Закон Республики Татарстан от 04.07.2009 N 27-ЗРТ

"О внесении изменений в Бюджетный кодекс Республики Татарстан и признании утратившими силу отдельных положений актов бюджетного законодательства Республики Татарстан"
Редакция от 09.03.2023 — Не действует Перейти в действующую
Показать изменения

4 июля 2009 г.N 27-ЗРТ

ЗАКОН
РЕСПУБЛИКИ ТАТАРСТАН

О ВНЕСЕНИИ ИЗМЕНЕНИЙ В БЮДЖЕТНЫЙ КОДЕКС РЕСПУБЛИКИ ТАТАРСТАН И ПРИЗНАНИИ УТРАТИВШИМИ СИЛУ ОТДЕЛЬНЫХ ПОЛОЖЕНИЙ АКТОВ БЮДЖЕТНОГО ЗАКОНОДАТЕЛЬСТВА РЕСПУБЛИКИ ТАТАРСТАН

(в ред. Законов Республики Татарстан от 05.07.2010 N 52-ЗРТ, от 30.11.2011 N 95-ЗРТ, от 26.03.2016 N 13-ЗРТ, от 05.03.2018 N 3-ЗРТ, от 27.09.2019 N 71-ЗРТ, от 09.03.2023 N 16-ЗРТ)

Принят
Государственным Советом
Республики Татарстан
28 мая 2009 года

Статья 1

Внести в Бюджетный кодекс Республики Татарстан от 29 мая 2004 года N 35-ЗРТ (Ведомости Государственного Совета Татарстана, 2004, N 4 - 5; 2005, N 6 (II часть), N 10 (I часть), N 12 (IV часть); 2006, N 6 (I часть), N 12 (I часть); 2007, N 8, N 10; 2008, N 8 (III часть), N 10 (I часть)) следующие изменения:

1) абзац второй пункта 1 статьи 20 после слов "государственных (муниципальных) услуг" дополнить словами "(выполнение работ)";

2) пункт 5 статьи 20.1:

а) после слов "унитарному предприятию" дополнить словами ", основанному на праве хозяйственного ведения,";

б) дополнить абзацем вторым следующего содержания:

"Предоставление бюджетных инвестиций государственному (муниципальному) унитарному предприятию, основанному на праве оперативного управления, влечет соответствующее увеличение основных средств государственного (муниципального) унитарного предприятия.";

3) дополнить статьей 22.1 следующего содержания:

"Статья 22.1. Резервный фонд Республики Татарстан

1. Законом Республики Татарстан (за исключением закона Республики Татарстан о бюджете Республики Татарстан) может быть предусмотрено создание Резервного фонда Республики Татарстан.

В случае создания Резервного фонда Республики Татарстан порядок формирования и использования средств указанного Фонда устанавливается законом Республики Татарстан (за исключением закона Республики Татарстан о бюджете Республики Татарстан).

2. Резервный фонд Республики Татарстан представляет собой часть средств бюджета Республики Татарстан, предназначенную для исполнения расходных обязательств Республики Татарстан в случае недостаточности доходов бюджета Республики Татарстан для финансового обеспечения расходных обязательств.";

4) статью 23.1 дополнить пунктом 3.1 следующего содержания:

"3.1. Расходные обязательства муниципального образования, связанные с осуществлением органами местного самоуправления муниципальных районов части полномочий органов местного самоуправления поселений по решению вопросов местного значения, переданных им в соответствии с заключенными между органами местного самоуправления муниципальных районов и поселений соглашениями, или с осуществлением органами местного самоуправления поселений части полномочий органов местного самоуправления муниципальных районов по решению вопросов местного значения, переданных им в соответствии с заключенными между органами местного самоуправления муниципальных районов и поселений соглашениями, устанавливаются муниципальными правовыми актами соответствующих органов местного самоуправления в соответствии с указанными соглашениями, исполняются за счет и в пределах межбюджетных трансфертов из соответствующих местных бюджетов, предоставляемых в порядке, предусмотренном Бюджетным кодексом Российской Федерации и статьями 44.12 и 44.13 настоящего Кодекса.

