Государственная система обеспечения единства измерений. Масса нефти и нефтепродуктов. Методики (методы) измерений. ГОСТ 8.587-2019

(утв. Приказом Росстандарта от 14.11.2019 N 1170-СТ)
Редакция от 14.11.2019 — Действует с 30.04.2020

Данный документ приведен с учетом Поправки N 7, 2023.


МЕЖГОСУДАРСТВЕННЫЙ СТАНДАРТ

ГОСУДАРСТВЕННАЯ СИСТЕМА ОБЕСПЕЧЕНИЯ ЕДИНСТВА ИЗМЕРЕНИЙ

МАССА НЕФТИ И НЕФТЕПРОДУКТОВ

МЕТОДИКИ (МЕТОДЫ) ИЗМЕРЕНИЙ

State system for ensuring the uniformity of measurements. Mass of oil and oil products. Measurement procedures

ГОСТ 8.587-2019

Дата введения
30 апреля 2020 года

Предисловие

Цели, основные принципы и общие правила проведения работ по межгосударственной стандартизации установлены ГОСТ 1.0 "Межгосударственная система стандартизации. Основные положения" и ГОСТ 1.2 "Межгосударственная система стандартизации. Стандарты межгосударственные, правила и рекомендации по межгосударственной стандартизации. Правила разработки, принятия, обновления и отмены"

Сведения о стандарте

1. РАЗРАБОТАН Обществом с ограниченной ответственностью "Научно-исследовательский институт трубопроводного транспорта" (ООО "НИИ Транснефть"), Федеральным государственным унитарным предприятием "Всероссийский научно-исследовательский институт расходометрии" (ФГУП "ВНИИР"), Акционерным обществом "Нефтеавтоматика" (АО "Нефтеавтоматика")

2. ВНЕСЕН Подкомитетом ПК 7 "Магистральный трубопроводный транспорт нефти и нефтепродуктов" Межгосударственного технического комитета по стандартизации МТК 523 "Техника и технологии добычи и переработки нефти и газа"

3. ПРИНЯТ Межгосударственным советом по стандартизации, метрологии и сертификации (протокол от 30 октября 2019 г. N 123-П)

За принятие проголосовали:

Краткое наименование страны по МК (ИСО 3166) 004-97 Код страны по МК (ИСО 3166) 004-97 Сокращенное наименование национального органа по стандартизации
Армения AM Минэкономики Республики Армения
Беларусь BY Госстандарт Республики Беларусь
Казахстан KZ Госстандарт Республики Казахстан
Киргизия KG Кыргызстандарт
Россия RU Росстандарт

4. Приказом Федерального агентства по техническому регулированию и метрологии от 14 ноября 2019 г. N 1170-ст межгосударственный стандарт ГОСТ 8.587-2019 <*> введен в действие в качестве национального стандарта Российской Федерации с 30 апреля 2020 г.

<*> Приказом Федерального агентства по техническому регулированию и метрологии от 14 ноября 2019 г. N 1170-ст ГОСТ Р 8.595-2004 и ГОСТ Р 8.903-2015 отменены с 30 апреля 2020 г.

5. ВВЕДЕН ВПЕРВЫЕ

Информация о введении в действие (прекращении действия) настоящего стандарта и изменений к нему на территории указанных выше государств публикуется в указателях национальных стандартов, издаваемых в этих государствах, а также в сети Интернет на сайтах соответствующих национальных органов по стандартизации.

В случае пересмотра, изменения или отмены настоящего стандарта соответствующая информация будет опубликована на официальном интернет-сайте Межгосударственного совета по стандартизации, метрологии и сертификации в каталоге "Межгосударственные стандарты"

1. Область применения

1.1. Настоящий стандарт устанавливает методики измерений массы нефти/нефтепродуктов, основанные на следующих методах измерений:

а) косвенном методе динамических измерений;

б) прямом методе динамических измерений;

в) косвенном методе статических измерений;

г) прямом методе статических измерений;

д) косвенном методе, основанном на гидростатическом принципе.

Примечание - Здесь и далее в Республике Беларусь, Республике Казахстан, Киргизской Республике вместо понятия "методика измерений" применяется понятие "методика выполнения измерений".

1.2. Настоящий стандарт распространяется:

а) на проектируемые, вновь строящиеся и реконструируемые измерительные системы, в том числе системы измерений количества и показателей качества нефти и нефтепродуктов;

б) проектируемые, вновь строящиеся и реконструируемые вертикальные и горизонтальные резервуары;

в) вновь изготавливаемые резервуары (танки) речных и морских наливных судов, железнодорожные цистерны, автоцистерны, прицепы-цистерны, полуприцепы-цистерны.

1.3. Настоящий стандарт может быть применен при разработке методик измерений массы нефти/нефтепродуктов для индивидуальных условий применения.

2. Нормативные ссылки

В настоящем стандарте использованы нормативные ссылки на следующие межгосударственные стандарты:

ГОСТ 8.009-84 Государственная система обеспечения единства измерений. Нормируемые метрологические характеристики средств измерений

ГОСТ 8.247-2004 Государственная система обеспечения единства измерений. Метроштоки для измерений уровня нефтепродуктов в горизонтальных резервуарах. Методика поверки

ГОСТ 8.346-2000 Государственная система обеспечения единства измерений. Резервуары стальные горизонтальные цилиндрические. Методика поверки

ГОСТ 8.570-2000 Государственная система обеспечения единства измерений. Резервуары стальные вертикальные цилиндрические. Методика поверки

ГОСТ 8.647-2015 Государственная система обеспечения единства измерений. Весы вагонные автоматические. Часть 1. Метрологические и технические требования. Методы испытаний

ГОСТ 33-2016 Нефть и нефтепродукты. Прозрачные и непрозрачные жидкости. Определение кинематической и динамической вязкости

ГОСТ 1756-2000 (ИСО 3007-99) Нефтепродукты. Определение давления насыщенных паров <1>

<1> В Российской Федерации действует в том числе ГОСТ Р 52340-2005 "Нефть. Определение давления паров методом расширения".

ГОСТ 2477-2014 Нефть и нефтепродукты. Метод определения содержания воды

ГОСТ 2517-2012 Нефть и нефтепродукты. Методы отбора проб

ГОСТ 3900-85 Нефть и нефтепродукты. Методы определения плотности <2>

<2> В Российской Федерации действует в том числе ГОСТ Р 51069-97 "Нефть и нефтепродукты. Метод определения плотности, относительной плотности и плотности в градусах API ареометром". В Республике Беларусь действует СТБ 1799.

ГОСТ 6370-83 Нефть, нефтепродукты и присадки. Метод определения механических примесей

ГОСТ 7502-98 Рулетки измерительные металлические. Технические условия

ГОСТ 13196-93 Устройства автоматизации резервуарных парков. Средства измерения уровня и отбора проб нефти и нефтепродуктов. Общие технические требования и методы испытаний

ГОСТ 18481-81 Ареометры и цилиндры стеклянные. Общие технические условия

ГОСТ 21534-76 Нефть. Методы определения содержания хлористых солей

ГОСТ 31378-2009 <3> Нефть. Общие технические условия

<3> В Российской Федерации действует в том числе ГОСТ Р 51858-2002.

ГОСТ 31873-2012 <4> Нефть и нефтепродукты. Методы ручного отбора проб

<4> В Республике Беларусь действует в том числе СТБ ИСО 3170.

ГОСТ 32595-2013 <5> Топливо авиационное для газотурбинных двигателей Джет А-1 (JET A-1). Технические условия

<5> В Российской Федерации действует в том числе ГОСТ Р 52050-2006.

ГОСТ 34396-2018 Системы измерений количества и показателей качества нефти и нефтепродуктов. Общие технические условия

ГОСТ OIML R 76-1-2011 Государственная система обеспечения единства измерений. Весы неавтоматического действия. Часть 1. Метрологические и технические требования. Испытания

ГОСТ ISO 3675-2014 Нефть сырая и нефтепродукты жидкие. Лабораторный метод определения плотности с использованием ареометра

Примечание - При пользовании настоящим стандартом целесообразно проверить действие ссылочных стандартов и классификаторов на официальном интернет-сайте Межгосударственного совета по стандартизации, метрологии и сертификации (www.easc.by) или по указателям национальных стандартов, издаваемым в государствах, указанных в предисловии, или на официальных сайтах соответствующих национальных органов по стандартизации. Если на документ дана недатированная ссылка, то следует использовать документ, действующий на текущий момент, с учетом всех внесенных в него изменений. Если заменен ссылочный документ, на который дана датированная ссылка, то следует использовать указанную версию этого документа. Если после принятия настоящего стандарта в ссылочный документ, на который дана датированная ссылка, внесено изменение, затрагивающее положение, на которое дана ссылка, то это положение применяется без учета данного изменения. Если ссылочный документ отменен без замены, то положение, в котором дана ссылка на него, применяется в части, не затрагивающей эту ссылку.

3. Термины и определения

В настоящем стандарте применены следующие термины с соответствующими определениями:

3.1 балласт нефти (ballast of oil): Масса содержащихся в нефти воды, хлористых солей и механических примесей, измеренных с применением средств измерений и/или определенных по результатам лабораторных испытаний.

3.2 балласт мазута (ballast of masut): Масса содержащихся в мазуте воды и механических примесей, измеренных с применением средств измерений и/или определенных по результатам лабораторных испытаний.

Примечание - В Республике Беларусь балласт мазута не определяется.

3.3 градуировка (gauging): Операция, при которой определяется зависимость выходной величины от входной в виде формул и таблиц с установленными показателями точности.

3.4 градуировочная/калибровочная таблица (gauge table): Документ, определяющий зависимость вместимости технического устройства от уровня его наполнения при нормированном значении температуры с установленными показателями точности, оформляемый при поверке, калибровке или выдаваемый изготовителем технического устройства.

3.5 косвенный метод динамических измерений массы нефти/нефтепродуктов (indirect method of dynamic measurements mass of oil/oil products): Метод динамических измерений, при котором значение массы нефти/нефтепродуктов определяют на основании результатов измерений плотности и объема нефти/нефтепродуктов в трубопроводах.

3.6 косвенный метод статических измерений массы нефти/нефтепродуктов (indirect method of static measurements mass of oil/oil products): Метод статических измерений, при котором значение массы нефти/нефтепродуктов определяют на основании результатов измерений плотности и объема нефти/нефтепродуктов в резервуарах, резервуарах (танках) речных или морских наливных судов, цистернах.

3.7 косвенный метод измерений массы нефти/нефтепродуктов, основанный на гидростатическом принципе (indirect hydrostatic principle method measurements mass of oil/oil products): Метод, при котором значение массы нефти/нефтепродуктов определяют на основании результатов измерений гидростатического давления и уровня нефти/нефтепродуктов в резервуарах.

3.8 масса брутто нефти (gross mass of oil): Масса нефти, включающая в себя массу содержащихся в нефти во взвешенном состоянии воды, хлористых солей и механических примесей в пределах, установленных ГОСТ 31378.

3.9 масса брутто мазута (gross mass of masut): Масса мазута, включающая в себя массу содержащихся в мазуте во взвешенном состоянии воды и механических примесей.

Примечание - В Республике Беларусь масса брутто мазута не определяется.

3.10 масса нетто нефти/мазута (net mass of oil/masut): Масса нефти/мазута за вычетом балласта.

Примечание - В Республике Беларусь масса нетто мазута не определяется.

3.11 прямой метод динамических измерений массы нефти/нефтепродуктов (direct method of dynamic measurements mass of oil/oil products): Метод, основанный на прямых измерениях массы нефти/нефтепродуктов с применением средств измерений массового расхода в трубопроводах.

3.12 прямой метод статических измерений массы нефти/нефтепродуктов (direct method of static measurements mass of oil and oil products): Метод, основанный на прямых измерениях массы нефти/нефтепродуктов с применением средств измерений массы.

3.13 стандартные условия (standard conditions): Условия, соответствующие температуре нефти и нефтепродуктов 15 °C или 20 °C и избыточному давлению, равному нулю.

4. Сокращения

В настоящем стандарте применены следующие сокращения:

СИ - средство измерений;

СИКН - система измерений количества и показателей качества нефти;

СИКНП - система измерений количества и показателей качества нефтепродуктов;

СОИ - система сбора и обработки информации.

5. Основные положения

5.1. Для измерений массы нефти/нефтепродуктов при транспортировке по трубопроводам, при перевалке на автомобильный, железнодорожный, водный транспорт применяют:

а) косвенный метод динамических измерений;

б) прямой метод динамических измерений.

5.2. Для измерений массы нефти/нефтепродуктов в резервуарах применяют:

а) косвенный метод статических измерений;

б) косвенный метод, основанный на гидростатическом принципе.

5.3. Для измерений массы нефти/нефтепродуктов в резервуарах (танках) речных или морских наливных судов применяют косвенный метод статических измерений.

5.4. Для измерений массы нефти/нефтепродуктов в цистернах применяют:

а) прямой метод статических измерений;

б) косвенный метод статических измерений.

5.5. Измерения массы нефти/нефтепродуктов выполняют в соответствии с методиками измерений, приведенными в приложениях А - Д.

5.6. Методики измерений массы брутто и нетто нефти/нефтепродуктов (мазутов) и массы нефтепродуктов обеспечивают получение результатов измерений с максимальной допускаемой относительной погрешностью, приведенной в таблице 1.

Таблица 1

Максимальная допускаемая относительная погрешность измерений

Наименование метода измерений Диапазон измерений Максимальная допускаемая относительная погрешность измерений, %
массы брутто нефти/нефтепродуктов (мазутов) и массы нефтепродуктов массы нетто нефти/нефтепродуктов (мазутов)
Косвенный метод динамических измерений Без ограничений +/- 0,25 +/- 0,35
Прямой метод динамических измерений Без ограничений +/- 0,25 +/- 0,35
Косвенный метод статических измерений Не более 200 <1> т +/- 0,65 +/- 0,75
200 <1> т и более +/- 0,50 +/- 0,60
Прямой метод статических измерений взвешиванием на весах расцепленных цистерн Без ограничений +/- 0,40 +/- 0,50
Прямой метод статических измерений взвешиванием на весах движущихся нерасцепленных цистерн и составов из них Общей массой не более 1000 <2> т +/- 1,0 <3> +/- 1,1 <4>
Общей массой 1000 т и более <2> +/- 2,5 <3> +/- 2,6 <4>
Косвенный метод, основанный на гидростатическом принципе Не более 200 <1> т +/- 0,65 +/- 0,75
200 <1> т и более +/- 0,50 +/- 0,60

<1> В Республике Беларусь вместо значения "200" применяется "120".

<2> В Республике Беларусь диапазон измерений применяется без ограничений.

<3> В Республике Беларусь вместо значений "+/- 1,0" и "+/- 2,5" применяется "+/- 0,50".

<4> В Республике Беларусь вместо значений "+/- 1,1" и "+/- 2,6" применяется "+/- 0,60".

5.7. Максимальная допускаемая относительная погрешность измерений массы одной и той же партии нефти/нефтепродуктов, полученной при применении независимо друг от друга нескольких методов измерений, равна сумме максимальных допускаемых относительных погрешностей измерений применяемых методов.

5.8. Нефть должна соответствовать ГОСТ 31378.

5.9. Требования к СИ и измерительным системам, указанным в методиках измерений, приведенных в приложениях А - Д, устанавливают в соответствии со стандартами, техническими регламентами, законами, нормативными правовыми актами в области обеспечения единства измерений/законодательной метрологии государств, на территории которых проводят измерения.

Приложение А
(обязательное)

МЕТОДИКА ИЗМЕРЕНИЙ МАССЫ НЕФТИ И НЕФТЕПРОДУКТОВ КОСВЕННЫМ МЕТОДОМ ДИНАМИЧЕСКИХ ИЗМЕРЕНИЙ

А.1. Требования к погрешности измерений

А.1.1. Максимальная допускаемая относительная погрешность измерений массы брутто нефти/нефтепродуктов (мазутов) и массы нефтепродуктов составляет +/- 0,25%.

А.1.2. Максимальная допускаемая относительная погрешность измерений массы нетто нефти/нефтепродуктов (мазутов) составляет +/- 0,35%.

А.2. Требования к средствам измерений и техническим устройствам

А.2.1. Для выполнения измерений применяют:

а) измерительные системы, в том числе СИКН по ГОСТ 34396, с пределами допускаемой относительной погрешности измерений массы брутто нефти +/- 0,25% и нетто нефти +/- 0,35%;

б) измерительные системы, в том числе СИКНП по ГОСТ 34396, с пределами допускаемой относительной погрешности измерений массы нефтепродуктов +/- 0,25% [массы брутто нефтепродуктов (мазутов) +/- 0,25% и нетто нефтепродуктов (мазутов) +/- 0,35%].

А.2.2. Для выполнения измерений допускается применять СИ, используемые автономно:

а) СИ объемного расхода с пределами допускаемой относительной погрешности +/- 0,15%;

б) преобразователи давления с пределами допускаемой приведенной погрешности +/- 0,5%;

в) преобразователи температуры с пределами допускаемой абсолютной погрешности +/- 0,3 °C;

г) поточные СИ плотности с пределами допускаемой абсолютной погрешности +/- 0,36 кг/м3;

д) поточные СИ вязкости с пределами допускаемой приведенной погрешности +/- 1%;

е) поточные СИ объемной доли воды в нефти/нефтепродуктах (мазутах) с пределами допускаемой абсолютной погрешности +/- 0,1%;

ж) СОИ с пределами допускаемой относительной погрешности вычисления массы нефти и нефтепродуктов +/- 0,05%.

А.2.3. При отказе (отсутствии) преобразователей давления, преобразователей температуры, поточных СИ плотности, поточных СИ вязкости нефти/нефтепродуктов (мазутов), поточных СИ объемной доли воды в нефти/нефтепродуктах (мазутах) допускается применять:

а) манометры с классом точности не ниже 0,6;

б) термометры с пределами допускаемой абсолютной погрешности +/- 0,2 °C с ценой деления 0,1 °C;

в) лабораторные автоматизированные СИ плотности с пределами допускаемой абсолютной погрешности +/- 0,36 кг/м3, или ареометры по ГОСТ ISO 3675, или ареометры типа АНТ-1 или АН по ГОСТ 18481 с ценой деления 0,5 кг/м3 и пределами допускаемой абсолютной погрешности измерений плотности +/- 0,5 кг/м3, или СИ плотности по методикам измерений;

г) лабораторные автоматизированные СИ вязкости с пределами допускаемой приведенной погрешности +/- 1% или СИ по ГОСТ 33;

д) лабораторные автоматизированные СИ объемной доли воды в нефти/нефтепродуктах (мазутах) с пределами допускаемой абсолютной погрешности +/- 0,1% или СИ и технические устройства по ГОСТ 2477.

А.2.4. СИ и технические устройства, используемые в испытательной лаборатории для измерений:

а) массовой доли воды в нефти/нефтепродуктах (мазутах) - по ГОСТ 2477;

б) массовой доли механических примесей в нефти/нефтепродуктах (мазутах) - по ГОСТ 6370;

в) массовой концентрации хлористых солей в нефти - по ГОСТ 21534.

А.2.5. При выполнении измерений СИ, используемых автономно, применяют технические устройства:

а) пробозаборные устройства;

б) автоматические пробоотборники;

в) ручные пробоотборники с диспергатором.

А.2.6. Диапазоны измерений СИ должны обеспечивать возможность измерений величин во всем интервале значений.

