Приказ Минэкономразвития РФ от 18.03.2022 N 136

"О реализации мер поддержки системообразующих организаций, предусмотренных постановлением Правительства Российской Федерации от 10 мая 2020 г. N 651"
Редакция от 18.03.2022 — Не действует Перейти в действующую
Показать изменения

Зарегистрировано в Минюсте России 23 марта 2022 г. N 67875


МИНИСТЕРСТВО ЭКОНОМИЧЕСКОГО РАЗВИТИЯ РОССИЙСКОЙ ФЕДЕРАЦИИ

ПРИКАЗ
от 18 марта 2022 г. N 136

О РЕАЛИЗАЦИИ МЕР ПОДДЕРЖКИ СИСТЕМООБРАЗУЮЩИХ ОРГАНИЗАЦИЙ, ПРЕДУСМОТРЕННЫХ ПОСТАНОВЛЕНИЕМ ПРАВИТЕЛЬСТВА РОССИЙСКОЙ ФЕДЕРАЦИИ ОТ 10 МАЯ 2020 Г. N 651

В соответствии с пунктом 2 постановления Правительства Российской Федерации от 10 мая 2020 г. N 651 "О мерах поддержки системообразующих организаций" (Собрание законодательства Российской Федерации, 2020, N 20, ст. 3175) приказываю:

1. Утвердить:

Порядок рассмотрения заявлений системообразующих организаций российской экономики, претендующих на предоставление в 2022 году мер государственной поддержки, о предоставлении мер государственной поддержки согласно приложению N 1 к настоящему приказу;

Порядок проведения анализа финансово-хозяйственной деятельности системообразующей организации российской экономики, претендующей на предоставление в 2022 году мер государственной поддержки (включая анализ финансово-хозяйственной деятельности группы лиц, в которую входит системообразующая организация, при наличии такой группы лиц), необходимого для определения объемов и сроков предоставления мер государственной поддержки, согласно приложению N 2 к настоящему приказу;

Порядок ведения в 2022 году реестра системообразующих организаций, в отношении которых принято решение о согласовании предоставления мер государственной поддержки, и мониторинга соблюдения условий их предоставления согласно приложению N 3 к настоящему приказу.

2. Настоящий приказ вступает в силу со дня, следующего за днем его официального опубликования.

Министр
М.Г. РЕШЕТНИКОВ

Приложение N 1
к приказу Минэкономразвития России
от 18.03.2022 N 136

ПОРЯДОК РАССМОТРЕНИЯ ЗАЯВЛЕНИЙ СИСТЕМООБРАЗУЮЩИХ ОРГАНИЗАЦИЙ РОССИЙСКОЙ ЭКОНОМИКИ, ПРЕТЕНДУЮЩИХ НА ПРЕДОСТАВЛЕНИЕ В 2022 ГОДУ МЕР ГОСУДАРСТВЕННОЙ ПОДДЕРЖКИ, О ПРЕДОСТАВЛЕНИИ МЕР ГОСУДАРСТВЕННОЙ ПОДДЕРЖКИ

1. Настоящий Порядок устанавливает правила рассмотрения заявлений организаций, включенных в отраслевые перечни системообразующих организаций российской экономики, о предоставлении мер государственной поддержки (далее соответственно - системообразующие организации, меры государственной поддержки, заявление), направляемых системообразующими организациями для целей получения в 2022 году мер государственной поддержки в порядке, установленном постановлением Правительства Российской Федерации от 10 мая 2020 г. N 651 "О мерах поддержки системообразующих организаций" (Собрание законодательства Российской Федерации, 2020, N 20, ст. 3175; Официальный интернет-портал правовой информации (www.pravo.gov.ru), 2022, 15 марта, N 0001202203150005; далее - постановление N 651).

2. Требования к порядку направления системообразующими организациями заявления и к его содержанию, а также к составу и содержанию прилагаемых к заявлению документов установлены пунктами 4 и 5 Правил отбора организаций, включенных в отраслевые перечни системообразующих организаций российской экономики, претендующих на предоставление в 2022 году мер государственной поддержки, утвержденных постановлением N 651 (далее - Правила отбора).

3. Федеральный орган исполнительной власти, к вопросам деятельности которого отнесены функции по выработке государственной политики в отрасли (отраслях) экономики, в которой (которых) организация, направившая заявление, является системообразующей (далее - отраслевой орган), рассматривает заявление в порядке, установленном пунктами 6 и 7 Правил отбора. При этом отраслевой орган проверяет:

а) направление заявления в надлежащий отраслевой орган;

б) наличие организации, направившей заявление, в отраслевом перечне (отраслевых перечнях) системообразующих организаций российской экономики, одобренных решением подкомиссии по повышению устойчивости финансового сектора и отдельных отраслей экономики Правительственной комиссии по повышению устойчивости российской экономики (далее - Подкомиссия), а также ее соответствие совокупности критериев, предусмотренных пунктом 3 Правил отбора, на основании информации в составе заявления, предусмотренной абзацем третьим подпункта "д" пункта 4 Правил отбора, информации, содержащейся в прилагаемых к заявлению документах, предусмотренных подпунктами "а" и "г" пункта 5 Правил отбора, а также информации, сведений и (или) документов, имеющихся в распоряжении отраслевого органа и (или) полученных им при осуществлении функций по выработке государственной политики в отрасли (отраслях) экономики, в которой (которых) организация, направившая заявление, является системообразующей, содержащихся в государственных информационных ресурсах;

в) наличие в заявлении всей необходимой информации, предусмотренной пунктом 4 Правил отбора, и соответствие информации в заявлении информации, содержащейся в прилагаемых к заявлению документах, предусмотренных подпунктами "а", "б" и "д" пункта 5 Правил отбора;

г) наличие либо отсутствие в составе комплекта документов, прилагаемых к заявлению, всех документов, предусмотренных пунктом 5 Правил отбора, а также факт наличия либо отсутствия в составе указанных документов всей информации и материалов, которые должны в них содержаться в соответствии с пунктом 5 Правил отбора, порядком проведения анализа финансово-хозяйственной деятельности системообразующей организации (включая анализ финансово-хозяйственной деятельности группы лиц, в которую входит системообразующая организация, при наличии такой группы лиц), необходимого для определения объемов и сроков предоставления мер государственной поддержки, утвержденным Минэкономразвития России в соответствии с абзацем четвертым пункта 2 постановления N 651 (далее соответственно - порядок анализа деятельности, анализ деятельности).

При принятии решений по результатам рассмотрения заявления, предусмотренных абзацами вторым - четвертым пункта 6 Правил отбора, отраслевой орган не вправе выходить за пределы его рассмотрения, предусмотренные настоящим пунктом, в том числе оценивать по существу содержание результатов анализа деятельности, проведенного в соответствии с порядком анализа деятельности, и содержащих расчеты и обоснования объемов и сроков предоставления мер государственной поддержки, и (или) программы мероприятий по снижению (оптимизации) расходов системообразующей организации (далее соответственно - результаты анализа деятельности, программа мероприятий), прилагаемых к заявлению в соответствии с подпунктами "а" и "б" пункта 5 Правил отбора.

4. В случае если по результатам проверки, предусмотренной подпунктом "а" пункта 3 настоящего Порядка, установлено, что заявление направлено не в надлежащий отраслевой орган, отраслевой орган, рассматривающий заявление, принимает решение, предусмотренное абзацем вторым пункта 6 Правил отбора, при этом рассмотрение заявления в соответствии с иными подпунктами указанного пункта отраслевым органом, принявшим такое решение, не осуществляется.

5. В случае если по результатам проверок, предусмотренных подпунктами "б" - "г" пункта 3 настоящего Порядка, установлено отсутствие организации в отраслевом перечне (отраслевых перечнях) системообразующих организаций российской экономики, одобренных решением Подкомиссии, либо ее несоответствие совокупности критериев, предусмотренных пунктом 3 Правил отбора, либо отсутствие в заявлении и (или) в составе прилагаемых к нему документов необходимых документов, информации и (или) материалов, несоответствие информации в заявлении информации, содержащейся в прилагаемых к заявлению документах, отраслевой орган принимает решение, предусмотренное абзацем третьим пункта 6 Правил отбора.

При этом в случае выявления по результатам проверки, предусмотренной подпунктом "б" пункта 3 настоящего Порядка, несоответствия системообразующей организации критерию, предусмотренному подпунктом "а" пункта 3 Правил отбора, отраслевой орган не учитывает такое несоответствие при условии наличия решения Подкомиссии о допуске такой системообразующей организации к отбору для предоставления мер государственной поддержки в соответствии с Правилами отбора на дату направления заявления системообразующей организации.

При проведении проверки, предусмотренной подпунктом "б" пункта 3 настоящего Порядка, системообразующая организация признается отраслевым органом, соответствующим критерию, предусмотренному подпунктом "в" пункта 3 Правил отбора, в случае отсутствия недоимок и задолженностей, предусмотренных указанным подпунктом, либо наличия на дату направления заявления недоимок и (или) задолженностей (кроме просроченных задолженностей по возврату в федеральный бюджет субсидий (бюджетных инвестиций), в совокупности не превышающих 10 000 рублей.

Системообразующая организация вправе по своему усмотрению приложить к заявлению результаты оценки ее финансовой устойчивости (стресс-теста), проведенной ею в 2022 году в произвольном порядке (в том числе с учетом отдельных положений, установленных порядком проведения оценки финансовой устойчивости (стресс-теста) системообразующих организаций, утвержденным Минэкономразвития России в соответствии с абзацем вторым пункта 2 постановления N 651), и сведения о согласии с ними. В случае если к заявлению такие результаты оценки финансовой устойчивости (стресс-теста) и сведения не приложены, отраслевой орган не вправе принимать решение о возврате заявления системообразующей организации в связи с их отсутствием.

