Постановление Правительства РФ от 26.02.2022 N 252

"Об утверждении Правил предоставления субсидий из федерального бюджета российским кредитным организациям и государственной корпорации развития "Вэб.рф" на возмещение недополученных доходов по выданным кредитам на реализацию инвестиционных проектов в сфере физической культуры и спорта и о признании утратившим силу постановления Правительства Российской Федерации от 25 декабря 2019 г. N 1836"
Редакция от 26.02.2022 — Документ утратил силу, см. «Постановление Правительства РФ от 10.04.2025 N 474»
Показать изменения

ПРАВИТЕЛЬСТВО РОССИЙСКОЙ ФЕДЕРАЦИИ

ПОСТАНОВЛЕНИЕ
от 26 февраля 2022 г. N 252

ОБ УТВЕРЖДЕНИИ ПРАВИЛ ПРЕДОСТАВЛЕНИЯ СУБСИДИЙ ИЗ ФЕДЕРАЛЬНОГО БЮДЖЕТА РОССИЙСКИМ КРЕДИТНЫМ ОРГАНИЗАЦИЯМ И ГОСУДАРСТВЕННОЙ КОРПОРАЦИИ РАЗВИТИЯ "ВЭБ.РФ" НА ВОЗМЕЩЕНИЕ НЕДОПОЛУЧЕННЫХ ДОХОДОВ ПО ВЫДАННЫМ КРЕДИТАМ НА РЕАЛИЗАЦИЮ ИНВЕСТИЦИОННЫХ ПРОЕКТОВ В СФЕРЕ ФИЗИЧЕСКОЙ КУЛЬТУРЫ И СПОРТА И О ПРИЗНАНИИ УТРАТИВШИМ СИЛУ ПОСТАНОВЛЕНИЯ ПРАВИТЕЛЬСТВА РОССИЙСКОЙ ФЕДЕРАЦИИ ОТ 25 ДЕКАБРЯ 2019 Г. N 1836

Правительство Российской Федерации постановляет:

1. Утвердить прилагаемые Правила предоставления субсидий из федерального бюджета российским кредитным организациям и государственной корпорации развития "ВЭБ.РФ" на возмещение недополученных доходов по выданным кредитам на реализацию инвестиционных проектов в сфере физической культуры и спорта.

2. Признать утратившим силу постановление Правительства Российской Федерации от 25 декабря 2019 г. N 1836 "Об утверждении Правил предоставления субсидий из федерального бюджета на государственную поддержку юридических лиц в целях возмещения части затрат на уплату процентов по кредитам и займам, полученным в российских кредитных организациях на реализацию инвестиционных проектов в сфере физической культуры и спорта" (Собрание законодательства Российской Федерации, 2020, N 1, ст. 38).

Председатель Правительства
Российской Федерации
М. МИШУСТИН

УТВЕРЖДЕНЫ
постановлением Правительства
Российской Федерации
от 26 февраля 2022 г. N 252

ПРАВИЛА ПРЕДОСТАВЛЕНИЯ СУБСИДИЙ ИЗ ФЕДЕРАЛЬНОГО БЮДЖЕТА РОССИЙСКИМ КРЕДИТНЫМ ОРГАНИЗАЦИЯМ И ГОСУДАРСТВЕННОЙ КОРПОРАЦИИ РАЗВИТИЯ ''ВЭБ.РФ" НА ВОЗМЕЩЕНИЕ НЕДОПОЛУЧЕННЫХ ДОХОДОВ ПО ВЫДАННЫМ КРЕДИТАМ НА РЕАЛИЗАЦИЮ ИНВЕСТИЦИОННЫХ ПРОЕКТОВ В СФЕРЕ ФИЗИЧЕСКОЙ КУЛЬТУРЫ И СПОРТА

1. Настоящие Правила устанавливают цели, условия и порядок предоставления из федерального бюджета субсидий российским кредитным организациям и государственной корпорации развития "ВЭБ.РФ" (далее - организации) на возмещение недополученных доходов по выданным кредитам на реализацию инвестиционных проектов в сфере физической культуры и спорта в рамках федерального проекта "Бизнес- спринт (Я выбираю спорт)" государственной программы Российской Федерации "Развитие физической культуры и спорта" (далее - субсидии).