А.2.7. Максимальная допускаемая относительная погрешность измерений массы нефти/нефтепродуктов с применением указанных СИ должна соответствовать А.1, при этом допускается применять иные СИ, технические устройства с характеристиками не хуже приведенных.

А.3. Требования к квалификации персонала

А.3.1. К выполнению измерений и/или обработке их результатов допускают персонал, отвечающий установленным квалификационным требованиям, с соответствующей группой допуска по электробезопасности, прошедший обучение по промышленной безопасности, пожарной безопасности, по безопасности труда и инструктаж по охране труда.

А.3.2. К выполнению измерений и/или обработке их результатов допускают персонал, знающий свои обязанности, ознакомленный с эксплуатационной документацией на СИ и технические устройства, умеющий выполнять операции, предусмотренные настоящим стандартом.

А.4. Требования безопасности

А.4.1. При выполнении работ соблюдают требования охраны труда, промышленной и пожарной безопасности, взрывобезопасности.

А.4.2. Охрану труда и безопасность обеспечивают в соответствии с действующим законодательством государств, на территории которых применяют настоящий стандарт.

А.4.3. СИ, электрооборудование и технические устройства используют в соответствии с руководствами (инструкциями) по эксплуатации.

А.4.4. Конструкция СИ, электрооборудования и технических устройств должна обеспечивать возможность удобного и безопасного выполнения операций с применением средств индивидуальной защиты.

А.4.5. При возникновении неисправностей, аварийной разгерметизации оборудования работы прекращают. Возобновление работ допускается только после выявления и устранения причин их возникновения.

А.5. Требования охраны окружающей среды

Безопасность окружающей среды обеспечивают отсутствием неконтролируемых утечек нефти/нефтепродуктов во время измерений.

А.6. Требования к условиям измерений на объектах измерений

А.6.1. Расход нефти/нефтепродуктов через СИ объемного расхода (турбинные, ультразвуковые, роторные, лопастные) должен находиться в пределах рабочего диапазона измерений расхода, указанного в свидетельстве о поверке, калибровке.

А.6.2. Значение избыточного давления в трубопроводе , МПа, после СИ объемного расхода должно быть не менее значения, рассчитанного в соответствии с технической документацией на СИ объемного расхода.

Примечание - При отсутствии в технической документации на СИ объемного расхода указаний по расчету избыточного давления , вычисляют по формуле

, (А.1)

где:

- давление насыщенных паров, МПа (определяют в соответствии с ГОСТ 1756);

- перепад давления на СИ объемного расхода, МПа (определяют по технической документации на СИ объемного расхода).

А.6.3. Условия применения измерительных систем, в том числе СИКН, СИКНП и СИ, испытательного оборудования и технических устройств должны соответствовать условиям эксплуатации, указанным в эксплуатационной документации и описании типа СИКН, СИКНП, СИ.

А.7. Подготовка к выполнению измерений

При подготовке к выполнению измерений выполняют следующие операции:

а) подготовка измерительных систем, в том числе СИКН, СИКНП и СИ к выполнению измерений в соответствии с эксплуатационной документацией;

б) проверка целостности пломб и/или клейм СИ;

в) проверка выполнения требований, предъявляемых к СИ и измерительным системам, в том числе СИКН, СИКНП, и приведенных в стандартах, технических регламентах, законах, нормативных правовых актах в области обеспечения единства измерений/законодательной метрологии государств, на территории которых проводят измерения;

г) проверка выполнения условий измерений согласно А.6;

д) проверка внутреннего времени СОИ.

А.8 Порядок выполнения измерений

А.8.1. При косвенном методе динамических измерений выполняют операции по измерению:

а) объема нефти/нефтепродуктов;

б) плотности нефти/нефтепродуктов;

в) давления и температуры нефти/нефтепродуктов при измерении объема и плотности нефти/нефтепродуктов;

г) массовой доли составляющих балласта нефти/нефтепродуктов (мазутов).

А.8.2. Если вязкость нефти/нефтепродуктов (мазутов) влияет на характеристики СИ объемного расхода, контролируют диапазон вязкости, в котором работают СИ объемного расхода. Вязкость нефти/нефтепродуктов (мазутов) измеряют с периодичностью, установленной стандартами организации.

А.8.3. Отбор проб нефти/нефтепродуктов осуществляют по ГОСТ 2517, ГОСТ 31873.

А.8.4. При отказе (отсутствии) поточных СИ плотности плотность нефти/нефтепродуктов измеряют в лаборатории по методикам измерений, ГОСТ 3900, ГОСТ ISO 3675.

А.8.5. При отказе (отсутствии) поточных СИ вязкости нефти/нефтепродуктов (мазутов) вязкость нефти/нефтепродуктов (мазутов) измеряют по ГОСТ 33 при температуре нефти/нефтепродуктов в СИ объемного расхода.

А.8.6. При отказе преобразователей давления, преобразователей температуры давление и температуру нефти/нефтепродуктов измеряют с применением манометров и термометров.

А.8.7. При отказе (отсутствии) поточных СИ объемной доли воды в нефти/нефтепродуктах (мазутах) содержание воды в нефти измеряют с применением лабораторных автоматизированных СИ объемной доли воды в нефти/нефтепродуктах (мазутах) или по ГОСТ 2477.

А.8.8. Массовую долю воды в нефти/нефтепродуктах (мазутах) в испытательной лаборатории измеряют по ГОСТ 2477. Массовую долю механических примесей в нефти/нефтепродуктах (мазутах) измеряют по ГОСТ 6370. Массовую концентрацию хлористых солей в нефти измеряют по ГОСТ 21534.

Примечание - Допускается проводить измерения массовой доли воды, механических примесей, массовой концентрации хлористых солей с применением автоматизированных СИ по методикам измерений.

А.9. Обработка результатов измерений

А.9.1. При применении СИКН, СИКНП обработку результатов измерений осуществляют с применением СОИ и программного обеспечения в составе СИКН, СИКНП. При применении СИ, используемых автономно, обработку результатов измерений осуществляют с применением СОИ и/или программного обеспечения.

Примечание - Возможна обработка результатов измерений оператором вручную.

А.9.2. При обработке результатов измерений плотность нефти/нефтепродуктов приводят по температуре к стандартным условиям или к условиям измерения объема по формулам, приведенным в настоящем стандарте.

Примечание - Допускается плотность нефти/нефтепродуктов приводить по температуре к стандартным условиям, к условиям измерения объема по таблицам пересчета (приведения) плотности по температуре к стандартным условиям и к условиям измерения объема, приведенным в документах по стандартизации, в том числе ANSI/ASTM D 1250 [1].

А.9.3. Плотность нефти/нефтепродуктов, измеренную с применением поточных СИ плотности, приведенную к стандартным условиям при температуре 15 °C, , кг/м3, вычисляют по формуле

, (А.2)

где:

- плотность нефти/нефтепродуктов, измеренная при температуре и давлении нефти/нефтепродуктов в поточных СИ плотности, кг/м3;

- поправочный коэффициент, учитывающий влияние температуры нефти/нефтепродуктов на их объем в поточных СИ плотности, вычисляемый аналогично поправочному коэффициенту CTL по формуле

, (А.3)

где:

- температура нефти/нефтепродуктов, °C;

- коэффициент, учитывающий стандартные условия по температуре, равный 15 °C или 20 °C в зависимости от исходных данных;

- коэффициент объемного расширения нефти/нефтепродуктов, , вычисляемый:

а) при температуре 15 °C по формуле

, (А.4)

где , , - коэффициенты, значения которых приведены в таблице А.1

- плотность нефти/нефтепродуктов, вычисленная по А.9.5.

Таблица А.1

Значения коэффициентов , ,

Рабочая среда , кг/м3
Нефть От 611,2 до 1163,8 613,9723 0,0000 0,0000
Бензины От 611,2 до 770,9 346,4228 0,43884 0,0000
Топлива, занимающие по плотности промежуточное место между бензинами и керосинами От 770,9 до 788,0 2690,7440 0,00000 - 0,0033762
Топлива и керосины для реактивных двигателей, авиационное реактивное топливо ДЖЕТ А-1 по ГОСТ 32595 От 788,0 до 838,7 594,5418 0,0000 0,0000
Дизельные топлива, мазуты, печные топлива От 838,7 до 1163,9 186,9696 0,4862 0,0000
Примечания
1. Нефтепродукты разделены на группы, имеющие внутри подгруппы, в указанном в таблице диапазоне плотности, аналогичные характеристики зависимости между коэффициентом объемного расширения и плотностью нефтепродукта .
Наименование групп носит условный характер.
2. Рекомендуется при расчетах плотности нефтепродуктов, выпускаемых отечественными производителями, применять значения коэффициентов , , , уточненные по результатам экспериментальных и теоретических работ и утвержденные в установленном порядке.
3. Если значение плотности нефтепродукта попадает в диапазон плотности, соответствующей другой группе нефтепродуктов, то при расчете плотности конкретного нефтепродукта, в связи с условным наименованием групп, следует применять значения коэффициентов , , , той подгруппы нефтепродуктов, которой соответствует его плотность . Так, например бензин с плотностью более 770,9 кг/м3 следует относить к подгруппе "топлива, занимающие по плотности промежуточное место между бензинами и керосинами" и расчет плотности проводить по коэффициентам, соответствующим данной подгруппе.

б) при температуре 20 °C по формуле

, (А.5)

где - плотность нефти/нефтепродуктов, приведенная к стандартным условиям при температуре 20 °C, вычисляемая по формуле

, (А.6)

- поправочный коэффициент, учитывающий влияние давления нефти/нефтепродуктов на их объем в поточных СИ плотности, вычисляемый аналогично поправочному коэффициенту CPL по формуле

, (А.7)

где:

- давление нефти/нефтепродуктов, МПа;

- коэффициент сжимаемости нефти/нефтепродуктов, , вычисляемый по формуле

. (А.8)

А.9.4. Плотность нефти/нефтепродуктов, измеренную с применением лабораторных автоматизированных СИ плотности или ареометров в лаборатории в объединенной пробе, приведенную к стандартным условиям при температуре 15 °C, кг/м3, вычисляют по формуле

, (А.9)

где:

- плотность нефти/нефтепродуктов, измеренная с применением лабораторных автоматизированных СИ плотности или ареометров в лаборатории, кг/м3;

K - поправочный коэффициент на температурное расширение стекла для ареометров, вычисляемый:

а) для ареометров, градуированных при температуре 15 °C, по формуле

; (А.10)

б) для ареометров, градуированных при температуре 20 °C, по формуле

. (А.11)

При измерении плотности с применением лабораторных автоматизированных СИ плотности поправочный коэффициент на температурное расширение стекла для ареометров K принимают равным единице.

- поправочный коэффициент, учитывающий влияние температуры нефти/нефтепродуктов на их объем, вычисляемый аналогично поправочному коэффициенту CTL.

А.9.5. Значения поправочных коэффициентов , , и плотности вычисляют методом последовательных приближений для каждого измерения следующим образом:

а) вычисляют значение коэффициента объемного расширения нефти/нефтепродуктов при температуре 15 °C , , аналогично значению коэффициента объемного расширения нефти/нефтепродуктов при температуре 15 °C , , по формуле (А.4), принимая плотность нефти/нефтепродуктов , кг/м3, равной измеренной плотности или , кг/м3, соответственно;

б) вычисляют значение коэффициента сжимаемости нефти/нефтепродуктов при температуре измерения ее объема , , аналогично значению коэффициента сжимаемости рабочей среды при температуре измерения ее объема , , по формуле (А.8), принимая плотность нефти/нефтепродуктов , кг/м3, равной измеренной плотности или , кг/м3, соответственно, температуру нефти/нефтепродуктов при измерении ее объема , °C, равной температуре нефти/нефтепродуктов при измерении плотности, °C;

в) вычисляют значение поправочных коэффициентов , аналогично значению поправочного коэффициента CTL по формуле (А.3), принимая температуру нефти/нефтепродуктов при измерении ее объема , °C, равной температуре нефти/нефтепродуктов при измерении плотности, °C, коэффициент объемного расширения нефти/нефтепродуктов при температуре 15 °C , , равным коэффициенту объемного расширения нефти/нефтепродуктов при температуре 15 °C , ;

г) вычисляют значение поправочного коэффициента аналогично значению поправочного коэффициента CPL по формуле (А.7), принимая давление нефти/нефтепродуктов при измерении ее объема , МПа, равным давлению при измерении плотности, МПа, коэффициент сжимаемости нефти/нефтепродуктов при температуре измерения ее объема , , равным коэффициенту сжимаемости нефти/нефтепродуктов при температуре измерения ее объема , ;

д) вычисляют значение плотности или аналогично значению плотности или по формуле (А.2) или (А.9), принимая поправочный коэффициент равным поправочному коэффициенту ;

е) проверяют выполнение условия

, (А.12)

где k и (k - 1) - порядковые номера вычислений значений плотности , кг/м3;

или выполнение условия

, (А.13)

где k и (k - 1) - порядковые номера вычислений значений плотности , кг/м3;

ж) при невыполнении условия (А.12) или (А.13) повторяют операции по перечислениям а) - д);

и) при выполнении условия (А.12) или (А.13) вычисления прекращают.

А.9.6. Объем нефти/нефтепродуктов, приведенный к стандартным условиям при температуре 15 °C, , м3, вычисляют по формуле

, (А.14)

где:

- объем нефти/нефтепродуктов, измеренный при температуре и давлении нефти/нефтепродуктов в СИ объемного расхода, м3;

- поправочный коэффициент, учитывающий влияние температуры нефти/нефтепродуктов на их объем в СИ объемного расхода, вычисляемый аналогично поправочному коэффициенту CTL;

- поправочный коэффициент, учитывающий влияние давления нефти/нефтепродуктов на их объем в СИ объемного расхода, вычисляемый аналогично поправочному коэффициенту CPL.

А.9.7. Объем нефти/нефтепродуктов , м3, приведенный к стандартным условиям при температуре 20 °C, вычисляют по формуле

. (А.15)

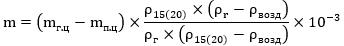
А.9.8. Массу брутто нефти/нефтепродуктов (мазутов) и массу нефтепродуктов , т, при измерениях объема нефти/нефтепродуктов с применением СИ объемного расхода и плотности нефти/нефтепродуктов с применением поточных СИ плотности, лабораторных автоматизированных СИ плотности, ареометров с последующим приведением результатов измерений к объему и плотности при стандартных условиях вычисляют по формуле

, (А.16)

где:

- плотность нефти/нефтепродуктов, приведенная к стандартным условиям, кг/м3, вычисляемая по формуле (А.2), или (А.6), или (А.9) в зависимости от применяемых СИ;

- объем нефти/нефтепродуктов, приведенный к стандартным условиям, м3, вычисляемый по формуле (А.14) или (А.15) в зависимости от требуемой температуры.

А.9.9. Массу брутто нефти/нефтепродуктов (мазутов) и массу нефтепродуктов , т, при измерениях объема нефти/нефтепродуктов с применением СИ объемного расхода и плотности нефти/нефтепродуктов с применением поточных СИ плотности с последующим приведением результатов измерений плотности нефти/нефтепродуктов к условиям измерений их объема допускается вычислять по формуле

, (А.17)

где:

- плотность нефти/нефтепродуктов, измеренная при температуре и давлении нефти/нефтепродуктов в поточных СИ плотности, кг/м3;

- объем нефти/нефтепродуктов, измеренный при температуре и давлении нефти/нефтепродуктов в СИ объемного расхода, м3;

- температура нефти/нефтепродуктов в поточных СИ плотности, °C;

- температура нефти/нефтепродуктов в СИ объемного расхода, °C;

- избыточное давление нефти/нефтепродуктов в СИ объемного расхода, МПа;

- избыточное давление нефти/нефтепродуктов в поточных СИ плотности, МПа.

А.9.10. Массу брутто нефти/нефтепродуктов (мазутов) и массу нефтепродуктов , т, при измерениях объема нефти/нефтепродуктов с применением СИ объемного расхода и плотности нефти/нефтепродуктов в объединенной пробе с применением лабораторных автоматизированных СИ плотности или ареометров с последующим приведением результатов измерений плотности нефти/нефтепродуктов к плотности при условиях измерений их объема допускается вычислять по формуле

, (А.18)

где:

- температура нефти/нефтепродуктов при измерении плотности, °C;

- избыточное давление нефти/нефтепродуктов при измерениях их объема, МПа.

А.9.11. Формулы (А.17), (А.18) применяют при разности температур при измерениях плотности и объема нефти/нефтепродуктов не более 15 °C. При разности температур при измерениях плотности и объема нефти/нефтепродуктов более 15 °C вычисления проводят при приведении результатов к стандартным условиям.

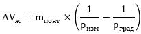
А.9.12. Массу нетто нефти/нефтепродуктов (мазутов) , т, вычисляют по формуле

, (А.19)

где:

m - масса брутто нефти/нефтепродуктов (мазутов), т, вычисляемая по формуле (А.16), или (А.17), или (А.18) в зависимости от применяемых СИ и условий измерений;

- масса балласта, т, вычисляемая по формуле

, (А.20)

где - массовая доля воды в нефти/нефтепродуктах (мазутах), %:

а) вычисленная по результатам измерений объемной доли воды в нефти/нефтепродуктах (мазутах) с применением поточных СИ объемной доли воды в нефти/нефтепродуктах (мазутах) по формуле

, (А.21)

где:

- объемная доля воды в нефти/нефтепродуктах (мазутах), измеренная поточными СИ объемной доли воды в нефти/нефтепродуктах (мазутах), %;

- плотность воды при температуре измерений объемной доли воды в нефти/нефтепродуктах (мазутах), кг/м3, принимаемая равной 1000 кг/м3;

- плотность нефти/нефтепродуктов (мазутов) при температуре измерений объемной доли воды в нефти/нефтепродуктах (мазутах), кг/м3, принимаемая равной измеренной плотности .

При различии температур (на величину, превышающую суммарную погрешность СИ температуры) при измерении плотности и объемной доли воды в нефти/нефтепродуктах (мазутах) измеренное значение плотности приводят к температуре измерений объемной доли воды в нефти/нефтепродуктах (мазутах) по формуле

, (А.22)

где:

- температура нефти/нефтепродуктов (мазутов) при измерении плотности нефти/нефтепродуктов (мазутов), °C;

- температура нефти/нефтепродуктов (мазутов) при измерении массовой доли воды в нефти/нефтепродуктах (мазутах), °C;

б) измеренная по ГОСТ 2477.

- массовая доля механических примесей в нефти/нефтепродуктах (мазутах), измеренная по ГОСТ 6370, %;

- массовая доля хлористых солей в нефти, %, вычисляемая по формуле

, (А.23)

где:

- массовая концентрация хлористых солей, измеренная по ГОСТ 21534, мг/дм3;

- плотность нефти, принимаемая равной , а при отсутствии поточных СИ плотности - , измеренной в лаборатории и приведенной к условиям измерений объема нефти/нефтепродуктов по формуле

. (А.24)

При вычислении массы нетто нефтепродуктов (мазутов) по формуле (А.20) массовую долю хлористых солей принимают равной 0.

А.10. Оформление результатов измерений

Оформление результатов измерений при применении измерительных систем, в том числе СИКН, СИКНП, осуществляют с применением СОИ и программного обеспечения в составе измерительных систем, включая СИКН, СИКНП. При применении СИ, используемых автономно, оформление результатов измерений осуществляют с применением СОИ и программного обеспечения.

Примечание - Возможно оформление результатов измерений оператором вручную.