В случае если в муниципальном образовании превышены нормативы, используемые в методиках расчета соответствующих межбюджетных трансфертов, финансовое обеспечение дополнительных расходов, необходимых для полного исполнения указанных расходных обязательств муниципального образования, осуществляется за счет собственных доходов и источников финансирования дефицита местного бюджета указанного муниципального образования.";

5) абзац второй пункта 2 статьи 24 после слов "Республики Татарстан, и снижения остатков средств на счетах по учету средств бюджета Республики Татарстан" дополнить словами ", в том числе средств Резервного фонда Республики Татарстан", дополнить словами ", в том числе средств Резервного фонда Республики Татарстан";

В электронном документе текст абзаца соответствует официальному источнику.

6) в статье 44.1:

а) пункт 3 изложить в следующей редакции:

"3. Размер дотации на выравнивание бюджетной обеспеченности поселений определяется для каждого поселения (включая городские округа) Республики Татарстан исходя из численности жителей поселения в расчете на одного жителя.

Право на получение указанной дотации имеют все городские поселения (включая городские округа) и сельские поселения Республики Татарстан, за исключением указанных в пункте 1 статьи 44.10 настоящего Кодекса.

Дотации на выравнивание бюджетной обеспеченности поселений в части, касающейся предоставления дотаций поселениям (за исключением городских округов), могут полностью или частично распределяться между указанными поселениями исходя из уровня их расчетной бюджетной обеспеченности. Право на получение указанных дотаций имеют все городские и сельские поселения (за исключением городских округов) Республики Татарстан, уровень расчетной бюджетной обеспеченности которых не превышает уровень, установленный в качестве критерия выравнивания расчетной бюджетной обеспеченности городских и сельских поселений (за исключением городских округов).

Уровень расчетной бюджетной обеспеченности поселений определяется соотношением налоговых доходов на одного жителя, которые могут быть получены бюджетом городского или сельского поселения (за исключением городских округов), исходя из уровня развития и структуры экономики и (или) налоговой базы (налогового потенциала) и аналогичного показателя в среднем по городским и сельским поселениям (за исключением городских округов) Республики Татарстан с учетом различий в структуре населения, социально-экономических, климатических, географических и иных объективных факторов и условий, влияющих на стоимость предоставления муниципальных услуг в расчете на одного жителя.

Определение уровня расчетной бюджетной обеспеченности поселений производится по единой методике, обеспечивающей сопоставимость налоговых доходов городских и сельских поселений (за исключением городских округов), перечня бюджетных услуг и показателей, характеризующих факторы и условия, влияющие на стоимость предоставления муниципальных услуг в расчете на одного жителя, согласно приложению 2 к настоящему Кодексу.

Использование при определении уровня расчетной бюджетной обеспеченности городских и сельских поселений (за исключением городских округов) показателей фактических доходов и расходов за отчетный период и (или) показателей прогнозируемых доходов и расходов бюджетов отдельных поселений не допускается.";

б) в пункте 4:

абзац первый после слов "бюджетной обеспеченности поселений" дополнить словами "по согласованию с представительными органами муниципальных образований";

абзац второй изложить в следующей редакции:

"Дополнительные нормативы отчислений от налога на доходы физических лиц устанавливаются на срок не менее трех лет. Изменение указанных нормативов отчислений в бюджеты поселений в течение текущего финансового года не допускается.";

в) в пункте 5:

в абзаце третьем слова "на основании методики, установленной приложением 3 к настоящему Кодексу" исключить;

в абзаце четвертом слова ", исходя из численности жителей в расчете на одного жителя из регионального фонда компенсаций в соответствии с методикой, установленной приложением 4 к настоящему Кодексу" исключить;

7) в статье 44.2:

а) абзацы второй - шестой пункта 3 признать утратившими силу;

б) дополнить пунктом 3.1 следующего содержания:

"3.1. При составлении и (или) утверждении бюджета Республики Татарстан по согласованию с представительными органами муниципальных образований дотации на выравнивание бюджетной обеспеченности муниципальных районов (городских округов) могут быть полностью или частично заменены дополнительными нормативами отчислений в бюджеты муниципальных районов (городских округов) от налога на доходы физических лиц.

Указанный дополнительный норматив на очередной финансовый год (очередной финансовый год и плановый период) рассчитывается как отношение расчетного объема дотации муниципальному району (городскому округу) к прогнозируемому в соответствии с единой методикой объему налога на доходы физических лиц.

Дополнительные нормативы отчислений от налога на доходы физических лиц устанавливаются на срок не менее трех лет. Изменение указанных нормативов отчислений в бюджеты муниципальных районов (городских округов) в течение текущего финансового года не допускается.

