Свод правил. Водоснабжение. Наружные сети и сооружения. Актуализированная редакция СНиП 2.04.02-84*. СП 31.13330.2012

(утв. Приказом Минрегиона РФ от 29.12.2011 N 635/14)
Редакция от 23.12.2019 — Документ не действует

СВОД ПРАВИЛ

ВОДОСНАБЖЕНИЕ. НАРУЖНЫЕ СЕТИ И СООРУЖЕНИЯ

АКТУАЛИЗИРОВАННАЯ РЕДАКЦИЯ
СНиП 2.04.02-84*

Water supply. Pipelines and portable water treatment plants

СП 31.13330.2012

(в ред. Изменения N 1, утв. Приказом Минстроя РФ от 08.04.2015 N 260/пр, Изменения N 2, утв. Приказом Минстроя РФ от 30.12.2015 N 960/пр, Изменения N 3, утв. Приказом Минстроя РФ от 24.05.2018 N 307/пр, Изменения N 4, утв. Приказом Минстроя РФ от 21.01.2019 N 21/пр, Изменения N 5, утв. Приказом Минстроя РФ от 23.12.2019 N 838/пр)

Дата введения
1 января 2013 года

Предисловие

Сведения о своде правил

1 ИСПОЛНИТЕЛИ - ООО "РОСЭКОСТРОЙ", ОАО "НИЦ "Строительство". Изменение N 1 к СП 31.13330.2012 - ОАО "МосводоканалНИИпроект"

2 ВНЕСЕН Техническим комитетом по стандартизации ТК 465 "Строительство", Федеральным автономным учреждением "Федеральный центр нормирования, стандартизации и технической оценки соответствия в строительстве" (ФАУ "ФЦС")

3 ПОДГОТОВЛЕН к утверждению Департаментом архитектуры, строительства и градостроительной политики. Изменение N 1 к СП 31.13330.2012 подготовлено к утверждению Департаментом градостроительной деятельности и архитектуры Министерства строительства и жилищно-коммунального хозяйства Российской Федерации (Минстрой России)

4 УТВЕРЖДЕН приказом Министерства регионального развития Российской Федерации (Минрегион России) от 29 декабря 2011 г. N 635/14 и введен в действие с 01 января 2013 г. В СП 31.13330.2012 "СНиП 2.04.02-84* Водоснабжение. Наружные сети и сооружения" внесено и утверждено изменение N 1 приказом Министерства строительства и жилищно-коммунального хозяйства Российской Федерации от 8 апреля 2015 г. N 260/пр и введено в действие с 30 апреля 2015 г.

5 ЗАРЕГИСТРИРОВАН Федеральным агентством по техническому регулированию и метрологии (Росстандарт)

В случае пересмотра (замены) или отмены настоящего свода правил соответствующее уведомление будет опубликовано в установочном порядке. Соответствующая информация, уведомление и тексты размещаются также в информационной системе общего пользования - на официальном сайте разработчика (Минстрой России) в сети Интернет

Пункты, таблицы, приложения, в которые внесены изменения, отмечены в настоящем своде правил звездочкой.

Введение*

Актуализация выполнена ООО "РОСЭКОСТРОЙ" при участии ОАО "НИЦ Строительство"

Ответственные исполнители: Г.М. Мирончик, А.О. Душко, Л.Л. Меньков, Е.Н. Жиров, С.А. Кудрявцев (ООО "РОСЭКОСТРОЙ"), Р.Ш. Непаридзе (ООО "Гипрокоммунводоканал"), М.Н. Сирота (ОАО "ЦНИИЭП инженерного оборудования"), В.Н. Швецов (ОАО "ВНИИ ВОДГЕО")

Изменение N 1 к настоящему своду правил выполнено ОАО "МосводоканалНИИпроект" (руководители разработки: д-р техн. наук О.Г. Примин, д-р техн. наук Е.И. Пупырев, канд. техн. наук А.Д. Алиференков), ООО "Липецкая трубная компания "Свободный Сокол" (инж. И.Н. Ефремов, инж. Б.Н. Лизунов, инж. А.В. Минченков).

Изменение N 2 к настоящему своду правил выполнено специалистами ООО "РЭСЭКОСТРОЙ". Ответственные исполнители: инж. К.Н. Жиров, канд. техн. наук Д.Б. Фрог. Участники работы по внесению изменений: д-р техн. наук В.Г. Иванов, д-р техн. наук Н.А. Черников (ПГУПС), канд. техн. наук Л.Г. Дерюшев (ФГБОУ ВПО "МГСУ"), канд. техн. наук Д.И. Привин. (в ред. Изменения N 2, утв. Приказом Минстроя РФ от 30.12.2015 N 960/пр)

Изменение N 3 к настоящему своду правил разработано авторским коллективом АО "НПО Стеклопластик" (канд. техн. наук А.Ф. Косолапов), АНО "Стандарткомпозит" (В.А. Антошин), Объединения юридических лиц "Союз производителей композитов" (С.Ю. Ветохин, А.В. Гералтовский), ООО "НВК Системные инновации" (д-р техн. наук С.В. Бухаров, А.С. Лебедев). (в ред. Изменения N 3, утв. Приказом Минстроя РФ от 24.05.2018 N 307/пр)

Изменение N 4 к настоящему своду правил выполнено специалистами федерального государственного бюджетного учреждения "Научно-исследовательский институт строительной физики Российской академии архитектуры и строительных наук" (ответственный исполнитель - канд. техн. наук Д.Б. Фрог) при участии АО "МосводоканалНИИпроект (д-р техн. наук О.Г. Примин), ПГУПС (д-р техн. наук В.Г. Иванов, д-р техн. наук Н.А. Черников), СПбГАСУ (д-р техн. наук М.И. Алексеев), МИИТ (д-р техн. наук Ю.А. Ермолин), АО "ЦНИИПромзданий" (д-р техн. наук Н.Н. Трекин, д-р техн. наук Э.Н. Кодыш), ООО "РЭСЭКОСТРОЙ" (В.Д. Бутман), ООО "Группа ПОЛИПЛАСТИК" (канд. техн. наук И.А. Аверкеев, И.П. Сафронова), ООО "Липецкая трубная компания "Свободный сокол" (И.В. Ефремов). (в ред. Изменения N 4, утв. Приказом Минстроя РФ от 21.01.2019 N 21/пр)

Изменение N 5 к СП 31.13330.2012 выполнено авторским коллективом АО "ЦНИИПромзданий" (д-р техн. наук В.В. Гранев, канд. архитектуры Д.К. Лейкина), ФГБОУ ВО "РГАУ-МСХА имени К.А. Тимирязева" (канд. техн. наук М.Г. Мхитарян), АО "Институт МосводоканалНИИпроект" (д-р техн. наук О.Г. Примин). (в ред. Изменения N 5, утв. Приказом Минстроя РФ от 23.12.2019 N 838/пр)

1* Область применения (в ред. Изменения N 4, утв. Приказом Минстроя РФ от 21.01.2019 N 21/пр)

Настоящий свод правил устанавливает требования, которые должны соблюдаться при проектировании вновь строящихся и реконструируемых систем наружного водоснабжения поселений и городских округов.

При разработке проектов водоснабжения следует руководствоваться действующими на момент проектирования нормативными и техническими документами.

2* Нормативные ссылки (в ред. Изменения N 4, утв. Приказом Минстроя РФ от 21.01.2019 N 21/пр)

В настоящем своде правил использованы ссылки на следующие документы:

ГОСТ 12.1.005-88 Система стандартов безопасности труда. Общие санитарно-гигиенические требования к воздуху рабочей зоны

ГОСТ 12.1.007-76 Система стандартов безопасности труда. Вредные вещества. Классификация и общие требования безопасности

ГОСТ 17.1.1.01-77 Охрана природы. Гидросфера. Использование и охрана вод. Основные термины и определения

ГОСТ 17.1.1.01-77 отменен. Взамен него с 01.04.2021 введен в действие ГОСТ Р 59053-2020.

ГОСТ 17.1.1.04-80 Охрана природы. Гидросфера. Классификация подземных вод по целям водопользования

ГОСТ 21.704-2011 Система проектной документации для строительства. Правила выполнения рабочей документации наружных сетей водоснабжения и канализации

ГОСТ 2761-84 Источники централизованного хозяйственно-питьевого водоснабжения. Гигиенические, технические требования и правила выбора

ГОСТ 6482-2011 Трубы железобетонные безнапорные. Технические условия

ГОСТ 6942-98 Трубы чугунные канализационные и фасонные части к ним. Технические условия

ГОСТ 7890-93 Краны мостовые однобалочные подвесные. Технические условия

ГОСТ 10704-91 Трубы стальные электросварные прямошовные. Сортамент

ГОСТ 13015-2012 Изделия бетонные и железобетонные для строительства. Общие технические требования. Правила приемки, маркировки, транспортирования и хранения

ГОСТ 15150-69 Машины, приборы и другие технические изделия. Исполнения для различных климатических районов. Категории, условия эксплуатации, хранения и транспортирования в части воздействия климатических факторов внешней среды

ГОСТ 18599-2001 Трубы напорные из полиэтилена. Технические условия

ГОСТ 19179-73 Гидрология суши. Термины и определения

ГОСТ 19185-73 Гидротехника. Основные понятия. Термины и определения

ГОСТ 25151-82 Водоснабжение. Термины и определения

ГОСТ 27751-2014 Надежность строительных конструкций и оснований. Основные положения

ГОСТ 31416-2009 Трубы и муфты хризотилцементные. Технические условия

ГОСТ 32415-2013 Трубы напорные из термопластов и соединительные детали к ним для систем водоснабжения и отопления. Общие технические условия

ГОСТ ISO 2531-2012 Трубы, фитинги, арматура и их соединения из чугуна с шаровидным графитом для водо- и газоснабжения. Технические условия

ГОСТ Р 21.1101-2013 Система проектной документации для строительства. Основные требования к проектной и рабочей документации

ГОСТ Р 21.1101-2013 отменен. Взамен него с 01.01.2021 введен в действие ГОСТ Р 21.101-2020.

ГОСТ Р 50571.5.52-2011/МЭК 60364-5-52:2009 Электроустановки низковольтные. Часть 5-52. Выбор и монтаж электрооборудования. Электропроводки

ГОСТ Р 50571.7.706-2016/МЭК 60364-7-706(2005) Электроустановки низковольтные. Часть 7-706. Требования к специальным установкам или местам их расположения. Проводящие помещения со стесненными условиями

ГОСТ Р 52318-2005 Трубы медные круглого сечения для воды и газа. Технические условия

ГОСТ Р 52779-2007 (ИСО 8085-2:2001, ИСО 8085-3:2001) Детали соединительные из полиэтилена для газопроводов. Общие технические условия

ГОСТ Р 53201-2008 Трубы стеклопластиковые и фитинги. Технические условия

ГОСТ Р 53630-2015 Трубы напорные многослойные для систем водоснабжения и отопления. Общие технические условия

ГОСТ Р 54560-2015 Трубы и детали трубопроводов из реактопластов, армированных стекловолокном, для водоснабжения, водоотведения, дренажа и канализации. Технические условия

ГОСТ Р 55068-2012 Трубы и детали трубопроводов из композитных материалов на основе эпоксидных связующих, армированных стекло- и базальтоволокнами. Технические условия

ГОСТ Р 55072-2012 Емкости из реактопластов, армированных стекловолокном. Технические условия

ГОСТ Р 57368-2016 Сохранение произведений ландшафтной архитектуры и садово-паркового искусства. Общие требования (в ред. Изменения N 5, утв. Приказом Минстроя РФ от 23.12.2019 N 838/пр)

ГОСТ Р 58053-2018 Лифты. Монтаж и пусконаладочные работы систем диспетчерского контроля. Правила организации и производства работ, контроль выполнения и требования к результатам работ

СП 4.13130.2013 Системы противопожарной защиты. Ограничение распространения пожара на объектах защиты. Требования к объемно-планировочным и конструктивным решениям

СП 5.13130.2009 Системы противопожарной защиты. Установки пожарной сигнализации и пожаротушения автоматические. Нормы и правила проектирования (с изменением N 1)

СП 5.13130.2009 отменен. Взамен него с 01.03.2021 введен в действие в части требований к установкам пожаротушения автоматическим - СП 485.1311500.2020, в части требований к системам пожарной сигнализации и аппаратуре управления установок пожаротушения - СП 484.1311500.2020.

СП 8.13130.2009 Системы противопожарной защиты. Источники наружного противопожарного водоснабжения. Требования пожарной безопасности (с изменением N 1)

СП 8.13130.2009 отменен. Взамен него с 30.09.2020 введен в действие СП 8.13130.2020.

СП 10.13130.2009 Системы противопожарной защиты. Внутренний противопожарный водопровод. Требования пожарной безопасности (с изменением N 1)

СП 10.13130.2009 отменен. Взамен него с 27.01.2021 введен в действие СП 10.13130.2020.

СП 12.13130.2009 Определение категорий помещений, зданий и наружных установок по взрывопожарной и пожарной опасности (с изменением N 1)

СП 14.13330.2018 "СНиП II-7-81* Строительство в сейсмических районах"

СП 18.13330.2011 "СНиП II-89-80* Генеральные планы промышленных предприятий" (с изменением N 1)

СП 18.13330.2011 отменен. Взамен него с 18.03.2020 введен в действие СП 18.13330.2019.

СП 20.13330.2016 "СНиП 2.01.07-85* Нагрузки и воздействия" (с изменениями N 1, N 2) (в ред. Изменения N 5, утв. Приказом Минстроя РФ от 23.12.2019 N 838/пр)

СП 21.13330.2012 "СНиП 2.01.09-91 Здания и сооружения на подрабатываемых территориях и просадочных грунтах" (с изменением N 1)

СП 22.13330.2016 "СНиП 2.02.01-83* Основания зданий и сооружений"

СП 25.13330.2012 "СНиП 2.02.04-88 Основания и фундаменты на вечномерзлых грунтах" (с изменениями N 1, N 2, N 3) (в ред. Изменения N 5, утв. Приказом Минстроя РФ от 23.12.2019 N 838/пр)

СП 28.13330.2017 "СНиП 2.03.11-85 Защита строительных конструкций от коррозии" (с изменением N 1)

СП 30.13330.2016 "СНиП 2.04.01-85* Внутренний водопровод и канализация зданий" (с изменением N 1) (в ред. Изменения N 5, утв. Приказом Минстроя РФ от 23.12.2019 N 838/пр)

СП 32.13330.2018 "СНиП 2.04.03-85 Канализация. Наружные сети и сооружения" (в ред. Изменения N 5, утв. Приказом Минстроя РФ от 23.12.2019 N 838/пр)

СП 35.13330.2011 "СНиП 2.05.03-84* Мосты и трубы" (с изменением N 1)

СП 38.13330.2018 "СНиП 2.06.04-82* Нагрузки и воздействия на гидротехнические сооружения (волновые, ледовые и от судов)"

СП 42.13330.2016 "СНиП 2.07.01-89* Градостроительство. Планировка и застройка городских и сельских поселений"

СП 44.13330.2011 "СНиП 2.09.04-87* Административные и бытовые здания" (с изменениями N 1, N 2)

СП 48.13330.2011 "СНиП 12-01-2004 Организация строительства" (с изменением N 1)

СП 48.13330.2011 отменен. Взамен него с 25.06.2020 введен в действие СП 48.13330.2019.

СП 52.13330.2016 "СНиП 23-05-95* Естественное и искусственное освещение"

СП 56.13330.2011 "СНиП 31-03-2001 Производственные здания" (с изменениями N 1, N 2) (в ред. Изменения N 5, утв. Приказом Минстроя РФ от 23.12.2019 N 838/пр)

СП 66.13330.2011 Проектирование и строительство напорных сетей водоснабжения и водоотведения с применением высокопрочных труб из чугуна с шаровидным графитом (с изменениями N 1, N 2)

СП 72.13330.2016 "СНиП 3.04.03-85 Защита строительных конструкций и сооружений от коррозии" (с изменением N 1) (в ред. Изменения N 5, утв. Приказом Минстроя РФ от 23.12.2019 N 838/пр)

СП 80.13330.2016 "СНиП 3.07.01-85 Гидротехнические сооружения речные"

Ссылка исключена. (в ред. Изменения N 5 утв. Приказом Минстроя РФ от 23.12.2019 N 838/пр)

СП 129.13330.2011 "СНиП 3.05.04-85* Наружные сети и сооружения водоснабжения и канализации"

СП 131.13330.2018 "СНиП 23-01-99* Строительная климатология"

СП 132.13330.2011 Обеспечение антитеррористической защищенности зданий и сооружений. Общие требования проектирования

СП 248.1325800.2016 Сооружения подземные. Правила проектирования

СП 255.1325800.2016 Здания и сооружения. Правила эксплуатации. Основные положения (с изменением N 1) (в ред. Изменения N 5, утв. Приказом Минстроя РФ от 23.12.2019 N 838/пр)

СП 265.1325800.2016 Коллекторы коммуникационные. Правила проектирования и строительства

СП 272.1325800.2016 Системы водоотведения городские и поселковые. Правила обследования

СП 273.1325800.2016 Водоснабжение и водоотведение. Правила проектирования и производства работ при восстановлении трубопроводов гибкими полимерными рукавами

СП 331.1325800.2017 Информационное моделирование в строительстве. Правила обмена между информационными моделями объектов и моделями, используемыми в программных комплексах

СП 333.1325800.2017 Информационное моделирование в строительстве. Правила формирования информационной модели объектов на различных стадиях жизненного цикла

СП 333.1325800.2017 отменен. Взамен него с 01.07.2021 введен в действие СП 333.1325800.2020.

СанПиН 2.1.4.1074-01 Питьевая вода. Гигиенические требования к качеству воды централизованных систем питьевого водоснабжения. Контроль качества. Гигиенические требования к обеспечению безопасности систем горячего водоснабжения

СанПиН 2.1.4.1074-01 отменен. Взамен него с 01.03.2021 введен в действие СаНПиН 2.1.3684-21.

СанПиН 2.1.4.2496-09 Гигиенические требования к обеспечению безопасности систем горячего водоснабжения. Изменение к СанПиН 2.1.4.1074-01

СанПиН 2.1.4.2496-09 отменен. Взамен него с 01.03.2021 введен в действие СаНПиН 1.2.3685-21.

СанПиН 2.1.4.2652-10 Изменение N 3 в СанПиН 2.1.4.1074-01 "Питьевая вода. Гигиенические требования к качеству воды централизованных систем питьевого водоснабжения. Контроль качества. Гигиенические требования к обеспечению безопасности систем горячего водоснабжения

Официальный источник электронного документа содержит неточность: имеется в виду СанПиН 2.1.4.2652-10 "Гигиенические требования безопасности материалов, реагентов, оборудования, используемых для водоочистки и водоподготовки. Изменение N 3 в СанПиН 2.1.4.1074-01. Санитарно-эпидемиологические правила и нормативы".

СанПиН 2.1.4.2652-10 отменен. Взамен него с 01.03.2021 введен в действие СаНПиН 1.2.3685-21.

СанПиН 2.1.4.1110-02 Зоны санитарной охраны источников водоснабжения и водопроводов питьевого назначения

СанПиН 2.1.6.1032-01 Гигиенические требования к обеспечению качества атмосферного воздуха населенных мест

СанПиН 2.1.6.1032-01 отменен. Взамен него с 01.03.2021 введен в действие СаНПиН 2.1.3684-21.

СанПиН 2.2.1/2.1.1.1200-03 Санитарно-защитные зоны и санитарная классификация предприятий, сооружений и иных объектов

Примечание - При пользовании настоящим сводом правил целесообразно проверить действие ссылочных документов в информационной системе общего пользования - на официальном сайте федерального органа исполнительной власти в сфере стандартизации в сети Интернет или по ежегодному информационному указателю "Национальные стандарты", который опубликован по состоянию на 1 января текущего года, и по выпускам ежемесячного информационного указателя "Национальные стандарты" за текущий год. Если заменен ссылочный документ, на который дана недатированная ссылка, то рекомендуется использовать действующую версию этого документа с учетом всех внесенных в данную версию изменений. Если заменен ссылочный документ, на который дана датированная ссылка, то рекомендуется использовать версию этого документа с указанным выше годом утверждения (принятия). Если после утверждения настоящего свода правил в ссылочный документ, на который дана датированная ссылка, внесено изменение, затрагивающее положение, на которое дана ссылка, то это положение рекомендуется применять без учета данного изменения. Если ссылочный документ отменен без замены, то положение, в котором дана ссылка на него, рекомендуется применять в части, не затрагивающей эту ссылку. Сведения о действии сводов правил целесообразно проверить в Федеральном информационном фонде стандартов.

3 Термины и определения (в ред. Изменения N 4, утв. Приказом Минстроя РФ от 21.01.2019 N 21/пр)

В настоящем своде правил применены термины по ГОСТ 25151, ГОСТ 17.1.1.01, ГОСТ 19179, ГОСТ 19185, а также термины с соответствующими определениями, приведенные в приложении А*.

4 Общие положения

4.1 При проектировании следует рассматривать целесообразность объединения систем водоснабжения объектов независимо от их ведомственной принадлежности с учетом положений [1], [8], [9]. Проектную документацию следует выполнять с учетом требований ГОСТ Р 21.1101, ГОСТ 21.704, СП 42.13330, СП 48.13330, СП 132.13330.

При этом проекты водоснабжения объектов необходимо разрабатывать одновременно с проектами водоотведения и обязательным анализом баланса водопотребления и отведения сточных вод.

При проектировании следует учитывать климатические особенности размещения объекта в соответствии с положениями СП 131.13330.

В части исполнения оборудование, аппараты, приборы и другие технические изделия должны соответствовать требованиям ГОСТ 15150. (в ред. Изменения N 4, утв. Приказом Минстроя РФ от 21.01.2019 N 21/пр)

4.2. Вода, наряду с электрической и тепловой энергией, является энергетическим продуктом, в связи с чем необходимо учитывать соответствующие требования к экономической эффективности ее использования.

4.3. Качество воды, подаваемой на хозяйственно-питьевые нужды, должно соответствовать гигиеническим требованиям санитарных правил и норм СанПиН 2.1.4.1074, СанПиН 2.1.4.2652 и СанПиН 2.1.4.2496. (в ред. Изменения N 4, утв. Приказом Минстроя РФ от 21.01.2019 N 21/пр)

4.4. При водоподготовке, транспортировании и хранении воды, используемой на хозяйственно-питьевые нужды, следует применять оборудование, реагенты, внутренние антикоррозионные покрытия, фильтрующие материалы, имеющие санитарно-эпидемиологические заключения, подтверждающие их безопасность в порядке, установленном законодательством Российской Федерации в области санитарно-эпидемиологического благополучия населения. (в ред. Изменения N 2, утв. Приказом Минстроя РФ от 30.12.2015 N 960/пр)

4.5. Качество воды, подаваемой на производственные нужды, должно соответствовать технологическим требованиям с учетом его влияния на выпускаемую продукцию и обеспечения санитарно-гигиенических условий для обслуживающего персонала.

4.6. Качество воды, подаваемой на поливку самостоятельных поливочных водопроводах или сетях производственного водопровода должно удовлетворять санитарно-гигиеническим и агротехническим требованиям.

4.7. В проектах хозяйственно-питьевых водопроводов необходимо предусматривать зоны санитарной охраны (ЗСО) источников водоснабжения, водопроводных сооружений, насосных станций и водоводов согласно положениям СанПиН 2.1.4.1110 и СанПиН 2.2.1/2.1.1.1200. (в ред. Изменения N 2, утв. Приказом Минстроя РФ от 30.12.2015 N 960/пр, Изменения N 4, утв. Приказом Минстроя РФ от 21.01.2019 N 21/пр)

4.8. Трубы, арматура, оборудование и материалы, применяемые при устройстве наружных сетей и сооружений водоснабжения должны соответствовать требованиям настоящего свода правил, межгосударственных и национальных стандартов, санитарно-эпидемиологических норм и других документов, утвержденных в установленном порядке, и должны обеспечивать безотказность при выполнении нормативных требований по функционированию бесперебойной подачи воды требуемого качества. Следует применять трубы по ГОСТ 10704, ГОСТ 32415, ГОСТ 18599, ГОСТ Р 52318, ГОСТ Р 53630, ГОСТ Р 54560, ГОСТ Р 55068, ГОСТ Р 53201. Не допускается применять стальные трубы, отводы, арматуру и оборудование, ранее бывшие в употреблении. (в ред. Изменения N 2, утв. Приказом Минстроя РФ от 30.12.2015 N 960/пр, в ред. Изменения N 3, утв. Приказом Минстроя РФ от 24.05.2018 N 307/пр, в ред. Изменения N 4, утв. Приказом Минстроя РФ от 21.01.2019 N 21/пр)

Примечания

1 Трубы из реактопластов, армированных стекловолокном (далее - стеклокомпозитные трубы) с клеевыми соединениями, следует применять только для сетей производственного и технического водоснабжения. При проектировании трубопроводов из труб и фитингов максимальное рекомендуемое значение скорости потока должно быть не более 3 м/с, для чистой воды, не содержащей абразивных материалов - 4 м/с.

2 При выборе металлоконструкций (профилей, балок, листов, полос, свай, шпунтов и др.) необходимо соблюдение требований 15.36.

3 Полиэтиленовые трубы и соединительные детали допускается изготавливать по ГОСТ Р 52779. (в ред. Изменения N 4, утв. Приказом Минстроя РФ от 21.01.2019 N 21/пр)

4.9. При проектировании систем и сооружений водоснабжения должны предусматриваться прогрессивные технические решения, механизация трудоемких работ, автоматизация технологических процессов и максимальная индустриализация строительно-монтажных работ, а также обеспечение требований безопасности экологии, здоровья людей при строительстве и эксплуатации систем с учетом положений ГОСТ 12.1.007 и ГОСТ 12.1.005. (в ред. Изменения N 4, утв. Приказом Минстроя РФ от 21.01.2019 N 21/пр)

4.10. Основные технические решения, принимаемые в проектах, и очередность их осуществления должны обосновываться сравнением показателей возможных вариантов. Технико-экономические расчеты следует выполнять по тем вариантам, достоинства и недостатки которых нельзя установить без расчетов.

Оптимальный вариант определяется наименьшей величиной приведенных затрат с учетом сокращения расходов материальных ресурсов, трудозатрат, электроэнергии и топлива, а также воздействия на окружающую среду.

4.11. Процесс рационального определения объемов и очередности проведения реконструкции (восстановления) объектов водопроводно-канализационного хозяйства должен осуществляться на основе системы учета старения элементов сети.

При оценке надежности и планировании реконструкции (восстановления) трубопроводов рекомендуется использовать приложение Г и программные комплексы с учетом положений СП 331.1325800.

Реконструкции (восстановлению) подлежат трубопроводы, исчерпавшие полезный срок службы и имеющие пороговые значения интенсивности отказов по приложению Г.

Обследование труб и колодцев систем водоотведения следует проводить с учетом положений СП 272.1325800. (в ред. Изменения N 4, утв. Приказом Минстроя РФ от 21.01.2019 N 21/пр)

5 Расчетные расходы воды и свободные напоры

Расчетные расходы воды

5.1. При проектировании систем водоснабжения населенных пунктов удельное среднесуточное (за год) водопотребление на хозяйственно-питьевые нужды населения должно приниматься по таблице 1.

Примечание - Выбор удельного водопотребления в пределах, указанных в таблице 1, должен производиться в зависимости от климатических условий, мощности источника водоснабжения и качества воды, степени благоустройства, этажности застройки и местных условий.

Таблица 1

Удельное среднесуточное (за год) водопотребление на хозяйственно-питьевые нужды населения

(в ред. Изменения N 4, утв. Приказом Минстроя РФ от 21.01.2019 N 21/пр)

Степень благоустройства районов жилой застройки Удельное хозяйственно-питьевое водопотребление в населенных пунктах на одного жителя среднесуточное (за год), л/сут
Застройка зданиями, оборудованными внутренним водопроводом и канализацией, с ванными и местными водонагревателями 140 - 190
То же, с централизованным горячим водоснабжением 195 - 220
Примечания
1 Удельное водопотребление включает расходы воды на хозяйственно-питьевые и бытовые нужды в общественных зданиях (по классификации, принятой в СП 44.13330), за исключением расходов воды для домов отдыха, санитарно-туристских комплексов и детских оздоровительных лагерей, которые должны приниматься согласно СП 30.13330 и технологическим данным.
2 Количество воды на нужды промышленности, обеспечивающей население продуктами, и неучтенные расходы при соответствующем обосновании допускается принимать дополнительно в размере 10% - 15% суммарного расхода на хозяйственно-питьевые нужды населенного пункта.
3 Конкретное значение величины удельного хозяйственно-питьевого водопотребления принимается на основании данных по оценке фактического удельного водопотребления по приборам учета и утверждается постановлением органов местной власти.

5.2. Расчетный (средний за год) суточный расход воды , м3/сут, на хозяйственно-питьевые нужды в населенном пункте следует определять по формуле

, (1)

где - удельное водопотребление, принимаемое по таблице 1;

- расчетное число жителей в районах жилой застройки с различной степенью благоустройства.

Расчетные расходы воды в сутки наибольшего и наименьшего водопотребления , м3/сут, следует определять:

(2)

Коэффициент суточной неравномерности водопотребления , учитывающий уклад жизни населения, режим работы предприятий, степень благоустройства зданий, изменения водопотребления по сезонам года и дням недели, принимать равным:

; .

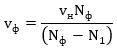
Расчетные часовые расходы воды , м3/ч, должны определяться по формулам:

(3)

Коэффициент часовой неравномерности водопотребления следует определять из выражений:

(4)

где - коэффициент, учитывающий степень благоустройства зданий, режим работы предприятий и другие местные условия, принимаемые ; ;

- коэффициент, учитывающий число жителей в населенном пункте, принимаемый по таблице 2.

Таблица 2

Значение коэффициента в зависимости от численности жителей

Коэффициент Численность жителей, тыс. чел.
До 0,1 0,15 0,2 0,3 0,5 0,75 1 1,5 2,5 4 6 10 20 50 100 300 1000 и более
4,5 4 3,5 3 2,5 2,2 2 1,8 1,6 1,5 1,4 1,3 1,2 1,15 1,1 1,05 1
0,01 0,01 0,02 0,03 0,05 0,07 0,1 0,1 0,1 0,2 0,25 0,4 0,5 0,6 0,7 0,85 1
Примечания
1. Коэффициент при определении расходов воды для расчета сооружений, водоводов и линий сети следует принимать в зависимости от численности обслуживаемых жителей, а при зонном водоснабжении - от численности жителей в каждой зоне.
2. Коэффициент следует принимать при определении напоров на выходе из насосных станций или высотного положения башни (напорных резервуаров), необходимого для обеспечения требуемых свободных напоров в сети в периоды максимального водоотбора в сутки максимального водопотребления, а коэффициент - при определении излишних напоров в сети в периоды минимального водоотбора в сутки минимального водопотребления.

5.3. Расходы воды на поливку в населенных пунктах и на территории промышленных предприятий должны приниматься в зависимости от покрытия территории, способа ее поливки, вида насаждений, климатических и других местных условий по таблице 3.

Таблица 3

Расходы воды на поливку в населенных пунктах и на территории промышленных предприятий

Назначение воды Единица измерения Расход воды на поливку, л/м2
Механизированная мойка усовершенствованных покрытий проездов и площадей 1 мойка 1,2 - 1,5
Механизированная поливка усовершенствованных покрытий проездов и площадей 1 поливка 0,3 - 0,4
Поливка вручную (из шлангов) усовершенствованных покрытий тротуаров и проездов 1 поливка 0,4 - 0,5
Поливка городских зеленых насаждений 1 поливка 3 - 4
Поливка газонов и цветников 1 поливка 4 - 6
Поливка посадок в грунтовых зимних теплицах 1 сут 15
Поливка посадок в стеллажных зимних и грунтовых весенних теплицах, парниках всех типов, утепленном грунте 1 сут 6
Поливка посадок на приусадебных участках овощных культур 1 сут 3 - 15
Поливка посадок на приусадебных участках плодовых деревьев 1 сут 10 - 15
Примечания
1. При отсутствии данных о площадях по видам благоустройства (зеленые насаждения, проезды и т.п.) удельное среднесуточное за поливочный сезон потребление воды на поливку в расчете на одного жителя следует принимать 50 - 90 л/сут в зависимости от климатических условий, мощности источника водоснабжения, степени благоустройства населенных пунктов и других местных условий.
2. Количество поливок следует принимать 1 - 2 в сутки в зависимости от климатических условий.

5.4. Расходы воды на хозяйственно-питьевые нужды и пользование душами на промышленных предприятиях должны определяться в соответствии с требованиями СП 30.13330, СП 56.13330.

При этом коэффициент часовой неравномерности водопотребления на хозяйственно-питьевые нужды на промышленных предприятиях следует принимать:

2,5 - для цехов с тепловыделением более 80 кДж (20 ккал) на 1 м3/ч;

3 - для остальных цехов.

5.5. Расходы воды на содержание и поение скота, птиц и зверей на животноводческих фермах и комплексах должны приниматься по ведомственным нормативным документам.

5.6. Расходы воды на производственные нужды промышленных и сельскохозяйственных предприятий должны определяться на основании технологических данных.

5.7. Распределение расходов по часам суток в населенных пунктах, на промышленных и сельскохозяйственных предприятиях следует принимать на основании расчетных графиков водопотребления.

5.8. При построении расчетных графиков следует исходить из принимаемых в проекте технических решений, исключающих совпадение по времени максимальных отборов воды из сети на различные нужды (устройство на крупных промышленных предприятиях регулирующих емкостей, пополняемых по заданному графику, подача воды на поливку территории и на заполнение поливочных машин из специальных регулирующих емкостей или через устройства, прекращающие подачу воды при снижении свободного напора до заданного предела, и т.п.).

Расчетные графики отборов воды на различные нужды, производимых из сети без указанного контроля, должны приниматься совпадающими по времени с графиками хозяйственно-питьевого водопотребления.

5.9. Удельное водопотребление для определения расчетных расходов воды в отдельных жилых и общественных зданиях при необходимости учета сосредоточенных расходов следует принимать в соответствии с требованиями СП 30.13330.

Обеспечение требований пожарной безопасности

5.10. Вопросы обеспечения пожарной безопасности, требования к источникам пожарного водоснабжения, расчетные расходы воды на пожаротушение объектов, расчетное количество одновременных пожаров, минимальные свободные напоры в наружных сетях водопроводов, расстановку пожарных гидрантов на сети, категорию зданий, сооружений, строений и помещений по пожарной и взрывопожарной опасности следует принимать согласно Федеральному закону [1], а также СП 5.13130, СП 8.13130, СП 10.13130, СП 12.13130. (в ред. Изменения N 4, утв. Приказом Минстроя РФ от 21.01.2019 N 21/пр)

Свободные напоры

5.11. Минимальный свободный напор в сети водопровода населенного пункта при максимальном хозяйственно-питьевом водопотреблении на вводе в здание над поверхностью земли должен приниматься при одноэтажной застройке не менее 10 м, при большей этажности на каждый этаж следует добавлять 4 м.

Примечания

1. В часы минимального водопотребления напор на каждый этаж, кроме первого, допускается принимать равным 3 м, при этом должна обеспечиваться подача воды в емкости для хранения.

2. Для отдельных многоэтажных зданий или группы их, расположенных в районах с меньшей этажностью застройки или на повышенных местах, допускается предусматривать местные насосные установки для повышения напора.

3. Свободный напор в сети у водоразборных колонок должен быть не менее 10 м.

5.12. Свободный напор в наружной сети производственного водопровода должен приниматься по технологическим данным.

5.13. Свободный напор в наружной сети хозяйственно-питьевого водопровода у потребителей не должен превышать 60 м.

Примечания

1. Свободный напор в жилой застройке следует согласовывать с положениями СП 30.13330.

2. При напорах в сети более 60 м для отдельных зданий или районов следует предусматривать установку регуляторов давления или зонирование системы водоснабжения.

6 Источники водоснабжения

6.1. В качестве источника водоснабжения следует рассматривать водотоки (реки, каналы), водоемы (озера, водохранилища, пруды), моря, подземные воды (водоносные пласты, подрусловые, шахтные и другие воды).

Для производственного водоснабжения промышленных предприятий следует рассматривать возможность использования очищенных сточных вод.

В качестве источника водоснабжения могут быть использованы наливные водохранилища с подводом к ним воды из естественных поверхностных источников.

Примечание - В системе водоснабжения допускается использование нескольких источников с различными гидрологическими и гидрогеологическими характеристиками.

6.2. Выбор источника водоснабжения должен быть обоснован результатами топографических, гидрологических, гидрогеологических, ихтиологических, гидрохимических, гидробиологических, гидротермических и других изысканий и санитарных обследований.

6.3. Выбор источника хозяйственно-питьевого водоснабжения следует проводить в соответствии с требованиями ГОСТ 17.1.1.04, ГОСТ 2761, СанПиН 2.1.4.1074 и [4] - [6]. (в ред. Изменения N 4, утв. Приказом Минстроя РФ от 21.01.2019 N 21/пр)

6.4. Для хозяйственно-питьевых водопроводов должны максимально использоваться имеющиеся ресурсы подземных вод, удовлетворяющие санитарно-гигиеническим требованиям. Ресурсы подземных питьевых вод следует оценивать на основе положений [3]. (в ред. Изменения N 2, утв. Приказом Минстроя РФ от 30.12.2015 N 960/пр, Изменения N 4, утв. Приказом Минстроя РФ от 21.01.2019 N 21/пр)

При недостаточных эксплуатационных запасах естественных подземных вод следует рассматривать возможность их увеличения за счет искусственного пополнения.

6.5. Использование подземных вод питьевого качества для нужд, не связанных с хозяйственно-питьевым водоснабжением, как правило, не допускается. В районах, где отсутствуют необходимые поверхностные водоисточники и имеются достаточные запасы подземных вод питьевого качества, допускается использование этих вод на производственные и поливочные нужды с разрешения органов по регулированию использования и охране вод.

6.6. Для производственного и хозяйственно-питьевого водоснабжения при соответствующей обработке воды и соблюдении санитарных требований допускается использование минерализованных и геотермальных вод.

6.7. Обеспеченность среднемесячных расходов воды поверхностных источников должна приниматься по таблице 4 в зависимости от категории системы водоснабжения, определяемой согласно 7.4.

Таблица 4

Категория системы водоснабжения Обеспеченность минимальных среднемесячных расходов воды поверхностных источников, %
I 95
II 90
III 85

6.8. При оценке использования водных ресурсов для целей водоснабжения следует учитывать:

расходный режим и водохозяйственный баланс по источнику с прогнозом на 15 - 20 лет;

требования к качеству воды, предъявляемые потребителями;

качественную характеристику воды в источнике с указанием агрессивности воды и прогноз возможного изменения ее качества с учетом поступления сточных вод;

качественные и количественные характеристики наносов и сора, их режим, перемещение донных отложений, устойчивость берегов;

наличие многолетнемерзлых грунтов, возможность промерзания и пересыхания источника, наличие снежных лавин и селевых явлений (на горных водотоках), а также других стихийных природных явлений в водосборном бассейне источника; (в ред. Изменения N 4, утв. Приказом Минстроя РФ от 21.01.2019 N 21/пр)

осенне-зимний режим источника и характер льдошуговых явлений в нем;

температуру воды по месяцам года и развития фитопланктона на различной глубине;

характерные особенности весеннего вскрытия источника и половодья (для равнинных водотоков), прохождения весенне-летних паводков (для горных водотоков);

запасы и условия питания подземных вод, а также возможное их нарушение в результате изменения природных условий, устройства водохранилищ или дренажа, искусственной откачки воды и т.п.;

качество и температуру подземных вод;

возможность искусственного пополнения и образования запасов подземных вод;

требования уполномоченных государственных органов по регулированию и охране вод, санитарно-эпидемиологической службы, рыбоохраны и др.