6. Для целей отнесения системообразующей организации к высокой группе риска и подтверждения обоснованности объемов и сроков предоставления мер государственной поддержки, определенных по результатам анализа деятельности, отраслевой орган в течение рабочего дня, в котором получено заявление, направляет в Подкомиссию запрос об отнесении системообразующей организации к высокой группе риска и допуске указанной системообразующей организации к отбору в соответствии с Правилами отбора. Течение срока рассмотрения заявления отраслевым органом, установленного абзацем пятым пункта 6 Правил отбора, приостанавливается с момента направления указанного запроса в Подкомиссию и возобновляется с момента получения ее решения. В случае если решения, предусмотренные абзацем вторым настоящего пункта, приняты Подкомиссией до даты получения заявления, запрос об отнесении системообразующей организации к высокой группе риска и допуске указанной системообразующей организации к отбору в соответствии с Правилами отбора не направляется.

В случае принятия Подкомиссией решения об отнесении системообразующей организации к высокой группе риска и ее допуске к отбору в соответствии с Правилами отбора и при отсутствии оснований для принятия иных решений по результатам рассмотрения заявления отраслевой орган принимает решение об инициировании рассмотрения заявления.

В случае отказа Подкомиссии в отнесении системообразующей организации к высокой группе риска и ее допуске к отбору в соответствии с Правилами отбора отраслевой орган принимает решение о возврате заявления системообразующей организации в связи с несоответствием прилагаемых к заявлению материалов требованиям, предусмотренным подпунктом "а" пункта 5 Правил отбора.

7. В случае возврата заявления и его повторной подачи системообразующей организацией отраслевой орган рассматривает его в соответствии с пунктами 2 - 6 и 8 настоящего Порядка.

При этом, если системообразующая организация подала заявление повторно без устранения оснований для его возврата, отраслевой орган рассматривает приложенные к заявлению системообразующей организации сведения о несогласии с выводами отраслевого органа и обоснования такого несогласия. По результатам их рассмотрения отраслевой орган принимает решение, предусмотренное пунктом 8 настоящего Порядка, либо принимает решение о возврате заявления и согласовывает его с Минэкономразвития России в порядке, предусмотренном абзацем пятым пункта 7 Правил отбора.

8. В случае отсутствия оснований для принятия решений о направлении заявления в надлежащий отраслевой орган или о возврате заявления, в том числе при его повторной подаче системообразующей организацией, отраслевой орган принимает решение об инициировании рассмотрения заявления, предусмотренное абзацем четвертым пункта 6 Правил отбора.

9. Сведения о результатах рассмотрения заявления направляются отраслевым органом в день принятия им одного из решений, предусмотренных абзацами вторым - четвертым пункта 6 Правил отбора, лицу, представляющему интересы системообразующей организации, осуществляющему сопровождение заявления (далее - представитель системообразующей организации), с использованием способа связи, указанного в заявлении, в соответствии с подпунктом "е" пункта 4 Правил отбора.

10. В случае принятия решения, предусмотренного пунктом 8 настоящего Порядка, отраслевой орган готовит материалы, необходимые для рассмотрения заявления штабом Межведомственной комиссии по мониторингу финансово-экономического состояния организаций, входящих в перечень системообразующих организаций, созданной при Министерстве экономического развития Российской Федерации (далее соответственно - позиция отраслевого органа, штаб Межведомственной комиссии, Межведомственная комиссия). Позиция отраслевого органа должна содержать:

а) выводы отраслевого органа о соответствии либо несоответствии программы мероприятий приоритетам, целям и задачам государственного управления в отрасли (отраслях) экономики, в которой (которых) организация, подавшая заявление, является системообразующей;

б) мотивированное мнение отраслевого органа о наличии либо отсутствии в программе мероприятий обоснований достижения эффекта, предполагаемого в результате ее реализации. При этом указанное мотивированное мнение должно содержать оценку эффективности и реализуемости программы адаптации системообразующей организации к условиям ухудшения ситуации в связи с совершением иностранными государствами недружественных действий и введением экономических санкций, входящей в состав мероприятий, обеспечивающих сохранение устойчивости функционирования системообразующей организации, предусмотренных абзацем шестым подпункта "б" пункта 5 Правил отбора;

в) мотивированное мнение отраслевого органа о достоверности и обоснованности либо о недостоверности и (или) необоснованности результатов анализа деятельности, включая в том числе оценку проведенных системообразующей организацией расчетов влияния в 2022 году экономических санкций в отношении Российской Федерации на показатели анализа деятельности и объемы дефицита денежных средств в 2022 году в составе результатов анализа деятельности.

11. Выводы отраслевого органа о соответствии либо несоответствии программы мероприятий приоритетам, целям и задачам государственного управления в отрасли (отраслях) экономики, в которой (которых) организация, подавшая заявление, является системообразующей, предусмотренные подпунктом "а" пункта 10 настоящего Порядка, обосновываются положениями документов стратегического планирования Российской Федерации, разрабатываемых в рамках целеполагания, в том числе по отраслевому и территориальному принципу, предусмотренных пунктами 1 и 2 части 3 статьи 11 Федерального закона от 28 июня 2014 г. N 172-ФЗ "О стратегическом планировании в Российской Федерации" (Собрание законодательства Российской Федерации, 2014, N 26, ст. 3378; 2016, N 27, ст. 4210).

В случае если системообразующая организация относится к федеральным государственным унитарным предприятиям или хозяйственным обществам, более пятидесяти процентов акций (долей) в уставном (складочном) капитале которых находится в собственности Российской Федерации, указанные выводы отраслевого органа обосновываются также решениями, принятыми Правительством Российской Федерации, федеральными органами исполнительной власти или подведомственными им организациями при реализации функций по управлению федеральным имуществом в порядке, установленном законодательством Российской Федерации.

12. Мотивированное мнение отраслевого органа о наличии либо отсутствии в программе мероприятий обоснований достижения эффекта, предполагаемого в результате ее реализации, предусмотренное подпунктом "б" пункта 10 настоящего Порядка, должно быть обосновано информацией о составе мероприятий и подходах к их реализации, предусмотренной программой мероприятий, а также информацией, сведениями и (или) документами, имеющимися в распоряжении отраслевого органа и (или) полученными им при осуществлении функций по выработке государственной политики в отрасли (отраслях) экономики, в которой (которых) организация, направившая заявление, является системообразующей.

13. Мотивированное мнение отраслевого органа о достоверности и обоснованности либо недостоверности и (или) необоснованности результатов анализа деятельности, предусмотренное подпунктом "в" пункта 10 настоящего Порядка, должно быть основано на сопоставлении содержания и (или) состава расчетов объемов предоставления мер государственной поддержки, значений показателей анализа деятельности, указанных в таблице таких значений, входящей в соответствии с порядком анализа деятельности в состав обоснований объемов и сроков предоставления мер государственной поддержки, иных материалов и расчетов в составе таких обоснований, и формируется с учетом требований к таким расчетам и обоснованиям, установленных порядком анализа деятельности и соглашением между Минэкономразвития России и организацией, определенной решением Подкомиссии, уполномоченной на проведение предварительной оценки достоверности и обоснованности заявления и позиции отраслевого органа (далее - уполномоченная организация).

14. После принятия решения об инициировании рассмотрения заявления, предусмотренного абзацем четвертым пункта 6 Правил отбора, заявление и позиция отраслевого органа направляются им в порядке, предусмотренном пунктом 8 Правил отбора, в уполномоченную организацию, а также в Минэкономразвития России и Минфин России.

15. Штаб Межведомственной комиссии организует рассмотрение на заседании в порядке, предусмотренном пунктами 9 и 10 Правил отбора, заключения уполномоченной организации по результатам предварительной оценки достоверности и обоснованности, предусмотренного абзацем вторым пункта 9 Правил отбора (далее соответственно - заключение уполномоченной организации, уполномоченная организация), информации, содержащейся в заявлении и прилагаемых к нему документах, и позиции отраслевого органа.

Представитель системообразующей организации приглашается для участия в заседании штаба Межведомственной комиссии путем направления ему информации о проведении указанного заседания с использованием способа связи, указанного в заявлении в соответствии с подпунктом "е" пункта 4 Правил отбора. Системообразующая организация вправе направить для участия в заседании штаба Межведомственной комиссии иное лицо, представляющее интересы системообразующей организации и уполномоченное на принятие решений, предусмотренных абзацем вторым пункта 17 и абзацем вторым пункта 19 настоящего Порядка (далее - иное уполномоченное лицо). При этом системообразующая организация представляет в Минэкономразвития России документы, подтверждающие полномочия указанного лица.

16. По итогам заседания штаб Межведомственной комиссии принимает одно из решений, предусмотренных абзацами вторым - четвертым пункта 10 Правил отбора.

17. Решение об одобрении заявления с учетом заключения уполномоченной организации, предусмотренное абзацем вторым пункта 10 Правил отбора, принимается штабом Межведомственной комиссии, в случае если в указанном заключении содержатся выводы уполномоченной организации о достоверности и обоснованности заявления и позиции отраслевого органа (в части сведений, предусмотренных подпунктами "б" и "в" пункта 10 настоящего Порядка).

Решение об одобрении заявления с учетом заключения уполномоченной организации принимается также в случае, если в указанном заключении содержатся выводы уполномоченной организации о недостоверности и (или) необоснованности отдельной информации в составе заявления, в том числе в прилагаемых к нему документах, и (или) позиции отраслевого органа (в части сведений, предусмотренных подпунктами "б" и (или) "в" пункта 10 настоящего Порядка), но расчеты объемов предоставления мер государственной поддержки, проведенные уполномоченной организацией с соблюдением порядка, установленного порядком анализа деятельности, с учетом определенной уполномоченной организацией достоверной и обоснованной информации в составе расчетов и обоснований объемов и сроков предоставления мер государственной поддержки, свидетельствуют о необходимости их предоставления. В указанном случае в заключении уполномоченной организации определяются достоверные и обоснованные формы, сроки и (или) объемы предоставления мер государственной поддержки, которые подлежат согласованию в ходе заседания штаба Межведомственной комиссии представителем системообразующей организации или иным уполномоченным лицом. При этом представитель системообразующей организации или иное уполномоченное лицо вправе в ходе заседания штаба Межведомственной комиссии отказаться от принятия такого решения или определить иные формы, сроки и (или) объемы предоставления мер государственной поддержки, которые являются достоверными и обоснованными с учетом заключения уполномоченной организации и порядком анализа деятельности и определение которых допускается в составе решения штаба Межведомственной комиссии в соответствии с абзацем девятым пункта 18 настоящего Порядка.