2. Субсидии предоставляются на реализацию инвестиционных проектов в сфере физической культуры и спорта с привлечением внебюджетных средств на развитие спортивной инфраструктуры организациям путем возмещения недополученных ими доходов в связи с предоставлением кредитов юридическим лицам и индивидуальным предпринимателям по льготной процентной ставке (далее - кредиты).

3. В настоящих Правилах используются следующие понятия:

"заемщик" - российское юридическое лицо или индивидуальный предприниматель (получатель кредита), заключившие с организацией кредитный договор на финансирование инвестиционного проекта;

"инвестиционный проект" - ограниченный по сроку и затрачиваемым ресурсам комплекс взаимосвязанных мероприятий и процессов с финансово-экономическим обоснованием, подготовленным в соответствии с требованиями, утверждаемыми Министерством спорта Российской Федерации, и направленный на осуществление одного из следующих видов деятельности:

создание (строительство) объекта спортивной инфраструктуры;

создание (строительство) и последующая эксплуатация объекта спортивной инфраструктуры, в том числе с последующим самостоятельным и (или) с привлечением третьих лиц осуществлением целевого назначения объекта спортивной инфраструктуры;

модернизация и (или) реконструкция объекта спортивной инфраструктуры;

модернизация и (или) реконструкция и последующая эксплуатация объекта спортивной инфраструктуры, в том числе с последующим самостоятельным и (или) с привлечением третьих лиц осуществлением целевого назначения объекта спортивной инфраструктуры;

приобретение в собственность объекта спортивной инфраструктуры, спортивного оборудования и инвентаря с последующим самостоятельным и (или) с привлечением третьих лиц осуществлением целевого назначения объекта спортивной инфраструктуры;

"льготная процентная ставка" - процентная ставка по кредиту, не превышающая 4 процентов годовых;

"объект спортивной инфраструктуры" - объект недвижимого имущества или единый недвижимый комплекс, предназначенный для занятий физической культурой и спортом, проведения физкультурных мероприятий и (или) спортивных мероприятий, в том числе спортивное сооружение, являющееся объектом недвижимого имущества, а также физкультурно-оздоровительное, спортивное и спортивно-техническое сооружения, не являющиеся объектами недвижимого имущества.

4. Субсидии предоставляются организациям в период действия кредитного договора и в пределах лимитов бюджетных обязательств, доведенных до Министерства спорта Российской Федерации как получателя средств федерального бюджета на цели, указанные в пункте 1 настоящих Правил.

5. Отбор организаций для предоставления субсидий осуществляется путем запроса предложений на основании направленных организациями заявок на участие в отборе (далее соответственно - отбор, заявки).

6. В целях принятия решения о предоставлении субсидии Министерство спорта Российской Федерации образует комиссию по предоставлению субсидий российским кредитным организациям и государственной корпорации развития "ВЭБ.РФ" на возмещение недополученных доходов по выданным кредитам на реализацию инвестиционных проектов в сфере физической культуры и спорта (далее - комиссия) и утверждает ее состав.

В состав комиссии включаются представители Министерства спорта Российской Федерации, а также могут быть включены представители иных федеральных органов исполнительной власти и представители общероссийских общественных объединений.

Комиссию возглавляет заместитель Министра спорта Российской Федерации.

Комиссия выполняет следующие функции:

принимает решение о предоставлении организации субсидии либо об отказе в предоставлении субсидии с указанием причин отказа;

утверждает перечень организаций, прошедших отбор;

осуществляет иные функции и принимает иные решения, предусмотренные настоящими Правилами.

