений к колоннам в зданиях с кранами групп режимов работы 7К, 8К. При этом принимается, что нагрузка передается на балку кранового пути от всех колес одной стороны крана и может быть направлена как внутрь, так и наружу рассматриваемого пролета здания. Нагрузку, указанную в 9.4, не следует учитывать совместно с боковой силой.

9.6 Горизонтальные нагрузки от торможения моста и тележки крана и боковые силы считаются приложенными в месте контакта ходовых колес крана с рельсом.

9.7 Нормативное значение горизонтальной нагрузки, направленной вдоль кранового пути и вызываемой ударом крана о тупиковый упор, следует определять в соответствии с указаниями, приведенными в А.2 приложения А. Эту нагрузку необходимо учитывать только при расчете упоров и их креплений к балкам кранового пути.

9.8 Коэффициент надежности по нагрузке для крановых нагрузок, в том числе, при проверке местной устойчивости стенок балок, следует принимать равным =1,2 для всех режимов работы.

9.9 При учете местного и динамического действия сосредоточенной вертикальной нагрузки от одного колеса крана полное нормативное значение этой нагрузки следует умножать при расчете прочности балок крановых путей на дополнительный коэффициент, равный:

1,8 - для группы режима работы кранов 8К с жестким подвесом груза;

1,7 - для группы режима работы кранов 8К с гибким подвесом груза;

1,6 - для группы режима работы кранов 7К;

1,4 - для группы режима работы кранов 6К;

1,2 - для остальных групп режимов работы кранов.

9.10 При расчете прочности и устойчивости балок кранового пути и их креплений к несущим конструкциям нормативные значения вертикальных крановых нагрузок следует умножать на коэффициент динамичности, равный 1,2 независимо от шага колонн. (в ред. Изменения N 3, утв. Приказом Минстроя РФ от 30.12.2020 N 897/пр)

При расчете конструкций на выносливость, проверке прогибов балок крановых путей и смещений колонн, а также при учете местного действия сосредоточенной вертикальной нагрузки от одного колеса крана коэффициент динамичности учитывать не следует.

9.11 Вертикальные нагрузки при расчете прочности и устойчивости балок крановых путей следует учитывать не более чем от двух наиболее неблагоприятных по воздействию мостовых или подвесных кранов.

9.12 Вертикальные нагрузки при расчете прочности и устойчивости рам, колонн, фундаментов, а также оснований в зданиях с мостовыми кранами в нескольких пролетах (в каждом пролете на одном ярусе) следует принимать на каждом пути не более чем от двух наиболее неблагоприятных по воздействию кранов, а при учете совмещения в одном створе кранов разных пролетов - не более чем от четырех наиболее неблагоприятных по воздействию кранов.

9.13 Вертикальные нагрузки при расчете прочности и устойчивости рам, колонн, стропильных и подстропильных конструкций, фундаментов, а также оснований зданий с подвесными кранами на одном или нескольких путях следует принимать на каждом пути не более чем от двух наиболее неблагоприятных по воздействию кранов. При учете совмещения в одном створе подвесных кранов, работающих на разных путях, вертикальные нагрузки следует принимать:

не более чем от двух кранов:

- для колонн, подстропильных конструкций, фундаментов и оснований крайнего ряда при двух крановых путях в пролете;

не более чем от четырех кранов:

- для колонн, подстропильных конструкций, фундаментов и оснований среднего ряда;

- для колонн, подстропильных конструкций, фундаментов и оснований крайнего ряда при трех крановых путях в пролете;

- для стропильных конструкций при двух или трех крановых путях в пролете.

9.14 Горизонтальные нагрузки при расчете прочности и устойчивости балок крановых путей, колонн, рам, стропильных и подстропильных конструкций, фундаментов, а также оснований следует учитывать не более чем от двух наиболее неблагоприятных по воздействию кранов, расположенных на одном крановом пути или на разных путях в одном створе. При этом для каждого крана необходимо учитывать только одну горизонтальную нагрузку (поперечную или продольную).

9.15 Число кранов, учитываемое в расчетах прочности и устойчивости при определении вертикальных и горизонтальных нагрузок от мостовых кранов на двух или трех ярусах в пролете, при одновременном размещении в пролете как подвесных, так и мостовых кранов, а также при эксплуатации подвесных кранов, предназначенных для передачи груза с одного крана на другой с помощью перекидных мостиков, следует принимать по заданию на проектирование на основании технологических решений.

9.16 При определении вертикальных и горизонтальных прогибов балок крановых путей, а также горизонтальных смещений колонн нагрузку следует учитывать от одного наиболее неблагоприятного по воздействию крана.

9.17 При наличии на крановом пути одного крана и при условии, что второй кран не будет установлен во время эксплуатации сооружения, нагрузки на этом пути должны быть учтены только от одного крана.

9.18 При учете двух кранов нагрузки от них необходимо умножать на коэффициент сочетаний:

=0,85 - для групп режимов работы кранов 1К - 6К;

=0,95 - для групп режимов работы кранов 7К, 8К.

При учете четырех кранов нагрузки от них необходимо умножать на коэффициент сочетаний:

=0,7 - для групп режимов работы кранов 1К - 6К;

=0,8 - для групп режимов работы кранов 7К, 8К.

При учете одного крана вертикальные и горизонтальные нагрузки от него необходимо принимать без снижения.

9.19 При расчете на выносливость балок крановых путей под электрические мостовые краны и креплений этих балок к несущим конструкциям значения крановых нагрузок определяются умножением нормативного значения вертикальной нагрузки от одного крана (см. 9.2) в каждом пролете здания на коэффициент: 0,4 - для групп режимов работы кранов 1К - 3К; 0,5 - для групп режимов работы кранов 4К - 6К; 0,6 - для группы режима работы кранов 7К; 0,7 - для группы режима работы кранов 8К. (в ред. Изменения N 3, утв. Приказом Минстроя РФ от 30.12.2020 N 897/пр)

9.20 Для проверки выносливости стенок балок в зоне действия сосредоточенной вертикальной нагрузки от одного колеса крана значения вертикального усилия от колеса, принимаемые с учетом 9.19, следует умножать на коэффициент, учитываемый при расчете прочности балок крановых путей в соответствии с 9.9.

Группы режимов работы кранов, при которых следует проводить расчет на выносливость, устанавливаются нормами на проектирование конструкций. (в ред. Изменения N 3, утв. Приказом Минстроя РФ от 30.12.2020 N 897/пр)

10 Снеговые нагрузки

10.1 Нормативное значение снеговой нагрузки на горизонтальную проекцию покрытия следует определять по формуле

(10.1)

где - коэффициент, учитывающий снос снега с покрытий зданий под действием ветра или иных факторов, принимаемый в соответствии с 10.5 - 10.9;

- термический коэффициент, принимаемый в соответствии с 10.10;

- коэффициент формы, учитывающий переход от веса снегового покрова земли к снеговой нагрузке на покрытие, принимаемый в соответствии с 10.4; (в ред. Изменения N 2, утв. Приказом Минстроя РФ от 28.01.2019 N 49/пр)

- нормативное значение веса снегового покрова на 1 м2 горизонтальной поверхности земли, принимаемое в соответствии с 10.2.

10.2 Нормативное значение веса снегового покрова на 1 м2 горизонтальной поверхности земли для отдельных населенных пунктов Российской Федерации принимают в соответствии с приложением К.

Для остальной территории Российской Федерации нормативное значение веса снегового покрова на 1 м2 горизонтальной поверхности земли следует принимать в зависимости от снегового района по данным таблицы 10.1.

Таблица 10.1

Снеговые районы
(принимаются по карте 1 приложения Е)
I II III IV V VI VII VIII
, кН/м2 0,5 1,0 1,5 2,0 2,5 3,0 3,5 4,0

Значения , указанные в таблице 10.1, допускается уточнять в установленном порядке на основе данных организаций по гидрометеорологии для места строительства. В этом случае значение следует вычислять по формуле , где - превышаемый в среднем один раз в 50 лет ежегодный максимум веса снегового покрова, определяемый на основе данных многолетних маршрутных снегосъемок о запасах воды в снеговом покрове на защищенных от прямого воздействия ветра участках местности.

Нормативное значение веса снегового покрова необходимо определять по формуле, приведенной в примечании 1 к карте 1 приложения Е, с учетом высотного коэффициента, принимаемого по таблице Е.1, или устанавливать на основе данных организаций по гидрометеорологии в следующих случаях:

- для пунктов, расположенных в горных и малоизученных районах, обозначенных на карте 1 приложения Е;

- в местах со сложным изменением рельефа и высотой над уровнем моря более 500 м. (в ред. Изменения N 2, утв. Приказом Минстроя РФ от 28.01.2019 N 49/пр)

10.3 В расчетах необходимо рассматривать схемы равномерно распределенных и не равномерно распределенных снеговых нагрузок на покрытия в их наиболее неблагоприятных расчетных сочетаниях.

10.4 Схемы распределения снеговой нагрузки и значения коэффициента формы для покрытий следует принимать в соответствии с приложением Б. (в ред. Изменения N 2, утв. Приказом Минстроя РФ от 28.01.2019 N 49/пр)

Для зданий и сооружений, имеющих габаритные размеры покрытия, превышающие 100 м в обоих направлениях, за исключением покрытий, указанных на схемах Б.1 и Б.5 приложения Б, а также во всех случаях, не предусмотренных приложением Б (при иных формах покрытий, при необходимости учета различных направлений переноса снега по покрытию, близко расположенных зданий и сооружений окружающей застройки и т.п.), схемы распределения снеговой нагрузки по покрытиям и значения коэффициента устанавливаются в рекомендациях, разработанных на основе результатов модельных испытаний в аэродинамических трубах (см. приложения Ж и И) с учетом 4.7 или имеющихся данных.

Значения коэффициента формы необходимо устанавливать с учетом наиболее неблагоприятных направлений снегопереноса, средней температуры воздуха в зимний период, влажности, закономерностей изменения плотности и структуры снегоотложений во времени для места строительства. (в ред. Изменения N 2, утв. Приказом Минстроя РФ от 28.01.2019 N 49/пр)

В тех случаях, когда более неблагоприятные условия работы элементов конструкций возникают при частичном загружении покрытия, следует рассматривать дополнительные схемы приложения снеговых нагрузок:

- на одном скате двускатных покрытий и половине площади (вдоль пролета) сводчатых покрытий, указанных в Б.1, Б.2 приложения Б, имеющих наибольший уклон более 20°;

- на одном скате в каждом пролете либо на двух смежных скатах через пролет двух- и многопролетных зданий с двускатными покрытиями (Б.5 приложения Б) при уклоне ската более 20°;

- на половине площади двух смежных сводов через пролет многопролетных сводчатых покрытий (Б.6 приложения Б) при наибольшем уклоне поверхности свода более 20°;

- в секторе, равном половине или четверти площади покрытий, указанных в Б.10 - Б.12 приложения Б, имеющих наибольший уклон более 20°;

- для покрытий с фонарями (Б.3 приложения Б) - на одном из участков шириной b. (в ред. Изменения N 3, утв. Приказом Минстроя РФ от 30.12.2020 N 897/пр)

Примечания

1 В необходимых случаях снеговые нагрузки следует определять с учетом предусмотренного дальнейшего расширения здания.

2 В приложении Б следует учитывать нормативное значение снеговой нагрузки =.

3 При расчетах конструкций допускается применение упрощенных схем снеговых нагрузок, эквивалентных по воздействию схемам нагрузок, приведенным в приложении Б.

4 При расчете прогонов покрытий на снеговую равномерно распределенную нагрузку следует учесть локальную неравномерность снегоотложений введением дополнительного коэффициента =1,1. (в ред. Изменения N 3, утв. Приказом Минстроя РФ от 30.12.2020 N 897/пр)

5 При эксплуатации существующих зданий, запроектированных на более низкие расчетные значения снеговой нагрузки, чем установлено действующим сводом правил, до проведения реконструкции зданий необходимо предусмотреть мероприятия по очистке кровли от снега. (в ред. Изменением N 3, утв. Приказом Минстроя РФ от 30.12.2020 N 897/пр)

10.5 Коэффициент , учитывающий снос снега с покрытий зданий под действием ветра или иных факторов, устанавливается в зависимости от типа местности (см. 11.1.6), формы покрытия и степени его защищенности от прямого воздействия ветра согласно 10.6 - 10.9.

10.6 Для покрытий зданий, защищенных от прямого воздействия ветра, в том числе: соседними более высокими зданиями, удаленными менее чем на , где - разность высот соседнего и проектируемого зданий; сплошными элементами конструкций, возвышающимися над покрытием с двух и более сторон; более высоким лесным массивом; для покрытий, расположенных ниже окружающей местности, проектируемых на местности типа C (см. 11.1.6), а также во всех случаях, не предусмотренных в 10.7 и 10.8, следует принимать =1,0.

10.7 Для пологих (с уклонами до 10° или f/l 0,05, где f - стрела подъема покрытия, м; l - пролет покрытия, м) покрытий однопролетных и многопролетных зданий без фонарей, проектируемых на местности типов A или B (см. 11.1.6) и имеющих характерный размер в плане не более 100 м (см. схемы Б.1, Б.2, Б.5 и Б.6 приложения Б), а также для покрытий высотных зданий допускается учитывать коэффициент сноса снега, принимаемый по формуле (10.2), но не менее 0,5 и не более 1,0:

, (10.2)

где - коэффициент, зависящий от средней скорости ветра в зимний период и среднемесячной температуры воздуха в январе, принимаемый по таблице 10.2;

k - коэффициент, зависящий от высоты над уровнем планировочной отметки земли, принимаемый по таблице 11.2 для типов местности A или B (см. 11.1.6);

- характерный размер покрытия, принимаемый не более 100 м;

здесь b - наименьший размер покрытия в плане;

- наибольший размер покрытия в плане.

Таблица 10.2

Коэффициент

Среднемесячная температура воздуха в январе T, °C
(по таблице 5.1
СП 131.13330.2018)
Средняя скорость ветра v, м/с, за период со средней суточной температурой воздуха 8 °C
(по таблице 3.1 СП 131.13330.2018) для типов местности
3 < v 4 4 < v 6 v > 6
A B A B A B
-15 T < -5 1,4 1,4 1,3 1,4 1,3 1,3
-25 T < -15 1,4 1,4 1,3 1,4 1,2 1,3
T < -25 1,3 1,4 1,2 1,3 1,2 1,2
Примечания
1 Среднемесячная температура воздуха в январе и средняя скорость ветра принимаются для ближайшего населенного пункта к месту строительства.
2 Тип местности может отличаться при различных направлениях снегопереноса. В случае если местность типа A распространяется на расстояние менее 300 м от объекта, а далее расположены здания или сооружения, лесной массив или иные препятствия, характерные для местности типа B, данное направление следует относить к местности типа B.

(в ред. Изменения N 3, утв. Приказом Минстроя РФ от 30.12.2020 N 897/пр)

10.8 Для купольных сферических и конических покрытий зданий на круглом плане, регламентируемых схемами Б.13, Б.14 приложения Б, при задании равномерно распределенной снеговой нагрузки значения коэффициента следует устанавливать в зависимости от диаметра d основания купола:

=0,85 при d60 м;

=1,0 при d>100 м; (10.3)

=0,85+0,00375(d-60) - в промежуточных случаях.

10.9 Снижение снеговой нагрузки, предусматриваемое 10.7, 10.8, не распространяется:

а) на покрытия зданий в районах со среднемесячной температурой воздуха в январе выше минус 5 °C (см. таблицу 5.1 СП 131.13330);

б) на участки покрытий длиной b, и , у перепадов высот зданий и парапетов (см. схемы Б.8 - Б.11 приложения Б).

10.10 Термический коэффициент следует применять для учета снижения снеговых нагрузок на покрытия с высоким коэффициентом теплопередачи (> 1 Вт/(м2°C)) вследствие таяния, вызванного потерей тепла.

При определении снеговых нагрузок для неутепленных покрытий зданий с повышенными тепловыделениями, приводящими к таянию снега, при уклонах кровли свыше 3% и обеспечении надлежащего отвода талой воды следует вводить термический коэффициент =0,8. В остальных случаях =1,0.

Примечание - Значения коэффициента допускается устанавливать в специальных рекомендациях с учетом термоизоляционных свойств материалов и формы конструктивных элементов.

10.11 Для районов со средней температурой января минус 5 °C и ниже (по таблице 5.1 СП 131.13330.2018) пониженное нормативное значение снеговой нагрузки устанавливают в нормах проектирования строительных конструкций и оснований в зависимости от рассматриваемой расчетной ситуации. При этом коэффициенты и принимают равными единице.

Для районов со средней температурой января выше минус 5 °C пониженное значение снеговой нагрузки не учитывается. (в ред. Изменения N 3, утв. Приказом Минстроя РФ от 30.12.2020 N 897/пр)

10.12 Коэффициент надежности по нагрузке для снеговой нагрузки следует принимать равным 1,4.

10.13 Нормативное значение горизонтальной нагрузки T, кН/м, от сползания снега, действующей на выступающие над кровлей парапеты, элементы ограждающих конструкций, фасадных систем и снегозадерживающие устройства, устанавливается в зависимости от уклона покрытия по формуле

(10.4)

где - коэффициент, учитывающий таяние снега, принимаемый равным 0,9;

- нормативное значение снеговой нагрузки на покрытие, кН/м2, принимаемое согласно 10.1;

- уклон поверхности покрытия в месте приложения нагрузки, градусы, принимаемый не менее 12°;

v - коэффициент трения снега по материалу покрытия, принимаемый по таблице 10.3;

L - длина зоны сползания снега или расстояние между снегозадерживающими преградами (в проекции на горизонтальную поверхность), м.

Таблица 10.3

Коэффициент трения v снега по материалу

Материал поверхности покрытия Коэффициент трения v Материал поверхности покрытия Коэффициент трения v
Сталь листовая 0,02 Дерево, сухой снег 0,035
Сталь, фальцевая кровля 0,03 Дерево, влажный снег 0,1
Алюминий 0,04 Лед 0,028
Стекло 0,012 Металлочерепица 0,1
Полимерное покрытие из поливинилхлорида 0,014 Керамическая черепица 0,2
Примечание - Для других материалов покрытия коэффициент трения принимают на основе опубликованных данных.

Коэффициент надежности по нагрузке следует принимать согласно 10.12. (в ред. Изменения N 3, утв. Приказом Минстроя РФ от 30.12.2020 N 897/пр)

11 Воздействия ветра

Для зданий и сооружений необходимо учитывать следующие воздействия ветра:

а) основной тип ветровой нагрузки (в дальнейшем - "основная ветровая нагрузка", см. раздел 11.1);

б) пиковые значения ветровой нагрузки, действующие на конструктивные элементы ограждения и элементы их крепления (в дальнейшем - "пиковая ветровая нагрузка", см. раздел 11.2);

в) резонансное вихревое возбуждение (см. раздел 11.3 и приложение В.2);

г) аэродинамически неустойчивые колебания типа галопирования, дивергенции и флаттера.

Основной тип ветровой нагрузки и пиковые ветровые нагрузки связаны с непосредственным действием на здания и сооружения максимальных для места строительства ураганных ветров и должны учитываться при проектировании всех сооружений.