6.9. При оценке достаточности водных ресурсов поверхностных источников водоснабжения необходимо обеспечивать ниже места водоотбора гарантированный расход воды, необходимый в каждом сезоне года для удовлетворения потребностей в воде расположенных ниже по течению населенных пунктов, промышленных предприятий, сельского хозяйства, рыбного хозяйства, судоходства и других видов водопользования, а также для обеспечения санитарных требований по охране источников водоснабжения.

6.10. В случае недостаточного расхода воды в поверхностном источнике следует предусматривать регулирование естественного стока воды в пределах одного гидрологического года (сезонное регулирование) или многолетнего периода (многолетнее регулирование), а также переброску воды из других, более многоводных поверхностных источников.

Примечание - Степень обеспечения отдельных водопотребителей при недостаточности имеющихся расходов воды в источнике и затруднительности или высокой стоимости их увеличения определяется по согласованию с уполномоченными государственными органами.

6.11. Оценку ресурсов подземных вод следует производить на основании материалов гидрогеологических поисков, разведки и исследований.

7 Схемы и системы водоснабжения

7.1. Выбор схемы и системы водоснабжения следует производить на основании сопоставления возможных вариантов ее осуществления с учетом особенностей объекта или группы объектов, требуемых расходов воды на различных этапах их развития, источников водоснабжения, требований к напорам, качеству воды и обеспеченности ее подачи.

7.2. Сопоставлением вариантов должны быть обоснованы:

источники водоснабжения и использование их для тех или иных потребителей;

степень централизации системы и целесообразность выделения локальных систем водоснабжения;

объединение или разделение сооружений, водоводов и сетей различного назначения;

зонирование системы водоснабжения, использование регулирующих емкостей, применение станций регулирования и насосных станций подкачки;

применение объединенных или локальных систем оборотного водоснабжения;

использование отработанных вод одних предприятий (цехов, установок, технологических линий) для производства нужд других предприятий (цехов, установок, технологических линий), а также поливки территории и зеленых насаждений;

использование очищенных производственных и бытовых сточных вод, а также аккумулированного поверхностного стока для производственного водоснабжения и обводнения водоемов и болот;

целесообразность организации замкнутых циклов или создание замкнутых систем водопользования;

очередность строительства и ввода в действие элементов системы по пусковым комплексам.

7.3. Централизованная система водоснабжения населенных пунктов в зависимости от местных условий и принятой схемы водоснабжения должна обеспечить:

хозяйственно-питьевое водопотребление в жилых и общественных зданиях, нужды коммунально-бытовых предприятий;

хозяйственно-питьевое водопотребление на предприятиях;

производственные нужды промышленных и сельскохозяйственных предприятий, где требуется вода питьевого качества или для которых экономически нецелесообразно сооружение отдельного водопровода;

тушение пожаров;

собственные нужды станций водоподготовки, промывку водопроводных и канализационных сетей и т.д.

При обосновании допускается устройство самостоятельного водопровода для:

поливки и мойки территорий (улиц, проездов, площадей, зеленых насаждений), работы фонтанов и т.п.;

поливки посадок в теплицах, парниках и на открытых участках, а также приусадебных участков.

7.4. Централизованные системы водоснабжения по степени обеспеченности подачи воды подразделяются на три категории:

Первая категория. Допускается снижение подачи воды на хозяйственно-питьевые нужды не более 30% расчетного расхода и на производственные нужды до предела, устанавливаемого аварийным графиком работы предприятий; длительность снижения подачи не должна превышать 3 сут. Перерыв в подаче воды или снижение подачи ниже указанного предела допускается на время выключения поврежденных и включения резервных элементов системы (оборудования, арматуры, сооружений, трубопроводов и др.), но не более чем на 10 мин.

Вторая категория. Величина допускаемого снижения подачи воды та же, что при первой категории; длительность снижения подачи не должна превышать 10 сут. Перерыв в подаче воды или снижение подачи ниже указанного предела допускается на время выключения поврежденных и включения резервных элементов или проведения ремонта, но не более чем на 6 ч;

Третья категория. Величина допускаемого снижения подачи воды та же, что при первой категории; длительность снижения подачи не должна превышать 15 сут. Перерыв в подаче воды при снижении подачи ниже указанного предела допускается на время не более чем на 24 ч.

Объединенные хозяйственно-питьевые и производственные водопроводы населенных пунктов при численности жителей в них более 50 тыс. чел. следует относить к первой категории; от 5 до 50 тыс. чел. - ко второй категории; менее 5 тыс. чел. - к третьей категории.

Категорию сельскохозяйственных групповых водопроводов следует принимать по населенному пункту с наибольшей численностью жителей.

При необходимости повышения обеспеченности подачи воды на производственные нужды промышленных и сельскохозяйственных предприятий (производств, цехов, установок) следует предусматривать локальные системы водоснабжения.

Проекты локальных систем, обеспечивающих технические требования объектов, должны рассматриваться и утверждаться совместно с проектами этих объектов.

Категорию отдельных элементов систем водоснабжения необходимо устанавливать в зависимости от их функционального значения в общей системе водоснабжения.

Элементы систем водоснабжения второй категории, повреждения которых могут нарушить подачу воды на пожаротушение, должны относиться к первой категории.

7.5. При разработке схемы и системы водоснабжения следует давать техническую, экономическую и санитарную оценки существующих сооружений, водоводов и сетей и обосновывать степень их дальнейшего использования с учетом затрат по реконструкции и интенсификации их работы.

7.6. Системы водоснабжения, обеспечивающие противопожарные нужды, следует проектировать в соответствии с указаниями СП 8.13130.

7.7. Водозаборные сооружения, водоводы, станции водоподготовки должны, как правило, рассчитываться на средний часовой расход в сутки максимального водопотребления.

7.8. Расчеты совместной работы водоводов, водопроводных сетей, насосных станций и регулирующих емкостей следует производить в объеме, необходимом для обоснования системы подачи и распределения воды на расчетный срок, установления очередности ее осуществления, подбора насосного оборудования и определения требуемых объемов регулирующих емкостей и их расположения для каждой очереди строительства.

7.9. Для систем водоснабжения населенных пунктов расчеты совместной работы водоводов, водопроводных сетей, насосных станций и регулирующих емкостей следует выполнять для следующих характерных режимов подачи воды: (в ред. Изменения N 2, утв. Приказом Минстроя РФ от 30.12.2015 N 960/пр)

в сутки максимального водопотребления - максимального, среднего и минимального часовых расходов, а также максимального часового расхода воды на пожаротушение;

в сутки среднего потребления - среднего часового расхода;

в сутки минимального водопотребления - минимального часового расхода.

Проведение расчетов для других режимов водопотребления, а также отказ от проведения расчетов для одного или нескольких из указанных режимов проводится при обосновании достаточности проведенных расчетов для выявления условий совместной работы водоводов, насосных станций, регулирующих емкостей и распределительных сетей при всех характерных режимах водопотребления. (в ред. Изменения N 2, утв. Приказом Минстроя РФ от 30.12.2015 N 960/пр)

Примечание - При расчете сооружений, водоводов и сетей на период пожаротушения аварийное выключение водоводов и линий кольцевых сетей, а также секций и блоков сооружений не учитывается.

7.10. При разработке схемы водоснабжения должен быть установлен перечень параметров, контроль которых необходим для последующей систематической проверки силами эксплуатационного персонала соответствия проекту фактических расходов воды и коэффициентов неравномерности водопотребления, а также фактических характеристик оборудования, сооружений и устройств. Для осуществления контроля в соответствующих разделах проекта должна быть предусмотрена установка необходимых для этого приборов и аппаратуры.

8 Водозаборные сооружения

Сооружения для забора подземных вод. Общие указания

8.1. Выбор типа и схемы размещения водозаборных сооружений следует производить исходя из геологических, гидрогеологических и санитарных условий района.

8.2. При проектировании новых и расширении существующих водозаборов должны учитываться условия взаимодействия их с существующими водозаборами на соседних участках, а также их влияние на окружающую природную среду (поверхностный сток, растительность и др.).

8.3. В водозаборах подземных вод применяются следующие водоприемные сооружения: водозаборные скважины, шахтные колодцы, горизонтальные водозаборы, комбинированные водозаборы, каптажи родников.

Водозаборные скважины

8.4. В проектах скважин должен быть указан способ бурения и определены конструкции скважины, ее глубина, диаметры колонн труб, тип водоприемной части, водоподъемника и оголовка скважины, а также порядок их опробования.

8.5. В конструкции скважины необходимо предусматривать возможность проведения замера дебита, уровня и отбора проб воды, а также производства ремонтно-восстановительных работ при применении импульсных, реагентных и комбинированных методов регенерации при эксплуатации скважин.

8.6. Диаметр эксплуатационной колонны труб в скважинах следует принимать при установке насосов: с электродвигателем над скважиной - на 50 мм больше номинального диаметра насоса; с погружным электродвигателем - равным номинальному диаметру насоса.

8.7. В зависимости от местных условий и оборудования устье скважины следует располагать в наземном павильоне или подземной камере. (в ред. Изменения N 2, утв. Приказом Минстроя РФ от 30.12.2015 N 960/пр)

8.8. Габариты павильона и подземной камеры в плане следует принимать из условия размещения в нем электродвигателя, электрооборудования и контрольно-измерительных приборов (КИП).

Высоту наземного павильона и подземной камеры следует принимать в зависимости от габаритов оборудования, но не менее 2,4 м.

8.9. Верхняя часть эксплуатационной колонны труб должна выступать над полом не менее чем на 0,5 м.

8.10. Конструкция оголовка скважины должна обеспечивать полную герметизацию, исключающую проникание в межтрубное и затрубное пространства скважины поверхностной воды и загрязнений.

8.11. Монтаж и демонтаж секций скважинных насосов следует предусматривать через люки, располагаемые над устьем скважины, с применением средств механизации.

8.12. Количество резервных скважин следует принимать по таблице 5.

Таблица 5

Количество резервных скважин, для различных категорий надежности

Число рабочих скважин Количество резервных скважин на водозаборе при категории
I II III
От 1 до 4 1 1 1
От 5 до 12 2 1 -
13 и более 20% 10% -
Примечания
1. В зависимости от гидрогеологических условий и при соответствующем обосновании количество скважин может быть увеличено.
2. Для водозаборов всех категорий следует предусматривать наличие на складе резервных насосов: при количестве рабочих скважин до 12 - один; при большем количестве - 10% числа рабочих скважин.
3. Категории водозаборов по степени обеспеченности подачи воды следует принимать согласно 7.4.

8.13. Существующие на участке водозабора скважины, дальнейшее использование которых невозможно, подлежат ликвидации путем тампонажа.

8.14. Фильтры в скважинах следует устанавливать в рыхлых, неустойчивых скальных и полускальных породах.

8.15. Конструкцию и размеры фильтра следует принимать в зависимости от гидрогеологических условий, дебита и режима эксплуатации.

8.16. Конечный диаметр обсадной трубы при ударном бурении должен быть больше наружного диаметра фильтра не менее чем на 50 мм, а при обсыпке фильтра гравием - не менее чем на 100 мм.

При роторном способе бурения без крепления стенок трубами конечный диаметр скважин должен быть больше наружного диаметра фильтра не менее чем на 100 мм.

8.17. Длину рабочей части фильтра в напорных водоносных пластах мощностью до 10 м следует принимать равной мощности пласта; в безнапорных - мощности пласта за вычетом эксплуатационного понижения уровня воды в скважине (фильтр должен быть затоплен) с учетом 8.18. (в ред. Изменения N 2, утв. Приказом Минстроя РФ от 30.12.2015 N 960/пр)

В водоносных пластах мощностью более 10 м длину рабочей части фильтра следует определять с учетом водопроницаемости пород, производительности скважин и конструкции фильтра.

8.18. Рабочую часть фильтра следует устанавливать на расстоянии от кровли и подошвы водоносного пласта не менее 0,5 - 1 м.

8.19. При использовании нескольких водоносных пластов рабочие части фильтров следует устанавливать в каждом водоносном пласте и соединять между собой глухими трубами (перекрывающими слабоводопроницаемые слои).

8.20. Верхняя часть надфильтровой трубы должна быть выше башмака обсадной колонны не менее чем на 3 м при глубине скважины до 50 м и не менее чем на 5 м при глубине скважины более 50 м; при этом между обсадной колонной и надфильтровой трубой при необходимости должен быть установлен сальник.

8.21. Длину отстойника следует принимать не более 2 м.

8.22. Бесфильтровые конструкции скважин для забора подземных вод из рыхлых песчаных отложений следует принимать при условии, когда над ними залегают устойчивые породы.

8.23. После окончания бурения скважин и оборудования их фильтрами необходимо предусматривать прокачку, а при роторном бурении с глинистым раствором - разглинизацию до полного осветления воды.

8.24. Для установления соответствия фактического дебита водозаборных скважин принятому в проекте необходимо предусматривать их опробование откачками.

Шахтные колодцы

8.25. Шахтные колодцы следует применять, как правило, в первых от поверхности безнапорных водоносных пластах, сложенных рыхлыми породами и залегающих на глубине до 30 м.

8.26. При мощности водоносного пласта до 3 м следует предусматривать шахтные колодцы совершенного типа с вскрытием всей мощности пласта; при большей мощности допускаются совершенные и несовершенные колодцы с вскрытием части пласта.

8.27. При расположении водоприемной части в песчаных грунтах на дне колодца необходимо предусматривать обратный песчано-гравийный фильтр или фильтр из пористого бетона, а в стенках водоприемной части колодцев - фильтры из пористого бетона или гравийные.

8.28. Обратный фильтр следует принимать из нескольких слоев песка и гравия толщиной по 0,1 - 0,15 м каждый, общей толщиной 0,4 - 0,6 м с укладкой в нижнюю часть фильтра мелких, а в верхнюю - крупных фракций.

8.29. Механический состав отдельных слоев фильтра и соотношение между средними диаметрами зерен смежных слоев фильтра следует принимать в соответствии с таблицей 6.

Таблица 6

Механический состав отдельных слоев фильтра и соотношение между средними диаметрами зерен смежных слоев фильтра

Породы водоносных пластов Типы и конструкции фильтров
Скальные и полускальные неустойчивые породы, щебенистые и галечниковые отложения с преобладающим размером частиц 20 - 100 мм (более 50% по массе) Фильтры-каркасы (без дополнительной фильтрующей поверхности) стержневые, трубчатые с круглой и щелевой перфорацией, штампованные из стального листа толщиной 4 мм с антикоррозийным покрытием, спирально-стержневые
Гравий, гравелистый песок с преобладающим размером частиц 2 - 5 мм (более 50% по массе) Фильтры стержневые и трубчатые с водоприемной поверхностью из проволочной обмотки или штампованного листа из нержавеющей стали. Фильтры штампованные из стального листа толщиной 4 мм с антикоррозийным покрытием, спирально-стержневые
Пески крупные с преобладающим размером частиц 1 - 2 мм (более 50% по массе) То же
Пески среднезернистые с преобладающим размером частиц 0,25 - 0,5 мм (более 50% по массе) Фильтры стержневые и трубчатые с водоприемной поверхностью из проволочной обмотки, сеток квадратного плетения, штампованного листа из нержавеющей стали с песчано-гравийной обсыпкой, спирально-стержневые
Пески мелкозернистые с преобладающим размером частиц 0,1 - 0,25 мм (более 50% по массе) Фильтры стержневые и трубчатые с водоприемной поверхностью из проволочной обмотки, сеток галунного плетения, штампованного листа из нержавеющей стали с однослойной или двухслойной песчано-гравийной обсыпкой, спирально-стержневые

8.30. Верх шахтных колодцев должен быть выше поверхности земли не менее чем на 0,8 м. При этом вокруг колодцев должна предусматриваться отмостка шириной 1 - 2 м с уклоном 0,1 от колодца. Вокруг колодцев, подающих воду для хозяйственно-питьевых нужд, кроме того, следует предусматривать устройство замка из глины или жирного суглинка глубиной 1,5 - 2 м и шириной 0,5 м.

8.31. В колодцах необходимо предусматривать вентиляционную трубу, выведенную выше поверхности земли не менее чем на 2 м. Отверстие вентиляционной трубы должно защищаться колпаком с сеткой.

Горизонтальные водозаборы

8.32. Горизонтальные водозаборы следует предусматривать, как правило, на глубине до 8 м в безнапорных водоносных пластах, преимущественно вблизи поверхностных водотоков. Они могут проектироваться в виде каменно-щебеночной дрены, трубчатой дрены, водосборной галереи или водосборной штольни.

8.33. Водозаборы в виде каменно-щебеночной дрены рекомендуется предусматривать для систем временного водоснабжения.

Трубчатые дрены следует проектировать на глубине 5 - 8 м для водозаборов второй и третьей категорий.

Для водозаборов первой и второй категорий должны приниматься водосборные галереи. (в ред. Изменения N 2, утв. Приказом Минстроя РФ от 30.12.2015 N 960/пр)

Водозаборы в виде штольни следует принимать в соответствующих орографических условиях.

8.34. Для исключения выноса частиц породы из водоносного пласта при проектировании водоприемной части горизонтальных водозаборов должен предусматриваться обратный фильтр из двух-трех слоев.

8.35. Механический состав отдельных слоев обратного фильтра следует определять расчетом.

Толщина отдельных слоев фильтра должна быть не менее 15 см.

8.36. Для водозабора в виде каменно-щебеночной дрены прием воды следует предусматривать через щебеночную призму размером 30 x 30 или 50 x 50 см, уложенную на дно траншеи, с устройством обратного фильтра.

Каменно-щебеночную дрену следует принимать с уклоном 0,01 - 0,05 в сторону водосборного колодца.

8.37. Водоприемную часть водозаборов из трубчатых дрен следует принимать из керамических, хризотилцементных, железобетонных, полимерных и стеклокомпозитных труб с круглыми или щелевыми отверстиями с боков и в верхней части трубы; нижняя часть трубы (не более 1/3 по высоте) должна быть без отверстий. Минимальный диаметр труб следует принимать 150 мм. (в ред. Изменения N 2, утв. Приказом Минстроя РФ от 30.12.2015 N 960/пр, Изменения N 3, утв. Приказом Минстроя РФ от 24.05.2018 N 307/пр)

Примечание. Применение металлических перфорированных труб допускается при обосновании.

8.38. Определение диаметров трубопроводов горизонтальных водозаборов следует производить для периода низкого стояния уровня грунтовых вод, расчетное наполнение принимать 0,5 диаметра трубы.

8.39. Уклоны в сторону водосборного колодца должны быть не менее:

0,007 - при диаметре 150 мм;

0,005 - при диаметре 200 мм;

0,004 - при диаметре 250 мм;

0,003 - при диаметре 300 мм;

0,002 - при диаметре 400 мм;

0,001 - при диаметре 500 мм.

Скорость течения воды в трубах должна приниматься не менее 0,7 м/с.

8.40. Водоприемные галереи следует принимать из перфорированных полимерных или стеклокомпозитных труб заводского изготовления или железобетонными по ГОСТ 6482 с устройством щелевых отверстий или окон с козырьками. (в ред. Изменения N 2, утв. Приказом Минстроя РФ от 30.12.2015 N 960/пр, в ред. Изменения N 3, утв. Приказом Минстроя РФ от 24.05.2018 N 307/пр)

8.41. Под железобетонными звеньями галереи должно предусматриваться основание, исключающее осадку их относительно друг друга. С боков галереи в пределах ее водоприемной части следует предусмотреть устройство обратного фильтра.

8.42. Горизонтальные водозаборы должны быть защищены от попадания в них поверхностных вод.

8.43. Для наблюдения за работой трубчатых и галерейных водозаборов, их вентиляции и ремонта следует принимать смотровые колодцы, расстояние между которыми должно быть не более 50 м для трубчатых водозаборов диаметром от 150 до 500 мм, и 75 м - при диаметре более 500 мм; для галерейных водозаборов - 100 - 150 м.

Смотровые колодцы следует предусматривать также в местах изменения направления водоприемной части в плане и вертикальной плоскости.

8.44. Смотровые колодцы следует принимать диаметром 1 м; верх колодца должен возвышаться не менее чем на 0,2 м над поверхностью земли; вокруг колодцев (за исключением полимерных колодцев) должна быть сделана водонепроницаемая отмостка шириной не менее 1 м и глиняный замок. (в ред. Изменения N 2, утв. Приказом Минстроя РФ от 30.12.2015 N 960/пр)

8.45. Насосные станции горизонтальных водозаборов следует, как правило, совмещать с водосборным колодцем.

8.46. Комбинированные горизонтальные водозаборы необходимо принимать в двухпластовых системах с верхним безнапорным и нижним напорным водоносными пластами. Водозабор следует предусматривать в виде горизонтальной трубчатой дрены, каптирующей верхний безнапорный пласт, к которой снизу или сбоку подключены патрубки фильтровых колонн вертикальных скважин-усилителей, заложенных в нижнем пласте.

Лучевые водозаборы

8.47. Лучевые водозаборы следует предусматривать в водоносных пластах, кровля которых расположена от поверхности земли на глубине не более 15 - 20 м и мощность водоносного пласта не превышает 20 м.

Примечание - Лучевые водозаборы не применяются в галечниковых грунтах при крупности фракций D 70 мм, при наличии в водоносных породах включений валунов в количестве более 10% и в илистых мелкозернистых породах. (в ред. Изменения N 2, утв. Приказом Минстроя РФ от 30.12.2015 N 960/пр)

8.48. В неоднородных или мощных однородных водоносных пластах следует применять многоярусные лучевые водозаборы с лучами, расположенными на разных отметках.

8.49. Водосборный колодец при производительности водозабора до 150 - 200 л/с и в благоприятных гидрогеологических и гидрохимических условиях следует предусматривать односекционным; при производительности водозабора свыше 200 л/с водосборный колодец должен быть разделен на две секции.

8.50. Лучи длиной 60 м и более следует принимать телескопической конструкции с уменьшением диаметра труб.

8.51. При длине лучей меньше 30 м в однородных водоносных пластах угол между лучами должен быть не менее 30°.

8.52. Водоприемные лучи должны приниматься из стальных перфорированных или щелевых труб со скважностью не более 20%; на водоприемных лучах в водосборных колодцах следует предусматривать установку задвижек.

Каптаж родников

8.53. Каптажные устройства (водосборные камеры или неглубокие опускные колодцы) следует применять для захвата подземных вод из родников.

8.54. Захват воды из восходящего родника следует осуществлять через дно каптажной камеры, из нисходящего - через отверстия в стене камеры.

8.55. При каптаже родников из трещиноватых пород прием воды в каптажной камере допускается осуществлять без фильтров, а из рыхлых пород - через фильтры.

8.56. Каптажные камеры должны быть защищены от поверхностных загрязнений, промерзания и затопления поверхностными водами.

8.57. В каптажной камере следует предусматривать переливную трубу, рассчитанную на наибольший дебит родника, с установкой на конце клапана-захлопки, вентиляционную трубу согласно 8.31 и спускную трубу диаметром не менее 100 мм.

8.58. Для освобождения воды родника от взвеси каптажную камеру следует разделять переливной стенкой на два отделения: одно - для отстаивания воды с последующей очисткой его от осадка, второе - для забора воды насосом.

8.59. При наличии вблизи нисходящего родника нескольких выходов воды каптажную камеру следует предусматривать с открылками.

Искусственное пополнение запасов подземных вод

8.60. Искусственное пополнение подземных вод следует принимать для:

увеличения производительности и обеспечения стабильной работы действующих и проектируемых водозаборов подземных вод;

улучшения качества инфильтруемых и отбираемых подземных вод;

создания сезонных запасов подземных вод;

охраны окружающей среды (предотвращение недопустимого понижения уровня грунтовых вод, приводящего к гибели растительности). (в ред. Изменения N 2, утв. Приказом Минстроя РФ от 30.12.2015 N 960/пр)

8.61. Для пополнения запасов подземных вод эксплуатируемых водоносных пластов должны использоваться поверхностные и подземные воды.

8.62. Пополнение запасов подземных вод следует предусматривать через инфильтрационные сооружения открытого и закрытого типов.

8.63. В качестве инфильтрационных сооружений открытого типа следует применять: бассейны, естественные и искусственные понижения рельефов (овраги, балки, старицы, карьеры).

8.64. Открытые инфильтрационные сооружения следует принимать для пополнения запасов подземных вод первого от поверхности водоносного пласта при отсутствии или малой мощности (до 3 м) покровных слабопроницаемых отложений.

8.65. При проектировании инфильтрационных бассейнов следует предусматривать:

врезку днища в хорошо фильтрующие породы на глубину не менее 0,5 м;

укрепление дна в месте выпуска воды и предохранение откосов от размыва;

устройства для регулирования и измерения расхода воды, подаваемой на инфильтрационные сооружения;

подъездные пути и съезды для машин и механизмов.

8.66. Ширина по дну инфильтрационных бассейнов должна быть не более 30 м, длина бассейнов - не более 500 м, слой воды - 0,7 - 2,5 м, количество - не менее двух.

8.67. Подачу воды в бассейн следует предусматривать через разбрызгивающие устройства или каскад со свободным изливом.

8.68. При устройстве бассейнов в гравийно-галечниковых отложениях с крупным заполнителем следует предусмотреть загрузку дна крупнозернистым песком толщиной слоя 0,5 - 0,7 м.

8.69. При использовании естественных понижений рельефа должна предусматриваться подготовка фильтрующей поверхности.

8.70. В качестве инфильтрационных сооружений закрытого типа следует применять скважины (поглощающие и дренажно-поглощающие) и шахтные колодцы.

8.71. При проектировании поглощающих и дренажно-поглощающих скважин и шахтных колодцев необходимо предусматривать устройства для измерения и регулирования расходов подаваемой воды и измерения динамических уровней воды в сооружениях и водоносном пласте.

8.72. Конструкция инфильтрационных сооружений должна обеспечивать возможность восстановления их производительности на открытых инфильтрационных сооружениях путем механического или гидравлического съема закольматированного слоя с фильтрующей поверхности, на закрытых - методами, применяемыми для регенерации водозаборных скважин.

Примечание - Опорожнение и регенерация открытых инфильтрационных сооружений в период отрицательных температур не допускается.

8.73. Выбор схемы размещения инфильтрационных сооружений, определение их количества и производительности должны производиться на основе комплексных гидрогеологических и технико-экономических расчетов с учетом назначения искусственного пополнения запасов подземных вод, схемы размещения водозаборных сооружений, качества подаваемой воды и особенностей эксплуатации инфильтрационных и водозаборных сооружений.

8.74. Расстояния между инфильтрационными и водозаборными сооружениями должны приниматься на основе прогноза качества отбираемой воды с учетом доочистки подаваемой на инфильтрацию воды и смешения ее с подземными водами.

8.75. Качество воды, используемой для искусственного пополнения, должно отвечать требованиям государственных стандартов.

8.76. Качество воды, подаваемой на инфильтрационные сооружения систем хозяйственно-питьевого водоснабжения, должно с учетом ее доочистки при инфильтрации в водоносный пласт и смешения с подземными водами отвечать требованиям санитарных норм и правил.

Сооружения для забора поверхностной воды

8.77. Водозаборные сооружения (водозаборы) должны:

обеспечивать забор из водоисточника расчетного расхода воды и подачу его потребителю;

защищать систему водоснабжения от биологических обрастаний и от попадания в нее наносов, сора, планктона, шугольда и др.;

на водоемах рыбохозяйственного значения удовлетворять требованиям органов охраны рыбных запасов.

8.78. Водозаборы по степени обеспеченности подачи воды следует подразделять на три категории согласно 7.4.

8.79. Конструктивная схема водозабора должна приниматься в зависимости от требуемой категории, гидрологической характеристики водоисточника с учетом максимальных и минимальных уровней воды, указанных в таблице 7, а также требований уполномоченных государственных органов.

Таблица 7

Значения обеспеченности расчетных уровней воды в поверхностных источниках в зависимости от категории водозаборов

Категория водозаборов Обеспеченность расчетных уровней воды в поверхностных источниках, %
максимальный минимальный
I 1 97
II 3 95
III 5 90

8.80. Класс основных сооружений водозабора устанавливается в соответствии с его категорией.

Класс второстепенных сооружений водозабора принимается на единицу меньше.

Примечания

1. К основным следует относить сооружения, при повреждении которых водозабор не обеспечит подачу расчетного расхода воды потребителям, к второстепенным - сооружения, повреждение которых не приведет к снижению подачи воды потребителям.

2. Класс водоподъемных и водохранилищных плотин, входящих в состав водозаборного гидроузла, следует принимать в соответствии с указаниями СП 80.13330, но не ниже:

класса II - для категории I водозаборов;

класса III - для категории II водозаборов;

класса IV - для категории III водозаборов.

8.81. Выбор схемы и места расположения водозабора должен быть обоснован прогнозами:

качества воды в источнике;

переформирования русла или побережья;

изменения границы многолетнемерзлых грунтов; (в ред. Изменения N 4, утв. Приказом Минстроя РФ от 21.01.2019 N 21/пр)

гидротермического режима.

8.82. Не допускается размещать водоприемники в пределах зон движения судов, плотов, в зоне отложения и жильного движения донных наносов, в местах зимовья и нереста рыб, на участке возможного разрушения берега, скопления плавника и водорослей, а также возникновения шугозаторов и заторов.

8.83. Не рекомендуется размещать водоприемники на участках нижнего бьефа ГЭС, прилегающих к гидроузлу, в верховьях водохранилищ, а также на участках, расположенных ниже устьев притоков водотоков и в устьях подпертых водотоков.

8.84. Место расположения водоприемников для водозаборов хозяйственно-питьевого водоснабжения должно приниматься выше по течению водотока выпусков сточных вод, населенных пунктов, а также стоянок судов, лесных бирж, товарно-транспортных баз и складов в районе, обеспечивающем организацию зон санитарной охраны.

8.85. На морях, крупных озерах и водохранилищах водоприемники водозаборов следует размещать (с учетом ожидаемой переработки прилегающего берега и прибрежного склона):

за пределами прибойных зон при наинизших уровнях воды;

в местах, укрытых от волнения;

за пределами сосредоточенных течений, выходящих из прибойных зон.

На водозаборах с самотечными и сифонными водоводами целесообразно водоприемный сеточный колодец, насосную станцию и другие сооружения выносить за пределы ожидаемой переработки берега, без устройства берегозащитных покрытий.

8.86. Условия забора воды из поверхностных источников должны разделяться в зависимости от устойчивости берегов и ложа источника, русловых и шуголедовых режимов, засоренности по показателям, приведенным в таблице 8.

Таблица 8

Условия забора воды из поверхностных источников

Характеристика условий забора воды Условия забора воды из поверхностных источников
Мутность, устойчивость берегов и дна Шуга и лед Другие факторы
Легкие Мутность 500 мг/л, устойчивое ложе водоема и водотока Отсутствие внутриводного ледообразования. Ледостав умеренной ( 0,8 м) мощности, устойчивый Отсутствие в водоисточнике дрейсены, балянуса, мидий и т.п., водорослей, малое количество загрязнений и сора
Средние Мутность 1500 мг/л (средняя за паводок). Русло (побережье) и берега устойчивые с сезонными деформациями +/- 0,3 м. Вдольбереговое перемещение наносов не влияет на устойчивость подводного склона постоянной крутизны Наличие внутриводного ледообразования, прекращающегося с установлением ледостава обычно без шугозаполнения русла и образованием шугозажоров. Ледостав устойчивый мощностью < 1,2 м, формирующийся с полыньями Наличие сора, водорослей, дрейсены, балянуса, мидий и загрязнений в количествах, вызывающих помехи в работе водозабора. Лесосплав молевой и плотами. Судоходство
Тяжелые Мутность 5000 мг/л. Русло подвижное с переформированием берегов и дна, вызывающим изменение отметок дна до 1 - 2 м. Наличие переработки берега с вдольбереговым перемещением наносов по склону переменной крутизны Неоднократно формирующийся ледяной покров с шугоходами и шугозаполнением русла при ледоставе до 60 - 70% сечения водостока. В отдельные годы с образованием шугозажоров в предледоставный период и ледяных заторов весной. Участки нижнего бьефа ГЭС в зоне неустойчивого ледового покрова. Нагон шугольда на берега, торосов и шугозаполнением прибрежной зоны То же, но в количествах, затрудняющих работу водозабора и сооружений водопровода
Очень тяжелые Мутность > 5000 мг/л, русло неустойчивое, систематически и случайно изменяющее свою форму. Интенсивная и значительная переработка берега. Наличие или вероятность оползневых явлений Формирование ледяного покрова только при шугозажорах, вызывающих подпор; транзит шуги под ледяным покровом в течение большей части зимы. Возможность наледей и перемерзания русла. Ледоход с заторами и с большими навалами льда на берега. Тяжелые шуголедовые условия при наличии приливов  
Примечание - Общая характеристика условий забора воды определяется по наиболее тяжелому виду затруднений.

8.87. Водоприемные устройства следует принимать по таблице 8* в зависимости от требуемой категории и сложности природных условий забора воды. В водозаборных сооружениях I и II категории надежности следует предусматривать секционирование водоприемной части. (в ред. Изменения N 2, утв. Приказом Минстроя РФ от 30.12.2015 N 960/пр)

Таблица 8*

(в ред. Изменения N 2, утв. Приказом Минстроя РФ от 30.12.2015 N 960/пр)

Водоприемные устройства Категория водозаборных сооружений
Природные условия забора воды
легкие средние тяжелые
Схемы водозаборов
а б в а б в а б в
Береговые, незатопляемые водоприемники с водоприемными отверстиями, всегда доступными для обслуживания, с необходимыми ограждающими и вспомогательными сооружениями и устройствами I - - I - - II I I
Затопленные водоприемники всех типов, удаленные от берега, практически недоступные в отдельные периоды года I - - II I - III II I
Нестационарные водоприемные устройства:                  
плавучие II I - III III II - - -
фуникулерные III II - - - - - - -
Примечания
1 Таблица составлена для водозаборов, устраиваемых по трем схемам: а - водном створе; б - то же, но при нескольких водоприемниках, снабженных средствами борьбы с шугой, наносами и другими затруднениями забора воды; в - в двух створах, удаленных на расстояние, исключающее возможность одновременного перерыва забора воды.
2 В водозаборных сооружениях I и II категорий надлежит предусматривать секционирование водоприемной части.".

8.88. Повышение категории водозабора с затопленными водоприемниками на единицу допускается в случаях:

размещения водоприемников в затопляемом, самопромывающемся водоприемном ковше;

подвода к водоприемным отверстиям теплой воды в количестве не менее 20% забираемого расхода и применения специальных наносозащитных устройств;

обеспечения надежной системы обратной промывки сороудерживающих решеток, рыбозаградительных устройств водоприемников и самотечных водоводов.

8.89. Выбор схемы и компоновки водозаборного сооружения в тяжелых и очень тяжелых местных условиях следует принимать на основе лабораторных исследований.

8.90. Водозаборные сооружения следует проектировать с учетом перспективного развития водопотребления.

8.91. При заборе воды из водохранилищ следует рассматривать целесообразность использования в качестве водоприемника башни донного водоспуска или головного сооружения водосброса.

При совмещении водозаборного сооружения с водоподъемной плотиной следует предусматривать возможность ремонта плотины без прекращения подачи воды.

8.92. Размеры основных элементов водозаборного сооружения (водоприемных отверстий, сеток, рыбозащитных устройств, труб, каналов), а также расчетный минимальный уровень воды в береговом водоприемном сеточном колодце и отметки оси насосов должны определяться гидравлическими расчетами при минимальных уровнях воды в источнике для нормального эксплуатационного и аварийного режимов работы.

Примечание - В аварийном режиме (отключение одного самотечного или сифонного водовода или секции водоприемника на ремонт или ревизию) для водозаборных сооружений II и III категорий допускается снижение водоотбора на 30%.

8.93. Размеры водоприемных отверстий следует определять по средней скорости втекания воды в отверстия (в свету) сороудерживающих решеток, сеток или в поры фильтров с учетом требований рыбозащиты. (в ред. Изменения N 4, утв. Приказом Минстроя РФ от 21.01.2019 N 21/пр)

8.94. Низ водоприемных отверстий должен быть расположен не менее 0,5 м выше дна водоема или водотока, верх водоприемных отверстий или затопленных сооружений - не менее 0,2 м от нижней кромки льда. (в ред. Изменения N 2, утв. Приказом Минстроя РФ от 30.12.2015 N 960/пр)

8.95. Для борьбы с оледенением и закупоркой шугой водоприемников в тяжелых шуголедовых условиях следует предусматривать электрообогрев решеток, подвод к водоприемным отверстиям теплой воды или сжатого воздуха или импульсную промывку в сочетании с обратной. Стержни сороудерживающих решеток должны быть изготовлены из гидрофобных материалов или покрыты ими. Для удаления шуги из береговых водоприемных колодцев и сеточных камер должны предусматривать соответствующие приспособления.

8.96. В случае необходимости следует предусматривать меры борьбы с обрастанием элементов водозаборного сооружения дрейсеной, балянусом, мидиями и т.п. путем обработки воды обеззараживающими растворами. (в ред. Изменения N 2, утв. Приказом Минстроя РФ от 30.12.2015 N 960/пр)

Дозы, периодичность и продолжительность обработки воды реагентами следует определять на основании данных технологических исследований.

При отсутствии этих данных дозу хлора следует принимать на 2 мг/л более хлорпоглощаемости воды, но не менее 5 мг/л.

8.97. Ориентировочные скорости движения воды в самотечных и сифонных водоводах при нормальном режиме работы водозаборных сооружений допускается принимать по таблице 9.

Таблица 9

Скорости движения воды в сифонных линиях в водозаборах различной категории

Диаметры водоводов, мм Скорость движения воды, м/с, в водозаборах категорий
I II и III
300 - 500 0,7 - 1 1 - 1,5
500 - 800 1 - 1,4 1,5 - 1,9
Более 800 1,5 2
Примечание - При обрастании водоводов дрейсеной, балянусом, мидиями и т.п. расчет потерь в водоводе следует производить при значении коэффициента шероховатости 0,02.

8.98. Сифонные водоводы допускается применять в водозаборах II и III категорий.

Применение сифонных водоводов в водозаборах I категории должно быть обосновано.

8.99*. Сифонные и самотечные водоводы следует выполнять из стальных труб или труб из высокопрочного чугуна с шаровидным графитом (ВЧШГ). Допускается применение полимерных, стеклокомпозитных и железобетонных труб. (в ред. Изменения N 2, утв. Приказом Минстроя РФ от 30.12.2015 N 960/пр, Изменения N 3, утв. Приказом Минстроя РФ от 24.05.2018 N 307/пр)

8.100. Для самотечных водоводов на участке примыкания к подземной части водоприемных колодцев и насосных станций, выполняемых опускным способом, рекомендуется метод бестраншейной прокладки.