Заседания комиссии проводятся по мере необходимости председателем комиссии, а в его отсутствие - заместителем председателя комиссии (далее - председательствующий на заседании). Заседания комиссии считаются правомочными, если на них присутствуют более половины ее членов. Участие по доверенности не допускается.

Заседания комиссии могут быть организованы в заочной форме. Голосование в таком случае может быть проведено путем обмена документами посредством почтовой, телеграфной, телетайпной, телефонной, электронной или иной связи, обеспечивающей аутентичность передаваемых и принимаемых сообщений и их документальное подтверждение.

Решения комиссии принимаются открытым голосованием не менее чем двумя третями голосов присутствующих на заседании членов комиссии. При голосовании каждый член комиссии обладает одним голосом. При равенстве голосов принятым считается решение, за которое проголосовал председательствующий на заседании. В случае несогласия с принятым решением член комиссии вправе в письменной форме изложить свое мнение.

По результатам рассмотрения вопросов на заседаниях комиссии принимаются решения, которые оформляются протоколами. Протоколы заседаний подписываются председательствующим на заседании и секретарем комиссии. Изложенные в письменной форме мнения членов комиссии (при их наличии) подлежат обязательному приобщению к протоколу заседания комиссии.

Секретарь комиссии не позднее чем за 5 рабочих дней до дня заседания комиссии уведомляет членов комиссии о проведении заседания, осуществляет подготовку материалов к заседаниям комиссии, ведет протоколы заседаний комиссии, доводит решения комиссии до сведения заинтересованных лиц и контролирует выполнение решений комиссии, а также подписывает выписки из протоколов заседаний комиссии.

Информационное и организационно-техническое обеспечение деятельности комиссии осуществляет Министерство спорта Российской Федерации.

7. Организация на 1-е число месяца, предшествующего месяцу, в котором осуществляется подача заявок, должна соответствовать следующим требованиям:

а) у организации отсутствует неисполненная обязанность по уплате налогов, сборов, страховых взносов, пеней, штрафов и процентов, подлежащих уплате в соответствии с законодательством Российской Федерации о налогах и сборах;

б) у организации отсутствуют просроченная задолженность по возврату в федеральный бюджет субсидий, бюджетных инвестиций, предоставленных в том числе в соответствии с иными правовыми актами, и иная просроченная (неурегулированная) задолженность по денежным обязательствам перед Российской Федерацией;

в) организация не находится в процессе реорганизации (за исключением реорганизации в форме присоединения к организации другого юридического лица), ликвидации, в отношении организации не введена процедура банкротства, деятельность организации не приостановлена в порядке, предусмотренном законодательством Российской Федерации;

г) в реестре дисквалифицированных лиц отсутствуют сведения о дисквалифицированных руководителе, членах коллегиального исполнительного органа, лице, исполняющем функции единоличного исполнительного органа, или главном бухгалтере организации;

д) организация не является иностранным юридическим лицом, а также российским юридическим лицом, в уставном (складочном) капитале которого доля участия иностранных юридических лиц, местом регистрации которых является государство или территория, включенные в утвержденный Министерством финансов Российской Федерации перечень государств и территорий, предоставляющих льготный налоговый режим налогообложения и (или) не предусматривающих раскрытия и предоставления информации при проведении финансовых операций (офшорные зоны), в совокупности превышает 50 процентов;

е) организация не получает из федерального бюджета средства в соответствии с иными нормативными правовыми актами Российской Федерации на цели, указанные в пункте 1 настоящих Правил.

