Постановление Правительства РФ от 04.02.2022 N 106

"Об утверждении Правил предоставления в 2022 году иных межбюджетных трансфертов, имеющих целевое назначение, из федерального бюджета бюджетам субъектов Российской Федерации, источником финансового обеспечения которых являются бюджетные ассигнования резервного фонда Правительства Российской Федерации, в целях софинансирования расходных обязательств субъектов Российской Федерации (за исключением г. Москвы), возникающих при финансовом обеспечении оплаты труда медицинских работников, оказывающих консультативную медицинскую помощь с применением телемедицинских технологий гражданам с подтвержденным диагнозом новой коронавирусной инфекции COVID-19, а также с признаками или подтвержденным диагнозом внебольничной пневмонии, острой респираторной вирусной инфекции, гриппа, получающим медицинскую помощь в амбулаторных условиях (на дому)"
Редакция от 04.02.2022 — Не действует Перейти в действующую
Показать изменения

ПРАВИТЕЛЬСТВО РОССИЙСКОЙ ФЕДЕРАЦИИ

ПОСТАНОВЛЕНИЕ
от 4 февраля 2022 г. N 106

ОБ УТВЕРЖДЕНИИ ПРАВИЛ ПРЕДОСТАВЛЕНИЯ В 2022 ГОДУ ИНЫХ МЕЖБЮДЖЕТНЫХ ТРАНСФЕРТОВ, ИМЕЮЩИХ ЦЕЛЕВОЕ НАЗНАЧЕНИЕ, ИЗ ФЕДЕРАЛЬНОГО БЮДЖЕТА БЮДЖЕТАМ СУБЪЕКТОВ РОССИЙСКОЙ ФЕДЕРАЦИИ, ИСТОЧНИКОМ ФИНАНСОВОГО ОБЕСПЕЧЕНИЯ КОТОРЫХ ЯВЛЯЮТСЯ БЮДЖЕТНЫЕ АССИГНОВАНИЯ РЕЗЕРВНОГО ФОНДА ПРАВИТЕЛЬСТВА РОССИЙСКОЙ ФЕДЕРАЦИИ, В ЦЕЛЯХ СОФИНАНСИРОВАНИЯ РАСХОДНЫХ ОБЯЗАТЕЛЬСТВ СУБЪЕКТОВ РОССИЙСКОЙ ФЕДЕРАЦИИ (ЗА ИСКЛЮЧЕНИЕМ Г. МОСКВЫ), ВОЗНИКАЮЩИХ ПРИ ФИНАНСОВОМ ОБЕСПЕЧЕНИИ ОПЛАТЫ ТРУДА МЕДИЦИНСКИХ РАБОТНИКОВ, ОКАЗЫВАЮЩИХ КОНСУЛЬТАТИВНУЮ МЕДИЦИНСКУЮ ПОМОЩЬ С ПРИМЕНЕНИЕМ ТЕЛЕМЕДИЦИНСКИХ ТЕХНОЛОГИЙ ГРАЖДАНАМ С ПОДТВЕРЖДЕННЫМ ДИАГНОЗОМ НОВОЙ КОРОНАВИРУСНОЙ ИНФЕКЦИИ COVID-19, А ТАКЖЕ С ПРИЗНАКАМИ ИЛИ ПОДТВЕРЖДЕННЫМ ДИАГНОЗОМ ВНЕБОЛЬНИЧНОЙ ПНЕВМОНИИ, ОСТРОЙ РЕСПИРАТОРНОЙ ВИРУСНОЙ ИНФЕКЦИИ, ГРИППА, ПОЛУЧАЮЩИМ МЕДИЦИНСКУЮ ПОМОЩЬ В АМБУЛАТОРНЫХ УСЛОВИЯХ (НА ДОМУ)

Правительство Российской Федерации постановляет:

1. Утвердить прилагаемые Правила предоставления в 2022 году иных межбюджетных трансфертов, имеющих целевое назначение, из федерального бюджета бюджетам субъектов Российской Федерации, источником финансового обеспечения которых являются бюджетные ассигнования резервного фонда Правительства Российской Федерации, в целях софинансирования расходных обязательств субъектов Российской Федерации (за исключением г. Москвы), возникающих при финансовом обеспечении оплаты труда медицинских работников, оказывающих консультативную медицинскую помощь с применением телемедицинских технологий гражданам с подтвержденным диагнозом новой коронавирусной инфекции COVID-19, а также с признаками или подтвержденным диагнозом внебольничной пневмонии, острой респираторной вирусной инфекции, гриппа, получающим медицинскую помощь в амбулаторных условиях (на дому).

