Постановление Правительства РФ от 23.12.2021 N 2416

"Об утверждении Положения о лицензировании разработки, производства, испытания, хранения, реализации (в том числе распространения), утилизации пиротехнических изделий IV и V классов в соответствии с национальным стандартом, применения пиротехнических изделий IV и V классов в соответствии с техническим регламентом"
Редакция от 23.12.2021 — Не действует Перейти в действующую
Показать изменения

ПРАВИТЕЛЬСТВО РОССИЙСКОЙ ФЕДЕРАЦИИ

ПОСТАНОВЛЕНИЕ
от 23 декабря 2021 г. N 2416

ОБ УТВЕРЖДЕНИИ ПОЛОЖЕНИЯ О ЛИЦЕНЗИРОВАНИИ РАЗРАБОТКИ, ПРОИЗВОДСТВА, ИСПЫТАНИЯ, ХРАНЕНИЯ, РЕАЛИЗАЦИИ (В ТОМ ЧИСЛЕ РАСПРОСТРАНЕНИЯ), УТИЛИЗАЦИИ ПИРОТЕХНИЧЕСКИХ ИЗДЕЛИЙ IV И V КЛАССОВ В СООТВЕТСТВИИ С НАЦИОНАЛЬНЫМ СТАНДАРТОМ, ПРИМЕНЕНИЯ ПИРОТЕХНИЧЕСКИХ ИЗДЕЛИЙ IV И V КЛАССОВ В СООТВЕТСТВИИ С ТЕХНИЧЕСКИМ РЕГЛАМЕНТОМ

В соответствии с Федеральным законом "О лицензировании отдельных видов деятельности" Правительство Российской Федерации постановляет:

1. Утвердить прилагаемое Положение о лицензировании разработки, производства, испытания, хранения, реализации (в том числе распространения), утилизации пиротехнических изделий IV и V классов в соответствии с национальным стандартом, применения пиротехнических изделий IV и V классов в соответствии с техническим регламентом.

2. Признать утратившими силу:

постановление Правительства Российской Федерации от 14 сентября 2012 г. N 925 "О лицензировании разработки, производства, испытания, хранения, реализации и утилизации боеприпасов (в том числе патронов к гражданскому и служебному оружию и составных частей патронов), пиротехнических изделий IV и V классов в соответствии с национальным стандартом, применения пиротехнических изделий IV и V классов в соответствии с техническим регламентом" (Собрание законодательства Российской Федерации, 2012, N 39, ст. 5267);

пункт 12 изменений, которые вносятся в акты Правительства Российской Федерации в связи с упразднением Федеральной службы по оборонному заказу, утвержденных постановлением Правительства Российской Федерации от 25 декабря 2014 г. N 1489 "Об изменении и признании утратившими силу некоторых актов Правительства Российской Федерации в связи с упразднением Федеральной службы по оборонному заказу" (Собрание законодательства Российской Федерации, 2015, N 1, ст. 279);

пункт 12 изменений, которые вносятся в акты Правительства Российской Федерации, утвержденных постановлением Правительства Российской Федерации от 18 января 2018 г. N 17 "О внесении изменений в некоторые акты Правительства Российской Федерации" (Собрание законодательства Российской Федерации, 2018, N 4, ст. 634);

постановление Правительства Российской Федерации от 26 декабря 2020 г. N 2285 "О внесении изменений в Положение о лицензировании разработки, производства, испытания, хранения, реализации и утилизации боеприпасов (в том числе патронов к гражданскому и служебному оружию и составных частей патронов), пиротехнических изделий IV и V классов в соответствии с национальным стандартом, применения пиротехнических изделий IV и V классов в соответствии с техническим регламентом" (Собрание законодательства Российской Федерации, 2021, N 1, ст. 144).

3. Настоящее постановление вступает в силу с 1 сентября 2022 г. и действует до 31 августа 2028 г.

Председатель Правительства
Российской Федерации
М. МИШУСТИН

УТВЕРЖДЕНО
постановлением Правительства
Российской Федерации
от 23 декабря 2021 г. N 2416

ПОЛОЖЕНИЕ О ЛИЦЕНЗИРОВАНИИ РАЗРАБОТКИ, ПРОИЗВОДСТВА, ИСПЫТАНИЯ, ХРАНЕНИЯ, РЕАЛИЗАЦИИ (В ТОМ ЧИСЛЕ РАСПРОСТРАНЕНИЯ), УТИЛИЗАЦИИ ПИРОТЕХНИЧЕСКИХ ИЗДЕЛИЙ IV И V КЛАССОВ В СООТВЕТСТВИИ С НАЦИОНАЛЬНЫМ СТАНДАРТОМ, ПРИМЕНЕНИЯ ПИРОТЕХНИЧЕСКИХ ИЗДЕЛИЙ IV И V КЛАССОВ В СООТВЕТСТВИИ С ТЕХНИЧЕСКИМ РЕГЛАМЕНТОМ

1. Настоящее Положение устанавливает порядок лицензирования разработки, производства, испытания, хранения, реализации (в том числе распространения), утилизации пиротехнических изделий IV и V классов в соответствии с национальным стандартом, применения пиротехнических изделий IV и V классов в соответствии с техническим регламентом, осуществляемых юридическими лицами на территории Российской Федерации.

