Постановление Правительства РФ от 07.08.2021 N 1310

"Об утверждении Правил предоставления в 2021 году иных межбюджетных трансфертов, имеющих целевое назначение, из федерального бюджета бюджетам субъектов Российской Федерации и бюджету г. Байконура, источником финансового обеспечения которых являются бюджетные ассигнования резервного фонда Правительства Российской Федерации, в целях финансового обеспечения расходных обязательств субъектов Российской Федерации и г. Байконура по предоставлению межбюджетных трансфертов бюджету соответствующего территориального фонда обязательного медицинского страхования на дополнительное финансовое обеспечение оказания медицинской помощи лицам, застрахованным по обязательному медицинскому страхованию, в том числе с заболеванием и (или) подозрением на заболевание новой коронавирусной инфекцией (COVID-19), в рамках реализации территориальных программ обязательного медицинского страхования"
Редакция от 04.12.2021 — Действует с 07.12.2021
Показать изменения

ПРАВИТЕЛЬСТВО РОССИЙСКОЙ ФЕДЕРАЦИИ

ПОСТАНОВЛЕНИЕ
от 7 августа 2021 г. N 1310

ОБ УТВЕРЖДЕНИИ ПРАВИЛ ПРЕДОСТАВЛЕНИЯ В 2021 ГОДУ ИНЫХ МЕЖБЮДЖЕТНЫХ ТРАНСФЕРТОВ, ИМЕЮЩИХ ЦЕЛЕВОЕ НАЗНАЧЕНИЕ, ИЗ ФЕДЕРАЛЬНОГО БЮДЖЕТА БЮДЖЕТАМ СУБЪЕКТОВ РОССИЙСКОЙ ФЕДЕРАЦИИ И БЮДЖЕТУ Г. БАЙКОНУРА, ИСТОЧНИКОМ ФИНАНСОВОГО ОБЕСПЕЧЕНИЯ КОТОРЫХ ЯВЛЯЮТСЯ БЮДЖЕТНЫЕ АССИГНОВАНИЯ РЕЗЕРВНОГО ФОНДА ПРАВИТЕЛЬСТВА РОССИЙСКОЙ ФЕДЕРАЦИИ, В ЦЕЛЯХ ФИНАНСОВОГО ОБЕСПЕЧЕНИЯ РАСХОДНЫХ ОБЯЗАТЕЛЬСТВ СУБЪЕКТОВ РОССИЙСКОЙ ФЕДЕРАЦИИ И Г. БАЙКОНУРА ПО ПРЕДОСТАВЛЕНИЮ МЕЖБЮДЖЕТНЫХ ТРАНСФЕРТОВ БЮДЖЕТУ СООТВЕТСТВУЮЩЕГО ТЕРРИТОРИАЛЬНОГО ФОНДА ОБЯЗАТЕЛЬНОГО МЕДИЦИНСКОГО СТРАХОВАНИЯ НА ДОПОЛНИТЕЛЬНОЕ ФИНАНСОВОЕ ОБЕСПЕЧЕНИЕ ОКАЗАНИЯ МЕДИЦИНСКОЙ ПОМОЩИ ЛИЦАМ, ЗАСТРАХОВАННЫМ ПО ОБЯЗАТЕЛЬНОМУ МЕДИЦИНСКОМУ СТРАХОВАНИЮ, В ТОМ ЧИСЛЕ С ЗАБОЛЕВАНИЕМ И (ИЛИ) ПОДОЗРЕНИЕМ НА ЗАБОЛЕВАНИЕ НОВОЙ КОРОНАВИРУСНОЙ ИНФЕКЦИЕЙ (COVID-19), В РАМКАХ РЕАЛИЗАЦИИ ТЕРРИТОРИАЛЬНЫХ ПРОГРАММ ОБЯЗАТЕЛЬНОГО МЕДИЦИНСКОГО СТРАХОВАНИЯ

(в ред. Постановлений Правительства РФ от 29.10.2021 N 1855, от 04.12.2021 N 2194)

Правительство Российской Федерации постановляет:

1. Утвердить прилагаемые Правила предоставления в 2021 году иных межбюджетных трансфертов, имеющих целевое назначение, из федерального бюджета бюджетам субъектов Российской Федерации и бюджету г. Байконура, источником финансового обеспечения которых являются бюджетные ассигнования резервного фонда Правительства Российской Федерации, в целях финансового обеспечения расходных обязательств субъектов Российской Федерации и г. Байконура по предоставлению межбюджетных трансфертов бюджету соответствующего территориального фонда обязательного медицинского страхования на дополнительное финансовое обеспечение оказания медицинской помощи лицам, застрахованным по обязательному медицинскому страхованию, в том числе с заболеванием и (или) подозрением на заболевание новой коронавирусной инфекцией (COVID-19), в рамках реализации территориальных программ обязательного медицинского страхования.