2. Настоящее постановление вступает в силу со дня его официального опубликования.

Председатель Правительства
Российской Федерации
М. МИШУСТИН

УТВЕРЖДЕНЫ
постановлением Правительства
Российской Федерации
от 4 февраля 2022 г. N 106

ПРАВИЛА ПРЕДОСТАВЛЕНИЯ В 2022 ГОДУ ИНЫХ МЕЖБЮДЖЕТНЫХ ТРАНСФЕРТОВ, ИМЕЮЩИХ ЦЕЛЕВОЕ НАЗНАЧЕНИЕ, ИЗ ФЕДЕРАЛЬНОГО БЮДЖЕТА БЮДЖЕТАМ СУБЪЕКТОВ РОССИЙСКОЙ ФЕДЕРАЦИИ, ИСТОЧНИКОМ ФИНАНСОВОГО ОБЕСПЕЧЕНИЯ КОТОРЫХ ЯВЛЯЮТСЯ БЮДЖЕТНЫЕ АССИГНОВАНИЯ РЕЗЕРВНОГО ФОНДА ПРАВИТЕЛЬСТВА РОССИЙСКОЙ ФЕДЕРАЦИИ, В ЦЕЛЯХ СОФИНАНСИРОВАНИЯ РАСХОДНЫХ ОБЯЗАТЕЛЬСТВ СУБЪЕКТОВ РОССИЙСКОЙ ФЕДЕРАЦИИ (ЗА ИСКЛЮЧЕНИЕМ Г. МОСКВЫ), ВОЗНИКАЮЩИХ ПРИ ФИНАНСОВОМ ОБЕСПЕЧЕНИИ ОПЛАТЫ ТРУДА МЕДИЦИНСКИХ РАБОТНИКОВ, ОКАЗЫВАЮЩИХ КОНСУЛЬТАТИВНУЮ МЕДИЦИНСКУЮ ПОМОЩЬ С ПРИМЕНЕНИЕМ ТЕЛЕМЕДИЦИНСКИХ ТЕХНОЛОГИЙ ГРАЖДАНАМ С ПОДТВЕРЖДЕННЫМ ДИАГНОЗОМ НОВОЙ КОРОНАВИРУСНОЙ ИНФЕКЦИИ COVID-19, А ТАКЖЕ С ПРИЗНАКАМИ ИЛИ ПОДТВЕРЖДЕННЫМ ДИАГНОЗОМ ВНЕБОЛЬНИЧНОЙ ПНЕВМОНИИ, ОСТРОЙ РЕСПИРАТОРНОЙ ВИРУСНОЙ ИНФЕКЦИИ, ГРИППА, ПОЛУЧАЮЩИМ МЕДИЦИНСКУЮ ПОМОЩЬ В АМБУЛАТОРНЫХ УСЛОВИЯХ (НА ДОМУ)

1. Настоящие Правила устанавливают цели, порядок и условия предоставления в 2022 году иных межбюджетных трансфертов, имеющих целевое назначение, из федерального бюджета бюджетам субъектов Российской Федерации, источником финансового обеспечения которых являются бюджетные ассигнования резервного фонда Правительства Российской Федерации, в целях софинансирования расходных обязательств субъектов Российской Федерации (за исключением г. Москвы), возникающих при финансовом обеспечении оплаты труда медицинских работников, оказывающих консультативную медицинскую помощь с применением телемедицинских технологий гражданам с подтвержденным диагнозом новой коронавирусной инфекции COVID-19, а также с признаками или подтвержденным диагнозом внебольничной пневмонии, острой респираторной вирусной инфекции, гриппа, получающим медицинскую помощь в амбулаторных условиях (на дому), при организации медицинской помощи в соответствии с временным регламентом организации оказания консультативной медицинской помощи с применением телемедицинских технологий гражданам с подтвержденным диагнозом новой коронавирусной инфекции COVID-19, а также с признаками или подтвержденным диагнозом внебольничной пневмонии, острой респираторной вирусной инфекции, гриппа, получающих медицинскую помощь в амбулаторных условиях (на дому), утвержденным приказом Министерства здравоохранения Российской Федерации (далее соответственно - оплата труда, медицинские работники, консультативная медицинская помощь, иные межбюджетные трансферты).

2. Иные межбюджетные трансферты предоставляются бюджетам субъектов Российской Федерации в пределах лимитов бюджетных обязательств, доведенных в установленном порядке до Министерства здравоохранения Российской Федерации как получателя средств федерального бюджета на предоставление иных межбюджетных трансфертов на цели, указанные в пункте 1 настоящих Правил.