2. Деятельность по разработке, производству, испытанию, хранению, реализации (в том числе распространению), утилизации пиротехнических изделий IV и V классов в соответствии с национальным стандартом, применению пиротехнических изделий IV и V классов в соответствии с техническим регламентом включает выполнение следующих работ (услуг):

а) разработка пиротехнических изделий IV и V классов в соответствии с национальным стандартом;

б) производство пиротехнических изделий IV и V классов в соответствии с национальным стандартом;

в) испытание пиротехнических изделий IV и V классов в соответствии с национальным стандартом;

г) хранение пиротехнических изделий IV и V классов в соответствии с национальным стандартом;

д) реализация (в том числе распространение) пиротехнических изделий IV и V классов в соответствии с национальным стандартом;

е) утилизация пиротехнических изделий IV и V классов в соответствии с национальным стандартом;

ж) применение пиротехнических изделий IV и V классов в соответствии с техническим регламентом.

3. Лицензирование разработки, производства, испытания, хранения, реализации (в том числе распространения), утилизации пиротехнических изделий IV и V классов в соответствии с национальным стандартом, применения пиротехнических изделий IV и V классов в соответствии с техническим регламентом осуществляет Министерство промышленности и торговли Российской Федерации (далее - лицензирующий орган).

4. Лицензионными требованиями, предъявляемыми к соискателю лицензии (лицензиату) на осуществление разработки, производства, испытания, хранения, реализации (в том числе распространения), утилизации пиротехнических изделий IV и V классов в соответствии с национальным стандартом, применения пиротехнических изделий IV и V классов в соответствии с техническим регламентом (далее - лицензия), являются:

а) при выполнении работ (услуг) по разработке и производству пиротехнических изделий IV и V классов в соответствии с национальным стандартом:

наличие принадлежащих на праве собственности или на ином законном основании зданий, сооружений, помещений и иных объектов, технической документации, специального лабораторного, стендового, производственного, технологического и испытательного оборудования, контрольно-измерительной аппаратуры, необходимых для выполнения заявленных работ (услуг);

наличие в штате соискателя лицензии (лицензиата) специалистов, заключивших с ним трудовые договоры и соответствующих квалификационным требованиям по выполняемым работам (услугам);

наличие условий для хранения пиротехнических изделий согласно требованиям эксплуатационной документации и правилам пожарной безопасности;

б) при выполнении работ (услуг) по испытанию, хранению, утилизации, реализации (в том числе распространению) пиротехнических изделий IV и V классов в соответствии с национальным стандартом и применению пиротехнических изделий IV и V классов в соответствии с техническим регламентом (проведению фейерверочных показов):

наличие принадлежащих на праве собственности или на ином законном основании зданий, сооружений, помещений и иных объектов, технических средств, оборудования, технической документации, технологического и испытательного оборудования, стендов, инструментов, контрольно-измерительной аппаратуры, необходимых для выполнения заявленных работ (услуг);

наличие в штате соискателя лицензии (лицензиата) специалистов, заключивших с ним трудовые договоры и соответствующих квалификационным требованиям по выполняемым работам (услугам);

наличие принадлежащего на праве собственности или на ином законном основании пускового оборудования для проведения фейерверочных показов (при выполнении работ (услуг) по применению пиротехнических изделий IV и V классов в соответствии с техническим регламентом);

наличие аккредитации на право проведения испытаний пиротехнических изделий в соответствии с требованиями пункта 4 статьи 6 Технического регламента Таможенного союза "О безопасности пиротехнических изделий" (при выполнении работ (услуг) по испытанию пиротехнических изделий IV и V классов в соответствии с национальным стандартом);

наличие испытательного и технологического оборудования, необходимого для осуществления заявленных работ (услуг), в соответствии с требованиями Федерального закона "Об обеспечении единства измерения" (при выполнении работ (услуг) по испытанию пиротехнических изделий IV и V классов в соответствии с национальным стандартом);

наличие условий для хранения пиротехнических изделий согласно требованиям эксплуатационной документации и правилам пожарной безопасности.

5. К грубым нарушениям лицензионных требований, предусмотренных пунктом 4 настоящего Положения, относятся нарушения лицензиатом указанных требований, повлекшие за собой последствия, установленные частью 10 статьи 192 Федерального закона "О лицензировании отдельных видов деятельности".