2. Настоящее постановление вступает в силу со дня его официального опубликования.

Председатель Правительства
Российской Федерации
М. МИШУСТИН

УТВЕРЖДЕНЫ
постановлением Правительства
Российской Федерации
от 7 августа 2021 г. N 1310

ПРАВИЛА ПРЕДОСТАВЛЕНИЯ В 2021 ГОДУ ИНЫХ МЕЖБЮДЖЕТНЫХ ТРАНСФЕРТОВ, ИМЕЮЩИХ ЦЕЛЕВОЕ НАЗНАЧЕНИЕ, ИЗ ФЕДЕРАЛЬНОГО БЮДЖЕТА БЮДЖЕТАМ СУБЪЕКТОВ РОССИЙСКОЙ ФЕДЕРАЦИИ И БЮДЖЕТУ Г. БАЙКОНУРА, ИСТОЧНИКОМ ФИНАНСОВОГО ОБЕСПЕЧЕНИЯ КОТОРЫХ ЯВЛЯЮТСЯ БЮДЖЕТНЫЕ АССИГНОВАНИЯ РЕЗЕРВНОГО ФОНДА ПРАВИТЕЛЬСТВА РОССИЙСКОЙ ФЕДЕРАЦИИ, В ЦЕЛЯХ ФИНАНСОВОГО ОБЕСПЕЧЕНИЯ РАСХОДНЫХ ОБЯЗАТЕЛЬСТВ СУБЪЕКТОВ РОССИЙСКОЙ ФЕДЕРАЦИИ И Г. БАЙКОНУРА ПО ПРЕДОСТАВЛЕНИЮ МЕЖБЮДЖЕТНЫХ ТРАНСФЕРТОВ БЮДЖЕТУ СООТВЕТСТВУЮЩЕГО ТЕРРИТОРИАЛЬНОГО ФОНДА ОБЯЗАТЕЛЬНОГО МЕДИЦИНСКОГО СТРАХОВАНИЯ НА ДОПОЛНИТЕЛЬНОЕ ФИНАНСОВОЕ ОБЕСПЕЧЕНИЕ ОКАЗАНИЯ МЕДИЦИНСКОЙ ПОМОЩИ ЛИЦАМ, ЗАСТРАХОВАННЫМ ПО ОБЯЗАТЕЛЬНОМУ МЕДИЦИНСКОМУ СТРАХОВАНИЮ, В ТОМ ЧИСЛЕ С ЗАБОЛЕВАНИЕМ И (ИЛИ) ПОДОЗРЕНИЕМ НА ЗАБОЛЕВАНИЕ НОВОЙ КОРОНАВИРУСНОЙ ИНФЕКЦИЕЙ (COVID-19), В РАМКАХ РЕАЛИЗАЦИИ ТЕРРИТОРИАЛЬНЫХ ПРОГРАММ ОБЯЗАТЕЛЬНОГО МЕДИЦИНСКОГО СТРАХОВАНИЯ

(в ред. Постановлений Правительства РФ от 29.10.2021 N 1855, от 04.12.2021 N 2194)

1. Настоящие Правила устанавливают цели, условия и порядок предоставления в 2021 году иных межбюджетных трансфертов, имеющих целевое назначение, из федерального бюджета бюджетам субъектов Российской Федерации и бюджету г. Байконура, источником финансового обеспечения которых являются бюджетные ассигнования резервного фонда Правительства Российской Федерации, в целях финансового обеспечения расходных обязательств субъектов Российской Федерации и г. Байконура по предоставлению межбюджетных трансфертов бюджету соответствующего территориального фонда обязательного медицинского страхования на дополнительное финансовое обеспечение оказания медицинской помощи лицам, застрахованным по обязательному медицинскому страхованию, в том числе с заболеванием и (или) подозрением на заболевание новой коронавирусной инфекцией (COVID-19), в рамках реализации территориальных программ обязательного медицинского страхования (далее соответственно - территориальный фонд, иные межбюджетные трансферты).