8.101*. Стальные, полимерные и стеклокомпозитные трубопроводы, трубопроводы из ВЧШГ должны проверяться на всплытие. Стальные трубопроводы и трубопроводы из ВЧШГ должны выполнять с противокоррозионной изоляцией. Стальные трубы при необходимости выполняют с катодной или протекторной защитой. Трубопроводы из ВЧШГ с раструбными соединениями под уплотнительное резиновое кольцо не требуют катодной защиты. (в ред. Изменения N 2, утв. Приказом Минстроя РФ от 30.12.2015 N 960/пр, Изменения N 3, утв. Приказом Минстроя РФ от 24.05.2018 N 307/пр)

При пересечении самотечными и сифонными водоводами участков с многолетнемерзлыми грунтами должны быть предусмотрены мероприятия, исключающие замерзание воды внутри водовода. (в ред. Изменения N 4, утв. Приказом Минстроя РФ от 21.01.2019 N 21/пр)

8.102. Самотечные и сифонные водоводы в пределах русла водотока должны защищаться снаружи от истирания донными наносами и от повреждений якорями путем заглубления водоводов под дно не менее чем на 0,5 м, или обсыпки грунтом с укреплением его от размыва.

8.103. Выбор типа сеток для предварительной очистки воды следует производить с учетом особенностей водоема и производительности водозабора.

8.104. При применении в качестве рыбозащитных мероприятий фильтрующих элементов или устройства водоприемников фильтрующего типа в отдельных случаях следует рассматривать возможность отказа от установки водоочистных сеток.

8.105. Насосные станции водозаборных сооружений следует проектировать в соответствии с разделом 10. (в ред. Изменения N 2, утв. Приказом Минстроя РФ от 30.12.2015 N 960/пр)

8.106. При проектировании водозаборных сооружений следует предусматривать устройства для удаления осадка из водоприемных камер (колодцев).

Для промывки сеток следует использовать воду из напорных водоводов. В случае недостаточности напора для их промывки следует предусматривать установку подкачивающих насосов.

9 Водоподготовка

Общие указания

9.1. Требования настоящего раздела не распространяются на установки водоподготовки теплоэнергетических объектов.

9.2. Метод обработки воды, состав и расчетные параметры сооружений водоподготовки и расчетные дозы реагентов следует устанавливать в зависимости от качества воды в источнике водоснабжения, назначения водопровода, производительности станции и местных условий на основании данных технологических изысканий и опыта эксплуатации сооружений, работающих в аналогичных условиях. Рекомендуется применять методы, приведенные в таблице Б.3 приложения Б. (в ред. Изменения N 2, утв. Приказом Минстроя РФ от 30.12.2015 N 960/пр)

9.3. Выбрать методы и технологии водоподготовки для проектируемых централизованных систем питьевого водоснабжения необходимо с учетом требований СанПиН 2.1.4.1074 и [4] - [6]. (в ред. Изменения N 2, утв. Приказом Минстроя РФ от 30.12.2015 N 960/пр, в ред. Изменения N 4, утв. Приказом Минстроя РФ от 21.01.2019 N 21/пр)

9.4. Рекомендуется предусматривать повторное использование промывных вод фильтров, воды от обезвоживания и складирования осадков станции водоподготовки. При обосновании допускается сброс их в водостоки или водоемы, или на канализационные очистные сооружения.

9.5. При проектировании оборудования, арматуры и трубопроводов станции водоподготовки следует учитывать требования с разделами 13 и 14.

9.6. Полный расход воды, поступающий на станцию, следует определять с учетом расхода воды на собственные нужды станции.

Ориентировочно среднесуточные (за год) расходы исходной воды на собственные нужды станции осветления, обезжелезивания и др. следует принимать: при повторном использовании промывной воды в размере 3 - 4% количества воды, подаваемой потребителям, без повторного использования - 10 - 14%, для станции умягчения - 20 - 30%. Расход воды на собственные нужды станции следует уточнять расчетами.

9.7. Станции водоподготовки должны рассчитываться на равномерную работу в течение суток максимального водопотребления, причем должна предусматриваться возможность отключения отдельных сооружений для профилактического осмотра, чистки, текущего и капитального ремонтов. Для станций производительностью до 5000 м3/сут допускается предусматривать работу в течение части суток.

Станции водоподготовки, запроектированные по двухступенчатой технологической схеме с горизонтальными отстойниками на первой ступени, следует оснащать устройствами и приборами, исключающими неконтролируемый проскок нефтепродуктов на вторую ступень фильтров с зернистой загрузкой. (в ред. Изменения N 4, утв. Приказом Минстроя РФ от 21.01.2019 N 21/пр)

9.8. Коммуникации станций водоподготовки следует рассчитывать на возможность пропуска расхода воды на 20 - 30% больше расчетного.

Осветление и обесцвечивание воды. Общие указания

9.9. Воды источников водоснабжения подразделяются:

в зависимости от расчетной максимальной мутности (ориентировочно количество взвешенных веществ) на:

маломутные - до 50 мг/л;

средней мутности - св. 50 до 250 мг/л;

мутные - св. 250 до 1500 мг/л;

высокомутные - св. 1500 мг/л;

в зависимости от расчетного максимального содержания гумусовых веществ, обусловливающих цветность воды, на:

малоцветные - до 35°;

средней цветности - св. 35 до 120°;

высокой цветности - св. 120°.

Расчетные максимальные значения мутности и цветности для проектирования сооружений станций водоподготовки следует определять по данным анализов воды за период не менее, чем за последние три года до выбора источника водоснабжения.

9.10. При выборе сооружений для осветления и обесцвечивания воды рекомендуется руководствоваться требованиями по 9.2 и 9.3, а для предварительного выбора - данными таблицы 10.

Таблица 10

Технологические характеристики основных сооружений водоподготовки

Основные сооружения Условия применения Производительность станции, м3/сут
Мутность, мг/л Цветность, °
исходная вода очищенная вода исходная вода очищенная вода
Обработка воды с применением коагулянтов и флокулянтов
1. Скорые фильтры (одноступенчатое фильтрование):          
а) напорные До 30 До 1,5 До 50 До 20 До 5000
б) открытые До 20 До 1,5 До 50 До 20 До 50000
2. Вертикальные отстойники - скорые фильтры До 1500 До 1,5 До 120 До 20 До 5000
3. Горизонтальные отстойники - скорые фильтры До 1500 До 1,5 До 120 До 20 Св. 30000
4. Контактные префильтры - скорые фильтры (двухступенчатое фильтрование) До 300 До 1,5 До 120 До 20 Любая
5. Осветлители со взвешенным осадком - скорые фильтры Не менее 50 до 1500 До 1,5 До 120 До 20 Св. 5000
6. Две ступени отстойников - скорые фильтры Более 1500 До 1,5 До 120 До 20 Любая
7. Контактные осветлители До 70 До 1,5 До 70 До 20 Любая
8. Горизонтальные отстойники и осветлители со взвешенным осадком для частичного осветления воды До 1500 8 - 15 До 120 До 40 Любая
9. Крупнозернистые фильтры для частичного осветления воды До 80 До 10 До 120 До 30 Любая
10. Радиальные отстойники для предварительного осветления высокомутных вод Св. 1500 До 250 До 120 До 20 Любая
11. Трубчатый отстойник и напорный фильтр заводского изготовления До 1000 До 1,5 До 120 До 20 До 800
12. Крупнозернистые фильтры для частичного осветления воды До 150 30 - 50% исходной До 120 Такая же, как исходная Любая
13. Радиальные отстойники для частичного осветления воды Более 1500 30 - 50% исходной До 120 То же "
14. Медленные фильтры с механической или гидравлической регенерацией песка До 1500 1,5 До 50 До 20 Любая
Примечания
1. Мутность указана суммарная, включая образующуюся от введения реагентов.
2. На водозаборных сооружениях или на станции водоподготовки необходимо предусматривать установку сеток с ячейками 0,5 - 2 мм. При среднемесячном содержании в воде планктона более 1000 кл/мл и продолжительности "цветения" более 1 мес в году в дополнение к сеткам на водозаборе следует предусматривать установку микрофильтров на водозаборе или на станции водоподготовки.
3. При обосновании для обработки воды допускается применять сооружения, не указанные в таблице 10 (плавучие водозаборы-осветлители, гидроциклоны, флотационные установки и др.).
Осветлители со взвешенным осадком следует применять при равномерной подаче воды на сооружения или постепенном изменении расхода воды в пределах не более 15% в 1 ч и колебании температуры воды не более +/- 1 °C в 1 ч.

Сетчатые барабанные фильтры

9.11. Сетчатые барабанные фильтры следует применять для удаления из воды крупных плавающих и взвешенных примесей (барабанные сетки) и для удаления указанных примесей и планктона (микрофильтры).

Сетчатые барабанные фильтры следует размещать на площадке станций водоподготовки, при обосновании допускается их размещение на водозаборных сооружениях.

Сетчатые барабанные фильтры следует устанавливать до подачи в воду реагентов.

9.12. Количество резервных сетчатых барабанных фильтров следует принимать:

1 - при количестве рабочих агрегатов 1 - 5;

2 - при количестве рабочих агрегатов 6 - 10;

3 - при количестве рабочих агрегатов 11 и более.

9.13. Установку сетчатых барабанных фильтров следует предусматривать в камерах. Допускается размещение в одной камере двух агрегатов, если число рабочих агрегатов свыше 5.

Камеры должны оборудоваться спускными трубами. В подводящем канале камер следует предусматривать переливной трубопровод.

9.14. Промывка сетчатых барабанных фильтров должна осуществляться водой, прошедшей через них.

Расходы воды на собственные нужды следует принимать: для барабанных сеток - 0,5% и микрофильтров - 1,5% расчетной производительности.

Реагентное хозяйство

9.15. Марку и вид реагентов, расчетные дозы реагентов следует устанавливать в соответствии с их характеристиками для различных периодов года в зависимости от качества исходной воды и корректировать в период наладки и эксплуатации сооружений. При этом следует учитывать допустимые их остаточные концентрации в обработанной воде.

Дозу хлорсодержащих реагентов (по активному хлору) при предварительном хлорировании и для улучшения хода коагуляции и обесцвечивания воды, а также для улучшения санитарного состояния сооружений следует принимать 3 - 10 мг/л.

Реагенты рекомендуется вводить за 1 - 3 мин до ввода коагулянтов.

9.16. Дозы подщелачивающих реагентов , мг/л, необходимых для улучшения процесса хлопьеобразования, следует определять по формуле

, (5)

где - максимальная в период подщелачивания доза безводного коагулянта, мг/л;

- эквивалентная масса коагулянта (безводного), принимаемая для Al2(SO4)3 - 57, FeCl3 - 54, Fe2(SO4)3 - 67 мг/мг-экв.;

- коэффициент, равный для извести (по CaO) - 28, для соды (по Na2CO3) - 53;

- минимальная щелочность воды, мг-экв/л.

Подщелачивающий реагент следует вводить в случае низкого щелочного резерва для ввода коагулянта. Реагенты следует вводить одновременно с вводом коагулянтов.

9.17. Приготовление и дозирование реагентов следует предусматривать в виде растворов или суспензий. Количество дозаторов следует принимать в зависимости от числа точек ввода и производительности дозатора, но не менее двух (один резервный).

Гранулированные и порошкообразные реагенты следует, как правило, принимать в сухом виде.

9.18. Концентрацию раствора коагулянта в растворных баках, считая по чистому и безводному продукту, а также условия по приготовлению их растворов следует принимать по рекомендации производителя.

9.19. Количество растворных баков следует принимать с учетом объема разовой поставки, способов доставки и разгрузки коагулянта, его вида, а также времени его растворения и должно быть не менее трех.

Количество расходных баков должно быть не менее двух.

9.20. Забор раствора коагулянта из растворных и расходных баков следует предусматривать с верхнего уровня.

9.21. Внутренняя поверхность баков должна быть защищена кислотостойкими материалами.

9.22. При применении в качестве коагулянта сухого хлорного железа в верхней части растворного бака следует предусматривать колосниковую решетку. Баки должны размещаться в изолированном помещении (боксе) с вытяжной вентиляцией.

9.23. Для транспортирования раствора коагулянта следует применять кислотостойкие материалы и оборудование.

Конструкции реагентопроводов должны обеспечивать возможность их быстрой прочистки и промывки.

9.24. Для подщелачивания и стабилизации воды следует применять известь. При обосновании допускается применение соды.

9.25. Выбор технологической схемы известкового хозяйства станции водоподготовки следует производить с учетом качества и вида заводского продукта, потребности в извести, места ее ввода и т.д. В случае применения комовой негашеной извести следует принимать мокрое хранение ее в виде теста.

При расходе извести до 50 кг/сут по CaO допускается применение схемы с использованием известкового раствора, получаемого в сатураторах двойного насыщения.

9.26. Количество баков для известкового молока или раствора следует предусматривать не менее двух. Концентрацию известкового молока в расходных баках следует принимать не более 5% по CaO.

9.27. Для очистки известкового молока от нерастворимых примесей при стабилизационной обработке воды следует применять вертикальные отстойники или гидроциклоны.

Скорость восходящего потока в вертикальных отстойниках следует принимать 2 мм/с.

Для очистки известкового молока на гидроциклонах необходимо обеспечивать двухкратный его пропуск через гидроциклоны.

9.28. Для непрерывного перемешивания известкового молока следует применять гидравлическое перемешивание (с помощью насосов) или механические мешалки.

При гидравлическом перемешивании восходящая скорость движения молока в баке должна приниматься не менее 5 мм/с. Баки должны иметь конические днища с наклоном 45° и сбросные трубопроводы диаметром не менее 100 мм.

Примечание - Допускается для перемешивания известкового молока применять сжатый воздух при интенсивности подачи 8 - 10 л/(с·м2).

9.29. Диаметры трубопроводов подачи известкового молока должны быть: напорных при подаче очищенного продукта не менее 25 мм, неочищенного - не менее 50 мм, самотечных - не менее 50 мм. Скорость движения в трубопроводах известкового молока должна приниматься не менее 0,8 м/с. Повороты на трубопроводах известкового молока следует предусматривать с радиусом не менее 5d, где d - диаметр трубопровода. Напорные трубопроводы проектируются с уклоном к насосу не менее 0,02, самотечные трубопроводы должны иметь уклон к выпуску не менее 0,03.

При этом следует предусматривать возможность промывки и прочистки трубопроводов.

9.30. Концентрацию раствора соды следует принимать 5 - 8%. Дозирование раствора соды следует предусматривать согласно 9.17.

Смесительные устройства

9.31. Смесительные устройства должны включать устройства ввода реагентов, обеспечивающие быстрое равномерное распределение реагентов в трубопроводе или канале подачи воды на сооружения водоподготовки, и смесители, обеспечивающие последующее интенсивное смешение реагентов с обрабатываемой водой.

Для маломутных и цветных вод непосредственно перед точкой ввода реагентов требуется организовывать равномерный ввод пульпы, содержащей искусственный "замутнитель" минерального происхождения. В эту же точку следует предусмотреть равномерный ввод оборотных вод, перечисленных в 9.4. (в ред. Изменения N 2, утв. Приказом Минстроя РФ от 30.12.2015 N 960/пр)

9.32. Смесительные устройства должны обеспечивать последовательный с необходимым разрывом времени ввод реагентов согласно 9.16 с учетом длительности пребывания воды в трубопроводах или каналах между устройствами ввода реагентов.

9.33. Устройства ввода реагентов следует выполнять в виде перфорированных трубчатых распределителей или вставок в трубопровод, создающих местные сопротивления. Распределители реагентов должны быть доступны для прочистки и промывки без прекращения процесса обработки воды. Потерю напора в трубопроводе при установке трубчатого распределителя следует принимать 0,1 - 0,2 м, при установке вставки - 0,2 - 0,3 м.

9.34. Смешение реагентов с водой следует предусматривать в смесителях гидравлического (вихревых, перегородчатых) и механического типов, оборудованных мешалками. (в ред. Изменения N 2, утв. Приказом Минстроя РФ от 30.12.2015 N 960/пр)

9.35. Число смесителей (секций) следует принимать не менее двух с возможностью отключения их в периоды интенсивного хлопьеобразования.

Резервные смесители (секции) принимать не следует, но необходимо предусматривать обводной трубопровод в обход смесителей с размещением в нем резервных устройств ввода реагентов согласно 9.33.

9.36. Вихревые смесители следует применять при поступлении на станцию воды с крупнодисперсными взвешенными веществами и при использовании реагентов в виде суспензий или частично осветленных растворов.

Вихревые смесители следует принимать в виде конического или пирамидального вертикального диффузора с углом между наклонными стенками 30 - 45°, высотой верхней части с вертикальными стенками от 1 до 1,5 м, при скорости входа воды в смеситель от 1,2 до 1,5 м/с, скорости восходящего движения воды под водосборным устройством от 30 до 40 мм/с, скорости движения воды в конце водосборного лотка 0,6 м/с.

9.37. Перегородчатые смесители следует принимать в виде каналов с перегородками, обеспечивающими горизонтальное или вертикальное движение воды с поворотами на 180°. Число поворотов следует принимать равным 9 - 10.

9.38. Потерю напора h на одном повороте перегородчатого смесителя следует определять по формуле

, (6)

где - коэффициент гидравлического сопротивления, принимаемый равным 2,9;

v - скорость движения воды в смесителе, принимаемая от 0,7 до 0,5 м/с;

g - ускорение свободного падения, равное 9,8 м/с2.

9.39. Смесители должны оборудоваться переливными и спускными трубами. Следует предусматривать возможность уменьшения числа перегородок для сокращения времени пребывания воды в смесителях в периоды интенсивного хлопьеобразования.

9.40. Скорость движения воды в трубопроводах или каналах от смесителей к камерам хлопьеобразования и осветлителям со взвешенным осадком следует принимать уменьшающейся от 1 до 0,6 м/с. При этом время пребывания воды в них должно быть не более 1,5 мин.

Воздухоотделители

9.41. Воздухоотделители следует предусматривать при применении отстойников с камерами хлопьеобразования со слоем взвешенного осадка, осветлителей со взвешенным осадком, контактных осветлителей и контактных префильтров, а также в схемах с двухступенчатым фильтрованием.

9.42. Площадь воздухоотделителя следует принимать из расчета скорости движения нисходящего потока воды не более 0,05 м/с и времени пребывания воды в нем не менее 1 мин.

Воздухоотделители допускается предусматривать общими на все виды сооружения или для каждого сооружения отдельно.

В тех случаях, когда конструкция смесителей сможет обеспечить выделение из воды пузырьков воздуха и на пути движения воды от смесителей к сооружениям обогащение воды воздухом исключается, воздухоотделители предусматривать не следует.

Камеры хлопьеобразования

9.43. В отстойниках следует предусматривать встроенные камеры хлопьеобразования механического типа с 2 - 3-мя ступенями перемешивания низкооборотными мешалками. Приводы мешалок должны быть оснащены регулируемым приводом. Интенсивность перемешивания, каждой последующей ступени перемешивания должна быть меньше относительно к предыдущей ступени. Режимы перемешивания устанавливаются в процессе эксплуатации для различных периодов года в зависимости от качества исходной и "осветленной" воды. Применение камер хлопьеобразования иного типа - при обосновании. (в ред. Изменения N 2, утв. Приказом Минстроя РФ от 30.12.2015 N 960/пр)

9.44. В горизонтальных отстойниках гидравлические камеры хлопьеобразования следует предусматривать перегородчатые, вихревые или контактные с зернистой загрузкой и тонкослойными модулями.

9.45. Перегородчатые камеры хлопьеобразования следует принимать с горизонтальным или вертикальным движением воды. Скорость движения воды в коридорах следует принимать 0,2 - 0,3 м/с в начале камеры и 0,05 - 0,1 м/с в конце камеры за счет увеличения ширины коридора.

Время пребывания воды в камере хлопьеобразования следует принимать равным 20 - 30 мин (нижний предел - для мутных вод, верхний - для цветных с низкой температурой зимой). Следует предусматривать возможность снижения времени пребывания в камере.

Ширина коридора должна быть не менее 0,7 м. Число поворотов потока в перегородчатой камере следует принимать равным 8 - 10. Потерю напора в камере следует определять согласно 9.38.

9.46. Вихревые камеры хлопьеобразования следует проектировать с вертикальными или наклонными перегородками. Время пребывания воды в камере следует принимать равным 6 - 12 мин (нижний предел - для мутных вод, верхний предел - для цветных вод). (в ред. Изменения N 2, утв. Приказом Минстроя РФ от 30.12.2015 N 960/пр)

Отвод воды из камер хлопьеобразования в отстойники следует предусматривать при скорости движения воды в сборных лотках, трубах и отверстиях не более 0,1 м/с для мутных вод и 0,05 м/с для цветных вод. На входе воды в отстойник следует предусматривать подвесную перегородку, погруженную на 1/4 высоты отстойника. Скорость движения воды между стенкой и перегородкой должна быть не более 0,03 м/с.

Потерю напора в камере следует определять согласно 9.38.

9.47. При количестве встроенных в отстойники камер хлопьеобразования менее шести следует предусматривать одну резервную (9.49, 9.54).

9.48. В вертикальных отстойниках следует предусматривать контактные тонкослойные и тонкослойно-эжекционные камеры хлопьеобразования, располагаемые в центре отстойника.

Вертикальные отстойники

9.49. Площадь зоны осаждения определяется для вертикального отстойника без установки в нем тонкослойных блоков исходя из скорости выпадения взвеси, задерживаемой отстойниками (см. таблицу 11) для двух периодов:

1 - минимальной мутности при минимальном зимнем расходе воды;

2 - наибольшей мутности при наибольшем расходе воды, соответствующем этому периоду.

Таблица 11

Зависимость скорости выпадения взвеси, задерживаемой отстойниками

Характеристика обрабатываемой воды и способ обработки Скорость выпадения взвеси u0, задерживаемой отстойниками, мм/с
Маломутные цветные воды, обрабатываемые коагулянтом 0,35 - 0,45
Воды средней мутности, обрабатываемые коагулянтом 0,45 - 0,5
Мутные воды, обрабатываемые коагулянтом 0,5 - 0,6
Мутные воды, обрабатываемые флокулянтом 0,2 - 0,3
Мутные воды, не обрабатываемые коагулянтом 0,08 - 0,15
Примечания
1. В случае применения флокулянтов при коагулировании воды скорости выпадения взвеси следует увеличивать на 15 - 20%.
2. Нижние пределы u0 указаны для хозяйственно-питьевых водопроводов.

Расчетная площадь зоны осаждения должна соответствовать наибольшему значению

, (7)

где q - расчетный расход для периодов максимального и минимального суточного водопотребления, м3/ч;

- расчетная скорость восходящего потока, мм/с, принимается при отсутствии данных технологических изысканий, не более указанных в таблице 15 величин скоростей выпадения взвеси;

- количество рабочих отстойников;

- коэффициент, учитывающий объемное использование отстойника, величина которого принимается 1,3 - 1,5 (нижний предел - при отношении диаметра к высоте отстойника - 1, верхний - при отношении диаметра к высоте - 1,5).

При количестве отстойников менее шести следует предусматривать один резервный.

9.50. При установке в зоне осаждения тонкослойных блоков площадь зоны осаждения определяется исходя из удельных нагрузок, отнесенных к площади зеркала воды, занятой тонкослойными блоками: для маломутных и цветных вод, обработанных коагулянтом, - 3 - 3,5 м3/(ч·м2); для средней мутности - 3,6 - 4,5 м3/(ч·м2); для мутных вод - 4,6 - 5,5 м3/(ч·м2).

9.51. Зона накопления и уплотнения осадка вертикальных отстойников должна предусматриваться с наклонными стенками. Угол между наклонными стенками следует принимать 70 - 80°.

Сброс осадка следует предусматривать без выключения отстойника. Период работы между сбросами осадка должен быть не менее 6 ч.

9.52. Сбор осветленной воды в вертикальных отстойниках следует предусматривать периферийными и радиальными желобами с отверстиями или с треугольными вырезами, а также затопленными водосборными трубами с отверстиями, в шахматном порядке, направленными вниз под 45° к вертикальной плоскости вдоль оси труб. (в ред. Изменения N 2, утв. Приказом Минстроя РФ от 30.12.2015 N 960/пр)

Горизонтальные отстойники

9.53. Горизонтальные отстойники следует проектировать с рассредоточенным по площади сбором воды. Расчет отстойников следует производить для двух периодов согласно 9.49.

Площадь горизонтальных отстойников в плане , м2, следует определять исходя из скорости выпадения взвеси, задерживаемой отстойниками (см. таблицу 11).

При установке в зоне осаждения тонкослойных модулей площадь отстойника следует определять согласно 9.50.

Для новых и реконструируемых сооружений тонкослойные модули следует предусматривать в обязательном порядке. (в ред. Изменения N 2, утв. Приказом Минстроя РФ от 30.12.2015 N 960/пр)

9.54. Длину отстойников L, м, следует определять исходя из скорости выпадения взвеси с учетом следующих параметров:

средняя высота зоны осаждения, м, принимаемая равной 3 - 3,5 м в зависимости от высотной схемы станции;

расчетная скорость горизонтального движения воды в начале отстойника, принимаемая равной 6 - 8, 7 - 10 и 9 - 12 мм/с соответственно для вод маломутных, средней мутности и мутных.

Отстойник должен быть разделен продольными перегородками на самостоятельно действующие коридоры шириной не более 6 м.

При количестве коридоров менее шести следует предусматривать один резервный.

9.55. Горизонтальные отстойники следует проектировать с механическим или гидравлическим удалением осадка (без выключения подачи воды в отстойник) или предусматривать в них гидравлическую систему смыва осадка с периодическим отключением подачи воды в отстойник в случае осветления мутных вод с образованием малоподвижных осадков.

9.56. Для отстойников с механизированным удалением осадка скребковыми механизмами объем зоны накопления и уплотнения осадка следует определять в зависимости от размеров скребков, сгребающих осадок в приямок.

При гидравлическом удалении или напорном смыве осадка объем зоны накопления и уплотнения осадка определяется исходя из продолжительности работы отстойника между чистками не менее 12 ч.

Среднюю концентрацию уплотненного осадка следует определять по таблице 12.

Таблица 12

Средняя концентрация уплотненного осадка

Мутность исходной воды, мг/л Применяемые реагенты Средняя по высоте осадочной части отстойника концентрация твердой фазы в осадке, г/м3, при интервалах между сбросами осадка, ч
6 12 24 и более
До 50 Коагулянт 9000 12000 15000
Св. 50 до 100 Коагулянт 12000 16000 20000
Св. 100 до 400 Коагулянт 20000 32000 40000
Св. 400 до 1000 Коагулянт 35000 50000 60000
Св. 1000 до 1500 Коагулянт 80000 100000 120000
Св. 1500 Флокулянт 90000 140000 160000
Св. 1500 Без реагентов 200000 250000 300000
Примечание - При обработке исходной воды коагулянтами совместно с флокулянтами среднюю концентрацию твердой фазы в осадке следует принимать на 25% больше для маломутных цветных вод и на 15% - для вод средней мутности.

9.57. Для гидравлического удаления осадка следует предусматривать сборную систему из перфорированных труб. Процесс гидравлического удаления осадка необходимо автоматизировать с использованием устройств (мутномеров), инициирующих начало процесса удаления по достижению критического уровня осадка и останавливающих процесс удаления осадка по заданному периоду времени или после снижения мутности в сбрасываемой пульпе. (в ред. Изменения N 2, утв. Приказом Минстроя РФ от 30.12.2015 N 960/пр)

9.58. Напорные гидравлические системы смыва осадка, включающие телескопические дырчатые трубы с насадками, насосную установку, резервуар промывной воды и емкости для сбора и уплотнения осадка перед подачей его на сооружения обезвоживания, следует проектировать для удаления из отстойников тяжелых, трудноудаляющихся осадков, образующихся при осветлении мутных и высокомутных вод.

9.59. Высоту отстойников следует определять как сумму высот зоны осаждения и зоны накопления осадка с учетом величины превышения строительной высоты над расчетным уровнем воды не менее 0,3 м.

9.60. Количество воды, сбрасываемой из отстойника вместе с осадком, следует определять с учетом коэффициента разбавления, принимаемого:

1,5 - при гидравлическом удалении осадка;

1,2 - при механическом удалении осадка;

2 - 3 - при напорном смыве осадка.

При гидравлическом удалении осадка продольный уклон дна отстойника следует принимать не менее 0,005.

9.61. Сбор осветленной воды следует предусматривать системой горизонтально расположенных дырчатых труб или желобов с затопленными отверстиями или треугольными водосливами, расположенными на участке 2/3 длины отстойника, считая от задней торцевой стенки, или на всю длину отстойника при оснащении его тонкослойными блоками.

Скорость движения осветленной воды в конце желобов и труб следует принимать 0,6 - 0,8 м/с, в отверстиях - 1 м/с.

Верх желоба с затопленными отверстиями должен быть на 10 см выше максимального уровня воды в отстойнике, заглубление трубы под уровень воды необходимо определять гидравлическим расчетом.

Отверстия в желобе следует располагать на 5 - 8 см выше дна желоба, в трубах - горизонтально по оси. Диаметр отверстий должен быть не менее 25 мм.

Излив воды из желобов и труб в сборный карман должен быть свободным (незатопленным).

Расстояние между осями желобов или труб должно быть не более 3 м. (в ред. Изменения N 2, утв. Приказом Минстроя РФ от 30.12.2015 N 960/пр)

Осветлители со взвешенным осадком

9.62. Расчет осветлителей следует производить с учетом годовых колебаний качества обрабатываемой воды.

При отсутствии данных технологических исследований скорость восходящего потока в зоне осветления и коэффициент распределения воды между зоной осветления и зоной отделения осадка следует принимать по данным таблицы 13 с учетом примечаний к таблице 11.

Таблица 13

Значения скорости восходящего потока в зоне осветления и коэффициента распределения воды между зоной осветления и зоной отделения осадка

Мутность воды, поступающей в осветлитель, мг/л Скорость восходящего потока воды в зоне осветления РИС, мм/с Коэффициент распределения воды Кр.в
в зимний период в летний период
От 50 до 100 0,5 - 0,6 0,7 - 0,8 0,7 - 0,8
Св. 100 до 400 0,6 - 0,8 0,8 - 1 0,8 - 0,7
Св. 400 до 1000 0,8 - 1 1 - 1,1 0,7 - 0,65
Св. 1000 до 1500 1 - 1,2 1,1 - 1,2 0,64 - 0,6
Примечание - Нижние пределы указаны для хозяйственно-питьевых водопроводов.

9.63. Для зон осветления и отделения осадка следует принимать наибольшие значения площадей, полученные при расчете для двух периодов согласно 9.49.

При установке в зонах осаждения и отделения осадка тонкослойных блоков площадь зон, занятых блоками, должна определяться согласно 9.50.

9.64. Высоту слоя взвешенного осадка следует принимать от 2 до 2,5 м. Низ осадкоприемных окон или кромку осадкоотводящих труб следует располагать на 1 - 1,5 м выше перехода наклонных стенок зоны взвешенного осадка осветлителя в вертикальные.

Угол между наклонными стенками нижней части зоны взвешенного осадка следует принимать 60 - 70°.

Высоту зоны осветления следует принимать 2 - 2,5 м. Расстояние между сборными лотками или трубами в зоне осветления следует принимать не более 3 м. Высота стенок осветлителей должна на 0,3 м превышать расчетный уровень воды в них.

9.65. Время уплотнения следует принимать не менее 6 ч при отсутствии на станции отдельных сгустителей осадка и 2 - 3 ч при наличии сгустителей и автоматизации выпуска осадка.

9.66. Удаление осадка из осадкоуплотнителя следует предусматривать периодически дырчатыми трубами. Количество сбрасываемой с осадком воды следует определять по таблице 15 с учетом коэффициента разбавления осадка, принимаемого 1,5.

9.67. Распределение воды по площади осветления следует принимать телескопическими дырчатыми трубами, укладываемыми на расстоянии не более 3 м друг от друга.

Скорость движения воды при входе в распределительные трубы должна быть 0,5 - 0,6 м/с, скорость выхода из отверстий дырчатых труб - 1,5 - 2 м/с. Диаметр отверстий не менее 25 мм, расстояние между отверстиями не более 0,5 м, отверстия следует располагать вниз под углом 45° к вертикали по обе стороны трубы в шахматном порядке.

9.68. Скорость движения воды с осадком следует принимать в осадкоприемных окнах 10 - 15 мм/с, в осадкоотводящих трубах 40 - 60 мм/с (большие значения относятся к водам, содержащим преимущественно минеральную взвесь).

9.69. Сбор осветленной воды в зоне осветления следует предусматривать желобами с треугольными водосливами высотой 40 - 60 мм при расстоянии между осями водосливов - 100 - 150 мм и угле между кромками водослива 60°. Расчетная скорость движения воды в желобах 0,5 - 0,6 м/с.

9.70. Сбор осветленной воды из осадкоуплотнителя следует предусматривать затопленными дырчатыми трубами.

В вертикальных осадкоуплотнителях верх сборных дырчатых труб должен быть расположен не менее чем на 0,3 м ниже уровня воды в осветлителях и не менее чем на 1,5 м выше верха осадкоприемных окон.

В поддонных осадкоуплотнителях сборные дырчатые трубы для отвода осветленной воды следует располагать под перекрытием. Диаметр труб для отвода осветленной воды следует определять исходя из скорости движения воды не более 0,5 м/с, скорости входа воды в отверстия труб не менее 1,5 м/с, диаметра отверстий 15 - 20 мм.

На сборных трубах при выходе их в сборный канал следует предусматривать установку запорной арматуры.

Перепад отметок между низом сборной трубы и уровнем воды в общем сборном канале осветлителя следует принимать не менее 0,4 м.

9.71. Трубы для удаления осадка из осадкоуплотнителя следует рассчитывать из условия отведения накопившегося осадка не более чем за 15 - 20 мин. Процесс удаления осадка требуется автоматизировать аналогично 9.57. Диаметр труб для удаления осадка должен быть не менее 150 мм. Расстояние между стенками соседних труб или каналов следует принимать не более 3 м. (в ред. Изменения N 2, утв. Приказом Минстроя РФ от 30.12.2015 N 960/пр)

Среднюю скорость движения осадка в отверстиях дырчатых труб следует принимать не более 3 м/с, скорость в конце дырчатой трубы не менее 1 м/с, диаметр отверстий не менее 20 мм, расстояние между отверстиями не более 0,5 м.

9.72. Угол между наклонными стенками осадкоуплотнителей следует принимать равным 70°.

При применении осветлителей с поддонными осадкоуплотнителями люк, соединяющий зону взвешенного осадка с осадкоуплотнителем, должен быть оборудован устройством, автоматически открывающимся при понижении уровня воды в осветлителе ниже верха осадкоотводящих труб (при выпуске осадка и опорожнении).

9.73. При количестве осветлителей менее шести следует предусматривать один резервный.

Сооружения для осветления высокомутных вод

9.74. Для осветления высокомутных вод следует предусматривать двухступенчатое отстаивание с обработкой воды реагентами перед отстойниками первой и второй ступеней.

В качестве отстойников первой ступени следует предусматривать радиальные отстойники со скребками на вращающихся фермах или горизонтальные отстойники со скребковыми механизмами. Допускается для удаления осадка применение гидравлической системы его смыва. При обосновании допускается использовать для первой ступени осветления плавучий водозабор-осветлитель с тонкослойными элементами без применения реагентов. (в ред. Изменения N 2, утв. Приказом Минстроя РФ от 30.12.2015 N 960/пр)

9.75. Виды и дозы реагентов, вводимых в воду перед отстойниками первой и второй ступеней, следует определять на основании технологических исследований.

9.76. Камеры хлопьеобразования в горизонтальных отстойниках при осветлении высокомутных вод следует проектировать механического типа. Перед радиальными отстойниками камеры хлопьеобразования не предусматриваются. (в ред. Изменения N 2, утв. Приказом Минстроя РФ от 30.12.2015 N 960/пр)

9.77. Среднюю концентрацию уплотненного осадка в отстойниках первой ступени следует принимать 150 - 160 г/л.

Скорые фильтры

9.78. Фильтры и их коммуникации должны быть рассчитаны на работу при нормальном и форсированном (часть фильтров находится в ремонте) режимах. На станциях с количеством фильтров до 20 следует предусматривать возможность выключения на ремонт одного фильтра, при большем количестве - двух фильтров.

9.79. Для загрузки фильтров следует использовать кварцевый песок, дробленые антрацит и керамзит, а также другие материалы. Все фильтрующие материалы должны обеспечивать технологический процесс и обладать требуемой химической стойкостью и механической прочностью. При хозяйственно-питьевом водоснабжении должны учитываться требования 4.4, 9.3.

9.80. Скорости фильтрования при нормальном и форсированном режимах при отсутствии данных технологических изысканий следует принимать согласно таблице 15 с учетом обеспечения продолжительности работы фильтров между промывками, не менее: при нормальном режиме - 8 - 12 ч, при форсированном режиме или полной автоматизации промывки фильтров - 6 ч.

9.81. Общую площадь фильтров следует определять исходя из скорости фильтрования при нормальном режиме с учетом удельного расхода воды на промывку и времени простоя при ее проведении.

9.82. Количество фильтров на станциях производительностью более 1600 м3/сут должно быть не менее четырех. При производительности станции более 8 - 10 тыс. м3/сут количество фильтров следует определять с округлением до ближайших целых чисел (четных или нечетных в зависимости от компоновки фильтров) по формуле

. (8)

При этом должно обеспечиваться соотношение

, (9)

где - число фильтров, находящихся в ремонте (см. 9.78);

- скорость фильтрования при форсированном режиме, которая должна быть не более указанной в таблице 15.

Площадь одного фильтра следует принимать не более 100 - 120 м2.

9.83. Предельные потери напора в фильтре следует принимать для открытых фильтров 3 - 3,5 м в зависимости от типа фильтра, для напорных фильтров - 6 - 8 м.

9.84. Высота слоя воды над поверхностью загрузки в открытых фильтрах должна быть не менее 2 м; превышение строительной высоты над расчетным уровнем воды - не менее 0,5 м.

9.85. При выключении части фильтров на промывку скорость фильтрования на остальных фильтрах не должна превышать величину , указанную в таблице 15.

При форсированном режиме скорости движения воды в трубопроводах (подающем и отводящем фильтрат) должны быть не более 1 - 1,5 м/с.

9.86. Трубчатые распределительные (дренажные) системы большого сопротивления следует принимать с выходом воды из коллектора в поддерживающие слои (гравий или другие аналогичные материалы) или непосредственно в толщу фильтрующего слоя. Коллектор для фильтров площадью более 20 - 30 м2 следует размещать вне загрузки под боковым карманом отвода промывной воды. При центральном сборном канале нижнее отделение служит как коллектор. Необходимо предусматривать возможность прочистки распределительной системы, а для коллекторов диаметром более 800 мм - ревизию.

9.87. Крупность фракций и высоту поддерживающих слоев при распределительных системах большого сопротивления следует принимать по таблице 14.

Таблица 14

Высота слоя загрузки различной крупности в фильтрах

Крупность зерен, мм Высота слоя, мм
40 - 20 Верхняя граница слоя должна быть на уровне верха распределительной трубы, но не менее чем на 100 мм выше отверстий
20 - 10 100 - 150
10 - 5 100 - 150
5 - 2 50 - 100
Примечания
1. При водовоздушной промывке с подачей воздуха по трубчатой системе высоту слоев крупностью 10 - 5 мм и 5 - 2 мм следует принимать по 150 - 200 мм каждый.
2. Для фильтров с крупностью загрузки менее 2 мм следует предусматривать дополнительный поддерживающий слой с размером зерен 2 - 1,2 мм высотой 100 мм.