Официальный источник электронного документа содержит неточность: имеется в виду часть 10 статьи 19.2 Федерального закона от 04.05.2011 N 99-ФЗ.

6. Для получения лицензии соискатель лицензии представляет в лицензирующий орган заявление о предоставлении лицензии и документы (копии документов), указанные в части 1 и пункте 4 части 3 статьи 13 Федерального закона "О лицензировании отдельных видов деятельности", а также:

а) в отношении выполнения работ (услуг) по разработке и производству пиротехнических изделий IV и V классов в соответствии с национальным стандартом:

копии документов, подтверждающих наличие принадлежащих на праве собственности или на ином законном основании зданий, сооружений, помещений и иных объектов, необходимых для выполнения заявленных работ (услуг), составляющих лицензируемый вид деятельности и отвечающих установленным требованиям, права на которые не зарегистрированы в Едином государственном реестре прав на недвижимое имущество и сделок с ним;

копии документов, подтверждающих наличие принадлежащих на праве собственности или на ином законном основании технической документации, специального лабораторного, стендового, производственного, технологического и испытательного оборудования, контрольно-измерительной аппаратуры, необходимых для осуществления заявленных работ (услуг);

копии документов, подтверждающих соответствие лиц, осуществляющих заявленные работы (услуги), установленным требованиям;

копии документов, подтверждающие наличие условий для хранения пиротехнических изделий согласно требованиям эксплуатационной документации и правилам пожарной безопасности;

б) в отношении выполнения работ (услуг) по испытанию, хранению, утилизации, реализации (в том числе распространению) пиротехнических изделий IV и V классов в соответствии с национальным стандартом и применению пиротехнических изделий IV и V классов в соответствии с техническим регламентом (проведению фейерверочных показов):

копии документов, подтверждающих наличие принадлежащих на праве собственности или на ином законном основании зданий, сооружений, помещений и иных объектов, необходимых для выполнения заявленных работ (услуг), составляющих лицензируемый вид деятельности и отвечающих установленным требованиям, права на которые не зарегистрированы в Едином государственном реестре прав на недвижимое имущество и сделок с ним;

копии документов, подтверждающих наличие принадлежащих на праве собственности или на ином законном основании технических средств, оборудования, технической документации, технологического и испытательного оборудования, стендов, инструментов, контрольно-измерительной аппаратуры, необходимых для осуществления заявленных работ (услуг);

копии документов, подтверждающих соответствие лиц, осуществляющих заявленные работы (услуги), установленным требованиям;

документ, содержащий сведения о наличии пускового оборудования с приложением копий формуляров пускового оборудования для проведения фейерверочных показов (при выполнении работ (услуг) по применению пиротехнических изделий IV и V классов в соответствии с техническим регламентом);

реквизиты свидетельств об аккредитации испытательной лаборатории (центра) (зарегистрировавший орган, дата и номер регистрации) в соответствии с требованиями Технического регламента Таможенного союза "О безопасности пиротехнических изделий" (при выполнении работ (услуг) по испытанию пиротехнических изделий IV и V классов в соответствии с национальным стандартом);

копии документов, подтверждающих наличие условий для хранения пиротехнических изделий IV и V классов согласно требованиям эксплуатационной документации и правилам пожарной безопасности.

7. При намерении лицензиата осуществлять лицензируемую деятельность по адресу места выполнения работ и оказания услуг и (или) выполнять новые работы (оказывать новые услуги), составляющие лицензируемую деятельность и не предусмотренные реестром лицензий, в заявлении о внесении изменений в реестр лицензий указываются этот адрес и (или) работы (услуги), которые лицензиат намерен выполнять, а также представляются копии документов, подтверждающие соответствие лицензиата лицензионным требованиям, предусмотренным пунктом 4 настоящего Положения.

8. Лицензирующий орган размещает в федеральной государственной информационной системе "Единый портал государственных и муниципальных услуг (функций)" в установленном порядке сведения о ходе принятия им решения о предоставлении лицензии (об отказе в предоставлении лицензии), внесении изменений в реестр лицензий (об отказе во внесении изменений в реестр лицензий), приостановлении, возобновлении, прекращении действия лицензии, сведения об аннулировании лицензии, а также сведения о дате предоставления лицензии и регистрационном номере лицензии.