18. Решение об одобрении заявления с учетом заключения уполномоченной организации содержит в обязательном порядке информацию об одобренных условиях предоставления мер государственной поддержки, включая:

а) формы предоставления мер государственной поддержки, из состава форм, предусмотренных пунктом 2 Правил отбора;

б) сроки предоставления мер государственной поддержки с распределением по формам их предоставления, определенные в соответствии с результатами анализа деятельности;

в) объемы предоставления мер государственной поддержки с распределением по формам и срокам их предоставления, определенные в соответствии с порядком анализа деятельности;

г) иные одобренные условия предоставления мер государственной поддержки, включая:

программу мероприятий и обязательства системообразующей организации по ее выполнению, рассмотренные на заседании штаба Межведомственной комиссии;

результаты анализа деятельности в части одобрения направлений расходования средств, получаемых системообразующей организацией при предоставлении мер государственной поддержки, определенных в соответствии с порядком анализа деятельности;

согласие системообразующей организации на направление заявления с прилагаемыми к нему документами, заключения уполномоченной организации, решения штаба Межведомственной комиссии и решения Подкомиссии агенту Правительства Российской Федерации в целях проверки соответствия требованиям, установленным постановлением Правительства Российской Федерации от 10 мая 2017 г. N 549 "О государственных гарантиях Российской Федерации по кредитам или облигационным займам, привлекаемым юридическими лицами на цели, установленные Правительством Российской Федерации в рамках мер, направленных на решение неотложных задач по обеспечению устойчивости экономического развития" (Собрание законодательства Российской Федерации, 2017, N 21, ст. 3002; 2021, N 45, ст. 7538) (далее - постановление N 549), а также копии документов, содержащих письменный мотивированный отказ кредитной организации в реструктуризации кредитной задолженности системообразующей организации, срок погашения которой наступает в 2022 году, содержащиеся в составе результатов анализа деятельности, проведенного системообразующей организацией, - в случае если в составе одобренных форм предоставления мер государственной поддержки содержится форма, предусмотренная подпунктом "в" пункта 2 Правил отбора.

При этом формы, сроки и объемы предоставления мер государственной поддержки определяются в составе указанного решения в соответствии с формами, сроками и объемами, указанными в заявлении системообразующей организации, если они являются достоверными и обоснованными в соответствии с заключением уполномоченной организации и порядком анализа деятельности, либо если они являются в соответствии с заключением уполномоченной организации недостоверными и (или) необоснованными, - в соответствии с формами, сроками и (или) объемами, которые являются достоверными и обоснованными и указаны в таком заключении, либо в ответе системообразующей организации на запрос, предусмотренный в пункте 22 настоящего Порядка, либо в случае представления такой позиции определены в ходе заседания штаба Межведомственной комиссии представителем системообразующей организацией или иным уполномоченным лицом. Не допускается определение в составе указанного решения объемов предоставления меры государственной поддержки, предусмотренной подпунктом "а" пункта 2 Правил отбора, превышающих объемы, указанные в заявлении, а также определение в составе указанного решения такой формы предоставления мер государственной поддержки, если она не была предусмотрена заявлением.

19. Решение об отклонении заявления, предусмотренное абзацем третьим пункта 10 Правил отбора, принимается штабом Межведомственной комиссии в случае, если в заключении уполномоченной организации содержатся выводы о недостоверности и (или) о необоснованности информации, представленной в составе заявления, и расчеты объемов предоставления мер государственной поддержки, проведенные уполномоченной организацией с соблюдением порядка, установленного порядком анализа деятельности, с учетом определенной уполномоченной организацией достоверной и обоснованной информации в составе расчетов и обоснований объемов и сроков предоставления мер государственной поддержки свидетельствуют об отсутствии необходимости предоставления мер государственной поддержки.

Решение об отклонении заявления принимается также в случае, если в ходе заседания штаба Межведомственной комиссии, на котором оно рассматривается, с учетом информации, содержащейся в заключении уполномоченной организации и (или) в соответствии с информацией членов штаба Межведомственной комиссии, будет установлено несоответствие системообразующей организации критериям, предусмотренным пунктом 3 Правил отбора, либо если в ответе системообразующей организации на запрос, предусмотренный пунктом 22 настоящего Порядка, или в ходе заседания штаба Межведомственной комиссии представителем системообразующей организации или иным уполномоченным лицом высказана позиция об отказе от предоставления мер государственной поддержки или об определении форм, сроков и (или) объемов предоставления мер государственной поддержки, являющихся недостоверными и (или) необоснованными с учетом заключения уполномоченной организации и порядка анализа деятельности и (или) определение которых в составе решения штаба Межведомственной комиссии не допускается в соответствии с абзацем девятым пункта 18 настоящего Порядка.

20. Решение о необходимости предоставления системообразующей организацией дополнительных материалов, предусмотренное абзацем четвертым пункта 10 Правил отбора, принимается штабом Межведомственной комиссии в одном из следующих случаев:

а) позиция отраслевого органа содержит выводы о несоответствии программы мероприятий приоритетам, целям и задачам государственного управления в отрасли (отраслях) экономики, в которой (которых) организация, подавшая заявление, является системообразующей;

б) формы, объемы и (или) сроки предоставления мер государственной поддержки, являющиеся достоверными и обоснованными в соответствии с заключением уполномоченной организации, не соответствуют формам, объемам и (или) срокам предоставления мер государственной поддержки, указанным в заявлении системообразующей организации, и на заседании штаба Межведомственной комиссии отсутствовали представитель системообразующей организации или иное уполномоченное лицо либо если указанные лица присутствовали на таком заседании, но отказались от принятия решения об определении от имени системообразующей организации условий предоставления мер государственной поддержки;

в) основание для принятия штабом Межведомственной комиссии решения об отклонении заявления, предусмотренное пунктом 19 настоящего Порядка, отсутствует, но в качестве формы предоставления мер государственной поддержки в составе заявления предусмотрена форма, указанная в подпункте "в" пункта 2 Правил отбора, и системообразующая организация не представила по своей инициативе согласие, предусмотренное абзацем четвертым подпункта "г" пункта 18 настоящего Порядка.

21. В случае, предусмотренном подпунктом "а" пункта 20 настоящего Порядка, Минэкономразвития России запрашивает доработанную программу мероприятий системообразующей организации и (или) пояснения системообразующей организации относительно содержания программы мероприятий, ранее направленной в составе заявления и рассмотренной отраслевым органом.

22. В случае, предусмотренном подпунктом "б" пункта 20 настоящего Порядка, Минэкономразвития России направляет системообразующей организации информацию о форме, сроках и объемах предоставления мер государственной поддержки, которые могут быть одобрены штабом Межведомственной комиссии по итогам рассмотрения заявления с учетом требований к основаниям принятия такого решения штабом Межведомственной комиссии, установленных Правилами отбора и настоящим Порядком, и запрашивает позицию системообразующей организации в отношении определения таких форм, сроков и (или) объемов, которая должна учитывать требования к их достоверности и обоснованности с учетом заключения уполномоченной организации и порядка анализа деятельности и иные требования, предусмотренные абзацем девятым пункта 18 настоящего Порядка.

23. В случае, предусмотренном подпунктом "в" пункта 20 настоящего Порядка, Минэкономразвития России запрашивает согласие системообразующей организации на направление документов, предусмотренных абзацем четвертым подпункта "г" пункта 18 настоящего Порядка, агенту Правительства Российской Федерации в целях проверки соответствия требованиям, установленным постановлением N 549.

24. Запросы Минэкономразвития России, предусмотренные пунктами 21 - 23 настоящего Порядка, направляются представителю системообразующей организации с использованием способа связи, указанного в заявлении в соответствии с подпунктом "е" пункта 4 Правил отбора.

При этом при запросе дополнительных материалов Минэкономразвития России не устанавливает сроки их направления системообразующей организацией. В составе направляемого запроса Минэкономразвития России указывается на приостановление сроков рассмотрения штабом Межведомственной комиссии заявления системообразующей организации до получения запрошенных материалов.

25. После предоставления системообразующей организацией дополнительных материалов и (или) пояснений они направляются Минэкономразвития России уполномоченной организации, а также отраслевому органу, Минфину России и иным членам штаба Межведомственной комиссии и рассматриваются на повторном заседании штаба Межведомственной комиссии, организация которого обеспечивается Минэкономразвития России в соответствии с абзацем девятым пункта 10 Правил отбора.

26. Решение штаба Межведомственной комиссии оформляется протоколом его заседания, который утверждается руководителем Межведомственной комиссии в соответствии с абзацем восьмым пункта 10 Правил отбора.

27. Протокол заседания штаба Межведомственной комиссии, на котором принято решение об отклонении заявления, прилагается к заявлению, возвращаемому системообразующей организации Минэкономразвития России. При этом такое заявление возвращается в течение 2 рабочих дней, начиная со дня, следующего за днем его принятия.

28. Протокол заседания штаба Межведомственной комиссии, на котором принято решение об одобрении заявления с учетом заключения уполномоченной организации, содержащий в том числе информацию о принятом решении в соответствии с требованиями, предусмотренными пунктом 18 настоящего Порядка, а также сведения о системообразующей организации, в отношении которой оно принято, о дате его принятия, о составе лиц, принявших участие в заседании штаба Межведомственной комиссии, на котором оно принято, и результатах их голосования, направляется с приложением заявления, позиции отраслевого органа, заключения уполномоченной организации в Подкомиссию в течение 2 рабочих дней, начиная со дня, следующего за днем его принятия.

При этом Минэкономразвития России информирует представителя системообразующей организации с использованием способа связи, указанного в заявлении в соответствии с подпунктом "е" пункта 4 Правил отбора, о направлении указанных материалов в Подкомиссию в день их направления.