Таблица 15

Скорости фильтрования при нормальном и форсированном режимах для различных материалов загрузки

Фильтры Характеристика фильтрующего слоя Скорость фильтрования, м/ч
Материал загрузки Диаметр зерен, мм Коэффициент неоднородности загрузки Высота слоя, м
при нормальном режиме при форсированном режиме
наименьших наибольших эквивалентный
Однослойные скорые фильтры с загрузкой различной крупности Кварцевый песок 0,5 1,2 0,7 - 0,8 1,8 - 2 0,7 - 0,8 5 - 6 6 - 7,5
0,7 1,6 0,8 - 1 1,6 - 1,8 1,3 - 1,5 6 - 8 7 - 9,5
0,8 2 1 - 1,2 1,5 - 1,7 1,8 - 2 8 - 10 10 - 12
Дробленый керамзит 0,5 1,2 0,7 - 0,8 1,8 - 2 0,7 - 0,8 6 - 7 7 - 9
0,7 1,6 0,8 - 1 1,6 - 1,8 1,3 - 1,5 7 - 9,5 8,5 - 11,5
0,8 2 1 - 1,2 1,5 - 1,7 1,8 - 2 9,5 - 12 12 - 14
Скорые фильтры с двухслойной загрузкой Кварцевый песок 0,5 1,2 0,7 - 0,8 1,8 - 2 0,7 - 0,8 7 - 10 8,5 - 12
Дробленый керамзит или антрацит 0,8 1,8 0,9 - 1,1 1,6 - 1,8 0,4 - 0,5    
Примечания
1. Расчетные скорости фильтрования в указанных пределах должны приниматься в зависимости от качества воды в источнике водоснабжения, технологии ее обработки перед фильтрованием и других местных условий. При очистке воды для хозяйственно-питьевых нужд следует принимать меньшие значения скоростей фильтрования.
2. При применении фильтрующих материалов, не предусмотренных настоящей таблицей, рекомендуемые параметры необходимо уточнять на основании экспериментальных данных или имеющегося опыта применения.
(в ред. Изменения N 2, утв. Приказом Минстроя РФ от 30.12.2015 N 960/пр)
3. При использовании фильтров в схемах очистки воды двухступенчатым фильтрованием скорости фильтрования на них следует принимать на 10 - 15% больше приведенных в таблице.
(в ред. Изменения N 2, утв. Приказом Минстроя РФ от 30.12.2015 N 960/пр)
При применении загрузок из дробленых керамзита и антрацита водовоздушная промывка не допускается.

9.88. Площадь поперечного сечения коллектора трубчатой распределительной системы следует принимать постоянной по длине. Скорость движения воды при промывке следует принимать: в начале коллектора 0,8 - 1,2 м/с, в начале ответвлений - 1,6 - 2 м/с.

Конструкция коллектора должна обеспечивать возможность укладки ответвлений горизонтально с одинаковым шагом.

9.89. Допускается применять распределительную систему без поддерживающих слоев в виде каналов, располагаемых перпендикулярно коллектору (сбросному каналу) и перекрываемых сверху полимербетонными плитами толщиной не менее 40 мм.

9.90. Распределительную систему с колпачками следует принимать при водяной и воздушной промывке; количество колпачков должно быть 35 - 50 на 1 м2 рабочей площади фильтра.

Потерю напора в щелевых колпачках следует определять по формуле (6), принимая скорость движения воды или водовоздушной смеси в щелях колпачка не менее 1,5 м/с и коэффициент гидравлического сопротивления = 4.

9.91. Для удаления воздуха из трубопровода, подающего воду на промывку фильтров, следует предусматривать стояки-воздушники диаметром 75 - 150 мм с установкой на них запорной арматуры или автоматических устройств для выпуска воздуха; на коллекторе фильтра следует также предусматривать стояки-воздушники диаметром 50 - 75 мм, количество которых следует принимать при площади фильтра до 50 м2 - один, при большей площади - два (в начале и в конце коллектора), с установкой на стояках вентилей и других устройств для выпуска воздуха.

Трубопровод, подающий воду на промывку фильтров, следует располагать ниже кромки желобов фильтров.

Опорожнение фильтра необходимо предусматривать через распределительную систему и отдельную спускную трубу диаметром 100 - 200 мм (в зависимости от площади фильтра) с задвижкой.

9.92. Для промывки фильтрующей загрузки следует применять воду, очищенную на фильтрах. Допускается применение верхней промывки с распределительной системой над поверхностью загрузки фильтров.

Параметры промывки водой загрузки из кварцевого песка следует принимать по таблице 16.

Таблица 16

Параметры промывки водой загрузки из кварцевого песка

Фильтры и их загрузка Интенсивность промывки, л/(с·м2) Продолжительность промывки, мин Величина относительного расширения загрузки, %
Скорые с однослойной загрузкой диаметром 0,7 - 0,8 мм 12 - 14 6 - 5 45
Скорые с однослойной загрузкой диаметром 0,8 - 1 14 - 16 6 - 5 30
Скорые с однослойной загрузкой диаметром 1 - 1,2 16 - 18 6 - 5 25
Скорые с двухслойной загрузкой 14 - 16 7 - 6 50
Примечания
1. Высоким значениям интенсивности промывки соответствуют меньшие значения продолжительности промывки.
(в ред. Изменения N 4, утв. Приказом Минстроя РФ от 21.01.2019 N 21/пр)
2. При неподвижном устройстве для верхней промывки интенсивность ее следует принимать 3 - 4 л/(с·м2), напор 30 - 40 м. Продолжительность промывки 5 - 8 мин, из них 2 - 3 мин до проведения нижней промывки. Распределительные трубы следует располагать на расстоянии 60 - 80 мм от поверхности загрузки через каждые 700 - 1000 мм. Расстояние между отверстиями в распределительных трубках или между насадками необходимо принимать 80 - 100 мм. При вращающемся устройстве интенсивность следует принимать 0,5 - 0,75 л/(с·м2), напор 40 - 45 м.

При загрузке керамзитом интенсивность промывки следует принимать 12 - 15 л/(с·м2) в зависимости от марки керамзита (большие интенсивности относятся к керамзитам большей плотности).

9.93. Для сбора и отведения промывной воды следует предусматривать желоба полукруглого или пятиугольного сечения. Расстояние между осями соседних желобов должно быть не более 2,2 м. Кромки всех желобов должны быть на одном уровне и строго горизонтальны. Лотки желобов должны иметь уклон 0,01 к сборному каналу.

9.94. Расстояние от поверхности фильтрующей загрузки до кромок желобов следует определять по формуле

, (10)

где - высота фильтрующего слоя, м;

- относительное расширение фильтрующей загрузки в процентах, принимаемое по таблице 16.

9.95. Водовоздушную промывку следует применять для скорых фильтров с загрузкой из кварцевого песка при следующем режиме: продувка воздухом с интенсивностью 15 - 20 л/(с·м2) в течение 1 - 2 мин, затем совместная водовоздушная промывка с интенсивностью подачи воздуха 15 - 20 л/(с·м2) и воды 3 - 4 л/(с·м2) в течение 4 - 5 мин и последующая подача воды (без продувки) с интенсивностью 6 - 8 л/(с·м2) в течение 4 - 5 мин.

Примечания

1. Более крупнозернистым загрузкам соответствуют большие интенсивности подачи воды и воздуха.

2. При обосновании допускается применять режимы промывки, отличающиеся от указанного.

9.96. При водовоздушной промывке следует применять систему горизонтального отвода промывной воды с пескоулавливающим желобом, образованным двумя наклонными стенками - водосливной и отбойной.

Контактные осветлители

9.97. На станциях контактного осветления воды следует применять сетчатые барабанные фильтры и входную камеру, обеспечивающую требуемый напор воды, смешивание и контакт воды с реагентами, а также выделение из воды воздуха.

9.98. Объем входной камеры должен определяться из условий пребывания воды в ней не менее 5 мин. Камера должна быть секционирована не менее чем на 2 отделения, в каждом из которых следует предусматривать переливные и спускные трубы.

Примечания

1. Сетчатые барабанные фильтры следует располагать над входной камерой; установка их в отдельно стоящем здании допускается при обосновании. Проектирование их следует выполнять согласно 9.11 - 9.14.

2. Смесительные устройства, последовательность и время разрыва между вводом реагентов следует принимать согласно 9.31; 9.32; 9.15; 9.16.

При этом необходимо предусматривать возможность дополнительного ввода реагента после входной камеры.

9.99. Уровень воды в контактных осветлителях во входных камерах должен превышать уровень в осветлителе на величину предельно допустимой потери напора в слое фильтрующей загрузки и сумму всех потерь напора на пути движения воды от начала входной камеры до фильтрующей загрузки.

Отвод воды из входных камер контактных осветлителей должен предусматриваться на отметке не менее чем на 2 метра ниже уровня воды в осветлителях. В камерах и трубопроводах должна быть исключена возможность насыщения воды воздухом.

9.100. Контактные осветлители при промывке водой следует предусматривать без поддерживающих слоев, при промывке водой и воздухом - с поддерживающими слоями.

Загрузку контактных осветлителей следует принимать по таблице 17.

Таблица 17

Высота загрузки различной крупности для контактных осветлителей

Показатель Высота гравийных и песчаных слоев, м, для осветлителя
Без поддерживающих слоев С поддерживающими слоями
Крупность зерен гравия и песка 40 - 20 мм - 0,2 - 0,25
Крупность зерен гравия и песка 20 - 10 мм - 0,1 - 0,15
Крупность зерен гравия и песка 10 - 5 мм - 0,15 - 0,2
Крупность зерен гравия и песка 5 - 2 мм 0,5 - 0,6 0,3 - 0,4
Крупность зерен гравия и песка 2 - 1,2 мм 1 - 1,2 1,2 - 1,3
Крупность зерен гравия и песка 1,2 - 0,7 мм 0,8 - 1 0,8 - 1
Эквивалентный диаметр зерен песка, мм 1 - 1,3 1 - 1,3
Примечания
1. Для контактных осветлителей с поддерживающими слоями верхняя граница гравия крупностью 40 - 20 мм должна быть на уровне верха труб распределительной системы. Общая высота загрузки должна быть не свыше 3 м.
2. Для загрузки контактных осветлителей следует применять гравий и кварцевый песок, а также другие материалы с плотностью 2,5 - 3,5 г/м3, отвечающие требованиям 9.79.

9.101. Скорости фильтрования в контактных осветлителях следует принимать:

без поддерживающих слоев при нормальном режиме - 4 - 5 м/ч, при форсированном - 5 - 5,5 м/ч;

с поддерживающими слоями при нормальном режиме - 5 - 5,5 м/ч, при форсированном - 5,5 - 6 м/ч.

При очистке воды для хозяйственно-питьевых нужд следует принимать меньшие значения скоростей фильтрования.

Допускается предусматривать работу контактных осветлителей с переменной, убывающей к концу цикла скоростью фильтрования при условии, чтобы средняя скорость равнялась расчетной.

9.102. Количество осветлителей на станции следует определять согласно 9.82.

9.103. Для промывки следует использовать очищенную воду. Допускается использование неочищенной воды при условиях: мутности ее не более 10 мг/л, коли-индекса - 1000 ед/л, предварительной обработки воды на барабанных сетках (или микрофильтрах) и обеззараживания. При использовании очищенной воды должен быть предусмотрен разрыв струи перед подачей воды в емкость для хранения промывной воды. Непосредственная подача воды на промывку из трубопроводов и резервуаров фильтрованной воды не допускается.

9.104. Режим промывки контактных осветлителей водой следует принимать с интенсивностью 15 - 18 л/(с·см2) в течение 7 - 8 мин, продолжительность сброса первого фильтрата - 10 - 12 мин.

Водовоздушную промывку контактных осветлителей следует предусматривать со следующим режимом: взрыхление загрузки воздухом с интенсивностью 18 - 20 л/(с·см2) в течение 1 - 2 мин; совместная водовоздушная промывка при подаче воздуха 18 - 20 л/(с·см2) и воды 3 - 3,5 л/(с·см2) при продолжительности 6 - 7 мин; дополнительная промывка водой с интенсивностью 6 - 7 л/(с·см2) продолжительностью 5 - 7 мин.

9.105. В контактных осветлителях с поддерживающими слоями и водовоздушной промывкой следует применять трубчатые распределительные системы для подачи воды и воздуха и систему горизонтального отвода промывной воды.

В контактных осветлителях без поддерживающих слоев должна предусматриваться распределительная система с приваренными вдоль дырчатых труб боковыми шторками.

Таблица 18

Параметры сборной системы контактных осветлителей

Диаметр труб ответвлений, мм Отношение суммарной площади отверстий к площади осветлителя, % Расстояния, мм
между осями труб ответвлений от дна осветлителя до низа шторок от низа шторок до оси труб ответвлений между поперечными перегородками
75 0,28 - 0,3 240 - 260 100 - 120 155 300 - 400
100 0,26 - 0,28 300 - 320 120 - 140 170 400 - 600
125 0,24 - 0,26 350 - 370 140 - 160 190 600 - 800
150 0,22 - 0,24 440 - 470 160 - 180 220 800 - 1000

9.106. В контактных осветлителях без поддерживающих слоев сбор промывной воды следует принимать желобами согласно 9.93 - 9.94. Над кромками желобов следует предусматривать пластины с треугольными вырезами высотой и шириной по 50 - 60 мм, с расстояниями между их осями 100 - 150 мм.

9.107. Каналы и коммуникации для подачи и отвода воды, баки и насосы для промывки контактных осветлителей следует проектировать согласно 9.89, 9.91, при этом низ патрубка, отводящего осветленную воду из контактных осветлителей, должен быть на 100 мм выше уровня воды в сборном канале при промывке.

Трубопроводы отвода осветленной и промывной воды должны предусматриваться на отметках, исключающих возможность подтопления осветлителей во время рабочего цикла и при промывках.

Для опорожнения контактных осветлителей на нижней части коллектора распределительной системы должен предусматриваться трубопровод с запорным устройством диаметром, обеспечивающим скорость нисходящего потока воды в осветлителе не более 2 м/ч при наличии поддерживающих слоев и не более 0,2 м/ч - без поддерживающих слоев. При опорожнении осветлителей без поддерживающих слоев следует предусматривать устройства, исключающие вынос загрузки.

Контактные префильтры

9.108. Контактные префильтры следует применять при двухступенчатом фильтровании для предварительной очистки воды перед скорыми фильтрами (второй ступени).

Конструкция контактных префильтров аналогична конструкции контактных осветлителей с поддерживающими слоями и водовоздушной промывкой; при их проектировании следует руководствоваться 9.97 - 9.107. При этом площадь префильтров следует определять с учетом пропуска расхода воды на промывку скорых фильтров второй ступени.

9.109. При отсутствии технологических изысканий основные параметры контактных префильтров допускается принимать:

высоту слоев песка, при крупности зерен, мм:

от 2 до 5 мм - 0,5 - 0,6 м;

от 1 до 2 мм - 2 - 2,3 м.

Эквивалентный диаметр зерен песка: 1,1 - 1,3 мм, скорость фильтрования при нормальном режиме: 5,5 - 6,5 м/ч, скорость фильтрования при форсированном режиме: 6,5 - 7,5 м/ч.

9.110. Следует предусматривать смешение фильтрата одновременно работающих контактных префильтров перед подачей его на скорые фильтры.

Обеззараживание воды

9.111. Обеззараживание воды допускается осуществлять следующими методами:

хлорированием с применением жидкого хлора, растворов гипохлорита натрия, сухих реагентов или прямым электролизом;

двуокисью (диоксидом) хлора;

озонированием;

ультрафиолетовым облучением;

комплексным использованием перечисленных методов.

Выбор метода обеззараживания производится с учетом производительности очистных сооружений, а также условий поставки и хранения применяемых реагентов, климатических условий, особенностей распределительной водопроводной сети потребителя. (в ред. Изменения N 2, утв. Приказом Минстроя РФ от 30.12.2015 N 960/пр)

9.112. Принятый метод обеззараживания должен обеспечивать соответствие качества питьевой воды перед ее поступлением в распределительную сеть, а также в точках водоразбора наружной и внутренней водопроводной сети.

9.113. На подземных водозаборах производительностью более 50 м3/сут следует предусматривать системы (мероприятия) обеззараживания воды вне зависимости от соответствия исходной воды гигиеническим нормам.

9.114. В технологических и конструктивных решениях систем хозпитьевого водоснабжения необходимо предусматривать возможность дезинфекции сооружений и внутриплощадочных сетей.

9.115. Обеззараживание воды подземных водоисточников реагентными методами следует осуществлять, как правило, по одноступенчатой схеме с вводом реагента перед контактными резервуарами, а поверхностных - по двухступенчатой, с дополнительной точкой ввода перед смесителями.

Примечание - В случаях, когда за время транспортировки питьевой воды до первого потребителя не обеспечивается ее необходимый контакт с реагентом, допускается, по согласованию с территориальными органами ГСЭН, предусматривать точки ввода в водоводы 2-го подъема.

9.116. Использование жидкого хлора следует предусматривать на объектах при расходе хлора не менее 40 кг/сут.

9.117. Организация расходных складов жидкого хлора производится в соответствии с требованиями правил безопасности при производстве, хранении, транспортировании и применении хлора (ПБ), с учетом следующих дополнений:

хлорное хозяйство должно обеспечивать прием, хранение, отбор хлора, его дозирование и транспортировку к точкам ввода;

на очистных сооружениях, территория которых имеет ограждение, удовлетворяющее требованиям ПБ, дополнительное ограждение расходного склада затаренного хлора допускается не предусматривать.

9.118. Система отбора и дозирования хлора в обрабатываемую воду проектируется в соответствии с (ПБ) с учетом следующего:

при потреблении хлора должен осуществляться весовой учет его текущего расхода и степени опорожнения тары;

для дозирования газообразного хлора необходимо применять вакуумные хлораторы ручного или автоматического регулирования, имеющиеся в своем составе устройства, обеспечивающие автоматическое отключение подачи хлора в аппарат и исключающие поступление рабочей смеси в систему хлорирования при остановке эжектора;

не допускается работа одного эжектора на две или более точек ввода хлора, а также двух или более работающих эжекторов на одну линию хлорной воды;

количество резервных хлораторов принимается из условия не менее одного на два рабочих. При этом суммарная производительность установленных аппаратов должна обеспечивать двойное увеличение подачи хлора на время проведения аварийных и плановых работ, связанных с остановкой резервуаров питьевой воды и сокращением времени контакта хлора с обрабатываемой водой;

диаметр хлоропроводов следует принимать при расчетном расходе хлора с коэффициентом 3 с учетом объемной массы жидкого хлора 1,4 т/м3, газообразного - 0,0032 т/м3, скорости в трубопроводах 0,8 м/с для жидкого хлора, 10 - 15 для газообразного;

количество хлоропроводов (линий подачи хлора) должно быть не менее двух, один из которых - резервный. Количество запорной арматуры на хлоропроводах и связок между ними должно быть минимальным.

9.119. Электролитическое приготовление гипохлорита натрия следует предусматривать из раствора поваренной соли или естественных минерализованных вод с содержанием хлоридов не менее 40 г/л. (в ред. Изменения N 4, утв. Приказом Минстроя РФ от 21.01.2019 N 21/пр)

9.120. Способ хранения соли выбирается в зависимости от условий ее поставки. При объеме разовой поставки, превышающей 30-суточное потребление, следует предусматривать склады мокрого хранения соли из расчета 1 м3 объема солехранилища на 300 кг соли. Количество баков должно быть не менее двух.

Для хранения соли в количестве менее 30-суточной потребности допускается устройство складов сухого хранения в крытых помещениях. При этом слой соли не должен превышать 1,5 м.

При сухом хранении соли для получения ее насыщенного раствора предусматриваются расходные баки, размещаемые в помещении электролизной. При этом вместимость каждого бака должна обеспечивать не менее суточного запаса (потребности) раствора соли, а их количество - не менее двух.

9.121. Электролизеры должны располагаться в сухом отапливаемом и вентилируемом помещении. Допускается их установка в одном помещении с другим оборудованием электролизных. Количество электролизеров не должно быть более трех, один из которых - резервный. При обосновании допускается установка большего количества электролизеров. Помещения электролизных должны оборудоваться газоанализаторами (газосигнализаторами), а также индивидуальной системой вентиляции, исключающей скопление взрывоопасных газов. В помещении электролизной должна быть раковина самопомощи или аварийный душ. (в ред. Изменения N 2, утв. Приказом Минстроя РФ от 30.12.2015 N 960/пр)

Вместимость расходного бака гипохлорита должна обеспечивать не менее суточной потребности станции в реагенте. Должны обеспечиваться подвод воды и отвод сточных вод при их промывке и опорожнении.

9.122. Отбор гипохлорита натрия на потребление должен осуществляться из расходных баков дозирующими насосами, стойкими к дозируемой среде. На два рабочих насоса следует предусматривать не менее одного резервного. (в ред. Изменения N 2, утв. Приказом Минстроя РФ от 30.12.2015 N 960/пр)

9.123. Использование товарного гипохлорита натрия целесообразно на объектах, расположенных не далее 250 - 300 км от завода-поставщика. (в ред. Изменения N 2, утв. Приказом Минстроя РФ от 30.12.2015 N 960/пр)

При использовании химических гипохлоритов в технологической схеме необходимо предусматривать системы промывки трубопроводов и емкостей.

9.124. Для приготовления растворов из сухих хлорреагентов необходимо предусматривать расходные баки (не менее двух) общей вместимостью, определяемой из концентрации раствора 1 - 2% и одной заготовки в сутки. Баки должны оборудоваться мешалками. Для дозирования следует применять раствор, отстоянный не менее 12 часов. Следует предусматривать периодическое удаление осадка из баков и дозаторов.

Баки и трубопроводы для растворов соли и гипохлорита должны быть из коррозионно-стойких материалов или иметь антикоррозионное покрытие. Баки гипохлорита должны быть размещены в герметичном поддоне полезным объемом равным объему одного бака. Трубопроводная обвязка насосов-дозаторов должна предусматривать возможность возврата аварийного пролива продукта из поддона в баки гипохлорита. (в ред. Изменения N 2, утв. Приказом Минстроя РФ от 30.12.2015 N 960/пр)

9.125. Обеззараживание воды прямым электролизом следует применять при содержании хлоридов в воде не менее 40 мг/л и жесткости воды не более 7 мг-экв/л на станциях производительностью до 5000 м3/сут.

Установки для обеззараживания воды прямым электролизом должны располагаться в помещении рядом с трубопроводами, подающими воду в резервуары фильтрованной воды.

Необходимо предусмотреть резервную установку. (в ред. Изменения N 2, утв. Приказом Минстроя РФ от 30.12.2015 N 960/пр)

9.126. Для предотвращения образования хлорфенольного запаха или увеличения пролонгирующего действия хлора при длительном хранении и транспортировке питьевой воды необходимо предусмотреть ее аммонизацию.

Аммиак следует хранить в расходном складе в баллонах или в контейнерах с учетом требований [1], [10], [12]. (в ред. Изменения N 4, утв. Приказом Минстроя РФ от 21.01.2019 N 21/пр)

Оборудование аммиачного хозяйства необходимо предусматривать во взрывобезопасном исполнении.

Аммиачное хозяйство должно быть организовано аналогично хлорному и располагаться в отдельных помещениях. Допускается блокировка установки для аммонизации с зданиями хлорного хозяйства.

Установки для дозирования аммиака следует проектировать согласно 9.118. Ввод аммиака следует предусматривать в фильтрованную воду, при наличии фенола - за 2 - 3 мин до ввода хлорсодержащих реагентов.

9.127. Продолжительность контакта хлора с водой от момента смешения до поступления воды к ближайшему потребителю следует принимать в соответствии с СанПиН 2.1.4.1074.

9.128. В составе систем озонирования следует предусматривать устройства для синтеза озона, смешивания озоно-воздушной смеси с обрабатываемой водой и термической или термокаталитической деструкции не прореагировавшего газа. (в ред. Изменения N 2, утв. Приказом Минстроя РФ от 30.12.2015 N 960/пр)

9.129. Ориентировочную дозу озона следует принимать: для обеззараживания подземных вод - 0,75 - 1 мг/л, очищенной поверхностной воды - 1 - 3 мг/л. При этом должно быть обеспечено время контакта озона с обрабатываемой водой не менее 12 мин.

9.130. Озонаторные и другие производственные помещения, в которых возможен выход озона в окружающую среду, должны быть оборудованы газоанализаторами (газосигнализаторами) и системой вентиляции с учетом СанПиН 2.1.6.1032. (в ред. Изменения N 2, утв. Приказом Минстроя РФ от 30.12.2015 N 960/пр)

9.131. Производительность озонаторных установок рассчитывается по максимальному часовому расходу обрабатываемой воды.

9.132. Обеззараживание воды с помощью бактерицидного ультрафиолетового излучения следует применять для подземных вод при условии постоянного обеспечения требований СанПиН 2.1.4.1074 по физико-химическим показателям.

9.133. Количество рабочих бактерицидных установок следует определять исходя из их паспортной производительности. При этом количество рабочих установок должно приниматься по рекомендациям изготовителя оборудования.

9.134. Бактерицидные установки следует располагать, как правило, непосредственно перед подачей воды в сеть потребителям на напорных или всасывающих трубопроводах насосов.

9.135. Применение диоксида хлора следует предусматривать преимущественно для предварительной обработки воды. Хлорирование, которое может привести к избыточному образованию ТГМ, либо в случаях, когда другие методы обеззараживания являются неэффективными.

9.136. Размещение генераторов диоксида хлора производится в сухих отапливаемых помещениях, оборудованных системой хозяйственно-питьевого водопровода и общеобменной вентиляцией. Допускается их совмещение с блоками очистных сооружений.

9.137. При внедрении технологии генерации диоксида хлора с использованием в качестве исходного реагента жидкого хлора производственные помещения проектируются в соответствии с требованиями (ПБ).

Расчетные дозы реагента принимаются в зависимости от типа и качества обрабатываемой воды и не должны превышать 2 - 3 мг/л при обеспечении времени контакта не менее 30 мин. (в ред. Изменения N 2, утв. Приказом Минстроя РФ от 30.12.2015 N 960/пр)

Удаление органических веществ привкусов и запахов

9.138. При необходимости использования специальной обработки воды для удаления органических веществ, а также снижения интенсивности привкусов и запахов следует применять окисление и последующую сорбцию веществ, осуществляемую путем фильтрования воды через гранулированные активные (активированные) угли с периодической их регенерацией или заменой. (в ред. Изменения N 2, утв. Приказом Минстроя РФ от 30.12.2015 N 960/пр)

В случаях кратковременного использования активных (активированных) углей и при обосновании допускается применять их в виде порошка, вводимого в воду перед ее коагуляционной обработкой или перед фильтрами. (в ред. Изменения N 2, утв. Приказом Минстроя РФ от 30.12.2015 N 960/пр)

Примечание - При наличии в воде легкоокисляемых органических веществ в небольших концентрациях допускается по согласованию с органами санитарно-эпидемиологической службы применять одно окисление без сорбционной очистки при условии, если в результате окисления не образуются неблагоприятные в органолептическом отношении и вредные в токсикологическом отношении продукты.

9.139. Для удаления органических веществ из воды, снижения интенсивности привкусов и запахов в качестве окислителей следует применять хлор, перманганат калия, озон или их комбинации. Вид окислителя и его дозу следует устанавливать на основании данных технологических изысканий. Ориентировочно дозы окислителей допускается принимать по таблице 19.

Таблица 19

Рекомендуемые дозы различных окислителей при различных значениях перманганатной окисляемости воды

Перманганатная окисляемость воды, мг О2/л Доза окислителя, мг/л
хлора перманганата калия озона
8 - 10 4 - 8 2 - 4 1 - 3
10 - 15 8 - 12 4 - 6 3 - 5
15 - 25 12 - 14 6 - 10 5 - 8

9.140. Основные места ввода окислителей и последовательность введения реагентов следует принимать по таблице 20.

Примечание - Должна быть предусмотрена возможность изменения места ввода реагентов при эксплуатации сооружений.

Таблица 20

Перечень точек введения реагентов

Место ввода окислителей Последовательность введения реагентов в воду
1. Хлор перед сорбционной очисткой Хлорирование не менее чем за 2 мин до фильтрования через гранулированный активный (активированный) уголь или введения порошкообразного активного (активированного) угля
(в ред. Изменения N 2, утв. Приказом Минстроя РФ от 30.12.2015 N 960/пр)
2. Озон непосредственно перед сорбционной очисткой Озонирование с последующим фильтрованием через гранулированный активный (активированный) уголь или обработкой порошкообразным активным (активированным) углем
(в ред. Изменения N 2, утв. Приказом Минстроя РФ от 30.12.2015 N 960/пр)
3. Хлор перед коагулированием Первичное хлорирование, через 2 - 3 мин - коагулирование
4. Хлор и перманганат калия перед коагулированием Первичное хлорирование, через 10 мин введение перманганата калия, через 2 - 3 мин - коагулирование
5. Озон перед коагулированием Озонирование, последующее коагулирование
6. Хлор и озон перед коагулированием Первичное хлорирование с дозой в пределах хлоропоглощаемости воды, через 0,5 - 1 ч - озонирование и последующее коагулирование
7. Озон перед осветлительными фильтрами или в очищенную воду  

Допускается введение частей дозы окислителей перед сооружениями разного типа.

9.141. При невозможности введения реагентов с требуемыми разрывами во времени в трубопроводы или в основные технологические сооружения должны быть предусмотрены специальные контактные камеры.

9.142. Применение озона и перманганата калия в хозяйственно-питьевом водоснабжении не исключает необходимости хлорирования очищенной воды для ее обеззараживания.

9.143. В качестве загрузки сорбционных фильтров допускается применять активированные угли различных марок и другие сорбционные материалы по рекомендациям технологических изысканий.

Условия их применения, конструктивное и аппаратурное исполнение устанавливаются соответствующими организациями-производителями.

9.144. Вместимость баков с мешалкой для приготовления раствора перманганата калия следует определять исходя из концентрации раствора реагента 0,5 - 2% (по товарному продукту), при этом время полного растворения реагента следует принимать равным 4 - 6 ч при температуре воды 20 °C и 2 - 3 ч при температуре воды 40 °C.

9.145. Количество растворных или растворно-расходных баков для перманганата калия должно быть не менее двух (один резервный). Для дозирования раствора перманганата калия следует принимать дозаторы, предназначенные для работы на отстоянных растворах.

Обезжелезивание воды

9.146. Метод обезжелезивания воды, расчетные параметры и дозы реагентов следует принимать на основе результатов технологических изысканий, выполненных непосредственно у источника водоснабжения.

9.147. Обезжелезивание подземных вод следует предусматривать фильтрованием в сочетании с одним из способов предварительной обработки воды: упрощенной аэрацией, аэрацией на специальных устройствах, введением реагентов-окислителей.

Примечание - При обосновании допускается принимать другие методы.

9.148. Упрощенную аэрацию допускается применять при следующих показателях качества воды:

содержание железа (общего) до 10 мг/л;

в том числе двухвалентного (Fe2+) не менее 70%;

pH не менее 6,8;

щелочности более (1+Fe2+/28);

содержание сероводорода не более 2 мг/л.

9.149. Упрощенную аэрацию следует предусматривать изливом воды в карман или центральный канал открытых фильтров (высота излива над уровнем воды 0,5 - 0,6 м). При применении напорных фильтров следует предусматривать ввод воздуха в подающий трубопровод (расход воздуха 2 л на 1 г закисного железа).

При содержании в исходной воде свободной углекислоты более 40 мг/л и сероводорода более 0,5 мг/л следует перед напорными фильтрами предусматривать промежуточную емкость со свободным изливом в нее воды без ввода воздуха в трубопровод.

9.150. Аэрацию на специальных устройствах (аэраторах) или введение реагентов-окислителей следует принимать при необходимости увеличения количества удаляемого железа и повышения pH воды.

Конструкцию и расчетные параметры аэраторов следует принимать аналогично дегазаторам.

9.151. Расчетные дозы реагентов-окислителей следует принимать:

хлора , мг/л:

; (11)

перманганата калия , мг/л, считая по KMnO4:

. (12)

Ввод реагентов-окислителей следует производить в подающий трубопровод перед фильтрами.

9.152. Конструкцию фильтров для обезжелезивания подземных вод следует принимать аналогично фильтрам для осветления воды. Характеристику фильтрующего слоя и скорость фильтрования при упрощенной аэрации следует принимать по таблице 21 при использовании аэраторов или введении реагентов-окислителей - по рекомендациям производителей.

Таблица 21

Характеристика фильтрующего слоя и скорость фильтрования при упрощенной аэрации

Характеристика фильтрующих слоев при обезжелезивании воды упрощенной аэрацией Расчетная скорость фильтрования, м/ч
Минимальный диаметр зерен, мм Максимальный диаметр зерен, мм Эквивалентный диаметр зерен, мм Коэффициент неоднородности Высота слоя, мм
0,8 1,8 0,9 - 1,0 1,5 - 2,0 1000 5 - 7
1 2,0 1,2 - 1,3 1,5 - 2,0 1200 7 - 10

9.153. Обезжелезивание воды поверхностных источников следует предусматривать одновременно с ее осветлением и обесцвечиванием (9.2).

9.154. Система повторного использования промывных вод и устройства для обработки осадка станций обезжелезивания должны приниматься согласно 9.166 - 9.171.

Фторирование воды

9.155. Необходимость фторирования воды на хозяйственно-питьевые нужды в каждом отдельном случае определяется органами санитарно-эпидемиологической службы.

9.156. В качестве реагентов для фторирования воды следует применять кремнефтористый аммоний, кремнефтористоводородную кислоту, кремнефтористый натрий и фтористый натрий.

Примечание - При обосновании допускается по согласованию применение других фторосодержащих реагентов.

9.157. Ввод фторосодержащих реагентов следует предусматривать в чистую воду перед ее обеззараживанием. Допускается введение фторосодержащих реагентов перед фильтрами при двухступенчатой очистке воды. (в ред. Изменения N 2, утв. Приказом Минстроя РФ от 30.12.2015 N 960/пр)

9.158. Фторсодержащие реагенты следует хранить на складе в заводской таре. Кремнефтористоводородную кислоту следует хранить в баках с выполнением мероприятий, предотвращающих ее замерзание.

9.159. Помещение фтораторной установки и склада фторсодержащих реагентов должно быть изолировано от других производственных помещений.

Места возможного выделения пыли должны быть оборудованы местными отсосами воздуха, а растаривание кремнефтористого натрия и фтористого натрия должно производиться под защитой шкафного укрытия.

9.160. При применении фторсодержащих реагентов, учитывая их токсичность, необходимо предусматривать общие и индивидуальные мероприятия по защите обслуживающего персонала.

Удаление из воды марганца, фтора и сероводорода

9.161. Выбор методов очистки воды, расчетных параметров сооружений, а также вида и доз реагентов следует осуществлять на основании технологических изысканий, проводимых непосредственно у источника водоснабжения (для вод, содержащих избыточные количества марганца и сероводорода).

9.162. Очистку воды от марганца следует производить безреагентным методом или с применением реагентов.

В случае, если безреагентный метод не обеспечивает требуемую степень очистки, следует предусматривать обработку воды реагентами-окислителями (перманганат калия, озон и др.) с введением флокулянта и последующим фильтрованием.

При использовании подземных вод, в которых марганец присутствует совместно с железом, следует проверить возможность удаления его непосредственно в процессе обезжелезивания без дополнительного применения реагентов.

9.163. Обесфторивание воды следует производить методами контактно-сорбционной коагуляции или с использованием сорбента - активной окиси алюминия.

Метод контактно-сорбционной коагуляции следует применять при концентрации фтора в воде до 5 мг/л; с помощью сорбента (активной окиси алюминия) - при концентрации фтора до 10 мг/л.

При обосновании допускается применение других методов.

9.164. Для очистки воды от сероводорода следует применять аэрационный и химический методы. Аэрационный метод допускается применять при содержании сероводорода в воде до 3 мг/л, химический - до 10 мг/л.

При обосновании допускается применение других методов.

Умягчение воды

9.165. При умягчении на хозяйственно-питьевые нужды следует применять реагентные методы (известковый или известково-содовый) и метод частичного Na-катионирования.

Обработка промывных вод и осадка станций водоподготовки

9.166. Требования настоящего раздела распространяются на станции осветления, обезжелезивания и реагентного умягчения природных вод.

9.167. На станциях осветления и обезжелезивания воды фильтрованием промывные воды фильтровальных сооружений следует отстаивать. Осветленную воду следует равномерно перекачивать в трубопроводы перед смесителями или в смесители. Допускается использование осветленной воды для промывки контактных осветлителей с учетом требований 9.103.

На станциях осветления воды отстаиванием с последующим фильтрованием и на станциях реагентного умягчения промывные воды следует равномерно перекачивать в трубопроводы перед смесителями или в смесители с отстаиванием или без него в зависимости от качества воды.

9.168. Для улавливания песка, выносимого при промывке фильтров или контактных осветлителей, следует предусматривать песколовки.

9.169. Осадок от всех отстойных сооружений и реагентного хозяйства следует направлять на обезвоживание и складирование с предварительным сгущением или без него.

Осветленную воду, выделившуюся в процессе сгущения и обезвоживания осадков, следует направлять в трубопроводы перед смесителями или в смесители, а также допускается сбрасывать ее в водоток или водоем с учетом указаний 9.4 или на канализационные очистные сооружения.

При отсутствии предварительного хлорирования исходной воды повторно используемую воду следует хлорировать дозой от 2 до 4 мг/л.

9.170. В технологических схемах обработки промывных вод и осадка следует предусматривать следующие основные сооружения: резервуары, отстойники, сгустители, накопители или площадки депонирования, замораживания и подсушивания осадка. (в ред. Изменения N 2, утв. Приказом Минстроя РФ от 30.12.2015 N 960/пр)

Допускается применение альтернативных методов обезвоживания осадка и регенерации из него коагулянта. Операции по загрузке-выгрузке и транспортированию осадка должны быть максимально механизированы. (в ред. Изменения N 2, утв. Приказом Минстроя РФ от 30.12.2015 N 960/пр)

9.171. Условия применения и расчетные параметры сооружений для обработки промывных вод и осадка следует принимать на основании технико-экономического сравнения технологических решений.

Вспомогательные помещения станций водоподготовки

9.172. В зданиях станций водоподготовки необходимо предусматривать лаборатории, мастерские, бытовые и другие вспомогательные помещения.

Состав и площади помещений следует принимать в зависимости от назначения и производительности станции, а также источника водоснабжения.

Для станций подготовки воды на хозяйственно-питьевые нужды из поверхностных источников водоснабжения состав и площади помещений следует принимать по таблице 22.