2. Межбюджетные трансферты предоставляются бюджетам территориальных фондов на цели, указанные в пункте 1 части 5 статьи 26 Федерального закона "Об обязательном медицинском страховании в Российской Федерации".

3. Иные межбюджетные трансферты предоставляются бюджетам субъектов Российской Федерации и бюджету г. Байконура в пределах лимитов бюджетных обязательств, доведенных в установленном порядке до Министерства здравоохранения Российской Федерации как получателя средств федерального бюджета на цели, указанные в пункте 1 настоящих Правил.

4. Условиями предоставления иных межбюджетных трансфертов являются:

а) заключение между Министерством здравоохранения Российской Федерации и высшим исполнительным органом государственной власти субъекта Российской Федерации или администрацией г. Байконура соглашения о предоставлении иного межбюджетного трансферта с использованием государственной интегрированной информационной системы управления общественными финансами "Электронный бюджет" в соответствии с типовой формой, утвержденной Министерством финансов Российской Федерации (далее - соглашение);

б) соответствие субъекта Российской Федерации и г. Байконура критерию отбора субъекта Российской Федерации и г. Байконура в целях предоставления иного межбюджетного трансферта, указанному в пункте 5 настоящих Правил.

5. Критерием отбора субъекта Российской Федерации и г. Байконура в целях предоставления иного межбюджетного трансферта является наличие принятых к оплате счетов и (или) реестров счетов на оплату медицинской помощи, в том числе оплаченных (частично оплаченных), оказанной пациентам с заболеванием и (или) подозрением на заболевание новой коронавирусной инфекцией (COVID-19) в условиях круглосуточного стационара в рамках территориальной программы обязательного медицинского страхования в 2021 году. (в ред. Постановлений Правительства РФ от 29.10.2021 N 1855, от 04.12.2021 N 2194)

6. Результатом предоставления иных межбюджетных трансфертов является количество оплаченных (частично оплаченных) в 2021 году случаев оказания медицинской помощи лицам, застрахованным по обязательному медицинскому страхованию, в том числе с заболеванием и (или) подозрением на заболевание новой коронавирусной инфекцией (COVID-19), по результатам контроля объемов, сроков, качества и условий предоставления медицинской помощи, а также ее финансового обеспечения.

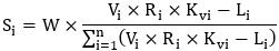
7. Размер иного межбюджетного трансферта бюджету i-го субъекта Российской Федерации и бюджету г. Байконура () за период с 1 января по 30 июня 2021 г. определяется по формуле: (в ред. Постановления Правительства РФ от 29.10.2021 N 1855)

,

где:

W - объем бюджетных ассигнований федерального бюджета на предоставление иных межбюджетных трансфертов бюджетам субъектов Российской Федерации и бюджету г. Байконура за период с 1 января по 30 июня 2021 г. (за исключением объема бюджетных ассигнований федерального бюджета на предоставление иных межбюджетных трансфертов бюджетам субъектов Российской Федерации, предусмотренных пунктами 7.1 и 7.2 настоящих Правил); (в ред. Постановлений Правительства РФ от 29.10.2021 N 1855, от 04.12.2021 N 2194)

- объем медицинской помощи, оказанной в i-м субъекте Российской Федерации или г. Байконуре застрахованным по обязательному медицинскому страхованию лицам с заболеванием и (или) подозрением на заболевание новой коронавирусной инфекцией (COVID-19) (по кодам U07.1, U07.2) в условиях круглосуточного стационара за период с 1 января по 30 июня 2021 г., по результатам контроля объемов, сроков, качества и условий предоставления медицинской помощи, а также ее финансового обеспечения с учетом неоплаченных счетов и реестров счетов в связи с превышением медицинской организацией объемов предоставления и (или) финансового обеспечения медицинской помощи, распределенных медицинской организации в соответствии с частью 10 статьи 36 Федерального закона "Об обязательном медицинском страховании в Российской Федерации";