9. Подача соискателем лицензии (лицензиатом) заявления о предоставлении лицензии (внесении изменений в реестр лицензий) и необходимых для получения лицензии (внесения изменений в реестр лицензий) документов, их прием лицензирующим органом, принятие решений о предоставлении лицензии (об отказе в предоставлении лицензии), внесении изменений в реестр лицензий (об отказе во внесении изменений в реестр лицензий), приостановлении, возобновлении, прекращении действия лицензии и ее аннулировании, формирование и ведение лицензионного дела, ведение реестра лицензий и предоставление сведений, содержащихся в реестре лицензий, лицензионных делах соискателей лицензий и (или) лицензиатов, осуществляются в порядке, установленном Федеральным законом "О лицензировании отдельных видов деятельности".

10. Заявление о предоставлении лицензии (внесении изменений в реестр лицензий) и прилагаемые к нему документы соискатель лицензии представляет в форме электронных документов (пакета электронных документов).

11. Оценка соответствия соискателя лицензии (лицензиата) лицензионным требованиям, указанным в пункте 4 настоящего Положения, проводится в форме документарной оценки.

Результаты документарной оценки соответствия соискателя лицензии (лицензиата) лицензионным требованиям, указанным в пункте 4 настоящего Положения, оформляются актом лицензирующего органа о предоставлении лицензии (отказе в предоставлении лицензии) или внесении изменений в реестр лицензий (отказе во внесении изменений в реестр лицензий).

12. Уведомление о предоставлении лицензии (внесении изменений в реестр лицензий), содержащее ссылку на сведения о предоставлении лицензии (внесении изменений в реестр лицензий) из реестра лицензий, размещенные в информационно-телекоммуникационной сети "Интернет", направляется лицензиату в течение 3 рабочих дней после дня внесения записи о предоставлении лицензии (внесения изменений) в реестр лицензий в случае, если уведомление о предоставлении лицензии (внесении изменений в реестр лицензий) оформляется на бумажном носителе.

13. При проведении проверки сведений, содержащихся в представленных соискателем лицензии (лицензиатом) заявлении о предоставлении лицензии (внесении изменений в реестр лицензий) и документах, указанных в пункте 6 настоящего Положения, лицензирующий орган запрашивает необходимые для предоставления государственных услуг в области лицензирования сведения, находящиеся в распоряжении органов, предоставляющих государственные услуги, органов, предоставляющих муниципальные услуги, иных государственных органов, органов местного самоуправления либо подведомственных им организаций, в порядке, установленном Федеральным законом "Об организации предоставления государственных и муниципальных услуг".

14. Перечень нормативных правовых актов (их отдельных положений), содержащих обязательные требования, оценка соблюдения которых осуществляется в рамках лицензируемой деятельности, подлежит размещению на официальном сайте лицензирующего органа в информационно-телекоммуникационной сети "Интернет" с текстами действующих нормативных правовых актов в соответствии с порядком, установленным постановлением Правительства Российской Федерации от 22 октября 2020 г. N 1722 "О размещении и актуализации на официальных сайтах органов государственной власти, осуществляющих государственный контроль (надзор), предоставление лицензий и иных разрешений, аккредитацию, перечней нормативных правовых актов (их отдельных положений), содержащих обязательные требования".

15. Федеральный государственный лицензионный контроль (надзор) за деятельностью по разработке, производству, испытанию, хранению, реализации (в том числе распространению), утилизации пиротехнических изделий IV и V классов в соответствии с национальным стандартом, применению пиротехнических изделий IV и V классов в соответствии с техническим регламентом осуществляется в порядке, установленном в приложении.

16. За предоставление лицензии и внесение изменений в реестр лицензий уплачивается государственная пошлина в размерах и порядке, которые установлены законодательством Российской Федерации о налогах и сборах.

Государственная пошлина за внесение изменений в реестр лицензий не уплачивается в случаях, предусмотренных Федеральным законом "О лицензировании отдельных видов деятельности".

Приложение
к Положению о лицензировании
разработки, производства,
испытания, хранения, реализации
(в том числе распространения),
утилизации пиротехнических изделий
IV и V классов в соответствии
с национальным стандартом, применения
пиротехнических изделий IV и V классов
в соответствии с техническим регламентом

ПРАВИЛА ФЕДЕРАЛЬНОГО ГОСУДАРСТВЕННОГО ЛИЦЕНЗИОННОГО КОНТРОЛЯ (НАДЗОРА) ЗА ДЕЯТЕЛЬНОСТЬЮ ПО РАЗРАБОТКЕ, ПРОИЗВОДСТВУ, ИСПЫТАНИЮ, ХРАНЕНИЮ, РЕАЛИЗАЦИИ (В ТОМ ЧИСЛЕ РАСПРОСТРАНЕНИЮ), УТИЛИЗАЦИИ ПИРОТЕХНИЧЕСКИХ ИЗДЕЛИЙ IV И V КЛАССОВ В СООТВЕТСТВИИ С НАЦИОНАЛЬНЫМ СТАНДАРТОМ, ПРИМЕНЕНИЮ ПИРОТЕХНИЧЕСКИХ ИЗДЕЛИЙ IV И V КЛАССОВ В СООТВЕТСТВИИ С ТЕХНИЧЕСКИМ РЕГЛАМЕНТОМ

I. Общие положения

1. Настоящие Правила устанавливают порядок организации и осуществления федерального государственного лицензионного контроля (надзора) за деятельностью по разработке, производству, испытанию, хранению, реализации (в том числе распространению), утилизации пиротехнических изделий IV и V классов в соответствии с национальным стандартом, применению пиротехнических изделий IV и V классов в соответствии с техническим регламентом (далее - лицензионный контроль).