8. В целях проведения запроса предложений и заключения соглашения о предоставлении субсидии между Министерством спорта Российской Федерации и организацией в соответствии с типовой формой, установленной Министерством финансов Российской Федерации (далее - соглашение), Министерство спорта Российской Федерации размещает на едином портале бюджетной системы Российской Федерации в информационно-телекоммуникационной сети "Интернет" (далее соответственно - единый портал, сеть "Интернет") и на своем официальном сайте в сети "Интернет" объявление о проведении отбора не позднее чем за 5 рабочих дней до начала приема заявок с указанием:

а) сроков проведения отбора, дат начала подачи и окончания приема заявок, которые не могут быть ранее 30-го календарного дня, следующего за днем размещения объявления о проведении отбора;

б) наименования, места нахождения, почтового адреса, адреса электронной почты Министерства спорта Российской Федерации;

в) целей предоставления субсидии в соответствии с пунктом 1 настоящих Правил с указанием наименования государственной программы Российской Федерации, в рамках реализации которой осуществляется предоставление субсидии, а также результата предоставления субсидии в соответствии с пунктом 27 настоящих Правил;

г) доменного имени и (или) указателей страниц официального сайта Министерства спорта Российской Федерации в сети "Интернет";

д) требований к организации в соответствии с пунктом 7 настоящих Правил и перечня документов, предусмотренных пунктом 9 настоящих Правил, представляемых организацией для подтверждения ее соответствия указанным требованиям;

е) порядка подачи заявок организациями и требований, предъявляемых к форме и содержанию таких заявок, которые включают в том числе согласие организации на публикацию (размещение) в сети "Интернет" информации об организации, о подаваемой организацией заявке, а также иной информации об организации, связанной с отбором;

ж) порядка отзыва заявок организациями, порядка возврата заявок организациям, определяющего в том числе основания для возврата заявок организациям, а также порядка внесения изменений в заявки;

з) правил рассмотрения и оценки заявок в соответствии с настоящими Правилами, включающих:

порядок рассмотрения заявок на предмет их соответствия установленным в объявлении о проведении отбора требованиям;

порядок отклонения заявок, а также информацию о причинах их отклонения;

критерии и сроки оценки заявок, правила присвоения по результатам оценки порядковых номеров заявкам;

сроки размещения на едином портале информации о результатах рассмотрения заявок, включающей следующие сведения:

дата, время и место проведения рассмотрения заявок;

дата, время и место оценки заявок;

информация об организациях, заявки которых были рассмотрены;

информация об организациях, заявки которых были отклонены, с указанием причин их отклонения, в том числе положений объявления о проведении отбора, которым не соответствуют такие заявки;

последовательность оценки заявок, присвоенные заявкам значения по каждому из предусмотренных критериев оценки заявок, принятое на основании результатов оценки указанных заявок решение о присвоении таким заявкам порядковых номеров;

наименование организации (организаций), являющейся получателем (получателями) субсидии, с которой заключается соглашение, и размер предоставляемой ей субсидии;

и) порядка предоставления организациям разъяснений положений объявления о проведении отбора, дат начала и окончания срока такого предоставления;

к) срока, в течение которого организация, прошедшая отбор, должна подписать соглашение;

л) условий признания организации, прошедшей отбор, уклонившейся от заключения соглашения;

м) даты размещения результатов отбора на едином портале и на официальном сайте Министерства спорта Российской Федерации в сети "Интернет".

9. Для участия в отборе организации не позднее даты окончания приема заявок, указанной в объявлении о проведении отбора, представляют в Министерство спорта Российской Федерации в соответствии с установленными требованиями заявки с приложением следующих документов:

а) копия лицензии на осуществление банковских операций, выданной Центральным банком Российской Федерации, за исключением случаев, когда в качестве организации выступает государственная корпорация развития "ВЭБ.РФ";

б) справка налогового органа об исполнении организацией обязанности по уплате налогов, сборов, страховых взносов, пеней, штрафов и процентов, подлежащих уплате в соответствии с законодательством Российской Федерации о налогах и сборах, по состоянию на 1-е число месяца, предшествующего месяцу, в котором осуществляется подача заявок;

в) справка, подписанная руководителем и главным бухгалтером или уполномоченным лицом организации, скрепленная печатью (при наличии) организации, подтверждающая, что организация по состоянию на 1-е число месяца, предшествующего месяцу, в котором осуществляется подача заявок, соответствует следующим требованиям:

организация не имеет просроченной задолженности по возврату в федеральный бюджет субсидий, бюджетных инвестиций, предоставленных в том числе в соответствии с иными правовыми актами, и иной просроченной (неурегулированной) задолженности по денежным обязательствам перед Российской Федерацией;

организация не является иностранным юридическим лицом, а также российским юридическим лицом, в уставном (складочном) капитале которого доля участия иностранных юридических лиц, местом регистрации которых является государство или территория, включенные в утвержденный Министерством финансов Российской Федерации перечень государств и территорий, предоставляющих льготный налоговый режим налогообложения и (или) не предусматривающих раскрытия и предоставления информации при проведении финансовых операций (офшорные зоны), в совокупности превышает 50 процентов;

организация не находится в процессе реорганизации (за исключением реорганизации в форме присоединения к организации другого юридического лица), ликвидации, в отношении организации не введена процедура банкротства, деятельность организации не приостановлена в порядке, предусмотренном законодательством Российской Федерации;

организация не получает из федерального бюджета средства в соответствии с иными нормативными правовыми актами Российской Федерации на цели, указанные в пункте 1 настоящих Правил;

в реестре дисквалифицированных лиц отсутствуют сведения о дисквалифицированных руководителе, членах коллегиального исполнительного органа, лице, исполняющем функции единоличного исполнительного органа, или главном бухгалтере организации;

г) финансово-экономическое обоснование инвестиционного проекта, соответствующее требованиям, утверждаемым Министерством спорта Российской Федерации;

д) плановые объемы предоставления кредитов на очередной календарный год с разделением на суммы по каждому кредиту и планируемая потребность в субсидии по месяцам.

10. Министерство спорта Российской Федерации в течение 10 рабочих дней со дня получения заявки с прилагаемыми к ней документами:

а) регистрирует заявку и присваивает ей порядковый номер;

б) проводит проверку:

полноты сведений, содержащихся в заявке, и комплектность документов, прилагаемых к ней;

соответствия организации требованиям, установленным настоящими Правилами.

11. Срок проведения проверки представленных документов, предусмотренный пунктом 10 настоящих Правил, может быть продлен не более чем на 10 рабочих дней в случае направления Министерством спорта Российской Федерации организации запроса о представлении необходимых для осуществления такой проверки сведений, в том числе документов, указанных в пункте 9 настоящих Правил.

12. По результатам проверки, проводимой в соответствии с пунктом 10 настоящих Правил, комиссия принимает решение о допуске заявок к участию в отборе или решение об отклонении заявок.

В случае принятия решения об отклонении заявок Министерство спорта Российской Федерации в течение 10 рабочих дней со дня принятия такого решения направляет организации уведомление об отклонении заявки с указанием причин такого отклонения.

13. По результатам рассмотрения заявок, допущенных к отбору, комиссия принимает решение о предоставлении субсидии организации или решение об отказе в предоставлении субсидии.

Результат отбора доводится до организаций не позднее 10-го рабочего дня, следующего за днем определения организаций, прошедших отбор.

14. Основаниями для отклонения заявки являются:

а) несоответствие организации требованиям, установленным пунктом 7 настоящих Правил;

б) несоответствие кредитного договора требованиям, установленным пунктом 21 настоящих Правил;

в) несоответствие представленной организацией заявки, а также прилагаемых к ней документов требованиям к заявкам, установленным в объявлении о проведении отбора, а также непредставление (представление не в полном объеме) указанных документов;

г) недостоверность представленной организацией информации, в том числе информации о месте нахождения и адресе организации;

д) подача организацией заявки после даты и (или) времени, определенных для подачи заявок.

15. Основаниями для отказа в предоставлении субсидии являются:

а) несоответствие представленных организацией, прошедшей отбор, документов требованиям, определенным в соответствии с пунктом 8 настоящих Правил, а также непредставление (представление не в полном объеме) указанных документов;

б) установление факта недостоверности представленной организацией, прошедшей отбор, информации.