- стоимость госпитализации застрахованных по обязательному медицинскому страхованию лиц с заболеванием и (или) подозрением на заболевание новой коронавирусной инфекцией (COVID-19) в условиях круглосуточного стационара в i-м субъекте Российской Федерации или г. Байконуре (далее - стоимость госпитализации) в размере не более средней стоимости госпитализации пациентов с заболеванием и (или) подозрением на заболевание новой коронавирусной инфекцией (COVID-19) в условиях круглосуточного стационара, фактически сложившейся в Российской Федерации (109,1 тыс. рублей) с 1 января по 30 июня 2021 г., скорректированной на стоимость госпитализаций пациентов с неинфекционными заболеваниями в условиях круглосуточного стационара, рассчитанную исходя из среднего норматива финансовых затрат на один случай госпитализации (за исключением медицинской помощи, финансовое обеспечение которой осуществляется в соответствии с пунктом 11 статьи 5 Федерального закона "Об обязательном медицинском страховании в Российской Федерации"), установленного Программой государственных гарантий бесплатного оказания гражданам медицинской помощи на 2021 год и на плановый период 2022 и 2023 годов, утвержденной постановлением Правительства Российской Федерации от 28 декабря 2020 г. N 2299 "О Программе государственных гарантий бесплатного оказания гражданам медицинской помощи на 2021 год и на плановый период 2022 и 2023 годов", с учетом коэффициента дифференциации для i-го субъекта Российской Федерации или г. Байконура; (в ред. Постановления Правительства РФ от 29.10.2021 N 1855)

- значение коэффициента, характеризующего выполнение объема предоставления медицинской помощи в условиях круглосуточного стационара за период с 1 января по 30 июня 2021 г., установленного в территориальной программе обязательного медицинского страхования i-го субъекта Российской Федерации или г. Байконура (если значение коэффициента больше 1, его значение принимается равным 1);

- размер иных межбюджетных трансфертов, распределенных в соответствии с распоряжением Правительства Российской Федерации от 25 июня 2021 г. N 1722-р бюджету i-го субъекта Российской Федерации или бюджету г. Байконура;

n - количество субъектов Российской Федерации, учитываемых при распределении межбюджетного трансферта.

7.1. Размер дополнительных бюджетных ассигнований в целях предоставления иного межбюджетного трансферта бюджету i-го субъекта Российской Федерации и бюджету г. Байконура () за период с 1 января по 31 августа 2021 г. определяется по формуле: (в ред. Постановления Правительства РФ от 29.10.2021 N 1855)

,

(в ред. Постановления Правительства РФ от 29.10.2021 N 1855)

где: (в ред. Постановления Правительства РФ от 29.10.2021 N 1855)

Wl - объем бюджетных ассигнований федерального бюджета на предоставление иных межбюджетных трансфертов бюджетам субъектов Российской Федерации и бюджету г. Байконура за период с 1 января по 31 августа 2021 г. (за исключением объема бюджетных ассигнований федерального бюджета на предоставление иных межбюджетных трансфертов бюджетам субъектов Российской Федерации, предусмотренных пунктами 7 и 7.2 настоящих Правил); (в ред. Постановлений Правительства РФ от 29.10.2021 N 1855, от 04.12.2021 N 2194)

- объем медицинской помощи, оказанной в i-м субъекте Российской Федерации или г. Байконуре застрахованным по обязательному медицинскому страхованию лицам с заболеванием и (или) подозрением на заболевание новой коронавирусной инфекцией (COVID-19) (по кодам U07.1, U07.2) в условиях круглосуточного стационара за период с 1 января по 31 августа 2021 г., по результатам контроля объемов, сроков, качества и условий предоставления медицинской помощи, а также ее финансового обеспечения с учетом неоплаченных счетов и реестров счетов в связи с превышением медицинской организацией объемов предоставления и (или) финансового обеспечения медицинской помощи, распределенных медицинской организации в соответствии с частью 10 статьи 36 Федерального закона "Об обязательном медицинском страховании в Российской Федерации"; (в ред. Постановления Правительства РФ от 29.10.2021 N 1855)