2. Порядок организации и осуществления лицензионного контроля регулируется Федеральным законом "О государственном контроле (надзоре) и муниципальном контроле в Российской Федерации".

3. Предметом лицензионного контроля является соблюдение юридическими лицами, имеющими лицензию (далее - лицензиаты), установленных пунктом 4 Положения о лицензировании разработки, производства, испытания, хранения, реализации (в том числе распространения), утилизации пиротехнических изделий IV и V классов в соответствии с национальным стандартом, применения пиротехнических изделий IV и V классов в соответствии с техническим регламентом лицензионных требований.

4. Объектами лицензионного контроля являются:

а) деятельность по разработке пиротехнических изделий IV и V классов в соответствии с национальным стандартом;

б) деятельность по производству пиротехнических изделий IV и V классов в соответствии с национальным стандартом;

в) деятельность по испытанию пиротехнических изделий IV и V классов в соответствии с национальным стандартом;

г) деятельность по хранению пиротехнических изделий IV и V классов в соответствии с национальным стандартом;

д) деятельность по реализации (в том числе распространению) пиротехнических изделий IV и V классов в соответствии с национальным стандартом;

е) деятельность по утилизации пиротехнических изделий IV и V классов в соответствии с национальным стандартом;

ж) деятельность по применению пиротехнических изделий IV и V классов в соответствии с техническим регламентом.

5. Объекты лицензионного контроля подлежат отнесению органом лицензионного контроля к одной из следующих категорий риска причинения вреда (ущерба) (далее - категории риска):

а) высокий риск;

б) средний риск;

в) низкий риск.

6. Отнесение объектов лицензионного контроля к категориям риска осуществляется контрольным (надзорным) органом в соответствии с критериями отнесения объектов лицензионного контроля к категориям риска согласно приложению.

Отнесение объектов лицензионного контроля к определенной категории риска осуществляется на основании сопоставления их характеристик с критериями отнесения объектов лицензионного контроля к категориям риска.

7. Контрольным (надзорным) органом, уполномоченным на осуществление лицензионного контроля, является Министерство промышленности и торговли Российской Федерации (далее - контрольный (надзорный) орган).

8. Должностными лицами, уполномоченными на принятие решений о проведении контрольных (надзорных) мероприятий, являются Министр промышленности и торговли Российской Федерации, а также уполномоченные заместители Министра промышленности и торговли Российской Федерации.

9. Должностными лицами, уполномоченными на осуществление лицензионного контроля, являются:

а) директор департамента;

б) заместитель директора департамента;

в) референт;

г) начальник отдела;

д) заместитель начальника отдела;

е) ведущий советник;

ж) советник;

з) ведущий консультант;

и) консультант;

к) главный специалист-эксперт;

л) ведущий специалист-эксперт;

м) специалист-эксперт.

10. Должностные лица, осуществляющие лицензионный контроль, при проведении контрольного (надзорного) мероприятия в пределах своих полномочий и в объеме проводимых контрольных действий пользуются правами, установленными частью 2 статьи 29 Федерального закона "О государственном контроле (надзоре) и муниципальном контроле в Российской Федерации".

11. Контрольный (надзорный) орган ведет учет объектов лицензионного контроля в порядке, установленном Федеральным законом "О государственном контроле (надзоре) и муниципальном контроле в Российской Федерации" и настоящими Правилами.

12. Учет объектов лицензионного контроля осуществляется с использованием государственной информационной системы "Типовое облачное решение по автоматизации контрольной (надзорной) деятельности".

13. При осуществлении учета объектов лицензионного контроля на контролируемых лиц не может возлагаться обязанность по представлению сведений, документов, если иное не предусмотрено федеральными законами, а также если соответствующие сведения, документы содержатся в государственных или муниципальных информационных ресурсах.

II. Профилактика рисков причинения вреда (ущерба) охраняемым законом ценностям

14. Программа профилактики рисков причинения вреда (ущерба) охраняемым законом ценностям утверждается ежегодно, до 20 декабря года, предшествующего году проведения профилактических мероприятий, и размещается на официальном сайте контрольного органа в информационно-телекоммуникационной сети "Интернет" (далее - сеть "Интернет") в течение 5 дней со дня утверждения.