Резонансное вихревое возбуждение и аэродинамические неустойчивые колебания необходимо учитывать для зданий, сплошностенчатых сооружений или их отдельных участков, имеющих прямолинейную (или близкую к прямолинейной) центральную ось, а также неизменяющиеся или плавно изменяющиеся формы и размеры поперечного сечения, для которых >20, где определено в В.1.15. Критерии возможности возбуждения аэродинамически неустойчивых колебаний устанавливаются в нормах проектирования. При проектировании сооружений должны использоваться такие архитектурные и конструктивные решения, которые исключают возбуждение аэродинамически неустойчивых колебаний. (в ред. Изменения N 1, утв. Приказом Минстроя РФ от 05.07.2018 N 402/пр)

Коэффициент надежности по нагрузке для основной и пиковой ветровых нагрузок следует принимать равным 1,4; при расчете на резонансное вихревое возбуждение коэффициент надежности по нагрузке принимается равным 1,0.

При разработке архитектурно-планировочных решений городских кварталов, а также при планировании возведения зданий внутри существующих городских кварталов необходимо провести оценку комфортности пешеходных зон.

11.1 Основная ветровая нагрузка

11.1.1 Нормативное значение основной ветровой нагрузки w следует задавать в одном из двух вариантов. В первом случае нагрузка w представляет собой совокупность:

а) нормального давления , приложенного к внешней поверхности сооружения или элемента;

б) сил трения , направленных по касательной к внешней поверхности и отнесенных к площади ее горизонтальной (для шедовых или волнистых покрытий, покрытий с фонарями) или вертикальной проекции (для стен с лоджиями и подобных конструкций);

в) нормального давления , приложенного к внутренним поверхностям сооружений с проницаемыми ограждениями, открывающимися или постоянно открытыми проемами.

Во втором случае нагрузка w рассматривается как совокупность:

а) проекций и , внешних сил, обусловленных общим сопротивлением сооружения в направлении осей x и y;

б) крутящего момента относительно оси z.

Примечание - Для линейных конструктивных элементов (проводов, тросов и т.п.), покрытых гололедом, их диаметр необходимо принимать с учетом толщины стенки гололеда (см. раздел 12). (в ред. Изменением N 3, утв. Приказом Минстроя РФ от 30.12.2020 N 897/пр)

11.1.2 Во всех случаях нормативное значение основной ветровой нагрузки w следует определять как сумму средней и пульсационной составляющих

. (11.1).

(в ред. Изменения N 2, утв. Приказом Минстроя РФ от 28.01.2019 N 49/пр)

При определении внутреннего давления пульсационную составляющую ветровой нагрузки допускается не учитывать.

11.1.3 Нормативное значение средней составляющей основной ветровой нагрузки в зависимости от эквивалентной высоты над поверхностью земли следует определять по формуле

, (11.2)

где - нормативное значение ветрового давления (см. 11.1.4);

- коэффициент, учитывающий изменение ветрового давления для высоты (см. 11.1.5 и 11.1.6);

c - аэродинамический коэффициент (см. 11.1.7).

11.1.4 Нормативное значение ветрового давления принимается в зависимости от ветрового района по таблице 11.1. Нормативное значение ветрового давления допускается уточнять в установленном порядке на основе данных местных метеостанций (см. 4.4). В этом случае , Па, следует определять по формуле

(11.3)

где - скорость ветра, м/с, на уровне 10 м над поверхностью земли для местности типа A (11.1.6), определяемая с 10-минутным интервалом осреднения и с периодом повторяемости 50 лет, т.е. превышаемая в среднем один раз в 50 лет.

Таблица 11.1

Ветровые районы (принимаются по карте 2 приложения Е) Ia I II III IV V VI VII
, кПа 0,17 0,23 0,30 0,38 0,48 0,60 0,73 0,85

11.1.5 Эквивалентная высота определяется следующим образом.

1 Для башенных сооружений, мачт, труб, решетчатых конструкций и т.п. сооружений =z.

2 Для зданий:

а) при hd=h;

б) при d < h 2d:

для zh-d=h;

для 0<z<h-d=d;

в) при h > 2d:

для zh-d=h;

для d<z<h-d=z;

для 0<zd=d.

Здесь z - высота от поверхности земли;

d - размер здания (без учета его стилобатной части) в направлении, перпендикулярном расчетному направлению ветра (поперечный размер);

h - высота здания.

11.1.6 Коэффициент k() для высот 300 м определяется по таблице 11.2 или по формуле (11.4), в которых принимаются следующие типы местности:

A - открытые побережья морей, озер и водохранилищ, сельские местности, в том числе с постройками высотой менее 10 м, пустыни, степи, лесостепи, тундра;

B - городские территории, лесные массивы и другие местности, равномерно покрытые препятствиями высотой более 10 м;

C - городские районы с плотной застройкой зданиями высотой более 25 м.

Сооружение считается расположенным в местности данного типа, если эта местность сохраняется с наветренной стороны сооружения на расстоянии 30h - при высоте сооружения h < 60 м и на расстоянии 2 км - при h > 60 м.

Примечания

1 Для высот > 300 м коэффициент k(), а также коэффициент пульсации давления ветра (см. 11.1.8) определяются в рекомендациях, разработанных в рамках научно-технического сопровождения.

2 Типы местности могут быть различными для разных расчетных направлений ветра.

3 Для высот 5 м коэффициент k(), а также коэффициент пульсации давления ветра (см. 11.1.8) определяются по таблицам 11.2 и 11.4 соответственно. (в ред. Изменением N 2, утв. Приказом Минстроя РФ от 28.01.2019 N 49/пр)

Таблица 11.2

Высота , м Коэффициент k для типов местности
A B C
5 0,75 0,5 0,4
10 1,0 0,65 0,4
20 1,25 0,85 0,55
40 1,5 1,1 0,8
60 1,7 1,3 1,0
80 1,85 1,45 1,15
100 2,0 1,6 1,25
150 2,25 1,9 1,55
200 2,45 2,1 1,8
250 2,65 2,3 2,0
300 2,75 2,5 2,2

при 10300 м. (11.4)

(в ред. Изменения N 2, утв. Приказом Минстроя РФ от 28.01.2019 N 49/пр)

Примечание - Для высот < 10 м коэффициент k() определяется по таблице 11.2. (в ред. Изменением N 2, утв. Приказом Минстроя РФ от 28.01.2019 N 49/пр)

Значения параметров и для различных типов местностей приведены в таблице 11.3.

Таблица 11.3

Параметр Тип местности
A B C
0,15 0,2 0,25
1,0 0,65 0,4
0,76 1,06 1,78

11.1.7 При определении компонентов ветровой нагрузки , , , , и следует использовать соответствующие значения аэродинамических коэффициентов: внешнего давления , трения , внутреннего давления и лобового сопротивления , поперечной силы , крутящего момента , принимаемых по приложению В.1, где стрелками показано направление ветра. Знак "плюс" у коэффициентов или соответствует направлению давления ветра на соответствующую поверхность (активное давление), знак "минус" - от поверхности (отсос). Промежуточные значения нагрузок следует определять линейной интерполяцией.

При определении ветровой нагрузки на поверхности внутренних стен и перегородок при отсутствии наружного ограждения (на стадии монтажа) следует использовать аэродинамические коэффициенты внешнего давления или лобового сопротивления .

Для сооружений повышенного уровня ответственности, которые указаны в [1, статья 48.1, часть 2] или в примечании 2, а также во всех случаях, не предусмотренных В.1 (иные формы сооружений, учет других направлений ветрового потока или учет составляющих общего сопротивления тела по другим направлениям, необходимость учета влияния близстоящих зданий и сооружений, рельефа местности и т.п.), аэродинамические коэффициенты устанавливают с учетом опыта нормирования воздействия ветра на основе результатов модельных испытаний сооружений в аэродинамических трубах (см. приложения Ж и И) или опубликованных данных. (в ред. Изменения N 3, утв. Приказом Минстроя РФ от 30.12.2020 N 897/пр)

Абзацы четвертый - пятый. - Исключены. (в ред. Изменения N 3, утв. Приказом Минстроя РФ от 30.12.2020 N 897/пр)

Примечания

1 При назначении коэффициентов , и необходимо указать размеры сооружения, к которым они отнесены.

2 Для градирен, наружных кабельных эстакад, эстакад под технологические трубопроводы, наружных этажерок с оборудованием или с защитными экранами, козырьков с вылетом более 7 м, групп сооружений с круговой цилиндрической поверхностью, расстояние между которыми менее 3d, а также горизонтальных цилиндрических сооружений, расположенных вблизи плоской поверхности на высоте менее 1,5d, аэродинамические коэффициенты необходимо устанавливать в специальных рекомендациях (здесь d максимальный диаметр цилиндрических сооружений).

3 Значения аэродинамических коэффициентов, указанных в В.1 приложения В, допускается уточнять на основе данных модельных аэродинамических испытаний сооружений.

4 Для зданий и сплошностенчатых сооружений аэродинамические коэффициенты полного давления определяются как алгебраическая сумма коэффициентов внешнего и внутреннего давлений. (в ред. Изменением N 2, утв. Приказом Минстроя РФ от 28.01.2019 N 49/пр)

11.1.8 Нормативное значение пульсационной составляющей основной ветровой нагрузки на эквивалентной высоте необходимо определять следующим образом: (в ред. Изменения N 2, утв. Приказом Минстроя РФ от 28.01.2019 N 49/пр)

а) для сооружений (и их конструктивных элементов), у которых первая частота собственных колебаний , Гц, больше предельного значения собственной частоты (см. 11.1.10), - по формуле

, (11.5)

(в ред. Изменения N 2, утв. Приказом Минстроя РФ от 28.01.2019 N 49/пр)

где - определяется в соответствии с 11.1.3;

- коэффициент пульсации давления ветра, принимаемый по таблице 11.4 или формуле (11.6) для эквивалентной высоты (см. 11.1.5);

v - коэффициент пространственной корреляции пульсаций давления ветра (см. 11.1.11).

Таблица 11.4

Высота , м Коэффициент пульсаций давления ветра для типов местности
A B C
5 0,85 1,22 1,78
10 0,76 1,06 1,78
20 0,69 0,92 1,50
40 0,62 0,80 1,26
60 0,58 0,74 1,14
80 0,56 0,70 1,06
100 0,54 0.67 1,00
150 0,51 0,62 0,90
200 0,49 0,58 0,84
250 0,47 0,56 0,80
300 0,46 0,54 0,76

при 10300 м. (11.6)

(в ред. Изменения N 2, утв. Приказом Минстроя РФ от 28.01.2019 N 49/пр)

Примечание - Для высот < 10 м коэффициент определяется по таблице 11.4. (в ред. Изменением N 2, утв. Приказом Минстроя РФ от 28.01.2019 N 49/пр)

Значение параметров и для различных типов местностей приведены в таблице 11.3;

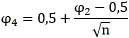
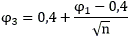
б) для всех сооружений (и их конструктивных элементов), у которых < < - по формуле

, (11.7)

(в ред. Изменения N 2, утв. Приказом Минстроя РФ от 28.01.2019 N 49/пр)

где - вторая собственная частота;

- коэффициент динамичности, определяемый по рисунку 11.1 в зависимости от суммарного логарифмического декремента колебаний (см. 11.1.10) и безразмерного периода , который определяется по формуле (11.8 а) для первой собственной частоты ;

(11.8 а)

(в ред. Изменения N 1, утв. Приказом Минстроя РФ от 05.07.2018 N 402/пр)

Здесь (Па) - нормативное значение давления ветра (см. 11.1.4);

- коэффициент, учитывающий изменение давления ветра для высоты zэк (11.1.6);

- коэффициент надежности по нагрузке (см. преамбулу к разделу 11). (в ред. Изменения N 3, утв. Приказом Минстроя РФ от 30.12.2020 N 897/пр)

Для конструктивных элементов, а также конструкций, расположенных горизонтально или с малым уклоном (например, переходных или транспортных галерей) - высота z, на которой они расположены; для зданий и сооружений = 0,8h, где h - высота сооружений;

Примечание - Суммарный логарифмический декремент колебаний определяется как сумма логарифмического декремента конструкционного демпфирования и аэродинамического логарифмического декремента . При использовании различных демпфирующих устройств (например, гасителей колебаний различного типа) дополнительно необходимо учитывать соответствующий логарифмический декремент . В этих случаях значения суммарного логарифмического декремента и безразмерного периода определяются в рамках научно-технического сопровождения или в задании на проектирование. (в ред. Изменения N 1, утв. Приказом Минстроя РФ от 05.07.2018 N 402/пр)

Рисунок 11.1 - Коэффициенты динамичности
 
(в ред. Изменения N 1, утв. Приказом Минстроя РФ от 05.07.2018 N 402/пр)

в) для сооружений, у которых вторая собственная частота меньше предельной, необходимо производить динамический расчет с учетом s первых форм собственных колебаний. Число s следует определять из условия ;

г) при расчете зданий допускается учитывать динамическую реакцию по трем низшим собственным формам колебаний (двум изгибных и одной крутильной или смешанным крутильно-изгибным).

Примечания

1 При расчете многоэтажных железобетонных зданий высотой до 40 м и одноэтажных железобетонных производственных зданий высотой до 36 м при отношении высоты к пролету менее 1,5, размещаемых в местностях типа A и B (см. 11.1.6), пульсационную составляющую ветровой нагрузки допускается определять по формуле (11.5).

2 Собственные частоты допускается определять при действии нормативных значений нагрузок (постоянных, длительных, кратковременных), учитываемых для рассматриваемой расчетной ситуации.

11.1.9 Усилия и перемещения при учете динамической реакции по s собственным формам определяются по формуле

(11.9)

где X - суммарные усилия или перемещения;

- усилия или перемещения по s-й форме колебаний.

11.1.10 Предельное значение частоты собственных колебаний , Гц, следует определять в зависимости от предельного безразмерного периода :

(11.9а)

где значение параметра приведено в таблице 11.5 для трех значений суммарного логарифмического декремента колебаний .

Таблица 11.5

0,15 0,22 0,3
0,0077 0,014 0,023

Значение суммарного логарифмического декремента колебаний следует принимать:

а) для железобетонных и каменных сооружений, а также для зданий со стальным каркасом при наличии ограждающих конструкций =0,3;

б) для стальных сооружений, футерованных дымовых труб, аппаратов колонного типа, в том числе на железобетонных постаментах, =0,15;

в) для стекла, а также смешанных сооружений, имеющих одновременно стальные и железобетонные несущие конструкции, =0,22.

Примечание - В тех случаях, когда используются различные типы демпфирующих устройств (гасители колебаний), значение суммарного логарифмического декремента колебаний устанавливается в рамках научно технического сопровождения проектирования. (в ред. Изменения N 1, утв. Приказом Минстроя РФ от 05.07.2018 N 402/пр)

11.1.11 Коэффициент пространственной корреляции пульсаций давления следует определять для расчетной поверхности сооружения или отдельной конструкции, для которой учитывается корреляция пульсаций.

Расчетная поверхность включает в себя те части наветренных и подветренных поверхностей, боковых стен, кровли и подобных конструкций, с которых давление ветра передается на рассчитываемый элемент сооружения.

Если расчетная поверхность близка к прямоугольнику, ориентированному так, что его стороны параллельны основным осям (рисунок 11.2), то коэффициент v следует определять по таблице 11.6 в зависимости от параметров и , принимаемых по таблице 11.7.

Рисунок 11.2 - Основная система координат при определении коэффициента корреляции v

Таблица 11.6

, м Коэффициент v при , м, равном
5 10 20 40 80 160 350
0,1 0,95 0,92 0,88 0,83 0,76 0,67 0,56
5 0,89 0,87 0,84 0,80 0,73 0,65 0,54
10 0,85 0,84 0,81 0,77 0,71 0,64 0,53
20 0,80 0,78 0,76 0,73 0,68 0,61 0,51
40 0,72 0,72 0,70 0,67 0,63 0,57 0,48
80 0,63 0,63 0,61 0,59 0,56 0,51 0,44
160 0,53 0,53 0,52 0,50 0,47 0,44 0,38

При расчете сооружения в целом размеры расчетной поверхности следует определять с учетом указаний В.1 приложения В, при этом для решетчатых сооружений в качестве расчетной поверхности необходимо принимать размеры поверхности по его внешнему контуру.

Таблица 11.7

(в ред. Изменения N 2, утв. Приказом Минстроя РФ от 28.01.2019 N 49/пр)

Основная координатная плоскость, параллельно которой расположена расчетная поверхность
zoy b h
zox 0,4a h
xoy b a

11.2 Пиковая ветровая нагрузка

Для элементов ограждения и узлов их креплений (в частности, навесных фасадных систем и светопрозрачных конструкций фасадов и покрытий) необходимо учитывать пиковые положительные и отрицательные воздействия ветровой нагрузки, нормативные значения которых определяются по формуле

, (11.10)

(в ред. Изменения N 2, утв. Приказом Минстроя РФ от 28.01.2019 N 49/пр)

где - нормативное значение давления ветра (см. 11.1.4);

- эквивалентная высота (см. 11.1.5);

и - коэффициенты, учитывающие, соответственно, изменение давления и пульсаций давления ветра на высоте (см. 11.1.6 и 11.1.8);

- пиковые значения аэродинамических коэффициентов положительного давления (+) или отсоса (-);

- коэффициенты корреляции ветровой нагрузки, соответствующие положительному давлению (+) и отсосу (-); значения этих коэффициентов приведены в таблице 11.8 в зависимости от площади ограждения A, с которой собирается ветровая нагрузка.

Таблица 11.8

A, м2 < 2 5 10 > 20
1,0 0,9 0,8 0,75
1,0 0,85 0,75 0,65

Для отдельно стоящих прямоугольных в плане зданий значения аэродинамических коэффициентов и приведены в В.1.17. Во всех остальных случаях коэффициенты и определяются на основе результатов модельных испытаний сооружений в аэродинамических трубах или с учетом опубликованных данных. (в ред. Изменения N 2, утв. Приказом Минстроя РФ от 28.01.2019 N 49/пр, Изменения N 3, утв. Приказом Минстроя РФ от 30.12.2020 N 897/пр)

Примечание - При определении пиковой ветровой нагрузки по формуле (11.10) принято, что конструктивные элементы ограждения и узлы их крепления к зданию являются достаточно жесткими, и в них не возникает заметных динамических усилий и перемещений. В случае если собственные частоты системы "элементы ограждения - их несущие конструкции - элементы их крепления" менее их предельных значений, определяемых в соответствии с указаниями 11.1.10, расчетные значения пиковой ветровой нагрузки должны быть уточнены на основе результатов динамического расчета указанной системы конструктивных элементов. (в ред. Изменения N 1, утв. Приказом Минстроя РФ от 05.07.2018 N 402/пр)

11.3 Резонансное вихревое возбуждение

11.3.1 Для зданий сплошностенчатых сооружений или их отдельных участков с неизменяющимися или плавно изменяющимися формой и размерами поперечного сечения, удовлетворяющих условию >20, необходимо учитывать возможность их резонансного вихревого возбуждения; здесь определено в В.1.15. (в ред. Изменения N 3, утв. Приказом Минстроя РФ от 30.12.2020 N 897/пр)

11.3.2 Критические скорости ветра при которых происходит резонансное вихревое возбуждение по i-й собственной форме колебаний, определяются по формуле

, м/с, (11.11)

где , Гц, - собственная частота колебаний по i-й изгибной собственной форме;

d, м, - поперечный размер сооружения;

St - число Струхаля поперечного сечения, определяемое экспериментально или по справочным данным; для круглых поперечных сечений St = 0,2; для сечений с острыми кромками (в том числе и прямоугольных) - St = 0,11.

Значение коэффициента , учитывающего эффект захвата собственной частоты колебаний, выбирается из диапазона 0,9 < < 1,1 из условия реализации наихудшего варианта нагружения.

11.3.3 Резонансное вихревое возбуждение не возникает в том случае, если

, (11.12)

где - максимальная скорость ветра на уровне , определяемая по формуле

(11.13)

где , Па, и определяются в соответствии с 11.1.4 и 11.1.6.