Средства, полученные муниципальным районом (городским округом) по дополнительному нормативу отчислений от налога на доходы физических лиц сверх объема расчетной дотации, изъятию в бюджет Республики Татарстан и (или) учету при последующем распределении межбюджетных трансфертов местным бюджетам не подлежат.

Потери бюджета муниципального района (городского округа) в связи с получением средств по дополнительному нормативу отчислений от налога на доходы физических лиц в объеме ниже расчетной дотации компенсации из бюджета Республики Татарстан и (или) учету при последующем распределении межбюджетных трансфертов местным бюджетам не подлежат.";

8) в части второй статьи 44.8 слова "(за исключением субвенций)" заменить словами "(за исключением межбюджетных трансфертов на осуществление части полномочий по решению вопросов местного значения в соответствии с заключенными соглашениями)";

9) статью 44.12 дополнить словами ", в том числе межбюджетные трансферты на осуществление части полномочий по решению вопросов местного значения в соответствии с заключенными соглашениями";

10) главу V дополнить статьей 44.13 следующего содержания:

"Статья 44.13. Иные межбюджетные трансферты из бюджетов поселений бюджетам муниципальных районов

В случаях и порядке, предусмотренных муниципальными правовыми актами представительного органа поселения, принимаемыми в соответствии с требованиями Бюджетного кодекса Российской Федерации и настоящего Кодекса, бюджетам муниципальных районов могут быть предоставлены иные межбюджетные трансферты из бюджетов поселений.";

11) в статье 61:

а) пункт 2 изложить в следующей редакции:

"2. Проектом закона Республики Татарстан о бюджете Республики Татарстан на очередной финансовый год и плановый период, проектом закона Республики Татарстан о бюджете Фонда обязательного медицинского страхования Республики Татарстан на очередной финансовый год и плановый период предусматриваются уточнение показателей утвержденного соответствующего бюджета планового периода и утверждение показателей второго года планового периода составляемого бюджета.

В случае признания утратившими силу положений закона Республики Татарстан о бюджете Республики Татарстан на очередной финансовый год и плановый период, закона Республики Татарстан о бюджете Фонда обязательного медицинского страхования Республики Татарстан на очередной финансовый год и плановый период в части, относящейся к плановому периоду, в соответствии с пунктом 6 настоящей статьи проектом закона Республики Татарстан о бюджете Республики Татарстан на очередной финансовый год и плановый период, проектом закона Республики Татарстан о бюджете Фонда обязательного медицинского страхования Республики Татарстан на очередной финансовый год и плановый период предусматривается утверждение показателей очередного финансового года и планового периода составляемого бюджета.";

б) дополнить пунктом 6 следующего содержания:

"6. В случае снижения в соответствии с ожидаемыми итогами социально-экономического развития Республики Татарстан в текущем финансовом году прогнозируемого на текущий финансовый год общего объема доходов бюджета Республики Татарстан более чем на 15 процентов по сравнению с объемом указанных доходов, предусмотренным законом Республики Татарстан о бюджете Республики Татарстан на текущий финансовый год и плановый период, положения указанного закона и закона Республики Татарстан о бюджете Фонда обязательного медицинского страхования Республики Татарстан на очередной финансовый год и плановый период в части, относящейся к плановому периоду, могут быть признаны утратившими силу.";

12) в пункте 3 статьи 77:

а) в абзаце третьем слова "В ходе исполнения бюджета Республики Татарстан показатели сводной бюджетной росписи бюджета Республики Татарстан могут быть изменены" заменить словами "В сводную бюджетную роспись бюджета Республики Татарстан могут быть внесены изменения";

б) дополнить новым абзацем восьмым следующего содержания:

"в случае получения субсидий, субвенций и иных межбюджетных трансфертов, имеющих целевое назначение, сверх объемов, утвержденных законом о бюджете;";

в) абзац десятый после слов "ведомственной структурой расходов" дополнить словами "по разделам, подразделам, целевым статьям и видам расходов бюджетной классификации Российской Федерации";

13) в абзаце первом пункта 3 статьи 78 слова "в текущем финансовом году и плановом периоде" исключить;

14) в пункте 4 статьи 97:

а) в абзаце первом слова "субвенций и субсидий" заменить словами "субсидий, субвенций и иных межбюджетных трансфертов, имеющих целевое назначение", слова "подлежат использованию" заменить словами "могут использоваться", дополнить словами "при наличии потребности в указанных трансфертах в соответствии с решением главного администратора бюджетных средств";