3. Условиями предоставления иных межбюджетных трансфертов являются:

а) заключение между Министерством здравоохранения Российской Федерации и высшим исполнительным органом государственной власти субъекта Российской Федерации соглашения о предоставлении иного межбюджетного трансферта с использованием государственной интегрированной информационной системы управления общественными финансами "Электронный бюджет" в соответствии с типовой формой, утвержденной Министерством финансов Российской Федерации (далее - соглашение);

б) наличие в бюджете субъекта Российской Федерации бюджетных ассигнований на исполнение расходных обязательств субъектов Российской Федерации, в целях софинансирования которых предоставляются иные межбюджетные трансферты.

4. Предоставление иных межбюджетных трансфертов осуществляется на основании соглашения. При заключении соглашения высший исполнительный орган государственной власти субъекта Российской Федерации представляет в Министерство здравоохранения Российской Федерации отчет об исполнении условия предоставления иного межбюджетного трансферта, указанного в подпункте "б" пункта 3 настоящих Правил.

Министерство здравоохранения Российской Федерации на основании представленного высшим исполнительным органом государственной власти субъекта Российской Федерации отчета об исполнении условия предоставления иного межбюджетного трансферта, указанного в подпункте "б" пункта 3 настоящих Правил, осуществляет контроль соблюдения субъектом Российской Федерации условия предоставления иного межбюджетного трансферта.

5. Критерием отбора субъектов Российской Федерации для предоставления иного межбюджетного трансферта является наличие на территории субъекта Российской Федерации зарегистрированных случаев новой коронавирусной инфекции.

6. Результатом предоставления иного межбюджетного трансферта является количество в месяц привлеченных медицинских работников для оказания консультативной медицинской помощи.

Значение результата предоставления иного межбюджетного трансферта для каждого субъекта Российской Федерации устанавливается в соглашении.

7. Размер иного межбюджетного трансферта бюджету i-го субъекта Российской Федерации (за исключением бюджета г. Москвы) () определяется по формуле:

,

где:

S - общий размер иных межбюджетных трансфертов, предусмотренных Министерству здравоохранения Российской Федерации на цели, указанные в пункте 1 настоящих Правил;

- численность лиц, застрахованных по обязательному медицинскому страхованию, в i-м субъекте Российской Федерации по состоянию на 1 января 2021;

- коэффициент дифференциации для i-го субъекта Российской Федерации, используемый при распределении на 2022 год субвенций, предоставляемых из бюджета Федерального фонда обязательного медицинского страхования бюджетам территориальных фондов обязательного медицинского страхования на осуществление переданных органам государственной власти субъектов Российской Федерации полномочий Российской Федерации в сфере обязательного медицинского страхования, в соответствии с методикой распределения субвенций, предоставляемых из бюджета Федерального фонда обязательного медицинского страхования бюджетам территориальных фондов обязательного медицинского страхования на осуществление переданных органам государственной власти субъектов Российской Федерации полномочий Российской Федерации в сфере обязательного медицинского страхования, утвержденной постановлением Правительства Российской Федерации от 5 мая 2012 г. N 462 "О порядке распределения, предоставления и расходования субвенций из бюджета Федерального фонда обязательного медицинского страхования бюджетам территориальных фондов обязательного медицинского страхования на осуществление переданных органам государственной власти субъектов Российской Федерации полномочий Российской Федерации в сфере обязательного медицинского страхования".

8. Субъект Российской Федерации обязуется предусмотреть в бюджете субъекта Российской Федерации бюджетные ассигнования на исполнение расходных обязательств субъекта Российской Федерации, возникающих при финансовом обеспечении оплаты труда медицинских работников.

9. Для достижения целей, указанных в пункте 1 настоящих Правил, по решению высшего исполнительного органа государственной власти субъекта Российской Федерации федеральным государственным учреждениям, оказывающим консультативную медицинскую помощь и имеющим прикрепленное застрахованное население, могут предоставляться гранты в форме субсидий.

10. Средства из бюджета субъекта Российской Федерации, источником софинансирования которых являются иные межбюджетные трансферты, предоставляются медицинским организациям, подведомственным органам исполнительной власти субъектов Российской Федерации в сфере охраны здоровья граждан в Российской Федерации, оказывающим консультативную медицинскую помощь, в которые дополнительно привлечены медицинские работники, со дня вступления в силу настоящих Правил.