Для зданий и башенных сооружений с плавно изменяющейся формой поперечного сечения, а также труб и мачт без оттяжек = 0,8h.

11.3.4 Ветровые нагрузки, возникающие при резонансном вихревом возбуждении, допускается определять в соответствии с указаниями раздела В.2 приложения В.

12 Гололедные нагрузки

12.1 Гололедные нагрузки необходимо учитывать для воздушных линий электропередачи и связи, контактных сетей электрифицированного транспорта, антенно-мачтовых устройств, канатов, решетчатых конструкций, шпилей и подобных сооружений.

Для вентилируемых фасадов, стен и покрытий высотных зданий, металлических ограждений балконов и т.п. гололедные нагрузки необходимо учитывать для их элементов, расположенных на высоте более 100 м. (в ред. Изменения N 3, утв. Приказом Минстроя РФ от 30.12.2020 N 897/пр)

12.2 Нормативное значение линейной гололедной нагрузки для элементов конструкций кругового сечения диаметром до 70 мм включительно i, Н/м, следует определять по формуле (в ред. Изменения N 3, утв. Приказом Минстроя РФ от 30.12.2020 N 897/пр)

(12.1)

Нормативное значение поверхностной гололедной нагрузки i', Па, для остальных элементов конструкций следует определять по формуле

(12.2)

В (12.1) и (12.2):

b - нормативное значение толщины стенки гололеда, мм (превышаемое в среднем один раз в 5 лет), на элементах кругового сечения диаметром 10 мм, расположенных на высоте 10 м над поверхностью земли, принимаемое по таблице 12.1, а на высоте 200 м и более - по таблице 12.2. Нормативное значение толщины стенки гололеда допускается уточнять в установленном порядке на основе метеорологических данных для места строительства (см. 4.4);

k - коэффициент, учитывающий изменение толщины стенки гололеда по высоте и принимаемый при высоте до 100 м по таблице 12.3; при больших высотах - по интерполяции значений, приведенных в таблице 12.2 или по формуле: , где h - высота элемента над поверхностью земли;

d, мм, - диаметр провода, троса;

- коэффициент, учитывающий изменение толщины стенки гололеда в зависимости от диаметра элементов кругового сечения и определяемый по таблице 12.4;

- коэффициент, учитывающий отношение площади поверхности элемента, подверженной обледенению, к полной площади поверхности элемента и принимаемый для объектов с малыми размерами поперечного сечения равным 0,6, для других объектов - по данным специально проведенных исследований;

- плотность льда, принимаемая равной 0,9 г/см3;

g, м/с2, - ускорение свободного падения.

Таблица 12.1

Гололедные районы (принимаются по карте 3 приложения Е) I II III IV V
Толщина стенки гололеда b, мм Не менее 3 5 10 15 Не менее 20

Таблица 12.2

Высота над поверхностью земли, м Толщина стенки гололеда b, мм, для разных районов
I района гололедности азиатской части V района гололедности и горных местностей северной части европейской территории остальных
200 15 Принимается на основании специальных обследований Принимается по карте 3, г приложения Е 35
300 20 То же То же, по карте 3, д 45
400 25 " " по карте 3, е 60

Таблица 12.3

Высота над поверхностью земли, м 5 10 20 30 50 70 100
Коэффициент k 0,8 1,0 1,2 1,4 1,6 1,8 2,0

Таблица 12.4

Диаметр провода, троса или каната, мм 5 10 20 30 50 70
Коэффициент 1,1 1,0 0,9 0,8 0,7 0,6
Примечания (к таблицам 12.1 - 12.4)
1 В V районе, горных и малоизученных районах, обозначенных на карте 3 приложения Е, а также в сильнопересеченных местностях (на вершинах гор и холмов, на перевалах, на высоких насыпях, в закрытых горных долинах, котловинах, глубоких выемках и т.п.) толщину стенки гололеда необходимо определять на основании данных специальных обследований и наблюдений.
2 Промежуточные значения величин следует определять линейной интерполяцией.
3 Толщину стенки гололеда на подвешенных горизонтальных элементах кругового сечения (тросах, проводах, канатах) допускается принимать на высоте расположения их приведенного центра тяжести.

Для определения гололедной нагрузки на горизонтальные элементы круговой цилиндрической формы диаметром до 70 мм толщину стенки гололеда, приведенную в таблице 12.2, следует снижать на 10%.

12.3 При совместном действии ветровой и гололедной нагрузок коэффициенты сочетаний определяются следующим образом:

а) В том случае, если ветровая нагрузка является основной по степени влияния кратковременной нагрузкой, то гололедные нагрузки допускается не учитывать.

б) В том случае, если гололедная нагрузка является основной по степени влияния кратковременной нагрузкой, коэффициенты сочетаний (см. 6.4) для ветровой нагрузки принимают равными:

- для покрытых гололедом гибких элементов (провода, тросы, оттяжки, мачты, ванты и др.) коэффициент сочетаний для ветровой нагрузки =0,25;

- для остальных конструктивных элементов, в том числе и при использовании формулы (12.2), коэффициент сочетаний для ветровой нагрузки =0,6. (в ред. Изменения N 3, утв. Приказом Минстроя РФ от 30.12.2020 N 897/пр)

Примечания

1 В отдельных районах, где наблюдаются сочетания значительных скоростей ветра с большими размерами гололедно-изморозевых отложений, толщину стенки гололеда и его плотность, а также давление ветра следует принимать в соответствии с фактическими данными.

2 Примечание исключено. (в ред. Изменения N 3, утв. Приказом Минстроя РФ от 30.12.2020 N 897/пр)

12.4 Температуру воздуха при гололеде следует принимать для сооружений высотой до 100 м - минус 5 °C, более 100 м - минус 10 °C. (в ред. Изменения N 3, утв. Приказом Минстроя РФ от 30.12.2020 N 897/пр)

12.5 Коэффициент надежности по нагрузке для гололедной нагрузки следует принимать 1,8.

13 Температурные климатические воздействия

13.1 Температурные климатические воздействия подразделяются на два типа:

а) воздействия, связанные с условиями замыкания конструкций;

б) воздействия, обусловленные перепадом температуры по сечению элемента, связанные с действием солнечной радиации и (или) с условиями эксплуатации. (в ред. Изменения N 3, утв. Приказом Минстроя РФ от 30.12.2020 N 897/пр)

13.2 Нормативные значения изменений температур при замыкании конструкций в теплое и холодное время года соответственно следует определять по формулам: (в ред. Изменения N 3, утв. Приказом Минстроя РФ от 30.12.2020 N 897/пр)

(13.1)

(13.2)

где , - нормативные значения температур для теплого и холодного времени года, приведенные в таблице 13.1;

, - начальные температуры (температуры замыкания) в теплое и холодное время года, принимаемые в соответствии с 13.6. (в ред. Изменения N 3, утв. Приказом Минстроя РФ от 30.12.2020 N 897/пр)

13.3 Нормативные значения температурных воздействий и , обусловленные перепадом температур по сечению элемента в теплое и холодное время года соответственно, для однослойных конструкций следует определять по таблице 13.1. (в ред. Изменения N 3, утв. Приказом Минстроя РФ от 30.12.2020 N 897/пр)

Примечание. - Исключено. (в ред. Изменения N 3, утв. Приказом Минстроя РФ от 30.12.2020 N 897/пр)

Таблица 13.1

Конструкции зданий Здания и сооружения в стадии эксплуатации
неотапливаемые здания (без технологических источников тепла) и открытые сооружения отапливаемые здания здания с искусственным климатом или с постоянными технологическими источниками тепла
Не защищенные от воздействия солнечной радиации (в том числе наружные ограждающие)
Защищенные от воздействия солнечной радиации (в том числе внутренние)
Обозначения, принятые в таблице 13.1:
, - средние суточные температуры наружного воздуха в теплое и холодное время года соответственно, принимаемые в соответствии с 13.4;
, - температуры внутреннего воздуха помещений в теплое и холодное время года соответственно, принимаемые по заданию на проектирование с учетом технологических решений;
, , - приращения средних по сечению элемента температур и перепада температур от суточных колебаний температуры наружного воздуха, принимаемые по таблице 13.2;
, - приращения средних по сечению элемента температур и перепада температур от солнечной радиации, принимаемые в соответствии с 13.5.

Примечания
1 При наличии исходных данных о температуре конструкций в стадии эксплуатации зданий с постоянными технологическими источниками тепла значения , , , следует принимать на основе этих данных.
2 Для зданий и сооружений в стадии возведения , , , определяются как для неотапливаемых зданий в стадии их эксплуатации.
3 Для многослойных конструкций , , , определяются расчетом. Конструкции, изготовленные из нескольких материалов, близких по теплофизическим параметрам, допускается рассматривать как однослойные.
(в ред. Изменением N 3, утв. Приказом Минстроя РФ от 30.12.2020 N 897/пр)

Таблица 13.2

Конструкции зданий Приращения температуры , °C
Металлические 8 6 4
Железобетонные, бетонные, армокаменные и каменные толщиной, см:      
до 15 8 6 4
от 15 до 39 6 4 6
свыше 40 2 2 4

13.4 Средние суточные температуры наружного воздуха в теплое и холодное время года для надземной части сооружений следует определять по формулам:

; (13.3)

, (13.4)

где , - нормативные значения минимальной и максимальной температуры воздуха, соответственно, принимаемые по картам 4 и 5 приложения Е;

, - средние суточные амплитуды температуры воздуха наиболее холодного и наиболее теплого месяца, соответственно, принимаемые по таблицам 3.1 и 4.1 СП 131.13330.

Нормативное значение минимальной и максимальной температуры воздуха допускается уточнять в установленном порядке на основе данных Росгидромета для места строительства (см. 4.4). В этом случае значения и следует вычислять по формулам , , где и - минимальная и максимальная температуры воздуха, абсолютные значения которых превышаются один раз в 50 лет.

Средние суточные температуры наружного воздуха в теплое и холодное время года для подземной части сооружений следует определять по формулам:

; (13.5)

, (13.6)

где и - средняя минимальная и максимальная температура почвы на глубинах (по вытяжным термометрам), принимаемые согласно приложению Г в зависимости от глубины h заложения подземной части сооружения или по данным Росгидромета.

При расчетах подземной части сооружений следует принимать =====0.

При глубинах более 5 м суточные и сезонные изменения температуры почвы допускается не учитывать.

Примечания

1 При отсутствии данных для места строительства значения , , и следует принимать по данным Росгидромета или по данным для ближайшего указанного в таблицах населенного пункта.

2 Промежуточные значения для глубины h определяются интерполяцией.

13.5 Приращения и °C, следует определять по формулам:

(13.7)

(13.8)

где - коэффициент поглощения солнечной радиации материалом наружной поверхности конструкции, принимаемый по таблице 13.3;

- максимальное значение суммарной (прямой, рассеянной и отраженной) солнечной радиации, Вт·ч/м2, принимаемое для горизонтальных поверхностей - по таблице 13.4, для вертикальных поверхностей различной ориентации - по таблице 13.5;

k - коэффициент, принимаемый по таблице 13.6.

Таблица 13.3

Коэффициенты поглощения солнечной радиации материалом наружной поверхности ограждающей конструкции

Материал наружной поверхности ограждающей конструкции Коэффициент поглощения солнечной радиации
1 Алюминий 0,5
2 Хризотилцементные листы 0,65
(в ред. Изменения N 3, утв. Приказом Минстроя РФ от 30.12.2020 N 897/пр)
3 Асфальтобетон 0,9
4 Бетоны 0,7
5 Дерево неокрашенное 0,6
6 Защитный слой рулонной кровли из светлого гравия 0,65
7 Кирпич глиняный красный 0,7
8 Кирпич силикатный 0,6
9 Облицовка природным камнем белым 0,45
10 Окраска силикатная темно-серая 0,7
11 Окраска известковая белая 0,3
12 Плитка облицовочная керамическая 0,8
13 Плитка облицовочная стеклянная синяя 0,6
14 Плитка облицовочная белая или палевая 0,45
15 Рубероид с песчаной посыпкой 0,9
16 Сталь листовая, окрашенная белой краской 0,45
17 Сталь листовая, окрашенная темно-красной краской 0,8
18 Сталь листовая, окрашенная зеленой краской 0,6
19 Сталь кровельная оцинкованная 0,65
20 Стекло облицовочное 0,7
21 Штукатурка известковая темно-серая или терракотовая 0,7
22 Штукатурка цементная светло-голубая 0,3
23 Штукатурка цементная темно-зеленая 0,6
24 Штукатурка цементная кремовая 0,4

Таблица 13.4

Суммарная солнечная радиация (прямая и рассеянная) в июле месяце на горизонтальную поверхность при безоблачном небе, Вт·ч/м2 (максимальная часовая сумма)

Географическая широта, град. с. ш.
38 40 42 44 46 48 50 52
987 968 950 931 913 895 876 858
Географическая широта, град. с. ш.
54 56 58 60 62 64 66 68
839 821 803 784 766 748 729 711

Таблица 13.5

Суммарная солнечная радиация (прямая, рассеянная и отраженная), поступающая в июле месяце на вертикальную поверхность при безоблачном небе, Вт·ч/м2 (максимальная часовая сумма)

Географическая широта, град. с. ш.
  38 40 42 44 46 48 50 52
Южная ориентация 389 415 440 465 490 515 540 566
Восточная и западная ориентации 731 737 742 748 754 760 765 771
Северная ориентация 209 209 205 203 204 206 211 219
Географическая широта, град. с. ш.
  54 56 58 60 62 64 66 68
Южная ориентация 591 616 641 666 691 717 742 767
Восточная и западная ориентации 777 783 789 794 800 806 812 817
Северная ориентация 228 240 254 270 288 309 331 356

Таблица 13.6

Конструкции зданий Коэффициент k
Металлические 0,7
Железобетонные, бетонные, армокаменные и каменные толщиной, см:  
до 15 0,6
от 15 до 39 0,4
свыше 40 0,3

13.6 Начальную температуру, соответствующую замыканию конструкции или ее части в законченную систему, в теплое и холодное время года следует определять по формулам:

; (13.9)

, (13.10)

где , - многолетние средние месячные температуры воздуха в январе и июле, принимаемые для надземной части сооружений по таблице 5.1 СП 131.13330.

Для подземной части сооружений =(h); =(h).

Примечания

1 При наличии данных о календарном сроке замыкания конструкции, порядке производства работ и другое начальную температуру допускается уточнять в соответствии с этими данными.

2 При отсутствии данных для места строительства значения , принимаются по данным Росгидромета или по данным для ближайшего указанного в таблице населенного пункта.

13.7 Температурные климатические воздействия с пониженными нормативными значениями необходимо устанавливать в соответствии с указаниями 13.2 - 13.6 при условии: =====0; =, =.

13.8 Коэффициент надежности по нагрузке для температурных климатических воздействий и следует принимать равным 1,1.

14 Прочие нагрузки (в ред. Изменения N 2, утв. Приказом Минстроя РФ от 28.01.2019 N 49/пр)

Нагрузки и воздействия, не включенные в настоящий свод правил (специальные технологические нагрузки, вибрационные нагрузки от всех видов транспорта, влажностные и усадочные воздействия, нагрузки от отложения производственной пыли, от вулканического пепла, песка в пустынных районах), устанавливаются в иных нормах проектирования строительных конструкций, задании на проектирование или в рекомендациях, разработанных в рамках научно-технического сопровождения.

15 Прогибы и перемещения

Нормы настоящего раздела устанавливают предельные прогибы и перемещения несущих и ограждающих конструкций зданий и сооружений при расчете по второй группе предельных состояний при действии статических нагрузок. (в ред. Изменения N 3, утв. Приказом Минстроя РФ от 30.12.2020 N 897/пр)

Примечание - Требования по ограничению уровня колебаний конструкций устанавливаются в нормах проектирования, санитарных нормах или задании на проектирование. (в ред. Изменения N 3, утв. Приказом Минстроя РФ от 30.12.2020 N 897/пр)

Положения настоящего раздела не распространяются на сооружения гидротехнические, транспорта, атомных электростанций, а также опор воздушных линий электропередачи, открытых распределительных устройств и антенных сооружений связи.

15.1 Общие указания

15.1.1 При расчете строительных конструкций должно быть выполнено условие

, (15.1)

где f - прогиб (выгиб) и перемещение элемента конструкции (или конструкции в целом), определяемые с учетом факторов, влияющих на их значения, в соответствии с приложением Д;

- предельный прогиб (выгиб) или перемещение, устанавливаемые настоящими нормами.

Расчет необходимо производить исходя из следующих требований:

а) технологических (обеспечение условий нормальной эксплуатации технологического и подъемно-транспортного оборудования, контрольно-измерительных приборов и т.д.);

б) конструктивных (обеспечение целостности примыкающих друг к другу элементов конструкций и их стыков, обеспечение заданных уклонов);

в) физиологических (предотвращение вредных воздействий и ощущений дискомфорта при колебаниях);

г) эстетико-психологических (обеспечение благоприятных впечатлений от внешнего вида конструкций, предотвращение ощущения опасности).

Каждое из указанных требований должно быть выполнено при расчете независимо от других.

Абзац одиннадцатый. - Исключен. (в ред. Изменения N 3, утв. Приказом Минстроя РФ от 30.12.2020 N 897/пр)

15.1.2 Расчетные ситуации, для которых следует определять прогибы и перемещения, соответствующие им нагрузки, а также требования, касающиеся строительного подъема, приведены в Д.1.5 приложения Д.

15.1.3 Прогибы элементов конструкций не ограничиваются исходя из эстетико-психологических требований, если не ухудшают внешний вид конструкций (например, мембранные покрытия, наклонные козырьки, конструкции с провисающим или приподнятым нижним поясом) или если элементы конструкций скрыты от обзора. (в ред. Изменения N 3, утв. Приказом Минстроя РФ от 30.12.2020 N 897/пр)

Примечание - Для всех типов покрытий целостность кровельного ковра следует обеспечивать конструктивными мероприятиями (например, использованием компенсаторов, созданием неразрезности элементов покрытия), а не повышением жесткости несущих элементов.

15.1.4 Прогибы элементов покрытий должны быть такими, чтобы, несмотря на их наличие, был обеспечен уклон кровли не менее 1/200 в одном из направлений (кроме случаев, оговоренных в других нормативных документах).

15.1.5 Коэффициент динамичности для нагрузок от погрузчиков, электрокаров, мостовых и подвесных кранов следует принимать равным единице.

15.2 Предельные прогибы

15.2.1 Предельные прогибы элементов конструкций покрытий и перекрытий, ограничиваемые исходя из технологических, конструктивных и физиологических требований, следует отсчитывать от изогнутой оси, соответствующей состоянию элемента в момент приложения нагрузки, от которой вычисляется прогиб, а ограничиваемые исходя из эстетико-психологических требований - от прямой, соединяющей опоры этих элементов (см. также Д.1.7 приложения Д).

15.2.2 Расстояние (зазор) от верхней точки тележки мостового крана до нижней точки прогнутых несущих конструкций покрытий (или предметов, прикрепленных к ним) должно быть не менее 100 мм.