Протокол заседания штаба Межведомственной комиссии, в ходе проведения которого представителем системообразующей организации или иным уполномоченным лицом принимались решения, предусмотренные абзацем вторым пункта 17 или абзацем вторым пункта 19 настоящего Порядка, направляется Минэкономразвития России в системообразующую организацию с использованием способа связи, указанного в заявлении в соответствии с подпунктом "е" пункта 4 Правил отбора, и подлежит согласованию системообразующей организацией в сроки, предусмотренные абзацем первым настоящего пункта.

Приложение N 2
к приказу Минэкономразвития России
от 18.03.2022 N 136

ПОРЯДОК ПРОВЕДЕНИЯ АНАЛИЗА ФИНАНСОВО-ХОЗЯЙСТВЕННОЙ ДЕЯТЕЛЬНОСТИ СИСТЕМООБРАЗУЮЩЕЙ ОРГАНИЗАЦИИ РОССИЙСКОЙ ЭКОНОМИКИ, ПРЕТЕНДУЮЩЕЙ НА ПРЕДОСТАВЛЕНИЕ В 2022 ГОДУ МЕР ГОСУДАРСТВЕННОЙ ПОДДЕРЖКИ (ВКЛЮЧАЯ АНАЛИЗ ФИНАНСОВО-ХОЗЯЙСТВЕННОЙ ДЕЯТЕЛЬНОСТИ ГРУППЫ ЛИЦ, В КОТОРУЮ ВХОДИТ СИСТЕМООБРАЗУЮЩАЯ ОРГАНИЗАЦИЯ, ПРИ НАЛИЧИИ ТАКОЙ ГРУППЫ ЛИЦ), НЕОБХОДИМОГО ДЛЯ ОПРЕДЕЛЕНИЯ ОБЪЕМОВ И СРОКОВ ПРЕДОСТАВЛЕНИЯ МЕР ГОСУДАРСТВЕННОЙ ПОДДЕРЖКИ

1. Настоящий Порядок устанавливает правила проведения анализа финансово-хозяйственной деятельности организации, включенной в отраслевые перечни системообразующих организаций российской экономики, одобренные решением подкомиссии по повышению устойчивости финансового сектора и отдельных отраслей экономики Правительственной комиссии по повышению устойчивости российской экономики в условиях санкций (далее соответственно - Подкомиссия, анализ деятельности), в том числе состав показателей деятельности системообразующей организации, в отношении которых проводится анализ, требования к порядку их определения, порядок расчетов и обоснования объемов и сроков предоставления в 2022 году мер государственной поддержки, предусмотренных пунктом 2 Правил отбора организаций, включенных в отраслевые перечни системообразующих организаций российской экономики, претендующих на предоставление в 2022 году мер государственной поддержки, утвержденных постановлением Правительства Российской Федерации от 10 мая 2020 г. N 651 (Собрание законодательства Российской Федерации, 2020, N 20, ст. 3175; Официальный интернет-портал правовой информации (www.pravo.gov.ru), 2022, 15 марта, N 0001202203150005; далее соответственно - показатели анализа, меры государственной поддержки, Правила отбора, постановление N 651) (включая анализ финансово-хозяйственной деятельности хозяйствующего субъекта или хозяйствующих субъектов, являющихся коммерческими организациями и входящими по основаниям, предусмотренным частью 1 статьи 9 Федерального закона от 26 июля 2006 г. N 135-ФЗ "О защите конкуренции" (Собрание законодательства Российской Федерации, 2006, N 31, ст. 3434; 2015, N 41, ст. 5629; далее - Закон N 135-ФЗ), в группу лиц, в которую входит системообразующая организация, при наличии такой группы лиц) (далее - связанные лица), а также требования к оформлению результатов анализа деятельности.

2. Анализ деятельности проводится системообразующей организацией в целях определения и обоснования объемов и сроков предоставления мер государственной поддержки, информация о которых указывается в заявлении системообразующей организации об их предоставлении в соответствии с подпунктом "г" пункта 4 Правил отбора, в отношении каждой из форм их предоставления, предусмотренной пунктом 2 Правил отбора.

Системообразующая организация, претендующая на предоставление в 2022 году мер государственной поддержки, предоставляет расчет влияния в 2022 году экономических санкций в отношении Российской Федерации на показатели, предусмотренные пунктами 4 и 6 настоящего Порядка, а также исчерпывающий перечень и предполагаемые результаты реализуемых и планируемых к реализации в 2022 году мероприятий по адаптации (программу адаптации) системообразующей организации к условиям ухудшения ситуации в связи с совершением иностранными государствами недружественных действий и введением экономических санкций, учтенные при таком расчете и являющиеся составной частью программы оптимизации. Указанный расчет является неотъемлемой частью анализа финансово-хозяйственной деятельности.

3. Системообразующая организация, претендующая на предоставление в 2022 году мер государственной поддержки, для расчета и обоснования объемов и сроков их предоставления в отношении каждой из форм их предоставления, предусмотренных пунктом 2 Правил отбора, предоставляет фактические значения за 2021 г. и I квартал 2022 г., и прогнозирует значения на II - IV кварталы 2022 г. следующих показателей деятельности системообразующей организации (далее - показатели анализа) или, если вместе с другими организациями и (или) иностранными организациями в соответствии с Международными стандартами финансовой отчетности определяется как группа - консолидировано по данной группе:

а) объемы реализованной продукции, выполняемых работ, оказываемых услуг;

б) средняя цена реализации единицы продукции, выполняемой работы, оказываемой услуги;

в) общий объем доходов системообразующей организации, в том числе:

объемы доходов, связанных непосредственно с производством и реализацией товаров, выполнением работ, оказанием услуг;

объемы доходов, не связанных с производством и реализацией товаров, выполнением работ, оказанием услуг;

г) объемы расходов системообразующей организации, зависящие от изменений объемов производства продукции, выполнения работ, оказания услуг;

д) объемы расходов системообразующей организации, на которые не влияют изменения объемов производства продукции, выполнения работ, оказания услуг, включая в том числе расходы, связанные с оплатой труда работников системообразующей организации и перечислением обязательных платежей в государственные внебюджетные фонды, и иные расходы;

е) изменения показателей оборотных активов, включая:

изменения показателей объемов дебиторской задолженности перед системообразующей организацией;

изменения показателей объемов кредиторской задолженности системообразующей организации;

изменения показателей объемов товарно-материальных запасов системообразующей организации;

ж) показатели текущих расходов системообразующей организации, включая:

показатели объемов расходов на обслуживание основных средств системообразующей организации (к которым для целей анализа деятельности относятся расходы, связанные с эксплуатацией основных средств системообразующей организации, используемых при производстве и (или) реализации продукции, выполнении работ, оказании услуг, необходимые для обеспечения требований безопасности продукции или связанных с требованиями к ней процессов проектирования (включая изыскания), производства, строительства, монтажа, наладки, эксплуатации, хранения, перевозки, реализации и утилизации, установленных законодательством Российской Федерации);

показатели объемов налоговых платежей и иных обязательных платежей в бюджеты бюджетной системы Российской Федерации с выделением объемов платежей в федеральный бюджет и бюджеты субъектов Российской Федерации;

показатели совокупных объемов выплат системообразующей организацией займодавцам, кредиторам процентов за пользование займами по договорам займа, за пользование денежными средствами по кредитным договорам;

показатели совокупных объемов выплат, осуществляемых системообразующей организацией в 2021 и 2022 годах, необходимых для возврата системообразующей организацией сумм займа по договорам займа, предоставленных кредитов по кредитным договорам, уменьшенных на поступившие в 2021 году и ожидаемые к поступлению в 2022 году совокупные объемы денежных средств по договорам займа и кредитным договорам, за исключением поступлений денежных средств по договорам займа и кредитным договорам, заключенным системообразующей организацией для целей финансирования приобретения, создания, модернизации, реконструкции и подготовки к использованию внеоборотных активов;

показатели совокупных выплат, осуществляемых системообразующей организацией в качестве арендатора, лизингополучателя соответственно по договорам аренды и лизинга;

з) оценка воздействия на объемы доходов и расходов системообразующей организации мер государственного регулирования, принятых в отношении системообразующей организации на дату подачи заявления о предоставлении мер поддержки в соответствии с пунктом 4 Правил отбора (определяется только в части фактических значений показателей деятельности), включая:

предоставленные системообразующей организации в соответствии с законодательством Российской Федерации о налогах и сборах отсрочки, рассрочки по уплате налогов, сборов, страховых взносов, а также инвестиционные налоговые кредиты;

предоставленные системообразующей организации в соответствии с бюджетным законодательством Российской Федерации средства бюджетов бюджетной системы Российской Федерации на безвозвратной и (или) на безвозмездной основе;

иные меры поддержки российской экономики, установленные законодательством Российской Федерации и распространяющиеся на системообразующую организацию в соответствии с нормативными правовыми актами и (или) решениями Президента Российской Федерации, Правительства Российской Федерации и органов государственной власти субъектов Российской Федерации, не предусмотренные абзацами вторым и третьим настоящего подпункта;

и) объемы выплат акционерам и иным участникам системообразующей организации, связанные с владением такими участниками акциями (долями в уставном капитале) системообразующих организаций и возвратом таким участникам акционерных займов;

к) критерии оценки финансового состояния системообразующей организации, определяемые по состоянию на конец 2021 и конец 2022 года, включая:

величину чистого долга, которая определяется как суммарное значение всех сумм займа по договорам займа и кредитов по кредитным договорам, за исключением сумм займа и кредитов, обеспеченных государственными гарантиями, ранее предоставленными в соответствии с подпунктом "в" пункта 2 Правил отбора, а также без учета досрочного погашения сумм займа и кредитов за счет мер государственной поддержки, предусмотренных абзацами третьим - четвертым подпункта "з" настоящего пункта, уменьшенное на величину денежных средств и их эквивалентов, находящихся в распоряжении системообразующей организации по состоянию на 31 декабря 2021 г.;

прибыль системообразующей организации до налогообложения, увеличенную на сумму значений всех показателей анализа, предусмотренных абзацем четвертым подпункта "ж" настоящего пункта;

прибыль системообразующей организации до налогообложения, увеличенную на сумму значений всех показателей анализа, предусмотренных абзацем четвертым подпункта "ж" настоящего пункта, и амортизационные отчисления;

показатель разницы между значениями показателей, предусмотренных подпунктами "в" и "г" настоящего пункта;

л) показатели совокупных объемов ликвидных активов по состоянию на 31 декабря 2021 г., в состав которых для целей проведения анализа деятельности включаются объемы денежных средств, эквивалентов денежных средств и краткосрочных финансовых вложений (определяется в отношении фактических значений за 2021 год).