15. В рамках осуществления лицензионного контроля контрольный (надзорный) орган проводит следующие профилактические мероприятия:

а) информирование;

б) консультирование;

в) объявление предостережения;

г) обобщение правоприменительной практики;

д) профилактический визит.

16. Контрольный (надзорный) орган осуществляет информирование лицензиатов и иных заинтересованных лиц по вопросам соблюдения обязательных требований к деятельности по разработке, производству, испытанию, хранению, реализации (в том числе распространению), утилизации пиротехнических изделий IV и V классов в соответствии с национальным стандартом, применению пиротехнических изделий IV и V классов в соответствии с техническим регламентом.

17. Информирование осуществляется посредством размещения соответствующих сведений на официальном сайте контрольного органа в сети "Интернет" и (или) в средствах массовой информации.

18. Должностное лицо контрольного (надзорного) органа по обращениям лицензиатов и их представителей осуществляет консультирование (дает разъяснения по вопросам, связанным с организацией и осуществлением лицензионного контроля). Консультирование осуществляется без взимания платы.

19. Консультирование может осуществляться должностным лицом контрольного (надзорного) органа по телефону, посредством видео-конференц-связи, на личном приеме либо в ходе проведения профилактического мероприятия, контрольного (надзорного) мероприятия.

20. Должностные лица контрольного (надзорного) органа осуществляют консультирование, в том числе письменное, по следующим вопросам:

а) разъяснение положений нормативных правовых актов, содержащих обязательные требования, оценка соблюдения которых осуществляется в рамках лицензионного контроля;

б) разъяснение положений нормативных правовых актов, регламентирующих порядок осуществления лицензионного контроля.

21. По вопросам, с которыми лицензиаты обращались в контрольный (надзорный) орган более 5 раз, консультирование может осуществляться посредством размещения на официальном сайте контрольного органа в сети "Интернет" письменного разъяснения, подписанного уполномоченным должностным лицом контрольного (надзорного) органа.

22. При наличии у контрольного (надзорного) органа сведений о готовящихся нарушениях лицензионных требований или о признаках нарушений лицензионных требований и (или) в случае отсутствия подтвержденных данных о том, что нарушение лицензионных требований причинило вред (ущерб) охраняемым законом ценностям либо создало угрозу причинения вреда (ущерба) охраняемым законом ценностям, контрольный (надзорный) орган в соответствии со статьей 49 Федерального закона "О государственном контроле (надзоре) и муниципальном контроле в Российской Федерации" объявляет контролируемому лицу предостережение о недопустимости нарушения лицензионных требований, предлагает ему принять меры по обеспечению соблюдения лицензионных требований.

23. Лицензиат вправе после получения предостережения о недопустимости нарушения обязательных требований, оценка соблюдения которых осуществляется в рамках лицензионного контроля подать в контрольный (надзорный) орган возражение в отношении указанного предостережения.

Возражение в отношении предостережения может быть подано лицензиатами в контрольный (надзорный) орган в течение 30 календарных дней с даты его получения и рассматривается должностными лицами контрольного органа в течение 20 рабочих дней со дня поступления возражения в контрольный (надзорный) орган.

Контрольный (надзорный) орган уведомляет лицензиата о решениях, принятых по итогам рассмотрения подданного им возражения в отношении предостережения, в течение 5 рабочих дней со дня утверждения.

В случае удовлетворения возражения лицензиата на предостережение, такое предостережение не является основанием для проведения иных профилактических и контрольных (надзорных) мероприятий.

24. Доклад о правоприменительной практике по осуществлению лицензионного контроля готовится контрольным (надзорным) органом один раз в год, утверждается приказом руководителя контрольного (надзорного) органа до 10 марта и размещается на официальном сайте контрольного (надзорного) органа в сети "Интернет" до 15 марта года, следующего за отчетным годом.

25. Профилактический визит проводится в форме профилактической беседы по месту осуществления деятельности лицензиата либо путем использования видео-конференц-связи.

Обязательные профилактические визиты проводятся в отношении объектов лицензионного контроля, отнесенных к категории высокого риска, и в отношении лицензиатов, приступающих к выполнению работ (услуг) по испытанию пиротехнических изделий IV и V классов в соответствии с национальным стандартом. Обязательный профилактический визит проводится в течение одного года с даты предоставления лицензии, внесения изменений в реестр лицензий в части выполнения работ (услуг), не указанных в реестре лицензий, адреса места выполнения работ (услуг), не указанного в реестре лицензий.

Срок проведения обязательного профилактического визита устанавливается в пределах 8 часов.

Лицензиат вправе отказаться от проведения обязательного профилактического визита, уведомив об этом контрольный (надзорный) орган не позднее чем за 3 рабочих дня до даты его проведения.