16. В случае принятия решения об отказе в предоставлении субсидии организации, прошедшей отбор, в соответствии с основаниями, указанными в пункте 15 настоящих Правил, Министерство спорта Российской Федерации в течение 10 рабочих дней со дня принятия решения об отказе в предоставлении субсидии направляет организации, прошедшей отбор, уведомление об отказе в предоставлении субсидии с указанием причин такого отказа.

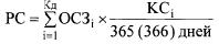
17. Ежеквартальное перечисление субсидии организации (PC) рассчитывается по формуле:

,

где:

- количество дней пользования кредитом по кредитному договору в расчетном периоде;

- остаток ссудной задолженности по кредиту по состоянию на конец i-го календарного дня расчетного периода;

- ключевая ставка Центрального банка Российской Федерации, действующая на i-й календарный день расчетного периода.

18. При наличии неиспользованных лимитов бюджетных обязательств, образовавшихся в текущем финансовом году по итогам проведения отбора, Министерство спорта Российской Федерации вправе в текущем финансовом году провести дополнительный отбор в порядке, предусмотренном настоящими Правилами, с учетом требований, установленных бюджетным законодательством Российской Федерации.

19. Субсидия предоставляется организации, прошедшей отбор, на основании соглашения. Соглашение, дополнительное соглашение к соглашению, в том числе дополнительное соглашение о расторжении соглашения, заключаются в государственной интегрированной информационной системе управления общественными финансами "Электронный бюджет". В соглашении, дополнительных соглашениях к соглашению в том числе предусматриваются:

а) согласие организации, прошедшей отбор, на осуществление Министерством спорта Российской Федерации и органами государственного финансового контроля проверок соблюдения организацией целей, условий и порядка предоставления субсидии в соответствии с настоящими Правилами и соглашением;

б) значение результата предоставления субсидии, предусмотренного пунктом 27 настоящих Правил;

в) план мероприятий по достижению результата предоставления субсидии;

г) запрет на приобретение организацией, прошедшей отбор, за счет субсидии иностранной валюты, за исключением операций, осуществляемых в соответствии с валютным законодательством Российской Федерации при закупке заемщиком по кредитному договору, указанному в заявке, высокотехнологичного импортного оборудования, сырья и комплектующих изделий, а также связанных с достижением целей предоставления этих средств иных операций, определенных настоящими Правилами.

20. В соглашение включается условие о согласовании новых условий соглашения или о расторжении соглашения при недостижении согласия по новым условиям в случае уменьшения Министерству спорта Российской Федерации ранее доведенных лимитов бюджетных обязательств, указанных в пункте 4 настоящих Правил, приводящего к невозможности предоставления субсидии в размере, определенном в соглашении.

Сведения о субсидиях размещаются на едином портале (в разделе единого портала) при формировании проекта федерального закона о федеральном бюджете (проекта федерального закона о внесении изменений в федеральный закон о федеральном бюджете).

21. Условием для получения субсидии является соответствие заключенного кредитного договора следующим требованиям:

а) валютой кредита является российский рубль;

б) кредит предоставлен после 1 января 2022 г.;

в) срок действия кредитного договора составляет не более 5 лет;

г) условиями кредитного договора должен предусматриваться запрет:

на размещение заемщиком денежных средств, предоставленных в соответствии с кредитным договором, на депозитах, а также в иных финансовых инструментах;

на приобретение заемщиком за счет субсидии иностранной валюты, за исключением операций, осуществляемых в соответствии с валютным законодательством Российской Федерации при закупке высокотехнологичного импортного оборудования, сырья и комплектующих изделий, а также связанных с достижением целей предоставления этих средств иных операций, определенных настоящими Правилами;

на увеличение организацией, прошедшей отбор, процентной ставки и объемов платежей заемщика по кредитному договору, за исключением случаев, указанных в пункте 24 настоящих Правил;

д) в кредитном договоре содержатся обязательства заемщика использовать предоставленные по такому договору денежные средства исключительно в целях реализации инвестиционного проекта в течение всего срока действия кредитного договора, а также использовать объект спортивной инфраструктуры по целевому назначению в соответствии с законодательством Российской Федерации в течение действия кредитного договора, в том числе с возможностью привлечения третьих лиц.