4. Прогнозирование значений показателей анализа осуществляется системообразующей организацией поквартально на период осуществления анализа деятельности начиная с 1 апреля по 31 декабря 2022 г. (за исключением показателей анализа, предусмотренных подпунктом "к" пункта 3 настоящего Порядка, которые прогнозируются по состоянию на 31 декабря 2022 г. без поквартальной разбивки). При этом фактические значения показателей анализа, определенные на I квартал 2022 г., учитываются в общих расчетах, предусмотренных настоящим Порядком, для целей прогнозирования показателей анализа на 2022 год.

В случае если системообразующая организация по основаниям, предусмотренным частью 1 статьи 9 Закона N 135-ФЗ, входит в группу лиц с другим хозяйствующим субъектом или другими хозяйствующими субъектами, являющимися коммерческими организациями, прогнозирование значений показателей анализа проводится системообразующей организацией в отношении показателей анализа всех таких хозяйствующих субъектов, входящих в группу лиц, в которую входит системообразующая организация.

Прогнозирование значений показателей анализа должно осуществляться с учетом содержания разработанной программы мероприятий по снижению (оптимизации) расходов системообразующей организации, которая формируется системообразующей организацией в соответствии с подпунктом "б" пункта 5 Правил отбора (далее - программа оптимизации). При этом значения показателей кредитной нагрузки, предусмотренные программой оптимизации, должны соответствовать сумме значений показателей, предусмотренных абзацами четвертым и пятым подпункта "ж" пункта 3 настоящего Порядка, определенных на соответствующий период.

Прогнозирование значений показателей анализа в отношении показателей, предусмотренных подпунктами "а", "б", абзацем вторым подпункта "в", подпунктами "г" и "д" (за исключением расходов, связанных с оплатой труда работников системообразующей организации) пункта 3 настоящего Порядка, осуществляется с их распределением по группам, сформированным по отдельным видам реализованной продукции, выполняемых работ, оказываемых услуг, объемы производства которых являются, по мнению системообразующей организации, существенными при осуществлении ее хозяйственной деятельности, а также по общей группе прочих видов реализованной продукции, выполняемых работ, оказываемых услуг. При этом такое распределение должно быть единообразным при прогнозировании значений всех перечисленных показателей анализа.

Прогнозирование значений показателей анализа, предусмотренных подпунктами "в" "д" и "ж" пункта 3 настоящего Порядка, осуществляется без учета доходов от переоценки нематериальных активов, основных средств, долгосрочных финансовых вложений, товарно-материальных ценностей и прочих статей активов, обязательств и капитала, сумм восстановления ранее созданных резервов под обесценение товарно-материальных ценностей, резервов по сомнительным долгам и прочих резервов, доходов от восстановления ранее списанных активов, доходов от списания кредиторской задолженности и прочих обязательств, доходов (расходов) от признания доходов (расходов) будущих периодов, доходов (расходов), возникающих по курсовым разницам по кредитам и займам, начисленной амортизации, изменения стоимости нематериальных активов, основных средств, долгосрочных финансовых вложений, товарно-материальных ценностей и прочих активов в результате переоценки, создания резервов под обесценение товарно-материальных ценностей, резервов по сомнительным долгам и прочих резервов, снижения балансовой стоимости активов при их списании (реализации), прочих неденежных доходов и расходов, включая корректировки прошлых периодов.

Показатель анализа, предусмотренный подпунктом "а" пункта 3 настоящего Порядка, определяется как прогнозируемый средневзвешенный объем реализации продукции, выполнения работ, оказания услуг по итогам 2021 года в соответствующем квартале 2022 года.

Показатель анализа, предусмотренный подпунктом "б" пункта 3 настоящего Порядка, определяется как прогнозируемая средневзвешенная цена реализации единицы продукции, работы, услуги по итогам 2021 года в соответствующем квартале 2022 года.

Показатель анализа, предусмотренный абзацем вторым подпункта "в" пункта 3 настоящего Порядка, определяется как произведение значений показателей, предусмотренных подпунктами "а" и "б" указанного пункта, на соответствующий период и для соответствующей группы, по которой проведено распределение в соответствии с абзацем пятым настоящего пункта.

Прогнозирование значений показателя анализа, предусмотренного подпунктом "д" пункта 4 настоящего Порядка, осуществляется с учетом требований абзаца пятого настоящего пункта, а в части расходов, связанных с оплатой труда работников системообразующей организации, с их распределением по расходам, связанным с оплатой труда лиц, указанных в абзаце втором подпункта "б" пункта 5 Правил отбора, и прочих работников системообразующей организации. Прогнозирование значений данного показателя анализа должно осуществляться с учетом обязательств системообразующей организации по отказу от принятия решений, связанных с увеличением фонда оплаты труда и (или) поощрительных выплат, которые предусмотрены данным абзацем, и исходя из сохранения занятости и численности работников системообразующей организации в соответствующем периоде.

Прогнозирование значений на соответствующий период показателя анализа, предусмотренного абзацем первым подпункта "е" пункта 3 настоящего Порядка, осуществляется путем суммирования значений показателей, предусмотренных абзацами вторым и четвертым указанного подпункта, и вычитания из получившейся суммы значения показателя, предусмотренного абзацем третьим указанного подпункта, определенных на соответствующий период.

Прогнозирование значений на соответствующий период показателя анализа, предусмотренного абзацем первым подпункта "ж" пункта 3 настоящего Порядка, осуществляется путем суммирования значений показателей, предусмотренных абзацами вторым - шестым подпункта "ж" пункта 3 настоящего Порядка, определенных на соответствующий период.

Прогнозирование значений на соответствующий период показателя анализа, предусмотренного абзацем первым подпункта "з" пункта 3 настоящего Порядка, осуществляется путем суммирования значений показателей, предусмотренных абзацами третьим - пятым указанного подпункта, и вычитания из получившейся суммы значения показателя, предусмотренного абзацем вторым указанного подпункта, определенных на соответствующий период.

Значения показателей анализа определяются в порядке, предусмотренном законодательством Российской Федерации о бухгалтерском учете, с учетом особенностей, предусмотренных настоящим пунктом, а также пунктом 3 настоящего Порядка.

Результаты прогнозирования значений показателей анализа указываются в таблице (рекомендуемый образец приведен в приложении к настоящему Порядку; далее - таблица). К таблице прилагаются материалы и расчеты, обосновывающие значения содержащихся в ней показателей, которые должны соответствовать требованиям, установленным соглашением между Минэкономразвития России и уполномоченной организацией, которая осуществляет предварительную оценку достоверности и обоснованности заявления системообразующей организации о предоставлении мер поддержки в соответствии с абзацем вторым пункта 9 Правил отбора. В состав материалов и расчетов, прилагаемых к таблице, в обязательном порядке включается перечень всех связанных лиц и сведения о них, включая их полные и (если имеются) сокращенные наименования, основные государственные регистрационные номера, индивидуальные номера налогоплательщиков, места их нахождения и адреса, если прогнозирование значений показателей анализа проводилось системообразующей организацией в отношении значений показателей анализа всех связанных лиц.

Значения показателей анализа, предусмотренных подпунктами "а" - "д", абзацами вторым - четвертым и шестым подпункта "ж", абзацами третьим - четвертым подпункта "з" и подпунктом "и" пункта 3 настоящего Порядка, указываются в таблице в виде значений натуральных чисел и не могут приобретать отрицательного значения, а значения показателей анализа, предусмотренных подпунктом "е", абзацами первым и пятым подпункта "ж", абзацами первым и вторым подпункта "з" и подпунктом "к" указанного пункта, в виде значений целых чисел и могут приобретать как положительное, так и отрицательное значение.

Значение показателя, предусмотренного абзацем пятым подпункта "к" пункта 3 настоящего Порядка, за 2022 год не может быть ниже значения данного показателя за 2021 год, умноженного на соотношение значений показателя, предусмотренного подпунктом "а" пункта 3 настоящего Порядка, за 2022 и 2021 годы соответственно.

5. Расчет предельных объемов предоставления мер государственной поддержки производится системообразующей организацией на основании информации, указанной в таблице.

Для расчета объемов предоставления мер государственной поддержки в 2022 году определяется значение совокупного объема дефицита денежных средств в 2022 году.

С целью установления совокупного объема дефицита денежных средств определяется поквартальный объем дефицита денежных средств в 2022 году, рассчитываемый как сумма значений показателей, предусмотренных подпунктами "в", "л" и "з" пункта 3 настоящего Порядка, за вычетом суммы значений показателей, предусмотренных подпунктами "г", "д", абзацами первым - четвертым, шестым подпункта "ж" пункта 3 настоящего Порядка, на соответствующие кварталы 2022 года (для показателей, предусмотренных подпунктами "л" и "з" пункта 3 настоящего Порядка, для расчета принимаются значения показателей анализа соответственно за 2021 год и I квартал 2022 года).

Совокупный объем дефицита денежных средств определяется путем суммирования поквартальных объемов дефицита денежных средств, определенных на I - IV кварталы 2022 года.

В случае если совокупный объем дефицита денежных средств больше или равен нулю, объемы предоставления мер государственной поддержки, предусмотренных пунктом 2 Правил отбора, определению не подлежат в связи с отсутствием обоснования необходимости их предоставления.