- стоимость госпитализации застрахованных по обязательному медицинскому страхованию лиц с заболеванием и (или) подозрением на заболевание новой коронавирусной инфекцией (COVID-19) в условиях круглосуточного стационара в i-м субъекте Российской Федерации или г. Байконуре в размере не более средней стоимости госпитализации пациентов с заболеванием и (или) подозрением на заболевание новой коронавирусной инфекцией (COVID-19) в условиях круглосуточного стационара, фактически сложившейся в Российской Федерации с 1 января по 31 августа 2021 г. (103,7 тыс. рублей), скорректированной на стоимость госпитализаций пациентов с неинфекционными заболеваниями в условиях круглосуточного стационара, рассчитанную исходя из среднего норматива финансовых затрат на один случай госпитализации (за исключением медицинской помощи, финансовое обеспечение которой осуществляется в соответствии с пунктом 11 статьи 5 Федерального закона "Об обязательном медицинском страховании в Российской Федерации"), установленного Программой государственных гарантий бесплатного оказания гражданам медицинской помощи на 2021 год и на плановый период 2022 и 2023 годов, утвержденной постановлением Правительства Российской Федерации от 28 декабря 2020 г. N 2299 "О Программе государственных гарантий бесплатного оказания гражданам медицинской помощи на 2021 год и на плановый период 2022 и 2023 годов", с учетом коэффициента дифференциации 2021 года для i-го субъекта Российской Федерации или г. Байконура, рассчитанного в соответствии с методикой распределения субвенций, предоставляемых из бюджета Федерального фонда обязательного медицинского страхования бюджетам территориальных фондов обязательного медицинского страхования на осуществление переданных органам государственной власти субъектов Российской Федерации полномочий Российской Федерации в сфере обязательного медицинского страхования, утвержденной постановлением Правительства Российской Федерации от 5 мая 2012 г. N 462 "О порядке распределения, предоставления и расходования субвенций из бюджета Федерального фонда обязательного медицинского страхования бюджетам территориальных фондов обязательного медицинского страхования на осуществление переданных органам государственной власти субъектов Российской Федерации полномочий Российской Федерации в сфере обязательного медицинского страхования"; (в ред. Постановления Правительства РФ от 29.10.2021 N 1855)

- значение коэффициента, характеризующего выполнение объема предоставления медицинской помощи в условиях круглосуточного стационара за период с 1 января по 31 августа 2021 г., установленного в территориальной программе обязательного медицинского страхования i-го субъекта Российской Федерации или г. Байконура (если значение коэффициента больше 1, его значение принимается равным 1); (в ред. Постановления Правительства РФ от 29.10.2021 N 1855)

- размер иных межбюджетных трансфертов, распределенных в соответствии с распоряжениями Правительства Российской Федерации от 25 июня 2021 г. N 1722-р и от 20 июля 2021 г. N 1997-р бюджету i-го субъекта Российской Федерации или бюджету г. Байконура. (в ред. Постановления Правительства РФ от 29.10.2021 N 1855)

7.2. Размер дополнительных бюджетных ассигнований в целях предоставления иного межбюджетного трансферта бюджету i-го субъекта Российской Федерации и бюджету г. Байконура (S2j) в 2021 году определяется по формуле: (в ред. Постановления Правительства РФ от 04.12.2021 N 2194)

, (в ред. Постановления Правительства РФ от 04.12.2021 N 2194)

где: (в ред. Постановления Правительства РФ от 04.12.2021 N 2194)

W2 - объем бюджетных ассигнований федерального бюджета на предоставление иных межбюджетных трансфертов бюджетам субъектов Российской Федерации и бюджету г. Байконура в 2021 году (за исключением объема бюджетных ассигнований федерального бюджета на предоставление иных межбюджетных трансфертов бюджетам субъектов Российской Федерации, предусмотренных пунктами 7 и 7.1 настоящих Правил); (в ред. Постановления Правительства РФ от 04.12.2021 N 2194)

( - объем медицинской помощи, оказанной в i-м субъекте Российской Федерации или г. Байконуре застрахованным по обязательному медицинскому страхованию лицам с заболеванием и (или) подозрением на заболевание новой коронавирусной инфекцией (COVID-19) (по кодам U07.1, U07.2) в условиях круглосуточного стационара за период с 1 января по 30 сентября 2021 г., по результатам контроля объемов, сроков, качества и условий предоставления медицинской помощи, а также ее финансового обеспечения с учетом неоплаченных счетов и реестров счетов в связи с превышением медицинской организацией объемов предоставления и (или) финансового обеспечения медицинской помощи, распределенных медицинской организации в соответствии с частью 10 статьи 36 Федерального закона "Об обязательном медицинском страховании в Российской Федерации"; (в ред. Постановления Правительства РФ от 04.12.2021 N 2194)

- прогнозный объем оказания медицинской помощи в i-м субъекте Российской Федерации или г. Байконуре застрахованным по обязательному медицинскому страхованию лицам с заболеванием и (или) подозрением на заболевание новой коронавирусной инфекцией (COVID-19) (по кодам U07.1, U07.2) в условиях круглосуточного стационара, подлежащей оплате в период с 1 октября 2021 г. до конца 2021 года, с учетом поправочного коэффициента, принимающего значение 0,9; (в ред. Постановления Правительства РФ от 04.12.2021 N 2194)