А.11. Определение погрешности результатов измерений <1>

<1> Погрешность результатов измерений определяют только при аттестации методики измерений.

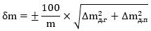
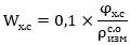
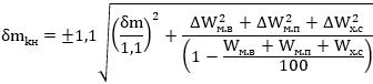
А.11.1. Относительную погрешность измерений массы брутто нефти/нефтепродуктов (мазутов) и массы нефтепродуктов при косвенном методе динамических измерений и последующем приведении плотности и объема нефти/нефтепродуктов к плотности и объему при стандартных условиях , %, вычисляют по формуле

, (А.25)

где:

- относительная погрешность измерений объема нефти/нефтепродуктов, %. За принимают относительную погрешность СИ объемного расхода нефти/нефтепродуктов, если сумма остальных составляющих погрешности измерений объема нефти/нефтепродуктов является несущественной в соответствии с ГОСТ 8.009;

G - коэффициент, вычисляемый по формуле

, (А.26)

где:

, - температуры нефти/нефтепродуктов при измерениях их объема и плотности соответственно, °C;

- пределы допускаемой относительной погрешности измерений плотности нефти/нефтепродуктов, %;

, - абсолютные погрешности измерений температуры нефти/нефтепродуктов при измерениях их плотности и объема соответственно, °C;

- пределы допускаемой относительной погрешности СОИ (по описанию типа СИ или свидетельству о поверке), %.

А.11.2. Относительную погрешность измерений массы брутто нефти/нефтепродуктов (мазутов) и массы нефтепродуктов при косвенном методе динамических измерений и последующем приведении плотности нефти/нефтепродуктов к условиям измерений их объема , %, вычисляют по формуле

, (А.27)

где:

- относительная погрешность измерений объема нефти/нефтепродуктов, %;

- составляющая относительной погрешности измерений массы нефти/нефтепродуктов за счет абсолютных погрешностей измерений температур нефти/нефтепродуктов при измерениях их объема и плотности, %, вычисляемая по формуле

. (А.28)

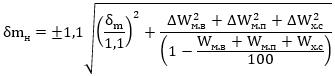
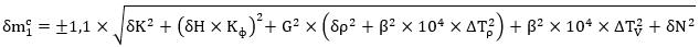
А.11.3. Относительную погрешность измерений массы нетто нефти/нефтепродуктов (мазутов) , %, вычисляют по формуле

, (А.29)

где:

- абсолютная погрешность измерений массовой доли воды в нефти/нефтепродуктах (мазутах), %, вычисляемая:

а) при применении поточных СИ объемной доли воды в нефти/нефтепродуктах (мазутах) по формуле

, (А.30)

где:

- основная абсолютная погрешность поточных СИ объемной доли воды в нефти/нефтепродуктах (мазутах), %;

- дополнительная абсолютная погрешность поточных СИ объемной доли воды в нефти/нефтепродуктах (мазутах), связанная с отклонением температуры нефти на каждые n °C, % (по описанию типа СИ). При отсутствии в описании типа СИ дополнительной погрешности значение принимают равным нулю;

t - температура нефти/нефтепродуктов (мазутов) в месте измерений объемной доли воды в нефти/нефтепродуктах (мазутах), °C;

- номинальная температура, приведенная в описании типа СИ объемной доли воды в нефти/нефтепродуктах (мазутах), °C;

n - значение температуры, для которого нормируется дополнительная погрешность поточных СИ объемной доли воды (по описанию типа СИ);

б) по формуле

, (А.31)

где:

- воспроизводимость метода измерений массовой доли воды в нефти/нефтепродуктах (мазутах) в соответствии с ГОСТ 2477, %;

- сходимость метода измерений массовой доли воды в нефти/нефтепродуктах (мазутах) в соответствии с ГОСТ 2477, %;

- абсолютная погрешность измерений массовой доли механических примесей в нефти/нефтепродуктах (мазутах), %, вычисляемая по формуле

, (А.32)

где:

- воспроизводимость метода измерений массовой доли механических примесей в нефти/нефтепродуктах (мазутах) в соответствии с ГОСТ 6370, %;

- сходимость метода измерений массовой доли механических примесей в нефти/нефтепродуктах (мазутах) в соответствии с ГОСТ 6370, %;

- абсолютная погрешность измерений массовой доли хлористых солей в нефти, %, вычисляемая по формуле

, (А.33)

где:

- воспроизводимость метода измерений массовой доли хлористых солей в нефти в соответствии с ГОСТ 21534;

- сходимость метода измерений массовой доли хлористых солей в нефти в соответствии с ГОСТ 21534;

- относительная погрешность измерений массы брутто нефти/нефтепродуктов (мазутов), %.

При вычислении относительной погрешности измерений массы нетто нефтепродуктов (мазутов) по формуле (А.29) массовую долю хлористых солей в нефти и абсолютную погрешность измерений массовой доли хлористых солей в нефти принимают равной 0.

А.11.4. Рассчитанные значения относительной погрешности измерений массы брутто и нетто нефти/нефтепродуктов (мазутов) и массы нефтепродуктов не должны превышать значений, приведенных в А.1.

Приложение Б
(обязательное)

МЕТОДИКА ИЗМЕРЕНИЙ МАССЫ НЕФТИ И НЕФТЕПРОДУКТОВ ПРЯМЫМ МЕТОДОМ ДИНАМИЧЕСКИХ ИЗМЕРЕНИЙ

Б.1. Требования к погрешности измерений

Б.1.1. Максимальная допускаемая относительная погрешность измерений массы брутто нефти/нефтепродуктов (мазутов) и массы нефтепродуктов составляет +/- 0,25%.

Б.1.2. Максимальная допускаемая относительная погрешность измерений массы нетто нефти/нефтепродуктов (мазутов) составляет +/- 0,35%.

Б.2. Требования к средствам измерений и техническим устройствам

Б.2.1. Для выполнения измерений применяют:

а) измерительные системы, в том числе СИКН по ГОСТ 34396, с пределами допускаемой относительной погрешности измерений массы брутто нефти +/- 0,25% и нетто нефти +/- 0,35%;

б) измерительные системы, в том числе СИКНП по ГОСТ 34396, с пределами допускаемой относительной погрешности измерений массы нефтепродуктов +/- 0,25% [массы брутто нефтепродуктов (мазутов) +/- 0,25% и нетто нефтепродуктов (мазутов) +/- 0,35%].

Б.2.2. Для выполнения измерений допускается применять СИ, используемые автономно:

а) СИ массового расхода с пределами допускаемой относительной погрешности +/- 0,25%;

б) преобразователи давления с пределами допускаемой приведенной погрешности +/- 0,5%;

в) преобразователи температуры с пределами допускаемой абсолютной погрешности +/- 0,3 °C;

г) поточные СИ плотности с пределами допускаемой абсолютной погрешности +/- 0,3 кг/м3;

д) поточные СИ объемной доли воды в нефти/нефтепродуктах (мазутах) с пределами допускаемой абсолютной погрешности +/- 0,1%;

е) СОИ с пределами допускаемой относительной погрешности вычисления массы нефти и нефтепродуктов +/- 0,05%.

Б.2.3. При отказе (отсутствии) преобразователей давления, преобразователей температуры, поточных СИ плотности, поточных СИ объемной доли воды в нефти/нефтепродуктах (мазутах) допускается применять:

а) манометры с классом точности не ниже 0,6;

б) термометры с пределами допускаемой абсолютной погрешности +/- 0,2 °C с ценой деления 0,1 °C;

в) лабораторные автоматизированные СИ плотности с пределами допускаемой абсолютной погрешности +/- 0,3 кг/м3 или ареометры по ГОСТ ISO 3675 или ареометры типа АНТ-1 или АН по ГОСТ 18481 с ценой деления 0,5 кг/м3 и пределами допускаемой абсолютной погрешности измерений плотности +/- 0,5 кг/м3 или СИ плотности по методикам измерений;

г) лабораторные автоматизированные СИ объемной доли воды в нефти/нефтепродуктах (мазутах) с пределами допускаемой абсолютной погрешности +/- 0,1% или СИ и технические устройства по ГОСТ 2477.

Б.2.4. СИ и технические устройства, используемые в испытательной лаборатории для измерений:

а) массовой доли воды в нефти/нефтепродуктах (мазутах) - по ГОСТ 2477;

б) массовой доли механических примесей в нефти/нефтепродуктах (мазутах) - по ГОСТ 6370;

в) массовой концентрации хлористых солей в нефти - по ГОСТ 21534.

Б.2.5. При выполнении измерений СИ, используемыми автономно, применяют следующие технические устройства:

а) пробозаборные устройства;

б) автоматические пробоотборники;

в) ручные пробоотборники с диспергатором.

Б.2.6. Диапазоны измерений СИ должны обеспечивать возможность измерений величин во всем интервале значений.

Б.2.7. Максимальная допускаемая относительная погрешность измерений массы нефти/нефтепродуктов с применением указанных СИ должна соответствовать Б.1, при этом допускается применять иные СИ, технические устройства с характеристиками не хуже приведенных.

Б.3. Требования к квалификации персонала

Б.3.1. К выполнению измерений и/или обработке их результатов допускают персонал, отвечающий установленным квалификационным требованиям, с соответствующей группой допуска по электробезопасности, прошедший обучение по промышленной безопасности, пожарной безопасности, по безопасности труда и инструктаж по охране труда.

Б.3.2. К выполнению измерений и/или обработке их результатов допускают персонал, знающий свои обязанности, ознакомленный с эксплуатационной документацией на СИ и технические устройства, умеющий выполнять операции, предусмотренные настоящим стандартом.

Б.4. Требования безопасности

Б.4.1. При выполнении работ соблюдают требования охраны труда, промышленной и пожарной безопасности, взрывобезопасности.

Б.4.2. Охрану труда и безопасность обеспечивают в соответствии с действующим законодательством государств, на территории которых применяют настоящий стандарт.

Б.4.3. СИ, электрооборудование и технические устройства используют в соответствии с руководствами (инструкциями) по эксплуатации.

Б.4.4. Конструкция СИ, электрооборудования и технических устройств должна обеспечивать возможность удобного и безопасного выполнения операций с применением средств индивидуальной защиты.

Б.4.5. При возникновении неисправностей, аварийной разгерметизации оборудования работы прекращают. Возобновление работ допускается только после выявления и устранения причин их возникновения.

Б.5. Требования охраны окружающей среды

Безопасность окружающей среды обеспечивают отсутствием неконтролируемых утечек нефти/нефтепродуктов во время измерений.

Б.6. Требования к условиям измерений на объектах измерений

Б.6.1. Расход нефти/нефтепродуктов через СИ массового расхода должен находиться в пределах рабочего диапазона расхода, указанного в свидетельстве о поверке.

Б.6.2. Значение избыточного давления в трубопроводе , МПа, после СИ массового расхода должно быть не менее значения, рассчитанного в соответствии с технической документацией на СИ массового расхода.

Примечание - При отсутствии в технической документации на СИ массового расхода указаний по расчету избыточного давления вычисляют по формуле

, (Б.1)

где:

- давление насыщенных паров, МПа (определяется в соответствии с ГОСТ 1756);

- перепад давления на СИ массового расхода, МПа (определяется по технической документации на СИ массового расхода).

Б.6.3. Условия применения измерительных систем, в том числе СИКН, СИКНП и СИ, испытательного оборудования и технических устройств должны соответствовать условиям эксплуатации, указанным в эксплуатационной документации и описании типа СИКН, СИКНП, СИ.

Б.7. Подготовка к выполнению измерений

При подготовке к выполнению измерений выполняют следующие операции:

а) подготовка измерительных систем, в том числе СИКН, СИКНП и СИ к выполнению измерений в соответствии с эксплуатационной документацией;

б) проверка целостности пломб и/или клейм СИ;

в) проверка выполнения требований к СИ и измерительным системам, в том числе СИКН, СИКНП, приведенных в стандартах, технических регламентах, законах, нормативных правовых актах в области обеспечения единства измерений/законодательной метрологии государств, на территории которых проводят измерения;

г) проверка выполнения условий измерений согласно Б.6;

д) проверка внутреннего времени СОИ.

Б.8. Порядок выполнения измерений

Б.8.1. При прямом методе динамических измерений массу брутто нефти/нефтепродуктов (мазутов) и массу нефтепродуктов измеряют непосредственно с применением СИ массового расхода.

Б.8.2. При отказе преобразователей давления, преобразователей температуры давление и температуру нефти/нефтепродуктов измеряют с применением манометров и термометров.

Б.8.3. Отбор проб нефти/нефтепродуктов осуществляют по ГОСТ 2517, ГОСТ 31873.

Б.8.4. При отказе (отсутствии) поточных СИ объемной доли воды в нефти/нефтепродуктах (мазутах) содержание воды в нефти/нефтепродуктах (мазутах) измеряют с применением лабораторных автоматизированных СИ объемной доли воды в нефти/нефтепродуктах (мазутах) или по ГОСТ 2477.

Б.8.5. При отказе (отсутствии) поточных СИ плотности плотность нефти/нефтепродуктов измеряют в лаборатории по методикам измерений, ГОСТ 3900, ГОСТ ISO 3675.

Б.8.6. Массовую долю воды в нефти/нефтепродуктах (мазутах) в испытательной лаборатории измеряют по ГОСТ 2477. Массовую долю механических примесей в нефти/нефтепродуктах (мазутах) измеряют по ГОСТ 6370. Массовую концентрацию хлористых солей в нефти измеряют по ГОСТ 21534.

Примечание - Допускается проводить измерения массовой доли воды, механических примесей, массовой концентрации хлористых солей с применением автоматизированных СИ по методикам измерений.

Б.9. Обработка результатов измерений

Б.9.1. При применении СИКН, СИКНП обработку результатов измерений осуществляют с применением СОИ и программного обеспечения в составе СИКН, СИКНП. При применении СИ, используемых автономно, обработку результатов измерений осуществляют с применением СОИ и/или программного обеспечения.

Примечание - Возможна обработка результатов измерений оператором вручную.

Б.9.2. При обработке результатов измерений плотность нефти/нефтепродуктов приводят по температуре к стандартным условиям или к условиям измерения массы по формулам, приведенным в настоящем стандарте.

Примечание - Допускается плотность нефти/нефтепродуктов приводить по температуре к стандартным условиям, к условиям измерения объема по таблицам пересчета (приведения) плотности по температуре к стандартным условиям и к условиям измерения объема, приведенным в документах по стандартизации, в том числе ANSI/ASTM D 1250 [1].

Б.9.3. При прямом методе динамических измерений массу брутто нефти/нефтепродуктов (мазутов) и массу нефтепродуктов измеряют с применением СИ массового расхода.

Б.9.4. Массу нетто нефти/нефтепродуктов (мазутов) , т, вычисляют по формуле

, (Б.2)

где:

m - масса брутто нефти/нефтепродуктов (мазутов), т;

- масса балласта, т, вычисляемая по формуле

, (Б.3)

где - массовая доля воды в нефти/нефтепродуктах (мазутах), %:

а) вычисляемая по результатам измерений объемной доли воды в нефти/нефтепродуктах (мазутах) с применением поточных СИ объемной доли воды в нефти/нефтепродуктах (мазутах) по формуле

, (Б.4)

где:

- объемная доля воды в нефти/нефтепродуктах (мазутах), измеренная поточными СИ объемной доли воды в нефти/нефтепродуктах (мазутах), %;

- плотность воды при температуре измерений объемной доли воды в нефти/нефтепродуктах (мазутах), кг/м3, принимаемая равной 1000 кг/м3;

- плотность нефти/нефтепродуктов (мазутов) при температуре измерений объемной доли воды в нефти/нефтепродуктах (мазутах), кг/м3, принимаемая равной измеренной поточными СИ плотности , или лабораторными автоматизированными СИ плотности или ареометрами в лаборатории .

При различии температур (на величину, превышающую суммарную погрешность СИ температуры) в процессе измерения плотности нефти и объемной доли воды в нефти/нефтепродуктах (мазутах) измеренное значение плотности приводят к температуре измерений объемной доли воды в нефти/нефтепродуктах (мазутах) по формуле

, (Б.5)

где:

- плотность нефти/нефтепродуктов (мазутов), принимаемая равной или ;

- коэффициент объемного расширения рабочей среды, , вычисляемый:

1) при температуре 15 °C по формуле

, (Б.6)

где:

- плотность нефти, вычисленная по Б.9.6.

, , - коэффициенты, значения которых приведены в таблице Б.1.

Таблица Б.1

Значения коэффициентов , ,

Рабочая среда , кг/м3
Нефть От 611,2 до 1163,8 613,9723 0,0000 0,0000
Мазуты От 838,7 до 1163,9 186,9696 0,4862 0,0000

2) при температуре 20 °C по формуле

, (Б.7)

где - плотность нефти/нефтепродуктов (мазутов), приведенная к стандартным условиям при температуре 20 °C, вычисляемая по формуле

; (Б.8)

- температура нефти/нефтепродуктов (мазута) при измерении плотности нефти/нефтепродуктов (мазутов), °C;

- температура нефти/нефтепродуктов (мазутов) при измерении массовой доли воды в нефти/нефтепродуктах (мазутах), °C;

б) измеренная по ГОСТ 2477;

- массовая доля механических примесей в нефти/нефтепродуктах (мазутах), измеренная по ГОСТ 6370, %;

- массовая доля хлористых солей в нефти, %, вычисляемая по формуле

, (Б.9)

где:

- массовая концентрация хлористых солей, измеренная по ГОСТ 21534, мг/дм3;

- плотность нефти, принимаемая равной , а при отсутствии поточных СИ плотности - , измеренной в лаборатории и приведенной к условиям измерений массы нефти/нефтепродуктов по формуле

. (Б.10)

Плотность нефти/нефтепродуктов (мазутов), измеренную с применением поточных СИ плотности, приведенную к стандартным условиям при температуре 15 °C, , кг/м3, вычисляют по формуле

, (Б.11)

где:

- плотность нефти/нефтепродуктов (мазутов), измеренная при температуре и давлении нефти в поточных СИ плотности, кг/м3;

- поправочный коэффициент, учитывающий влияние температуры нефти/нефтепродуктов (мазутов) на их объем в поточных СИ плотности, вычисляемый аналогично поправочному коэффициенту CTL по формуле

, (Б.12)

где:

- коэффициент, учитывающий стандартные условия по температуре, равный 15 °C или 20 °C в зависимости от исходных данных;

- температура нефти/нефтепродуктов (мазутов), °C;

- поправочный коэффициент, учитывающий влияние давления нефти/нефтепродуктов (мазутов) на их объем в поточных СИ плотности, вычисляемый аналогично поправочному коэффициенту CPL по формуле

, (Б.13)

где:

- давление нефти, МПа;

- коэффициент сжимаемости нефти/нефтепродуктов (мазутов), , вычисляемый по формуле

. (Б.14)

При вычислении массы нетто нефтепродуктов (мазутов) по формуле (Б.2) массовую долю хлористых солей принимают равной 0.

Б.9.5. Плотность нефти/нефтепродуктов (мазутов), измеренную с применением лабораторных автоматизированных СИ плотности или ареометров в лаборатории в объединенной пробе, приведенную к плотности при температуре 15 °C, кг/м3, вычисляют по формуле

, (Б.15)

где:

- плотность нефти/нефтепродуктов (мазутов), измеренная с применением лабораторных автоматизированных СИ плотности или ареометров в лаборатории, кг/м3;

K - поправочный коэффициент на температурное расширение стекла для ареометров, вычисляемый для ареометров, градуированных при температуре:

а) 15 °C, по формуле

; (Б.16)

б) 20 °C, по формуле

. (Б.17)

При измерении плотности с применением лабораторных автоматизированных СИ плотности поправочный коэффициент на температурное расширение стекла для ареометров K принимают равным единице.