15.2.3 Предельные прогибы для различных расчетных ситуаций приведены в Д.2 приложения Д. (в ред. Изменения N 3, утв. Приказом Минстроя РФ от 30.12.2020 N 897/пр)

Абзац второй. - Исключен. (в ред. Изменения N 3, утв. Приказом Минстроя РФ от 30.12.2020 N 897/пр)

Приложение А

А.1 Мостовые и подвесные краны

Таблица А.1

Мостовые и подвесные краны различных групп режимов работы (перечень)

Краны Группы режимов работы Условия использования
Ручные всех видов 1К - 3К Любые
С приводными подвесными талями, в том числе с навесными захватами Ремонтные и перегрузочные работы ограниченной интенсивности
С лебедочными грузовыми тележками, в том числе с навесными захватами Здания электростанций, монтажные работы, перегрузочные работы ограниченной интенсивности
То же 4К - 6К Перегрузочные работы средней интенсивности, технологические работы в механических цехах, склады готовых изделий предприятий строительных материалов, склады металлосбыта
С грейферами двухканатного типа, магнитно-грейферные Смешанные склады, работа с разнообразными грузами
Магнитные Склады полуфабрикатов, работа с разнообразными грузами
Закалочные, ковочные, штыревые, литейные Цехи металлургических предприятий
С грейферами двухканатного типа, магнитно-грейферные Склады насыпных грузов и металлолома с однородными грузами (при работе в одну или две смены)
С лебедочными грузовыми тележками, в том числе с навесными захватами Технологические краны при круглосуточной работе
Траверсные, мульдогрейферные, мульдозавалочные, для раздевания слитков, копровые, ваграночные, колодцевые Цехи металлургических предприятий
Магнитные Цехи и склады металлургических предприятий, крупные металлобазы с однородными грузами
С грейферами двухканатного типа, магнитно-грейферные Склады насыпных грузов и металлолома с однородными грузами (при круглосуточной работе)

А.2 Нагрузка от удара крана о тупиковый упор

Нормативное значение горизонтальной нагрузки F, кН, направленной вдоль кранового пути и вызываемой ударом крана о тупиковый упор, следует определять по формуле

(А.1)

где v - скорость передвижения крана в момент удара, принимаемая равной половине номинальной, м/с;

f - возможная наибольшая осадка буфера, принимаемая равной 0,1 м для кранов с гибким подвесом груза грузоподъемностью не более 50 т групп режимов работы 1К - 7К и 0,2 м - в остальных случаях;

m - приведенная масса крана, определяемая по формуле

(А.2)

здесь - масса моста крана, т;

- масса тележки, т;

- грузоподъемность крана, т;

k - коэффициент; k = 0 - для кранов с гибким подвесом; k = 1 - для кранов с жестким подвесом груза;

l - пролет крана, м;

- приближение тележки, м.

Расчетное значение рассматриваемой нагрузки с учетом коэффициента надежности по нагрузке (см. 9.8) принимается не более предельных значений, приведенных в таблице А.2, или на основе паспортных данных. (в ред. Изменения N 3, утв. Приказом Минстроя РФ от 30.12.2020 N 897/пр)

Таблица А.2

Краны Предельные значения нагрузок F, кН
Подвесные (ручные и электрические) и мостовые ручные 10
Электрические мостовые:  
общего назначения групп режимов работы 1К - 3К 50
общего назначения и специальные групп режимов работы 4К - 7К, а также литейные 150
Специальные группы режима работы 8К с подвесом груза:  
гибким 250
жестким 500

Приложение Б

СХЕМЫ СНЕГОВЫХ НАГРУЗОК И КОЭФФИЦИЕНТЫ ФОРМЫ

(в ред. Изменения N 2, утв. Приказом Минстроя РФ от 28.01.2019 N 49/пр)

Б.1 Здания с односкатными и двускатными покрытиями

а) Для зданий с односкатными и двускатными покрытиями (рисунок Б.1) коэффициент определяется по таблице Б.1. Промежуточные значения определяются линейной интерполяцией.

Рисунок Б.1

Таблица Б.1

Уклон покрытия , град.
30° 1
60° 0

б) Варианты 2 и 3 следует учитывать для зданий с двускатными покрытиями (профиль б), при этом вариант 2 - при 15°40°; вариант 3 - при 10°30° только при наличии ходовых мостиков или светоаэрационных устройств по коньку покрытия. (в ред. Изменения N 3, утв. Приказом Минстроя РФ от 30.12.2020 N 897/пр)

Примечания

1 Для конструктивных схем покрытий, чувствительных к локальной неравномерности распределения снеговой нагрузки, необходимо рассмотреть дополнительную схему с коэффициентами =0,9 и =1,1 на двух скатах в поперечном направлении (см. вариант 2, рисунок Б.1) или в смежных пролетах покрытия по длине здания.

2 Для покрытий, имеющих габаритные размеры, превышающие 100 м в обоих направлениях, помимо равномерно распределенной снеговой нагрузки необходимо учитывать случай неравномерно распределенной снеговой нагрузки согласно вариантам 2 или 3 для двускатных покрытий или примечанию 1 для односкатных независимо от их уклона.

Б.2 Здания со сводчатыми и близкими к ним по очертанию покрытиями

Здания со сводчатыми и близкими к ним по очертанию покрытиями

Для зданий со сводчатыми и близкими к ним по очертанию покрытиями (рисунок Б.2) следует принимать

, (Б.1)

где - уклон покрытия, град; при этом значения вычисляются в каждой точке покрытия.

Для сводчатых поверхностей кругового очертания значения вычисляются в точках с уклоном =30°, =60° и в крайнем сечении покрытия (точки A, B и C на рисунке Б.2). Промежуточные значения определяются линейной интерполяцией. Для сводчатых покрытий некругового очертания значения вычисляются по формуле (Б.1) в каждой точке. При 60° =0 и =0. (в ред. Изменения N 2, утв. Приказом Минстроя РФ от 28.01.2019 N 49/пр)

Рисунок Б.2

Покрытия в виде стрельчатых арок

Для покрытий в виде стрельчатых арок (рисунок Б.3) при 15° необходимо использовать схему Б.1 - рисунок Б.1, б, принимая l = l', при <15° схему Б.2 - рисунок Б.2. (в ред. Изменения N 2, утв. Приказом Минстроя РФ от 28.01.2019 N 49/пр)

Рисунок Б.3

Б.3 Здания с продольными фонарями

Здания с продольными фонарями, закрытыми сверху

Для зданий с продольными фонарями (независимо от их расположения на покрытии), закрытыми сверху (рисунок Б.4), для двух схем снеговой нагрузки (рисунок Б.3) коэффициенты следует определять как: (в ред. Изменения N 1, утв. Приказом Минстроя РФ от 05.07.2018 N 402/пр)

(Б.2)

но не более 4,0; , но не более b. При <f, где f - стрела подъема покрытия фонаря, следует принимать . (в ред. Изменения N 3, утв. Приказом Минстроя РФ от 30.12.2020 N 897/пр)

При определении нагрузки у торца фонаря для зоны B значение коэффициента в обоих вариантах следует принимать равным 1,0.

Рисунок Б.4

Рисунок Б.5

Примечания

1 Схемы вариантов 1, 2 (рисунок Б.5) следует также применять для двускатных и сводчатых покрытий двух- или многопролетных зданий с фонарями в середине зданий.

2 Влияние ветроотбойных щитов на распределение снеговой нагрузки возле фонарей не учитывать.

3 Для плоских скатов при b > 24 м следует учитывать местную повышенную нагрузку у фонаря, как у перепадов (см. рисунки Б.11, а, б). (в ред. Изменения N 1, утв. Приказом Минстроя РФ от 05.07.2018 N 402/пр)

Здания с продольными фонарями, открытыми сверху

Для зданий с продольными фонарями, открытыми сверху (рисунок Б.6):

, (Б.3)

(Б.4)

Значения b (, ) и m следует определять в соответствии с указаниями к схеме Б.8; пролет l принимается равным расстоянию между верхними кромками фонарей.

Рисунок Б.6
 

Здания с зенитными фонарями (в ред. Изменения N 1, утв. Приказом Минстроя РФ от 05.07.2018 N 402/пр)

Для зданий с зенитными фонарями, имеющими диагональ не более 15 м, следует применять схемы по Б.11, имеющими диагональ более 15 м - наиболее неблагоприятные схемы снеговых нагрузок по Б.3 и Б.8.

Б.4 Шедовые покрытия

Схемы рисунка Б.7 следует применять для шедовых покрытий, в том числе с наклонным остеклением и сводчатым очертанием кровли.

Рисунок Б.7

Б.5 Двух- и многопролетные здания с двускатными покрытиями

Для двух- и многопролетных зданий с двускатными покрытиями (рисунок Б.8) вариант 1 следует учитывать во всех случаях, вариант 2 - для двухпролетных зданий при 15°, вариант 3 - для многопролетных зданий при 15°. Для двух- и многопролетных зданий при 30° следует учитывать также схему варианта 2 на рисунке Б.9. Для покрытий, имеющих габаритные размеры, превышающие 100 м в обоих направлениях, при <15° необходимо учитывать случай неравномерно распределенной снеговой нагрузки с коэффициентами =0,9 и =1,1 в смежных пролетах. (в ред. Изменения N 2, утв. Приказом Минстроя РФ от 28.01.2019 N 49/пр)

Рисунок Б.8
 
(в ред. Изменения N 2, утв. Приказом Минстроя РФ от 28.01.2019 N 49/пр)

Б.6 Двух- и многопролетные здания со сводчатыми и близкими к ним по очертанию покрытиями

Для двух- и многопролетных зданий со сводчатыми и близкими к ним по очертанию покрытиями (рисунок Б.9) вариант 2 следует учитывать при .

Рисунок Б.9

Б.7 Двух- и многопролетные здания с двускатными и сводчатыми покрытиями с продольным фонарем

а) Для пролетов с фонарем двух- и многопролетных зданий с двускатными и сводчатыми покрытиями (рисунок Б.10) коэффициент следует принимать в соответствии с вариантами 1 и 2 Б.3 (рисунок Б.5), для пролетов без фонаря - с вариантами 1 и 2 Б.5 и Б.6 (рисунки Б.8, Б.9). (в ред. Изменения N 3, утв. Приказом Минстроя РФ от 30.12.2020 N 897/пр)

б) Для плоских двускатных (<15°) и сводчатых покрытий при l' > 48 м следует учитывать местную повышенную нагрузку, как у перепадов высоты (рисунок Б.11, а).

Рисунок Б.10

Б.8 Здания с перепадом высоты

а) Для зданий с перепадом высоты снеговую нагрузку на верхнее покрытие следует принимать в соответствии со схемами Б.1 - Б.7, а на нижнее - в двух вариантах: по схемам Б.1 - Б.7 и схеме Б.8 (для зданий - профили а, б (рисунки Б.11, а, Б.11, б), для навесов - профиль в (рисунок Б.11, в).

Рисунок Б.11

б) Коэффициент следует принимать равным

(Б.5)

где h - высота перепада, м, отсчитываемая от верхней точки конструкций более высокой части здания у перепада высот до кровли нижнего покрытия. При h более 8 м при определении принимают h = 8 м; (в ред. Изменения N 3, утв. Приказом Минстроя РФ от 30.12.2020 N 897/пр)

; - длины участков верхнего () и нижнего () покрытия, с которых переносится снег в зону перепада высоты, м, их следует принимать:

для покрытия без продольных фонарей или с поперечными фонарями

; ;

для покрытия с продольными фонарями или ступенчатыми перепадами высот

При этом и следует принимать не менее 0;

; - доли снега, переносимого ветром к перепаду высоты; их значения для верхнего и нижнего покрытий следует принимать в зависимости от их профиля:

0,4 - для плоского покрытия с 20°, сводчатого с f/l 1/8;

0,3 - для плоского покрытия с >20°, сводчатого с f/l > 1/8 и покрытий с поперечными фонарями.

Длину участка переноса по нижнему покрытию, не имеющему парапетов, следует принимать не более утроенной его ширины. (в ред. Изменения N 2, утв. Приказом Минстроя РФ от 28.01.2019 N 49/пр)

в) Для пониженных покрытий шириной a < 21 м (см. рисунок Б.11, б) значение следует принимать:

, но не менее 0,1, где , (при обратном уклоне, показанном на чертеже пунктиром, ); , но не менее 0,3 (a - в м; , - в град).

г) Длину зоны повышенных снегоотложений b следует принимать равной:

при b = 2h, но не более 16 м;

при

(Б.6)

но не более 5h и не более 16 м, где принимается из пункта б).

д) Коэффициенты , принимаемые для расчетов (показанные на схемах для трех вариантов), не должны превышать:

(где h - в м; S0 - в кПа);

4 - если нижнее покрытие является покрытием здания, а и 48 м;

6 - если нижнее покрытие является навесом или покрытием здания и или >72 м. Промежуточные значения определяются интерполяцией для наибольшего значения из или .

е) Коэффициент следует принимать:

для покрытий с парапетами и без парапетов при ;

для покрытий без парапетов при ; (в ред. Изменения N 1, утв. Приказом Минстроя РФ от 05.07.2018 N 402/пр)

при и - для покрытии с парапетами, где принимается из пункта б);

- в остальных случаях, где принимается из пункта д), но не менее 0,2.

ж) При наличии между нижерасположенным покрытием и стенкой перепада высот разрыва шириной не более 1,5 м местную повышенную снеговую нагрузку на покрытие в зоне перепада следует определять так же, как для покрытий без разрыва. При этом для нижерасположенного покрытия принимается только приходящаяся на него часть трапециевидной эпюры коэффициента .

Примечания

1 При () > 12 м значение для участка перепада длиной () (рисунок Б.11, а) следует определять без учета влияния фонарей на повышенном (пониженном) покрытии.

2 Если пролеты верхнего (нижнего) покрытия имеют различный профиль, то при определении необходимо принимать соответствующее значение () для каждого пролета в пределах ().

3 Местную нагрузку у перепада не следует учитывать, если высота перепада, м, между двумя смежными покрытиями менее (где - в кПа).

4 При наличии возле перепада на верхнем покрытии сплошного парапета высотой h более 0,5, кПа и более 1,2 м допускается принимать = 0. (в ред. Изменения N 1, утв. Приказом Минстроя РФ от 05.07.2018 N 402/пр)

Б.9 Здания с двумя перепадами высоты

Для зданий с двумя перепадами высоты снеговую нагрузку на верхние и нижние покрытия следует принимать по схеме, приведенной на рисунке Б.12. Значения , , , следует определять для каждого перепада независимо, принимая: и по схеме Б.9 (при определении нагрузок возле перепадов и ) соответствующими в схеме Б.8 и (доля снега, переносимого ветром по пониженному покрытию) соответствующим в схеме Б.8.

При наложении зон повышенных снегоотложений (см. вариант 2 на рисунке Б.12):

; (Б.7)

(Б.8)

(Б.9)

Если > и/или > , то принимается огибающая полученных эпюр и .

Рисунок Б.12

Б.10 Висячие покрытия цилиндрической формы

Для висячих покрытий цилиндрической формы (рисунок Б.13) следует принимать:

Рисунок Б.13

Б.11 Здания с купольными круговыми и близкими к ним по очертанию покрытиями

а) Для зданий с купольными круговыми и близкими к ним по очертанию покрытиями (рисунок Б.14) коэффициент определяется по таблице Б.2. Промежуточные значения определяются линейной интерполяцией. При максимальном уклоне <30° принимается . (в ред. Изменения N 2, утв. Приказом Минстроя РФ от 28.01.2019 N 49/пр)

Рисунок Б.14

Таблица Б.2

Уклон покрытия , град.
30° 1
60° 0

Для пологих куполов с отношением f/d 0,05 следует учитывать только вариант 1.

Для куполов с отношением f/d > 0,05 следует учитывать варианты 1, 2 и 3 при уклонах .

Для варианта 2 на рисунке Б.14 следует принимать при z

(Б.10)

где ;

при , при =45°; =0, при >60°.

Промежуточные значения определяются линейной интерполяцией.

Для варианта 3 следует принимать

(Б.11)

Вариант 3 следует учитывать для куполов с f/d > 0,05 при сильно шероховатой поверхности покрытия, наличии на нем возвышающихся надстроек, фонарей или снегозадерживающих преград, а также для покрытий, защищенных от ветра соседними более высокими зданиями или объектами окружающей застройки.

б) Для покрытий в виде сочетания двух сферических поверхностей различной кривизны на круглом плане следует учитывать снеговые нагрузки, как показано на рисунке Б.14а.

Для варианта 1 на участке A - B шириной ; на участке B - B шириной . При и следует учитывать только вариант 1.

Для вариантов 2 и 3 коэффициент вычисляется по схеме 2 на рисунке Б.14. При этом принимается, как показано на рисунке Б.14а. Коэффициент вычисляется по схеме 2 на рисунке Б.14 для центральной части покрытия при , а z отсчитывается от центра проекции сферы.

При 7°<15° следует учитывать варианты 1 и 2; при 15°<30° следует учитывать варианты 1 и 3. При >30° следует учитывать схемы по перечислению а) Б.11 без учета изменения геометрии поверхности.

Рисунок Б.14а
 
(в ред. Изменением N 2, утв. Приказом Минстроя РФ от 28.01.2019 N 49/пр)

Б.12 Здания с коническими круговыми покрытиями и покрытиями в виде сочетания сферической и конической поверхностей (в ред. Изменения N 2, утв. Приказом Минстроя РФ от 28.01.2019 N 49/пр)

а) Для зданий с коническими круговыми покрытиями (рисунок Б.15) коэффициент определяется по таблице Б.3. Промежуточные значения определяются линейной интерполяцией. (в ред. Изменения N 2, утв. Приказом Минстроя РФ от 28.01.2019 N 49/пр)

Таблица Б.3

Уклон покрытия , град.
30° 1
60° 0

Для пологих куполов при 7° следует учитывать только вариант 1.

Для менее пологих куполов при 7°<30° для варианта 2 следует принимать

(Б.12)

где .

При 30°<<60° для варианта 2 следует принимать:

; , (Б.13)

(в ред. Изменения N 2, утв. Приказом Минстроя РФ от 28.01.2019 N 49/пр)

где - в градусах.

Рисунок Б.15

б) Для зданий с круговыми покрытиями в виде сочетания сферической и конической поверхностей (рисунок Б.15а) коэффициент определяется по таблице Б.3.

Коэффициент для варианта 2 (см. рисунок Б.15а) определяется следующим образом:

- на участке 1 - по формуле (Б.10) в зависимости от уклона при z, принимаемом как радиус круга, расположенный между D и E;

- на участке 2 - 0,5 где вычисляется по формуле (Б.10) при =90°;

- на участках 3 и 4 - по формулам (Б.12) или (Б.13) в зависимости от уклона ;

- на участке 5 - =0,8 при 7°<15°; 0,5 при 15°<30° и =0 при >30°;

- на участке 6 - 0,5, где вычисляется по формуле (Б.10) в зависимости от уклона .

Для пологих куполов при 10° и 7° следует учитывать только вариант 1.

Рисунок Б.15а

Для покрытий, рассматриваемых в перечислении б), должно соблюдаться условие >. (в ред. Изменения N 2, утв. Приказом Минстроя РФ от 28.01.2019 N 49/пр)

Б.13 Покрытие с парапетами

а) Снеговую нагрузку на покрытие возле парапетов следует принимать по схеме, приведенной на рисунке Б.16.

Рисунок Б.16

б) Схему на рисунке Б.16 для покрытий с парапетами следует применять при (h - в м; - в кПа);

, но не более 3.

в) Для плоских (<15°) и сводчатых () покрытий при длине зоны переноса снега l > 24 м, а также при высоте парапета более 1,2 м следует учитывать местную повышенную нагрузку, как у перепадов высоты (см. на рисунке Б.11) в том случае, если эта схема более неблагоприятна, чем на рисунке Б.16. (в ред. Изменения N 1, утв. Приказом Минстроя РФ от 05.07.2018 N 402/пр)

Б.14 Участки покрытий, примыкающие к возвышающимся над кровлей вентиляционным шахтам и другим надстройкам

а) Схема на рисунке Б.17 относится к участкам с надстройками с диагональю основания не более 15 м.