( - стоимость госпитализации застрахованных по обязательному медицинскому страхованию лиц с заболеванием и (или) подозрением на заболевание новой коронавирусной инфекцией (COVID-19) в условиях круглосуточного стационара в i-м субъекте Российской Федерации или г. Байконуре в размере не более средней стоимости госпитализации пациентов с заболеванием и (или) подозрением на заболевание новой коронавирусной инфекцией (COVID-19) в условиях круглосуточного стационара, фактически сложившейся в Российской Федерации с 1 января по 30 сентября 2021 г. (102,3 тыс. рублей), скорректированной на стоимость госпитализаций пациентов с неинфекционными заболеваниями в условиях круглосуточного стационара, рассчитанную исходя из среднего норматива финансовых затрат на один случай госпитализации (за исключением медицинской помощи, финансовое обеспечение которой осуществляется в соответствии с пунктом 11 статьи 5 Федерального закона "Об обязательном медицинском страховании в Российской Федерации"), установленного Программой государственных гарантий бесплатного оказания гражданам медицинской помощи на 2021 год и на плановый период 2022 и 2023 годов, утвержденной постановлением Правительства Российской Федерации от 28 декабря 2020 г. N 2299 "О Программе государственных гарантий бесплатного оказания гражданам медицинской помощи на 2021 год и на плановый период 2022 и 2023 годов", с учетом коэффициента дифференциации 2021 года для i-го субъекта Российской Федерации или г. Байконура, рассчитанного в соответствии с методикой распределения субвенций, предоставляемых из бюджета Федерального фонда обязательного медицинского страхования бюджетам территориальных фондов обязательного медицинского страхования на осуществление переданных органам государственной власти субъектов Российской Федерации полномочий Российской Федерации в сфере обязательного медицинского страхования, утвержденной постановлением Правительства Российской Федерации от 5 мая 2012 г. N 462 "О порядке распределения, предоставления и расходования субвенций из бюджета Федерального фонда обязательного медицинского страхования бюджетам территориальных фондов обязательного медицинского страхования на осуществление переданных органам государственной власти субъектов Российской Федерации полномочий Российской Федерации в сфере обязательного медицинского страхования"; (в ред. Постановления Правительства РФ от 04.12.2021 N 2194)

- значение коэффициента, характеризующего выполнение объема предоставления медицинской помощи в условиях круглосуточного стационара за период с 1 января по 30 сентября 2021 г., установленного в территориальной программе обязательного медицинского страхования i-го субъекта Российской Федерации или г. Байконура (если значение коэффициента больше 1, его значение принимается равным 1); (в ред. Постановления Правительства РФ от 04.12.2021 N 2194)

- размер иных межбюджетных трансфертов, распределенных в соответствии с распоряжениями Правительства Российской Федерации от 25 июня 2021 г. N 1722-р, от 20 июля 2021 г. N 1997-р и от 26 октября 2021 г. N 3025-р бюджету i-го субъекта Российской Федерации или бюджету г. Байконура. (в ред. Постановления Правительства РФ от 04.12.2021 N 2194)

8. Перечисление иных межбюджетных трансфертов осуществляется в установленном порядке на единые счета бюджетов субъектов Российской Федерации, открытые финансовым органам субъектов Российской Федерации в территориальных органах Федерального казначейства.

Иные межбюджетные трансферты бюджету г. Байконура перечисляются в установленном порядке на счет, открытый финансовому органу администрации г. Байконура.

9. Перечисление межбюджетного трансферта бюджету территориального фонда осуществляется на основании заявки, подтверждающей объем финансового обеспечения медицинской помощи, оказанной застрахованным по обязательному медицинскому страхованию лицам с заболеванием и (или) подозрением на заболевание новой коронавирусной инфекцией (COVID-19) в условиях круглосуточного стационара в 2021 году в рамках реализации территориальной программы обязательного медицинского страхования, представляемой территориальным фондом в орган исполнительной власти субъекта Российской Федерации, уполномоченный высшим исполнительным органом государственной власти субъекта Российской Федерации, или в администрацию г. Байконура. (в ред. Постановлений Правительства РФ от 29.10.2021 N 1855, от 04.12.2021 N 2194)

10. Типовая форма заявки, указанной в пункте 9 настоящих Правил, утверждается Федеральным фондом обязательного медицинского страхования (далее - Федеральный фонд) в соответствии с пунктом 6.1 части 8 статьи 33 Федерального закона "Об обязательном медицинском страховании в Российской Федерации".