Таблица 22

Примерные площади вспомогательных помещений для станций водоподготовки различной производительности

Помещения Площади, м2, лабораторий и вспомогательных помещений при производительности станций, м3/сут
менее 3000 3000 - 10000 10000 - 50000 50000 - 100000 100000 - 300000
1. Химическая лаборатория 30 30 40 40 2 комнаты 40 и 20
2. Весовая - - 6 6 8
3. Бактериологическая лаборатория автоклавная 20 20 20 30 2 комнаты 20 и 20
4. Средоварочная и моечная 10
10
10
10
10
10
15
15
15
15
5. Комната для гидробиологических исследований (при водоисточниках, богатых микрофлорой) - - 8 12 15
6. Помещение для хранения посуды и реактивов 10 10 10 15 20
7. Кабинет заведующего лабораторией - - 8 10 12
8. Местный пункт управления Назначается по проекту диспетчеризации и автоматизации
9. Комната для дежурного персонала 8 10 15 20 25
10. Контрольная лаборатория - 10 10 15 15
11. Кабинет начальника станции 6 6 15 15 25
12. Мастерская для текущего ремонта мелкого оборудования и приборов 10 10 15 20 25
13. Гардеробная, душ и санитарно-технический узел По СП 44.13330
14. Серверная 4 4 6 6 9
(в ред. Изменения N 2, утв. Приказом Минстроя РФ от 30.12.2015 N 960/пр)
Примечания
1. Допускается изменение площади лаборатории и вспомогательных помещений до 15% указанных в таблице в зависимости от строительных решений зданий.
(в ред. Изменения N 2, утв. Приказом Минстроя РФ от 30.12.2015 N 960/пр)
2. При централизованном контроле качества воды состав лабораторий и вспомогательных помещений может быть уменьшен по согласованию с органами санитарно-эпидемиологической службы.
3. При подаче потребителям подземной воды без подготовки с обеззараживанием ее хлором следует предусматривать только помещение площадью 6 м2 для проведения анализа на содержание остаточного хлора.
4. Для станций производительностью более 300000 м3/сут состав помещений следует устанавливать в каждом отдельном случае в зависимости от местных условий.

Склады реагентов и фильтрующих материалов

9.173. Склады реагентов следует рассчитывать на хранение 30-суточного запаса, считая по периоду максимального потребления реагентов, но не менее объема их разовой поставки.

Примечания

1. При обосновании объем складов допускается принимать на другой срок хранения, но не менее 15 сут. При наличии центральных (базисных) складов объем складов на станциях подготовки воды допускается принимать на срок хранения не менее 7 сут.

2. Условия приема разовой поставки не распространяются на склады хлора.

3. Требования настоящего раздела не распространяются на проектирование базисных складов.

9.174. Склад в зависимости от вида реагента следует проектировать на сухое или мокрое хранение в виде концентрированного раствора. При объемах разовой поставки, превышающих 30-суточное потребление реагентов, хранящихся в мокром виде, допускается устройство дополнительного склада для сухого хранения части реагента.

9.175. Сухое хранение реагента следует предусматривать в закрытых складах.

При определении площади склада для хранения коагулянта высоту слоя следует принимать 2 м, извести 1,5 м; при механизированной выгрузке высота слоя может быть увеличена: коагулянта до 3,5 м; извести до 3,5 м.

Хранение затаренных заводом-поставщиком реагентов следует предусматривать в таре.

Разгерметизация тары с хлорным железом и силикатом натрия, замораживание и хранение полиакриламида более 6 мес не допускается.

9.176. При мокром хранении коагулянта в растворных баках с получением в них концентрированного раствора (15 - 20%), в зависимости от конструкции баков и крепости раствора реагента объем баков следует определять из расчета 2,2 - 2,5 м3 на 1 т товарного неочищенного коагулянта.

Общая емкость растворных баков должна быть увязана с объемом разовой поставки реагента. Количество растворных баков должно быть не менее трех.

9.177. При месячном потреблении коагулянта более объема его разовой поставки часть реагента должна храниться в баках-хранилищах концентрированного раствора реагента, объем которых следует определять из расчета 1,5 - 1,7 м3 на 1 т товарного коагулянта.

Допускается размещение растворных баков и баков хранилищ вне здания. При этом должен быть обеспечен контроль за состоянием стен баков и предусмотрены мероприятия, исключающие проникновения раствора в грунт.

Должны быть приняты необходимые меры, исключающие смешение в емкостях реагентов гипохлорита натрия с коагулянтами или кислотами. (в ред. Изменения N 2, утв. Приказом Минстроя РФ от 30.12.2015 N 960/пр)

Количество баков-хранилищ должно быть не менее трех.

9.178. При использовании комовой извести следует предусматривать ее гашение и хранение в емкостях в виде теста 35 - 40% концентрации. Объем емкостей следует определять из расчета 3,5 - 5 м3 на 1 т товарной извести. Емкости для гашения следует размещать в изолированном помещении.

Допускается сухое хранение извести с последующим дроблением и гашением в известегасительных аппаратах.

При возможности централизованных поставок известкового теста или молока следует предусматривать их мокрое хранение.

9.179. Склад активного угля следует размещать в отдельном помещении. Требования взрывобезопасности к помещению склада не предъявляются, по пожарной опасности его следует относить к категории В согласно [1], [12]. (в ред. Изменения N 4, утв. Приказом Минстроя РФ от 21.01.2019 N 21/пр)

9.180. Помещение для хранения запаса катионита и анионита следует рассчитывать на объем загрузки двух катионитных фильтров, одного анионитного фильтра со слабоосновным и одного сильноосновным анионитом в случае его применения.

9.181. Склады для хранения реагентов (кроме хлора и аммиака) следует располагать вблизи помещений для приготовления их растворов и суспензий.

9.182. Емкость расходного склада хлора не должна превышать 100 т, одного полностью изолированного отсека - 50 т. Склад или отсек должен иметь два выхода с противоположных сторон здания и помещения.

Склад следует размещать в наземных или полузаглубленных (с устройством двух лестниц) зданиях.

Хранение хлора должно предусматриваться в баллонах или контейнерах; при суточном расходе хлора более 1 т допускается применять танки заводского изготовления вместимостью до 50 т, при этом розлив хлора в баллоны или контейнеры на станции запрещается.

В складе следует предусматривать устройства для транспортирования реагентов в нестационарной таре (контейнеры, баллоны).

Въезд в помещение склада автомобильного транспорта не допускается. Порожнюю тару следует хранить в помещении склада.

Сосуды с хлором должны размещаться на подставках или рамках, иметь свободный доступ для строповки и захвата при транспортировании.

9.183. В помещении склада хлора следует предусматривать емкость с нейтрализационным раствором для быстрого погружения аварийных контейнеров или баллонов. Расстояние от стенок емкости до баллона должно быть не менее 200 мм, до контейнера - не менее 500 мм, глубина должна обеспечить покрытие аварийного сосуда слоем раствора не менее 300 мм.

На дне емкости должны быть предусмотрены опоры, фиксирующие сосуд.

Для установки на весах контейнера или баллонов должны предусматриваться опоры для их фиксации.

Примечание - На проектирование расходных складов хлора с использованием танков настоящие нормы не распространяются.

9.184. Для поваренной соли следует применять склады мокрого хранения. Объем баков следует определять из расчета 1,5 м3 на 1 т соли. Допускается применение складов сухого хранения, при этом слой соли не должен превышать 2 м.

9.185. В случаях когда не обеспечено снабжение станции кондиционными фильтрующими материалами и гравием, следует предусматривать специальное хозяйство для хранения, дробления, сортировки, промывки и транспортирования материалов, необходимых для догрузки фильтров.

9.186. Расчет емкостей для хранения фильтрующих материалов и подбор оборудования следует производить из расчета 10%-ного ежегодного пополнения и обмена фильтрующей загрузки и дополнительного аварийного запаса на перегрузку одного фильтра при количестве их на станции до 20 и двух - при количестве.

9.187. Транспортирование фильтрующих материалов следует принимать гидротранспортом (эжекторами, водоструйными или пусковыми насосами). (в ред. Изменения N 2, утв. Приказом Минстроя РФ от 30.12.2015 N 960/пр)

Диаметр трубопровода для транспортирования пульпы следует определять из расчета скорости движения пульпы 1,5 - 2 м/с, но должен приниматься не менее 50 мм; повороты трубопровода следует предусматривать радиусом не менее 8 - 10 диаметров трубопровода.

На трубопроводных коммуникациях гидротранспорта фильтрующих материалов не должно быть тупиковых участков, а после завершения операций по гидротранспортированию, задействованные в процессе трубопроводные коммуникации необходимо промыть чистой водой. (в ред. Изменения N 2, утв. Приказом Минстроя РФ от 30.12.2015 N 960/пр)

9.188. Разгрузочные работы и транспортирование реагентов на складах и внутри станций должны быть механизированы.

Высотное расположение сооружений на станциях водоподготовки

9.189. Сооружения следует располагать по естественному уклону местности с учетом потерь напора в сооружениях, соединительных коммуникациях и измерительных устройствах. При проектировании подземных сооружений следует учитывать требования СП 248.1325800. (в ред. Изменения N 4, утв. Приказом Минстроя РФ от 21.01.2019 N 21/пр)

9.190. Величины перепадов уровней воды в сооружениях и соединительных коммуникациях должны определяться расчетами. Для предварительного расположения сооружений потери напора допускается принимать, м:

в сооружениях на сетчатых фильтрах - 0,4 - 0,6;

во входных (контактных) камерах - 0,3 - 0,5;

в устройствах ввода реагентов - 0,1 - 0,3;

в гидравлических смесителях - 0,5 - 0,6;

в механических смесителях - 0,1 - 0,2;

в гидравлических камерах хлопьеобразования - 0,4 - 0,5;

в механических камерах хлопьеобразования - 0,1 - 0,2;

в отстойниках - 0,7 - 0,8;

в осветлителях со взвешенным осадком - 0,7 - 0,8;

на скорых фильтрах - 3 - 3,5;

в контактных осветлителях и префильтрах - 2 - 2,5;

в установках УФ-обеззараживания - 0,5 - 0,8;

в соединительных коммуникациях:

от сетчатых барабанных фильтров или входных камер к смесителям - 0,2;

от смесителей к отстойникам, осветлителям со взвешенным осадком и контактным осветлителям - 0,3 - 0,4;

от отстойников, осветлителей со взвешенным осадком или префильтров к фильтрам - 0,5 - 0,6;

от фильтров или контактных осветлителей к резервуарам фильтровальной воды - 0,5 - 1,4.

9.191. На станциях водоподготовки должна предусматриваться система обводных коммуникаций, обеспечивающих возможность отключения отдельных сооружений, а также подачу воды при аварии минуя сооружения.

При производительности станций более 100 тыс. м3/сут обводные коммуникации допускается не предусматривать.

Мембранные аппараты и технологии

9.192. При проектировании технологических ступеней водоподготовки с использованием мембранных аппаратов (обратный осмос, нанофильтрация, ультрафильтрация и микрофильтрация) следует увеличивать производительность ступени на 15%.

9.193. Запрещено применение мембран и мембранных аппаратов, не допущенных к использованию в порядке, установленном действующим законодательством Российской Федерации.

Материалы мембран и применяемые реагенты, а также конструкции аппаратов, контактирующие с обрабатываемой водой, должны соответствовать требованиям 4.4.

9.194. При эксплуатации мембранных аппаратов необходимо создать оптимальные гидродинамические режимы, а поступающая исходная вода должна подвергаться предварительной очистке в соответствии с требованиями, указанными в описании и (или) инструкции по эксплуатации мембран. Для обратноосмотических мембранных элементов не допускается присутствие свободного хлора или других окислителей (перманганата, озона, брома, йода) в исходной воде.

9.195. В состав технологической ступени с мембранными аппаратами должны быть включены:

а) реагентное хозяйство для хранения, приготовления и дозирования растворов ингибиторов, регенерационных, промывочных, санирующих и нейтрализующих растворов реагентов с учетом указаний 9.15 и 9.17;

б) комплект оборудования по подготовке к утилизации полученных производственных отходов - концентратов и осадков. Должны быть предусмотрены зоны временного складирования и контейнеры для хранения отходов. Процессы загрузки-выгрузки отходов должны быть механизированы;

в) оборудование для осуществления всего комплекса промывочных операций мембранных аппаратов, включая насосы и узлы нейтрализации отработанных растворов.

9.196. При обеспечении промышленной безопасности мембранных аппаратов необходимо учитывать требования федеральных норм и правил [10] к оборудованию, работающему под избыточным давлением.

9.197. При выборе материалов трубопроводов, арматуры и резервуаров следует учитывать агрессивность пермеата обратноосмотических установок.

9.198. Для технико-экономических расчетов срок службы мембран следует принимать 4 года либо указанный изготовителем.

9.199. В целях обеспечения проектной работоспособности мембран необходимо неукоснительно выполнять правила хранения и монтажа.

9.200. К эксплуатации технологических ступеней, использующих мембранные технологии, следует допускать аттестованный персонал, прошедший соответствующую подготовку. (в ред. Изменения N 4, утв. Приказом Минстроя РФ от 21.01.2019 N 21/пр)

10 Насосные станции

10.1. Насосные станции по степени обеспеченности подачи воды следует подразделять на три категории, принимаемые в соответствии с 7.4.

Категорию насосных станций следует устанавливать в зависимости от функционального назначения в общей системе водоснабжения.

Примечания

1. При определении категорийности насосных станций противопожарного и объединенного противопожарного водопровода объектов, учитывать требования СП 8.13130.

2. Насосные станции, подающие воду по одному трубопроводу, а также на поливку или орошение, следует относить к III категории.

Для установленной категории насосной станции следует принимать такую же категорию надежности электроснабжения. (в ред. Изменения N 2, утв. Приказом Минстроя РФ от 30.12.2015 N 960/пр)

10.2. Выбрать тип насосов и число рабочих агрегатов следует на основании расчетов совместной работы насосов, водоводов, сетей, регулирующих емкостей, суточных и часовых графиков водопотребления в течение расчетного срока, с учетом сезонных, климатических, метеорологических и других влияний, условий пожаротушения, очередности ввода в действие объекта.

Число рабочих агрегатов следует оптимизировать (минимизировать) на основе технико-экономического расчета, в котором должны быть учтены затраты на мероприятия по комплексной автоматизации и обеспечению энергоэффективности.

Для подачи воды в районы питания, существенно отличающиеся друг от друга по характеру водопотребления, по требуемым напорам, по рельефу местности необходимо выделять отдельные группы насосов, обеспечивающие оптимальный (энергетически и технологически) режим работы для этих районов питания.

Следует исключать или минимизировать избыточные напоры, развиваемые насосами при различных режимах работы, за счет применения регуляторов давления, регулирующих емкостей, автоматизированного регулирования числа оборотов, изменения числа и типов насосов, обрезки или замены рабочих колес в соответствии с изменением условий их работы в течение расчетного срока.

Примечания

1. В машинных залах допускается установка групп насосов различного назначения.

2. В насосных станциях, подающих воду на хозяйственно-питьевые нужды, установка насосов, перекачивающих пахучие и ядовитые жидкости, запрещается, за исключением насосов, подающих раствор пенообразователя в систему пожаротушения.

3. Для заглубленных насосных станций с возможным затоплением при их авариях, требуется установка герметичных моноблочных насосов (типа "погружной") в исполнении "сухая установка". (в ред. Изменения N 2, утв. Приказом Минстроя РФ от 30.12.2015 N 960/пр)

10.3. В насосных станциях для группы насосов одного назначения, подающих воду в одну и ту же сеть или водоводы, количество резервных агрегатов следует принимать согласно таблице 23. Для увеличения производительности заглубленных насосных станций в перспективе следует предусматривать возможность замены насосов на большую или предусматривать резервные фундаменты для устройства дополнительных насосов.

Таблица 23

Количество резервных агрегатов в насосных станциях для различных категорий

Количество рабочих агрегатов одной группы Количество резервных агрегатов в насосной станции для категории
I II III
До 6 2 1 1
Более 6 2 1 + 1 на складе -
(в ред. Изменения N 2, утв. Приказом Минстроя РФ от 30.12.2015 N 960/пр)
Позиция исключена.
(в ред. Изменения N 2, утв. Приказом Минстроя РФ от 30.12.2015 N 960/пр)
Примечания
1. В количество рабочих агрегатов включаются пожарные насосы.
2. Количество рабочих агрегатов одной группы, кроме пожарных, должно быть не менее двух. В насосных станциях II и III категории при обосновании допускается установка одного рабочего агрегата.
3. При установке в одной группе насосов с разными характеристиками количество резервных агрегатов следует принимать для насосов большей производительности по настоящей таблице, а резервный насос меньшей производительности хранить на складе.
4. В насосных станциях водопроводов населенных пунктов с числом жителей до 5 тыс. чел при одном источнике электроснабжения следует устанавливать резервный пожарный насос с двигателем внутреннего сгорания и автоматическим запуском (от аккумуляторов).
5. Пункт исключен.
(в ред. Изменения N 2, утв. Приказом Минстроя РФ от 30.12.2015 N 960/пр)

Дополнительно к постоянным источникам энергоснабжения следует обеспечивать резервное (автономное) энергоснабжение. В качестве резервного энергоснабжения допускается предусматривать автономные источники (дизельные или газотурбинные электростанции, двигатели внутреннего сгорания, соединяемые непосредственно с насосами и т.п.). Мощность этих источников должна обеспечивать номинальную производительность насосной станции в соответствии с принятой категорией системы водоснабжения. (в ред. Изменения N 2, утв. Приказом Минстроя РФ от 30.12.2015 N 960/пр)

10.4. Отметку оси насосов следует определять из условия установки корпуса насосов под заливом: (в ред. Изменения N 2, утв. Приказом Минстроя РФ от 30.12.2015 N 960/пр)

при заборе воды из резервуара - от верхнего уровня (определяемого от дна) неприкосновенного пожарного запаса (НПЗ) воды при одном пожаре;

среднего уровня НПЗ - при двух и более пожарах;

от уровня аварийного объема при отсутствии пожарного и аварийного объемов;

от среднего уровня воды при отсутствии пожарного и аварийного объемов;

в водозаборной скважине - от динамического уровня подземных вод при максимальном водоотборе;

в водотоке или водоеме - от минимального уровня воды в них в зависимости от категории водозабора.

Примечание - В насосных станциях II (кроме подающих воду на пожаротушение) и III категорий допускается установка насосов не под заливом, при этом следует предусматривать вакуум-насосы и вакуум-котел.

10.5. Отметку пола машинных залов заглубленных насосных станций следует определять исходя из установки насосов большей производительности или габаритов с учетом 10.3.

В насосных станциях III категории допускается установка на всасывающем трубопроводе приемных клапанов диаметром до 200 мм.

10.6. Количество всасывающих линий к насосной станции независимо от числа и групп установленных насосов, включая пожарные, должно быть не менее двух.

При выключении одной линии остальные должны быть рассчитаны на пропуск полного расчетного расхода для насосных станций I и II категорий и 70% расчетного расхода для III категории.

Устройство одной всасывающей линии допускается для насосных станций III категории.

10.7. Количество напорных линий от насосных станций I и II категорий должно быть не менее двух. Для насосных станций III категории допускается устройство одной напорной линии.

10.8. Трубопроводная обвязка и размещение запорной арматуры на всасывающих и напорных трубопроводах должны обеспечивать возможность:

забора воды из любой из всасывающих линий при отключении любой из них каждым насосом;

замены или ремонта любого из насосов, обратных клапанов и основной запорной арматуры, а также проверки характеристики насосов без нарушения требований 10.4 по обеспеченности подачи воды;

подачи воды в каждую из напорных линий от каждого из насосов при отключении одной из всасывающих линий.

10.9. Напорная линия каждого насоса должна быть оборудована запорной арматурой и обратным клапаном, устанавливаемым между насосом и запорной арматурой. (в ред. Изменения N 2, утв. Приказом Минстроя РФ от 30.12.2015 N 960/пр)

В случае возможного возникновения гидравлического удара при остановке насоса, обратные клапаны должны иметь устройства, предотвращающие их быстрое закрытие ("захлопывание").

При установке монтажных вставок их следует размещать между запорной арматурой и обратным клапаном.

На всасывающих линиях каждого насоса запорную арматуру следует устанавливать у насосов, расположенных под заливом или присоединенных к общему всасывающему коллектору.

10.10. Диаметр труб, фасонных частей и арматуры следует принимать на основании технико-экономического расчета исходя из скоростей движения воды в пределах, указанных в таблице 24.

Таблица 24

Рекомендуемые скорости движения воды во всасывающих и напорных линиях

Диаметр труб, мм Скорости движения воды в трубопроводах насосных станций, м/с
всасывающие напорные
До 250 0,6 - 1 0,8 - 2
Св. 250 до 800 0,8 - 1,5 1 - 3
Св. 800 1,2 - 2 1,5 - 4

10.11. Размеры машинного зала насосной станции следует определять с учетом требований раздела 13.

10.12. Для уменьшения габаритов станции в плане допускается устанавливать насосы с правым и левым вращением вала, при этом рабочее колесо должно вращаться только в одном направлении.

10.13. Всасывающие и напорные коллекторы с запорной арматурой следует располагать в здании насосной станции.

10.14*. Трубопроводы в насосных станциях, а также всасывающие линии за пределами машинного зала, как правило, следует выполнять из стальных труб или труб ВЧШГ по ГОСТ ISO 2531 на сварке с применением фланцев для присоединения к арматуре и насосам. (в ред. Изменения N 4, утв. Приказом Минстроя РФ от 21.01.2019 N 21/пр)

При этом, необходимо предусматривать их крепление, обеспечивающее предотвращение опирания труб на насосы и взаимной передачи вибрации от насосов и узлов трубопроводов.

10.15. Конструкция и габариты приемных емкостей станций должны обеспечивать предотвращение условий образования в потоке перекачиваемой жидкости завихрений (турбулентности). Это может быть обеспечено заглублением всасывающего патрубка на два его диаметра относительно минимального уровня жидкости, но более чем на величину требуемого кавитационного запаса, устанавливаемого производителем насоса, а также расстоянием от створа всасывающего патрубка до ввода жидкости, до решеток, до сит и т.п. - не менее пяти диаметров патрубка. При параллельной работе групп насосов с подачей каждого агрегата более 315 л/с следует предусматривать потоконаправляющие стенки между насосами. (в ред. Изменения N 2, утв. Приказом Минстроя РФ от 30.12.2015 N 960/пр)

Диаметр всасывающего трубопровода должен быть больше диаметра всасывающего патрубка насоса. Переходы для горизонтально расположенных всасывающих трубопроводов должны быть эксцентричными с прямой верхней частью во избежание образования в них воздушных полей. Всасывающий трубопровод должен иметь непрерывный подъем к насосу не менее 0,005. (в ред. Изменения N 2, утв. Приказом Минстроя РФ от 30.12.2015 N 960/пр)

Расстояние от всасывающего патрубка насоса до ближайшего фитинга (отвода, арматуры и т.д.) должно быть не менее пяти диаметров трубы.

10.16. В заглубленных и полузаглубленных насосных станциях должны быть предусмотрены мероприятия против возможного затопления агрегатов при аварии в пределах машинного зала на самом крупном по производительности насосе, а также запорной арматуре или трубопроводе путем: расположения электродвигателей насосов на высоте не менее 0,5 м от пола машинного зала; самотечного выпуска аварийного количества воды в канализацию или на поверхность земли с установкой клапана или задвижки, откачки воды из приямка основными насосами производственного назначения.

Следует предусматривать один аварийный резервный насос в случае, если производительность основных аварийных насосов не позволяет осуществлять откачку за 2 часа объема воды в машинном зале слоем 0,5 м. (в ред. Изменения N 2, утв. Приказом Минстроя РФ от 30.12.2015 N 960/пр)

Примечание - При установке в машинном зале погружных (герметичных) насосов в "сухом" исполнении, условие высоты подъема фундамента над полом не обязательно.

10.17. Полы и каналы в машинном зале следует предусматривать с уклоном к сборному приямку.

На фундаментах под насосы следует предусматривать бортики, желобки и трубки для отвода воды.

При невозможности самотечного отвода воды из приямка следует предусматривать дренажные насосы.

10.18. В заглубленных насосных станциях, работающих в автоматическом режиме, при заглублении машинного зала 20 и более, а также в насосных станциях с постоянным персоналом при заглублении более 15 и следует предусматривать устройство пассажирского лифта с выполнением требований ГОСТ Р 58053. (в ред. Изменения N 4, утв. Приказом Минстроя РФ от 21.01.2019 N 21/пр)

10.19. В насосной станции независимо от степени ее автоматизации следует предусматривать санитарный узел (унитаз и раковину), помещение и шкафчик для хранения одежды эксплуатационного персонала (дежурной ремонтной бригады).

При расположении насосной станции на расстоянии не более 30 м от производственных зданий, имеющих санитарно-бытовые помещения, санитарный узел допускается не предусматривать.

В насосных станциях над водозаборными скважинами санитарный узел предусматривать не следует. Для насосной станции, расположенной вне населенного пункта или объекта устанавливаются туалетные кабины в пределах территории. (в ред. Изменения N 2, утв. Приказом Минстроя РФ от 30.12.2015 N 960/пр)

10.20. В отдельно расположенной насосной станции для производства мелкого ремонта следует предусматривать установку верстака.

10.21. В насосных станциях с двигателями внутреннего сгорания допускается размещать расходные емкости с жидким топливом (бензина до 250 л, дизельного топлива 500 л) с устройством герметичных поддонов, исключающих бесконтрольный пролив горюче-смазочных материалов.

Помещения и здания насосных станций должны иметь соответствующие категории по взрывопожарной и пожарной опасности, которые следует определять в соответствии с положениями [1], [12] и СП 12.13130. Требования к ограждающим конструкциям отделенных от машинного зала кладовых горючих материалов следует определять в соответствии с СП 4.13130. (в ред. Изменения N 4, утв. Приказом Минстроя РФ от 21.01.2019 N 21/пр)

10.22. В насосных станциях должна быть предусмотрена установка контрольно-измерительной аппаратуры в соответствии с указаниями разделе 14.

11 Водоводы, водопроводные сети и сооружения на них

11.1. Количество линий водоводов следует принимать с учетом категории обеспеченности подачи воды системы водоснабжения и очередности строительства.

11.2. При прокладке водоводов в две и более линий необходимость устройства переключений между ними следует определять в зависимости от количества независимых водозаборных сооружений или линий водоводов, подающих воду потребителю, при этом в случае отключения одного водовода или его участка общую подачу воды объекту на хозяйственно-питьевые нужды допускается снижать на 30% от расчетного расхода, на производственные нужды - по аварийному графику, на пожарные нужды - согласно требованиям [1], [12]. (в ред. Изменения N 4, утв. Приказом Минстроя РФ от 21.01.2019 N 21/пр)

11.3. При прокладке водовода в одну линию и подаче воды от одного источника должен быть предусмотрен объем воды на время ликвидации аварии на водоводе в соответствии с 11.5. При подаче воды от нескольких источников аварийный объем воды может быть уменьшен при условии выполнения требований 11.2.

11.4. Расчетное время ликвидации аварии на трубопроводах систем водоснабжения I категории следует принимать согласно таблице 25. Для систем водоснабжения II и III категорий указанное в таблице время следует увеличивать соответственно в 1,25 и в 1,5 раза.

Таблица 25

Расчетное время ликвидации аварий на трубопроводах различного диаметра и заложения

Диаметр труб, мм Расчетное время ликвидации аварий на трубопроводах, ч, при глубине заложения труб, м
до 2 более 2
До 400 8 12
Св. 400 до 1000 12 18
Св. 1000 18 24
Примечания
1. В зависимости от материала и диаметра труб, особенностей трассы водоводов, условий прокладки труб, наличия дорог, транспортных средств и средств ликвидации аварий указанное время может быть изменено, но должно приниматься не менее 6 ч.
2. Допускается увеличивать время ликвидации аварии при условии, что длительность перерывов подачи воды и снижения ее подачи не будет превосходить пределов, указанных в 7.4.
3. При необходимости дезинфекции трубопроводов после ликвидации аварии указанное в таблице время следует увеличивать на 12 ч.
4. Время ликвидации аварии, указанное в таблице: включает и время локализации аварии, т.е. отключение аварийного участка от остальной сети. Для систем I, II, III категорий это время не должно превышать, соответственно, 1 ч, 1,25 ч и 1,5 ч после обнаружения аварии.

11.5. Водопроводные сети должны быть кольцевыми. Тупиковые линии водопроводов допускается применять:

для подачи воды на производственные нужды - при допустимости перерыва в водоснабжении на время ликвидации аварии;

для подачи воды на хозяйственно-питьевые нужды - при диаметре труб не свыше 100 мм;

для подачи воды на противопожарные или на хозяйственно-противопожарные нужды независимо от расхода воды на пожаротушение - при длине линий не свыше 200 м; (в ред. Изменения N 4, утв. Приказом Минстроя РФ от 21.01.2019 N 21/пр)

для подачи воды на противопожарные или на хозяйственно-противопожарные нужды - при длине линий свыше 200 м с выполнением условий, сформулированных в примечании пункта 8.4 СП 8.13130.2009. (в ред. Изменения N 4, утв. Приказом Минстроя РФ от 21.01.2019 N 21/пр)

Кольцевание наружных водопроводных сетей внутренними водопроводными сетями зданий и сооружений не допускается.

Примечание - В населенных пунктах с числом жителей до 5 тыс. чел. и расходом воды на пожаротушение до 10 л/с или при количестве внутренних пожарных кранов в здании до 12 допускаются тупиковые линии длиной более 200 м, при условии устройства противопожарных резервуаров или водоемов, водонапорной башни или контррезервуара в конце тупика.

11.6. При выключении одного участка (между расчетными узлами) суммарная подача воды на хозяйственно-питьевые нужды по остальным линиям должна быть не менее 70% расчетного расхода, а подача воды к наиболее неблагоприятно расположенным местам водоотбора - не менее 25% расчетного расхода воды, при этом свободный напор должен быть не менее 10 м.

11.7. Устройство сопроводительных линий для присоединения попутных потребителей допускается при диаметре магистральных линий и водоводов 800 мм и более и транзитном расходе не менее 80% суммарного расхода; для меньших диаметров - при обосновании.

При ширине проездов более 20 м допускается прокладка дублирующих линий, исключающих пересечение проездов вводами.

В этих случаях установку пожарных гидрантов следует вести согласно пунктам СП 8.13130.

При ширине улиц в пределах красных линий 60 м и более следует рассматривать также вариант прокладки сетей водопровода по обеим сторонам улиц.

11.8. Соединение сетей хозяйственно-питьевых водопроводов с сетями водопроводов, подающих воду непитьевого качества, не допускается.

Примечание - В исключительных случаях, по согласованию с органами санитарно-эпидемиологической службы, допускается использование хозяйственно-питьевого водопровода в качестве резерва для водопровода, подающего воду непитьевого качества. Конструкция перемычки в этих случаях должна обеспечивать воздушный разрыв между сетями и исключать возможность обратного тока воды.

11.9. На водоводах и линиях водопроводной сети в необходимых случаях следует предусматривать установку:

поворотных затворов (задвижек) для выделения ремонтных участков;

клапанов для впуска и выпуска воздуха при опорожнении и заполнении трубопроводов;

клапанов для впуска и защемления воздуха;

вантузов для выпуска воздуха в процессе работы трубопроводов;

компенсаторов;

монтажных вставок;

обратных клапанов или других типов клапанов автоматического действия для включения ремонтных участков;

регуляторов давления;

аппаратов для предупреждения повышения давления при гидравлических ударах или при неисправности регуляторов давления.

На трубопроводах диаметром 800 мм и более допускается устройство разгрузочных камер или установку аппаратуры, предохраняющих водоводы при всех возможных режимах работы от повышения давления выше предела, допустимого для принятого типа труб.

Примечания

1. Применение задвижек взамен поворотных затворов допускается в случае необходимости систематической очистки внутренней поверхности трубопроводов специальными агрегатами.

2. Трубопроводная арматура, устанавливаемая в оперативных целях, должна оснащаться электроприводом с дистанционным управлением.

11.10. Длину ремонтных участков водоводов следует принимать: при прокладке водоводов в две и более линии и при отсутствии переключений - не более 5 км; при наличии переключений - равной длине участков между переключениями, но не более 5 км; при прокладке водоводов в одну линию - не более 3 км.

Примечание - Разделение водопроводной сети на ремонтные участки должно обеспечивать при выключении одного из участков отключение не более пяти пожарных гидрантов и подачу воды потребителям, не допускающим перерыва в водоснабжении.

При обосновании длина ремонтных участков водоводов может быть увеличена.

11.11. Клапаны автоматического действия для впуска и выпуска воздуха должны предусматриваться в повышенных переломных точках профиля и в верхних граничных точках ремонтных участков водоводов и сети для предотвращения образования в трубопроводе вакуума, величина которого превосходит допустимую для принятого вида труб, а также для удаления воздуха из трубопровода при его заполнении.

При величине вакуума, не превосходящей допустимую, могут применяться клапаны с ручным приводом.

Взамен клапанов автоматического действия для впуска и выпуска воздуха допускается предусматривать клапаны автоматического действия для впуска и защемления воздуха с клапанами (затворами, задвижками) с ручным приводом или вантузами - в зависимости от расхода удаляемого воздуха.

11.12. Вантузы следует предусматривать в повышенных переломных точках профиля на воздухосборниках. Диаметр воздухосборника следует принимать равным диаметру трубопровода, высоту 200 - 500 мм в зависимости от диаметра трубопровода.

При обосновании допускается применять воздухосборники других размеров.

Диаметр запорной арматуры, отключающей вантуз от воздухосборника, следует принимать равным диаметру присоединительного патрубка вантуза.

Требуемая пропускная способность вантузов должна определяться расчетом или приниматься равной 4% максимального расчетного расхода воды, подаваемого по трубопроводу, считая по объему воздуха при нормальном атмосферном давлении.

Если на водоводе имеется несколько повышенных переломных точек профиля, то во второй и последующих точках (считая по ходу движения воды) требуемую пропускную способность вантузов допускается принимать равной 1% максимального расчетного расхода воды при условии расположения данной переломной точки ниже первой или выше ее не более чем на 20 м и на расстоянии от предшествующей не более 1 км.

Примечание - При уклоне нисходящего участка трубопровода (после переломной точки профиля) 0,005 и менее вантузы не предусматриваются; при уклоне в пределах 0,005 - 0,01 в переломной точке профиля взамен вантуза допускается предусматривать на воздухосборнике кран (вентиль).

11.13. Водоводы и водопроводные сети следует проектировать с уклоном не менее 0,001 по направлению к выпуску; при плоском рельефе местности уклон допускается уменьшать до 0,0005.

11.14. Выпуски следует предусматривать в пониженных точках каждого ремонтного участка, а также в местах выпуска воды от промывки трубопроводов.

Диаметры выпусков и устройства для впуска воздуха должны обеспечивать опорожнение участков водоводов или сети не более чем за 2 ч.

Конструкция выпусков и устройства для промывки трубопроводов должна обеспечивать возможность создания в трубопроводе скорости движения воды не менее 1,1 максимальной расчетной.

В качестве запорной арматуры на выпусках следует использовать поворотные затворы.

Примечание - При гидропневматической промывке минимальная скорость движения смеси (в местах наибольших давлений) должна быть не менее 1,2 максимальной скорости движения воды, расход воды - 10 - 25% объемного расхода смеси.

11.15. Отвод воды от выпусков следует предусматривать в ближайший водосток, канаву, овраг и т.п. При невозможности отвода всей выпускаемой воды или части ее самотеком допускается сбрасывать воду в колодец с последующей откачкой.

В сельских населенных пунктах отвод воды от выпусков при промывке трубопроводов следует предусматривать в ближайшую закрытую систему ливневой канализации, лоток, канаву, овраг и т.п. (в ред. Изменения N 5, утв. Приказом Минстроя РФ от 23.12.2019 N 838/пр)

В пределах городов отвод воды должен производиться в закрытую систему ливневой канализации. (в ред. Изменения N 5, утв. Приказом Минстроя РФ от 23.12.2019 N 838/пр)

Допускается применение лотков (открытых и перекрытых решеткой), размеры которых принимают исходя из расчетных расходов сбрасываемой воды с учетом пункта 12.11 СП 42.13330.2016. (в ред. Изменения N 5, утв. Приказом Минстроя РФ от 23.12.2019 N 838/пр)

11.16*. Компенсаторы следует предусматривать:

- на трубопроводах, стыковые соединения которых не компенсируют осевые перемещения, вызываемые изменением температуры воды, воздуха, грунта;

- на стальных трубопроводах, прокладываемых в тоннелях, каналах или на эстакадах (опорах);

- на трубопроводах в условиях возможной просадки грунта.

Трубопроводы из ВЧШГ с раструбными соединениями под уплотнительное резиновое кольцо не требуют устройства компенсаторов.

Трубопроводы из стеклокомпозитов с муфтовыми и раструбными соединениями не требуют устройства компенсаторов. (в ред. Изменения N 3, утв. Приказом Минстроя РФ от 24.05.2018 N 307/пр)

Расстояния между компенсаторами и неподвижными опорами следует определять расчетом, учитывающим их конструкцию. При подземной прокладке водоводов, магистралей и линий сети из стальных труб со сварными стыками компенсаторы следует предусматривать в местах установки чугунной фланцевой арматуры. В тех случаях, когда чугунная фланцевая арматура защищена от воздействия осевых растягивающих усилий жесткой заделкой стальных труб в стенки колодца, устройством специальных упоров или обжатием труб уплотненным грунтом, компенсаторы допускается не устанавливать.

На трубопроводах из ВЧШГ, полимерных и стеклокомпозитных материалов с муфтовыми и раструбными соединениями, способными к компенсации осевых перемещений трубопровода, компенсаторы допускается не устанавливать. (в ред. Изменения N 4, утв. Приказом Минстроя РФ от 21.01.2019 N 21/пр)

11.17. Монтажные вставки следует принимать для демонтажа, профилактического осмотра и ремонта фланцевой запорной, предохранительной и регулирующей арматуры.

11.18. Запорная арматура на водоводах и линиях водопроводной сети должна быть с ручным или механическим приводом (от передвижных средств).

Применение на водоводах запорной арматуры с электрическим или гидропневматическим приводом допускается при дистанционном или автоматическом управлении.

11.19. Радиус действия водозаборной колонки следует принимать не более 100 м. Вокруг водозаборной колонки следует предусматривать отмостку шириной 1 м с уклоном 0,1 от колонки.

11.20*. Выбирать материал и класс прочности труб для водоводов и водопроводных сетей следует на основании технико-экономического, статического и гидравлического расчетов, коррозионной агрессивности грунта и транспортируемой воды, а также условий обеспечения надежности и долговечности работы трубопроводов и требований к качеству воды.

Для напорных водоводов и сетей следует применять трубы и фасонные части, изготовленные из чугуна (в т.ч. ВЧШГ по ГОСТ 6942 и ГОСТ ISO 2531), стали, напорного железобетона, напорного хризотилцемента по ГОСТ 31416, полимеров и стеклокомпозитов, соответствующих требованиям действующих стандартов.

Соединение трубопроводов из различных материалов допускается только с применением соединительных элементов в пределах конструкций сооружений.

Не требуют установки бетонных упоров водоводы из труб:

- ВЧШГ с раструбными замковыми соединениями типов "RJ" и "RJS";

- стеклокомпозитных с резьбовыми соединениями, муфтовыми блокирующими и раструбными блокирующими соединениями;

- полимерных, соединенных деталями с закладными нагревателями или деталями, изготовленными методом литья под давлением. (в ред. Изменения N 4, утв. Приказом Минстроя РФ от 21.01.2019 N 21/пр)

Водоводы из стеклокомпозитных труб с резьбовыми соединениями, муфтовыми блокирующими и раструбными блокирующими соединениями не требуют установки бетонных упоров. (в ред. Изменения N 3, утв. Приказом Минстроя РФ от 24.05.2018 N 307/пр)

Трубы из ВЧШГ с раструбными замковыми соединениями "RJ" и "RJS" применяют при прокладке:

- на слабых грунтах, в том числе II типа с возможной просадкой более 20 см в соответствии с требованиями СП 66.13330 - в сложных рельефах местности, в районах с высокой транспортной нагрузкой (аэропорты, улицы и перекрестки с интенсивным движением);

- в неустойчивых и болотистых грунтах, в гористой местности;

- в условиях многолетней мерзлоты; (в ред. Изменения N 4, утв. Приказом Минстроя РФ от 21.01.2019 N 21/пр)

- в сейсмически опасных районах;

- дюкеров;

- вертикальных трубопроводов;

- под железными и автомобильными дорогами, через водные преграды и овраги;

- в местах пересечения хозяйственно-питьевого водопровода с сетями канализации;

- трубопроводов по автодорожным и городским мостам, по опорам, эстакадам и в тоннелях;

- бестраншейными методами.