б) В зависимости от рассчитываемой конструкции (плит покрытия, подстропильных и стропильных конструкций) необходимо учитывать самое неблагоприятное положение зоны повышенной нагрузки (при произвольном угле ).

в) Коэффициент для участков покрытий, примыкающих к возвышающимся над кровлей вентиляционным, лестничным шахтам, зенитным фонарям и другим надстройкам (рисунок Б.14), постоянный в пределах указанной зоны, следует принимать равным: (в ред. Изменения N 1, утв. Приказом Минстроя РФ от 05.07.2018 N 402/пр)

1,0 при d 1,5 м;

при d > 1,5 м,

но не менее 1,0 и не более:

1,5 при 1,5 < d 5 м;

2,0 при 5 < d 10 м;

2,5 при 10 < d 15 м;

, но не более 2d и не более 16 м.

(в ред. Изменения N 3, утв. Приказом Минстроя РФ от 30.12.2020 N 897/пр)

Наличие зенитных фонарей и надстроек с диагональю не более 5 м, возвышающихся над кровлей не более чем на 0,4 м, допускается не учитывать.

Рисунок Б.17

Для лестниц или иных надстроек, имеющих диагональ более 5 м, высоту более 2 м и примыкающих к парапетам зданий, следует дополнительно учитывать местную повышенную нагрузку, как у перепадов высоты (см. на рисунке Б.11). (в ред. Изменения N 3, утв. Приказом Минстроя РФ от 30.12.2020 N 897/пр)

Приложение В

ВЕТРОВЫЕ НАГРУЗКИ

В.1 Аэродинамические коэффициенты

В.1.1 Отдельно стоящие плоские сплошные конструкции

(стены, заборы и т.д.)

Для различных участков конструкций (рисунок В.1) коэффициент cx определяется по таблице В.1;

.

Рисунок В.1

Таблица В.1

Участки плоских сплошных конструкций на земле (см. рисунок В.1)
A B C D
2,1 1,8 1,4 1,2

Рекламные щиты

Для рекламных щитов, поднятых над землей на высоту не менее d/4 (рисунок В.2): , где - определено в В.1.15.

Рисунок В.2

Равнодействующую нагрузку, направленную по нормали к плоскости щита, следует прикладывать на высоте его геометрического центра с эксцентриситетом в горизонтальном направлении e=0,25b.

.

В.1.2 Прямоугольные в плане здания с двускатными покрытиями

Вертикальные стены прямоугольных в плане зданий

Таблица В.2

Боковые стены Наветренная стена Подветренная стена
Участки
A B C D E
-1,0 -0,8 -0,5 0,8 -0,5

Для наветренных, подветренных и различных участков боковых стен (рисунок В.3) аэродинамические коэффициенты приведены в таблице В.2. Для стен с отрицательным уклоном при 45°<<90° (см. рисунок В.3) аэродинамические коэффициенты определяются так же, как и для вертикальных стен. (в ред. Изменения N 2, утв. Приказом Минстроя РФ от 28.01.2019 N 49/пр)

Для боковых стен с выступающими лоджиями аэродинамический коэффициент трения =0,1.

Рисунок В.3

(в ред. Изменения N 2, утв. Приказом Минстроя РФ от 28.01.2019 N 49/пр)

Двускатные покрытия

Для различных участков покрытия (рисунок В.4) коэффициент определяется по таблице В.3а и В.3б в зависимости от направления средней скорости ветра.

Для углов 15°30° при =0° необходимо рассмотреть два варианта распределения расчетной ветровой нагрузки.

Для протяженных гладких покрытий при =90° (рисунок В.4, б) аэродинамические коэффициенты трения =0,02.

Рисунок В.4

Таблица В.3а

=0°

Уклон F G H I J
-1,8 -1,3 -0,7 -0,5 -0,5
15° -0,9 -0,8 -0,3 -0,4 -1,0
0,2 0,2 0,2
30° -0,5 -0,5 -0,2 -0,4 -0,5
0,7 0,7 0,4
45° 0,7 0,7 0,6 -0,2 -0,3
60° 0,7 0,7 0,7 -0,2 -0,3
75° 0,8 0,8 0,8 -0,2 -0,3

Таблица В.3б

=90°

Уклон F G H I
-1,8 -1,3 -0,7 -0,5
15° -1,3 -1,3 -0,6 -0,5
30° -1,1 -1,4 -0,8 -0,5
45° -1,1 -1,4 -0,9 -0,5
60° -1,1 -1,2 -0,8 -0,5
75° -1,1 -1,2 -0,8 -0,5

В.1.3 Прямоугольные в плане здания со сводчатыми и близкими к ним по очертанию покрытиями

Примечание - При 0,2 f/l 0,3 и /l 0,5 необходимо учитывать два значения коэффициента . (в ред. Изменения N 1, утв. Приказом Минстроя РФ от 05.07.2018 N 402/пр)

Рисунок В.5

(в ред. Изменения N 3, утв. Приказом Минстроя РФ от 30.12.2020 N 897/пр)

Распределение аэродинамических коэффициентов по поверхности покрытия приведено на рисунке В.5.

Аэродинамические коэффициенты для стен принимаются в соответствии с таблицей В.2.

При определении эквивалентной высоты , см. 11.1.5 и коэффициента в соответствии с 11.1.11: .

В.1.4 Круглые в плане сооружения с купольными и коническими покрытиями (в ред. Изменения N 2, утв. Приказом Минстроя РФ от 28.01.2019 N 49/пр)

а) Для купольных покрытий значения коэффициентов принимают постоянными вдоль сечений, параллельных B-B. Их значения в точках A и C, а также в сечении B-B, приведены на рисунке В.6, а. Для промежуточных сечений коэффициенты определяют линейной интерполяцией. (в ред. Изменения N 3, утв. Приказом Минстроя РФ от 30.12.2020 N 897/пр)

б) Для конических покрытий значения аэродинамических коэффициентов внешнего давления при 15°<<30° определяются (см. рисунок В.6, б) следующим образом:

- для участка A коэффициент =-1,5;

- для участка B коэффициент =-1,0;

- для участка C коэффициент =-1,1;

- для участка D коэффициент =-2,0;

- для участка E коэффициент =-0,7;

- для купольных и конических покрытий при определении эквивалентной высоты в соответствии с 11.1.5 и коэффициента v в соответствии с 11.1.11 .

Рисунок В.6
 
(в ред. Изменения N 3, утв. Приказом Минстроя РФ от 30.12.2020 N 897/пр)

В.1.5 Здания с продольными фонарями и здания переменной высоты (в ред. Изменения N 2, утв. Приказом Минстроя РФ от 28.01.2019 N 49/пр)

Рисунок В.7

Для участков A и B (рисунок В.7) коэффициенты следует определять в соответствии с таблицами В.3а и В.3б.

Для фонарей участка C при 2 =0,2; при 28 для каждого фонаря =0,1; при >8 =0,8, здесь .

Для остальным участков покрытия =-0,5.

Для вертикальных поверхностей и стен зданий коэффициенты следует определять в соответствии с таблицей В.2.

При определении эквивалентной высоты , см. 11.1.5 и коэффициента v в соответствии с 11.1.11: .

В.1.6 Здания с зенитными фонарями

Рисунок В.8

Для наветренного фонаря коэффициент следует определять в соответствии с таблицами В.3а и В.3б.

Для остальных фонарей коэффициенты определяются так же, как и для участка C (раздел В.1.5).

Для остальной части покрытия =-0,5.

Для вертикальных поверхностей и стен зданий коэффициенты следует определять в соответствии с таблицей В.2.

При определении эквивалентной высоты , см. 11.1.5 и коэффициента в соответствии с 11.1.11 .

В.1.7 Здания с шедовыми покрытиями

Рисунок В.9

Для участка A коэффициент следует определять в соответствии с таблицами В.3а и В.3б. Для остальной части покрытия =-0,5.

Для вертикальных поверхностей и стен зданий коэффициенты следует определять в соответствии с таблицей В.2.

При определении эквивалентной высоты (11.1.5) и коэффициента v (11.1.11) .

Для шедовых покрытий аэродинамический коэффициент трения =0,04.

В.1.8 Здания с уступами

Рисунок В.10

Для участка M коэффициент =0,8.

Для участка K коэффициенты следует принимать в соответствии с таблицей В.2.

Для участка L коэффициент следует определять линейной интерполяцией.

Для остальных вертикальных поверхностей коэффициент необходимо определять в соответствии с таблицей В.2.

Для покрытия зданий коэффициенты определяются в соответствии с таблицами В.3а и В.3б.

В.1.9 Учет внутреннего давления (в ред. Изменения N 3, утв. Приказом Минстроя РФ от 30.12.2020 N 897/пр)

Рисунок В.11

При проницаемости ограждения 5% . Для каждой стены здания знак "плюс" или "минус" следует выбирать из условия реализации наиболее неблагоприятного варианта нагружения.

При 30% =-0,5; =0,8.

Аэродинамические коэффициенты для внешней поверхности следует принимать в соответствии с В.1.2 - В.1.7.

Примечание - Проницаемость ограждения следует определять как отношение суммарной площади имеющихся в нем проемов к полной площади ограждения.

В.1.10 Навесы

Аэродинамические коэффициенты для четырех типов навесов (рисунок В.12) без сплошностенчатых вертикальных ограждающих конструкций определяются по таблице В.4.

Рисунок В.12

Таблица В.4

Тип схемы , град Значения коэффициентов
I 10 0,5 -1,3 -1,1 0
20 1,1 0 0 -0,4
30 2,1 0,9 0,6 0
II 10 0 -1,1 -1,5 0
20 1,5 0,5 0 0
30 2 0,8 0,4 0,4
III 10 1,4 0,4 - -
20 1,8 0,5 - -
30 2,2 0,6 - -
IV 10 1,3 0,2 - -
20 1,4 0,3 - -
30 1,6 0,4 - -
Примечания
1 Коэффициенты , , , соответствуют суммарному давлению на верхнюю и нижнюю поверхности навесов.
2 Для отрицательных значений , , , направление давления на схемах следует изменять на противоположное.
3 Для навесов с волнистыми покрытиями аэродинамический коэффициент трения = 0,04.
4 Для горизонтально расположенных навесов необходимо рассмотреть два варианта нагружения, соответствующих схемам III и IV при =10°.

В.1.11 Сфера

Рисунок В.13

Аэродинамические коэффициенты лобового сопротивления сферы при > d/2 (рисунок В.13) приведены на рисунке В.14 в зависимости от числа Рейнольдса Re и относительной шероховатости =/d, где , м, - шероховатость поверхности (см. В.1.16). При < d/2 коэффициент следует увеличить в 1,6 раза.

Коэффициент подъемной силы сферы принимается равным:

при > d/2 - = 0;

при < d/2 - = 0,6.

Эквивалентная высота, см. 11.1.5 = + d/2.

При определении коэффициента v в соответствии с 11.1.11 следует принимать

b = h = 0,7d.

Число Рейнольдса Re определяется по формуле

(В.1)

где d, м, - диаметр сферы;

, Па, - определяется в соответствии с 11.1.4;

, м, - эквивалентная высота;

- определяется в соответствии с 11.1.6;

- коэффициент надежности по нагрузке (см. преамбулу к разделу 11). (в ред. Изменения N 3, утв. Приказом Минстроя РФ от 30.12.2020 N 897/пр)

Рисунок В.14

В.1.12 Сооружения и конструктивные элементы с круговой цилиндрической поверхностью

Аэродинамический коэффициент внешнего давления определяется по формуле

(В.2)

где =1 при >0; для <0-=, определено в В.1.15.

Распределение коэффициентов по поверхности цилиндра при (см. В.1.16) приведены на рисунке В.16 для различных чисел Рейнольдса Re. Значение указанных на этом рисунке углов и , а также соответствующее им значение коэффициентов и приведены в таблице В.5.

Значения аэродинамических коэффициентов давления и (рисунок В.15) приведены в таблице В.6. Коэффициент следует учитывать для опущенного покрытия ("плавающая кровля"), а также при отсутствии покрытия.

Аэродинамические коэффициенты лобового сопротивления определяются по формуле

(В.3)

где - определено в В.1 в зависимости от относительного удлинения сооружения (см. В.1.15). Значения коэффициентов приведены на рисунке В.17 в зависимости от числа Рейнольдса Re и относительной шероховатости =/d (см. В.1.16); для цилиндрических сооружений с ребрами - высота ребра.

Рисунок В.15

Рисунок В.16

Таблица В.5

Re
85 -2,2 135 -0,4
80 -1,9 120 -0,7
75 -1,5 105 -0,8

Таблица В.6

h/d 1/6 1/4 1/2 1 2 5
, -0,5 -0,55 -0,7 -0,8 -0,9 -1,05

Рисунок В.17
 
(в ред. Изменения N 3, утв. Приказом Минстроя РФ от 30.12.2020 N 897/пр)

Для проводов и тросов (в том числе покрытых гололедом) =1,2.

Аэродинамические коэффициенты лобового сопротивления наклонных элементов (рисунок В.18) определяются по формуле

(В.4)

где - определяется в соответствии с данными В.1.12, В.1.13 и В.1.14;

- угол между осью элемента и скоростью ветра V, направленной вдоль оси x.

Рисунок В.18

При определении коэффициента v в соответствии с 11.1.11:

b = 0,7d; h = + 0,7f.

Число Рейнольдса Re определяется по формуле, приведенной в В.1.11, где = 0,8h для вертикально расположенных сооружений;

равно расстоянию от поверхности земли до оси горизонтально расположенного сооружения.

В.1.13 Призматические сооружения и конструктивные элементы

Аэродинамические коэффициенты лобового сопротивления призматических сооружений определяются по формуле

(В.5)

где определено в В.1.15 в зависимости от относительного удлинения сооружения .

Значения коэффициента для прямоугольных сечений приведены на рисунке В.19, а для n-угольных сечений и конструктивных элементов (профилей) - в таблице В.7.

Аэродинамические коэффициенты лобового сопротивления для конструкционных профилей принимаются равными 1,4 ( = 1,4).

Таблица В.7

Эскизы сечений и направлений ветра , град. n (число сторон) при
Re > 4·
Правильный многоугольник
Произвольный 5 1,8
6 - 8 1,5
10 1,2
12 1,0

Рисунок В.19
 
(в ред. Изменения N 2, утв. Приказом Минстроя РФ от 28.01.2019 N 49/пр)

В.1.14 Решетчатые конструкции

Аэродинамические коэффициенты решетчатых конструкций отнесены к площади граней пространственных ферм или площади контура плоских ферм.

Направление оси x для плоских ферм совпадает с направлением ветра и перпендикулярно плоскости конструкции; для пространственных ферм расчетные направления ветра показаны в таблице В.8.

Аэродинамические коэффициенты отдельно стоящих плоских решетчатых конструкций определяются по формуле

(В.6)

где - аэродинамический коэффициент i-го элемента конструкции, принимаемый равным 1,4 (=1,4) для профилей и определяемый в соответствии с указаниями В.1.12 и В.1.13 для элементов с круглым и прямоугольным поперечными сечениями, соответственно; при этом =1;

- площадь проекции i-го элемента конструкции;

- площадь, ограниченная контуром конструкции.

Рисунок В.20
 

Ряд плоских параллельно расположенных решетчатых конструкций

Рисунок В.21

Для наветренной конструкции коэффициент определяется так же, как и для отдельно стоящей фермы.

Для второй и последующих конструкций .

Для ферм из профилей из труб при Re < 4· коэффициент определяется по таблице В.8 в зависимости от относительного расстояния между фермами b/h (рисунок В.19) и коэффициента заполнения ферм .

Таблица В.8

b/h
1/2 1 2 4 6
0,1 0,93 0,99 1 1 1
0,2 0,75 0,81 0,87 0,9 0,93
0,3 0,56 0,65 0,73 0,78 0,83
0,4 0,38 0,48 0,59 0,65 0,72
0,5 0,19 0,32 0,44 0,52 0,61
0,6 0 0,15 0,3 0,4 0,5

Для ферм из труб при Re коэффициент =0,95. (в ред. Изменения N 3, утв. Приказом Минстроя РФ от 30.12.2020 N 897/пр)

Примечание - Число Рейнольдса Re следует определять по формуле в В.1.11, где d - средний диаметр трубчатых элементов.

Решетчатые башни и пространственные фермы

Рисунок В.22

Аэродинамические коэффициенты решетчатых башен и пространственных ферм определяются по формуле

(В.7)

где - определяется так же, как и для отдельно стоящей фермы;

- определяется так же, как и для ряда плоских ферм.

Значения коэффициента приведены в таблице В.9.

Таблица В.9

Форма контура поперечного сечения и направление ветра
1
0,9
1,2

В.1.15 Учет относительного удлинения

Значения коэффициента в зависимости от относительного удлинения элемента или сооружения приведены на рисунке В.23. Относительное удлинение зависит от параметра =l/b и определяется по таблице В.10; степень заполнения .

Рисунок В.23

Таблица В.10

=/2 = = =
Примечание - l, b - соответственно максимальный и минимальный размеры сооружения или его элемента в плоскости, перпендикулярной направлению ветра.

В.1.16 Учет шероховатости внешней поверхности

Шероховатость поверхностей конструкций, в зависимости от их обработки и материала, из которого они изготовлены, приведены в таблице В.11.

Таблица В.11

(в ред. Изменения N 3, утв. Приказом Минстроя РФ от 30.12.2020 N 897/пр)

Тип поверхности Шероховатость , м Тип поверхности Шероховатость , м
Стекло 1,5· Оцинкованная сталь
Полированный металл Шлифованный бетон
Тонкомолотая масляная краска Шероховатый бетон
Распыленная краска Ржавчина
Литейный чугун Каменная, кирпичная кладка

В.1.17 Пиковые значения аэродинамических коэффициентов для прямоугольных в плане зданий

а) Для стен прямоугольных в плане зданий пиковое положительное значение аэродинамического коэффициента =1,2.

б) Пиковые значения отрицательного аэродинамического коэффициента для стен и плоских покрытий (рисунок В.24) приведены в таблице В.12.

Таблица В.12

Участок A B C D E
-2,2 -1,2 -3,4 -2,4 -1,5

Рисунок В.24

В.2 Резонансное вихревое возбуждение

В.2.1 Для однопролетных сооружений и конструктивных элементов интенсивность воздействия F(z), действующего при резонансном вихревом возбуждении по i-й собственной форме в направлении, перпендикулярном средней скорости ветра, определяется по формуле

(В.8)

где d, м, - размер сооружения или конструктивного элемента в направлении, перпендикулярном средней скорости ветра;

, м/с, - см. 11.3.2;

- аэродинамический коэффициент поперечной силы при резонансном вихревом возбуждении;

- логарифмический декремент конструкционного демпфирования принимаемый равным:

- для металлических сооружений; - для железобетонных сооружений;

z - координата, изменяющаяся вдоль оси сооружения;

- i-я форма собственных колебаний в поперечном направлении, удовлетворяющая условию

max[(z)]=1 (В.9)

Примечание - В тех случаях, когда используются различные типы демпфирующих устройств (гасители колебаний), значение суммарного логарифмического декремента конструкционного демпфирования устанавливается в рамках научно-технического сопровождения проектирования.