- поправочный коэффициент, учитывающий влияние температуры нефти/нефтепродуктов (мазутов) на их объем, вычисляемый аналогично поправочному коэффициенту CTL.

Б.9.6. Значения коэффициентов , , и плотности вычисляют методом последовательных приближений для каждого измерения следующим образом:

а) вычисляют значение коэффициента объемного расширения нефти/нефтепродуктов (мазутов) при температуре 15 °C , , аналогично значению коэффициента объемного расширения нефти/нефтепродуктов (мазутов) при температуре 15 °C , , по формуле (Б.6), принимая плотность нефти/нефтепродуктов (мазутов) , кг/м3, равной измеренной плотности или , кг/м3, соответственно;

б) вычисляют значение коэффициента сжимаемости нефти/нефтепродуктов (мазутов) при температуре измерения ее объема , , аналогично значению коэффициента сжимаемости рабочей среды при температуре измерения ее объема , , по формуле (Б.14), принимая плотность нефти/нефтепродуктов (мазутов) , кг/м3, равной измеренной плотности или , кг/м3, соответственно, температуру нефти/нефтепродуктов (мазутов) при измерении ее объема , °C, равной температуре нефти/нефтепродуктов (мазутов) при измерении плотности, °C;

в) вычисляют значения поправочных коэффициентов , аналогично значению поправочного коэффициента CTL по формуле (Б.12), принимая температуру нефти/нефтепродуктов (мазутов) при измерении ее объема , °C, равной температуре нефти/нефтепродуктов (мазутов) при измерении плотности, °C, коэффициент объемного расширения нефти/нефтепродуктов (мазутов) при температуре 15 °C , , равным коэффициенту объемного расширения нефти при температуре 15 °C , ;

г) вычисляют значение поправочного коэффициента аналогично значению поправочного коэффициента CPL по формуле (Б.13), принимая давление нефти/нефтепродуктов (мазутов) при измерении ее объема , МПа, равным давлению при измерении плотности, МПа, коэффициент сжимаемости нефти/нефтепродуктов (мазутов) при температуре измерения ее объема , , равным коэффициенту сжимаемости нефти/нефтепродуктов (мазутов) при температуре измерения ее объема , ;

д) вычисляют значение плотности или аналогично значению плотности или по формуле (Б.11) или (Б.15), принимая поправочный коэффициент равным поправочному коэффициенту , поправочный коэффициент равным поправочному коэффициенту ;

е) проверяют выполнение условия

, (Б.18)

где k и (k - 1) - порядковые номера вычислений значений плотности , кг/м3;

или выполнение условия

, (Б.19)

где k и (k - 1) - порядковые номера вычислений значений плотности , кг/м3;

ж) при невыполнении условия (Б.18) или (Б.19) повторяют операции по перечислениям а) - д);

и) при выполнении условия (Б.18) или (Б.19) вычисления прекращают.

Б.10. Оформление результатов измерений

Оформление результатов измерений при применении измерительных систем, в том числе СИКН, СИКНП, осуществляют с применением СОИ и программного обеспечения в составе измерительных систем, в том числе СИКН, СИКНП. При применении СИ, используемых автономно, оформление результатов измерений осуществляют с применением СОИ и программного обеспечения.

Примечание - Возможно оформление результатов измерений оператором вручную.

Б.11. Определение погрешности результатов измерений <1>

<1> Погрешность результатов измерений определяют только при аттестации методики измерений.

Б.11.1. При прямом методе динамических измерений погрешностью измерений массы брутто нефти/нефтепродуктов (мазутов) и массы нефтепродуктов считают погрешность СИ массового расхода.

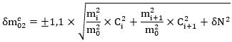
Б.11.2. Относительную погрешность измерений массы нетто нефти/нефтепродуктов (мазутов) , %, вычисляют по формуле

(Б.20)

где - абсолютная погрешность измерений массовой доли воды в нефти/нефтепродуктах (мазутах), %, вычисляемая:

а) при применении поточных СИ объемной доли воды в нефти/нефтепродуктах (мазутах) по формуле

, (Б.21)

где:

- основная абсолютная погрешность поточных СИ объемной доли воды в нефти/нефтепродуктах (мазутах), %;

- дополнительная абсолютная погрешность поточных СИ объемной доли воды в нефти/нефтепродуктах (мазутах), связанная с отклонением температуры нефти/нефтепродуктов (мазутов) на каждые n °C, %. При отсутствии в описании типа СИ дополнительной погрешности значение принимают равным нулю;

t - температура нефти/нефтепродуктов (мазутов) в месте измерений объемной доли воды в нефти/нефтепродуктах (мазутах), °C;

- номинальная температура, приведенная в описании типа СИ объемной доли воды в нефти/нефтепродуктах (мазутах), °C;

n - значение температуры, для которого нормируется дополнительная погрешность поточных СИ объемной доли воды (по описанию типа СИ).

б) по формуле

, (Б.22)

где:

- воспроизводимость метода измерений массовой доли воды в нефти/нефтепродуктах (мазутах) в соответствии с ГОСТ 2477, %;

- сходимость метода измерений массовой доли воды в нефти/нефтепродуктах (мазутах) в соответствии с ГОСТ 2477, %;

- абсолютная погрешность измерений массовой доли механических примесей в нефти/нефтепродуктах (мазутах), %, вычисляемая по формуле

, (Б.23)

где:

- воспроизводимость метода измерений массовой доли механических примесей в нефти/нефтепродуктах (мазутах) в соответствии с ГОСТ 6370, %;

- сходимость метода измерений массовой доли механических примесей в нефти/нефтепродуктах (мазутах) в соответствии с ГОСТ 6370, %;

- абсолютная погрешность измерений массовой доли хлористых солей в нефти, %, вычисляемая по формуле

, (Б.24)

где:

- воспроизводимость метода измерений массовой доли хлористых солей в нефти в соответствии с ГОСТ 21534;

- сходимость метода измерений массовой доли хлористых солей в нефти в соответствии с ГОСТ 21534;

- максимальная допускаемая относительная погрешность измерений массы брутто нефти/нефтепродуктов (мазутов) с применением СИ массового расхода, %.

При вычислении относительной погрешности измерений массы нетто нефтепродуктов (мазутов) по формуле (Б.20) массовую долю хлористых солей в нефти и абсолютную погрешность измерений массовой доли хлористых солей в нефти принимают равной 0.

Б.11.3. Рассчитанные значения относительной погрешности измерений массы брутто и нетто нефти/нефтепродуктов (мазутов) и массы нефтепродуктов не должны превышать значений, приведенных в Б.1.

Приложение В
(обязательное)

МЕТОДИКА ИЗМЕРЕНИЙ МАССЫ НЕФТИ И НЕФТЕПРОДУКТОВ КОСВЕННЫМ МЕТОДОМ СТАТИЧЕСКИХ ИЗМЕРЕНИЙ

В.1. Требования к погрешности измерений

В.1.1. Максимальная допускаемая относительная погрешность измерений массы брутто нефти/нефтепродуктов (мазутов) и массы нефтепродуктов составляет:

а) +/- 0,65% - при массе брутто нефти/нефтепродуктов (мазутов), массе нефтепродуктов не более 200 <1> т;

б) +/- 0,50% - при массе брутто нефти/нефтепродуктов (мазутов), массе нефтепродуктов 200 <1> т и более.

В.1.2 Максимальная допускаемая относительная погрешность измерений массы нетто нефти/нефтепродуктов (мазутов) составляет:

а) +/- 0,75% - при массе брутто нефти/нефтепродуктов (мазутов) не более 200 <1> т;

б) +/- 0,60% - при массе брутто нефти/нефтепродуктов (мазутов) 200 <1> т и более.

<1> В Республике Беларусь вместо значения "200" применяется "120".

В.2. Требования к средствам измерений и техническим устройствам

В.2.1. Для выполнения измерений применяют:

а) измерительные системы, предназначенные для измерений уровня нефти, нефтепродуктов, воды и температуры с пределами:

- допускаемой абсолютной погрешности измерений уровня +/- 3 <2> мм,

<2> В Республике Беларусь вместо значения "3" в соответствии с СТБ 1624-2013 "Уровнемеры автоматические для измерения уровня жидкости в стационарных резервуарах-хранилищах. Общие требования и методы испытаний" применяется "4".

- допускаемой абсолютной погрешности измерений температуры +/- 0,5 °C,

- допускаемой относительной погрешности обработки результатов измерений 0,05%;

б) автоматизированные СИ плотности (лабораторные, переносные) с пределами допускаемой абсолютной погрешности измерений плотности +/- 0,5 кг/м3.

Примечание - При применении измерительных систем допускается определять плотность косвенным методом по результатам измерений уровня, давления в газовом пространстве и гидростатического давления столба нефти, нефтепродуктов с применением преобразователей давления. Пределы допускаемой абсолютной погрешности измерений средней плотности нефти/нефтепродуктов составляют +/- 1 кг/м3.

В.2.2. Для выполнения измерений допускается применять:

а) преобразователи температуры [в том числе входящие в состав автоматизированных СИ уровня (стационарных или переносных) или переносных автоматизированных СИ плотности] с пределами допускаемой абсолютной погрешности +/- 0,5 °C или термометры с пределами допускаемой абсолютной погрешности +/- 0,2 °C с ценой деления 0,1 °C;

б) автоматизированные СИ уровня (стационарные или переносные) с пределами допускаемой абсолютной погрешности измерений уровня +/- 3 <2> мм или измерительные рулетки с грузом (лотом) 3-го класса точности по ГОСТ 7502 с ценой деления 1 мм или метроштоки по ГОСТ 8.247 с ценой деления 1 мм;

<2> В Республике Беларусь вместо значения "3" в соответствии с СТБ 1624-2013 "Уровнемеры автоматические для измерения уровня жидкости в стационарных резервуарах-хранилищах. Общие требования и методы испытаний" применяется "4".

в) ареометры по ГОСТ ISO 3675 или ареометры типа АНТ-1 или АН по ГОСТ 18481 с ценой деления 0,5 кг/м3 и пределами допускаемой абсолютной погрешности измерений плотности +/- 0,5 кг/м3 или СИ плотности по методикам измерений.

В.2.3. СИ и технические устройства, используемые в испытательной лаборатории для измерений:

а) массовой доли воды в нефти/нефтепродуктах (мазутах) - по ГОСТ 2477;

б) массовой доли механических примесей в нефти/нефтепродуктах (мазутах) - по ГОСТ 6370;

в) массовой концентрации хлористых солей в нефти - по ГОСТ 21534.

В.2.4. При выполнении измерений применяют технические устройства:

а) переносные или стационарные пробоотборники по ГОСТ 2517, ГОСТ 31873, ГОСТ 13196;

б) водочувствительные пасты или ленты для определения уровня подтоварной воды;

в) бензочувствительные пасты для определения уровня нефтепродукта;

г) испытательное оборудование и материалы, используемые в испытательной лаборатории для определения плотности, в соответствии с методиками измерений, ГОСТ 3900;

д) резервуары, резервуары (танки) речных и морских судов, цистерны, прицепы-цистерны, полуприцепы-цистерны.

В.2.5. Диапазоны измерений СИ должны обеспечивать возможность измерений величин во всем интервале значений.

В.2.6. Максимальная допускаемая относительная погрешность измерений массы нефти/нефтепродуктов с применением указанных СИ должна соответствовать В.1, при этом допускается применять иные СИ, технические устройства с характеристиками не хуже приведенных.

В.3. Требования к квалификации персонала

В.3.1. К выполнению измерений и/или обработке их результатов допускают персонал, отвечающий установленным квалификационным требованиям, с соответствующей группой допуска по электробезопасности, прошедший обучение по промышленной безопасности, пожарной безопасности, по безопасности труда и инструктаж по охране труда.

В.3.2. К выполнению измерений и/или обработке их результатов допускают персонал, знающий свои обязанности, ознакомленный с эксплуатационной документацией на СИ и техническим устройства, умеющий выполнять операции, предусмотренные настоящим стандартом.

В.4. Требования безопасности

В.4.1. При выполнении работ соблюдают требования охраны труда, промышленной и пожарной безопасности, взрывобезопасности.

В.4.2. Охрану труда и безопасность обеспечивают в соответствии с действующим законодательством государств, на территории которых применяют настоящий стандарт.

В.4.3. СИ, электрооборудование и технические устройства используют в соответствии с руководствами (инструкциями) по эксплуатации.

В.4.4. Конструкция СИ, электрооборудования и технических устройств должна обеспечивать возможность удобного и безопасного выполнения операций с применением средств индивидуальной защиты.

В.4.5. При возникновении неисправностей, аварийной разгерметизации оборудования работы прекращают. Возобновление работ допускается только после выявления и устранения причин их возникновения.

В.5. Требования охраны окружающей среды

Безопасность окружающей среды обеспечивают отсутствием неконтролируемых утечек нефти/нефтепродуктов во время измерений.

В.6. Требования к условиям измерений на объектах измерений

В.6.1. Условия применения СИ, испытательного оборудования и технических устройств должны соответствовать условиям эксплуатации, указанным в эксплуатационной документации и описании типа СИ.

В.6.2. Выполнение измерений плотности нефти/нефтепродукта в испытательной лаборатории проводят в соответствии с требованиями методик измерений, ГОСТ 3900.

В.7. Подготовка к выполнению измерений

При подготовке к выполнению измерений выполняют следующие операции:

а) обеспечивают отстой нефти/нефтепродуктов после заполнения:

- для резервуаров продолжительностью не менее 2 ч;

- резервуаров (танков) речных и морских судов, цистерн не менее 10 мин;

б) проводят подготовку СИ к выполнению измерений в соответствии с эксплуатационной документацией;

в) проверяют целостность пломб и/или клейм СИ;

г) проверяют выполнение требований к СИ и измерительным системам, приведенным в стандартах, технических регламентах, законах, нормативных правовых актах в области обеспечения единства измерений/законодательной метрологии государств, на территории которых проводят измерения;

д) проверяют наличие градуировочных/калибровочных таблиц [для резервуаров и резервуаров (танков) речных и морских судов, железнодорожных цистерн], маркировочных табличек и свидетельств о поверке (для автомобильных цистерн, прицепов-цистерн, полуприцепов-цистерн);

е) проверяют выполнение условий измерений согласно В.6.

В.8. Порядок выполнения измерений

В.8.1. Общие требования

При измерении массы нефти/нефтепродуктов выполняют следующие операции:

а) проверка базовой высоты [для резервуаров и резервуаров (танков) речных и морских судов];

б) измерение уровня нефти/нефтепродуктов;

в) измерение уровня подтоварной воды;

г) определение вместимости по градуировочным/калибровочным таблицам [для резервуаров и резервуаров (танков) речных и морских судов, железнодорожных цистерн] или по маркировочным табличкам и свидетельствам о поверке (для автомобильных цистерн, прицепов-цистерн, полуприцепов-цистерн);

д) отбор проб нефти/нефтепродуктов;

е) измерение температуры и плотности нефти/нефтепродуктов;

ж) измерение массовой доли составляющих балласта нефти/нефтепродуктов (мазутов).

В.8.2. Проверка базовой высоты

В.8.2.1. Проверку базовой высоты проводят для резервуаров и резервуаров (танков) речных и морских судов.

В.8.2.2. При применении измерительных систем, автоматизированных СИ уровня периодичность проверки базовой высоты устанавливают в стандартах организаций.

В.8.2.3. Допускается совмещать проверку базовой высоты с измерением уровня нефти/нефтепродуктов.

В.8.2.4. Ленту рулеток и метроштоки до и после измерений протирают ветошью насухо.

В.8.2.5. Базовую высоту проверяют перед каждым измерением уровня.

В.8.2.6. Базовую высоту измеряют измерительными рулетками с грузом (лотом), метроштоками.

В.8.2.7. Измерения базовой высоты проводят дважды. Если результаты измерений отличаются не более чем на 1 мм, то в качестве результата измерений принимают их среднее арифметическое значение. Если полученное расхождение составляет более 1 мм, то измерения повторяют еще дважды и вычисляют среднее арифметическое значение из трех наиболее близких измерений.

В.8.2.8. Измеренное значение базовой высоты сравнивают со значением базовой высоты по градуировочным/калибровочным таблицам.

В.8.2.9. Если базовая высота отличается от измеренного значения базовой высоты не более чем на 0,1%, то проводят измерения и вычисление массы нефти/нефтепродуктов.

В.8.2.10. Если базовая высота отличается от измеренного значения базовой высоты более чем на 0,1%, выясняют причину изменения базовой высоты, устраняют ее и проводят измерения заново. При повторении отрицательных результатов проводят повторную градуировку. До получения результатов повторной градуировки допускается проводить измерение уровня нефти/нефтепродуктов по высоте пустоты резервуаров и резервуаров (танков) речных и морских судов.

В.8.3. Измерение уровня нефти и нефтепродуктов

В.8.3.1. Уровень нефти/нефтепродуктов измеряют с применением измерительных систем.

В.8.3.2. Допускается применять автоматизированные СИ уровня (стационарные или переносные) в резервуарах, резервуарах (танках) речных и морских судах, железнодорожных цистернах, измерительные рулетки с грузом (лотом), метроштоки для измерения уровня нефти/нефтепродуктов H. Показания считывают с точностью до 1 мм.

В.8.3.3. Измерительную ленту рулеток с грузом (лотом) следует опускать плавно, не допуская волн на поверхности нефти/нефтепродуктов и ударов о днище или опорную плиту (при наличии). Лента рулетки должна находиться все время в натянутом состоянии. Измерения проводят при установившемся уровне нефти/нефтепродуктов. Поднимают ленту рулеток строго вертикально, не допуская смещения в сторону, для того чтобы избежать искажения линии смачивания на измерительной ленте.

В.8.3.4. Метроштоки следует опускать плавно, не допуская волн на поверхности нефти/нефтепродуктов и ударов о днище или опорную плиту (при наличии). Поднимать метроштоки следует плавно и быстро, не допуская их смещения в сторону для исключения искажения линии смачивания. Считывание показаний должно быть произведено таким образом, чтобы линия смачивания находилась на уровне глаз.

В.8.3.5. При измерении уровня нефти/нефтепродуктов рекомендуется наносить на измерительную ленту рулеток или метроштоков водочувствительную (бензочувствительную) пасту или ленту. При этом измерения проводят с учетом требований инструкции по использованию водочувствительной (бензочувствительной) пасты или ленты.

В.8.3.6. Измерения уровня нефти/нефтепродуктов проводят дважды. Если результаты измерений отличаются не более чем на 1 мм, то в качестве результата измерений уровня принимают их среднее арифметическое значение. Если полученное расхождение составляет более 1 мм, то измерения повторяют еще дважды и вычисляют среднее арифметическое значение из трех наиболее близких измерений.