В случае передачи в установленном порядке органам местного самоуправления осуществления полномочий органов государственной власти субъектов Российской Федерации по организации оказания населению субъекта Российской Федерации первичной медико-санитарной помощи, специализированной медицинской помощи, скорой медицинской помощи средства из бюджетов субъектов Российской Федерации, источником софинансирования которых являются иные межбюджетные трансферты, предоставляются органам местного самоуправления для медицинских организаций, подведомственных органам местного самоуправления, оказывающих консультативную медицинскую помощь, в которые дополнительно привлечены медицинские работники, со дня вступления в силу настоящих Правил.

11. Оплата труда медицинских работников осуществляется в соответствии с системами оплаты труда, принятыми в медицинских организациях.

12. Орган исполнительной власти субъекта Российской Федерации, уполномоченный высшим исполнительным органом государственной власти субъекта Российской Федерации, размещает в государственной интегрированной информационной системе управления общественными финансами "Электронный бюджет" по форме и в сроки, которые установлены соглашением:

а) отчет о расходах бюджета субъекта Российской Федерации, в целях софинансирования которых предоставляется иной межбюджетный трансферт;

б) отчет о достижении значения результата предоставления иного межбюджетного трансферта, установленного соглашением.

13. Перечисление иного межбюджетного трансферта осуществляется в установленном порядке на единые счета бюджетов, открытые финансовым органам субъектов Российской Федерации в территориальных органах Федерального казначейства.

14. В случае нарушения субъектом Российской Федерации целей, установленных при предоставлении иного межбюджетного трансферта, применяются бюджетные меры принуждения, предусмотренные бюджетным законодательством Российской Федерации.

15. Ответственность за достоверность представляемых в Министерство здравоохранения Российской Федерации информации и документов, предусмотренных настоящими Правилами, возлагается на высший исполнительный орган государственной власти субъекта Российской Федерации.

16. Контроль за соблюдением субъектами Российской Федерации условий предоставления иных межбюджетных трансфертов осуществляется Министерством здравоохранения Российской Федерации и уполномоченными органами государственного финансового контроля.

17. В случае если по состоянию на 31 декабря текущего года допущено недостижение значения результата предоставления иного межбюджетного трансферта, установленного соглашением, и до 1 апреля года, следующего за годом предоставления иного межбюджетного трансферта, указанное нарушение не устранено, размер средств, подлежащих возврату из бюджета субъекта Российской Федерации в федеральный бюджет до 1 июня года, следующего за годом предоставления иного межбюджетного трансферта () рассчитывается по формуле:

,

где:

- размер иного межбюджетного трансферта, предоставленного из федерального бюджета бюджету субъекта Российской Федерации;

D - индекс, отражающий уровень недостижения значения результата предоставления иного межбюджетного трансферта.

При расчете размера средств, подлежащих возврату из бюджета субъекта Российской Федерации в федеральный бюджет, в размере иного межбюджетного трансферта, предоставленного бюджету субъекта Российской Федерации в отчетном финансовом году, не учитывается размер остатка иного межбюджетного трансферта, не использованного по состоянию на 1 января текущего финансового года.

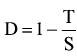
18. Индекс, отражающий уровень недостижения значения результата предоставления иного межбюджетного трансферта (D), определяется по формуле:

,

где:

Т - фактически достигнутое значение результата предоставления иного межбюджетного трансферта на отчетную дату;

S - плановое значение результата предоставления иного межбюджетного трансферта, установленное соглашением.

19. Основанием для освобождения субъектов Российской Федерации от применения мер ответственности, предусмотренных настоящими Правилами, является документально подтвержденное наступление следующих обстоятельств непреодолимой силы, препятствующих исполнению соответствующих обязательств:

а) установление регионального (межмуниципального) и (или) местного уровня реагирования на чрезвычайную ситуацию, подтвержденное правовым актом органа государственной власти субъекта Российской Федерации и (или) органа местного самоуправления;

б) установление карантина и (или) иных ограничений, направленных на предотвращение распространения и ликвидацию очагов заразных и иных болезней животных, подтвержденное правовым актом органа государственной власти субъекта Российской Федерации;

в) аномальные погодные условия, подтвержденные справкой территориального органа федерального органа исполнительной власти, осуществляющего функции по оказанию государственных услуг в области гидрометеорологии и смежных с ней областях;

г) наличие вступившего в законную силу в году предоставления иного межбюджетного трансферта решения арбитражного суда о признании несостоятельной (банкротом) организации, деятельность которой оказывала влияние на исполнение обязательств, предусмотренных соглашением.