Для высотных зданий воздействие, возникающее при резонансном вихревом возбуждении, необходимо устанавливать на основе данных их модельных испытаний в аэродинамических трубах. (в ред. Изменения N 1, утв. Приказом Минстроя РФ от 05.07.2018 N 402/пр)

В.2.2 Аэродинамические коэффициенты поперечной силы определяются следующим образом:

а) Для круглых поперечных сечений =0,3.

б) Для прямоугольных поперечных сечений при b/d > 0,5:

= 1,1 для / < 0,8;

= 0,6 для / 0,8,

здесь b - размер сооружения в направлении средней скорости ветра.

При b/d 0,5 расчет на резонансное вихревое возбуждение допускается не проводить.

В.2.3 При расчете сооружения на резонансное вихревое возбуждение наряду с воздействием (В.2.1) необходимо учитывать также действие ветровой нагрузки, параллельной средней скорости ветра. Средняя и пульсационная составляющие этого воздействия определяются по формулам:

; , (В.10)

где - расчетная скорость ветра на высоте , на которой происходит резонансное вихревое возбуждение, определяемое по формуле (11.13);

и - расчетные значения средней и пульсационной составляющих ветровой нагрузки, определяемые в соответствии с указаниями 11.1. (в ред. Изменения N 2, утв. Приказом Минстроя РФ от 28.01.2019 N 49/пр)

В.2.4 Критические скорости могут иметь достаточно большую повторяемость в течение расчетного срока эксплуатации сооружения и, в связи с этим, резонансное вихревое возбуждение может привести к накоплению усталостных повреждений.

Для предотвращения резонансного вихревого возбуждения могут быть использованы различные конструктивные мероприятия: установка вертикальных и спиралевидных ребер, перфорация ограждения и установка соответствующим образом настроенных гасителей колебаний.

В.3 Динамическая комфортность

При оценке комфортности пребывания людей в зданиях (динамическая комфортность) расчетные значения ветровой нагрузки принимаются равными

, (В.11)

где - нормативное значение пульсационной составляющей основной ветровой нагрузки (11.1.8). (в ред. Изменения N 2, утв. Приказом Минстроя РФ от 28.01.2019 N 49/пр)

При этом максимальное ускорение этажа здания не должно превышать величины:

а) для жилых зданий

; (В.12а)

б) для общественных, административных и офисных зданий

. (В.12б).

(в ред. Изменения N 3, утв. Приказом Минстроя РФ от 30.12.2020 N 897/пр)

Примечание - Методику оценки динамической комфортности допускается уточнять в зависимости от собственных частот колебаний здания. (в ред. Изменения N 3, утв. Приказом Минстроя РФ от 30.12.2020 N 897/пр)

Приложение Г

СРЕДНЯЯ МНОГОЛЕТНЯЯ ТЕМПЕРАТУРА ПОЧВЫ НА ГЛУБИНАХ (ПО ВЫТЯЖНЫМ ТЕРМОМЕТРАМ), °C

Таблица Г.1

Субъект РФ t, °C на глубине 0,8 м t, °C на глубине 1,6 м t, °C на глубине 3,2 м
Алтайский край 18,1 -4,8 14,9 -1,3 10,8 2,5
Амурская обл. 16,5 -8,0 13,3 -4,6 9,3 0,0
Архангельская обл. 14,7 -2,6 13,0 -0,9 9,3 1,0
Астраханская обл. 26,6 0,6 23,0 3,9 15,9 7,6
Белгородская обл. 17,8 0,8 14,6 3,2 12,0 5,4
Брянская обл. 16,5 1,2 14,3 2,8 11,1 4,8
Владимирская обл. 16,0 1,0 13,9 2,1 11,4 3,7
Волгоградская обл. 24,0 0,2 21,5 1,8 18,4 4,4
Вологодская обл. 14,0 0,9 12,4 1,7 9,5 3,2
Воронежская обл. 16,8 1,1 13,9 3,1 11,1 5,3
Еврейская а.о. 18,9 -3,1 15,5 0,0 11,0 1,9
Забайкальский край 14,7 -14,3 10,7 -8,3 6,6 -2,3
Ивановская обл. 14,7 1,0 13,1 2,2 9,9 3,9
Иркутская обл. 17,0 -8,4 14,9 -4,1 10,8 -1,0
Кабардино-Балкарская Респ. 21,0 2,9 18,1 5,8 14,9 9,1
Калининградская обл. 16,3 2,9 13,9 4,4 11,1 6,3
Калужская обл. 15,5 0,7 13,9 1,9 11,8 3,3
Камчатский край 14,1 -0,8 14,5 0,5 16,7 1,3
Карачаево-Черкесская Респ. 15,4 0,0 13,5 3,4 11,2 5,8
Кемеровская обл. 14,9 -2,0 12,2 0,2 8,8 2,4
Кировская обл. 15,5 0,7 13,8 1,9 9,2 3,9
Костромская обл. 15,3 0,9 13,2 2,0 10,4 3,6
Краснодарский край 22,9 3,5 20,7 6,4 18,4 9,1
Красноярский край 17,1 -6,6 13,8 -1,5 9,7 0,2
Курганская обл. 17,7 -2,5 14,7 -0,1 11,2 2,3
Курская обл. 17,4 0,7 14,9 2,4 11,5 4,8
Ленинградская обл. 15,5 0,6 13,8 1,6 11,4 3,0
Липецкая обл. 17,3 0,7 15,3 1,9 12,3 4,1
Магаданская обл. 9,6 -14,6 6,8 -3,8 2,6 -0,8
Московская обл. 15,4 0,6 13,3 1,8 11,2 3,8
Мурманская обл. 12,6 -2,5 10,5 0,2 7,6 1,0
Ненецкий а.о. 10,5 -3,9 8,6 -0,6 5,5 0,1
Нижегородская обл. 16,7 0,1 14,9 1,6 12,2 3,9
Новгородская обл. 14,6 1,1 12,6 2,3 10,5 3,7
Новосибирская обл. 15,1 -2,3 12,4 0,3 8,0 2,7
Омская обл. 15,0 -2,2 12,7 0,4 9,2 2,3
Оренбургская обл. 20,2 -1,5 17,6 1,3 13,5 3,9
Орловская обл. 16,6 0,9 14,4 2,6 11,2 4,8
Пензенская обл. 16,2 0,6 13,6 2,4 11,4 4,1
Пермский край 15,7 0,1 13,7 1,3 10,5 2,4
Приморский край 19,3 -2,8 15,9 0,1 12,0 2,9
Псковская обл. 17,1 0,8 14,7 2,4 11,6 4,0
Респ. Адыгея (Адыгея) 21,9 4,5 20,0 6,7 17,2 10,2
Респ. Алтай 15,2 -8,9 12,3 -7,7 9,8 -3,5
Респ. Башкортостан 15,4 0,0 13,0 1,7 9,9 3,6
Респ. Бурятия 16,9 -14,2 13,3 -10,3 9,2 -0,1
Респ. Дагестан 25,2 3,5 22,1 6,1 18,6 8,7
Респ. Калмыкия 23,6 0,7 20,4 4,1 16,2 8,3
Респ. Карелия 17,1 0,0 14,5 1,0 10,7 2,5
Респ. Коми 14,6 -2,3 12,3 -0,2 10,7 0,1
Респ. Марий Эл 15,7 0,5 13,1 2,1 10,4 3,7
Респ. Саха (Якутия) 15,0 -18,9 11,5 -16,2 6,8 -12,6
Респ. Северная Осетия - Алания 23,8 2,8 21,1 5,4 16,0 11,2
Респ. Татарстан 15,7 0,2 13,0 1,7 9,5 3,9
Респ. Тыва 14,5 -10,9 10,9 -5,9 7,3 -1,8
Респ. Хакасия 14,3 -6,6 11,1 -2,6 8,0 0,8
Ростовская обл. 22,8 0,9 18,6 3,6 15,8 6,0
Рязанская обл. 17,5 0,8 15,9 1,9 13,0 3,7
Самарская обл. 18,3 -1,2 15,0 1,1 11,9 3,3
Саратовская обл. 20,1 -1,2 17,3 1,0 13,1 3,9
Сахалинская обл. 14,5 -1,1 12,2 0,4 9,3 3,0
Свердловская обл. 16,8 -2,2 13,9 0,2 10,6 1,6
Смоленская обл. 15,3 1,4 13,1 2,8 10,9 4,5
Ставропольский край 23,8 3,0 20,7 4,8 17,1 8,2
Таймырский (Долгано-Ненецкий) м.р. 2,4 -22,6 -0,4 -4,7 -1,6 -3,1
Тамбовская обл. 17,4 1,1 15,4 2,5 12,3 4,5
Тверская обл. 18,0 0,9 15,7 1,9 12,3 3,4
Томская обл. 16,5 -1,5 13,5 0,6 10,0 2,3
Тульская обл. 15,9 0,8 13,5 2,5 11,2 4,2
Тюменская обл. 15,2 -0,9 13,1 0,4 9,0 2,5
Удмуртская Респ. 16,0 0,4 13,4 1,5 9,8 3,5
Ульяновская обл. 15,3 0,8 12,9 2,4 10,0 4,6
Хабаровский край 18,9 -10,4 15,5 -6,4 11,8 -1,6
Ханты-Мансийский а.о. 16,0 -1,8 12,9 0,1 9,3 1,5
Челябинская обл. 15,2 -1,4 12,5 0,6 9,6 2,9
Чеченская Респ. 23,2 3,2 20,0 6,3 16,8 10,1
Чувашская Респ. 15,6 0,1 13,0 1,9 9,4 3,9
Чукотский а.о. 10,0 -14,0 7,4 -12,2 4,7 -10,0
Эвенкийский м.р. 12,8 -7,6 10,3 -2,9 6,3 -1,2
Ямало-Ненецкий а.о. 12,5 -3,2 10,2 -1,5 6,8 1,3
Ярославская обл. 15,2 1,0 13,2 2,2 10,4 3,8

Приложение Д

ПРОГИБЫ И ПЕРЕМЕЩЕНИЯ

Д.1 Определение прогибов и перемещений

Д.1.1 При определении прогибов и перемещений следует учитывать все основные факторы, влияющие на их значения (неупругие деформации материалов, образование трещин, учет деформированной схемы, учет смежных элементов, податливость узлов сопряжения и оснований). При достаточном обосновании отдельные факторы можно не учитывать или учитывать приближенным способом.

При учете ветровых нагрузок перемещения несущих конструкций определяются от действия ее средней составляющей. При этом действия ее пиковой и пульсационной составляющих не учитываются. (в ред. Изменения N 3, утв. Приказом Минстроя РФ от 30.12.2020 N 897/пр)

Д.1.2 Для конструкций из материалов, обладающих ползучестью, необходимо учитывать увеличение прогибов во времени. При ограничении прогибов исходя из физиологических требований следует учитывать только кратковременную ползучесть, проявляемую сразу после приложения нагрузки, а исходя из технологических и конструктивных (за исключением расчета с учетом ветровой нагрузки) и эстетико-психологических требований - полную ползучесть.

Д.1.3 При определении прогибов колонн одноэтажных зданий и эстакад от горизонтальных крановых нагрузок расчетную схему колонн следует принимать с учетом условий их закрепления, считая, что колонна:

а) в зданиях и крытых эстакадах не имеет горизонтального смещения на уровне верхней опоры (если покрытие не создает жесткого в горизонтальной плоскости диска, следует учитывать горизонтальную податливость этой опоры);

б) в открытых эстакадах рассматривается как консоль.

Д.1.4 При колебаниях строительных конструкций зданий и сооружений классификацию вибраций, нормируемые параметры, их предельно допустимые значения в жилых, общественных и производственных зданиях необходимо устанавливать согласно требованиям соответствующих действующих нормативных документов.

При наличии высокоточного оборудования и приборов, чувствительных к колебаниям конструкций, на которых они установлены, предельные значения виброперемещений, виброскорости, виброускорения следует определять в соответствии с заданием на проектирование.

Д.1.5 Расчетные ситуации, для которых необходимо определять прогибы и перемещения и соответствующие им нагрузки, следует принимать в зависимости от того, исходя из каких требований производится расчет.

Расчетная ситуация характеризуется расчетной схемой конструкции, видами нагрузок, значениями коэффициентов условий работы и коэффициентов надежности, перечнем предельных состояний, которые следует рассматривать в данной ситуации.

Если расчет производится исходя из технологических требований, расчетная ситуация должна соответствовать действию нагрузок, влияющих на работу технологического оборудования.

Если расчет производится исходя из конструктивных требований, расчетная ситуация должна соответствовать действию нагрузок, которые могут привести к повреждению смежных элементов в результате значительных прогибов и перемещений.

Если расчет производится исходя из физиологических требований, расчетная ситуация должна соответствовать состоянию, связанному с колебаниями конструкций, и при этом необходимо учитывать нагрузки, влияющие на колебания конструкций, ограничиваемые требованиями настоящего свода правил.

Если расчет производится исходя из эстетико-психологических требований, расчетная ситуация должна соответствовать действию постоянных и длительных нагрузок.

Для конструкций покрытий и перекрытий, проектируемых со строительным подъемом при ограничении прогиба эстетико-психологическими требованиями, определяемый вертикальный прогиб следует уменьшать на размер строительного подъема.

Д.1.6 Прогиб элементов покрытий и перекрытий, ограниченный исходя из конструктивных требований, не должен превышать расстояния (зазора) между нижней поверхностью этих элементов и верхом перегородок, витражей, оконных и дверных коробок и других конструктивных элементов, расположенных под несущими элементами.

Абзац. - Исключен. (в ред. Изменения N 3, утв. Приказом Минстроя РФ от 30.12.2020 N 897/пр)

Д.1.7 При наличии между стенами капитальных перегородок (практически такой же высоты, как и стены) значения l в поз. 2, а таблицы Д.1 следует принимать равными расстояниям между внутренними поверхностями несущих стен (или колонн) и этими перегородками (или между внутренними поверхностями перегородок, рисунок Д.1).

а - одной в пролете; б - двух в пролете; 1 - несущие стены (или колонны); 2 - капитальные перегородки; 3 - перекрытие (покрытие) до приложения нагрузки; 4 - перекрытие (покрытие) после приложения нагрузки; 5 - линии отсчета прогибов; 6 - зазор

Рисунок Д.1 - Схемы для определения значений l (, , ) при наличии между стенами капитальных перегородок

Д.1.8 Прогибы стропильных конструкций при наличии подвесных крановых путей (см. таблицу Д.1, позиция 2, перечисление в) следует принимать как разность между прогибами и смежных стропильных конструкций (рисунок Д.2). (в ред. Изменения N 3, утв. Приказом Минстроя РФ от 30.12.2020 N 897/пр)

Д.1.9 Горизонтальные перемещения каркаса следует определять в плоскости стен и перегородок, целостность которых должна быть обеспечена.

Абзац второй. - Исключен. (в ред. Изменения N 3, утв. Приказом Минстроя РФ от 30.12.2020 N 897/пр)

1 - стропильные конструкции; 2 - балка подвесного кранового пути; 3 - подвесной кран; 4 - исходное положение стропильных конструкций; - прогиб наиболее нагруженной стропильной конструкции; - прогибы смежных с наиболее нагруженной стропильных конструкций
Рисунок Д.2 - Схема для определения прогибов стропильных конструкций при наличии подвесных крановых путей

Рисунок Д.3. - Исключен. (в ред. Изменения N 3, утв. Приказом Минстроя РФ от 30.12.2020 N 897/пр)

Д.2 Предельные прогибы

Д.2.1 Вертикальные предельные прогибы элементов конструкций

Вертикальные предельные прогибы элементов конструкций и нагрузки, от которых следует определять прогибы, приведены в таблице Д.1. (в ред. Изменения N 3, утв. Приказом Минстроя РФ от 30.12.2020 N 897/пр)

Таблица Д.1

(в ред. Изменения N 3, утв. Приказом Минстроя РФ от 30.12.2020 N 897/пр)

Элементы конструкций Предъявляемые требования Вертикальные предельные прогибы Нагрузки для определения вертикальных прогибов
1 Балки крановых путей подмостовые и подвесные краны, управляемые из кабины при группах режимов работы: Физиологические    
1К - 6К l/400 От одного крана
l/500 То же
l/600 "
2 Балки, фермы, ригели, прогоны, плиты, настилы (включая поперечные ребра плит и настилов): Эстетико-психологические    
а) покрытий и перекрытий, открытых для обзора, при пролете l, м:   Постоянные и длительные, а также нагрузки, указанные в таблице 8.3, с понижающим коэффициентом, равным 0,35, и снеговые нагрузки с понижающим коэффициентом, равным 0,5
l 1 l/120
l = 3 l/150
l = 6 l/200
l = 24 (12) l/250
l 36 (24) l/300
б) покрытий и перекрытий при наличии тельферов (талей), подвесных кранов, управляемых из кабины Физиологические l/400 или a/200 (меньшее из двух) От одного крана или тельфера (тали) на одном пути
в) перекрытий, подверженных действию: Физиологические l/350 Наиболее неблагоприятное из следующих двух значений:
перемещаемых грузов, материалов, узлов и элементов оборудования и других подвижных нагрузок (в том числе при безрельсовом напольном транспорте) 0,7 полных нормативных значений кратковременных нагрузок на перекрытие или нагрузки от одного транспортного средства
нагрузок от рельсового транспорта:      
узкоколейного   l/400 От одного состава вагонов (или одной напольной машины) на одном пути
ширококолейного   l/500 То же
г) покрытий и перекрытий автостоянок в зданиях, при пролете l, м: Физиологические   Постоянные и длительные, а также нагрузки, указанные в таблице 8.3 с понижающим коэффициентом, равным 0,35, и снеговые нагрузки с понижающим коэффициентом, равным 0,5
l = 6 l/200
l = 12 l/250
l 24 l/300
3 Элементы лестниц (марши, площадки, косоуры), балконов, лоджий Эстетико-психологические Те же, что в позиции 2, перечисление а)
Физиологические Определяются в соответствии с Д.2.2
4 Перемычки и навесные стеновые панели над оконными и дверными проемами (ригели и прогоны остекления) Эстетико-психологические Те же, что в позиции 2, перечисление а)
Обозначения, принятые в настоящей таблице:
l - расчетный пролет элемента конструкции;
a - шаг балок или ферм, к которым крепятся подвесные крановые пути.

Примечания
1 Для консоли вместо l следует принимать удвоенный ее вылет.
2 Для промежуточных значений l в позиции 2, перечисление а), предельные прогибы следует определять линейной интерполяцией, учитывая требования Д.1.7 приложения Д.
3 В позиции 2, перечисление а), цифры, указанные в скобках, следует принимать при высоте помещений до 6 м включительно.
4 Особенности вычисления прогибов по позиции 2, перечисление б), указаны в Д.1.8 приложения Д.
5 При ограничении прогибов эстетико-психологическими требованиями допускается пролет l принимать равным расстоянию между внутренними поверхностями несущих стен (или колонн).

Д.2.2 Физиологические требования (в ред. Изменения N 1, утв. Приказом Минстроя РФ от 05.07.2018 N 402/пр)

Предельные прогибы элементов перекрытий (балок, ригелей, плит), лестниц, балконов, лоджий, помещений жилых и общественных зданий, а также бытовых помещений производственных зданий исходя из физиологических требований (от людей, возбуждающих колебания) следует определять по формуле (в ред. Изменения N 1, утв. Приказом Минстроя РФ от 05.07.2018 N 402/пр)

(Д.1)

где g - ускорение свободного падения;

p - нормативное значение нагрузки от людей, возбуждающих колебания, принимаемое по таблице Д.2;

- нагрузки на перекрытия, принимаемые по таблице Д.2; (в ред. Изменения N 3, утв. Приказом Минстроя РФ от 30.12.2020 N 897/пр)

q - нормативное значение нагрузки от веса рассчитываемого элемента и опирающихся на него конструкций;

n - частота приложения нагрузки при ходьбе человека, принимаемая по таблице Д.2;

b - коэффициент, принимаемый по таблице Д.2.