Стеклокомпозитные трубы применяют при прокладке:

- на участках с расчетным внутренним давлением до 3,2 МПа;

- на слабых грунтах, в том числе II типа с возможной просадкой более 20 см;

- в неустойчивых и болотистых грунтах, в гористой местности;

- в условиях многолетней мерзлоты; (в ред. Изменения N 4, утв. Приказом Минстроя РФ от 21.01.2019 N 21/пр)

- в сейсмически опасных районах;

- дюкеров;

- вертикальных трубопроводов;

- под железными и автомобильными дорогами, через водные преграды, по дну морей и оврагов;

- в местах пересечения хозяйственно-питьевого водопровода с сетями канализации;

- трубопроводов по автодорожным и городским мостам, по опорам, эстакадам и в тоннелях. (в ред. Изменения N 3, утв. Приказом Минстроя РФ от 24.05.2018 N 307/пр)

Для стеклокомпозитных трубопроводов применяют стеклокомпозитные фитинги по ГОСТ 54560, ГОСТ Р 55068 и ГОСТ Р 53201 (тройники, отводы, переходы и т.д.). При обосновании допускается применение стальных фитингов с цементно-песчаным покрытием и чугунных фитингов. (в ред. Изменения N 3, утв. Приказом Минстроя РФ от 24.05.2018 N 307/пр)

Трубы ВЧШГ с соединениями "TYTON" применяются на слабых грунтах только при устройстве упоров, препятствующих расстыковке трубопровода в соответствии с требованиями СП 66.13330.

Стальные трубы применяют:

- на участках с расчетным внутренним давлением более 1,5 МПа; (в ред. Изменения N 4, утв. Приказом Минстроя РФ от 21.01.2019 N 21/пр)

- под железными и автомобильными дорогами, через водные преграды и овраги;

- в местах пересечения хозяйственно-питьевого водопровода с сетями канализации;

- при прокладке трубопроводов по автодорожным и городским мостам, по опорам, эстакад и в тоннелях.

Стальные трубы должны принимать с антикоррозионной изоляцией, экономичных сортаментов со стенкой, толщину которой должны определять расчетом, с учетом условий работы трубопроводов, но не менее 3 мм для труб и соединительных деталей номинальным диаметром 200 мм и менее, и не менее 4 мм - номинальным диаметром свыше 200 мм.

Для железобетонных и хризотилцементных трубопроводов применяют металлические фасонные части.

Материал труб, применяемых в системах хозяйственно-питьевого водоснабжения должен соответствовать требованиям 4.4. Фасонные части для трубопроводов следует применять по ГОСТ ISO 2531, ГОСТ 6942, ГОСТ 31416, ГОСТ 32590, ГОСТ Р 54560, ГОСТ Р 55068 и ГОСТ Р 53201. (в ред. Изменения N 2, утв. Приказом Минстроя РФ от 30.12.2015 N 960/пр, Изменения N 3, утв. Приказом Минстроя РФ от 24.05.2018 N 307/пр)

11.21. Величину расчетного внутреннего давления следует принимать равной наибольшему возможному по условиям эксплуатации давлению в трубопроводе на различных участках по длине (при наиболее невыгодном режиме работы) без учета повышения давления при гидравлическом ударе или с повышением давления при ударе с учетом действия противоударной арматуры, если это давление в сочетании с другими нагрузками (11.25) окажет на трубопровод воздействие.

Статический расчет следует производить на воздействие расчетного внутреннего давления, давления грунта, временных нагрузок, собственной массы труб и массы транспортируемой жидкости, атмосферного давления при образовании вакуума и внешнего гидростатического давления грунтовых вод в тех комбинациях, которые оказываются наиболее опасными для труб данного материала.

Трубопроводы или их участки должны подразделяться по степени ответственности на следующие классы:

трубопроводы для объектов I категории обеспеченности подачи воды, а также участки трубопроводов в зонах перехода через водные преграды и овраги, железные и автомобильные дороги I и II категорий и в местах, труднодоступных для устранения возможных повреждений, для объектов II и III категорий обеспеченности подачи воды;

трубопроводы для объектов II категории обеспеченности подачи воды (за исключением участков I класса), а также участки трубопроводов, прокладываемые под усовершенствованными покрытиями автомобильных дорог, для объектов III категории обеспеченности подачи воды;

все остальные участки трубопроводов для объектов III категории обеспеченности подачи воды.

11.22*. Значение испытательного давления на различных испытательных участках, которому должны подвергать трубопроводы перед сдачей в эксплуатацию, следует указывать в проектах организации строительства, исходя из прочностных показателей материала и класса труб, принятых для каждого участка трубопровода, расчетного внутреннего давления воды и значений внешних нагрузок, воздействующих на трубопровод в период испытания.

Расчетное значение испытательного давления не должно превышать следующих величин для трубопроводов из:

- чугунных труб (из серого чугуна) со стыковыми соединениями на резиновых манжетах для труб всех классов - внутреннее расчетное давление с коэффициентом 1,5, но не менее 1,5 МПа и не более 0,6 заводского испытательного гидравлического давления; (в ред. Изменения N 4, утв. Приказом Минстроя РФ от 21.01.2019 N 21/пр)

- стеклокомпозитных труб всех классов - внутреннее расчетное давление с коэффициентом 1,5 и не более 1,5 номинального давления трубы; (в ред. Изменения N 3, утв. Приказом Минстроя РФ от 24.05.2018 N 307/пр)

- железобетонных и хризотилцементных труб - гидростатического давления, предусмотренного стандартами на трубы соответствующих классов при отсутствии внешней нагрузки;

- труб из ВЧШГ и стальных - внутреннего расчетного давления с коэффициентом 1,25, но не более заводского испытательного давления труб;

- полимерных труб - внутреннего расчетного давления с коэффициентом 1,3. (в ред. Изменения N 4, утв. Приказом Минстроя РФ от 21.01.2019 N 21/пр)

11.23*. Чугунные (из серого чугуна), неметаллические трубопроводы должны быть рассчитаны на совместное воздействие расчетного внутреннего давления и расчетной приведенной внешней нагрузки. (в ред. Изменения N 2, утв. Приказом Минстроя РФ от 30.12.2015 N 960/пр)

Трубы из ВЧШГ, стальные, стеклокомпозитные и полимерные трубопроводы должны быть рассчитаны на воздействие внутреннего давления в соответствии с 11.22* и на совместное действие внешней приведенной нагрузки и атмосферного давления, а также на устойчивость круглой формы поперечного сечения труб. (в ред. Изменения N 2, утв. Приказом Минстроя РФ от 30.12.2015 N 960/пр, Изменения N 3, утв. Приказом Минстроя РФ от 24.05.2018 N 307/пр)

Уменьшение диаметра стальных труб без внутренних защитных покрытий не должно превышать 3%, а для стальных труб с внутренними защитными покрытиями, а также стеклокомпозитных и полимерных труб должно приниматься по стандартам или техническим условиям на эти трубы. (в ред. Изменения N 3, утв. Приказом Минстроя РФ от 24.05.2018 N 307/пр, Изменения N 4, утв. Приказом Минстроя РФ от 21.01.2019 N 21/пр)

Уменьшение диаметра труб из высокопрочного чугуна с шаровидным графитом с внутренним защитным покрытием не должно превышать:

- 3% - для диаметров до 450 мм;

- от 3% - до 4% для диаметров от 450 до 700 мм;

- 4% - для диаметров от 800 до 1000 мм.

При определении величины вакуума следует учитывать действие предусмотренных на трубопроводе противовакуумных устройств.

11.24. В качестве временных нагрузок следует принимать:

для трубопроводов, укладываемых под железнодорожными путями - нагрузку, соответствующую классу данной железнодорожной линии;

для трубопроводов, укладываемых под автомобильными дорогами, - от колонны автомобилей Н-30 или колесного транспорта НК-80 (по большему силовому воздействию на трубопровод);

для трубопроводов, укладываемых в местах, где возможно движение автомобильного транспорта - от колонны автомобилей Н-18 или гусеничного НГ-60 (по большему силовому воздействию на трубопровод);

для трубопроводов, укладываемых в местах, где движение автомобильного транспорта невозможно - равномерно распределенную нагрузку 5 кПа. (в ред. Изменения N 4, утв. Приказом Минстроя РФ от 21.01.2019 N 21/пр)

11.25. При расчете трубопроводов на повышение давления при гидравлическом ударе (определенное с учетом противоударной арматуры или образования вакуума) внешнюю нагрузку следует принимать не более нагрузки от колонны автомобилей Н-18.

Для стеклокомпозитных труб при расчете предельно допустимого давления с учетом гидравлического удара необходимо проверять номинальное давление трубы по формуле

, (13)

где - рабочее давление трубопровода, атм;

- давление гидравлического удара в трубопроводе, атм. (в ред. Изменения N 3, утв. Приказом Минстроя РФ от 24.05.2018 N 307/пр)

11.26. Повышение давления при гидравлическом ударе следует определять расчетом и на его основании принимать меры защиты.

Меры защиты систем водоснабжения от гидравлических ударов следует предусматривать для случаев:

внезапного выключения всех или группы совместно работающих насосов вследствие нарушения электропитания;

выключения одного из совместно работающих насосов до закрытия поворотного затвора (задвижки) на его напорной линии;

пуска насоса при открытом поворотном затворе (задвижке) на напорной линии, оборудованной обратным клапаном;

механизированного закрытия поворотного затвора (задвижки) при выключении водовода в целом или его отдельных участков;

открытия или закрытия быстродействующей водоразборной арматуры.

11.27. В качестве мер защиты от гидравлических ударов, вызываемых внезапным выключением или включением насосов, следует принимать:

установку на водоводе клапанов для впуска и защемления воздуха;

установку на напорных линиях насосов обратных клапанов с регулируемым открытием и закрытием;

установку на водоводе обратных клапанов, расчленяющих водовод на отдельные участки с небольшим статическим напором на каждом из них;

сброс воды через насосы в обратном направлении при их свободном вращении или полном торможении;

установку в начале водовода (на напорной линии насоса) воздушно-водяных камер (колпаков), смягчающих процесс гидравлического удара.

Примечание - Для защиты от гидравлического удара, допускается применять: установку гасителей, сброс воды из напорной линии во всасывающую, впуск воды в местах возможного образования разрывов сплошности потока в водопроводе, установку глухих диафрагм, разрушающихся при повышении давления сверх допустимого предела, устройство водонапорных колонн, использование насосных агрегатов с большей инерцией вращающихся масс.

11.28. Защита трубопроводов от повышения давления, вызываемого закрытием поворотного затвора (задвижки), должна обеспечиваться увеличением времени этого закрытия. При недостаточном времени закрытия затвора с принятым типом привода следует принимать дополнительные меры защиты (установка предохранительных клапанов, воздушных колпаков, водонапорных колонн и др.).

11.29. Водопроводные линии следует принимать подземной прокладки. При теплотехническом и технико-экономическом обосновании допускается наземная и надземная прокладки на опорах, прокладка в тоннелях, а также прокладка водопроводных линий в тоннелях совместно с другими подземными коммуникациями с учетом положений СП 248.1325800 и СП 265.1325800, за исключением трубопроводов, транспортирующих легковоспламеняющиеся и горючие жидкости и горючие газы. (в ред. Изменения N 2, утв. Приказом Минстроя РФ от 30.12.2015 N 960/пр, Изменения N 3, утв. Приказом Минстроя РФ от 24.05.2018 N 307/пр, Изменения N 4, утв. Приказом Минстроя РФ от 21.01.2019 N 21/пр)

При совместной прокладке в проходном канале, хозяйственно-питьевой водопровод следует прокладывать выше канализационных трубопроводов.

При подземной прокладке запорная, регулирующая и предохранительная арматура должна устанавливаться в колодцах (камерах).

Бесколодезная установка запорной арматуры применяется при обосновании. (в ред. Изменения N 2, утв. Приказом Минстроя РФ от 30.12.2015 N 960/пр)

11.30. Тип основания под трубы необходимо принимать в зависимости от несущей способности грунтов и величины нагрузок.

Во всех грунтах, за исключением скальных, заторфованных и илов, трубы следует укладывать на естественный грунт ненарушенной структуры, обеспечивая при этом выравнивание, а в необходимых случаях профилирование основания.

Для скальных грунтов следует предусматривать выравнивание основания слоем песчаного грунта толщиной 10 см над выступами. Допускается использование для этих целей местного грунта (супесей и суглинков) при условии уплотнения его до объемного веса скелета грунта 1,5 т/м3.

При прокладке трубопроводов в мокрых связанных грунтах (суглинок, глины) необходимость устройства песчаной подготовки устанавливается проектом производства работ в зависимости от предусматриваемых мер по водопонижению, а также от типа и конструкции труб.

В илах, заторфованных и других слабых водонасыщенных грунтах трубы необходимо укладывать на искусственное основание или использовать несъемную опалубку. (в ред. Изменения N 3, утв. Приказом Минстроя РФ от 24.05.2018 N 307/пр)

11.31*. В случаях применения стальных труб и труб из ВЧШГ должна предусматриваться защита их внешней и внутренней поверхности от коррозии. При этом следует применять материалы, указанные в 4.4.

Для стеклокомпозитных и полимерных труб дополнительных мер по защите от коррозии внутренних и внешних поверхностей не требуется. (в ред. Изменения N 3, утв. Приказом Минстроя РФ от 24.05.2018 N 307/пр)

11.32*. Выбор методов защиты внешней поверхности стальных труб и труб из ВЧШГ от коррозии должен быть обоснован данными о коррозионных свойствах грунта, а также данными о возможности коррозии, вызываемой блуждающими токами.

Для стеклокомпозитных и полимерных труб дополнительных мер по защите внутренних и внешних поверхностей не требуется. (в ред. Изменения N 3, утв. Приказом Минстроя РФ от 24.05.2018 N 307/пр)

11.33*. В целях исключения коррозии и зарастания водоводов и водопроводной сети, изготовленных из стальных труб и труб из ВЧШГ, должна быть предусмотрена защита внутренней поверхности таких трубопроводов покрытиями: цементно-песчаным, лакокрасочным, цинковым, полимерным и др., СП 72.13330. (в ред. Изменения N 2, утв. Приказом Минстроя РФ от 30.12.2015 N 960/пр)

При этом следует учитывать требования, указанные в 4.4.

Примечание - Стабилизационную обработку воды или обработку ее ингибиторами применяют в тех случаях, когда технико-экономические расчеты с учетом качества, расхода и назначения воды подтверждают целесообразность такой защиты трубопроводов от коррозии.

11.34. Защиту от коррозии бетона цементно-песчаных покрытий труб со стальным сердечником от воздействия сульфат-ионов следует предусматривать изоляционными покрытиями.

11.35. Для железобетонных труб со стальным сердечником следует предусматривать защиту от коррозии, вызываемой блуждающими токами.

11.36. Для железобетонных труб со стальным сердечником имеющих наружный слой бетона плотностью ниже нормальной с допустимой шириной раскрытия трещин при расчетных нагрузках 0,2 мм, необходимо предусматривать электрохимическую защиту трубопроводов катодной поляризацией при концентрации хлор-ионов в грунте более 150 мг/л; при нормальной плотности бетона и допустимой ширине раскрытия трещин 0,1 мм - более 300 мг/л.

11.37*. При проектировании трубопроводов из стальных, чугунных (из серого чугуна) и железобетонных труб всех видов необходимо предусматривать мероприятия, обеспечивающие непрерывную электрическую проводимость этих труб для возможности устройства электрохимической защиты от коррозии.

Примечание - При обосновании допускается установка изолирующих фланцев.

При проектировании трубопроводов из ВЧШГ применение электрохимической защиты от коррозии обязательно в тех случаях, когда есть металлическая связь между трубами (фланцевые и сварные соединения) и они находятся в зоне опасного действия блуждающих токов. Для соединения труб ВЧШГ на резиновых уплотнительных манжетах защита от электрохимической коррозии не требуется.

11.38. Катодную поляризацию труб со стальным сердечником следует проектировать так, чтобы создаваемые на поверхности металла защитные поляризационные потенциалы, измеренные в специально устраиваемых контрольно-измерительных пунктах, были не ниже 0,85 В и не выше 1,2 В по медно-сульфатному электроду сравнения.

11.39. При электрохимической защите труб со стальным сердечником с помощью протекторов величину поляризационного потенциала следует определять по отношению к медно-сульфатному электроду сравнения, установленному на поверхности трубы, а при защите с помощью катодных станций - по отношению к медно-сульфатному электроду сравнения, расположенному в грунте.

11.40. Глубину заложения труб по низу трубы следует определять:

- для диаметров до 500 мм включительно - по формуле

,

где - расчетная глубина промерзания грунта, м;

d - диаметр трубы, мм;

- для диаметров свыше 500 мм - по формуле

.

Примечание - Уменьшение глубины заложения труб допускается при обеспечении мероприятий, исключающих: замерзание арматуры, устанавливаемой на трубопроводе; недопустимое снижение пропускной способности трубопровода в результате образования льда на внутренней поверхности труб; повреждение труб и их стыковых соединений в результате замерзания воды, деформации грунта и температурных напряжений в материале стенок труб; образование в трубопроводе ледяных пробок при перерывах подачи воды, связанных с повреждением трубопроводов. При необходимости прокладки трубопроводов в зоне отрицательных температур материал труб и элементов стыковых соединений должен удовлетворять требованиям морозоустойчивости. (в ред. Изменения N 5, утв. Приказом Минстроя РФ от 23.12.2019 N 838/пр)

11.41. Расчетную глубину проникания в грунт нулевой температуры следует устанавливать на основании наблюдений за фактической глубиной промерзания в расчетную холодную и малоснежную зиму и опыта эксплуатации трубопроводов в данном районе с учетом возможного изменения ранее наблюдавшейся глубины промерзания в результате намечаемых изменений в состоянии территории (удаление снежного покрова, устройство усовершенствованных дорожных покрытий и т.п.).

При отсутствии данных наблюдений глубину проникания в грунт нулевой температуры и возможное ее изменение в связи с предполагаемыми изменениями в благоустройстве территории следует определять теплотехническими расчетами.

11.42. Для предупреждения нагревания воды в летнее время глубину заложения трубопроводов хозяйственно-питьевых водопроводов следует принимать не менее 0,5 м, считая до верха труб. Допускается принимать меньшую глубину заложения водоводов или участков водопроводной сети при условии обоснования теплотехническими расчетами. (в ред. Изменения N 2, утв. Приказом Минстроя РФ от 30.12.2015 N 960/пр)

11.43. При определении глубины заложения водоводов и водопроводных сетей при подземной прокладке следует учитывать внешние нагрузки от транспорта и условия пересечения с другими подземными сооружениями и коммуникациями.

В зоне прохождения водопроводных труб динамическая и статическая нагрузка не должна превышать допустимую. (в ред. Изменения N 5, утв. Приказом Минстроя РФ от 23.12.2019 N 838/пр)

11.44*. Выбор диаметров труб водоводов и водопроводных сетей следует производить на основании гидравлического, технико-экономических расчетов, учитывая при этом условия их работы при аварийном выключении отдельных участков.

Диаметр труб водопровода, объединенного с противопожарным принимается согласно СП 8.13130.

11.45. Величину гидравлического уклона для определения потерь напора в трубопроводах при транспортировании воды, не имеющей резко выраженных коррозионных свойств и не содержащей взвешенных примесей, отложение которых может приводить к интенсивному зарастанию труб, следует принимать на основании справочных данных.

11.46. Для существующих сетей и водоводов при необходимости следует предусматривать мероприятия по восстановлению и сохранению пропускной способности путем очистки внутренней поверхности стальных труб и нанесения антикоррозионного защитного покрытия или восстановления (реновации) существующих трубопроводов с применением стеклокомпозитных труб; в исключительных случаях по согласованию, при технико-экономическом обосновании допускается принимать фактические потери напора. (в ред. Изменения N 3, утв. Приказом Минстроя РФ от 24.05.2018 N 307/пр)

11.47. При проектировании новых и реконструкции существующих систем водоснабжения следует предусматривать приспособления и устройства для систематического определения гидравлического сопротивления трубопроводов на контрольных участках водоводов и сети.

11.48. Минимальные расстояния по горизонтали (в свету) от наружной поверхности линий водопровода до зданий, сооружений и сетей инженерно-технического обеспечения должны приниматься согласно СП 18.13330 и СП 42.13330.

На отдельных участках прокладки сетей водопровода, в том числе по застроенной территории и на территории промышленных предприятий, допускается уменьшать расстояния по горизонтали (в свету) до сетей инженерно-технического обеспечения при условии обоснования прочностным расчетом, обеспечения сохранности при эксплуатации, производстве строительных и ремонтных работ, авариях.

Мероприятия по обеспечению условий, исключающих возможность повреждения водопроводных и смежно расположенных сетей инженерно-технического обеспечения (укладка труб на искусственное основание, в обоймах, футлярах, коммуникационных коллекторах или при применении других способов прокладки), определяются проектной документацией.

При пересечении сетей водопровода с другими сетями инженерно-технического обеспечения минимальные расстояния по вертикали (в свету) должны приниматься согласно СП 18.13330.

В местах пересечения трубопроводов холодного водоснабжения с канализацией допускается уменьшение расстояния по вертикали (в свету) в земле до 0,2 м при условии выполнения мероприятий по защите водопровода от залива бытовыми стоками при аварии (футляры, обоймы). Длину футляров (обойм) следует принимать не менее чем на 2 м в каждую сторону от места пересечения, считая от наружной поверхности труб.

В этом случае размещать трубопровод водоснабжения допускается под сетями канализации.

Примечание - Расстояние между трубами измеряется от наружной поверхности теплоизоляции.

При бесканальной прокладке трубопроводов горячего водоснабжения допускается уменьшение расстояния от наружной поверхности теплоизоляции этих трубопроводов до расположенных ниже и выше канализационных трубопроводов до 0,2 м в свету при условии выполнения мероприятий по защите трубопровода от повреждения и перегрева (футляры, обоймы, теплоизоляция).

Длину футляров (обойм) следует принимать не менее чем на 2 м в каждую сторону от места пересечения, считая от наружной поверхности труб.

Для железобетонных и хризотилцементных труб следует предусматривать дополнительную наружную гидроизоляцию для защиты от проникновения стоков через влагоемкую стенку трубы. (в ред. Изменения N 5, утв. Приказом Минстроя РФ от 23.12.2019 N 838/пр)

11.48а. Расстояние от подземных сетей водоснабжения до деревьев, кустарников, растений, высаженных в кадках, защитных прикорневых барьеров должны определяться согласно СП 42.13330.

Для защиты сетей водоснабжения от корней деревьев и кустарников при новом строительстве в стесненных условиях должна включать следующие мероприятия: перенаправление или ограничение роста корней в направлении сетей с устройством прикорневых барьеров, применение обойм, футляров.

В условиях сложившейся городской застройки, при размещении новых и ремонте существующих сетей водоснабжения вдоль пешеходных аллей, дорог, тротуаров с линейными посадками деревьев рекомендуется применять технические решения для защиты инженерных сетей от корней деревьев, позволяющие перенаправлять рост корней в нужном направлении, либо ограничивать их рост с определенной стороны (линейные мембраны, трубы-футляры и пр.) вдоль всей трассы сети для предотвращения роста корней в данном направлении.

Защита корней деревьев, в отношении которых применены устройства ограничения роста корней, должна включать мероприятия по дополнительному питанию и поливу деревьев по [14] и ГОСТ Р 57368. (в ред. Изменения N 5, утв. Приказом Минстроя РФ от 23.12.2019 N 838/пр)

11.49. При параллельной прокладке нескольких линий водоводов (заново или дополнительно к существующим) расстояние в плане между наружными поверхностями труб следует устанавливать с учетом производства и организации работ и необходимости защиты от повреждений смежных трубопроводов при аварии на одном из них:

- при допускаемом снижении подачи воды потребителям, предусмотренном 11.2, - по таблице 26* в зависимости от материала труб, внутреннего давления и геологических условий;

- при наличии в конце водоводов запасной емкости, допускающей перерывы в подаче воды, объем которой отвечает требованиям 11.6, - по таблице 26* как для труб, укладываемых в скальных грунтах.

На отдельных участках прокладки сетей водопровода, в том числе по застроенной территории и на территории промышленных предприятий расстояния, приведенные в таблице 26*, допускается уменьшать при условии обоснования прочностным расчетом, обеспечения сохранности при эксплуатации, производстве строительных и ремонтных работ, авариях.

Мероприятия по обеспечению условий, исключающих возможность повреждения соседних водоводов (укладка труб на искусственное основание, в обоймах, футлярах, коммуникационных коллекторах или при применении других способов прокладки), определяются проектной документацией.

Увеличение расстояния между водоводами относительно значений, приведенных в таблице 26*, должно быть обосновано расположением и габаритами камер и колодцев. (в ред. Изменения N 5, утв. Приказом Минстроя РФ от 23.12.2019 N 838/пр)

Таблица 26*

Расстояния между трубами при прокладке в грунтах различного вида

Материал труб Диаметр, мм Вид грунта (по номенклатуре СП 35.13330)
Скальный грунт Грунт крупнообломочной породы, песок гравелистый, песок крупный, глины Песок средней крупности, песок мелкий, песок пылеватый, супеси, суглинки, грунты с примесью растительных остатков, заторфованные грунты
Давление, МПа
1 > 1 1 > 1 1 > 1
Расстояния в плане между наружными поверхностями труб, м
Стальные ВЧШГ До 400 0,7 0,7 0,9 0,9 1,2 1,2
Стальные ВЧШГ Св. 400 до 1000 1 1 1,2 1,5 1,5 2
Стальные ВЧШГ Св. 1000 1,5 1,5 1,7 2 2 2,5
Чугунные (из серого чугуна) До 400 1,5 2 2 2,5 3 4
Чугунные (из серого чугуна) Св. 400 2 2,5 2,5 3 4 5
Железобетонные До 600 1 1 1,5 2 2 2,5
Железобетонные Св. 600 1,5 1,5 2 2,5 2,5 3
Хризотилцементные (по ГОСТ 31416) До 500 1,5 2 2,5 3 4 5
(в ред. Изменения N 4, утв. Приказом Минстроя РФ от 21.01.2019 N 21/пр)
Полимерные До 600 1,2 1,2 1,4 1,7 1,7 2,2
(в ред. Изменения N 2, утв. Приказом Минстроя РФ от 30.12.2015 N 960/пр)
Полимерные Св. 600 1,6 - 1,8 - 2,2 -
(в ред. Изменения N 2, утв. Приказом Минстроя РФ от 30.12.2015 N 960/пр)
Примечания
1 При параллельной укладке нескольких стеклокомпозитных трубопроводов в одной траншее расстояние между стенками соседних труб определяется в зависимости от глубины заложения:
- до 4 м - по выражению (D1 + D2)/6, где D1 и D2 - внешние диаметры соседних труб;
- свыше 4 м - по выражению (D1 + D2)/4, но не менее 150 мм или ширины уплотнительного оборудования (виброплиты, вибротрамбовки, катки, траншейные уплотнители).
2 Для полимерных труб в зависимости от их типа расстояние между водоводами определяется исходя из технических характеристик и требований по монтажу и эксплуатации, приведенных в паспорте изделия, но не менее 1,5 м.
(в ред. Изменения N 5, утв. Приказом Минстроя РФ от 23.12.2019 N 838/пр)

(в ред. Изменения N 4, утв. Приказом Минстроя РФ от 21.01.2019 N 21/пр)

11.50. При прокладке водопроводных линий в тоннелях расстояния от стенки трубы до внутренней поверхности ограждающих конструкций и стенок других трубопроводов следует принимать не менее 0,2 м; при установке на трубопроводе арматуры расстояния до ограждающих конструкций следует принимать согласно 11.62.

11.51*. Переходы трубопроводов под железными дорогами I, II и III категорий, общей сети, а также под автомобильными дорогами I и II категорий следует принимать в футлярах, при этом следует предусматривать закрытый способ производства работ. При обосновании допускается предусматривать прокладку трубопроводов в тоннелях. (в ред. Изменения N 2, утв. Приказом Минстроя РФ от 30.12.2015 N 960/пр)

Под остальными железнодорожными путями и автодорогами допускается устройство переходов трубопроводов без футляров, при этом должны применяться стальные трубы, трубы из ВЧШГ, стеклокомпозитные трубы и открытый способ производства работ. (в ред. Изменения N 2, утв. Приказом Минстроя РФ от 30.12.2015 N 960/пр, Изменения N 3, утв. Приказом Минстроя РФ от 24.05.2018 N 307/пр)

Примечания

1. Прокладка трубопроводов по железнодорожным мостам и путепроводам, пешеходным мостам над путями, в железнодорожных, автодорожных и пешеходных туннелях, а также в водопропускных трубах не допускается.

2. Футляры и тоннели под железными дорогами при открытом способе производства работ следует проектировать согласно СП 35.13330.

3. При обосновании допускается футляры и водонесущие сети выполнять из стеклокомпозитных труб или полимерных труб повышенной прочности. (в ред. Изменения N 3, утв. Приказом Минстроя РФ от 24.05.2018 N 307/пр)

11.52. Расстояние по вертикали от подошвы рельса железнодорожного пути или от покрытия автомобильной дороги до верха трубы, футляра или тоннеля должно приниматься согласно СП 42.13330.

Заглубление трубопроводов в местах переходов при наличии пучинистых грунтов должно определяться теплотехническим расчетом с целью исключения морозного пучения грунта.

11.53. Расстояние в плане от обреза футляра, а в случае устройства в конце футляра колодца - от наружной поверхности стены колодца должно приниматься:

при пересечении железных дорог - 8 м от оси крайнего пути, 5 м от подошвы насыпи, 3 м от бровки выемки и от крайних водоотводных сооружений (кюветов, нагорных канав, лотков и дренажей);

при пересечении автомобильных дорог - 3 м от бровки земляного полотна или подошвы насыпи, бровки выемки, наружной бровки нагорной канавы или другого водоотводного сооружения.

Расстояние в плане от наружной поверхности футляра или тоннеля следует принимать не менее:

3 м - до опор контактной сети;

10 м - до стрелок, крестовин и мест присоединения отсасывающего кабеля к рельсам электрифицированных дорог;

40 м - до мостов, водопропускных труб, тоннелей и других искусственных сооружений. (в ред. Изменения N 2, утв. Приказом Минстроя РФ от 30.12.2015 N 960/пр)

Примечание - Расстояние от обреза футляра (тоннеля) следует уточнять в зависимости от наличия кабелей междугородной связи, сигнализации и др., уложенных вдоль дорог.

11.54. Независимо от способа производства работ (закрытый/открытый) внутренний диаметр футляра следует принимать не менее чем на 200 мм больше наружного диаметра трубопровода.

Примечание - В одном футляре или туннеле допускается укладка нескольких трубопроводов, а также совместная прокладка трубопроводов и коммуникаций (электрические кабели, кабели связи и т.п.). (в ред. Изменения N 2, утв. Приказом Минстроя РФ от 30.12.2015 N 960/пр)

11.55. Переходы трубопроводов над железными дорогами должны предусматриваться в футлярах на специальных эстакадах с учетом требований 11.53 и 11.57.

Примечание - При устройстве футляра из стеклокомпозитных труб дополнительные мероприятия по устройству защиты от блуждающих токов не требуются. (в ред. Изменения N 3, утв. Приказом Минстроя РФ от 24.05.2018 N 307/пр)

11.56. При пересечении электрифицированной железной дороги должны быть предусмотрены мероприятия по защите металлических труб от коррозии, вызываемой блуждающими токами. (в ред. Изменения N 2, утв. Приказом Минстроя РФ от 30.12.2015 N 960/пр)

11.57. При проектировании переходов через железные дороги I, II и III категорий общей сети, а также автомобильные дороги I и II категорий должны предусматриваться мероприятия по предотвращению подмыва или подтопления дорог при повреждении трубопроводов.

При этом на трубопроводе с обеих сторон перехода под железными дорогами следует предусматривать колодцы с установкой в них запорной арматуры. (в ред. Изменения N 2, утв. Приказом Минстроя РФ от 30.12.2015 N 960/пр)

11.58. Проект перехода через железные и автомобильные дороги должен согласовываться с соответствующими органами управления железнодорожного и автомобильного транспорта.

11.59*. При переходе трубопроводов через водотоки количество линий дюкера должно быть не менее двух; при выключении одной линии по остальным должна обеспечиваться подача 100%-ного расчетного расхода воды. Линии дюкера должны укладываться:

- из стальных труб с усиленной антикоррозионной изоляцией, защищенной от механических повреждений;

- стеклокомпозитных труб с муфтовыми блокирующими, раструбными блокирующими, муфтовыми резьбовыми, раструбными резьбовыми, резьбовыми клеевыми, муфтовыми клеевыми, раструбными клеевыми соединениями;

- труб из ВЧШГ с раструбными замковыми соединениями. (в ред. Изменения N 3, утв. Приказом Минстроя РФ от 24.05.2018 N 307/пр)

Проект дюкера через судоходные водотоки должен согласовываться с органами управления речным флотом.

Глубина укладки подводной части трубопровода до верха трубы должна быть не менее 0,5 м ниже дна водотока, а в пределах фарватера на судоходных водотоках - не менее 1 м. При этом следует учитывать возможность размыва и переформирования русла водотока.

Для стеклокомпозитных труб в качестве материала засыпки вокруг трубы и обратной засыпки над трубой следует использовать щебень различных фракций. (в ред. Изменения N 3, утв. Приказом Минстроя РФ от 24.05.2018 N 307/пр)

Расстояние между линиями дюкера в свету должно быть не менее 1,5 м.

Уклон наклона восходящей части дюкера следует принимать не более 20° к горизонту.

По обе стороны дюкера необходимо предусматривать устройство колодцев и переключений с установкой запорной арматуры.

Отметка планировки у колодцев дюкера должна приниматься на 0,5 м выше максимального уровня воды в водотоке обеспеченностью 5%.

Примечание - Допускается, при обосновании, применение труб из других материалов (полимерных и др.). (в ред. Изменения N 2, утв. Приказом Минстроя РФ от 30.12.2015 N 960/пр)

11.60. При строительстве напорных водоводов следует определять расчетами необходимость применения во всех местах изменения направления (повороты, тройники), во всех местах изменения диаметра (переходы), на каждом конце (глухие фланцы) укрепительных упоров для компенсации сил осевого давления и предотвращения расстыковки соединений. (в ред. Изменения N 4, утв. Приказом Минстроя РФ от 21.01.2019 N 21/пр)

На сварных трубопроводах упоры следует предусматривать при расположении поворотов в колодцах или угле поворота в вертикальной плоскости выпуклости вверх 30° и более.

Примечание - На трубопроводах из раструбных труб или соединяемых муфтами с рабочим давлением до 1 МПа при углах поворота до 10° упоры допускается не предусматривать. (в ред. Изменения N 4, утв. Приказом Минстроя РФ от 21.01.2019 N 21/пр)

Для стеклокомпозитных труб с муфтовыми и раструбными соединениями требуется установка упоров на всех углах поворотов. (в ред. Изменения N 3, утв. Приказом Минстроя РФ от 24.05.2018 N 307/пр)

11.61. При определении размеров колодцев минимальные расстояния до внутренних поверхностей колодца следует принимать:

от стенок труб при диаметре труб до 400 мм - 0,3 м, от 500 до 600 мм - 0,5 м, более 600 мм - 0,7 м;

от плоскости фланца при диаметре труб до 400 мм - 0,3 м, более 400 мм - 0,5 м;

от края раструба, обращенного к стене, при диаметре труб до 300 мм - 0,4 м, более 300 мм - 0,5 м;

от низа трубы до дна при диаметре труб до 400 мм - 0,25 м, от 500 до 600 мм - 0,3 м, более 600 мм - 0,35 м;

от верха штока задвижки с выдвижным шпинделем - 0,3 м, от маховика задвижки с невыдвижным шпинделем - 0,5 м.

Высота рабочей части колодцев должна быть не менее 1,5 м.

При размещении в колодце пожарного гидранта должна обеспечиваться возможность установки в нем пожарной колонки.

11.62. В случаях установки на водоводах клапанов для впуска воздуха, размещаемых в колодцах, необходимо предусматривать устройство вентиляционной трубы, которая в случае подачи по водоводам воды питьевого качества должна оборудоваться фильтром.

11.63. Для спуска в колодец на горловине и стенках колодца следует предусматривать установку рифленых стальных или чугунных скоб, допускается применение стационарных и переносных металлических лестниц. Для стационарных лестниц и скоб следует предусматривать усиленную антикоррозийную защиту или полимерные покрытия. (в ред. Изменения N 4, утв. Приказом Минстроя РФ от 21.01.2019 N 21/пр)

Для обслуживания арматуры в колодцах при необходимости следует предусматривать площадки согласно 13.7.

11.64. В районах с суровыми и наиболее суровыми климатическими условиями в колодцах необходимо предусматривать установку вторых утепляющих крышек. Предусматривать люки с запорными устройствами, а также установку вторых утепляющих крышек (для районов с наименее суровыми климатическими условиями согласно СП 131.13330) необходимо при наличии соответствующих требований в техническом задании и/или в технических условиях. (в ред. Изменения N 2, утв. Приказом Минстроя РФ от 30.12.2015 N 960/пр, в ред. Изменения N 4, утв. Приказом Минстроя РФ от 21.01.2019 N 21/пр)

12 Резервуары для хранения воды

12.1. Резервуары в системах водоснабжения в зависимости от назначения должны включать регулирующий, пожарный, аварийный и контактный объемы воды.

12.2. Размещение резервуаров по территории водоснабжения, их высотное расположение и объемы должны определяться при разработке схемы и системы водоснабжения на основании результатов гидравлических и оптимизационных расчетов, входящих в систему сооружений и устройств, выполненных в соответствии с требованиями, изложенными в 7.9, а также с учетом положений СП 8.13130. (в ред. Изменения N 2, утв. Приказом Минстроя РФ от 30.12.2015 N 960/пр)

В качестве резервуаров допускается использование подземных, наземных и надземных резервуаров, баки водонапорных башен, а также баки, располагаемые на крышах зданий, чердаках и промежуточных технических этажах.

Резервуары могут быть выполнены из бетона, стали, стеклокомпозитных и полимерных материалов, при этом стеклокомпозитные и полимерные резервуары для питьевой воды подлежат санитарно-эпидемиологическому надзору (контролю) согласно [11]. Проектирование и монтаж резервуаров из полимерных материалов следует проводить с учетом рекомендаций [7] и производителей. (в ред. Изменения N 4, утв. Приказом Минстроя РФ от 21.01.2019 N 21/пр)

Резервуары (баки), в которых хранится только аварийный запас, допускается располагать на отметках, при которых вода из резервуара может поступать в сеть только при снижении нормального свободного напора в сети до аварийного. Такие резервуары или баки должны быть оборудованы переливными устройствами на случай несрабатывания обратного клапана, отделяющего резервуар (бак) от сети.