В.8.3.7. Измерение уровня нефти/нефтепродуктов по высоте пустоты резервуаров и резервуаров (танков) речных и морских судов с применением измерительных рулеток или метроштоков проводят в следующей последовательности:

а) опускают ленту рулеток с грузом (лотом) или метроштоки медленно в нефть/нефтепродукты, не допуская отклонения от вертикального положения, сохраняя спокойное состояние поверхности нефти/нефтепродуктов и не допуская волн;

б) первый (верхний) отсчет берут по рулеткам или метроштокам на уровне риски планки замерного люка (верхней образующей замерного люка). Затем ленту рулеток или метроштоки поднимают строго вертикально, не допуская смещения в сторону, и берут второй (нижний) отсчет на месте смоченной части ленты рулеток или метроштоков нефтью/нефтепродуктами;

в) отсчет по ленте рулеток или метроштокам проводят сразу после появления смоченной части над измерительным люком с точностью до 1 мм;

г) измерения высоты пустоты в каждом резервуаре, резервуаре (танке) речных и морских судов проводят дважды. Если результаты измерений отличаются не более чем на 1 мм, то в качестве результата измерений уровня принимают их среднее арифметическое значение;

д) если полученное расхождение измерений составляет более 1 мм, то измерения повторяют еще дважды и берут среднее арифметическое значение из трех наиболее близких измерений;

е) высоту пустоты резервуаров и резервуаров (танков) речных и морских судов находят как разность верхнего и нижнего отсчетов по рулеткам.

В.8.3.8 Уровень нефти/нефтепродуктов H по высоте пустоты резервуаров с плавающей крышей вычисляют по формуле

, (В.1)

где:

- уровень нефти/нефтепродуктов в резервуаре с плавающей крышей, измеренный с использованием измерительного люка на крыше резервуара;

- уровень нефти/нефтепродуктов в резервуаре с плавающей крышей, измеренный с использованием измерительного люка на верхней площадке направляющей колонны.

В.8.3.9. Уровень нефти/нефтепродуктов определяют вычитанием полученного значения высоты пустоты из значения базовой высоты, определенной при градуировке резервуаров, резервуаров (танков) речных и морских судов.

В.8.3.10. Для железнодорожных цистерн с двумя люками, симметрично расположенными относительно середины цистерны, уровень нефти/нефтепродуктов измеряют в двух крайних точках, по одной точке в каждом люке, не менее двух раз в каждой точке. При этом точки измерений должны быть максимально (минимально - в случае попадания в углубление сливного прибора или поддона) удалены друг от друга по продольной осевой линии цистерны. Расхождение между двумя измерениями в одной точке не должно превышать 2 мм. В случае расхождения, превышающего 2 мм, измерения повторяют. За действительный уровень нефти/нефтепродуктов принимают среднее арифметическое результатов измерений, проведенных в двух противоположных точках (люках).

В.8.3.11. Автоматизированные СИ уровня (стационарные или переносные) используют в соответствии с руководством по эксплуатации.

В.8.3.12. Результат измерений уровня нефти/нефтепродуктов округляют до целого значения.

В.8.4. Измерение уровня подтоварной воды

В.8.4.1. Уровень подтоварной воды измеряют с применением измерительных систем.

В.8.4.2. При отказе (отсутствии) измерительных систем, а также автоматизированных СИ уровня (стационарных или переносных) в резервуарах, резервуарах (танках) речных и морских судов, железнодорожных цистернах уровень подтоварной воды измеряют с применением измерительных рулеток с грузом (лотом), метроштоками с применением водочувствительной ленты или пасты.

В.8.4.3. Водочувствительную ленту в натянутом виде прикрепляют к свободной поверхности груза (лота) с двух противоположных сторон.

В.8.4.4. Водочувствительную пасту наносят тонким слоем на свободную поверхность груза (лота) полосками с двух противоположных сторон.

В.8.4.5. Рулетки с грузом (лотом) с водочувствительной пастой или прикрепленной водочувствительной лентой выдерживают в резервуарах и резервуарах (танках) речных и морских судов неподвижно в течение 2 - 3 мин до полного растворения водочувствительного слоя. Время выдержки может быть иным, если это предусмотрено технической документацией на водочувствительную пасту или ленту.

В.8.4.6. Измерения уровня подтоварной воды в каждом резервуаре и резервуаре (танке) речных и морских судов проводят дважды. Если результаты измерений отличаются не более чем на 1 мм, то в качестве результата измерений уровня принимают их среднее арифметическое значение; если полученное расхождение более 1 мм, то измерения повторяют еще дважды и берут среднее арифметическое значение из трех наиболее близких измерений.

В.8.4.7. Измерения уровня подтоварной воды повторяют, если на ленте или пасте он обозначен нечетко, косой линией или на неодинаковой высоте с обеих сторон, что указывает на наклонное положение груза (лота) при выполнении измерений.

В.8.4.8. Размытая грань является следствием отсутствия резкой границы раздела между водой и нефтью/нефтепродуктом и свидетельствует о наличии водоэмульсионного слоя. В этом случае измерения повторяют после отстоя и расслоения эмульсии.

В.8.4.9. Допускается измерение уровня подтоварной воды проводить одновременно с измерением уровня нефти/нефтепродуктов в резервуарах и резервуарах (танках) речных и морских судов, железнодорожных цистернах.

В.8.5. Отбор проб

В.8.5.1. Пробу нефти/нефтепродуктов в резервуарах, резервуарах (танках) речных и морских судов, цистернах отбирают в соответствии с ГОСТ 2517, ГОСТ 31873.

В.8.5.2. Упаковку, маркировку и хранение проб нефти/нефтепродуктов осуществляют в соответствии с ГОСТ 2517, ГОСТ 31873.

В.8.6. Измерение температуры нефти и нефтепродуктов

В.8.6.1. Температуру нефти/нефтепродуктов измеряют с применением измерительных систем.

В.8.6.2. Температуру нефти/нефтепродуктов с применением преобразователей температуры измеряют путем их погружения в резервуары, резервуары (танки) речных и морских судов, цистерны с нефтью/нефтепродуктами в точках отбора проб по ГОСТ 2517, ГОСТ 31873. При этом преобразователи температуры выдерживают на уровне отбираемой пробы в течение времени, установленного в эксплуатационной документации на преобразователи температуры.

В.8.6.3. Преобразователи температуры через горловину цистерны погружают на уровень, расположенный на высоте 0,33 диаметра цистерны от нижней внутренней образующей. Отсчет температуры проводят после выдержки преобразователей температуры на указанном уровне в течение времени, указанного в эксплуатационной документации.

В.8.6.4. При отборе объединенной пробы в один прием стационарными пробоотборниками среднюю температуру нефти/нефтепродуктов измеряют термометром в объединенной пробе. Измерение температуры проводят непосредственно в пробоприемнике (термостатическом цилиндре). Термометры погружают в нефть/нефтепродукты на глубину, указанную в паспорте на данный термометр, и выдерживают в пробе до установления постоянного значения температуры.

В.8.6.5. При отборе точечных проб переносными пробоотборниками температуру нефти/нефтепродуктов измеряют термометрами в пробе в течение 1 - 3 мин после ее отбора, при этом переносные пробоотборники выдерживают на уровне отбираемой пробы в течение не менее 5 мин.

В.8.7. Измерение плотности нефти и нефтепродуктов

В.8.7.1. Плотность нефти/нефтепродуктов в лаборатории измеряют с применением лабораторных автоматизированных СИ плотности, ареометров или СИ плотности по методикам измерений по объединенной пробе нефти/нефтепродуктов, отобранной из резервуаров, резервуаров (танков) речных и морских судов, цистерн.

В.8.7.2. Плотность нефти/нефтепродуктов измеряют с применением лабораторных автоматизированных СИ плотности или ареометров в объединенной пробе, составленной смешением точечных проб по ГОСТ 2517, ГОСТ 31873.

В.8.7.3. Допускается измерение плотности нефти/нефтепродуктов в резервуарах, резервуарах (танках) речных и морских судов, цистернах переносными автоматизированными СИ плотности в соответствии с их руководством по эксплуатации. Измерение плотности нефти/нефтепродуктов проводят в точках отбора проб по ГОСТ 2517, ГОСТ 31873.

В.8.8. Определение массы балласта нефти и нефтепродуктов (мазутов)

В.8.8.1. Массовую долю составляющих балласта нефти/нефтепродуктов (мазутов) в испытательной лаборатории измеряют с использованием проб, отбираемых автоматическими пробоотборниками или вручную в соответствии с ГОСТ 2517, ГОСТ 31873.

В.8.8.2. Массовую долю воды в нефти/нефтепродуктах (мазутах) измеряют по ГОСТ 2477. Массовую долю механических примесей в нефти/нефтепродуктах (мазутах) измеряют по ГОСТ 6370. Массовую концентрацию хлористых солей в нефти измеряют по ГОСТ 21534.

Примечание - Допускается проводить измерения массовой доли воды, механических примесей, массовую концентрацию хлористых солей с применением автоматизированных СИ по методикам измерений.

В.9. Обработка результатов измерений

В.9.1. Обработку результатов измерений осуществляют с применением программного обеспечения. При использовании измерительных систем в резервуарах обработку результатов измерений осуществляют с применением СОИ.

Примечание - Возможна обработка результатов измерений оператором вручную.

В.9.2. При обработке результатов измерений плотность нефти/нефтепродуктов приводят по температуре к стандартным условиям или к условиям вычисления объема нефти/нефтепродуктов по формулам, приведенным в настоящем стандарте.

Примечание - Допускается плотность нефти/нефтепродуктов приводить по температуре к стандартным условиям, к условиям измерения объема по таблицам пересчета (приведения) плотности по температуре к стандартным условиям и к условиям измерения объема, приведенным в документах по стандартизации, в том числе ANSI/ASTM D 1250 [1].

В.9.3. Объем нефти/нефтепродуктов в автомобильных цистернах, прицепах-цистернах, полуприцепах-цистернах определяют по свидетельствам о поверке и маркировочным табличкам.

В.9.4. Объем нефти/нефтепродуктов в резервуарах, резервуарах (танках) речных и морских судов, цистернах, приведенный к стандартным условиям при температуре 15 °C, , м3, вычисляют по формуле

, (В.2)

где - значение объема автомобильных цистерн, прицеп-цистерн, полуприцеп-цистерн, определяемое по маркировочным табличкам и свидетельствам о поверке или объем нефти/нефтепродуктов в резервуарах, резервуарах (танках) речных и морских судов, железнодорожных цистернах, м3, вычисляемый по формуле

, (В.3)

где

- объем жидкости (нефть/нефтепродукты, подтоварная вода) в резервуарах, резервуарах (танках) речных и морских судов, железнодорожных цистернах, определяемый по градуировочным/калибровочным таблицам резервуаров, резервуаров (танков) речных и морских судов, железнодорожных цистерн, составленным при температуре 20 °C, м3;

- объем подтоварной воды в резервуарах, резервуарах (танках) речных и морских судов, железнодорожных цистернах, определяемый по градуировочным/калибровочным таблицам резервуаров, резервуаров (танков) речных и морских судов, железнодорожных цистерн, составленным при температуре 20 °C, м3;

- температурный коэффициент линейного расширения материала стенки резервуаров, резервуаров (танков) речных и морских судов, цистерн, . Значение температурного коэффициента линейного расширения материала стенки резервуаров, резервуаров (танков) речных и морских судов, железнодорожных цистерн для стали принимают равным , для бетона - ;

- температурный коэффициент линейного расширения материала СИ уровня нефти/нефтепродуктов, . Значение температурного коэффициента линейного расширения материала СИ уровня нефти/нефтепродуктов для нержавеющей стали принимают равным , для углеродистой стали - , для алюминия - . При применении СИ уровня, изготовленных из других материалов, имеющих отличие от указанных значений , применяют значение для этого материала или вводят температурные поправки к измеренному уровню нефти/нефтепродуктов, при этом значение температурного коэффициента линейного расширения материала СИ уровня нефти/нефтепродуктов принимают равным 0, для автомобильных цистерн, прицеп-цистерн, полуприцеп-цистерн принимают равным 0;

- температура стенки резервуаров, резервуаров (танков) речных и морских судов, цистерн, принимаемая равной температуре нефти/нефтепродуктов в резервуарах, резервуарах (танках) речных и морских судов, цистернах , °C, вычисляемая:

а) при отборе проб из резервуаров, резервуаров (танков) речных и морских судов по формуле

, (В.4)

где:

, , - количество смешиваемых проб верхнего, среднего, нижнего слоев соответственно, отобранных по ГОСТ 2517, ГОСТ 31873;

, , - температуры точечной пробы верхнего, среднего, нижнего слоев соответственно, °C;

- общее количество смешиваемых проб, отобранных по ГОСТ 2517, ГОСТ 31873;

б) при наличии преобразователей температуры, равномерно расположенных по высоте резервуаров или погруженных в резервуары, резервуары (танки) речных и морских судов, цистерны в точках отбора проб по ГОСТ 2517, ГОСТ 31873, по формуле

 
, (В.5)

где:

- температура, измеренная преобразователем температуры, °C;

j - порядковый номер преобразователя температуры, расположенного ниже уровня заполнения резервуаров;

n - число преобразователей температуры, расположенных ниже уровня заполнения резервуаров;

в) при отборе проб из цистерн по формуле

, (В.6)

где:

- температура нефти/нефтепродуктов в i-й цистерне, °C;

- объем нефти/нефтепродуктов в i-й цистерне, м3, определяемый по градуировочным/калибровочным таблицам (для железнодорожных цистерн), маркировочным табличкам и свидетельствам о поверке (для автомобильных цистерн, прицепов-цистерн, полуприцепов-цистерн);

i - порядковый номер цистерны;

s - число цистерн в составе;

г) при измерениях с применением преобразователей температуры, погружаемых в цистерны, как среднее арифметическое суммы температур нефти/нефтепродуктов в каждой цистерне, вычисленной по формуле (В.5), или как измеренная температура нефти/нефтепродуктов в каждой цистерне;

- поправочный коэффициент, учитывающий влияние температуры нефти/нефтепродуктов на их объем в резервуарах, резервуарах (танках) речных и морских судов, цистернах, вычисляемый аналогично поправочному коэффициенту CTL по формуле

, (В.7)

где:

- температура нефти/нефтепродуктов, °C;

- коэффициент, учитывающий стандартные условия по температуре, равный 15 °C или 20 °C в зависимости от исходных данных;

- коэффициент объемного расширения рабочей среды, , вычисляемый:

а) при температуре 15 °C по формуле

, (В.8)

где:

, , - коэффициенты, значения которых приведены в таблице В.1;

- плотность нефти/нефтепродуктов, вычисляемая по В.9.5.

Таблица В.1

Значения коэффициентов , ,

Рабочая среда , кг/м3
Нефть От 611,2 до 1163,8 613,9723 0,0000 0,0000
Бензины От 611,2 до 770,9 346,4228 0,43884 0,0000
Топлива, занимающие по плотности промежуточное место между бензинами и керосинами От 770,9 до 788,0 2690,7440 0,00000 -0,0033762
Топлива и керосины для реактивных двигателей, авиационное реактивное топливо ДЖЕТ А-1 по ГОСТ 32595 От 788,0 до 838,7 594,5418 0,0000 0,0000
Дизельные топлива, мазуты, печные топлива От 838,7 до 1163,9 186,9696 0,4862 0,0000
Примечания
1. Нефтепродукты разделены на группы, имеющие внутри подгруппы, в указанном в таблице диапазоне плотности, аналогичные характеристики зависимости между коэффициентом объемного расширения и плотностью нефтепродукта . Наименование групп носит условный характер.
2. Рекомендуется при расчетах плотности нефтепродуктов, выпускаемых отечественными производителями, применять значения коэффициентов , , , уточненные по результатам экспериментальных и теоретических работ и утвержденные в установленном порядке.
3. Если значение плотности нефтепродукта попадает в диапазон плотности, соответствующей другой группе нефтепродуктов, то при расчете плотности конкретного нефтепродукта, в связи с условным наименованием групп, следует применять значения коэффициентов , , , той подгруппы нефтепродуктов, которой соответствует его плотность Так, например бензин с плотностью более 770,9 кг/м3 следует относить к подгруппе "топлива, занимающие по плотности промежуточное место между бензинами и керосинами" и расчет плотности проводить по коэффициентам, соответствующим данной подгруппе.

б) при температуре 20 °C по формуле

, (В.9)

где - плотность нефти/нефтепродуктов, приведенная к стандартным условиям при температуре 20 °C, вычисляемая по формуле

, (В.10)

где - плотность нефти/нефтепродуктов, измеренная с применением переносных автоматизированных СИ плотности, или лабораторных автоматизированных СИ плотности или ареометров в лаборатории в объединенной пробе, приведенная к стандартным условиям при температуре 15 °C, кг/м3, вычисляемая по формуле

, (В.11)

где - плотность нефти/нефтепродуктов, принимаемая:

а) равной плотности при измерении с применением переносных автоматизированных СИ плотности в резервуарах, резервуарах (танках) речных и морских судов, цистернах , кг/м3, вычисляемой по формуле

 
, (В.12)

где:

- плотность, измеренная переносным автоматизированным СИ плотности, кг/м3;

j - порядковый номер уровня измерений плотности;

n - число уровней измерений плотности;

б) равной плотности при измерении с применением лабораторных автоматизированных СИ плотности или ареометров в лаборатории , кг/м3, вычисляемой по формуле

, (В.13)

где:

, , - плотность точечной пробы верхнего, среднего, нижнего слоев соответственно, кг/м3;

- поправочный коэффициент, учитывающий влияние температуры нефти/нефтепродуктов на их объем, вычисляемый аналогично поправочному коэффициенту CTL;

K - поправочный коэффициент на температурное расширение стекла для ареометров, вычисляемый для ареометров, градуированных при температуре:

а) 15 °C, по формуле

; (В.14)

б) 20 °C, по формуле

. (В.15)

При измерении плотности с применением лабораторных автоматизированных СИ плотности поправочный коэффициент на температурное расширение стекла для ареометров K принимают равным единице.

В.9.5. Значения поправочных коэффициентов , и плотности вычисляют методом последовательных приближений для каждого измерения следующим образом:

а) вычисляют значение коэффициента объемного расширения нефти/нефтепродуктов при температуре 15 °C , , аналогично значению коэффициента объемного расширения нефти/нефтепродуктов при температуре 15 °C , , по формуле (В.8), принимая плотность нефти/нефтепродуктов , кг/м3, равной измеренной плотности , кг/м3;

б) вычисляют значение поправочного коэффициента , аналогично значению поправочного коэффициента CTL по формуле (В.7), принимая температуру нефти/нефтепродуктов при измерении ее объема , °C, равной температуре нефти/нефтепродуктов при измерении плотности, °C, коэффициент объемного расширения нефти/нефтепродуктов при температуре 15 °C , , равным коэффициенту объемного расширения нефти/нефтепродуктов при температуре 15 °C , ;

в) вычисляют значение плотности аналогично значению плотности по формуле (В.11), принимая поправочные коэффициенты , равными поправочным коэффициентам , соответственно;

г) проверяют выполнение условия

, (В.16)

где k и (k - 1) - порядковые номера вычислений значений плотности ;

д) при невыполнении условия (В.16) повторяют операции по перечислениям а) - в);

е) при выполнении условия (В.16) вычисления прекращают.

В.9.6. Для резервуаров с понтоном, плавающей крышей объем нефти/нефтепродуктов , м3, вычисляют по формуле

, (В.17)

где - поправка, вычисляемая:

а) для резервуаров с понтоном по формуле

, (В.18)

где:

- масса понтона по паспорту на резервуар, кг;

- плотность нефти/нефтепродуктов в резервуарах при условиях измерения объема нефти/нефтепродуктов, кг/м3;

- плотность жидкости, применяемая в расчетах вместимости резервуаров при их градуировке, кг/м3, указанная в градуировочных/калибровочных таблицах.