22. На период предоставления субсидии организации, прошедшей отбор, кредитный договор не должен предусматривать взимания с заемщика комиссий и сборов, иных платежей, за исключением платы за пользование лимитом кредитной линии (за резервирование кредитной линии), взимаемой за неиспользованный заемщиком остаток лимита кредитной линии, платы за досрочное погашение кредита, а также штрафных санкций в случае неисполнения заемщиком условий кредитного договора.

Плата за пользование лимитом кредитной линии (за резервирование кредитной линии), взимаемая за неиспользованный заемщиком остаток лимита кредитной линии, плата за досрочное погашение кредита, а также штрафные санкции в случае неисполнения заемщиком условий кредитного договора не включаются в расчетный размер субсидии в отчетном периоде, и возмещение по ним не производится.

23. Организация, прошедшая отбор, осуществляет проверку целевого использования кредита на основании документов, представленных заемщиком согласно соответствующему кредитному договору, в соответствии с законодательством Российской Федерации.

24. Кредитным договором может быть предусмотрено право организации, прошедшей отбор, изменить процентную ставку с льготной процентной ставки на процентную ставку по кредиту, рассчитанную без учета предоставления субсидии (далее - рыночная процентная ставка), в соответствии со своими нормативными документами в случае:

нарушения заемщиком целей использования кредита;

невыполнения заемщиком обязательств по погашению основного долга и уплате начисленных процентов в соответствии с графиком платежей по кредитному договору в течение 2 рабочих дней со дня неисполнения заемщиком своих обязательств до дня исполнения заемщиком своих просроченных обязательств по погашению основного долга, уплате начисленных процентов по кредитному договору;

недостатка лимитов бюджетных обязательств, указанных в пункте 4 настоящих Правил.

В случае изменения организацией, прошедшей отбор, процентной ставки с льготной процентной ставки на рыночную процентную ставку организация, прошедшая отбор, в течение 7 календарных дней информирует Министерство спорта Российской Федерации об изменении процентной ставки выдаваемого льготного кредита и основаниях ее изменения. Предоставление организации, прошедшей отбор, субсидии по такому кредитному договору прекращается с даты внесения соответствующих изменений в кредитный договор.

Организация, прошедшая отбор, изменяет процентную ставку с рыночной процентной ставки на льготную процентную ставку после устранения обстоятельств, установленных абзацами вторым, третьим и четвертым настоящего пункта. При этом субсидия за периоды действия рыночной процентной ставки не предоставляется.

25. Заявка на перечисление субсидии составляется по форме согласно приложению и содержит информацию о наличии всех кредитных договоров, соответствующих требованиям, установленным пунктом 21 настоящих Правил.

Организация, прошедшая отбор, в целях предоставления субсидии ежеквартально, до 15-го числа месяца, следующего за отчетным кварталом, направляет в Министерство спорта Российской Федерации указанную заявку в 2 экземплярах.

26. Перечисление субсидии осуществляется на корреспондентские счета организаций, открытые в учреждениях Центрального банка Российской Федерации или кредитных организациях, в срок, не превышающий 10 рабочих дней со дня, следующего за днем принятия решения о перечислении субсидии по результатам рассмотрения заявки на перечисление субсидии.

27. Результатом предоставления субсидии является объем дополнительных привлеченных внебюджетных инвестиций на развитие спортивной инфраструктуры в размере не менее 10 рублей внебюджетных средств на реализацию инвестиционных проектов на каждый использованный рубль субсидии.