В резервуарах при станциях водоподготовки следует учитывать дополнительно объем воды на промывку фильтров. (в ред. Изменения N 2, утв. Приказом Минстроя РФ от 30.12.2015 N 960/пр)

Примечание - При обосновании в резервуаре допускается предусматривать объем воды для регулирования не только часовой, но суточной неравномерности водопотребления.

12.3. При подаче воды по одному водоводу в резервуарах следует предусматривать:

аварийный объем воды, обеспечивающий в течение времени ликвидации аварии на водоводе (11.4) расход воды на хозяйственно-питьевые нужды в размере 70% расчетного среднечасового водопотребления и производственные нужды по аварийному графику;

дополнительный объем воды на пожаротушение принимается согласно СП 8.13130. (в ред. Изменения N 4, утв. Приказом Минстроя РФ от 21.01.2019 N 21/пр)

Примечания

1. Время, необходимое для восстановления аварийного объема воды, следует принимать 36 - 48 ч.

2. Восстановление аварийного объема воды следует предусматривать за счет снижения водопотребления или использования резервных насосных агрегатов.

3. - Исключено. (в ред. Изменения N 4, утв. Приказом Минстроя РФ от 21.01.2019 N 21/пр)

12.4. Объем воды в емкостях перед насосными станциями подкачки, работающими равномерно, следует принимать из расчета 5 - 10-минутной производительности насоса большей производительности.

В случае, если в соответствии с паспортными характеристиками насосного агрегата большей производительности допустимое число его включений в час превышает 12, допускается соответствующее уменьшение расчетного объема резервуара. (в ред. Изменения N 2, утв. Приказом Минстроя РФ от 30.12.2015 N 960/пр)

12.5. Контактный объем воды для обеспечения требуемого времени контакта воды с реагентами следует определять согласно 9.127. Контактный объем допускается уменьшать на величину пожарного и аварийного объемов в случае их наличия.

12.6. Резервуары и их оборудование должны быть защищены от замерзания воды.

12.7. В резервуарах для питьевой воды должен быть обеспечен обмен пожарного и аварийного объемов воды в срок не более 48 ч.

Примечание - При обосновании срок обмена воды в резервуарах допускается увеличивать до 3 - 4 сут. При этом следует предусматривать установку циркуляционных насосов, производительность которых должна определяться из условия замены воды в емкостях в срок не более 48 ч с учетом поступления воды из источника водоснабжения.

Оборудование резервуаров

12.8. Резервуары для воды и баки водонапорных башен должны быть оборудованы: подводящими и отводящими трубопроводами или объединенным подводяще-отводящим трубопроводом, переливным устройством, спускным трубопроводом, вентиляционным устройством, скобами или лестницами, люками-лазами для прохода людей и транспортирования оборудования. Емкости из реактопластов, армированные стекловолокном, должны соответствовать ГОСТ Р 55072. (в ред. Изменения N 4, утв. Приказом Минстроя РФ от 21.01.2019 N 21/пр)

Установка лестниц для прохода в резервуар должна быть выполнена стационарно (другие способы установки - при соответствующем обосновании) с обеспечением необходимых мер безопасности. Длиной лестниц должна быть обеспечена возможность спуска обслуживающего персонала на дно резервуара без применения дополнительных устройств и удлинителей. Срок эксплуатации стационарных лестниц в резервуарах должен быть равен сроку эксплуатации резервуара. Материал лестниц должен быть химически стоек к воздействию сред, хранимых в резервуарах, и отвечать санитарно-гигиеническим требованиям в соответствии с 12.2. Внутренний диаметр инспекционных горловин должны быть не менее 800 мм - для горловин круглого поперечного сечения или не менее чем 800 x 800 мм - в плане для горловин квадратного и прямоугольного сечений. (в ред. Изменения N 2, утв. Приказом Минстроя РФ от 30.12.2015 N 960/пр, в ред. Изменения N 4, утв. Приказом Минстроя РФ от 21.01.2019 N 21/пр)

В зависимости от назначения резервуара дополнительно следует предусматривать:

устройства для измерения уровня воды, контроля вакуума и давления;

световые люки диаметром 300 мм (в резервуарах для воды непитьевого качества);

промывочный водопровод (переносной или стационарный);

устройство для предотвращения перелива воды из емкости (средства автоматики или установка на подающем трубопроводе поплавкового запорного клапана);

устройство для очистки поступающего в резервуар воздуха (в резервуарах для воды питьевого качества).

12.9. На конце подводящего трубопровода в резервуарах и баках водонапорных башен следует предусматривать диффузор с горизонтальной кромкой или камеру, верх которых должен располагаться на 50 - 100 мм выше максимального уровня воды в емкости.

12.10. На отводящем трубопроводе в резервуаре следует предусматривать конфузор, при диаметре трубопровода до 200 мм допускается применять приемный клапан, размещаемый в приямке (см. 10.5).

Расстояние от кромки конфузора до дна и стен емкости или приямка следует определять из расчета скорости подхода воды к конфузору не более скорости движения воды во входном сечении.

Горизонтальная кромка конфузора, устраиваемого в днище резервуара, а также верх приямка должны быть на 50 мм выше набетонки днища. На отводящем трубопроводе или приямке необходимо предусматривать решетку. Вне резервуара или водонапорной башни на отводящем (подводяще-отводящем) трубопроводе следует предусматривать устройство для отбора воды автоцистернами и пожарными машинами.

12.11. Переливное устройство должно быть рассчитано на расход, равный разности максимальной подачи и минимального отбора воды. Слой воды на кромке переливного устройства должен быть не более 100 мм.

В резервуарах и водонапорных башнях, предназначенных для питьевой воды, на переливном устройстве должен быть предусмотрен гидравлический затвор.

12.12. Спускной трубопровод следует проектировать диаметром 100 - 150 мм в зависимости от объема емкости. Днище емкости должно иметь уклон не менее 0,005 в сторону спускного трубопровода.

12.13. Спускные и переливные трубопроводы следует присоединять (без подтопления их концов):

от резервуаров для воды непитьевого качества - к канализации любого назначения с разрывом струи или к открытой канаве;

от резервуаров для питьевой воды - к дождевой канализации или к открытой канаве с разрывом струи.

При присоединении переливного трубопровода к открытой канаве необходимо предусматривать установку на конце трубопровода решетки с прозорами 10 мм.

При невозможности или нецелесообразности сброса воды по спускному трубопроводу самотеком следует предусматривать колодец для откачки воды передвижными насосами.

12.14. Впуск и выпуск воздуха при изменении положения уровня воды в емкости, а также обмен воздуха в резервуарах для хранения пожарного и аварийного объемов следует предусматривать через вентиляционные устройства, исключающие возможность образования вакуума, превышающего 80 мм вод. ст.

В резервуарах воздушное пространство над максимальным уровнем до нижнего ребра плиты или плоскости перекрытия следует принимать от 200 до 300 мм. Ригели и опоры плит могут быть подтоплены, при этом необходимо обеспечить воздухообмен между всеми отсеками покрытия.

12.15. Люки-лазы должны располагаться вблизи от концов подводящего, отводящего и переливного трубопроводов. Крышки люков в резервуарах для питьевой воды должны иметь устройства для запирания и пломбирования. Люки резервуаров должны возвышаться над утеплением перекрытия на высоту не менее 0,2 м.

В резервуарах для питьевой воды должна быть обеспечена полная герметизация всех люков.

12.16. Общее количество резервуаров одного назначения в одном узле должно быть не менее двух.

Во всех резервуарах в узле наинизшие и наивысшие уровни пожарных, аварийных и регулирующих объемов должны быть соответственно на одинаковых отметках.

При выключении одного резервуара в остальных должно храниться не менее 50% пожарного и аварийного объемов воды.

Оборудование резервуаров должно обеспечивать возможность независимого включения и опорожнения каждого резервуара.

Абзац исключен. (в ред. Изменения N 2, утв. Приказом Минстроя РФ от 30.12.2015 N 960/пр)

12.17. Конструкции камер задвижек при резервуарах не должны быть жестко связаны с конструкцией резервуаров.

12.18. Водонапорные башни допускается проектировать с шатром вокруг бака или без шатра в зависимости от режима работы башни, объема бака, климатических условий и температуры воды в источнике водоснабжения.

Примечание исключено. (в ред. Изменения N 2, утв. Приказом Минстроя РФ от 30.12.2015 N 960/пр)

12.19. Ствол водонапорной башни допускается использовать для размещения производственных помещений системы водоснабжения, исключающих образование пыли, дыма и газовыделений.

12.20. При жесткой заделке труб в днище бака водонапорной башни на стояках трубопроводов следует предусматривать компенсаторы.

12.21. Водонапорная башня, не входящая в зону молниезащиты других сооружений, должна быть оборудована собственной молниезащитой.

12.22. Объем пожарных резервуаров и водоемов следует определять исходя из расчетных расходов воды и продолжительности тушения пожаров согласно СП 8.13130.

13 Размещение оборудования, арматуры и трубопроводов

13.1. Указания раздела следует учитывать при определении габаритов помещений, установке технологического и подъемно-транспортного оборудования, арматуры, а также укладке трубопроводов в зданиях и сооружениях водоснабжения.

13.2. При определении площади производственных помещений ширину проходов следует принимать, не менее:

между насосами или электродвигателями - 1 м;

между насосами или электродвигателями и стеной в заглубленных помещениях - 0,7 м, в прочих - 1 м; при этом ширина прохода со стороны электродвигателя должна быть достаточной для демонтажа ротора;

между компрессорами или воздуходувками - 1,5 м, между ними и стеной - 1 м;

между неподвижными выступающими частями оборудования - 0,7 м;

перед распределительным электрическим щитом - 2 м.

Примечания

1. Проходы вокруг оборудования, регламентируемые заводом-изготовителем, следует принимать по паспортным данным.

2. Для агрегатов с диаметром нагнетательного патрубка до 100 мм включительно допускаются: установка агрегатов у стены или на кронштейнах; установка двух агрегатов на одном фундаменте при расстоянии между выступающими частями агрегатов не менее 0,25 м с обеспечением вокруг сдвоенной установки проходов шириной не менее 0,7 м.

13.3. Для эксплуатации технологического оборудования, арматуры и трубопроводов в помещениях должно предусматриваться подъемно-транспортное оборудование, при этом следует принимать: при массе груза до 5 т - таль ручную или кран-балку подвесную ручную; при массе груза более 5 т - кран мостовой ручной; при подъеме груза на высоту более 6 м или при длине подкранового пути более 18 м - электрическое крановое оборудование. (в ред. Изменения N 2, утв. Приказом Минстроя РФ от 30.12.2015 N 960/пр)

Примечания

1. Допускается применение инвентарных устройств и установок.

2. Предусматривать грузоподъемные краны, необходимые только при монтаже технологического оборудования (напорных фильтров, гидромешалок и др.), не требуется.

3. Для перемещения оборудования и арматуры массой до 0,3 т допускается применение такелажных средств.

13.4. В помещениях с крановым оборудованием следует предусматривать монтажную площадку.

Доставку оборудования и арматуры на монтажную площадку следует производить такелажными средствами или талью на монорельсе, выходящем из здания, а в обоснованных случаях - транспортными средствами.

Вокруг оборудования или транспортного средства, устанавливаемого на монтажной площадке в зоне обслуживания кранового оборудования, должен быть обеспечен проход шириной не менее 0,7 м.

Размеры ворот или дверей следует определять исходя из габаритов оборудования или транспортного средства с грузом.

13.5. Грузоподъемность кранового оборудования следует определять исходя из максимальной массы перемещаемого груза или оборудования с учетом требований заводов-изготовителей оборудования к условиям его транспортирования.

При отсутствии требований заводов-изготовителей к транспортированию оборудования только в собранном виде грузоподъемность крана допускается определять исходя из детали или части оборудования, имеющей максимальную массу.

Примечание - Следует учитывать увеличение массы и габаритов оборудования в случаях предусматриваемой замены его на более мощное.

Перед проемами и воротами снаружи необходимо предусматривать соответствующие площадки для разворота транспортных средств и грузоподъемного оборудования.

13.6. Определение высоты помещений (от уровня монтажной площадки до низа балок перекрытия), имеющих подъемно-транспортное оборудование, и установку кранов следует производить в соответствии с ГОСТ 7890.

При отсутствии подъемно-транспортного оборудования высоту помещений следует принимать согласно СП 56.13330.

13.7. При высоте до мест обслуживания и управления оборудования, электроприводов и маховиков задвижек (затворов) более 1,4 м от пола следует предусматривать площадки или мостики, при этом высота до мест обслуживания и управления с площадки или мостика не должна превышать 1 м.

Допускается предусматривать уширение фундаментов оборудования.

13.8. Установка оборудования и арматуры под монтажной площадкой или площадками обслуживания допускается при высоте от пола (или мостика) до низа выступающих конструкций не менее 1,8 м. При этом над оборудованием и арматурой следует предусматривать съемное покрытие площадок или проемы.

13.9. Задвижки (затворы) на трубопроводах любого диаметра при дистанционном или автоматическом управлении должны быть с электроприводом. Допускается применение пневматического, гидравлического или электромагнитного приводов.

При отсутствии дистанционного или автоматического управления запорную арматуру диаметром 400 мм и менее следует предусматривать с ручным приводом, диаметром более 400 мм - с электрическим или гидравлическим приводом. (в ред. Изменения N 2, утв. Приказом Минстроя РФ от 30.12.2015 N 960/пр)

13.10. Трубопроводы в зданиях и сооружениях следует укладывать над поверхностью пола (на опорах или кронштейнах) с устройством мостиков над трубопроводами и обеспечением подхода и обслуживания оборудования и арматуры. (в ред. Изменения N 2, утв. Приказом Минстроя РФ от 30.12.2015 N 960/пр)

Допускается укладка трубопроводов в каналах, перекрываемых съемными плитами, или в подвалах.

Габариты каналов трубопроводов следует принимать:

при диаметре труб до 400 мм - ширину на 600 мм, глубину на 400 мм больше диаметра;

при диаметре труб 500 мм и выше - ширину на 800 мм, глубину на 600 мм больше диаметра.

В местах установки фланцевой арматуры следует предусматривать уширение канала. Уклон дна каналов к приямку следует принимать не менее 0,005.

14 Электрооборудование, технологический контроль, автоматизация и системы управления

Общие указания

14.1. Проектирование электроустановок следует проводить с учетом требований ГОСТ Р 50571.5.52, ГОСТ Р 50571.7.706.

Категории надежности электроснабжения электроприемников сооружений систем водоснабжения следует определять согласно [2], [13].

При определении требования к устройству электрической части освещения зданий, помещений и сооружений следует применять требования [2]. (в ред. Изменения N 4, утв. Приказом Минстроя РФ от 21.01.2019 N 21/пр)

14.2. Выбор напряжения электродвигателей следует производить в зависимости от их мощности, принятой схемы электропитания и с учетом перспективы развития проектируемого объекта; выбор исполнения электродвигателей - в зависимости от окружающей среды и характеристики помещения, в котором устанавливается электрооборудование.

14.3. Компенсация реактивной мощности должна осуществляться с учетом требований энергоснабжающей организации и технико-экономического обоснования выбора мест установки компенсирующих устройств, их мощности и напряжения.

14.4. Распределительные устройства, трансформаторные подстанции и щиты управления следует размещать во встраиваемых или пристраиваемых помещениях с учетом возможного их расширения и увеличения мощности. Допускается предусматривать отдельно стоящие закрытые распределительные устройства и трансформаторные подстанции.

Допускается установка закрытых щитов в производственных помещениях и в насосных станциях пожарного назначения на полу или балконах, с принятием мер, исключающих попадания на них воды.

14.5. При определении объема автоматизации сооружений водоснабжения учитываются их производительность, режим работы, степень ответственности, требования к надежности по ГОСТ 27751, а также перспектива сокращения численности обслуживающего персонала, улучшений условий труда работающих, снижение потребления электроэнергии, расхода воды и реагентов, требования защиты окружающей среды. (в ред. Изменения N 4, утв. Приказом Минстроя РФ от 21.01.2019 N 21/пр)

14.6. Система автоматизации сооружений водоснабжения должна предусматривать:

автоматическое управление основными технологическими процессами в соответствии с заданным режимом или по заданной программе;

автоматический контроль основных параметров, характеризующих режим работы технологического оборудования и его состояние;

автоматическое регулирование параметров, определяющих технологический режим работы отдельных сооружений и их экономичности.

14.7. Для автоматизации новых и действующих сооружений независимо от числа технологических операций надлежит применять микропроцессорные контроллеры. (в ред. Изменения N 2, утв. Приказом Минстроя РФ от 30.12.2015 N 960/пр)

14.8. Система автоматического управления должна предусматривать возможность местного управления отдельными устройствами или сооружениями.

14.9. В системах технологического контроля необходимо предусматривать: средства и приборы автоматического (непрерывного) контроля, средства периодического контроля (для наладки и проверки работы сооружений и др.).

14.10. Технологический контроль параметров воды следует осуществлять с помощью лабораторных анализов и непрерывно с помощью автоматических приборов. (в ред. Изменения N 2, утв. Приказом Минстроя РФ от 30.12.2015 N 960/пр)

Водозаборные сооружения поверхностных и подземных вод

14.11. На водозаборных сооружениях подземных вод при переменном водопотреблении следует предусматривать следующие способы управления насосами:

дистанционное из пункта управления (ПУ);

автоматическое - в зависимости от уровня воды в приемном резервуаре, по давлению на напорном коллекторе или в диктующей точке водопроводной сети. (в ред. Изменения N 2, утв. Приказом Минстроя РФ от 30.12.2015 N 960/пр)

14.12. Для скважин (шахтных колодцев) следует предусматривать автоматическое отключение насоса при падении уровня воды ниже допустимого.

14.13. На водозаборных сооружениях поверхностных вод необходимо предусматривать контроль перепада уровней на решетках и сетках, а также измерение уровня воды в камерах, в водоеме или водотоке.

14.14. На водозаборных сооружениях подземных вод следует предусматривать измерение расхода или количества воды, подаваемой из каждой скважины (шахтного колодца), уровня воды в камерах, в сборном резервуаре, а также давление на напорных патрубках насосов.

Насосные станции

14.15. Насосные станции всех назначений должны проектироваться, как правило, с управлением без постоянного обслуживающего персонала:

автоматическим - в зависимости от технологических параметров (уровня воды в емкостях, давления или расхода воды в сети);

дистанционным (телемеханическим) - из пункта управления;

местным - периодически приходящим персоналом с передачей необходимых сигналов на пункт управления или пункт с постоянным присутствием обслуживающего персонала.

14.16. На насосных станциях должна быть предусмотрена возможность регулирования давления и расхода воды, обеспечивающих минимальный расход электроэнергии. Следует применять устройства плавного пуска и частотного регулирования электродвигателей насосов. (в ред. Изменения N 2, утв. Приказом Минстроя РФ от 30.12.2015 N 960/пр)

Выбор способа регулирования режима работы насосной установки должен быть обоснован технико-экономическими расчетами.

14.17. Выбор числа регулируемых агрегатов и их параметров должен производиться на основании гидравлических и оптимизационных расчетов, выполняемых в соответствии с указаниями раздела 8.

Абзац исключен. (в ред. Изменения N 2, утв. Приказом Минстроя РФ от 30.12.2015 N 960/пр)

Выбор вида регулирования осуществляется с учетом конструктивных особенностей насосных агрегатов, их мощности и напряжения, а также прогнозируемого режима работы насосной станции. (в ред. Изменения N 2, утв. Приказом Минстроя РФ от 30.12.2015 N 960/пр)

14.18. В автоматизируемых насосных станциях при аварийном отключении рабочих насосных агрегатов следует предусматривать автоматическое включение резервного агрегата. (в ред. Изменения N 2, утв. Приказом Минстроя РФ от 30.12.2015 N 960/пр)

В телемеханизируемых насосных станциях автоматическое включение резервного агрегата следует предусматривать для насосных станций I категории. (в ред. Изменения N 2, утв. Приказом Минстроя РФ от 30.12.2015 N 960/пр)

14.19. В насосных станциях I категории следует предусматривать самозапуск насосных агрегатов или автоматическое включение их с интервалом по времени при невозможности одновременного самозапуска по условиям электроснабжения.

14.20. При установке в насосной станции вакуум-котла для залива насосов должна быть обеспечена автоматическая работа вакуум-системы. Вакуум-система является автономным комплектным узлом. (в ред. Изменения N 2, утв. Приказом Минстроя РФ от 30.12.2015 N 960/пр)

14.21. Автоматизированное управление каждой из насосных станций входящих в систему подачи и распределения воды, должно строиться с учетом ее взаимодействия с другими насосными станциями системы (в том числе общесистемными и локальными станциями подкачки), а также с регулирующими емкостями и регулирующими устройствами на водоводах и сети. При этом должно контролироваться изменение подачи воды нерегулируемыми насосами (в результате их саморегулирования) с тем, чтобы они не выходили за пределы допустимого диапазона каждого из насосов. В необходимых случаях следует ограничить недопустимое увеличение подачи дросселированием, а недопустимое ее снижение - рециркуляцией. Автоматизированное управление работой систем как единого целого должно обеспечить подачу требуемого суточного расхода воды при минимальных суммарных затратах мощности всеми совместно работающими насосами, обеспечение свободных напоров в сети не ниже требуемых и снижение до возможного минимума избыточных свободных напоров, вызывающих увеличение потерь воды вследствие утечек и нерационального расходования.

Система должна обеспечивать подачу воды с минимально возможными энергетическими затратами на единицу поданного объема воды, не допуская перегрузки отдельных агрегатов, работы их в зоне низких КПД, в зонах помпажа и кавитаций.

14.22. В насосных станциях должна предусматриваться блокировка исключающая возможность подачи неприкосновенного пожарного, а также аварийного объемов воды в резервуарах на другие цели.

14.23. Вакуум-насосы в насосных станциях с сифонным забором воды должны работать автоматически по уровню воды в воздушном колпаке, установленном на сифонной линии.

14.24. В насосных станциях должна предусматриваться автоматизация следующих вспомогательных процессов: промывки вращающихся сеток по заданной программе, регулируемой по времени или перепаду уровней, откачки дренажных вод в приямке, санитарно-технических систем и др.

14.25. В насосных станциях следует предусматривать измерение давления в напорных водоводах, а также контроль уровня воды в дренажных приямка и вакуум-котле, температуры подшипников агрегатов (при необходимости), аварийного уровня воды затопления (появления воды в машинном зале на уровне фундаментов электроприводов).

Станции водоподготовки

14.26. Следует предусматривать автоматизацию:

дозирования коагулянтов и других реагентов;

процесса обеззараживания хлором, озоном и хлор-реагентами, УФ-облучением;

процесса фторирования и обесфторивания реагентным методом.

При переменных расходах воды автоматизацию дозирования растворов реагентов следует предусматривать по соотношению расходов обрабатываемой воды и реагента постоянной концентрации с местной или дистанционной коррекцией этого соотношения, при обосновании - по качественным показателям исходной воды и реагентов.

14.27. На фильтрах и контактных осветлителях необходимо предусматривать регулирование скорости фильтрования по расходу воды или по уровню воды на фильтрах с обеспечением равномерного распределения воды между ними.

В качестве дросселирующего устройства в регуляторах скорости фильтрования рекомендуется применять дисковые затворы и дроссельные поворотные заслонки. В тех случаях, когда скорость фильтрования необходимо изменять применяются управляемые регуляторы скорости фильтрования, позволяющие задавать дистанционно пульта управления режим работы фильтров. (в ред. Изменения N 2, утв. Приказом Минстроя РФ от 30.12.2015 N 960/пр)

14.28. Вывод фильтров на промывку следует предусматривать по уровню воды, величине потери напора в загрузке фильтра или качеству фильтрата; вывод на промывку контактных осветлителей - по величине потери напора или уменьшению расхода при полностью открытой регулирующей арматуре.

Допускается вывод фильтров и контактных осветлителей на промывку по временной программе.

14.29. На станциях очистки воды с числом фильтров свыше 10 следует автоматизировать процесс промывки. При числе фильтров до 10 следует предусматривать и полуавтоматическое сблокированное управление промывкой с пультов или щитов.

14.30. Схема автоматизации процесса промывки фильтров и контактных осветлителей должна обеспечивать выполнение в определенной последовательности следующих операций:

управление по заданной программе затворами и задвижками на трубопроводах подводящих и отводящих обрабатываемую воду;

пуска и остановки насосов промывной воды и воздуходувок при водовоздушной промывке.

14.31. В схеме автоматизации следует предусматривать блокировку, исключающую одновременную промывку более одного фильтра. (в ред. Изменения N 2, утв. Приказом Минстроя РФ от 30.12.2015 N 960/пр)

14.32. При подаче промывной воды насосами перед промывкой фильтров рекомендуется предусматривать автоматический выпуск воздуха из трубопровода промывной воды.

14.33. Продолжительность промывки следует устанавливать по времени или мутности промывной воды в отводящем трубопроводе.

14.34. Промывку барабанных сеток и микрофильтров следует принимать автоматической по заданной программе или по величине перепада уровней воды.

14.35. Насосы, перекачивающие растворы реагентов, должны иметь местное управление с автоматическим отключением их при заданных уровнях растворов в баках.

14.36. На установках для реагентного умягчения воды следует автоматизировать дозирование реагентов по величине pH и электропроводности. На установках для удаления карбонатной жесткости и рекарбонизации воды следует автоматизировать дозирование реагентов (извести, соли и др.) по величине pH, удельной электропроводности и т.п.

14.37. Регенерацию ионообменных фильтров следует автоматизировать:

катионитных - по остаточной жесткости воды;

анионитных - по электропроводности обработанной воды.

14.38. В станциях водоподготовки следует контролировать:

расход воды (исходной, обработанной, промывной и повторно используемой);

уровни в фильтрах, смесителях, баках реагентов и других емкостях;

уровни осадка в отстойниках и осветлителях, расход воды и потери напора;

в фильтрах (при необходимости) величину остаточного хлора или озона;

величину pH исходной и обработанной воды;

концентрации растворов реагентов (допускается измерение переносными приборами и лабораторным методом);

другие технологические параметры, которые требуют оперативного контроля и обеспечены соответствующими техническими средствами.

Водоводы и водопроводные сети. Резервуары для хранения воды

14.39. На водоводах следует предусматривать устройства для своевременного обнаружения и локализации аварийных повреждений.

Для периодических систематических измерений давления в водоводах и линиях сети, проводимых при контроле распределения потоков воды, а также рабочих органов запорной и запорно-регулирующий арматуры и отсутствия засоров, вызываемых попаданием посторонних предметов при авариях и ремонтах, следует предусматривать установку на трубах (или фасонных частях и корпусах арматуры) патрубков, перекрываемых пробковыми кранами диаметром 10 - 15 мм. При использовании этих патрубков для ввода устройств измерения скорости (или расхода), их диаметр следует принимать равным 50 мм.

14.40. Регулирование распределения воды по водоводам и линиям сети в зависимости от назначения, схемы управления и состава сооружений, системы подачи и распределения воды, следует производить изменением режима работы насосов основных питающих станций и локальных станций подкачки, а также изменением положения рабочих органов запорно-регулирующей арматуры, производимым вручную, дистанционно или автоматически по показанию приборов измерения давлений и подаваемого расхода в заданных контролируемых точках системы. Регулирование должно обеспечивать заданные режимы пополнения - срабатывания емкостей, поддержание требуемых свободных напоров в диктующих точках сети сверх допустимого предела при нормальном техническом состоянии систем и их падения ниже допустимого предела при авариях.

14.41. Целесообразность автоматизации тех или иных операций по регулированию работы системы, использование средств автоматизации и дистанционного управления, следует определять сопоставлением достигаемого эффекта и требуемых для этого затрат. (в ред. Изменения N 2, утв. Приказом Минстроя РФ от 30.12.2015 N 960/пр)

14.42. В резервуарах и баках всех назначений следует предусматривать измерение уровней воды и их контроль (при необходимости) для использования в системах автоматики или передачи сигналов в насосную станцию или пункт управления.

Контролю подлежат:

уровень неприкосновенного пожарного объема;

уровень аварийного объема;

Минимальный уровень, обеспечивающий безаварийную работу насосов. В баках и резервуарах, оборудованных раздельными подающими и расходными линиями на каждой подающей и каждой расходной линии должен устанавливаться расходомер.

Системы управления

14.43. Системы управления технологическими процессами следует применять для всех вновь проектируемых или реконструируемых водоподготовительных сооружений независимо от производительности.

Автоматизированная система управления технологическими процессами водоподготовительных сооружений по принципу управления должна быть централизованной, с единым пунктом принятия решений. (в ред. Изменения N 2, утв. Приказом Минстроя РФ от 30.12.2015 N 960/пр)

14.44. Систему управления отдельного технологического узла или объекта водоподготовительных станций производительностью до 50 тыс. м3/сут следует выполнять одноуровневой (уровень локального управления) с собственным интеллектуальным узлом управления, решающим задачи локального управления и обеспечивающим связь с уровнем автоматизированного контроля и управления (диспетчерский пункт цеха, станции, предприятия или подразделения ЖКХ).

Систему управления объекта, состоящего из нескольких технологических узлов (цехов) рекомендуется выполнять двухуровневой с собственным диспетчерским пунктом, оснащенным автоматизированным рабочим местом (АРМ) оператора и линиями связи с локальными узлами.

Для объектов, с несколькими диспетчерскими пунктами, должна применяться трехуровневая система управления с центральным диспетчерским пунктом. (в ред. Изменения N 2, утв. Приказом Минстроя РФ от 30.12.2015 N 960/пр)

14.45. Для водоподготовительных станций с производительностью выше 50 тыс. м3/сут должна быть применена иерархическая система управления, включающая в себя уровни локального, автоматического и автоматизированного управления технологическим процессом, а также уровни управления производством и управления предприятием. По принципу использования вычислительной мощности АСУ должна быть распределенной и ее интеллектуальные средства управления должны использоваться во всех узлах технологического процесса. (в ред. Изменения N 2, утв. Приказом Минстроя РФ от 30.12.2015 N 960/пр)

14.46. Диспетчерское управление системой водоснабжения должно быть составной частью диспетчеризации коммунального хозяйства населенного пункта.

Пункт управления системы водоснабжения должен оперативно подчиняться пункту управления промышленного предприятия или населенного пункта.

14.47. Диспетчерское управление системой водоснабжения должно обеспечиваться прямой телефонной связью пункта управления с контролируемыми сооружениями, различными службами эксплуатации сооружений, энергодиспетчером, управлением водопроводного хозяйства и пожарной охраной.

Пункты управления и контролируемые сооружения должны быть радиофицированы и оснащены средствами часификации. (в ред. Изменения N 2, утв. Приказом Минстроя РФ от 30.12.2015 N 960/пр)

14.48. Диспетчерское управление необходимо сочетать с частичной или полной автоматизацией контролируемых сооружений. Объемы диспетчерского управления должны быть минимальными, но достаточными для исчерпывающей информации о протекании технологического процесса и состоянии технологического оборудования, а также оперативного управления сооружениями.

14.49. На сооружениях, не оснащенных полностью средствами автоматизации и требующих присутствия постоянного дежурного персонала для местного управления и контроля, допускается устройство операторских пунктов с подчинением их службе диспетчерского управления.

При разработке системы диспетчерского управления необходимо предусматривать:

оперативное управление и контроль технологических процессов и работы оборудования;

поддержание необходимых режимов работы системы водоснабжения и отдельных ее сооружений и их оптимизацию;

своевременное обнаружение, локализацию и устранение аварий, полное или частичное сокращение дежурного персонала на отдельных сооружениях, экономию энергоресурсов, воды и реагентов.

14.50. Функции центрального пункта управления (ЦПУ) при двух- или многоуровневой структуре диспетчерского управления заключаются в управлении всей системой водоснабжения как единым комплексом и координации работы всех ПУ. Функции ПУ ограничиваются управлением сооружениями подчиненного ему технологического узла. (в ред. Изменения N 2, утв. Приказом Минстроя РФ от 30.12.2015 N 960/пр)

14.51. Диспетчерское управление системой водоснабжения должно обеспечиваться прямой диспетчерской телефонной связью ПУ с контролируемыми сооружениями, службами управления по эксплуатации сооружений водоснабжения (аварийно-ремонтной, электротехнической, автоматики и КИП), начальником, главным инженером и главным энергетиком управления, вышестоящими диспетчерами энергетического хозяйства промышленного предприятия или города, диспетчером системы электроснабжения, от которой получают электропитание сооружения водоснабжения.

14.52. Пункты управления и отдельные контролируемые сооружения должны включаться в систему административно-хозяйственной связи предприятия или города для решения служебных вопросов и создания обходных телефонных связей при повреждении прямой связи.

14.53. Объем и структуру телефонной связи (радиосвязи) диспетчерского управления необходимо определять исходя из общей схемы водоснабжения.

14.54. Технические средства диспетчерского управления и контроля должны обеспечивать диспетчеру возможности:

непосредственно управлять технологическим процессом путем посылки команд, изменяющих состояние технологических агрегатов (включить-отключить, открыть-закрыть) и устанавливающих или меняющих режим работы сооружений и программы автоматических устройств;

получать на ПУ отображение состояния технологической схемы и работы агрегатов в виде сигнализации на мнемонической схеме, на щите управления или дисплея;

иметь на ПУ визуальный и документальный контроль технологических параметров и их отклонений от нормы в системе водоснабжения.

14.55. Абзац исключен. (в ред. Изменения N 2, утв. Приказом Минстроя РФ от 30.12.2015 N 960/пр)

При телемеханизации необходимо предусматривать диспетчерское управление:

неавтоматизированными насосными агрегатами, для которых необходимо оперативное вмешательство диспетчера;

автоматизированными насосными агрегатами на станциях, не допускающих перерыва в подаче воды и требующих дублирования управления;

пожарными насосными агрегатами;

задвижками на сетях и водоводах для оперативных переключений.

14.56. При телемеханизации диспетчерского управления необходимо предусматривать передачу на пункты управления данных измерений основных технологических параметров подачи, распределения и обработки воды.

В отдельных случаях допускается предусматривать только сигнализацию параметров.

14.57. При телемеханизации диспетчерского управления необходимо предусматривать сигнализацию:

состояния всех телеуправляемых насосных агрегатов и задвижек, а также механизмов с местным или автоматическим управлением для информации диспетчера;

аварийного отключения оборудования;

затопления станции;

общего предупреждения и общего аварийного состояния по каждому сооружению или технологической линии;

характерных и предельно допустимых значений технологических параметров;

тревоги (открытия дверей и люков) на неохраняемых объектах;

пожарной опасности.

14.58. Способ диспетчерского управления и контроля следует принимать на основании технико-экономического сравнения вариантов.

14.59. При комплектации водоподготовительных цехов и станций следует отдавать предпочтение технологическим узлам комплектной поставки с собственными локальными системами управления.

Система управления объектом, в этом случае, должна представлять собой сеть передачи данных и узлы автоматизированного и централизованного управления, дополненные, при обосновании, уровнем АСУТП (управление технологическим процессом) и АСУП (управление предприятием). (в ред. Изменения N 2, утв. Приказом Минстроя РФ от 30.12.2015 N 960/пр)

14.60. Под АСУ ТП водоснабжения подразумевают комплекс систем, состоящий из следующих подсистем:

АСУ ТП подъема и обработки воды (АСУ ТП ПОВ), осуществляющей управление насосными станциями I подъема и водоочистными сооружениями (фильтровальными станциями, отстойниками, дозированием химических реагентов и др.);

АСУ ТП подачи и распределения воды (АСУ ТП ПРВ) охватывающей резервуары чистой воды, насосные станции II и последующих подъемов, водопроводные сети.

Целью управления при функционировании АСУ ТП водоснабжения является оптимизация режимов для обеспечения надежного водоснабжения с минимальными затратами.

14.61. АСУ ТП системы водоснабжения должны иметь технико-экономические обоснования с расчетом экономической эффективности.

14.62. При проектировании АСУ ТП объектов водоснабжения необходимо до начала проектирования разработать техническое задание, а в процессе проектирования - общесистемные решения:

организационную структуру диспетчерского управления;

функциональную структуру, т.е. состав автоматизируемых функций управления и алгоритмы решения задач;

программное, математическое и информационное обеспечения, т.е. программы выполнения на компьютерах и контроллерах по задачам АСУ ТП;

техническое обеспечение, т.е. комплекс технических средств, необходимых для реализации функций АСУ ТП. (в ред. Изменения N 2, утв. Приказом Минстроя РФ от 30.12.2015 N 960/пр)

14.63. Пункты управления системы водоснабжения следует размещать на площадках водопроводных сооружений в административно-бытовых зданиях, зданиях фильтров или насосных станций (при создании необходимых условий по уровню шума, вибрации и т.п.), а также в здании управления водопроводным хозяйством.

14.64. Допускается поэтапная разработка диспетчерского управления и контроля элементами АСУ ТП по отдельным сооружениям системы водоснабжения объекта с перспективой в дальнейшем формирования комплекса подъема, транспортировки, водоподготовки, подачи и распределения воды в целом по системе.

15 Строительные решения и конструкции зданий и сооружений

Генеральный план

15.1. Выбор площадок для строительства водопроводных сооружений, а также планировка и застройка их территорий должны выполняться в соответствии с технологическими требованиями, указаниями СП 18.13330 и с учетом требований СанПиН 2.2.1/2.1.1.1200, СанПиН 2.1.4.1110, СП 132.13330. (в ред. Изменения N 4, утв. Приказом Минстроя РФ от 21.01.2019 N 21/пр)

15.2. Планировочные отметки площадок водопроводных сооружений, размещаемых на прибрежных участках водотоков и водоемов, должны приниматься не менее чем на 0,5 м выше расчетного максимального уровня воды, обеспеченность которого принимается по таблице 4, с учетом ветрового нагона волны и высоты наката ветровой волны на откос, определяемых согласно СП 38.13330.

15.3. Расходные склады для хранения сильнодействующих ядовитых веществ (СДЯВ) на площадке водопроводных сооружений следует размещать от зданий и сооружений (не относящихся к складскому хозяйству) с постоянным пребыванием людей и от водоемов и водотоков на расстоянии не менее 30 м; от зданий без постоянного пребывания людей - согласно СП 38.13330; от жилых, общественных и производственных зданий (вне площадки) при хранении СДЯВ в стационарных емкостях (цистернах, танках) - не менее 300 м и при хранении в контейнерах или баллонах - не менее 100 м. (в ред. Изменения N 2, утв. Приказом Минстроя РФ от 30.12.2015 N 960/пр)

15.4. Водопроводные сооружения должны ограждаться. Для площадок станций водоподготовки, насосных станций, резервуаров и водонапорных башен с зонами санитарной охраны первого пояса следует, как правило, принимать глухое ограждение высотой 2,5 м. Допускается предусматривать ограждение на высоту 2 м - глухое и на 0,5 м - из колючей проволоки или металлической сетки, при этом во всех случаях должна предусматриваться колючая проволока в 4 - 5 нитей на кронштейнах с внутренней стороны ограждения.

Примыкание к ограждению строений, кроме проходных и административно-бытовых зданий, не допускается.

Для площадок сооружений забора подземной и поверхностной воды, насосных станций первого подъема и подкачки необработанной воды, а также для площадок сооружений хозяйственно-питьевого водопровода, размещаемых на территории предприятий, имеющих ограждение и сторожевую охрану, тип ограждений принимается с учетом местных условий.