Примечание - Допускается в качестве применять плотность нефти/нефтепродуктов, находящихся в резервуаре, в случае градуировки резервуаров геометрическим методом по ГОСТ 8.570, ГОСТ 8.346;

б) резервуаров с плавающей крышей по формуле

, (В.19)

где - поправка на изменение уровня жидкости, мм, вычисляемая по формуле

, (В.20)

где:

- расстояние по вертикали от риски измерительного люка на плавающей крыше до уровня нефти/нефтепродуктов, мм, учитываемое при градуировке резервуаров по градуировочным/калибровочным таблицам;

- расстояние по вертикали от риски измерительного люка на плавающей крыше до уровня нефти/нефтепродуктов при условиях измерения их уровня, мм;

- диаметр плавающей крыши, мм;

, ..., - диаметры отверстий в плавающей крыше по градуировочным/калибровочным таблицам, мм;

z - число отверстий.

В.9.7. Объем нефти/нефтепродуктов в резервуарах, резервуарах (танках) речных и морских судов, цистернах, приведенный к объему при температуре 20 °C, , м3, вычисляют по формуле

. (В.21)

В.9.8 Массу брутто нефти/нефтепродуктов (мазутов) и массу нефтепродуктов m, т, при приведении плотности, измеренной в лаборатории, к плотности при стандартном условии по температуре, вычисляют по формуле

, (В.22)

где:

- плотность нефти/нефтепродуктов, кг/м3, приведенная к плотности при стандартных условиях, вычисляемая по формуле (В.10) или (В.11) в зависимости от требуемой температуры;

- объем нефти/нефтепродуктов, м3, приведенный к объему при стандартных условиях, вычисляемый по формуле (В.2) или (В.17), или (В.21) в зависимости от требуемой температуры.

В.9.9. Массу брутто нефти/нефтепродуктов (мазутов) и массу нефтепродуктов m, т, при приведении плотности, измеренной в лаборатории, к условиям измерений объема нефти/нефтепродуктов в резервуарах, резервуарах (танках) речных и морских судов, цистернах допускается вычислять по формуле

, (В.23)

где:

- температура нефти/нефтепродуктов при измерении плотности, °C;

- плотность нефти/нефтепродуктов, измеренная в лаборатории, кг/м3.

Примечание - Данная формула может быть применена при разности температуры стенки резервуаров, резервуаров (танков) речных и морских судов, цистерн , °C, и температуры нефти/нефтепродуктов при измерении его плотности , °C, не более 15 °C.

В.9.10. Массу нетто нефти/нефтепродуктов (мазутов) , т, вычисляют по формуле

, (В.24)

где m - масса брутто нефти/нефтепродуктов (мазутов), т, вычисленная по формуле (В.22) или (В.23) в зависимости от исходных условий;

- масса балласта, т, вычисляемая по формуле

, (В.25)

где:

- массовая доля воды в нефти/нефтепродуктах (мазутах), измеренная по ГОСТ 2477, %;

- массовая доля механических примесей в нефти/нефтепродуктах (мазутах), измеренная по ГОСТ 6370, %;

- массовая доля хлористых солей в нефти, %, вычисляемая по формуле

, (В.26)

где:

- массовая концентрация хлористых солей, измеренная по ГОСТ 21534, мг/дм3;

- плотность нефти при условиях измерения объема, принимаемая равной плотности нефти, измеренной с применением переносных автоматизированных СИ плотности в резервуарах, резервуарах (танках) речных и морских судов , кг/м3, или при приведении плотности, измеренной в лаборатории, к условиям измерений объема нефти/нефтепродуктов, вычисляемая по формуле

. (В.27)

При вычислении массы балласта нефтепродуктов (мазутов) по формуле (В.25) массовую долю хлористых солей принимают равной 0.

В.9.11. Массу нетто нефти/нефтепродуктов (мазутов) и массу нефтепродуктов , т, принятых в резервуары, резервуары (танки) речных и морских судов, железнодорожные цистерны или отпущенных из них, вычисляют по формуле

, (В.28)

где , - массы нефти/нефтепродуктов, вычисленные по формуле (В.24) в начале и конце операции соответственно, т.

В.10. Оформление результатов измерений

Оформление результатов измерений осуществляют с применением программного обеспечения. При применении измерительных систем в резервуарах оформление результатов измерений осуществляют с применением СОИ.

Примечание - Возможно оформление результатов измерений оператором вручную.

В.11 Определение погрешности результатов измерений <1>

<1> Погрешность результатов измерений определяют только при аттестации методики измерений.

В.11.1. Относительную погрешность измерений массы брутто нефти/нефтепродуктов (мазутов) и массы нефтепродуктов , %, в резервуарах, резервуарах (танках) речных и морских судов, железнодорожных цистернах вычисляют по формуле

, (В.29)

где:

- пределы допускаемой относительной погрешности измерений вместимости резервуаров, резервуаров (танков) речных и морских судов, железнодорожных цистерн при уровне наполнения H, %, приведенные в градуировочных/калибровочных таблицах;

- относительная погрешность измерений уровня нефти/нефтепродуктов, %;

- коэффициент, учитывающий геометрическую форму резервуаров, резервуаров (танков) речных и морских судов, железнодорожных цистерн;

G - коэффициент, вычисляемый по формуле

, (В.30)

где:

, - температуры нефти/нефтепродуктов при измерениях их объема и плотности соответственно, °C;

- относительная погрешность измерений плотности нефти/нефтепродуктов, %;

- коэффициент объемного расширения рабочей среды, ;

, - абсолютные погрешности измерений температуры нефти/нефтепродуктов при измерениях их плотности и объема соответственно, °C;

- пределы допускаемой относительной погрешности обработки результатов измерений, %.

В.11.2. Относительную погрешность измерений уровня нефти/нефтепродуктов , %, вычисляют по формуле

, (В.31)

где:

, - пределы абсолютных погрешностей измерений уровней нефти/нефтепродуктов и подтоварной воды в резервуарах, резервуарах (танках) речных и морских судов, мм;

H, - значения уровня нефти/нефтепродуктов и уровня подтоварной воды соответственно, мм.

В.11.3. Относительную погрешность измерений плотности нефти/нефтепродуктов, , %, вычисляют по формуле

, (В.32)

где:

- пределы абсолютной погрешности измерений плотности нефти/нефтепродуктов, кг/м3;

- измеренное значение плотности нефти/нефтепродуктов, кг/м3.

В.11.4. Коэффициент, учитывающий геометрическую форму резервуаров, резервуаров (танков) речных и морских судов, железнодорожных цистерн , вычисляют по формуле

, (В.33)

где - объем нефти/нефтепродуктов, приходящийся на 1 мм наполнения резервуаров, резервуаров (танков) речных и морских судов, железнодорожных цистерн на уровне нефти/нефтепродуктов H, м3/мм, определяемый по градуировочным/калибровочным таблицам.

В.11.5. Относительную погрешность измерений массы брутто нефти/нефтепродуктов (мазутов) и массы нефтепродуктов , %, в автомобильных цистернах, прицепах-цистернах, полуприцепах-цистернах, вычисляют по формуле

, (В.34)

где - относительная погрешность полных автомобильных цистерн, прицепов-цистерн, полуприцепов-цистерн.

В.11.6. Относительную погрешность измерений массы брутто нефти/нефтепродуктов (мазутов) и массы нефтепродуктов, сдаваемых/принимаемых , %, вычисляют по формуле

, (В.35)

где:

, - коэффициенты, вычисляемые в начале и в конце приема/сдачи нефти/нефтепродуктов;

, - коэффициенты, вычисляемые в начале и в конце приема/сдачи нефти/нефтепродуктов.

В.11.7. Коэффициент в начале приема/сдачи нефти/нефтепродуктов вычисляют по формуле

, (В.36)

где:

- пределы допускаемой относительной погрешности измерений вместимости резервуаров, резервуаров (танков) речных и морских судов, железнодорожных цистерн при уровне наполнения , %, приведенные в градуировочных/калибровочных таблицах, в начале приема/сдачи нефти/нефтепродуктов;

- относительная погрешность измерений уровня нефти/нефтепродуктов в начале приема/сдачи нефти/нефтепродуктов, %, вычисляемая по формуле

, (В.37)

где:

, - пределы абсолютных погрешностей измерений уровней нефти/нефтепродуктов и подтоварной воды, мм;

, - значения уровня нефти/нефтепродуктов и уровня подтоварной воды в начале приема/сдачи нефти/нефтепродуктов, мм;

- коэффициент, учитывающий геометрическую форму резервуаров, резервуаров (танков) речных и морских судов, железнодорожных цистерн, вычисляемый по формуле

, (В.38)

где:

- объем жидкости в мере вместимости на уровне , м3;

- объем нефти/нефтепродуктов, приходящийся на 1 мм наполнения резервуаров, резервуаров (танков) речных и морских судов, железнодорожных цистерн на уровне нефти/нефтепродуктов , определяемый по градуировочным/калибровочным таблицам, м3/мм;

- коэффициент, вычисляемый по формуле

, (В.39)

- относительная погрешность измерений плотности нефти/нефтепродуктов в начале приема/сдачи нефти/нефтепродуктов, %, вычисляемая по формуле

, (В.40)

где:

- плотность нефти/нефтепродуктов в резервуарах, резервуарах (танках) речных и морских судов, железнодорожных цистернах в начале приема/сдачи нефти/нефтепродуктов, кг/м3;

- пределы абсолютной погрешности измерений плотности нефти/нефтепродуктов, кг/м3.

В.11.8. Коэффициент в начале приема/сдачи нефти/нефтепродуктов вычисляют по формуле

, (В.41)

В.11.9. Коэффициенты , в конце приема/сдачи нефти/нефтепродуктов вычисляют аналогично коэффициентам , в начале приема/сдачи нефти/нефтепродуктов по формулам (В.36) и (В.41) соответственно.

В.11.10. Относительную погрешность измерений массы нетто нефти/нефтепродуктов (мазутов) , %, вычисляют по формуле

, (В.42)

где:

- относительная погрешность измерений массы брутто нефти/нефтепродуктов (мазутов), %, вычисляемая по формуле (В.34) или (В.35) в зависимости от применяемых СИ;

- абсолютная погрешность измерений массовой доли воды в нефти/нефтепродуктах (мазутах), %, вычисляемая по формуле

, (В.43)

где:

- воспроизводимость метода измерений массовой доли воды в нефти/нефтепродуктах (мазутах) в соответствии с ГОСТ 2477, %;

- сходимость метода измерений массовой доли воды в нефти/нефтепродуктах (мазутах) в соответствии с ГОСТ 2477, %;

- абсолютная погрешность измерений массовой доли механических примесей в нефти/нефтепродуктах (мазутах), %, вычисляемая по формуле

, (В.44)

где:

- воспроизводимость метода измерений массовой доли механических примесей в нефти/нефтепродуктах (мазутах) в соответствии с ГОСТ 6370, %;

- сходимость метода измерений массовой доли механических примесей в нефти/нефтепродуктах (мазутах) в соответствии с ГОСТ 6370, %;

- абсолютная погрешность измерений массовой доли хлористых солей в нефти, %, вычисляемая по формуле

, (В.45)

где:

- воспроизводимость метода измерений массовой доли хлористых солей в нефти в соответствии с ГОСТ 21534;

- сходимость метода измерений массовой доли хлористых солей в нефти в соответствии с ГОСТ 21534.

При вычислении относительной погрешности измерений массы нетто нефтепродуктов (мазутов) по формуле (В.42) массовую долю хлористых солей в нефти и абсолютную погрешность измерений массовой доли хлористых солей в нефти принимают равной 0.

В.11.11. Рассчитанные значения относительной погрешности измерений массы брутто и нетто нефти/нефтепродуктов (мазутов) и массы нефтепродуктов не должны превышать значений, приведенных в В.1.

Приложение Г
(обязательное)

МЕТОДИКА ИЗМЕРЕНИЙ МАССЫ НЕФТИ И НЕФТЕПРОДУКТОВ ПРЯМЫМ МЕТОДОМ СТАТИЧЕСКИХ ИЗМЕРЕНИЙ

Г.1. Требования к погрешности измерений

Г.1.1. Максимальная допускаемая относительная погрешность измерений массы брутто нефти/нефтепродуктов (мазутов) и массы нефтепродуктов составляет:

а) +/- 0,40% - при прямом методе статических измерений взвешиванием на весах расцепленных цистерн с остановкой;

б) +/- 1,0% <1> - при прямом методе статических измерений взвешиванием на весах движущихся нерасцепленных цистерн и составов из них с общей массой брутто нефти/нефтепродуктов (мазутов) и массой нефтепродуктов не более 1000 т <2>;

в) +/- 2,5% <1> - при прямом методе статических измерений взвешиванием на весах движущихся нерасцепленных цистерн и составов из них с общей массой брутто нефти/нефтепродуктов (мазутов) и массой нефтепродуктов 1000 т и более <2>.

Г.1.2 Максимальная допускаемая относительная погрешность измерений массы нетто нефти/нефтепродуктов (мазутов) составляет:

а) +/- 0,50% - при прямом методе статических измерений взвешиванием на весах расцепленных цистерн с остановкой;

б) +/- 1,1% <3> - при прямом методе статических измерений взвешиванием на весах движущихся нерасцепленных цистерн и составов из них с общей массой брутто нефти/нефтепродуктов (мазутов) и массой нефтепродуктов не более 1000 т <2>;

в) +/- 2,6% <3> - при прямом методе статических измерений взвешиванием на весах движущихся нерасцепленных цистерн и составов из них с общей массой брутто нефти/нефтепродуктов (мазутов) и массой нефтепродуктов 1000 т и более <2>.

<1> В Республике Беларусь вместо значений "+/- 1,0" и "+/- 2,5" применяется "+/- 0,50".

<2> В Республике Беларусь диапазон измерений применяется без ограничений.

<3> В Республике Беларусь вместо значений "+/- 1,1" и "+/- 2,6" применяется "+/- 0,60".

Г.2. Требования к средствам измерений и техническим устройствам

Г.2.1. Для выполнения измерений применяют:

а) весы для статического взвешивания класса точности не хуже "средний III" по ГОСТ OIML R 76-1 или весы для взвешивания транспортных средств в движении не хуже класса точности 1 по ГОСТ 8.647;

б) автоматизированные СИ плотности (лабораторные, переносные) с пределами допускаемой абсолютной погрешности измерения плотности +/- 0,5 кг/м3;

в) преобразователи температуры (в том числе входящие в состав переносных автоматизированных СИ плотности) с пределами допускаемой абсолютной погрешности +/- 0,3 °C.

Г.2.2. Для выполнения измерений допускается применять:

а) ареометры по ГОСТ ISO 3675, или ареометры типа АНТ-1 или АН по ГОСТ 18481 с ценой деления 0,5 кг/м3 и пределами допускаемой абсолютной погрешности измерений плотности +/- 0,5 кг/м3, или СИ плотности по методикам измерений;

б) термометры с пределами допускаемой абсолютной погрешности +/- 0,2 °C с ценой деления 0,1 °C.

Г.2.3. СИ и технические устройства, используемые в испытательной лаборатории для измерений:

а) массовой доли воды в нефти/нефтепродуктах (мазутах), - по ГОСТ 2477;

б) массовой доли механических примесей в нефти/нефтепродуктах (мазутах), - по ГОСТ 6370;

в) массовой концентрации хлористых солей в нефти, - по ГОСТ 21534.

Г.2.4. При выполнении измерений применяют технические устройства:

а) переносные или стационарные пробоотборники по ГОСТ 2517, ГОСТ 31873, ГОСТ 13196;

б) испытательное оборудование и материалы, используемые в испытательной лаборатории для определения плотности, - в соответствии с методиками измерений, ГОСТ 3900.

Г.2.5. Диапазоны измерений СИ должны обеспечивать возможность измерений величин во всем интервале значений.

Г.2.6. Максимальная допускаемая относительная погрешность измерений массы нефти/нефтепродуктов с применением указанных СИ должна соответствовать Г.1, при этом допускается применять иные СИ, технические устройства с характеристиками не хуже приведенных.

Г.3. Требования к квалификации персонала

Г.3.1. К выполнению измерений и/или обработке их результатов допускают персонал, отвечающий установленным квалификационным требованиям, с соответствующей группой допуска по электробезопасности, прошедший обучение по промышленной безопасности, пожарной безопасности, по безопасности труда и инструктаж по охране труда.

Г.3.2. К выполнению измерений и/или обработке их результатов допускают персонал, знающий свои обязанности, ознакомленный с эксплуатационной документацией на СИ и технические устройства, умеющий выполнять операции, предусмотренные настоящим стандартом.

Г.4. Требования безопасности

Г.4.1. При выполнении работ соблюдают требования охраны труда, промышленной и пожарной безопасности, взрывобезопасности.

Г.4.2. Охрану труда и безопасность обеспечивают в соответствии с действующим законодательством государств, на территории которых применяют настоящий стандарт.

Г.4.3. СИ, электрооборудование и технические устройства используют в соответствии с руководствами (инструкциями) по эксплуатации.

Г.4.4. Конструкция СИ, электрооборудования и технических устройств должна обеспечивать возможность удобного и безопасного выполнения операций с применением средств индивидуальной защиты.

Г.4.5. При возникновении неисправностей, аварийной разгерметизации оборудования работы прекращают. Возобновление работ допускается только после выявления и устранения причин их возникновения.

Г.5. Требования охраны окружающей среды

Безопасность окружающей среды обеспечивают отсутствием неконтролируемых утечек нефти/нефтепродуктов во время измерений.

Г.6. Требования к условиям измерений на объектах измерений

Г.6.1. Условия применения СИ, испытательного оборудования и технических устройств должны соответствовать условиям эксплуатации, указанным в эксплуатационной документации и описании типа СИ.

Г.6.2. При выполнении измерений плотности нефти/нефтепродуктов в испытательной лаборатории соблюдают условия согласно методикам измерений, ГОСТ 3900.

Г.7. Подготовка к выполнению измерений

При подготовке к выполнению измерений выполняют следующие операции:

а) подготовка СИ к выполнению измерений в соответствии с эксплуатационной документацией;

б) проверка целостности пломб и/или клейм СИ;

в) проверка выполнения требований к СИ и измерительным системам, приведенных в стандартах, технических регламентах, законах, нормативных правовых актах в области обеспечения единства измерений/законодательной метрологии государств, на территории которых проводят измерения;

г) проверка выполнения условий измерений согласно Г.6.

Г.8. Порядок выполнения измерений

Г.8.1. При измерениях массы нефти/нефтепродуктов прямым методом статических измерений в расцепленных цистернах с остановкой массу порожней цистерны и массу цистерны с нефтью/нефтепродуктами измеряют на весах.

Г.8.2. При измерениях массы нефти/нефтепродуктов прямым методом статических измерений при движении составов железнодорожных цистерн массу порожнего состава цистерн (без учета массы локомотива) и состава с нефтью/нефтепродуктами (без учета массы локомотива) измеряют с применением весов в движении.

Примечание - Исключение массы локомотива из результата измерений массы состава цистерн весами выполняется автоматически.

Г.8.3. При последовательном заполнении нескольких железнодорожных цистерн нефтью/нефтепродуктами из одного резервуара точечные пробы отбирают в соответствии с ГОСТ 2517, ГОСТ 31873 из каждой четвертой цистерны (но не менее чем из двух). При поступлении для взвешивания нескольких железнодорожных цистерн с нефтью/нефтепродуктами, сопровождаемых одним паспортом качества, точечные пробы отбирают в соответствии с ГОСТ 2517, ГОСТ 31873 из каждой четвертой цистерны (но не менее чем из двух). Объединенную пробу составляют смешением точечных проб пропорционально объемам нефти/нефтепродуктов в цистернах, из которых отобраны пробы. Температуру нефти/нефтепродуктов измеряют в каждой цистерне, из которой проведен отбор проб.