III. Проведение контрольных (надзорных) мероприятий

26. Лицензионный контроль осуществляется посредством проведения следующих внеплановых контрольных (надзорных) мероприятий:

а) документарная проверка;

б) выездная проверка.

27. При проведении документарной проверки могут совершаться следующие контрольные (надзорные) действия:

а) получение письменных объяснений;

б) истребование документов.

28. При проведении выездной проверки могут совершаться следующие контрольные (надзорные) действия:

а) осмотр;

б) опрос;

в) получение письменных объяснений;

г) истребование документов.

29. Плановые контрольные (надзорные) мероприятия не проводятся.

30. В решении о проведении контрольного (надзорного) мероприятия указываются сведения, установленные частью 1 статьи 64 Федерального закона "О государственном контроле (надзоре) и муниципальном контроле в Российской Федерации".

31. Срок проведения выездной проверки - не более 10 рабочих дней. В отношении одного субъекта малого предпринимательства общий срок взаимодействия в ходе проведения выездной проверки устанавливается в пределах 50 часов для малого предприятия и 15 часов для микропредприятия. Срок проведения выездной проверки в отношении организации, осуществляющей свою деятельность на территориях нескольких субъектов Российской Федерации, устанавливается отдельно по каждому филиалу, представительству, обособленному структурному подразделению организации или производственному объекту.

32. При проведении выездной проверки для фиксации инспектором и лицами, привлекаемыми к совершению контрольных (надзорных) действий, доказательств нарушений лицензионных требований могут использоваться фотосъемка, аудио- и видеозапись с учетом требований законодательства Российской Федерации о государственной и иной охраняемой законом тайне.

Лицензиат в обязательном порядке уведомляется о проведении фотосъемки, аудио- и видеозаписи для фиксации доказательств нарушений лицензионных требований.

Если в ходе контрольных (надзорных) действий для фиксации доказательств нарушений обязательных требований осуществлялись фотосъемка, аудио- и (или) видеозапись, об этом делается отметка в протоколах соответствующих контрольных (надзорных) действий (в случае их составления), а также в акте контрольного (надзорного) мероприятия.

Материалы, являющиеся доказательствами нарушения лицензионных требований, полученные с применением фотосъемки, аудио- и (или) видеозаписи, приобщаются к акту контрольного (надзорного) мероприятия.

33. Выездная проверка может проводиться только по согласованию с органами прокуратуры, за исключением случаев ее проведения в соответствии с пунктами 3 - 6 части 1 статьи 57 и частью 12 статьи 66 Федерального закона "О государственном контроле (надзоре) и муниципальном контроле в Российской Федерации".

34. Если основанием для проведения выездной проверки являются сведения о непосредственной угрозе причинения вреда (ущерба) охраняемым законом ценностям, контрольный (надзорный) орган для принятия неотложных мер по ее предотвращению и устранению приступает к проведению выездной проверки незамедлительно (в течение 24 часов после получения соответствующих сведений) с извещением об этом органа прокуратуры по месту нахождения объекта лицензионного контроля в порядке, определенном Федеральным законом "О государственном контроле (надзоре) и муниципальном контроле в Российской Федерации".

35. По окончании проведения контрольного (надзорного) мероприятия составляется акт контрольного (надзорного) мероприятия в порядке, установленном статьей 87 Федерального закона "О государственном контроле (надзоре) и муниципальном контроле в Российской Федерации".

IV. Обжалование решений контрольных (надзорных) органов, действий (бездействия) их должностных лиц

36. Лицензиат, в отношении которого контрольным (надзорным) органом, его должностными лицами приняты решения или совершены действия (бездействие), указанные в части 4 статьи 40 Федерального закона "О государственном контроле (надзоре) и муниципальном контроле в Российской Федерации", вправе обжаловать такие решения контрольного (надзорного) органа, действия (бездействие) его должностных лиц в порядке, установленном главой 9 указанного Федерального закона.

37. Жалобы рассматриваются в порядке, установленном статьей 43 Федерального закона "О государственном контроле (надзоре) и муниципальном контроле в Российской Федерации" и настоящими Правилами.

38. В случае обжалования решений контрольного (надзорного) органа, действий (бездействия) его должностных лиц жалоба рассматривается руководителем контрольного (надзорного) органа.

39. Жалоба подлежит рассмотрению в течение 20 рабочих дней со дня ее регистрации.

V. Ключевые показатели лицензионного контроля

40. При осуществлении оценки результативности и эффективности осуществления лицензионного контроля используются ключевые показатели.