В случае если совокупный объем дефицита денежных средств меньше нуля, системообразующая организация прибавляет к нему значения показателя анализа, предусмотренного подпунктом "и" пункта 3 настоящего Порядка, определенные на период прогнозирования.

В случае если в результате операции, указанной в абзаце шестом настоящего пункта, значение совокупного объема дефицита денежных средств больше или равно нулю, объемы предоставления мер государственной поддержки, предусмотренные пунктом 2 Правил отбора, определению не подлежат в связи с отсутствием обоснования необходимости их предоставления.

В случае если в результате операции, указанной в абзаце шестом настоящего пункта, значение совокупного объема дефицита денежных по-прежнему меньше нуля, системообразующая организация может претендовать на отнесение к высокой группе риска. При этом объемы предоставления системообразующей организации мер государственной поддержки, предусмотренных пунктом 2 Правил отбора, определяются в соответствии с пунктом 6 настоящего Порядка и признаются обоснованными в случае принятия Подкомиссией решения, предусмотренного абзацем девятым настоящего пункта.

Решение об отнесении системообразующей организации к высокой группе риска и ее допуске к отбору в соответствии с Правилами отбора принимается Подкомиссией согласно порядку рассмотрения заявлений системообразующих организаций о предоставлении мер государственной поддержки.

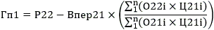
6. В случае, предусмотренном абзацем восьмым пункта 5 настоящего Порядка, системообразующая организация определяет предельные объемы предоставления меры государственной поддержки, предусмотренной подпунктом "а" пункта 2 Правил отбора (Гп1), по следующей формуле:

,

где:

P22 - минимальное значение из суммы значений показателей, предусмотренных подпунктом "д" и абзацами вторым - четвертым и шестым подпункта "ж" пункта 3 настоящего Порядка за все кварталы 2022 года, и суммы значений данных показателей за 2021 год, умноженной на коэффициент 1,2;

Впер21 - значение показателя, предусмотренного абзацем пятым подпункта "к" пункта 3 настоящего Порядка, за 2021 год;

О22i и О21i - объемы реализованной продукции, выполняемых работ, оказываемых услуг (i) за все кварталы 2022 года и в 2021 году соответственно, предусмотренные подпунктом "а" пункта 3 настоящего Порядка, согласно таблице;

Ц21i - цена реализованной продукции, выполняемых работ, оказываемых услуг (i) в 2021 году, предусмотренная подпунктом "б" пункта 3 настоящего Порядка, согласно таблице.

В случае если величина предельных объемов предоставления мер государственной поддержки, предусмотренной подпунктом "а" пункта 2 Правил отбора (Гп1), определенная в порядке, установленном настоящим пунктом, больше значения совокупного объема дефицита денежных средств, определенного в соответствии с абзацем восьмым пункта 5 настоящего Порядка, такая величина принимается равной значению указанного совокупного объема дефицита денежных средств.

В случае, предусмотренном абзацем восьмым пункта 5 настоящего Порядка, а также в случае, если сумма значений совокупного объема дефицита денежных средств, определенного в соответствии с абзацем восьмым пункта 5 настоящего Порядка, и предельных объемов предоставления меры государственной поддержки, предусмотренной подпунктом "а" пункта 2 Правил отбора (Гп1), больше или равна нулю, и при наличии письменного мотивированного отказа кредитной организации в реструктуризации кредитной задолженности системообразующей организации, срок погашения которой наступает в 2022 году, системообразующая организация рассчитывает объемы предоставления мер государственной поддержки, предусмотренной подпунктом "в" пункта 2 Правил отбора. При этом величина такого объема определяется как разница между совокупным объемом дефицита денежных средств, определенного в соответствии с абзацем восьмым пункта 6 настоящего Порядка, и значения показателя, предусмотренного абзацем пятым подпункта "ж" пункта 3 настоящего Порядка.

Системообразующая организация вправе принять решение об определении объемов предоставления мер государственной поддержки по всем формам их предоставления или по отдельным из них в размере меньшем, чем обоснованный в соответствии с настоящим пунктом.

7. Необходимые сроки предоставления объемов государственной поддержки в 2022 году, которые системообразующая организация рассчитывает в соответствии с пунктами 5 и 6 настоящего Порядка, определяются системообразующей организацией самостоятельно с учетом необходимости предупредить возникновение дефицита денежных средств и обеспечить ее устойчивое функционирование, а в случае, если системообразующая организация претендует на предоставление меры государственной поддержки, предусмотренной подпунктом "в" пункта 2 Правил отбора, - с учетом необходимости своевременных выплат в 2022 году по договорам займа, кредитным договорам. При этом системообразующая организация основывает свои выводы на сведениях о расходах системообразующей организации, учтенных при формировании таблицы, в соответствии с приложенными к ней материалами. Обоснования необходимых сроков предоставления мер государственной поддержки прикладываются системообразующей организацией к таблице.

Системообразующая организация вправе принять решение об определении сроков предоставления мер государственной поддержки позднее сроков, обоснованных в соответствии с настоящим пунктом. Такие сроки признаются обоснованными и достаточными для выхода системообразующей организации из высокой группы риска при условии принятия Подкомиссией решения, предусмотренного абзацем девятым пункта 6 настоящего Порядка.

8. Расчеты и обоснования (включая таблицу) объемов и сроков предоставления мер государственной поддержки, произведенные в соответствии с пунктами 5 - 7 настоящего Порядка, являются результатами анализа деятельности.

Виды расходов, подлежащие компенсации за счет предоставления мер государственной поддержки, предусмотренные результатами анализа деятельности, включая таблицу, а также перечень связанных лиц, указанный в абзаце четырнадцатом пункта 4 настоящего Порядка, используются для определения целевого использования предоставляемых средств при предоставлении мер государственной поддержки в соответствии с требованиями, установленными законодательством Российской Федерации к их целевому использованию.

Приложение
к Порядку проведения анализа
финансово-хозяйственной деятельности
системообразующей организации российской
экономики, претендующей на предоставление
в 2022 году мер государственной поддержки
(включая анализ финансово-хозяйственной
деятельности группы лиц, в которую
входит системообразующая организация,
при наличии такой группы лиц),
необходимого для определения объемов
и сроков предоставления мер
государственной поддержки

Рекомендуемый образец

ТАБЛИЦА РЕЗУЛЬТАТОВ ПРОГНОЗИРОВАНИЯ ЗНАЧЕНИЙ ПОКАЗАТЕЛЕЙ АНАЛИЗА ФИНАНСОВО-ХОЗЯЙСТВЕННОЙ ДЕЯТЕЛЬНОСТИ СИСТЕМООБРАЗУЮЩЕЙ ОРГАНИЗАЦИИ

(указывается наименование системообразующей организации)
N п/п Показатель анализа
(определяется в соответствии с требованиями, предусмотренными пунктами 4 и 5 Порядка проведения анализа финансово-хозяйственной деятельности системообразующей организации российской экономики, претендующей на предоставление в 2022 году мер государственной поддержки (включая анализ финансово-хозяйственной деятельности группы лиц, в которую входит системообразующая организация, при наличии такой группы лиц), необходимого для определения объемов и сроков предоставления мер государственной поддержки, в соответствии с Правилами отбора организаций, включенных в отраслевые перечни системообразующих организаций российской экономики, претендующих на предоставление в 2022 году мер государственной поддержки, утвержденными постановлением Правительства Российской Федерации от 10 мая 2020 г. N 651 "О мерах поддержки системообразующих организаций" <1>)
Единица 2021 г. I кв. 2022 г. II кв. 2022 г. III кв. 2022 г. IV кв. 2022 г.
1 Объемы реализованной продукции, выполняемых работ, оказываемых услуг ед.          
2 Средняя цена реализации единицы продукции, выполняемой работы, оказываемой услуги руб./ед.          
3 Общий объем доходов системообразующей организации, в том числе: млрд. руб.          
3(1) Объемы доходов, связанных непосредственно с производством и реализацией товаров, выполнением работ, оказанием услуг млрд. руб.          
3(2) Объемы доходов, не связанных с производством и реализацией товаров, выполнением работ, оказанием услуг млрд. руб.          
4 Объемы расходов системообразующей организации, зависящие от изменений объемов производства продукции, выполнения работ, оказания услуг млрд. руб.          
5 Объемы расходов системообразующей организации, на которые не влияют изменения объемов производства продукции, выполнения работ, оказания услуг, включая в том числе расходы, связанные с оплатой труда работников системообразующей организации и перечислением обязательных платежей в государственные внебюджетные фонды, и иные расходы млрд. руб.          
6 Изменения показателей оборотных активов, включая: млрд. руб.          
6(1) Изменения показателей объемов дебиторской задолженности перед системообразующей организацией млрд. руб.          
6(2) Изменения показателей объемов кредиторской задолженности системообразующей организации млрд. руб.          
6(3) Изменения показателей объемов товарно-материальных запасов системообразующей организации млрд. руб.          
7 Показатели текущих расходов системообразующей организации, включая: млрд. руб.          
7(1) Показатели объемов расходов на обслуживание основных средств системообразующей организации млрд. руб.          
7(2) Показатели объемов налоговых платежей и иных обязательных платежей в бюджеты бюджетной системы Российской Федерации с выделением объемов платежей в федеральный бюджет и бюджеты субъектов Российской Федерации млрд. руб.          
7(3) Показатели совокупных объемов выплат системообразующей организацией займодавцам, кредиторам процентов за пользование займами по договорам займа, за пользование денежными средствами по кредитным договорам млрд. руб.          
7(4) Показатели совокупных объемов выплат, осуществляемых системообразующей организацией в 2021 и 2022 годах, необходимых для возврата системообразующей организацией сумм займа по договорам займа, предоставленных кредитов по кредитным договорам, уменьшенных на поступившие в 2021 году и ожидаемые к поступлению в 2022 году совокупные объемы денежных средств по договорам займа и кредитным договорам, за исключением поступлений денежных средств по договорам займа и кредитным договорам, заключенным системообразующей организацией для целей финансирования приобретения, создания, модернизации, реконструкции и подготовки к использованию внеоборотных активов млрд. руб.          
7(5) Показатели совокупных выплат, осуществляемых системообразующей организацией в качестве арендатора и лизингополучателя соответственно по договорам аренды и лизинга млрд. руб.          
8 Оценка воздействия на объемы доходов и расходов системообразующей организации мер государственного регулирования, принятых в отношении системообразующей организации на дату подачи заявления о предоставлении мер поддержки, включая: млрд. руб.     x x x
8(1) Предоставленные системообразующей организации в соответствии с законодательством Российской Федерации о налогах и сборах отсрочки, рассрочки по уплате налогов, сборов, страховых взносов, инвестиционные налоговые кредиты млрд. руб.     x x x
8(2) Предоставленные системообразующей организации в соответствии с бюджетным законодательством Российской Федерации средства бюджетов бюджетной системы Российской Федерации на безвозвратной и (или) на безвозмездной основе млрд. руб.     x x x
8(3) Иные меры поддержки российской экономики, установленные законодательством Российской Федерации и распространяющиеся на системообразующую организацию в соответствии с нормативными правовыми актами и (или) решениями Президента Российской Федерации, Правительства Российской Федерации и органов государственной власти субъектов Российской Федерации, не предусмотренные строками 8(1) и 8(2) млрд. руб.     x x x
9 Объемы выплат акционерам и иным участникам системообразующей организации, связанные с владением такими участниками акциями (долями в уставном капитале) системообразующих организаций и возвратом таким участникам акционерных займов млрд. руб.          
10 Критерии оценки финансового состояния системообразующей организации, включая: млрд. руб.   x x x  
10(1) Величину чистого долга млрд. руб.   x x x  
10(2) Прибыль системообразующей организации до налогообложения, увеличенную на сумму всех значений показателей, предусмотренных строкой 7(3) млрд. руб.   x x x  
10(3) Прибыль системообразующей организации до налогообложения, увеличенную на сумму значений всех показателей, предусмотренных строкой 7(3), и амортизационные отчисления млрд. руб.   x x x  
10(4) Показатель разницы между значениями показателей, предусмотренных строками 3 и 4 млрд. руб.   x x x  
11 Показатели совокупных объемов ликвидных активов по состоянию на 31 декабря 2021 г. млрд. руб.   x x x x