Организация, прошедшая отбор, представляет в Министерство спорта Российской Федерации отчет о достижении значений результата предоставления субсидии по форме, определенной типовой формой соглашения, установленной Министерством финансов Российской Федерации.

Указанный отчет представляется ежеквартально, не позднее 15-го числа месяца, следующего за отчетным кварталом.

Ответственность за достижение результата предоставления субсидии возлагается на Министерство спорта Российской Федерации.

28. Министерство спорта Российской Федерации и органы государственного финансового контроля осуществляют проверки соблюдения целей, условий и порядка предоставления субсидии.

Министерство спорта Российской Федерации осуществляет мониторинг достижения результата предоставления субсидии исходя из достижения значения результата предоставления субсидии, определенного соглашением, и событий, отражающих факт завершения соответствующего мероприятия по получению результата предоставления субсидии (контрольная точка), на основании отчета о реализации плана мероприятий по достижению результата предоставления субсидии в порядке и по формам, которые установлены Министерством финансов Российской Федерации.

29. Организация, прошедшая отбор, несет ответственность за достоверность сведений, представляемых в Министерство спорта Российской Федерации.

30. В случае нарушения организацией, прошедшей отбор, условий, установленных при предоставлении субсидии, выявленного в том числе по фактам проверок, проведенных Министерством спорта Российской Федерации и органом государственного финансового контроля, а также в случае недостижения значения результата предоставления субсидии соответствующие средства подлежат возврату в доход федерального бюджета:

а) на основании требования Министерства спорта Российской Федерации - в течение 20 календарных дней со дня получения указанного требования;

б) на основании представления и (или) предписания органа государственного финансового контроля - в сроки, установленные в соответствии с бюджетным законодательством Российской Федерации.

31. В случае выявления организацией, прошедшей отбор, нецелевого использования заемщиком кредита по льготной процентной ставке, а также несоблюдения заемщиком обязательств по кредитному договору, указанных в абзацах втором и третьем подпункта "г" и подпункте "д" пункта 21 настоящих Правил, организация, прошедшая отбор, в течение 5 рабочих дней информирует Министерство спорта Российской Федерации о факте нарушения с указанием размера средств льготных кредитов, используемых не по целевому назначению, и периода их нецелевого использования.

32. В случае выявления организацией, прошедшей отбор, нецелевого использования заемщиком кредита по льготной процентной ставке (части кредита) организация, прошедшая отбор, осуществляет возврат средств в доход федерального бюджета в размере, соответствующем размеру субсидии по такому льготному кредиту.

Приложение
к Правилам предоставления
субсидий из федерального бюджета российским
кредитным организациям и государственной
корпорации развития "ВЭБ.РФ" на возмещение
недополученных доходов по выданным кредитам
на реализацию инвестиционных проектов
в сфере физической культуры и спорта

(форма)

Заполняется: кредитной организацией, государственной корпорацией развития "ВЭБ.РФ"

Представляется: в Министерство спорта Российской Федерации

Периодичность: ежеквартально

ЗАЯВКА НА ПЕРЕЧИСЛЕНИЕ СУБСИДИИ

   
  (отчетный квартал)  
Номер кредитного договора Размер ключевой ставки Центрального банка Российской Федерации на дату начисления процентов, процентов Информация об исполнении заемщиком обязательств по кредитному договору и уплате процентов за пользование денежными средствами льготных кредитов на отчетную дату, рублей Расчетный размер субсидии в отчетном периоде, рублей Размер субсидии, предусмотренной к возврату, рублей
начислено к погашению процентов фактически погашено процентов остаток задолженности по льготному кредиту в том числе просроченная задолженность
1 2 3 4 5 6 7 8
Итого:
Руководитель организации      
  (подпись)   (расшифровка подписи)
Главный бухгалтер организации      
  (подпись)   (расшифровка подписи)
М.П. (при наличии)      
"___" _______________________ 20__ г.