Таблица Д.2

Помещения, принимаемые по таблице 8.3 p, кПа p1, кПа n, Гц b
Позиции 1, 2, кроме классных и бытовых
Позиции 3, 4, а, 9, б, 10, б
0,25 Принимают по таблице 8.3 с понижающим коэффициентом, равным 0,35 1,5
(в ред. Изменения N 3, утв. Приказом Минстроя РФ от 30.12.2020 N 897/пр)
Позиция 2 - классные и бытовые
Позиции 4, б - г, кроме танцевальных
Позиции 9, а, 10, а, 12, 13
0,5 Принимают по таблице 8.3 с понижающим коэффициентом, равным 0,35 1,5
(в ред. Изменения N 3, утв. Приказом Минстроя РФ от 30.12.2020 N 897/пр)
Позиция. - Исключена.
(в ред. Изменения N 3, утв. Приказом Минстроя РФ от 30.12.2020 N 897/пр)
Обозначения, принятые в таблице Д.2:
Q - вес одного человека, принимаемый равным 0,8 кН;
- коэффициент, принимаемый равным 1,0 для элементов, рассчитываемых по балочной схеме, 0,5 - в остальных случаях (например, при опирании плит по трем или четырем сторонам);
a - шаг балок, ригелей, ширина плит (настилов), м;
l - расчетный пролет элемента конструкции, м.

Прогибы следует определять от суммы нагрузок , где - коэффициент, определяемый по формуле (6.6). (в ред. Изменения N 3, утв. Приказом Минстроя РФ от 30.12.2020 N 897/пр)

Д.2.3 Горизонтальные предельные прогибы колонн и тормозных конструкций от крановых нагрузок

Д.2.3.1 Горизонтальные предельные прогибы колонн зданий, оборудованных мостовыми кранами, крановых эстакад, а также балок крановых путей и тормозных конструкций (балок или ферм), следует принимать по таблице Д.3, но не менее 6 мм.

Прогибы следует проверять на отметке головки крановых рельсов от сил торможения тележки одного крана, направленных поперек кранового пути, без учета крена фундаментов.

Таблица Д.3

Группы режимов работы кранов Предельные прогибы
колонн балок крановых путей и тормозных конструкций, зданий и крановых эстакад (крытых и открытых)
зданий и крытых крановых эстакад открытых крановых эстакад
1К - 3К h/500 h/1500 l/500
4К - 6К h/1000 h/2000 l/1000
7К - 8К h/2000 h/2500 l/2000
Обозначения, принятые в таблице Д.3:
h - высота от верха фундамента до головки кранового рельса (для одноэтажных зданий, крытых и открытых крановых эстакад) или расстояние от оси ригеля перекрытия до головки кранового рельса (для верхних этажей многоэтажных зданий);
l - расчетный пролет элемента конструкции (балки).

Д.2.3.2. Пункт исключен. (в ред. Изменения N 3, утв. Приказом Минстроя РФ от 30.12.2020 N 897/пр)

Д.2.4 Горизонтальные предельные перемещения и прогибы зданий, отдельных элементов конструкций от ветровой нагрузки и температурных климатических воздействий (в ред. Изменения N 3, утв. Приказом Минстроя РФ от 30.12.2020 N 897/пр)

Д.2.4.1. Пункт исключен. (в ред. Изменения N 3, утв. Приказом Минстроя РФ от 30.12.2020 N 897/пр)

Д.2.4.2 Для 2-го предельного состояния горизонтальные перемещения бескаркасных зданий от ветровых нагрузок не ограничиваются.

Д.2.4.3--Д.2.4.4. Пункты исключены. (в ред. Изменения N 3, утв. Приказом Минстроя РФ от 30.12.2020 N 897/пр)

Д.2.4.5 Горизонтальные предельные прогибы колонн (стоек) каркасных зданий от температурных климатических и усадочных воздействий следует принимать равными:

/150 - при стенах и перегородках из кирпича, гипсобетона, железобетона и навесных панелей;

/200 - при стенах, облицованных естественным камнем, из керамических блоков, из стекла (витражи), где - высота этажа, а для одноэтажных зданий с мостовыми кранами - высота от верха фундамента до низа балок кранового пути.

При этом температурные воздействия следует принимать без учета суточных колебаний температур наружного воздуха и перепада температур от солнечной радиации.

При определении горизонтальных прогибов от температурных климатических и усадочных воздействий их значения не следует суммировать с прогибами от ветровых нагрузок и от крена фундаментов.

Д.2.4.6 Горизонтальные предельные прогибы конструктивных элементов витражей, стеклопакетов и т.п. конструкций устанавливаются нормативными документами по их проектированию. (в ред. Изменения N 1, утв. Приказом Минстроя РФ от 05.07.2018 N 402/пр)

Д.2.5 Предельные выгибы элементов междуэтажных перекрытий от усилий предварительного обжатия

Д.2.5. Пункт исключен. (в ред. Изменения N 3, утв. Приказом Минстроя РФ от 30.12.2020 N 897/пр)

Приложение Е

КАРТЫ РАЙОНИРОВАНИЯ ТЕРРИТОРИИ РОССИЙСКОЙ ФЕДЕРАЦИИ ПО КЛИМАТИЧЕСКИМ ХАРАКТЕРИСТИКАМ

(Издано отдельной брошюрой)

Таблица Е.1

Высотный коэффициент для пунктов, расположенных в горных районах, обозначенных на карте 1 приложения Е, а также в местах со сложным изменением рельефа и высотой над уровнем моря более 500 м
 
(в ред. Изменения N 3, утв. Приказом Минстроя РФ от 30.12.2020 N 897/пр)

Территориальный район Российской Федерации Снеговой район Начальная высота , м
Республика Дагестан II 500 1,0
Краснодарский край:      
Адлерский район VII 500 2,15
Остальные районы II 500 5,0
Республика Адыгея (Адыгея) VII 500 2,15
Ставропольский край II 500 1,0
Эвенкийский автономный округ VI 500 0,35
Красноярский край:      
Кемеровская область - Кузбасс, Кузнецкий Алатау, Горная Шория VI, VII 500 2,25
Саянский хр., Куртушибинский хр. IV 500 3,15
Северо-Енисейский район VI 500 0,95
Норильский промышленный район:      
- к северо-востоку от г. Норильска V 500 3,75
- до 20 км к югу от г. Норильска VI 500 2,5
Республика Бурятия:      
хр. Хамар-Дабан IV 500 1,0
Байкальский хр. IV 500 2,3
Забайкальский край:      
Каларский район, хр. Удокан II 500 0
  II 1000 1,8
Республика Якутия:      
Алданское нагорье III 500 1,35
Примечание - Значения высотного коэффициента для остальных горных районов, а также для мест со сложным изменением рельефа и высотой над уровнем моря более 500 м необходимо устанавливать на основе данных организаций по гидрометеорологии.

КАРТА 1. РАЙОНИРОВАНИЕ ТЕРРИТОРИИ РОССИЙСКОЙ ФЕДЕРАЦИИ ПО ВЕСУ СНЕГОВОГО ПОКРОВА
 
(в ред. Изменения N 2, утв. Приказом Минстроя РФ от 28.01.2019 N 49/пр)

Примечания

1 Для горных районов при высоте местности над уровнем моря h 500 м нормативное значение веса снегового покрова принимают равным для соответствующего снегового района; при h > 500 м определяют по формуле

, кН/м2,

где - значение высотного коэффициента для высоты h, м над уровнем моря;

- начальная высота, м, относительно которой устанавливается высотный коэффициент, принимаемая не менее 500 м.

2 Значения определяют по таблице Е.1 или по данным организаций по гидрометеорологии.

3 Для различных высот над уровнем моря одного горного района значение высотного коэффициента может быть различным. (в ред. Изменения N 3, утв. Приказом Минстроя РФ от 30.12.2020 N 897/пр)

КАРТА 1, а. РАЙОНИРОВАНИЕ ТЕРРИТОРИИ ОСТРОВА САХАЛИН ПО ВЕСУ СНЕГОВОГО ПОКРОВА

КАРТА 1, б. РАЙОНИРОВАНИЕ ТЕРРИТОРИИ РЕСПУБЛИКИ КРЫМ ПО ВЕСУ СНЕГОВОГО ПОКРОВА

КАРТА 2. РАЙОНИРОВАНИЕ ТЕРРИТОРИИ РОССИЙСКОЙ ФЕДЕРАЦИИ ПО ДАВЛЕНИЮ ВЕТРА

ДОПОЛНЕНИЯ К КАРТЕ 2. РАЙОНИРОВАНИЕ ТЕРРИТОРИИ РОССИЙСКОЙ ФЕДЕРАЦИИ ПО ДАВЛЕНИЮ ВЕТРА

КАРТА 2, е. РАЙОНИРОВАНИЕ ТЕРРИТОРИИ РЕСПУБЛИКИ КРЫМ ПО ДАВЛЕНИЮ ВЕТРА

КАРТА 3. РАЙОНИРОВАНИЕ ТЕРРИТОРИИ РОССИЙСКОЙ ФЕДЕРАЦИИ ПО ТОЛЩИНЕ СТЕНКИ ГОЛОЛЕДА

КАРТА 3, а. РАЙОНИРОВАНИЕ ТЕРРИТОРИИ ГОРНОГО КАВКАЗА ПО ТОЛЩИНЕ СТЕНКИ ГОЛОЛЕДА

КАРТА 3, б. РАЙОНИРОВАНИЕ ТЕРРИТОРИИ РЕСПУБЛИКИ КРЫМ ПО ТОЛЩИНЕ СТЕНКИ ГОЛОЛЕДА

КАРТА 3, в. РАЙОНИРОВАНИЕ ТЕРРИТОРИИ ПРИМОРСКОГО КРАЯ И ОСТРОВА САХАЛИН ПО ТОЛЩИНЕ СТЕНКИ ГОЛОЛЕДА

КАРТА 4. РАЙОНИРОВАНИЕ ТЕРРИТОРИИ РОССИЙСКОЙ ФЕДЕРАЦИИ ПО НОРМАТИВНЫМ ЗНАЧЕНИЯМ МИНИМАЛЬНОЙ ТЕМПЕРАТУРЫ ВОЗДУХА, °C

КАРТА 4, а. РАЙОНИРОВАНИЕ ТЕРРИТОРИИ РЕСПУБЛИКИ КРЫМ ПО НОРМАТИВНЫМ ЗНАЧЕНИЯМ МИНИМАЛЬНОЙ ТЕМПЕРАТУРЫ ВОЗДУХА, °C

КАРТА 5. РАЙОНИРОВАНИЕ ТЕРРИТОРИИ РОССИЙСКОЙ ФЕДЕРАЦИИ ПО НОРМАТИВНЫМ ЗНАЧЕНИЯМ МАКСИМАЛЬНОЙ ТЕМПЕРАТУРЫ ВОЗДУХА, °C

КАРТА 5, а. РАЙОНИРОВАНИЕ ТЕРРИТОРИИ РЕСПУБЛИКИ КРЫМ ПО НОРМАТИВНЫМ ЗНАЧЕНИЯМ МАКСИМАЛЬНОЙ ТЕМПЕРАТУРЫ ВОЗДУХА, °C

Приложение Ж

ОСНОВНЫЕ ТРЕБОВАНИЯ К ПРОВЕДЕНИЮ МОДЕЛЬНЫХ ИСПЫТАНИЙ ЗДАНИЙ И СООРУЖЕНИЙ В АЭРОДИНАМИЧЕСКИХ ТРУБАХ

(в ред. Изменением N 2, утв. Приказом Минстроя РФ от 28.01.2019 N 49/пр)

Ж.1 Целью проведения модельных испытаний зданий и сооружений в аэродинамических трубах является определение одного или нескольких из следующих параметров, необходимых для нормирования ветровых воздействий:

а) аэродинамические коэффициенты внутреннего () и внешнего () давлений;

б) аэродинамические коэффициенты лобового сопротивления (), поперечной силы () и крутящего момента ();

в) пиковые (положительные () и отрицательные () значения аэродинамических коэффициентов;

г) числа Струхаля St;

д) плотность вероятности функции порывов ветра g(t), которая используется при оценке комфортности пешеходных зон;

е) динамическая реакция сооружений или ее спектральные характеристики (энергетический спектр, авто- и взаимные корреляционные функции) при действии основного типа ветровой нагрузки, а также реакция, связанная с появлением аэродинамически неустойчивых колебаний (галопирование, различные виды флаттера) или с резонансным вихревым возбуждением.

Ж.2 При проведении модельных испытаний должны быть установлены основные закономерности снегопереноса по покрытиям сооружений, на основе которых определяются коэффициенты формы , используемые при нормировании снеговых нагрузок.

Ж.3 При проведении модельных аэродинамических испытаний должны быть выполнены определенные условия (критерии) подобия, которые обеспечивают получение наиболее достоверной информации о действующих на здание ветровых нагрузках. Основными и наиболее существенными критериями являются следующие:

- геометрическое подобие, включая степень шероховатости внешних поверхностей моделей;

- подобие структуры потока в аэродинамической трубе реальным ветровым режимам в месте строительства.

Примечание - В тех случаях, когда модельные испытания проводятся в аэродинамических трубах с гладким полом или приземный слой атмосферы моделируется за счет применения турбулизирующих решеток, использование полученных результатов для проектирования сооружений должно быть дополнительно обосновано;

- подобие по числу Рейнольдса Re или выполнение более слабого требования о необходимости реализации автомодельного режима обтекания модели эквивалентного режиму обтекания сооружения;

- подобие основных динамических характеристик модели и здания (при экспериментальном определении динамической реакции сооружения).

Ж.4 При изготовлении моделей линейный масштаб моделирования выбирается таким образом, чтобы площадь ее миделева сечения, перпендикулярного направлению потока, удовлетворяла условию

, (Ж.1)

где - площадь рабочей части аэродинамической трубы в месте установки модели;

- степень заполнения рабочей части;

- предельное значение , зависящее от типа аэродинамической установки.

В тех случаях, когда условие (Ж.1) не выполняется, результаты эксперимента нуждаются в корректировке. Ее методика, а также значение для каждой аэродинамической установки определяются экспериментально.

Ж.5 Во избежание искажений результатов испытаний скорость потока в рабочей части аэродинамической трубы не должна превышать 60 м/с.

Ж.6 Перед проведением экспериментальных исследований необходимо измерить скорость и уровень турбулентных пульсаций скорости потока (степень турбулентности) по высоте пограничного слоя на всей области размещения модели в рабочей части аэродинамической трубы.

Ж.7 Аэродинамическая установка, используемое оборудование, приборы и инструменты должны быть аттестованы в соответствии с требованиями по их эксплуатации и использованию.

Ж.8 При определении пиковых аэродинамических коэффициентов и интервал сглаживания экспериментальных данных должен соответствовать 1 - 3-секундному давлению ветра для реального сооружения.

Ж.9 При оформлении результатов модельных аэродинамических испытаний в отчетных документах должны быть приведены следующие данные:

а) линейный масштаб моделирования;

б) состояние поверхности модели (гладкая, с искусственно нанесенной шероховатостью и др.) и ее соответствие поверхности реального сооружения;

в) место расположения модели в рабочей части аэродинамической трубы и степень заполнения ее поперечного сечения;

г) схема дренирования модели (при измерении средних и пиковых значений аэродинамических коэффициентов);

д) основные характеристики набегающего потока, в том числе:

- способ моделирования приземного слоя атмосферы (генераторы вихрей и расположение элементов шероховатости на нижней стенке аэродинамической трубы, используемых для турбулизации потока);

- распределение средней скорости и интенсивности турбулентности потока по высоте сечения трубы в месте расположения модели с оценкой параметров их степенной или логарифмической аппроксимации.

Примечание - При использовании турбулизирующих решеток для моделирования приземного слоя атмосферы, кроме того, необходимо указать интегральные масштабы турбулентности и энергетический спектр набегающего потока;

е) числа Рейнольдса, при которых проводились испытания, и обоснование реализации автомодельного режима обтекания модели, соответствующего режиму обтекания реального сооружения;

ж) скорость или давление потока, по отношению к которым нормировались аэродинамические коэффициенты, давления, сил и моментов, а также числа Струхаля и энергетические спектры (при проведении соответствующих экспериментальных исследований).

Примечание - Для аэродинамических коэффициентов сил и моментов необходимо дополнительно указать оси, в направлении которых эти коэффициенты определялись, а также площади сечений, использованных при их определении;

и) границы достоверности диапазона частот (при измерении энергетических спектров, пиковых аэродинамических коэффициентов, динамической реакции модели и других подобных явлений) с учетом собственных частот приемной и регистрирующей аппаратуры;

к) числа Струхаля St и основные безразмерные частоты срывы вихрей (при исследовании явлений срыва вихрей с боковых поверхностей сооружений).

Приложение И

ОБЩАЯ МЕТОДИКА ПРОВЕДЕНИЯ МОДЕЛЬНЫХ ИСПЫТАНИЙ ЗДАНИЙ И СООРУЖЕНИЙ В АЭРОДИНАМИЧЕСКИХ ТРУБАХ

(в ред. Изменением N 2, утв. Приказом Минстроя РФ от 28.01.2019 N 49/пр)

Критерии подобия, указанные в приложении Ж, должны выполняться при проведении всех модельных испытаний зданий и сооружений в аэродинамических трубах.

Примечание - При решении некоторых специальных задач строительной аэродинамики, кроме того, может потребоваться выполнение других критериев подобия: по числам Ричардсона (Ri), Россби (Ro), Фруда (Fr) и др.

И.1 Геометрическое подобие

Следствием геометрического подобия модели и сооружения является равенство безразмерных координат соответствующих точек моделей и сооружения

и , (И.1)

где и - координаты точек модели и сооружения соответственно в направлении i-й координатной оси (i = 1, 2, 3);

и - соответствующие линейные размеры модели и сооружения соответственно в направлении i-й координатной оси (i = 1, 2, 3).

Линейный масштаб моделирования определяется соотношениями

(И.2)

При изготовлении модели линейный масштаб моделирования выбирается таким образом, чтобы степень заполнения поперечного сечения аэродинамической трубы удовлетворяла условию (Ж.1).

В тех случаях, когда это условие не выполняется, результаты эксперимента нуждаются в корректировке. Ее методика для каждой аэродинамической установки определяется экспериментально.

При модельных испытаниях зданий и сооружений ; для элементов решетчатых конструкций принимают порядка единицы.

И.2 Подобие по параметру шероховатости

Подобие по параметру шероховатости - частный случай геометрического подобия элементов шероховатости.

Учитывая, что в большинстве случаев - величина порядка , при изготовлении моделей точно удовлетворить этому равенству, как правило, не удается. Для оценки влияния этого параметра на аэродинамические коэффициенты при проведении испытаний шероховатость модели обычно искусственно увеличивается. Для использования результатов продувок подобных моделей для назначения ветровых нагрузок, действующих на проектируемые сооружения, как правило, необходимы дополнительные обоснования.

И.3 Моделирование по числу Рейнольдса

Число Рейнольдса Re определяется соотношением

, (И.3)

где - характерная средняя скорость ветра или потока в аэродинамической трубе ();

- размер сооружения или модели в направлении, перпендикулярном направлению скорости ;

v1,45х м2/с - кинематическая вязкость воздуха.