11. Территориальные фонды представляют органу исполнительной власти субъекта Российской Федерации, уполномоченному высшим исполнительным органом государственной власти субъекта Российской Федерации, или администрации г. Байконура, Федеральному фонду отчетность об использовании средств, источником финансового обеспечения которых являются межбюджетные трансферты, в том числе содержащую информацию о достижении значения результата предоставления межбюджетного трансферта, соответствующего значению результата предоставления иного межбюджетного трансферта, установленного соглашением, по форме, в порядке и сроки, которые утверждаются Федеральным фондом.

12. Орган исполнительной власти субъекта Российской Федерации, уполномоченный высшим исполнительным органом государственной власти субъекта Российской Федерации, и администрация г. Байконура представляют с использованием государственной интегрированной информационной системы управления общественными финансами "Электронный бюджет" в порядке и сроки, установленные соглашением:

а) отчет о расходах бюджета субъекта Российской Федерации и отчет о расходах бюджета г. Байконура, в целях финансового обеспечения которых предоставляется иной межбюджетный трансферт;

б) отчет о достижении значения результата предоставления иного межбюджетного трансферта.

13. Бюджетные средства, источником финансового обеспечения которых являются межбюджетные трансферты, использованные территориальным фондом не по целевому назначению, подлежат возврату в бюджет соответствующего субъекта Российской Федерации и бюджет г. Байконура с целью их дальнейшего перечисления в доход федерального бюджета в соответствии с бюджетным законодательством Российской Федерации. (в ред. Постановления Правительства РФ от 04.12.2021 N 2194)

В случае принятия после 1 декабря 2021 г. комиссией по разработке территориальной программы обязательного медицинского страхования решений по увеличению тарифов на оплату медицинской помощи средства иного межбюджетного трансферта, указанные в пункте 72 настоящих Правил, подлежат возврату в бюджет соответствующего субъекта Российской Федерации и бюджет г. Байконура с целью их дальнейшего перечисления в доход федерального бюджета в соответствии с бюджетным законодательством Российской Федерации в размере (), определяемом по формуле: (в ред. Постановления Правительства РФ от 04.12.2021 N 2194)

, (в ред. Постановления Правительства РФ от 04.12.2021 N 2194)

где: (в ред. Постановления Правительства РФ от 04.12.2021 N 2194)

- объем финансового обеспечения медицинской помощи по тарифам на оплату медицинской помощи после их увеличения; (в ред. Постановления Правительства РФ от 04.12.2021 N 2194)

- объем финансового обеспечения медицинской помощи по тарифам на оплату медицинской помощи до их увеличения. (в ред. Постановления Правительства РФ от 04.12.2021 N 2194)

14. В случае если территориальным фондом по состоянию на 31 декабря 2021 г. допущены нарушения обязательств по достижению значения результата предоставления межбюджетного трансферта и до первой даты представления отчетности о достижении такого значения в 2022 году указанные нарушения не устранены, размер средств, подлежащий возврату из бюджета территориального фонда в бюджет субъекта Российской Федерации и бюджет г. Байконура для последующего перечисления в федеральный бюджет (), определяется по формуле:

,

где:

- размер иного межбюджетного трансферта, предоставленного бюджету территориального фонда;

Т - фактически достигнутое значение результата предоставления межбюджетного трансферта на отчетную дату;

S - значение результата предоставления межбюджетного трансферта, установленное соглашением.

15. Контроль за использованием территориальным фондом бюджетных средств, источником финансового обеспечения которых является межбюджетный трансферт, осуществляется Федеральным фондом и Министерством здравоохранения Российской Федерации.

16. Контроль за соблюдением субъектами Российской Федерации и г. Байконуром условий предоставления иных межбюджетных трансфертов осуществляется Министерством здравоохранения Российской Федерации и уполномоченными органами государственного финансового контроля.

17. Контроль эффективности расходования средств межбюджетных трансфертов, в том числе оценка затрат медицинских организаций при оказании медицинской помощи пациентам с новой коронавирусной инфекцией (COVID-19), и ежемесячный мониторинг объемов медицинской помощи и тарифов на оплату медицинской помощи осуществляются Министерством здравоохранения Российской Федерации и Федеральным фондом.