б) абзац второй признать утратившим силу;

в) в абзаце третьем слова "субвенций и субсидий" заменить словами "субсидий, субвенций и иных межбюджетных трансфертов, имеющих целевое назначение";

15) приложение 2 изложить в следующей редакции:

"Приложение 2
к Бюджетному кодексу
Республики Татарстан

ПОРЯДОК ОБРАЗОВАНИЯ И РАСПРЕДЕЛЕНИЯ ДОТАЦИЙ ИЗ РЕГИОНАЛЬНОГО ФОНДА ФИНАНСОВОЙ ПОДДЕРЖКИ ПОСЕЛЕНИЙ

1. Региональный фонд финансовой поддержки поселений (далее - ФФПП) образуется в составе бюджета Республики Татарстан в целях выравнивания доступа граждан к основным бюджетным услугам и социальным гарантиям, финансируемым из бюджетов поселений.

2. Объем ФФПП определяется ежегодно при составлении проекта бюджета Республики Татарстан на очередной финансовый год и плановый период с учетом субсидий, перечисляемых из бюджетов поселений в бюджет Республики Татарстан в порядке, установленном статьей 44.10 настоящего Кодекса.

3. Соотношения между частями, предусмотренными пунктом 3 статьи 44.1 настоящего Кодекса, определяются ежегодно при составлении проекта бюджета Республики Татарстан на очередной финансовый год и плановый период.

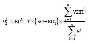
4. Размер дотации поселениям (включая городские округа) из ФФПП на выравнивание бюджетной обеспеченности поселений для j-го поселения исходя из численности жителей поселения определяется по формуле:

где:

- объем дотации из ФФПП на выравнивание бюджетной обеспеченности поселений для j-го поселения исходя из численности жителей поселения;

- объем ФФПП на выравнивание бюджетной обеспеченности поселений исходя из численности жителей;

- численность населения j-го поселения;

n - количество поселений (включая городские округа), имеющих право на получение дотаций из ФФПП.

5. Размер дотации поселениям (за исключением городских округов) из ФФПП на выравнивание бюджетной обеспеченности поселений исходя из уровня расчетной бюджетной обеспеченности определяется комбинированным способом. Первая часть распределяется с использованием метода пропорционального выравнивания бюджетной обеспеченности; вторая часть - с использованием метода выравнивания до "гарантированного минимума":

,

где:

- общий объем дотации i-му поселению из ФФПП на выравнивание бюджетной обеспеченности;

- объем части дотаций i-му поселению, распределение которой осуществляется методом пропорционального выравнивания;

- объем части дотаций i-му поселению, распределение которой осуществляется методом выравнивания до "гарантированного минимума".

6. Соотношения между частями средств на выравнивание бюджетной обеспеченности поселений, распределяемыми различными методами, определяются ежегодно при составлении проекта бюджета Республики Татарстан на очередной финансовый год и плановый период.

7. Распределение части средств с использованием метода пропорционального выравнивания бюджетной обеспеченности осуществляется по формуле:

где:

- объем части дотаций i-му поселению, распределение которой осуществляется методом пропорционального выравнивания;

- доля ФФПП на выравнивание бюджетной обеспеченности поселений исходя из уровня расчетной бюджетной обеспеченности, распределение которой осуществляется с использованием метода пропорционального выравнивания;

- объем ФФПП на выравнивание бюджетной обеспеченности поселений исходя из уровня расчетной бюджетной обеспеченности;

- объем средств, необходимых для достижения i-м поселением уровня бюджетной обеспеченности, установленного в качестве критерия выравнивания бюджетной обеспеченности;

H - объем средств, необходимых для достижения всеми поселениями (за исключением городских округов) уровня бюджетной обеспеченности, установленного в качестве критерия выравнивания бюджетной обеспеченности.

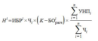
8. Определение объема средств, необходимых для достижения i-м поселением уровня бюджетной обеспеченности, установленного в качестве критерия выравнивания бюджетной обеспеченности, осуществляется по формуле:

где:

- объем средств, необходимых для достижения i-м поселением уровня бюджетной обеспеченности, установленного в качестве критерия выравнивания бюджетной обеспеченности;

- индекс бюджетных расходов i-го поселения, рассчитываемый в соответствии с порядком, установленным приложением 6 к настоящему Кодексу;

- численность населения i-го поселения;

K - критерий выравнивания бюджетной обеспеченности;

- уровень расчетной бюджетной обеспеченности i-го поселения;

- условный налоговый потенциал i-го поселения, рассчитываемый в соответствии с порядком, установленным приложением 7 к настоящему Кодексу;

n - число поселений (за исключением городских округов), получающих дотации из ФФПП на выравнивание бюджетной обеспеченности исходя из бюджетной обеспеченности.