Г.8.4. Температуру нефти/нефтепродуктов в цистерне , °C, измеряют с применением преобразователей температуры переносных автоматизированных СИ уровня. С этой целью преобразователи температуры через горловину цистерны погружают на уровень, расположенный на высоте 0,33 диаметра цистерны от нижней внутренней образующей. Отсчет температуры проводят после выдержки преобразователей температуры на указанном уровне в течение времени, указанного в эксплуатационной документации на переносные автоматизированные СИ уровня.

Г.8.5. При отсутствии (отказе) переносных автоматизированных СИ плотности с функцией измерения температуры температуру нефти/нефтепродуктов в цистерне определяют по температуре точечной пробы, при этом температуру нефти/нефтепродуктов в цистерне принимают равной температуре точечной пробы. Температуру точечной пробы измеряют термометрами. Результат измерений округляют до ближайшего деления шкалы.

Г.8.6. Плотность нефти/нефтепродуктов измеряют переносными автоматизированными СИ плотности в соответствии с их руководством по эксплуатации. Измерение плотности нефти/нефтепродуктов проводят в точках отбора проб по ГОСТ 2517, ГОСТ 31873. Плотность нефти/нефтепродуктов измеряют в каждой цистерне, из которой проведен отбор проб.

Г.8.7. Плотность нефти/нефтепродуктов в лаборатории измеряют с применением лабораторных автоматизированных СИ плотности, ареометров или СИ плотности по методикам измерений по объединенной пробе нефти/нефтепродуктов.

Г.8.8. Массовую долю составляющих балласта в нефти/нефтепродуктах (мазутах) в испытательной лаборатории измеряют с использованием проб, отбираемых в соответствии с ГОСТ 2517, ГОСТ 31873.

Г.8.9. Массовую долю воды в нефти/нефтепродуктах (мазутах) измеряют по ГОСТ 2477. Массовую долю механических примесей в нефти/нефтепродуктах (мазутах) измеряют по ГОСТ 6370. Массовую концентрацию хлористых солей в нефти измеряют по ГОСТ 21534.

Примечание - Допускается проводить измерения массовой доли воды, механических примесей, массовой концентрации хлористых солей с применением автоматизированных СИ по методикам измерений.

Г.9. Обработка результатов измерений

Г.9.1. Обработку результатов измерений осуществляют с применением СОИ и программного обеспечения.

Примечание - Возможна обработка результатов измерений оператором вручную.

Г.9.2. При обработке результатов измерений плотность нефти/нефтепродуктов приводят по температуре к стандартным условиям или к условиям измерения массы по формулам, приведенным в настоящем стандарте.

Примечание - Допускается плотность нефти/нефтепродуктов приводить по температуре к стандартным условиям, к условиям измерения объема по таблицам пересчета (приведения) плотности по температуре к стандартным условиям и к условиям измерения объема, приведенным в документах по стандартизации, в том числе ANSI/ASTM D 1250 [1].

Г.9.3. Массу брутто нефти/нефтепродуктов (мазутов) и массу нефтепродуктов m, т, в цистернах вычисляют по формуле

, (Г.1)

где:

- масса груженой цистерны (состава), измеренная весами, кг;

- масса порожней цистерны (состава), кг;

- плотность нефти/нефтепродуктов, приведенная к плотности при температуре 15 °C или 20 °C, кг/м3;

- значение плотности материала гири при поверке весов, принимаемое равным 8000 кг/м3;

- плотность воздуха, кг/м3, вычисляемая по формуле

, (Г.2)

где:

P - давление воздуха, мм рт. ст.;

T - температура воздуха, °C.

Г.9.4. Среднюю температуру нефти/нефтепродуктов в нескольких цистернах , °C, вычисляют:

а) как среднее арифметическое суммы температур нефти/нефтепродуктов в каждой цистерне при измерениях с применением преобразователей температуры, погружаемых в цистерны;

б) среднее взвешенное температур отобранных точечных проб по формуле

, (Г.3)

где:

- температура нефти/нефтепродуктов в i-й цистерне, °C;

- объем нефти/нефтепродуктов в i-й цистерне, м3, определяемый по градуировочным/калибровочным таблицам (для железнодорожных цистерн), маркировочным табличкам и свидетельствам о поверке (для автомобильных цистерн, прицепов-цистерн, полуприцепов-цистерн);

i - порядковый номер цистерны;

s - число цистерн в составе.

Г.9.5. Плотность нефти/нефтепродуктов, измеренную с применением переносных автоматизированных СИ плотности, или лабораторных автоматизированных СИ плотности, или ареометров в лаборатории в объединенной пробе, приведенную к стандартным условиям при температуре 15 °C, , кг/м3, вычисляют по формуле

, (Г.4)

где - плотность нефти/нефтепродуктов, принимаемая равной плотности при измерении с применением:

а) переносных автоматизированных СИ плотности в цистернах , кг/м3;

б) лабораторных автоматизированных СИ плотности или ареометров в лаборатории , кг/м3;

- поправочный коэффициент, учитывающий влияние температуры нефти/нефтепродуктов на их объем, определяемый аналогично поправочному коэффициенту CTL по формуле

, (Г.5)

где:

- коэффициент, учитывающий стандартные условия по температуре, равный 15 °C или 20 °C в зависимости от исходных данных;

- температура нефти/нефтепродуктов, °C;

- коэффициент объемного расширения рабочей среды, , вычисляемый:

а) при температуре 15 °C по формуле

, (Г.6)

где:

, , - коэффициенты, значения которых приведены в таблице Г.1;

- плотность нефти/нефтепродуктов, вычисленная по Г.9.6.

Таблица Г.1

Значения коэффициентов , ,

Рабочая среда , кг/м3
Нефть От 611,2 до 1163,8 613,9723 0,0000 0,0000
Бензины От 611,2 до 770,9 346,4228 0,43884 0,0000
Топлива, занимающие по плотности промежуточное место между бензинами и керосинами От 770,9 до 788,0 2690,7440 0,00000 -0,0033762
Топлива и керосины для реактивных двигателей, авиационное реактивное топливо ДЖЕТ А-1 по ГОСТ 32595 От 788,0 до 838,7 594,5418 0,0000 0,0000
Дизельные топлива, мазуты, печные топлива От 838,7 до 1163,9 186,9696 0,4862 0,0000
Примечания
1 Нефтепродукты разделены на группы, имеющие внутри подгруппы, в указанном в таблице диапазоне плотности, аналогичные характеристики зависимости между коэффициентом объемного расширения и плотностью нефтепродукта . Наименование групп носит условный характер.
2 Рекомендуется при расчетах плотности нефтепродуктов, выпускаемых отечественными производителями, применять значения коэффициентов , , , уточненные по результатам экспериментальных и теоретических работ и утвержденные в установленном порядке.
3 Если значение плотности нефтепродукта попадает в диапазон плотности, соответствующей другой группе нефтепродуктов, то при расчете плотности конкретного нефтепродукта в связи с условным наименованием групп следует применять значения коэффициентов , , , той подгруппы нефтепродуктов, которой соответствует его плотность . Так, например, бензин с плотностью более 770,9 кг/м3 следует относить к подгруппе "топлива, занимающие по плотности промежуточное место между бензинами и керосинами" и расчет плотности проводить по коэффициентам, соответствующим данной подгруппе.

б) при температуре 20 °C по формуле

, (Г.7)

где - плотность нефти/нефтепродуктов, приведенная к стандартным условиям при температуре 20 °C, вычисляемая по формуле

, (Г.8)

K - поправочный коэффициент на температурное расширение стекла для ареометров, вычисляемый для ареометров, градуированных при температуре:

а) 15 °C, по формуле

; (Г.9)

б) 20 °C, по формуле

. (Г.10)

При измерении плотности с применением лабораторных автоматизированных СИ плотности поправочный коэффициент на температурное расширение стекла для ареометров K принимают равным единице.

Г.9.6. Значения поправочных коэффициентов и плотности вычисляют методом последовательных приближений для каждого измерения следующим образом:

а) вычисляют значение коэффициента объемного расширения нефти/нефтепродуктов при температуре 15 °C , , аналогично значению коэффициента объемного расширения нефти/нефтепродуктов при температуре 15 °C , , по формуле (Г.6), принимая плотность нефти/нефтепродуктов , кг/м3, равной измеренной плотности , кг/м3;

б) вычисляют значение поправочного коэффициента аналогично значению поправочного коэффициента CTL по формуле (Г.5), принимая температуру нефти/нефтепродуктов при измерении ее объема , °C, равной температуре нефти/нефтепродуктов при измерении плотности, °C, коэффициент объемного расширения нефти/нефтепродуктов при температуре 15 °C , , равным коэффициенту объемного расширения нефти/нефтепродуктов при температуре 15 °C , ;

в) вычисляют значение плотности аналогично значению плотности по формуле (Г.4), принимая поправочный коэффициент равным поправочным коэффициентам соответственно;

г) проверяют выполнение условия

, (Г.11)

где k и (k - 1) - порядковые номера вычислений значений плотности ;

д) при невыполнении условия (Г.11) повторяют операции по перечислениям а) - в);

е) при выполнении условия (Г.11) вычисления прекращают.

Г.9.7. Массу нетто нефти/нефтепродуктов (мазутов) , т, вычисляют по формуле

, (Г.12)

где:

m - масса брутто нефти/нефтепродуктов (мазутов), т, вычисляемая по формуле (Г.1);

- масса балласта, т, вычисляемая по формуле

, (Г.13)

где:

- массовая доля воды в нефти/нефтепродуктах (мазутах), измеренная по ГОСТ 2477, %;

- массовая доля хлористых солей в нефти, %, вычисленная по формуле

, (Г.14)

где:

- массовая концентрация хлористых солей, измеренная по ГОСТ 21534, мг/дм3;

- плотность нефти/нефтепродуктов при условиях измерения объема, принимаемая равной плотности нефти/нефтепродуктов, измеренной с применением переносных автоматизированных СИ плотности в цистернах , кг/м3 или при приведении плотности, измеренной в лаборатории, к условиям измерений объема нефти/нефтепродуктов, вычисляемая по формуле

, (Г.15)

где - массовая доля механических примесей в нефти/нефтепродуктах (мазутах), измеренная по ГОСТ 6370, %.

При вычислении массы балласта нефтепродуктов (мазутов) по формуле (Г.13) массовую долю хлористых солей в нефти принимают равной 0.

Г.9.8. Допускается применять значения массовой доли воды в нефти/нефтепродуктах (мазутах) , %, массовой доли хлористых солей в нефти , %, массовой доли механических примесей в нефти/нефтепродуктах (мазутах) , %, которые ранее были измерены в резервуарах, резервуарах (танках) речных и морских судов, из которых заполнена цистерна.

Г.9.9. Массу нетто нефти/нефтепродуктов (мазутов) в составе цистерн вычисляют суммированием масс нетто нефти/нефтепродуктов (мазутов) в каждой цистерне. Результат вычисления приводят в тоннах с округлением до целого числа.

Г.10. Оформление результатов измерений

Оформление результатов измерений осуществляют с применением СОИ и/или программного обеспечения.

Примечание - Возможно оформление результатов измерений оператором вручную.

Г.11. Определение погрешности результатов измерений <1>

<1> Погрешность результатов измерений определяют только при аттестации методики измерений.

Г.11.1. Определение погрешности измерений массы брутто нефти/нефтепродуктов (мазутов) и массы нефтепродуктов в железнодорожных цистернах на весах с остановкой

Г.11.1.1. Относительную погрешность измерений массы брутто нефти/нефтепродуктов (мазутов) и массы нефтепродуктов взвешиванием расцепленных груженых и порожних железнодорожных цистерн с остановкой вычисляют по формуле

, (Г.16)

где:

- пределы допускаемой абсолютной погрешности весов при измерении массы груженой железнодорожной цистерны с остановкой, т;

- пределы допускаемой абсолютной погрешности весов при измерении массы порожней железнодорожной цистерны с остановкой, т.

Примечание - Для измерений массы одних и тех же груженых и порожних цистерн рекомендуется применять одни весы.

Г.11.1.2. Рассчитанные значения относительной погрешности измерений массы брутто нефти/нефтепродуктов (мазутов) и массы нефтепродуктов не должны превышать значений, приведенных в Г.1.

Г.11.2. Определение погрешности измерений массы брутто нефти/нефтепродуктов (мазутов) и массы нефтепродуктов в железнодорожных цистернах на весах в движении

Г.11.2.1. Относительную погрешность измерений массы брутто нефти/нефтепродуктов (мазутов) и массы нефтепродуктов взвешиванием без расцепки груженых и порожних железнодорожных цистерн в составе в движении вычисляют по формуле

, (Г.17)

где:

- пределы допускаемой абсолютной погрешности весов при измерении массы груженой железнодорожной цистерны в составе в движении, т;

- пределы допускаемой абсолютной погрешности весов при измерении массы порожней железнодорожной цистерны в составе в движении, т.

Примечание - Для измерений массы одних и тех же груженых и порожних цистерн рекомендуется применять одни весы.

Г.11.2.2. Относительную погрешность измерений массы брутто нефти/нефтепродуктов (мазутов) и массы нефтепродуктов взвешиванием груженого состава и порожнего состава без расцепки вычисляют по формуле

, (Г.18)

где:

- пределы допускаемой погрешности весов при измерении массы состава в груженом состоянии, %;

- масса состава в груженом состоянии, т;

- пределы допускаемой погрешности весов при измерении массы состава в порожнем состоянии, %;

- масса состава в порожнем состоянии, т.

Г.11.2.3. Рассчитанные значения относительной погрешности измерений массы брутто нефти/нефтепродуктов (мазутов) и массы нефтепродуктов не должны превышать значений, приведенных в Г.1.

Г.11.3. Определение погрешности измерений массы брутто нефти/нефтепродуктов (мазутов) и массы нефтепродуктов в автомобильных цистернах, прицепах-цистернах, полуприцепах-цистернах на весах с остановкой и в движении

Г.11.3.1. Относительную погрешность измерений массы брутто нефти/нефтепродуктов (мазутов) и массы нефтепродуктов взвешиванием расцепленных груженых и порожних автомобильных цистерн, прицеп-цистерн, полуприцеп-цистерн с остановкой и в движении вычисляют по формуле

, (Г.19)

где:

- абсолютная погрешность весов при измерении массы груженых автомобильных цистерн, прицеп-цистерн, полуприцеп-цистерн с остановкой, т;

- абсолютная погрешность весов при измерении массы порожних груженых автомобильных цистерн, прицеп-цистерн, полуприцеп-цистерн с остановкой, т.

Примечание - Для измерений массы одних и тех же груженых и порожних цистерн рекомендуется применять одни весы.

Г.11.3.2. Рассчитанные значения относительной погрешности измерений массы брутто нефти/нефтепродуктов (мазутов) и массы нефтепродуктов не должны превышать значений, приведенных в Г.1.

Г.11.4. Определение погрешности измерений массы нетто нефти/нефтепродуктов (мазутов)

Г.11.4.1. Относительную погрешность измерений массы нетто нефти/нефтепродуктов (мазутов) , %, вычисляют по формуле

, (Г.20)

где:

- допускаемая относительная погрешность измерений массы нефти с применением весов, %;

- абсолютная погрешность измерений массовой доли воды в нефти/нефтепродуктах (мазутах), %, вычисляемая по формуле

, (Г.21)

где:

- воспроизводимость метода измерений массовой доли воды в нефти/нефтепродуктах (мазутах) в соответствии с ГОСТ 2477, %;

- сходимость метода измерений массовой доли воды в нефти/нефтепродуктах (мазутах) в соответствии с ГОСТ 2477, %;

- абсолютная погрешность измерений массовой доли механических примесей в нефти/нефтепродуктах (мазутах), %, вычисляемая по формуле

, (Г.22)

где:

- воспроизводимость метода измерений массовой доли механических примесей в нефти/нефтепродуктах (мазутах) в соответствии с ГОСТ 6370, %;

- сходимость метода измерений массовой доли механических примесей в нефти в соответствии с ГОСТ 6370, %;

- абсолютная погрешность измерений массовой доли хлористых солей в нефти, %, вычисляемая по формуле

, (Г.23)

где:

- воспроизводимость метода измерений массовой доли хлористых солей в нефти в соответствии с ГОСТ 21534;

- сходимость метода измерений массовой доли хлористых солей в нефти в соответствии с ГОСТ 21534.

При вычислении относительной погрешности измерений массы нетто нефтепродуктов (мазутов) по формуле (Г.20) массовую долю хлористых солей в нефти и абсолютную погрешность измерений массовой доли хлористых солей в нефти принимаются равной 0.

Г.11.4.2. Рассчитанные значения относительной погрешности измерений массы нетто нефти/нефтепродуктов (мазутов) не должны превышать значений, приведенных в Г.1.

Приложение Д
(обязательное)

МЕТОДИКА ИЗМЕРЕНИЙ МАССЫ НЕФТИ И НЕФТЕПРОДУКТОВ КОСВЕННЫМ МЕТОДОМ, ОСНОВАННЫМ НА ГИДРОСТАТИЧЕСКОМ ПРИНЦИПЕ

Д.1. Требования к погрешности измерений

Д.1.1. Максимальная допускаемая относительная погрешность измерений массы брутто нефти/нефтепродуктов (мазутов) и массы нефтепродуктов составляет:

а) +/- 0,65% - при массе брутто нефти/нефтепродуктов (мазутов), массе нефтепродуктов не более 200 <1> т;

б) +/- 0,50% - при массе брутто нефти/нефтепродуктов (мазутов), массе нефтепродуктов 200 <1> т и более.

Д.1.2. Максимальная допускаемая относительная погрешность измерений массы нетто нефти/нефтепродуктов (мазутов) составляет:

а) +/- 0,75% - при массе брутто нефти/нефтепродуктов (мазутов) не более 200 <1> т;

б) +/- 0,60% - при массе брутто нефти/нефтепродуктов (мазутов) 200 <1> т и более.

<1> В Республике Беларусь вместо значения "200" применяется "120".

Д.2. Требования к средствам измерений и техническим устройствам

Д.2.1. Для выполнения измерений применяют:

а) стационарные СИ гидростатического давления с пределами допускаемой погрешности по описанию типа СИ;

б) измерительные системы, предназначенные для измерений уровня нефти, нефтепродуктов, воды и температуры в резервуарах с пределами:

1) допускаемой абсолютной погрешности измерений уровня +/- 3 мм,

2) допускаемой абсолютной погрешности измерений температуры +/- 0,5 °C,

3) допускаемой относительной погрешности обработки результатов измерений 0,05%;

в) автоматизированные СИ плотности (лабораторные, переносные) с пределами допускаемой абсолютной погрешности измерений плотности +/- 0,5 кг/м3.

Примечание - При применении измерительных систем допускается определять плотность косвенным методом по результатам измерений уровня, давления в газовом пространстве и гидростатического давления столба нефти, нефтепродуктов с применением преобразователей давления. Пределы допускаемой абсолютной погрешности измерений средней плотности нефти/нефтепродуктов составляют +/- 1 кг/м3.