<1> Собрание законодательства Российской Федерации, 2020, N 20, ст. 3175; Официальный интернет-портал правовой информации (http://pravo.gov.ru), 2022, 15 марта, N 0001202203150005.

Приложение N 3
к приказу Минэкономразвития России
от 18.03.2022 N 136

ПОРЯДОК ВЕДЕНИЯ В 2022 ГОДУ РЕЕСТРА СИСТЕМООБРАЗУЮЩИХ ОРГАНИЗАЦИЙ, В ОТНОШЕНИИ КОТОРЫХ ПРИНЯТО РЕШЕНИЕ О СОГЛАСОВАНИИ ПРЕДОСТАВЛЕНИЯ МЕР ГОСУДАРСТВЕННОЙ ПОДДЕРЖКИ, И МОНИТОРИНГА СОБЛЮДЕНИЯ УСЛОВИЙ ИХ ПРЕДОСТАВЛЕНИЯ

1. Настоящий Порядок устанавливает правила ведения Минэкономразвития России реестра системообразующих организаций, в отношении которых принято решение о предоставлении мер государственной поддержки в соответствии с Правилами отбора организаций, включенных в отраслевые перечни системообразующих организаций российской экономики, претендующих на предоставление в 2022 году мер государственной поддержки, утвержденными постановлением Правительства Российской Федерации от 10 мая 2020 г. N 651 "О мерах поддержки системообразующих организаций" (Собрание законодательства Российской Федерации, 2020, N 20, ст. 3175; Официальный интернет-портал правовой информации (www.pravo.gov.ru), 2022, 15 марта, N 0001202203150005), а также правила мониторинга соблюдения системообразующими организациями условий предоставления мер государственной поддержки (далее соответственно - реестр, системообразующие организации, меры государственной поддержки, Правила отбора, постановление N 651, мониторинг).

2. Реестр ведется ответственным структурным подразделением Минэкономразвития России.

Ведение реестра осуществляется Минэкономразвития России в электронном виде с учетом положений, предусмотренных пунктом 7 настоящего Порядка.

В реестр включаются сведения о системообразующих организациях, в отношении которых подкомиссией по повышению устойчивости финансового сектора и отдельных отраслей экономики Правительственной комиссии по повышению устойчивости российской экономики в условиях санкций (далее - Подкомиссия) принято решение о согласовании предоставления им мер государственной поддержки, предусмотренное пунктом 13 Правил отбора.

Сведения о системообразующей организации включаются в реестр не позднее 3 календарных дней со дня, следующего за днем получения Минэкономразвития России решения Подкомиссии о предоставлении мер государственной поддержки соответствующей системообразующей организации.

3. В реестр включаются следующие сведения по каждой из системообразующих организаций, в отношении которых Подкомиссией принято решение о предоставлении мер государственной поддержки:

а) полное и (в случае если имеется) сокращенное наименования системообразующей организации, ее идентификационный номер налогоплательщика и основной государственный регистрационный номер, место нахождения и адрес;

б) форма (формы) предоставления мер государственной поддержки, предусмотренная (предусмотренные) пунктом 2 Правил отбора, согласованная (согласованные) Подкомиссией;

в) объемы и сроки предоставления мер государственной поддержки по каждой из форм их предоставления, согласованные Подкомиссией;

г) реквизиты решения Подкомиссии о согласовании предоставления мер государственной поддержки, включая дату его принятия и номер протокола заседания Правительственной комиссии, на котором оно было принято;

д) иные, помимо предусмотренных подпунктами "б" и "в" настоящего пункта, условия предоставления мер государственной поддержки, согласованные Подкомиссией и одобренные штабом Межведомственной комиссии по мониторингу финансово-экономического состояния организаций, входящих в перечень системообразующих организаций, созданной при Министерстве экономического развития Российской Федерации (далее - Межведомственная комиссия) в соответствии с Порядком рассмотрения заявлений системообразующих организаций российской экономики, претендующих на предоставление в 2022 году мер государственной поддержки, о предоставлении мер государственной поддержки, утвержденным настоящим приказом.

Дополнительно в реестр включаются сведения о федеральном органе исполнительной власти, определенном решением Подкомиссии в соответствии с пунктом 13 Правил отбора, который является ответственным за подготовку проекта акта Правительства Российской Федерации о предоставлении мер государственной поддержки системообразующей организации, о федеральном органе исполнительной власти, уполномоченном на осуществление мониторинга, и сведения о результатах мониторинга, предусмотренные подпунктами "в" - "ж" пункта 14 настоящего Порядка.

4. Реестр подлежит доведению Минэкономразвития России до федеральных органов исполнительной власти, к вопросам деятельности которых отнесены функции по выработке государственной политики в отраслях экономики, в которых сформированы отраслевые перечни системообразующих организаций (далее - отраслевые органы), в течение 1 рабочего дня со дня, следующего за днем включения в реестр сведений о системообразующих организациях, предусмотренных пунктом 3 настоящего Порядка.

Уведомление о включении системообразующей организации в реестр направляется Минэкономразвития России системообразующей организации способом оперативной связи и в соответствии с информацией, которые указаны в заявлении системообразующей организации в соответствии с подпунктом "е" пункта 4 Правил отбора, в сроки, предусмотренные абзацем первым настоящего пункта.

По запросу системообразующей организации, подписанному ее руководителем, Минэкономразвития России в течение 3 рабочих дней со дня, следующего за днем его получения, направляет системообразующей организации исчерпывающую информацию о сведениях, содержащихся в реестре, способом, указанным в таком запросе. Направляемая информация в указанном случае должна быть заверена руководителем или заместителем руководителя структурного подразделения Минэкономразвития России, ответственного за ведение реестра.

Отраслевые органы и системообразующие организации извещаются в порядке, установленном настоящим пунктом, обо всех случаях внесения в реестр сведений, предусмотренных пунктами 5 и 6 настоящего Порядка.

5. В случае принятия в порядке, установленном бюджетным законодательством Российской Федерации, решений об изменении условий предоставления мер государственной поддержки, включая условия, предусмотренные подпунктами "б", "в" и "д" пункта 3 настоящего Порядка (далее - условия предоставления мер государственной поддержки), соответствующие сведения включаются в реестр. При этом в реестр вносится информация о дате принятия решения об изменении условий предоставления мер государственной поддержки, об органе, который принял такое решение, и об основаниях его принятия.

6. Сведения, предусмотренные пунктом 3 настоящего Порядка, не подлежат исключению из реестра в случае, если Правительством Российской Федерации или иным уполномоченным органом государственной власти Российской Федерации в порядке, установленном бюджетным законодательством Российской Федерации, принято решение о возврате средств, полученных системообразующей организацией в рамках предоставления мер государственной поддержки, и (или) иные решения об отказе от предоставления мер государственной поддержки в случае ликвидации системообразующей организации, а также в иных случаях прекращения обязательств системообразующей организации, связанных с предоставлением ей мер государственной поддержки. В указанных случаях в реестр вносятся соответствующие сведения, включая дату прекращения обязательств системообразующей организации, связанных с предоставлением мер государственной поддержки, сведения об обстоятельствах, послуживших основанием для их прекращения, и дату их наступления, если она не соответствует дате прекращения обязательств сторон, связанных с предоставлением мер государственной поддержки.

В случае, предусмотренном пунктом 5 настоящего Порядка, сведения о ранее согласованных условиях предоставления мер государственной поддержки сохраняются в составе реестра с указанием на утрату их актуальности и не подлежат корректировке.