41. Ключевыми показателями результативности и эффективности осуществления лицензионного контроля являются:

а) количество происшествий, произошедших при применении пиротехнических изделий IV и V классов в соответствии с техническим регламентом;

б) количество лиц, травмированных в результате происшествий, произошедших при применении пиротехнических изделий IV и V классов в соответствии с техническим регламентом.

42. Значение ключевого показателя "количество происшествий, произошедших при применении пиротехнических изделий IV и V классов в соответствии с техническим регламентом" () определяется по формуле:

,

где:

- количество происшествий, произошедших при применении пиротехнических изделий IV и V классов в соответствии с техническим регламентом, за отчетный год;

- среднегодовое количество происшествий, произошедших при применении пиротехнических изделий IV и V классов в соответствии с техническим регламентом.

Целевым значением ключевого показателя является значение больше нуля.

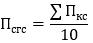
43. Среднегодовое количество происшествий, произошедших при применении пиротехнических изделий IV и V классов в соответствии с техническим регламентом (), определяется по формуле:

,

где - общее количество происшествий, произошедших при применении пиротехнических изделий IV и V классов в соответствии с техническим регламентом за 10-летний период, предшествующий отчетному году.

44. Сбор данных о количестве происшествий, произошедших при применении пиротехнических изделий IV и V классов в соответствии с техническим регламентом, осуществляется контрольным (надзорным) органом на основании материалов технического расследования уполномоченных органов государственной власти о причинах происшествий, произошедших при применении пиротехнических изделий IV и V классов в соответствии с техническим регламентом, поступивших в контрольный (надзорный) орган.

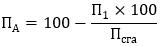
45. Ключевой показатель "количество лиц, травмированных в результате происшествий, произошедших при применении пиротехнических изделий IV и V классов в соответствии с техническим регламентом" () определяется по формуле:

,

где:

- количество лиц, травмированных в результате происшествий, произошедших при применении пиротехнических изделий IV и V классов в соответствии с техническим регламентом, за отчетный год;

- среднегодовое количество лиц, травмированных в результате происшествий, произошедших при применении пиротехнических изделий IV и V классов в соответствии с техническим регламентом.

Целевым значением ключевого показателя является значение больше нуля.

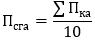
46. Среднегодовое количество лиц, травмированных в результате происшествий, произошедших при применении пиротехнических изделий IV и V классов в соответствии с техническим регламентом (), определяется по формуле:

,

где общее количество лиц, травмированных в результате происшествий, произошедших при применении пиротехнических изделий IV и V классов в соответствии с техническим регламентом за 10-летний период, предшествующий отчетному году.

47. Сбор данных о количестве лиц, травмированных в результате происшествий, произошедших при применении пиротехнических изделий IV и V классов в соответствии с техническим регламентом, осуществляется контрольным (надзорным) органом на основании актов о несчастных случаях, оформленных в соответствии с трудовым законодательством Российской Федерации и поступивших в контрольный (надзорный) орган.

Приложение
к Правилам федерального
государственного лицензионного
контроля (надзора) за деятельностью
по разработке, производству,
испытанию, хранению, реализации
(в том числе распространению),
утилизации пиротехнических изделий
IV и V классов в соответствии
с национальным стандартом, применению
пиротехнических изделий IV и V классов
в соответствии с техническим регламентом

КРИТЕРИИ ОТНЕСЕНИЯ ОБЪЕКТОВ ФЕДЕРАЛЬНОГО ГОСУДАРСТВЕННОГО ЛИЦЕНЗИОННОГО КОНТРОЛЯ ЗА ДЕЯТЕЛЬНОСТЬЮ ПО РАЗРАБОТКЕ, ПРОИЗВОДСТВУ, ИСПЫТАНИЮ, ХРАНЕНИЮ, РЕАЛИЗАЦИИ (В ТОМ ЧИСЛЕ РАСПРОСТРАНЕНИЮ), УТИЛИЗАЦИИ ПИРОТЕХНИЧЕСКИХ ИЗДЕЛИЙ IV И V КЛАССОВ В СООТВЕТСТВИИ С НАЦИОНАЛЬНЫМ СТАНДАРТОМ, ПРИМЕНЕНИЮ ПИРОТЕХНИЧЕСКИХ ИЗДЕЛИЙ IV И V КЛАССОВ В СООТВЕТСТВИИ С ТЕХНИЧЕСКИМ РЕГЛАМЕНТОМ К КАТЕГОРИЯМ РИСКА

Критерии риска Категория риска
Выявление в ходе контрольных (надзорных) мероприятий фактов грубых нарушений лицензионных требований высокий риск
Истечение 3 лет со дня проведения последнего контрольного мероприятия (за исключением объектов контроля, отнесенных к категории низкого риска) средний риск
Невыявление нарушений лицензионных требований в ходе 2 проведенных подряд внеплановых контрольных мероприятий низкий риск