Д.2.2. При отказе (отсутствии) измерительных систем, предназначенных для измерений уровня нефти, нефтепродуктов, воды и температуры в резервуарах, автоматизированных СИ плотности допускается применять:

а) стационарные автоматизированные СИ уровня с пределами допускаемой абсолютной погрешности измерений уровня +/- 3 мм;

б) преобразователи температуры (в том числе входящие в состав стационарных автоматизированных СИ уровня) с пределами допускаемой абсолютной погрешности +/- 0,5 °C;

в) ареометры по ГОСТ ISO 3675 или ареометры типа АНТ-1 или АН по ГОСТ 18481 с ценой деления 0,5 кг/м3 и пределами допускаемой абсолютной погрешности измерений плотности +/- 0,5 кг/м3 или СИ плотности по методикам измерений.

Д.2.3. СИ и технические устройства, используемые в испытательной лаборатории для измерений:

а) массовой доли воды в нефти/нефтепродуктах (мазутах) - по ГОСТ 2477;

б) массовой доли механических примесей в нефти/нефтепродуктах (мазутах) - по ГОСТ 6370;

в) массовой концентрации хлористых солей в нефти - по ГОСТ 21534.

Д.2.4. При выполнении измерений применяют технические устройства:

а) переносные или стационарные пробоотборники по ГОСТ 2517, ГОСТ 31873, ГОСТ 13196;

б) резервуары.

Д.2.5. Диапазоны измерений СИ должны обеспечивать возможность измерений величин во всем интервале значений.

Д.2.6. Максимальная допускаемая относительная погрешность измерений массы нефти/нефтепродуктов с применением указанных СИ должна соответствовать Д.1, при этом допускается применять иные СИ, технические устройства с характеристиками не хуже приведенных.

Д.3. Требования к квалификации персонала

Д.3.1. К выполнению измерений и/или обработке их результатов допускают персонал, отвечающий установленным квалификационным требованиям, с соответствующей группой допуска по электробезопасности, прошедший обучение по промышленной безопасности, пожарной безопасности, по безопасности труда и инструктаж по охране труда.

Д.3.2. К выполнению измерений и/или обработке их результатов допускают персонал, знающий свои обязанности, ознакомленный с эксплуатационной документацией на СИ и технические устройства, умеющий выполнять операции, предусмотренные настоящим стандартом.

Д.4. Требования безопасности

Д.4.1. При выполнении работ соблюдают требования охраны труда, промышленной и пожарной безопасности, взрывобезопасности.

Д.4.2. Охрану труда и безопасность обеспечивают в соответствии с действующим законодательством государств, на территории которых применяют настоящий стандарт.

Д.4.3. СИ, электрооборудование и технические устройства используют в соответствии с руководствами (инструкциями) по эксплуатации.

Д.4.4. Конструкция СИ, электрооборудования и технических устройств должна обеспечивать возможность удобного и безопасного выполнения операций с применением средств индивидуальной защиты.

Д.4.5. При возникновении неисправностей, аварийной разгерметизации оборудования работы прекращают. Возобновление работ допускается только после выявления и устранения причин их возникновения.

Д.5. Требования охраны окружающей среды

Безопасность окружающей среды обеспечивают отсутствием неконтролируемых утечек нефти/нефтепродуктов во время измерений.

Д.6. Требования к условиям измерений на объектах измерений

Условия применения СИ, испытательного оборудования и технических устройств должны соответствовать условиям эксплуатации, указанным в эксплуатационной документации и описании типа СИ.

Д.7. Подготовка к выполнению измерений

При подготовке к выполнению измерений выполняют следующие операции:

а) обеспечение отстоя нефти/нефтепродуктов после заполнения резервуаров продолжительностью не менее 2 ч;

б) подготовка СИ к выполнению измерений в соответствии с эксплуатационной документацией;

в) проверка целостности пломб и/или клейм СИ;

г) проверка выполнения требований к СИ и измерительным системам, приведенных в стандартах, технических регламентах, законах, нормативных правовых актах в области обеспечения единства измерений/законодательной метрологии государств, на территории которых проводят измерения;

д) проверка наличия градуировочных/калибровочных таблиц;

е) проверка выполнения условий измерений согласно Д.6.

Д.8. Порядок выполнения измерений

Д.8.1. Общие требования

При измерении массы нефти/нефтепродуктов выполняют следующие операции:

а) измерение гидростатического давления столба нефти/нефтепродуктов;

б) измерение уровня нефти/нефтепродуктов;

в) измерение уровня подтоварной воды;

г) измерение температуры и плотности нефти/нефтепродуктов;

д) измерение массовой доли составляющих балласта нефти/нефтепродуктов (мазутов).

Д.8.2. Измерение гидростатического давления столба нефти и нефтепродуктов

Измерение гидростатического давления столба нефти/нефтепродуктов проводят с применением стационарных СИ гидростатического давления.

Д.8.3. Измерение уровня нефти и нефтепродуктов

Д.8.3.1. Уровень нефти/нефтепродуктов измеряют с применением измерительных систем.

Д.8.3.2. Результат измерений уровня нефти/нефтепродуктов округляют до целого значения.

Д.8.4. Измерение уровня подтоварной воды

Д.8.4.1. Уровень подтоварной воды измеряют с применением измерительных систем.

Д.8.4.2. Результат измерений уровня подтоварной воды округляют до целого значения.

Д.8.5. Отбор проб

Д.8.5.1. Пробу нефти/нефтепродуктов в резервуарах отбирают в соответствии с ГОСТ 2517, ГОСТ 31873.

Д.8.5.2. Упаковку, маркировку и хранение проб нефти/нефтепродуктов осуществляют в соответствии с ГОСТ 2517, ГОСТ 31873.

Д.8.6. Измерение температуры нефти и нефтепродуктов

Температуру нефти/нефтепродуктов измеряют с применением измерительных систем.

Д.8.7. Измерение плотности нефти и нефтепродуктов

Д.8.7.1. Плотность нефти/нефтепродуктов в лаборатории измеряют с применением лабораторных автоматизированных СИ плотности, ареометров или СИ плотности по методикам измерений по объединенной пробе нефти/нефтепродуктов.

Д.8.7.2. Плотность нефти/нефтепродуктов измеряют с применением лабораторных автоматизированных СИ плотности или ареометров в объединенной пробе, составленной смешением точечных проб по ГОСТ 2517, ГОСТ 31873.

Д.8.7.3. Допускается измерение плотности нефти/нефтепродуктов переносными автоматизированными СИ плотности в соответствии с их руководством по эксплуатации. Измерение плотности нефти проводят в точках отбора проб по ГОСТ 2517, ГОСТ 31873.

Д.8.8. Определение массы балласта нефти и нефтепродуктов (мазутов)

Д.8.8.1. Массовую долю воды, механических примесей и хлористых солей в нефти/нефтепродуктах (мазутах) в испытательной лаборатории измеряют с использованием проб, отбираемых автоматическими пробоотборниками или вручную в соответствии с ГОСТ 2517, ГОСТ 31873.

Д.8.8.2. Массовую долю воды в нефти/нефтепродуктах (мазутах) измеряют по ГОСТ 2477. Массовую долю механических примесей в нефти/нефтепродуктах (мазутах) измеряют по ГОСТ 6370. Массовую концентрацию хлористых солей в нефти измеряют по ГОСТ 21534.

Примечание - Допускается проводить измерения массовой доли воды, механических примесей, массовой концентрации хлористых солей с применением автоматизированных СИ по методикам измерений.

Д.9. Обработка результатов измерений

Д.9.1. Обработку результатов измерений осуществляют с применением СОИ и программного обеспечения.

Примечание - Возможна обработка результатов измерений оператором вручную.

Д.9.2. Массу брутто нефти/нефтепродуктов (мазутов) и массу нефтепродуктов , т, при измерениях гидростатического давления столба нефти/нефтепродуктов в резервуарах вычисляют по формуле

, (Д.1)

где:

g - ускорение свободного падения, м/с2;

P - гидростатическое давление столба нефти/нефтепродуктов, Па;

- средняя площадь поперечного сечения наполненной части резервуара, м2.

Д.9.3. Среднюю площадь поперечного сечения наполненной части резервуара , м2, вычисляют по формуле

, (Д.2)

где:

- объем нефти/нефтепродуктов в резервуарах на измеряемом уровне нефти/нефтепродуктов H, определяемый по градуировочным/калибровочным таблицам резервуаров, м3;

- температурный коэффициент линейного расширения стенки резервуаров, равный ;

- температура стенки резервуаров, резервуаров (танков) речных и морских судов, принимаемая равной температуре нефти/нефтепродуктов в резервуарах, , °C, вычисляемая:

а) при отборе проб из резервуаров по формуле

, (Д.3)

где:

, , - количество смешиваемых проб верхнего, среднего, нижнего слоев соответственно, отобранных по ГОСТ 2517, ГОСТ 31873;

, , - температуры точечной пробы верхнего, среднего, нижнего слоев соответственно, °C;

- общее количество смешиваемых проб, отобранных по ГОСТ 2517, ГОСТ 31873;

б) при наличии преобразователей температуры, равномерно расположенных по высоте резервуаров, по формуле

, (Д.4)

где:

- температура, измеренная преобразователем температуры, °C;

j - порядковый номер преобразователя температуры, расположенного ниже уровня заполнения резервуаров;

n - число преобразователей температуры, расположенных ниже уровня заполнения резервуаров;

H - уровень нефти/нефтепродуктов, мм.

Д.9.4. Плотность нефти, измеренную с применением лабораторных автоматизированных СИ плотности или ареометров в лаборатории в объединенной пробе, приведенную к стандартным условиям при температуре 15 °C, , кг/м3, вычисляют по формуле

, (Д.5)

где - плотность нефти/нефтепродуктов, принимаемая:

а) равной плотности при измерении с применением переносных автоматизированных СИ плотности в резервуарах, , кг/м3, вычисляемой по формуле

, (Д.6)

где:

- плотность, измеренная переносным автоматизированным СИ плотности, кг/м3;

j - порядковый номер уровня измерений плотности;

n - число уровней измерений плотности;

б) равной плотности при измерении с применением лабораторных автоматизированных СИ плотности или ареометров в лаборатории , кг/м3, вычисляемой по формуле

, (Д.7)

где:

, , - плотность точечной пробы верхнего, среднего, нижнего слоев соответственно, кг/м3;

- поправочный коэффициент, учитывающий влияние температуры нефти/нефтепродуктов на их объем, определяемый аналогично поправочному коэффициенту CTL по формуле

, (Д.8)

где:

- коэффициент, учитывающий стандартные условия по температуре, равный 15 °C или 20 °C в зависимости от исходных данных;

- коэффициент объемного расширения рабочей среды, , вычисляемый:

а) при температуре 15 °C по формуле

, (Д.9)

где:

, , - коэффициенты, значения которых приведены в таблице Д.1;

- плотность нефти/нефтепродуктов, вычисляемая по Д.9.5.

Таблица Д.1

Значения коэффициентов , ,

Рабочая среда , кг/м3
Нефть От 611,2 до 1163,8 613,9723 0,0000 0,0000
Мазуты От 838,7 до 1163,9 186,9696 0,4862 0,0000

б) при температуре 20 °C по формуле

, (Д.10)

где - плотность нефти/нефтепродуктов, приведенная к стандартным условиям при температуре 20 °C, вычисляемая по формуле

, (Д.11)

K - поправочный коэффициент на температурное расширение стекла для ареометров, вычисляемый:

а) для ареометров, градуированных при температуре 15 °C, по формуле

; (Д.12)

б) для ареометров, градуированных при температуре 20 °C, по формуле

. (Д.13)

При измерении плотности с применением лабораторных автоматизированных СИ плотности поправочный коэффициент на температурное расширение стекла для ареометров K принимают равным единице.

Д.9.5. Значения поправочных коэффициентов и плотности вычисляют методом последовательных приближений для каждого измерения следующим образом:

а) вычисляют значение коэффициента объемного расширения нефти/нефтепродуктов при температуре 15 °C , , аналогично значению коэффициента объемного расширения нефти/нефтепродуктов при температуре 15 °C , , по формуле (Д.9), принимая плотность нефти/нефтепродуктов , равной измеренной плотности , кг/м3;

б) вычисляют значение поправочного коэффициента аналогично значению поправочного коэффициента CTL по формуле (Д.8), принимая температуру нефти/нефтепродуктов при измерении ее объема , °C, равной температуре нефти/нефтепродуктов при измерении плотности, °C, коэффициент объемного расширения нефти/нефтепродуктов при температуре 15 °C , , равным коэффициенту объемного расширения нефти/нефтепродуктов при температуре 15 °C , ;

в) вычисляют значение плотности аналогично значению плотности по формуле (Д.4), принимая поправочный коэффициент равным поправочным коэффициентам соответственно;

г) проверяют выполнение условия

, (Д.14)

где k и (k - 1) - порядковые номера вычислений значений плотности ;

д) при невыполнении условия (Д.14) повторяют операции по перечислениям а) - в);

е) при выполнении условия (Д.14) вычисления прекращают.

Д.9.6. Плотность нефти/нефтепродуктов, измеренную с применением лабораторных автоматизированных СИ плотности или ареометров в лаборатории в объединенной пробе, приведенную к условиям измерений объема нефти/нефтепродуктов , кг/м3, вычисляют по формуле

, (Д.15)

Д.9.7. Массу нефти/нефтепродуктов, принятых в резервуары или отпущенных из них, , т, вычисляют по формуле

, (Д.16)

где , - масса брутто нефти/нефтепродуктов (мазутов) и масса нефтепродуктов, измеренная в начале и конце операции, т, соответственно по формуле (Д.1).

Д.9.8. Массу нетто нефти/нефтепродуктов (мазутов) , т, вычисляют по формуле

, (Д.17)

где:

m - масса брутто нефти/нефтепродуктов (мазутов), т, вычисляемая по формуле (Д.1) или (Д.16) в зависимости от исходных условий;

- масса балласта, т, вычисляемая по формуле

, (Д.18)

где:

- массовая доля воды в нефти/нефтепродуктах (мазутах), измеряемая по ГОСТ 2477, %;

- массовая доля механических примесей в нефти/нефтепродуктах (мазутах), измеряемая по ГОСТ 6370, %;

- массовая доля хлористых солей в нефти, %, вычисляемая по формуле

, (Д.19)

где:

- массовая концентрация хлористых солей, измеренная по ГОСТ 21534, мг/дм3;

- плотность нефти при условиях измерения объема, принимаемая равной плотности нефти, измеренной с применением переносных автоматизированных СИ плотности в резервуарах, резервуарах (танках) речных и морских судов , кг/м3, или при приведении плотности, измеренной в лаборатории, к условиям измерений объема нефти/нефтепродуктов, вычисляемая по формуле

. (Д.20)

При вычислении массы балласта нефтепродуктов (мазутов) по формуле (Д.18) массовую долю хлористых солей в нефти принимают равной 0.

Д.10. Оформление результатов измерений

Оформление результатов измерений осуществляют с применением СОИ и/или программного обеспечения.

Примечание - Возможно оформление результатов измерений оператором вручную.

Д.11 Определение погрешности результатов измерений <1>

<1> Погрешность результатов измерений определяют только при аттестации методики измерений.

Д.11.1. Относительную погрешность измерений массы нефти/нефтепродуктов при косвенном методе, основанном на гидростатическом принципе, , %, вычисляют по формуле

, (Д.21)

где:

- относительная погрешность измерений гидростатического давления нефти/нефтепродуктов, %;

- пределы допускаемой относительной погрешности измерений вместимости резервуаров при уровне наполнения H, %, приведенные в градуировочных/калибровочных таблицах;

- коэффициент, учитывающий геометрическую форму резервуаров, вычисляемый по формуле

, (Д.22)

где:

- объем нефти/нефтепродуктов, приходящийся на 1 м высоты наполнения резервуаров на измеряемом уровне нефти/нефтепродуктов H, м3/мм, определяемый по градуировочным/калибровочным таблицам;

H - уровень нефти/нефтепродуктов в резервуарах, мм;

- объем жидкости (нефть/нефтепродукты, подтоварная вода), определяемый по градуировочным/калибровочным таблицам резервуаров, составленным при температуре 20 °C, м3;

- относительная погрешность измерений уровня нефти/нефтепродуктов, %;

- пределы допускаемой относительной погрешности обработки результатов измерений, %, равные 0,05%.

Д.11.2. Относительную погрешность измерений массы нефти/нефтепродуктов при проведении приема/сдачи нефти/нефтепродуктов , %, вычисляют по формуле

, (Д.23)

где и - коэффициенты, определяемые в начале и конце приема/сдачи нефти/нефтепродуктов соответственно.

Д.11.3. Коэффициент в начале приема/сдачи нефти/нефтепродуктов вычисляют по формуле

, (Д.24)

где:

- относительная погрешность измерений гидростатического давления, соответствующая измеряемому уровню наполнения резервуаров в начале приема/сдачи нефти/нефтепродуктов, %;

- пределы допускаемой относительной погрешности градуировочных/калибровочных таблиц резервуаров, %;

- коэффициент, учитывающий геометрическую форму резервуаров в начале приема/сдачи нефти/нефтепродуктов, вычисляемый по формуле (Д.22);

- относительная погрешность измерений уровня нефти/нефтепродуктов в начале приема/сдачи нефти/нефтепродуктов, %.

Д.11.4. Коэффициент в конце приема/сдачи нефти/нефтепродуктов вычисляют аналогично коэффициенту по формуле (Д.24).

Д.11.5. Относительную погрешность измерений массы нетто нефти/нефтепродуктов (мазутов) , %, вычисляют по формуле

, (Д.25)

где - абсолютная погрешность измерений массовой доли воды в нефти/нефтепродуктах (мазутах), %, вычисляемая по формуле

, (Д.26)

где:

- воспроизводимость метода измерений массовой доли воды в нефти/нефтепродуктах (мазутах) в соответствии с ГОСТ 2477, %;

- сходимость метода измерений массовой доли воды в нефти/нефтепродуктах (мазутах) в соответствии ГОСТ 2477, %;

- абсолютная погрешность измерений массовой доли механических примесей в нефти/нефтепродуктах (мазутах), %, вычисляемая по формуле

, (Д.27)

где:

- воспроизводимость метода измерений массовой доли механических примесей в нефти/нефтепродуктах (мазутах) в соответствии с ГОСТ 6370, %;

- сходимость метода измерений массовой доли механических примесей в нефти/нефтепродуктах (мазутах) в соответствии с ГОСТ 6370, %;

- абсолютная погрешность измерений массовой доли хлористых солей в нефти, %, вычисляемая по формуле

, (Д.28)

где:

- воспроизводимость метода измерений массовой доли хлористых солей в нефти в соответствии с ГОСТ 21534;

- сходимость метода измерений массовой доли хлористых солей в нефти в соответствии с ГОСТ 21534;

- допускаемая относительная погрешность измерений массы брутто нефти/нефтепродуктов (мазутов) или массы нефтепродуктов, %, вычисляемая по формуле (Д.21) или (Д.25) в зависимости от исходных условий.

При вычислении относительной погрешности измерений массы нетто нефтепродуктов (мазутов) по формуле (Д.25) массовую долю хлористых солей в нефти и абсолютную погрешность измерений массовой доли хлористых солей в нефти принимают равной 0.

Д.11.6. Рассчитанные значения относительной погрешности измерений массы брутто и нетто нефти/нефтепродуктов (мазутов) и массы нефтепродуктов не должны превышать значений, приведенных в Д.1.

БИБЛИОГРАФИЯ

[1] ANSI/ASTM D 1250 Руководство по использованию таблиц измерения нефти