7. Реестр составляет служебную информацию ограниченного распространения, доступ к которой обеспечивается Минэкономразвития России, Минфину России, ФНС России и тем отраслевым органам, к вопросам деятельности которых отнесены функции по выработке государственной политики в отраслях экономики, в которых являются системообразующими соответствующие организации, в отношении которых в реестре размещены соответствующие сведения, а также по основанию, предусмотренному абзацем третьим пункта 4 настоящего Порядка, самим системообразующим организациям, в отношении которых размещены такие сведения.

8. Мониторинг проводится отраслевыми органами в отношении системообразующих организаций, включенных в реестр и осуществляющих деятельность в качестве системообразующих в отрасли (отраслях) экономики, в которой (которых) осуществляет функции по выработке государственной политики соответствующий отраслевой орган.

9. Основанием для начала проведения мониторинга в отношении системообразующей организации является включение информации о ней в реестр.

10. Мониторинг проводится в отношении следующих предметов мониторинга:

а) факта обращения системообразующей организации для предоставления ей мер государственной поддержки, согласованных решением Подкомиссии, предусмотренным пунктом 13 Правил отбора, до истечения сроков их предоставления, согласованных указанным решением;

б) соблюдения органами государственной власти или организациями, предоставляющими меры государственной поддержки, сроков проведения установленных процедур, необходимых для предоставления системообразующей организации мер государственной поддержки, после ее обращения в сроки, согласованные решением Подкомиссии, предусмотренным пунктом 13 Правил отбора;

в) соответствии системообразующей организации критерию, установленному подпунктом "а" пункта 3 Правил отбора;

г) соблюдения системообразующей организацией обязательств по выполнению программы мероприятий по снижению (оптимизации) расходов системообразующей организации, предусмотренной подпунктом "б" пункта 5 Правил отбора (далее - программа мероприятий), после предоставления ей мер государственной поддержки, включая:

выполнение обязательств по отказу от принятия в 2022 году и (или) по результатам показателей результатов деятельности 2022 года (включая финансовые результаты или иные показатели, предусмотренные локальными актами системообразующей организации) решений, связанных с увеличением фонда оплаты труда и (или) поощрительных выплат лицам, перечисленным в абзаце втором подпункта "б" пункта 5 Правил отбора;

выполнение мероприятий, предусмотренных программой мероприятий, в сроки, предусмотренные для их выполнения программой мероприятий;

соответствие эффекта от выполнения программы мероприятий эффекту, рассчитанному при проведении анализа финансово-хозяйственной деятельности системообразующей организации, необходимого для определения объемов и сроков предоставления мер государственной поддержки, согласно порядку, утвержденному Минэкономразвития России в соответствии с абзацем четвертым пункта 2 постановления N 651 (далее - анализ деятельности);

анализ последствий внесения изменений в программу мероприятий и оценку их влияния на степень соответствия эффекта от выполнения программы мероприятий эффекту, рассчитанному при проведении анализа деятельности, и фактические показатели деятельности системообразующей организации в 2022 году;

д) целевого использования полученных при предоставлении мер государственной поддержки средств, включая:

направление средств, полученных в результате предоставления мер государственной поддержки, тем хозяйственным обществам, относящимся к группе лиц, к которой относится системообразующая организация, которые определены в соответствии с результатами анализа деятельности и решением Межведомственной комиссии по итогам рассмотрения заявления;

направление средств, полученных в результате предоставления мер государственной поддержки, в целях финансирования расходов системообразующей организации, которые нуждаются в финансировании в соответствии с результатами анализа деятельности и решением Подкомиссии, предусмотренным пунктом 13 Правил отбора;

ненаправление денежных средств, полученных в результате предоставления мер государственной поддержки, на выплату доходов акционерам, связанных с владением акциями (долями) системообразующих предприятий и возвратом акционерных займов в 2022 году, а также в 2023 году по результатам 2022 года;

соответствие объемов используемых в 2022 году средств объемам предоставленных средств.

11. Мониторинг проводится в отношении предметов мониторинга, указанных:

а) в подпунктах "а" и "б" пункта 10 настоящего Порядка, - начиная с даты включения системообразующей организации в реестр до даты фактического предоставления системообразующей организации соответствующих мер государственной поддержки;

б) в подпункте "в" пункта 10 настоящего Порядка, - в течение срока, в котором предоставляются меры государственной поддержки, либо в случае предоставления субсидий, предусмотренных подпунктом "а" пункта 2 Правил отбора, - до 31 декабря 2022 г.;

в) в подпункте "г" пункта 10 настоящего Порядка, - до даты фактического окончания реализации последнего из мероприятий, предусмотренных программой мероприятий, но не позднее 31 декабря 2022 г., а в части предмета мониторинга, предусмотренного абзацем вторым указанного подпункта, - до фактического осуществления выплат по итогам 2022 года, предусмотренных указанным абзацем, но не позднее 31 декабря 2023 г.;

г) в подпункте "д" пункта 10 настоящего Порядка, - до 31 декабря 2022 г., либо до даты, в которой системообразующей организацией израсходованы либо возвращены в порядке, установленном бюджетным законодательством Российской Федерации, полученные в рамках предоставления мер государственной поддержки средства, если такая дата наступает позднее 31 декабря 2022 г., а в части предмета мониторинга, предусмотренного абзацем четвертым указанного подпункта, - до фактического осуществления выплат по итогам 2022 года, предусмотренных указанным абзацем, но не позднее 31 декабря 2023 г.

12. Мониторинг в отношении предмета мониторинга, указанного в подпункте "а" пункта 10 настоящего Порядка, проводится путем направления запросов отраслевого органа системообразующей организации начиная с первого дня первого месяца квартала, в котором системообразующей организации должны быть предоставлены меры государственной поддержки.

Периодичность направления последующих запросов отраслевого органа по предмету мониторинга, предусмотренному подпунктом "а" пункта 10 настоящего Порядка, определяется сведениями системообразующей организации о предполагаемой дате обращения системообразующей организации для получения мер государственной поддержки.

Мониторинг в отношении предмета мониторинга, указанного в подпункте "б" пункта 10 настоящего Порядка, проводится путем направления запросов отраслевого органа в федеральные органы исполнительной власти или организации, структурные подразделения таких органов или организаций, осуществляющие непосредственную работу по предоставлению мер государственной поддержки. Указанные запросы направляются начиная с даты получения информации системообразующей организации об обращении для получения мер государственной поддержки при проведении мониторинга по предмету мониторинга, предусмотренному подпунктом "а" пункта 10 настоящего Порядка. Также мониторинг осуществляется с учетом сведений системообразующей организации, направляемых в отраслевой орган по ее инициативе, в том числе о сроках и порядке осуществления фактических процедур при предоставлении мер государственной поддержки.

Мониторинг в отношении предметов мониторинга, указанных в подпунктах "в" - "д" пункта 10 настоящего Порядка, проводится путем направления отраслевым органом запросов системообразующей организации ежемесячно начиная с месяца, следующего за месяцем, в котором системообразующей организации предоставлены меры государственной поддержки. При этом в случае проведения мониторинга в отношении меры государственной поддержки, предусмотренной подпунктом "в" пункта 2 Правил отбора, отраслевой орган вправе также запрашивать и получать информацию от органов и (или) организаций, осуществляющих мониторинг и (или) контроль при ее предоставлении, в порядке, установленном бюджетным законодательством Российской Федерации.

13. Запросы отраслевого органа направляются системообразующей организации способом и в соответствии с информацией, которые указаны в заявлении системообразующей организации о предоставлении мер государственной поддержки в соответствии с подпунктом "е" пункта 4 Правил отбора, либо информацией, указанной в ответе системообразующей организации на запрос отраслевого органа, который должен обеспечивать оперативность доставления запроса и подтверждение получения запроса системообразующей организацией.

При получении запроса отраслевого органа системообразующая организация должна направить ответ на него в течение 5 рабочих дней со дня, следующего за днем получения. При этом системообразующая организация должна обеспечивать оперативность доставления ответа исходя из необходимости его получения отраслевым органом в срок не позднее 3 календарных дней со дня его подписания.

14. Отраслевой орган ежемесячно до 30-го числа месяца готовит сводный отчет о ходе проведения мониторинга (далее - сводный отчет) и направляет его в Минэкономразвития России. Сводный отчет должен содержать информацию:

а) о составе системообразующих организаций, в отношении которых он сформирован;

б) о периоде, за который сформирован сводный отчет;

в) о соблюдении либо несоблюдении сроков обращения системообразующих организаций для предоставления мер государственной поддержки с указанием в случае несоблюдения таких сроков перечня системообразующих организаций и конкретных мер государственной поддержки, за которыми они не обратились в сроки, согласованные решением Подкомиссии, предусмотренным пунктом 13 Правил отбора;

г) о соблюдении либо несоблюдении сроков проведения установленных процедур, необходимых для предоставления системообразующей организации мер государственной поддержки, с указанием органов, допустивших несоблюдение таких сроков, и источников информации;

д) о выявленных фактах нарушения условий предоставления мер государственной поддержки при их наличии с указанием системообразующей организации, которая их допустила, изложением действий и (или) бездействия системообразующей организации, в результате которых были нарушены такие условия, и источников информации;

е) о фактах ненаправления системообразующими организациями ответов на запросы отраслевого органа при их наличии с указанием системообразующих организаций, которые не направили такие ответы;

ж) о фактах направления системообразующими организациями неполной или сомнительной информации в составе ответов на запросы отраслевого органа при их наличии с указанием системообразующих организаций, которые направили такую информацию.

В случае выявления несоблюдения системообразующими организациями условий предоставления мер государственной поддержки, согласованных решением Подкомиссии, предусмотренным пунктом 13 Правил отбора, сводный отчет должен быть направлен отраслевым органом в сроки, указанные в абзаце первом настоящего пункта, в Подкомиссию.

15. Сводные отчеты рассматриваются Минэкономразвития России в 10-дневный срок. В случае выявления несоблюдения системообразующими организациями условий предоставления мер государственной поддержки, согласованных решением Подкомиссии, предусмотренным пунктом 13 Правил отбора, Минэкономразвития России направляет соответствующую информацию в указанный срок в Подкомиссию.