Так как v имеет примерно одно и то же значение для потоков в аэродинамических трубах и в естественных условиях, а

, (И.4)

то отношение чисел Рейнольдса, соответствующих модели и натурному сооружению, пропорционально линейному масштабу моделирования:

. (И.5)

Учитывая, что при модельных испытаниях реальных сооружений <<1, то даже приближенно выполнить моделирование по числу Re не удается; обычно при проведении испытаний пользуются более слабым требованием: числа Рейнольдса сооружения Re и его модели должны находиться в одной и той же области автомодельного режима обтекания.

С практической точки зрения основной особенностью зоны автомодельности является то, что в ней аэродинамические коэффициенты слабо зависят от числа Рейнольдса. Это обстоятельство позволяет с достаточной степенью надежности использовать результаты модельных испытаний при назначении ветровых нагрузок, действующих на реальные сооружения.

Границы области автомодельности зависят от степени шероховатости поверхности модели, ее относительных размеров и свойств набегающего потока.

Для сооружений с острыми кромками (поперечное сечение которых имеет угловые точки) нижняя граница зоны автомодельности и при аэродинамических испытаниях их моделей можно считать, что условие автомодельности всегда выполняется.

Для сооружений с гладкой формой поперечного сечения нижняя граница зоны автомодельности, соответствующей его закризисному обтеканию, и числа Рейнольдса , реализованные при его модельных испытаниях, часто имеют близкие значения порядка .

Выполнение условия автомодельности обтекания модели при проведении каждого эксперимента должно устанавливаться непосредственно на основе анализа полученных результатов.

Примечание - Выполнение условий геометрического подобия модели (с учетом степени шероховатости ее поверхности) и автомодельности ее обтекания в аэродинамической трубе обеспечивает выполнение критерия подобия по числу Струхаля при проведении экспериментальных исследований.

И.4 Для моделирования структуры погранслоя атмосферы при проведении модельных испытаний рекомендуется использовать аэродинамические трубы метеорологического или геофизического типа, длина рабочей части которых превышает шесть высот их поперечного сечения и имеющих прямоугольную форму.

Учитывая, что, образование приземного слоя атмосферы при сильных ветрах и в трубах с длинной рабочей частью происходит единообразно, за счет взаимодействия потоков с соответствующими подстилающими поверхностями, в обоих этих случаях их структура - профиль средней составляющей скорости и энергетические спектры пульсационной составляющей - оказываются подобными.

Основным параметром, характеризующим свойства реальных ветровых режимов и потоков, реализуемых в аэродинамических трубах с длинной рабочей частью, является параметр шероховатости подстилающей поверхности.

За счет использования различных элементов шероховатости (турбулизаторов) и различных способов их размещения на полу аэродинамической трубы значение при испытаниях может изменяться в достаточно широких пределах. Кроме того, изменяется вдоль рабочей части трубы. Эти два обстоятельства позволяют выбрать условия испытаний, соответствующие реальным условиям.

Для использования результатов модельных испытаний в трубах с длинной рабочей частью вполне достаточно знать параметр шероховатости ; детальное описание энергетического спектра скорости потока при этом необязательно в силу его подобия спектру продольной составляющей скорости ветра.

Примечание - Иногда при испытаниях в трубах с короткой рабочей частью для турбулизации потока на выходе из сопла устанавливаются турбулизирующие решетки. Поскольку турбулентная структура подобных потоков существенно отличается от структуры погранслоя атмосферы, то для практического использования результаты, полученные при экспериментах с "решетчатой" турбулентностью, нуждаются в дополнительных обоснованиях.

И.5 Энергетические спектры скорости потока или давления, определяемые по результатам модельных испытаний в аэродинамических трубах, могут быть использованы на практике только для частот f ; здесь и являются соответственно нижней и верхней границами достоверного частотного диапазона и зависят от длины записи пульсаций давлений при эксперименте и интервала выборки (квантования) данных при статистической обработке этих записей. На практике допускается принять

, (И.6а)

, (И.6б)

где и определены в И.1 и И.3 соответственно.

Приложение К

НОРМАТИВНЫЕ ЗНАЧЕНИЯ ВЕСА СНЕГОВОГО ПОКРОВА ДЛЯ ГОРОДОВ РОССИЙСКОЙ ФЕДЕРАЦИИ

(в ред. Изменения N 2, утв. Приказом Минстроя РФ от 28.01.2019 N 49/пр)

Таблица К.1

Нормативные значения веса снегового покрова

N Город, населенный пункт Sg, кН/м2
Республика Адыгея (Адыгея)
1 Майкоп 0,90
Алтайский край.
Республика Алтай
1 Барнаул 1,55
2 Бийск 2,15
3 Горно-Алтайск 1,90
4 Рубцовск 1,00
Амурская область
1 Благовещенск 0,50
Архангельская область
1 Архангельск 1,80
2 Северодвинск 2,25
Астраханская область
1 Астрахань 0,40
Республика Башкортостан
1 Нефтекамск 2,05
2 Октябрьский 1,85
3 Салават 2,45
4 Стерлитамак 2,20
5 Уфа 2,45
Белгородская область
1 Белгород 1,55
2 Старый Оскол 1,55
Брянская область
1 Брянск 1,60
Республика Бурятия
1 Улан-Уде 0,45
Владимирская область
1 Владимир 1,85
2 Ковров 1,60
3 Муром 1,55
Волгоградская область
1 Волгоград 1,00
2 Волжский 1,00
3 Камышин 1,15
Вологодская область
1 Вологда 1,65
2 Череповец 1,85
Воронежская область
1 Воронеж 1,55
Республика Дагестан
1 Каспийск 0,60
2 Махачкала 0,60
3 Хасавюрт 0,65
Еврейская автономная область
1 Биробиджан 0,95
Забайкальский край
1 Чита 0,40
Ивановская область
1 Иваново 1,70
2 Кинешма 1,90
Республика Ингушетия
1 Назрань 0,65
Иркутская область
1 Ангарск 1,05
2 Братск 1,25
3 Иркутск 1,05
4 Усть-Илимск 1,25
Кабардино-Балкарская Республика
1 Нальчик 0,50
Калининградская область
1 Калининград 0,80
Республика Калмыкия
1 Элиста 0,70
Калужская область
1 Калуга 1,90
Камчатский край
1 Петропавловск-Камчатский 4,10
Карачаево-Черкесская Республика
1 Черкесск 0,60
Республика Карелия
1 Петрозаводск 1,70
Кемеровская область
1 Кемерово 1,80
2 Киселевск 1,60
3 Междуреченск 3,50
4 Новокузнецк 1,80
5 Прокопьевск 1,60
Кировская область
1 Киров 2,10
Республика Коми
1 Сыктывкар 2,45
2 Ухта 2,15
Костромская область
1 Кострома 1,80
Краснодарский край
1 Армавир 0,85
2 Краснодар 1,10
3 Кропоткин 0,70
Красноярский край
1 Ачинск 1,25
2 Канск 1,10
3 Красноярск 1,35
4 Норильск 2,40
Республика Крым
1 Евпатория 0,45
2 Ялта 0,50
Курганская область
1 Курган 1,30
Курская область
1 Железногорск 1,40
2 Курск 1,25
Ленинградская область
1 Выборг 1,80
2 Гатчина 1,40
3 Пушкин 1,30
4 Санкт-Петербург 1,30
Липецкая область
1 Елец 1,35
2 Липецк 1,50
Магаданская область
1 Магадан 1,35
Республика Марий Эл
1 Йошкар-Ола 1,80
Республика Мордовия
1 Саранск 1,60
Московская область
1 Дмитров 1,45
2 Клин 1,85
3 Коломна 1,45
4 Москва 1,45
5 Сергиев Посад 1,60
6 Серпухов 1,50
Мурманская область
1 Мурманск 3,20
Нижегородская область
1 Арзамас 1,60
2 Нижний Новгород 2,10
3 Саров 1,65
Новгородская область
1 Великий Новгород 1,55
Новосибирская область
1 Бердск 1,60
2 Новосибирск 1,60
Омская область
1 Омск 1,35
Оренбургская область
1 Бузулук 1,30
2 Оренбург 1,25
3 Орск 1,20
Орловская область
1 Орел 1,40
Пензенская область
1 Кузнецк 1,80
2 Пенза 1,45
Пермский край
1 Березники 2,45
2 Пермь 1,95
3 Соликамск 2,60
4 Чайковский 1,85
Приморский край
1 Уссурийск 0,70
Псковская область
1 Великие Луки 1,10
2 Псков 1,30
Ростовская область
1 Волгодонск 0,85
2 Новочеркасск 0,85
3 Новошахтинск 0,80
4 Ростов-на-Дону 0,85
5 Таганрог 0,85
6 Шахты 0,80
Рязанская область
1 Рязань 1,55
Самарская область
1 Новокуйбышевск 1,60
2 Самара 1,60
3 Сызрань 1,55
4 Тольятти 1,65
Саратовская область
1 Саратов 1,40
2 Энгельс 1,40
Республика Саха (Якутия)
1 Якутск 0,70
Сахалинская область
1 Южно-Сахалинск 3,85
Свердловская область
1 Екатеринбург 1,35
2 Каменск-Уральский 1,25
3 Нижний Тагил 1,50
4 Первоуральск 1,40
5 Серов 1,55
Республика Северная Осетия - Алания
1 Владикавказ 0,65
Смоленская область
1 Смоленск 1,60
Ставропольский край
1 Ессентуки 0,65
2 Кисловодск 0,65
3 Невинномысск 0,75
4 Пятигорск 0,45
5 Ставрополь 0,95
Тамбовская область
1 Мичуринск 1,50
2 Тамбов 1,40
Республика Татарстан (Татарстан)
1 Альметьевск 1,85
2 Бугульма 2,55
3 Казань 2,30
4 Набережные Челны 2,25
5 Нижнекамск 2,10
Тверская область
1 Тверь 1,60
Томская область
1 Северск 2,15
2 Томск 2,15
Республика Тыва
1 Кызыл 0,50
Тульская область
1 Новомосковск 1,45
2 Тула 1,50
Тюменская область
1 Тобольск 1,55
2 Тюмень 1,60
Ханты-Мансийский автономный округ - Югра
3 Нефтеюганск 1,80
4 Нижневартовск 2,30
5 Сургут 1,80
6 Ханты-Мансийск 1,95
Ямало-Ненецкий автономный округ
7 Новый Уренгой 2,55
Удмуртская Республика
1 Воткинск 2,35
2 Глазов 1,70
3 Ижевск 2,15
4 Сарапул 1,80
Ульяновская область
1 Ульяновск 1,40
2 Димитровград 2,05
Хабаровский край
1 Комсомольск-на-Амуре 1,25
2 Хабаровск 1,10
Челябинская область
1 Златоуст 1,85
2 Копейск 1,20
3 Магнитогорск 1,30
4 Миасс 1,10
5 Челябинск 1,20
Чеченская Республика
1 Грозный 0,45
Чувашская Республика - Чувашия
1 Новочебоксарск 1,95
2 Чебоксары 1,95
Ярославская область
1 Рыбинск 2,00
2 Ярославль 1,80

Приложение Л

ЗНАЧЕНИЯ ПРЕДЕЛЬНЫХ ПРОГИБОВ И ПЕРЕМЕЩЕНИЙ ЗДАНИЙ И ИХ ОТДЕЛЬНЫХ ЭЛЕМЕНТОВ, ОГРАНИЧИВАЕМЫЕ ИСХОДЯ ИЗ ТЕХНОЛОГИЧЕСКИХ И КОНСТРУКТИВНЫХ ТРЕБОВАНИЙ

(в ред. Изменением N 3, утв. Приказом Минстроя РФ от 30.12.2020 N 897/пр)

Л.1 Вертикальные предельные прогибы элементов конструкций, ограничиваемые исходя из технологических и конструктивных требований

Л.1.1 Вертикальные предельные прогибы элементов конструкций, ограничиваемые исходя из технологических и конструктивных требований, приведены в таблице Л.1. Требования к зазорам между смежными элементами приведены в Л.1.2.

Таблица Л.1

Элементы конструкций Предъявляемые требования Вертикальные предельные прогибы Нагрузки для определения вертикальных прогибов
1 Балки крановых путей, подмостовые и подвесные краны, управляемые: Технологические    
- с пола, в том числе тельферы (тали) l/250 От одного крана
- из кабины при группах режимов работы:    
1К - 6К l/400 То же
l/500 "
l/600 "
2 Балки, фермы, ригели, прогоны, плиты, настилы (включая поперечные ребра плит и настилов): Конструктивные    
а) покрытий и перекрытий при наличии перегородок под ними Принимаются в соответствии с Л.1.2 Приводящие к уменьшению зазора между несущими элементами конструкций и перегородками, расположенными под элементами
б) покрытий и перекрытий при наличии тельферов (талей), подвесных кранов, управляемых с пола Технологические l/300 или a/150 (меньшее из двух) Кратковременные с учетом нагрузки от одного крана или тельфера (тали) на одном пути
в) перекрытий, подверженных действию: Технологические   Наиболее неблагоприятное из следующих двух значений:
- перемещаемых грузов, материалов, узлов и элементов оборудования и других подвижных нагрузок (в том числе при безрельсовом напольном транспорте) l/350 0,7 полных нормативных значений кратковременных нагрузок на перекрытие или нагрузки от одного транспортного средства
- нагрузок от рельсового транспорта:    
узкоколейного l/400 От одного состава вагонов (или одной напольной машины) на одном пути
ширококолейного l/500 То же
г) покрытий и перекрытий стоянок автомобилей в зданиях, при пролете l, м: Технологические   Постоянные и длительные, а также нагрузки, указанные в таблице 8.3, с понижающим коэффициентом, равным 0,35, и снеговые нагрузки с понижающим коэффициентом, равным 0,5
l = 6 l/200
l = 12 l/250
l 24 l/300
3 Перемычки и навесные стеновые панели над оконными и дверными проемами (ригели и прогоны остекления) Конструктивные l/200 Приводящие к уменьшению зазора между несущими элементами и оконным или дверным заполнением, расположенным под элементами
Обозначения, принятые в таблице Л.1:
l - расчетный пролет элемента конструкции;
a - шаг балок или ферм, к которым крепятся подвесные крановые пути.

Примечания
1 Для консоли вместо l следует принимать ее удвоенный вылет.
2 Особенности вычисления прогибов по позиции 2, перечисление б), указаны в Д.1.8 приложения Д.

Л.1.2 Зазор между нижней поверхностью элементов покрытий и перекрытий и верхом перегородок, расположенных под элементами, не должен превышать 40 мм. В тех случаях, когда выполнение указанных требований связано с увеличением жесткости покрытий и перекрытий, необходимо конструктивными мероприятиями избегать этого увеличения (например, размещением перегородок не под изгибаемыми балками, а рядом с ними).

Л.2 Горизонтальные предельные сближения крановых путей открытых эстакад, ограничиваемые исходя из технологических требований

Горизонтальные предельные сближения крановых путей открытых эстакад от горизонтальных и внецентренно приложенных вертикальных нагрузок от одного крана (без учета крена фундаментов), ограничиваемые исходя из технологических требований, следует принимать равными 20 мм.

Л.3 Горизонтальные предельные перемещения и прогибы зданий, отдельных элементов конструкций и опор конвейерных галерей от ветровой нагрузки и крена фундаментов

Л.3.1 Горизонтальные предельные перемещения зданий, ограничиваемые исходя из конструктивных требований (обеспечение целостности заполнения каркаса стенами, перегородками, оконными и дверными элементами), приведены в таблице Л.2. Указания по определению перемещений приведены в Л.3.2.

Таблица Л.2

Здания, стены и перегородки Крепление стен и перегородок к каркасу здания Предельные перемещения
1 Многоэтажные здания Любое h/500
2 Один этаж многоэтажных зданий:    
а) стены и перегородки из кирпича, гипсобетона, железобетонных панелей Жесткое /500
б) стены, облицованные естественным камнем, из керамических блоков " /700
в) стены и перегородки из кирпича, гипсобетона, железобетонных панелей, облицованные естественным камнем, из керамических блоков Податливое /300
3 Одноэтажные здания (с самонесущими стенами) высотой этажа , м:    
6
= 15
30
Податливое /300
Обозначения, принятые в таблице Л.2:
h - высота многоэтажных зданий, равная расстоянию от верха фундамента до оси ригеля покрытия;
- высота этажа в одноэтажных зданиях, равная расстоянию от верха фундамента до низа стропильных конструкций; в многоэтажных зданиях: для нижнего этажа - равная расстоянию от верха фундамента до оси ригеля перекрытия; для остальных этажей - равная расстоянию между осями смежных ригелей.

Примечания
1 Для верхних этажей многоэтажных зданий, проектируемых с использованием элементов покрытий одноэтажных зданий, горизонтальные предельные перемещения следует принимать такими же, как для одноэтажных зданий. При этом высоту верхнего этажа принимают от оси ригеля междуэтажного перекрытия до низа стропильных конструкций.
2 К податливым креплениям относятся крепления стен или перегородок к каркасу, не препятствующие смещению каркаса (без передачи на стены или перегородки усилий, способных вызвать повреждения конструктивных элементов); к жестким - крепления, препятствующие взаимным смещениям каркаса, стен или перегородок.
3 Для одноэтажных зданий с навесными стенами (а также при отсутствии жесткого диска покрытия) и многоэтажных этажерок промышленных зданий предельные перемещения допускается увеличивать на 30% (но принимать не более /150 в пределах каждого этажа).

Горизонтальные перемещения зданий следует определять с учетом крена (неравномерных осадок) фундаментов. При этом нагрузки от веса оборудования, мебели, людей, складируемых материалов и изделий следует учитывать только при сплошном равномерном загружении всех перекрытий многоэтажных зданий этими нагрузками (с учетом их снижения в зависимости от числа этажей), за исключением случаев, при которых по условиям нормальной эксплуатации предусматривается иное загружение.

Для зданий высотой до 40 м (и опор конвейерных галерей любой высоты), расположенных в ветровых районах I - IV, крен фундаментов, вызываемый ветровой нагрузкой, допускается не учитывать.

Л.3.2 При связевых каркасах многоэтажных зданий высотой более 40 м перекос этажных ячеек, примыкающих к диафрагмам жесткости, равный / + /l (рисунок Л.1), не должен превышать (см. таблицу Л.2): 1/500 - для позиции 2, перечисление а), 1/700 - для позиции 2, перечисление б), и 1/300 для позиции 2, перечисление в).

Рисунок Л.1 - Схема перекоса этажных ячеек, примыкающих к диафрагмам жесткости в зданиях со связевым каркасом

Л.3.3 Горизонтальные предельные прогибы стоек и ригелей фахверка, а также навесных стеновых панелей от ветровой нагрузки, ограничиваемые исходя из конструктивных требований, следует принимать равными l/200, где l - расчетный пролет стоек или панелей.

Л.3.4 Горизонтальные предельные прогибы опор конвейерных галерей от ветровых нагрузок, ограничиваемые исходя из технологических требований, следует принимать равными h/250, где h - высота опор от верха фундамента до низа ферм или балок.

Л.4 Предельные выгибы элементов междуэтажных перекрытий от усилий предварительного обжатия

Предельные выгибы элементов междуэтажных перекрытий, ограничиваемые исходя из конструктивных требований, следует принимать равными 15 мм при l 3 м и 40 мм - при l 12 м (для промежуточных значений l предельные выгибы следует определять линейной интерполяцией).

Выгибы f следует определять от усилий предварительного обжатия, собственного веса элементов перекрытий и веса пола.

БИБЛИОГРАФИЯ

[1] Федеральный закон от 29 декабря 2004 г. N 190-ФЗ "Градостроительный кодекс Российской Федерации"