9. Критерий выравнивания расчетной бюджетной обеспеченности поселений определяется ежегодно при составлении проекта бюджета Республики Татарстан на очередной финансовый год и плановый период с учетом разницы в оценках суммарных потребностей и доходных возможностей муниципальных образований.

10. Объем средств, недостающих для достижения поселением уровня бюджетной обеспеченности, установленного в качестве критерия выравнивания бюджетной обеспеченности, рассчитывается только по тем поселениям, уровень бюджетной обеспеченности которых меньше критерия выравнивания бюджетной обеспеченности

11. После распределения первой части средств ФФПП, распределяемых между поселениями (за исключением городских округов) исходя из уровня бюджетной обеспеченности, определяется достигнутый уровень бюджетной обеспеченности поселений, который используется при распределении второй части средств ФФПП, распределяемых между поселениями (за исключением городских округов) исходя из уровня бюджетной обеспеченности, и рассчитывается по следующей формуле:

где:

- уровень бюджетной обеспеченности i-го поселения после распределения первой части средств ФФПП, распределяемых между поселениями (за исключением городских округов) исходя из уровня бюджетной обеспеченности;

- уровень бюджетной обеспеченности i-го поселения до распределения средств ФФПП, распределяемых между поселениями (за исключением городских округов) исходя из уровня бюджетной обеспеченности;

- объем части средств ФФПП i-му поселению, распределенных на первом этапе;

- индекс бюджетных расходов i-го поселения, рассчитываемый в соответствии с порядком, установленным приложением 6 к настоящему Кодексу;

- численность населения i-го муниципального образования;

- условный налоговый потенциал i-го поселения, рассчитываемый в соответствии с порядком, установленным приложением 7 к настоящему Кодексу;

n - число поселений (за исключением городских округов), получающих дотации из ФФПП на выравнивание бюджетной обеспеченности исходя из бюджетной обеспеченности.

12. Распределение части средств с использованием метода выравнивания до "гарантированного минимума" осуществляется по формуле:

где:

- объем части дотаций i-му поселению, распределение которой осуществляется методом выравнивания до "гарантированного минимума";

БО - минимальный уровень бюджетной обеспеченности, до которого осуществляется выравнивание;

- уровень бюджетной обеспеченности i-го поселения после распределения первой части средств ФФПП, распределяемых между поселениями (за исключением городских округов) исходя из уровня бюджетной обеспеченности;

- индекс бюджетных расходов i-го поселения, рассчитываемый в соответствии с порядком, установленным приложением 6 к настоящему Кодексу;

- численность населения i-го поселения;

- условный налоговый потенциал i-го поселения, рассчитываемый в соответствии с порядком, установленным приложением 7 к настоящему Кодексу;

n - число поселений (за исключением городских округов), получающих дотации из ФФПП на выравнивание бюджетной обеспеченности исходя из бюджетной обеспеченности.

13. Уровень расчетной бюджетной обеспеченности поселения определяется как соотношение его условного налогового потенциала к аналогичному показателю, рассчитанному по всем поселениям (за исключением городских округов), в расчете на одного жителя, с учетом объективных факторов и условий, влияющих на стоимость предоставления бюджетных услуг, и рассчитывается по формуле:

где:

- уровень расчетной бюджетной обеспеченности i-го поселения;

- индекс бюджетных расходов i-го поселения, рассчитываемый в соответствии с порядком, установленным приложением 6 к настоящему Кодексу;

- условный налоговый потенциал i-го поселения, рассчитываемый в соответствии с порядком, установленным приложением 7 к настоящему Кодексу;

- численность населения i-го поселения;

n - число поселений (за исключением городских округов), получающих дотации из ФФПП на выравнивание бюджетной обеспеченности исходя из бюджетной обеспеченности.";

16) приложения 3 и 4 признать утратившими силу.

Статья 2

1. Установить, что до 1 января 2012 года ограничение, установленное статьей 44.5 Бюджетного кодекса Республики Татарстан, может быть превышено на объем дотаций из бюджета Республики Татарстан на поддержку мер по обеспечению сбалансированности местных бюджетов.

2. Установить, что до 1 января 2017 года в случае утверждения законом Республики Татарстан (муниципальным правовым актом представительного органа муниципального образования) о бюджете в составе источников финансирования дефицита бюджета Республики Татарстан (местного бюджета) разницы между полученными и погашенными Республикой Татарстан (муниципальным образованием) бюджетными кредитами, предоставленными бюджету Республики Татарстан (местному бюджету) другими бюджетами бюджетной системы Российской Федерации, дефицит бюджета Республики Татарстан (местного бюджета) может превысить ограничения, установленные пунктами 2 и 3 статьи 24 Бюджетного кодекса Республики Татарстан, в пределах указанной разницы. (в ред. Закона Республики Татарстан от 30.11.2011 N 95-ЗРТ)

3. До 1 января 2026 года в отношении муниципальных образований, на территории которых проводились международные спортивные соревнования, решения о проведении которых приняты Президентом Российской Федерации и (или) Правительством Российской Федерации, в бюджетах которых доля дотаций из бюджета Республики Татарстан и (или) налоговых доходов по дополнительным нормативам отчислений в размере, не превышающем расчетного объема дотации на выравнивание бюджетной обеспеченности (части расчетного объема дотации), замененной дополнительными нормативами отчислений, в отчетном году не превышала 5 процентов объема собственных доходов местного бюджета, у которых объем муниципального долга на 1 января 2017 года составил более 100 процентов объема доходов местного бюджета без учета утвержденного объема безвозмездных поступлений и (или) поступлений налоговых доходов по дополнительным нормативам отчислений, объем муниципального долга может превысить ограничение, установленное пунктом 5 статьи 107 Бюджетного кодекса Российской Федерации, пунктом 5 статьи 31 Бюджетного кодекса Республики Татарстан, в пределах объема муниципального долга по бюджетным кредитам, реструктурированным в соответствии с законом Республики Татарстан по состоянию на 1 января текущего года. До 1 января 2026 года верхний предел муниципального долга устанавливается с соблюдением условий, указанных в настоящей части. (в ред. Законов Республики Татарстан от 27.09.2019 N 71-ЗРТ, от 09.03.2023 N 16-ЗРТ)

Статья 3

Установить, что до 1 января 2010 года действие пунктов 3 и 4 статьи 44.4 Бюджетного кодекса Республики Татарстан не распространяется на предоставление субсидий из бюджета Республики Татарстан местным бюджетам по решениям, принимаемым Кабинетом Министров Республики Татарстан при реализации мер по поддержке рынка труда и отраслей экономики в случаях, установленных федеральными законами или законами Республики Татарстан.

Статья 4

Признать утратившими силу со дня вступления в силу настоящего Закона:

1) абзацы пятидесятый - пятьдесят четвертый пункта 17, пункт 36 в части дополнения приложениями 3 и 4 статьи 1 Закона Республики Татарстан от 27 июня 2005 года N 78-ЗРТ "О внесении изменений в Бюджетный кодекс Республики Татарстан и Закон Республики Татарстан "О местном самоуправлении в Республике Татарстан" (Ведомости Государственного Совета Татарстана, 2005, N 6 (II часть), N 10 (I часть), N 12 (IV часть); 2007, N 8);

2) абзац второй (в части изменения абзаца второго пункта 3), абзацы третий - пятый подпункта "г" пункта 34, абзац девятый пункта 92 статьи 1 Закона Республики Татарстан от 2 августа 2007 года N 38-ЗРТ "О внесении изменений в Бюджетный кодекс Республики Татарстан" (Ведомости Государственного Совета Татарстана, 2007, N 8; Республика Татарстан, 2009, 13 января);

3) пункт 6 статьи 1 Закона Республики Татарстан от 3 октября 2008 года N 80-ЗРТ "О внесении изменений в Бюджетный кодекс Республики Татарстан" (Ведомости Государственного Совета Татарстана, 2008, N 10 (I часть)).

Статья 5

1. Настоящий Закон вступает в силу со дня его официального опубликования.

2. Действие пунктов 1 - 10, пункта 12, за исключением подпункта "б", пунктов 13 - 15 статьи 1 распространяется на правоотношения, возникшие с 1 января 2009 года.

Президент
Республики Татарстан
М.Ш. ШАЙМИЕВ

Казань, Кремль

4 июля 2009 года

N 27-ЗРТ