Примечание - Ограждение насосных станций, работающих без разрыва струи (при отсутствии резервуаров), и водонапорных башен с глухим стволом, расположенных на территории предприятий или населенных пунктов, а также шламонакопителей станций водоподготовки допускается не предусматривать.

15.5. На площадках водопроводных сооружений с зоной санитарной охраны первого пояса должны предусматриваться технические средства охраны:

запретная зона шириной 5 - 10 м вдоль внутренней стороны ограждения площадки, ограждаемая колючей или гладкой проволокой на высоту 1,2 м;

тропа наряда внутри запретной зоны шириной 1 м на расстоянии 1 м от ограждения запретной зоны;

столбы-указатели, обозначающие границы запретной зоны и устанавливаемые не более чем через 50 м;

охранное освещение по периметру ограждения, при этом светильники следует устанавливать над ограждением из расчета освещения подступов к ограждению, самого ограждения и части запретной зоны до тропы наряда;

постовая телефонная связь и двухсторонняя электрозвонковая сигнализация постов с пунктом управления или караульным помещением, которое следует предусматривать при необходимости на водопроводах I категории (7.4); возможно использование системы охранной сигнализации с выводом сигнала на диспетчерский пункт.

Для площадок станций водоподготовки с зоной санитарной охраны первого пояса должен приниматься полный объем технических средств охраны; для площадок станций водоподготовки с напорными фильтрами, насосных станций, резервуаров и водонапорных башен - ограждение согласно 15.4 и охранное освещение; для площадок сооружений забора подземной и поверхностной воды и насосных станций первого подъема, а также для площадок станций водоподготовки, насосных станций, резервуаров и водонапорных башен, размещаемых на предприятиях, территория которых имеет ограждение и сторожевую охрану, - ограждение, предусмотренное 15.4.

15.6. К зданиям и сооружениям водопровода, расположенным вне населенных пунктов и предприятий, а также в пределах первого пояса зоны санитарной охраны водозаборов подземных вод, следует предусматривать подъезды и проезды с облегченным усовершенствованным покрытием.

Объемно-планировочные решения

15.7. Объемно-планировочные и конструктивные решения зданий и сооружений водоснабжения следует принимать согласно СП 44.13330, СП 56.13330.

15.8. При проектировании станций водоподготовки следует, как правило, предусматривать блокировку емкостных сооружений и помещений, связанных общим технологическим процессом.

15.9. Класс ответственности и степень огнестойкости зданий и сооружений следует принимать по таблице 27.

Таблица 27

Класс ответственности и степень огнестойкости зданий и сооружений

Сооружения Категория сооружений по степени обеспеченности подачи воды по 7.4 Класс ответственности зданий, сооружений и конструкций Степень огнестойкости
1. Водозаборы I I II
  II II III
  III II IV
2. Насосные станции I II I
  II II II
  III II III
3. Станции водоподготовки II II II - III
4. Отдельно стоящие хлораторные I II II
5. Резервуары для хранения воды при количестве:      
до 2 или при наличии пожарного объема воды I II Не нормируется
свыше 2 или без пожарного объема воды II II То же
6. Водоводы I - III I - II "
7. Водопроводные сети, колодцы III III "
8. Водонапорные башни III II II
9. Отделения приготовления реагентов, склады II II II
10. Помещения электроустановок камеры трансформаторов, РУ, КТП, помещения щитов, диспетчерские III II II
Примечание - Вспомогательные здания и бытовые помещения следует относить ко II классу ответственности и II степени огнестойкости. По степени пожарной опасности здания и сооружения водоснабжения следует относить к производству категории Д, отделения углевания и аммиачных - к производству категории В.

15.10. Группы санитарной характеристики производственных процессов, данные для расчета отопления и вентиляции зданий и помещений следует принимать по таблице 29. Естественное и искусственное освещение помещений следует применять согласно СП 52.13330.

15.11. Размеры прямоугольных и диаметры круглых в плане емкостных сооружений рекомендуется принимать кратными 3 м, а по высоте - 0,6 м. При длине стороны или диаметре сооружений до 9 м, а также для емкостных сооружений, встроенных в здания (независимо от их размеров), допускается принимать размеры прямоугольных сооружений кратными 1,5 м, круглых - 1 м.

15.12. Подземные емкостные сооружения, имеющие обвалование грунтом высотой менее 0,5 м над спланированной поверхностью территории, должны иметь ограждение от возможного заезда транспорта или механизмов. Если перекрытие подземных емкостных сооружений рассчитано на восприятие нагрузок от транспорта или механизмов, устройство ограждения не обязательно.

15.13. Открытые емкостные сооружения, если их стены возвышаются над отметкой пола, площадки или планировки менее чем на 0,75 м, должны иметь по внешнему периметру дополнительное ограждение, при этом общая высота до верха ограждения должна быть не менее 0,75 м. Для стен, ширина верхней части которых более 300 мм, допускается возвышение над полом, площадкой или планировкой не менее 0,6 м без ограждения. Отметка пола или планировки должна быть ниже верха стен открытых емкостных сооружений не менее чем на 0,15 м.

15.14. Допускается опирание ограждающих и несущих конструкций здания на стены встроенных емкостей, не предназначенных для хранения агрессивных жидкостей.

15.15. Лестницы для выхода из заглубленных помещений должны быть шириной не менее 0,9 м с углом наклона не более 45°, из помещений длиной до 12 м - не более 60°. Для подъема на площадки обслуживания ширина лестниц должна быть не менее 0,7 м, угол наклона не более 60°. В стесненных условиях для подъема на площадки до 2 м допускается устройство стремянок.

Для одиночных переходов через трубы и для подъема к отдельным задвижкам и затворам допускается применять лестницы шириной 0,5 м с углом наклона более 60° или стремянки.

15.16. Спуск в колодцы, приямки и емкостные сооружения на глубину до 10 м допускается устраивать вертикальным по ходовым скобам или стремянкам. При этом на стремянках высотой более 4 м следует предусматривать защитные ограждения. В колодцах защитные ограждения допускается не предусматривать. Спуск в сооружения глубиной более 10 м необходимо предусматривать по вертикальным стремянкам с промежуточными площадками устанавливаемыми через 5 - 6 м по высоте.

15.17. Внутренняя отделка помещений должна приниматься согласно современным требованиям технологии и интерьера.

Конструкции и материалы

15.18. Емкостные сооружения следует проектировать, как правило, из сборно-монолитного железобетона. При обосновании допускается применение других материалов, обеспечивающих надлежащие эксплуатационные качества сооружений. Стены железобетонных цилиндрических емкостных сооружений диаметром более 9 м следует проектировать, как правило, предварительно обжатыми.

Для стволов водонапорных башен допускается применять сталь или местные несгораемые материалы, а для баков - сталь.

15.19. В емкостных сооружениях длиной до 50 м, располагаемых в неотапливаемых зданиях или на открытом воздухе, и длиной до 70 м, располагаемых в отапливаемых зданиях или полностью обвалованных грунтом, температурно-усадочные швы допускается не предусматривать при условии, если температура наружного воздуха наиболее холодных суток не ниже минус 40 °C и температура воды в емкостном сооружении не превышает 40 °C.

При этом в сооружениях длиной соответственно более 25 и 40 м следует предусматривать устройство одного-двух временных швов шириной 0,5 - 1 м, замоноличиваемых при положительной температуре в самое холодное время строительного периода; бетонирование днища между этими швами должно производиться непрерывно.

15.20. Герметичность ограждающих конструкций подземных частей зданий не должна допускать наличия увлажненных участков (без выделения капельной влаги) площадью более 20% внутренней поверхности ограждающих конструкций.

Ограждающие конструкции емкостных сооружений должны обеспечивать требования, предъявляемые при гидравлических испытаниях этих сооружений.

Ограждающие конструкции резервуаров для питьевой воды, кроме того, должны полностью исключать возможность попадания в резервуар атмосферной и грунтовой воды, а также пыли.

15.21. Для закрытых емкостных сооружений необходимо проектировать утепление стен и покрытий в зависимости от климатических условий, температуры поступающей воды и технологического режима их работы.

Утепление следует предусматривать, как правило, обсыпкой грунтом, при этом толщина слоя грунта на покрытии должна быть не менее 0,5 м. Допускается применение утеплителей из искусственных материалов.

Следует предусматривать мероприятия, предохраняющие от промерзания грунт основания под днищами при опорожнении емкости в зимнее время, а также во время строительства.

15.22. В резервуарах, предназначенных для хранения питьевой воды, внутренние поверхности бетонных и железобетонных конструкций, соприкасающиеся с водой, должны отвечать требованиям не ниже категории А1 по ГОСТ 13015. (в ред. Изменения N 4, утв. Приказом Минстроя РФ от 21.01.2019 N 21/пр)

15.23. При проектировании контактных осветлителей для подготовки воды на хозяйственно-питьевые нужды следует предусматривать остекленные перегородки высотой от пола площадок обслуживания не менее 2,5 м, отделяющие осветлители от коридора управления; при этом нижняя часть перегородки на высоту 1 - 1,2 м должна быть глухой.

Для днищ контактных осветлителей без поддерживающих слоев следует применять бетоны не ниже класса W25.

15.24. Марки бетона по морозостойкости и водонепроницаемости для железобетонных конструкций емкостных сооружений должны удовлетворять требованиям, приведенным в таблице 28.

Таблица 28

Требования к марке бетона по морозостойкости и водонепроницаемости для железобетонных конструкций емкостных сооружений

Конструкции и условия их эксплуатации Требуемая марка бетона
по морозостойкости при расчетной температуре наружного воздуха по водонепроницаемости
минус 5 °C и выше ниже минус 5 °C до минус 20 °C ниже минус 20 °C до минус 40 °C ниже минус 40 °C
1. Конструкции, подвергающиеся чередующемуся замораживанию и оттаиванию при переменном уровне воды, с постоянным воздействием воздушной среды:  
а) тонкостенные конструкции типа лотков F 150 F 200 F 300 F 400 При градиентах напора:
до 30 - W4
от 30 до 50 - W6
свыше 50 - W8
б) прочие конструкции открытых сооружений (облицовка откосов водоемов, водозаборных сооружений) F 100 F 150 F 200 F 300 То же
2. То же, при постоянном уровне воды (стены открытых емкостных сооружений) F 75 F 100 F 150 F 200 "
3. Конструкции, заглубленные в грунт или обсыпанные грунтом и находящиеся в зоне сезонного промерзания (ограждающие конструкции емкостей и колодцев) F 50 F 75 F 100 F 150 "
4. Конструкции, расположенные в отапливаемых помещениях (фильтры, осветлители, баки для реагентов), постоянно находящиеся под водой (водоприемники, днища емкостных сооружений) или заглубленные ниже глубины промерзания - - F 50 F 75 "
Примечания
1. Марки бетона по морозостойкости даны для сооружений II класса ответственности. Для сооружений I класса марки бетона по морозостойкости должны быть повышены на одну ступень, а для сооружений III класса понижены на одну ступень, но не ниже F 50.
2. При наличии агрессивной среды марки бетона по водонепроницаемости следует назначать с учетом требований СП 28.13330.
3. На емкостные сооружения водоснабжения требования на бетон гидротехнический не распространяются.
4. Под градиентом напора понимается отношение величины гидростатического напора к толщине конструкции.

15.25. Заделка трубопроводов в ограждающих конструкциях емкостных сооружений и подземных частей зданий должна обеспечить водонепроницаемость ограждающих конструкций.

При жесткой заделке труб следует учитывать возможность передачи усилий от них на ограждающие конструкции и принимать меры к исключению или уменьшению этих усилий; при применении сальников необходимо обеспечивать доступ к ним для осмотра и возобновления уплотняющей набивки.

Во всех случаях заделки трубопроводов необходимо предусматривать мероприятия, обеспечивающие сохранность сопряженного с ними оборудования и ограждающих конструкций от температурных и сейсмических воздействий, а также от разности осадок зданий или сооружений и наружных трубопроводов.

Примечание - Проход труб через днище допускается предусматривать при помощи стальных ребристых патрубков, жестко заделываемых в днище с обетонированием участка трубопровода под днищем.

15.26. Гидравлические испытания емкостных сооружений на прочность и водонепроницаемость согласно СП 129.13330 должны производиться при положительной температуре поверхности наружных стен, при этом сооружения с антикоррозионным покрытием должны испытываться до нанесения покрытия.

Резервуары для питьевой воды должны дополнительно испытываться на герметичность всех ограждающих конструкций.

15.27. Высоту засыпки от верха покрытия колодцев до ее поверхности следует определять с учетом вертикальной планировки и принимать не менее 0,5 м.

Вокруг люков колодцев, размещаемых на застроенных территориях без дорожных покрытий, следует предусматривать отмостки шириной 0,5 м с уклоном от люков. На проезжей части с усовершенствованными покрытиями крышки люков должны быть на одном уровне с поверхностью проезжей части.

Крышки люков колодцев на водоводах, прокладываемых по незастроенной территории, должны быть выше поверхности земли не менее чем на 0,2 м.

Расчет конструкций

15.28. При расчете емкостных сооружений и подземных частей зданий нагрузки, воздействия и коэффициенты перегрузки должны приниматься согласно СП 20.13330 и таблице 29, класс ответственности - по таблице 27.

Таблица 29

Указания по расчету конструкций емкостных сооружений

Нагрузки и воздействия Коэффициент перегрузки Заглубленные в грунт или обвалованные сооружения Емкостные сооружения внутри зданий
Емкостные сооружения Подземные части зданий
закрытые открытые
Сочетания нагрузок
I II I II I II I II
Постоянные
Давление грунта обратной засыпки 1,15 - + - + - + - -
Вес грунта обсыпки 1,15 - + - - - - - -
Собственный вес конструкции 1,1 (0,9) + + + + - + + +
Временные длительные
Давление технологической жидкости 1 - См. примечание 2 - См. примечание 2 - - - +
Давление грунтовых вод 1,1 - + - + - + - -
Температурные воздействия от технологической жидкости 1,2 - + - + - - - +
Кратковременные
Нагрузки на призме обрушения грунта обратной засыпки в основании обваловки по фактическим данным, но не менее 10 КПа (1000 кгс/м2) 1,3 - + - + - + - -
Давление воды при гидравлическом испытании 1 + - + - - - + -
Нагрузка на покрытии и обваловке, включая временную нагрузку или вакуум, возникающий при опорожнении, а также снеговую, не более 2,5 КПа (250 кгс/м2) 1,2 - + - - - - - -
Вакуум при опорожнении закрытых емкостей по фактическим данным, но не более 0,1 КПа (100 кгс/м2) 1,1 - + - - - - - -
Примечания
1. Знак "плюс" означает наличие нагрузки или воздействия в данном сочетании.
2. Давление воды на ограждающие конструкции при гидравлических испытаниях учитывается как временная кратковременная нагрузка. Давление технологической жидкости на наружные стены в течение эксплуатации следует учитывать как временное длительное, при этом для сооружений, заглубленных в грунт, необходимо учитывать сочетание с одновременным давлением грунта обсыпки. Давление на внутренние стены многосекционных емкостных сооружений следует учитывать как временную кратковременную нагрузку, если при эксплуатации этих сооружений соседние секции будут опорожняться кратковременно.
3. Нормативная нагрузка на стены и днища емкостных сооружений от давления технологической жидкости (или воды при гидравлическом испытании) должна приниматься равной гидростатическому давлению жидкости при максимальном проектном уровне. Расчетная нагрузка должна приниматься равной гидростатическому давлению жидкости при уровне жидкости на 100 мм выше кромки переливного устройства, а при его отсутствии - до верха стен.
4. На температурные воздействия следует рассчитывать конструкции сооружений, заполненных жидкостью с температурой выше 50 °C или при перепаде температур более 30 °C.
5. Покрытия заглубленных или обвалованных емкостных сооружений следует рассчитывать на кратковременную нагрузку от строительных механизмов, перемещающихся по слою грунта толщиной не менее 0,3 м, без учета других временных нагрузок.
6. Расчет элементов покрытия на внецентренное растяжение при эксплуатации от давления технологической жидкости в емкости следует выполнять на максимально возможную нагрузку на покрытие и давление на стены от грунта с коэффициентом перегрузки 0,9 и углом внутреннего трения с коэффициентом 1,1.
7. Перегородки, не рассчитываемые на гидростатическое давление, должны быть проверены на ветровую нагрузку при опорожнении открытых или при строительстве закрытых емкостных сооружений.

15.29. Расчет емкостных сооружений должен производиться на нагрузки и воздействия с учетом коэффициентов перегрузки, указанных в таблице 29 на два сочетания нагрузок:

I - при гидравлических испытаниях, когда заглубленное в грунт сооружение залито водой с наиболее невыгодным посекционным заполнением. Для необсыпаемых сооружений это сочетание является эксплуатационным;

II - при эксплуатации, когда сооружение не заполнено водой и обсыпано грунтом. В этом случае необходима проверка на устойчивость против всплывания.

15.30. Расчетные уровни грунтовых вод на площадках водопроводных сооружений должны устанавливаться согласно долгосрочному прогнозу с учетом максимального уровня воды в водотоке или водоеме в зависимости от принятого процента обеспеченности по таблице 8. Прочность и устойчивость зданий и сооружений, расположенных в поймах водотоков и водоемов, при строительстве следует проверять при расчетном уровне воды 10% обеспеченности.

15.31. Расчет емкостных сооружений на устойчивость против всплывания допускается производить без учета временного повышения грунтовых вод в периоды паводка, если в проектах предусмотрены мероприятия, предотвращающие опорожнение сооружений в этот период, и контроль за уровнем грунтовых вод.

Коэффициент устойчивости против всплывания следует принимать равным 1,1.

15.32. Напряжения сжатия в бетоне стен цилиндрических емкостных сооружений от предварительного обжатия, после заполнения их водой при отсутствии обсыпки и с учетом всех потерь в напрягаемой арматуре, должны быть не менее: в нижней части, равной 1/3 высоты, - 0,8 МПа, в верхней части - 0,5 МПа. (в ред. Изменения N 4, утв. Приказом Минстроя РФ от 21.01.2019 N 21/пр)

Антикоррозионная защита строительных конструкций

15.33. Антикоррозионная защита строительных конструкций должна предусматриваться согласно СП 28.13330.

15.34. При проектировании подземных и наземных сооружений, располагаемых в зоне действия блуждающих токов, должны предусматриваться меры защиты железобетонных конструкций от электрохимической коррозии.

15.35. Следует предусматривать возможность нанесения и периодического восстановления антикоррозионного покрытия элементов конструкции или принимать конструктивные решения, обеспечивающие сохранность сооружений на весь период эксплуатации.

15.36. Использование восстановленных стальных труб и других, бывших в употреблении видов металлоконструкций (профилей, балок, листов, полос, свай, шпунтов и др.) не допускается предусматривать в проектной и рабочей документации на строительство, реконструкцию и капитальный ремонт зданий и сооружений повышенного и нормального уровня ответственности. (в ред. Изменения N 2, утв. Приказом Минстроя РФ от 30.12.2015 N 960/пр)

При проектировании емкостей для хранения агрессивных жидкостей следует предусматривать возможность регулярного наблюдения за состоянием наружных поверхностей стен и контроля герметичности днища.

Не допускаются:

опирание несущих стен зданий на стены емкостей;

опирание на стены или днища емкостей междуэтажных перекрытий и колонн;

устройство разделительных перегородок внутри емкости для хранения различных жидкостей;

прокладка трубопроводов в толще бетона днищ;

нарушение цельности антикоррозионных покрытий.

Примечание - В случаях, когда обеспечен доступ к элементам конструкций емкостей для регулярного осмотра и обеспечена возможность периодического восстановления антикоррозионного покрытия и ремонта конструкций, допускается опирание на стены емкостей площадок обслуживания и ограждающих конструкций помещения насосов для перекачки жидкостей из этих емкостей.

Отопление и вентиляция

15.37. Необходимый воздухообмен в производственных помещениях следует рассчитывать по количеству вредных выделений от открытых емкостных сооружений, оборудования, коммуникаций. Количество вредных выделений следует принимать по данным технологической части проекта.

При отсутствии данных следует использовать результаты натурных обследований аналогичных действующих сооружений. Для сооружений, по которым нет аналогов, допускается рассчитывать количество воздуха по кратности воздухообмена согласно таблице 29а.

Таблица 29а

Значения температуры и кратности воздухообмена для различных зданий и помещений на сооружениях водоснабжения

Сооружения и помещения Температура воздуха для систем отопления, °C Кратность воздухообмена, ч Группа санитарных характеристик производственных процессов
приток вытяжка
1. Машинные залы водозаборных сооружений 5 1 1 I-б
2. Машинные залы насосных станций 5 По расчету на тепловыделения I-б
3. Станции водоподготовки:      
а) отделение барабанных сеток и микрофильтров 5 По расчету на влаговыделения I-б
б) отделение фильтровального зала 5 То же То же I-б
в) хлордозаторная, озонаторная 16 6 6 II-в
г) дозаторная аммиака 16 6 6 II-в
4. Отделения реагентного хозяйства для приготовления растворов:        
а) сернокислого алюминия, известкового молока, гексаметафосфата, фтористого натрия, полиакриламида, активной кремнекислоты 16 3 3 II-в
б) хлорного железа, гипохлорита 16 6 6 II-в
5. Склады реагентов:      
а) мокрого хранения сернокислого алюминия, извести, соды 5 По расчету на влаговыделения II-г
б) жидкого хлора См. примеч. 3 6 6 + 6 аварийная II-г
в) жидкого хлора неотапливаемые - - 6 + 6 аварийная II-г
г) аммиака Не отапливается - 6 II-г
д) активного угля, фосфатов, сульфоугля, полиакриламида, жидкого стекла, фторсодержащих реагентов 5 3 3 II-в
е) серной кислоты 5 6 6 II-г
ж) хлорного железа 5 6 6 II-г
Примечания
1. При наличии в производственных помещениях постоянного обслуживающего персонала температура воздуха в них должна быть не менее 16 °C.
2. Температуру воздуха в помещениях, имеющих большие водные поверхности, следует принимать не менее чем на 2 °C выше температуры водной поверхности.
3. В складах жидкого хлора отопление, как правило, не предусматривается. При установке в расходном складе хлора, кроме тары с жидким хлором, технологического оборудования, связанного с эксплуатацией хлорного хозяйства, следует предусматривать отопление для обеспечения расчетной температуры воздуха 5 °C.

15.38. Выброс воздуха постоянно действующей вентиляцией из помещения хлордозаторной следует осуществлять через трубу высотой на 2 м выше конька кровли самого высокого здания, находящегося в радиусе 15 м, постоянно действующей и аварийной вентиляцией из расходного склада хлора - через трубу высотой 15 м от уровня земли. При необходимости следует предусматривать очистку выбросного воздуха.

15.39. В помещении приготовления раствора хлорного железа кроме общеобменной вентиляции необходимо предусматривать местный отсос воздуха из бокса для вымывания хлорного железа из тары.

15.40. В помещении приготовления раствора фтористого натрия кроме общеобменной вентиляции необходимо предусматривать местный отсос воздуха из шкафного укрытия для растаривания бочек с фтористым натрием. В сечениях рабочих проемов скорость воздуха должна быть не менее 0,5 м/с.

15.41. При проектировании водопроводных сетей следует применять технологические процессы и конструктивные решения, обеспечивающие требуемую долговечность сооружений по СП 255.1325800. (в ред. Изменения N 4, утв. Приказом Минстроя РФ от 21.01.2019 N 21/пр)

16 Дополнительные требования к системам водоснабжения в особых природных и климатических условиях

Сейсмические районы

Общие указания

16.1. Требования настоящего подраздела должны выполняться при проектировании систем водоснабжения в районах с сейсмичностью 7, 8 и 9 баллов.

16.2. В районах с сейсмичностью 8 и 9 баллов при проектировании систем водоснабжения I категории и II категории следует предусматривать использование не менее двух источников водоснабжения; допускается использование одного поверхностного источника с устройством водозаборов в двух створах, исключающих возможность одновременного перерыва подачи воды. (в ред. Изменения N 2, утв. Приказом Минстроя РФ от 30.12.2015 N 960/пр)

Для систем водоснабжения III категории и, при обосновании, для II категории, а также для систем водоснабжения всех категорий в районах с сейсмичностью 7 баллов допускается использование одного источника водоснабжения.

В районах с сейсмичностью 7, 8 и 9 баллов при использовании в качестве источника водоснабжения подземных вод из трещиноватых и карстовых пород для систем водоснабжения всех категорий следует принимать второй источник - поверхностные или подземные воды из песчаных и гравелистых пород.

16.3. В системах водоснабжения при использовании одного источника водоснабжения (в том числе поверхностного при заборе воды в одном створе) в районах с сейсмичностью 8 и 9 баллов в емкостях следует предусматривать объем воды на пожаротушение в два раза больше определяемого по 11.4 и аварийный объем воды, обеспечивающий производственные нужды по аварийному графику и хозяйственно-питьевые нужды в размере 70% расчетного расхода не менее 8 ч в районах с сейсмичностью 8 баллов и не менее 12 ч в районах с сейсмичностью 9 баллов.

16.4. Для повышения надежности работы систем водоснабжения следует рассматривать возможность: рассредоточения напорных резервуаров; замены водонапорных башен напорными резервуарами; устройства по согласованию с органами санитарно-эпидемиологической службы перемычек между сетями хозяйственно-питьевого, производственного и противопожарного водопровода, а также подачи необработанной обеззараженной воды в сеть хозяйственно-питьевого водопровода.

16.5. Насосные станции противопожарного и хозяйственно-питьевого водоснабжения не допускается блокировать с производственными зданиями и сооружениями.

При блокировке насосных станций со зданиями и сооружениями водоснабжения необходимо предусматривать мероприятия, исключающие возможность затопления машинных залов и помещений электроустройств при нарушении герметичности емкостных сооружений.

16.6. Заглубленные насосные станции должны располагаться на расстоянии (в свету) не менее 10 м от резервуаров и трубопроводов.

16.7. На станциях подготовки воды емкостные сооружения необходимо разделять на отдельные блоки, количество которых должно быть не менее двух.

16.8. На станции подготовки воды должны предусматриваться обводные линии для подачи воды в сеть, минуя сооружения. Обводную линию следует прокладывать на расстоянии (в свету) не менее 5 м от других сооружений и коммуникаций. При этом должно быть предусмотрено простейшее устройство для хлорирования подаваемой в сеть питьевой воды.

16.9. Количество резервуаров одного назначения в одном узле должно быть не менее двух, при этом соединение каждого резервуара с подающими и отводящими трубопроводами должно быть самостоятельным, без устройства между соседними резервуарами общей камеры переключения.

16.10. Жесткая заделка труб в стенах и фундаментах зданий не допускается. Размеры отверстий для прохода труб должны обеспечивать зазор по периметру не менее 10 см; при наличии просадочных грунтов зазор по высоте должен быть не менее 20 см; заделку зазора следует принимать из плотных эластичных материалов.

Проход труб через стены подземной части насосных станций и емкостных сооружений следует принимать таким, чтобы взаимные сейсмические воздействия стен и трубопроводов исключались. Для этой цели должны применяться сальники. (в ред. Изменения N 2, утв. Приказом Минстроя РФ от 30.12.2015 N 960/пр)

16.11. На вводах и выходах трубопроводов из зданий или сооружений, в местах присоединения трубопроводов к насосам, водозаборным скважинам, в местах соединения стояков водонапорных башен с горизонтальными трубопроводами, а также в местах резкого изменения профиля или направления трассы трубопроводов необходимо предусматривать гибкие соединения, допускающие угловые и продольные перемещения концов трубопроводов.

Водоводы и сети

16.12. При проектировании водоводов и сетей в сейсмических районах допускается применять все виды труб, указанные в 11.20* и обеспечивающие надежную работу при воздействии сейсмических нагрузок. При этом глубину заложения труб следует принимать согласно разделу 8.

Абзац исключен. (в ред. Изменения N 4, утв. Приказом Минстроя РФ от 21.01.2019 N 21/пр)

16.13. Выбор класса прочности труб необходимо производить с учетом основных и особых сочетаний нагрузок при сейсмических воздействиях.

Компенсационные способности стыков необходимо обеспечивать применением гибких стыковых соединений.

16.14. Количество линий водоводов должно быть не менее двух. Количество переключений следует назначать, исходя из условия возникновения на водоводах двух аварий, при этом общую подачу воды на хозяйственно-питьевые нужды допускается снижать не более чем на 30% расчетного расхода, на производственные нужды - по аварийному графику. (в ред. Изменения N 2, утв. Приказом Минстроя РФ от 30.12.2015 N 960/пр)

В системах водоснабжения III категории и, при обосновании, II категории допускается прокладка водоводов в одну линию, при этом объем емкостей следует принимать по большей величине, определенной по 12.4 или 16.3.

Водопроводные сети должны проектироваться кольцевыми.

Строительные конструкции

16.15. Конструкции зданий и сооружений следует проектировать в соответствии с требованиями СП 14.13330 и настоящего раздела.

Расчетная сейсмичность зданий и сооружений систем водоснабжения должна приниматься согласно таблице 30.

Таблица 30

Класс ответственности зданий и сооружений Расчетная сейсмичность зданий и сооружений при сейсмичности площадки строительства, балл
7 8 9
I - II 7 8 9
III Без учета сейсмических воздействий 7 7
Примечание - Здания и сооружения рассчитываются на нагрузки, соответствующие расчетной сейсмичности. Эти нагрузки для зданий и сооружений, функционирование которых необходимо при ликвидации последствий землетрясения, умножаются на коэффициент 1,2, для водозаборных сооружений поверхностной воды - 1,5.

16.16. Емкостные сооружения и подземные части зданий должны рассчитываться на наиболее опасные возможные сочетания сейсмических воздействий от собственной массы конструкций, массы жидкости, заполняющей емкость, и грунта, включая обваловку. Определение величины сейсмических воздействий от массы жидкости и грунта следует выполнять по СП 14.13330.

Примечание - При расчете водонапорных башен требования настоящего пункта распространяются только на расчет конструкций бака.

16.17. Сейсмические воздействия на емкостные сооружения и подземные части зданий от собственной массы конструкций и нагрузок на них определяются как для зданий. При этом значения произведений коэффициентов, входящих в формулы (1) и (2) СП 14.13330, допускается принимать по таблице 31.

Таблица 31

Значения коэффициентов в формулах (1) и (2) СП 14.13330

Расположение зданий и сооружений по отношению к грунту Значения произведений коэффициентов в зависимости от категории грунта по СП 14.13330 Значения произведений коэффициентов в зависимости от класса ответственности зданий и сооружений по таблице 31*
I II III I II III
Наземные 3 2,7 2 0,3 0,25 0,2
Подземные 2 1,8 1,5 0,25 0,2 0,15
Примечание - Сооружения, заглубленные в грунт, рассчитываются как подземные, если величина заглубления превышает половину их высоты, и как наземные при меньшем заглублении.

(в ред. Изменения N 2, утв. Приказом Минстроя РФ от 30.12.2015 N 960/пр)

Таблица 31*

(в ред. Изменения N 2, утв. Приказом Минстроя РФ от 30.12.2015 N 960/пр)

Наименование сооружения Категория сооружений Класс ответственности зданий, сооружений и конструкций Степень огнестойкости
1 Водозаборы I I II
II II III
III II IV
2 Насосные станции I II I
II II II
III II III
3 Станции водоподготовки II II II - III
4 Отдельно стоящие хлораторные I II II
5 Емкости для хранения воды при числе:      
до 2 или при наличии пожарного объема воды I II Не нормируется
св. 2 или без пожарного объема воды II II То же
6 Водоводы I - III I - III "
7 Водопроводные сети, колодцы III III "
8 Водонапорные башни III II II
9 Охладители оборотной воды:      
- градирни II II II - V
- брызгальные бассейны II II Не нормируется
10 Отделения приготовления реагентов, склады II II II
11 Помещения электроустановок, камеры трансформаторов, РУ, КТП, помещения щитов, диспетчерские III II II
Примечание - Вспомогательные здания и бытовые помещения следует относить ко II классу ответственности и ко II степени огнестойкости.

16.17а. Здания в комплектно-блочном исполнении заводского изготовления хозяйственно-питьевого и противопожарного водоснабжения (за исключением относящихся к первой категории по степени обеспеченности подачи воды и классу ответственности I) следует относить к степени огнестойкости IV и классам конструктивной пожарной опасности С0, С1 по классификации [1] с учетом требований СП 56.13330. (в ред. Изменения N 4, утв. Приказом Минстроя РФ от 21.01.2019 N 21/пр; в ред. Изменения N 5, утв. Приказом Минстроя РФ от 23.12.2019 N 838/пр)

Подрабатываемые территории

Общие указания

16.18. При проектировании зданий и сооружений, водоводов и сетей необходимо предусматривать защиту их от влияния подземных горных разработок с учетом требований СП 21.13330.

16.19. Проектирование закрытых резервуаров допускается на подрабатываемых территориях I - IV групп объемом не более 6000 м3, на подрабатываемых территориях Iк - IVк групп для большего объема воды следует предусматривать несколько резервуаров. Объем открытых емкостей не нормируется.

16.20. Камеры переключений должны быть отделены от резервуаров деформационными швами.

16.21. При проектировании емкостных сооружений необходимо предусматривать свободный доступ к их основным элементам и узлам для обеспечения контроля за работой сооружений и для производства последеформационных ремонтов.

16.22. В сооружениях для подготовки воды (осветлители, отстойники, фильтры и т.д.) необходимо предусматривать возможность выравнивания водосливных кромок лотков и желобов после деформаций основания.

Для лотков и желобов с затопленными отверстиями выравнивание кромок предусматривать не требуется.

16.23. При проектировании станций подготовки воды необходимо применять раздельную компоновку основных сооружений. Блокировка их допускается для станций производительностью до 30000 м3/сут и в случаях строительства на подрабатываемых территориях IV группы.

16.24. В целях повышения надежности работы станций водоподготовки отдельные сооружения следует разделять на блоки и секции.

16.25. Отметки днища и уровней воды в емкостных сооружениях необходимо назначать с учетом обеспечения самотечности движения воды после деформаций основания.

16.26. Трубопроводы и арматура в зданиях и сооружениях водопровода должны приниматься стальными.

Узлы крепления трубопроводов и арматуры к конструкциям сооружения должны проектироваться с учетом их возможных взаимных перемещений и усилий, передаваемых на них трубопроводами.

Примечание - Применение чугунной арматуры допускается только в сооружениях II и III категорий по степени обеспеченности подачи воды по 7.4.

16.27. Для уменьшения усилий в трубопроводах, вызванных перемещениями конструкций сооружений и деформацией грунта вследствие подработки, следует повышать податливость трубопроводов за счет применения компенсирующих устройств, рационального размещения и выбора типа узлов крепления и конструкции пропусков труб через стены сооружений.

Водоводы и сети

16.28. При проектировании трубопроводов на подрабатываемых территориях следует применять все виды труб с учетом назначения трубопроводов, требуемой прочности труб и компенсационной способности стыков.

16.29. Стыковые соединения раструбных и муфтовых труб должны быть податливыми с применением уплотнительных упругих колец или мастик.

Прочность сварных соединений стальных и полимерных труб должна быть не ниже прочности трубы. (в ред. Изменения N 2, утв. Приказом Минстроя РФ от 30.12.2015 N 960/пр)

16.30. На водоводах места установки вантузов и выпусков необходимо назначать с учетом ожидаемых деформаций оснований.

16.31. При проектировании водоводов в две или более линии их следует прокладывать на площадях с разными сроками подработки.

16.32. Допускается применять совмещенную прокладку трубопроводов в тоннелях или каналах с учетом воздействия деформаций земной поверхности.

16.33. Конструктивные мероприятия по защите трубопроводов следует назначать исходя из расчета деформаций земной поверхности от разработки полезных ископаемых за 20-летний период эксплуатации трубопроводов.

Для трубопроводов систем водоснабжения II и III категорий выполнение конструктивных мероприятий допускается назначать, исходя из деформаций земной поверхности от разработки полезных ископаемых за период менее 20 лет. При этом в проекте должна предусматриваться возможность осуществления дополнительных мер защиты в процессе эксплуатации.

16.34. Объем конструктивных мер защиты подземных трубопроводов должен обосновываться расчетом, при этом следует рассматривать:

применение изоляции, снижающей силовое воздействие деформирующегося грунта на трубопровод;

применение малозащемляющих материалов для обсыпки труб;

увеличение толщины стенки трубы;

применение труб из более прочных материалов;

установку компенсаторов.

16.35. Проверку прочности подземных трубопроводов необходимо производить с учетом совместного действия кольцевых и продольных напряжений. Кольцевые напряжения следует учитывать от воздействия внутреннего давления или вакуума, внешней нагрузки от засыпки и транспортных средств и деформации контура поперечного сечения в зоне уступа.

Продольные напряжения следует учитывать от воздействия внутреннего давления, изменения температуры и деформирующегося грунта.

16.36*. Для напорных трубопроводов (неметаллических, чугунных из серого чугуна или ВЧШГ) соединяемых на раструбах и муфтах, предельное состояние определяют по максимальному раскрытию стыков, при котором сохраняется герметичность. Для стеклокомпозитных труб определяется показатель углового смещения, который должен соответствовать требованиям СП 129.13330. (в ред. Изменения N 2, утв. Приказом Минстроя РФ от 30.12.2015 N 960/пр, Изменения N 3, утв. Приказом Минстроя РФ от 24.05.2018 N 307/пр)

Предельное раскрытие стыкового соединения напорного трубопровода следует принимать, см:

- 0,2 - для чугунных (из серого чугуна) труб;

- 0,3 - для железобетонных раструбных труб;

- 1,5 - для хризотилцементных труб;

- 3,0 - для диаметров до 600 мм для труб из ВЧШГ, 4,0 для диаметров свыше 600 мм.

Строительные конструкции

16.37. Емкостные сооружения следует проектировать по жестким, податливым или комбинированным конструктивным схемам, определяющим работу сооружения на воздействие деформаций основания, при этом следует предусматривать:

по жесткой конструктивной схеме - исключение возможности взаимного перемещения элементов днища, стен, покрытия и перегородок при всех видах неравномерных деформаций;

по податливой конструктивной схеме - возможность приспособления элементов ко всем видам неравномерных деформаций;

по комбинированной конструктивной схеме - податливость для одних и жесткость для других элементов.

16.38. Податливость элементов емкостных сооружений должна достигаться устройством деформационных водонепроницаемых швов, преимущественно на стыках сборных конструкций, в соединениях стен с днищем, покрытием и перегородками, а также при необходимости - в днище.

16.39. При проектировании емкостных сооружений по податливым и комбинированным конструктивным схемам на площадках с высоким уровнем грунтовых вод конструкции податливых швов должны обеспечивать восприятие двухстороннего гидростатического давления.

16.40. Для емкостных сооружений, запроектированных по податливым и комбинированным схемам, в слабофильтрующих глинистых грунтах необходимо предусматривать устройство дренажной системы.

16.41. Резервуары необходимо проектировать:

по жестким конструктивным схемам - объемом 50 и 100 м3 на I - IV группах и объемом 250 и 500 м3 на III - IV группах подрабатываемых территорий;

по податливым конструктивным схемам - объемом 1000 м3 на I группе, объемом 2000 и 3000 м3 на I - II группах и объемом 6000 м3 на I - III группах подрабатываемых территорий;

по комбинированным конструктивным схемам объемом 250 и 500 м3 на I - II группах, объемом 1000 м3 на II - IV группах, объемом 2000 и 3000 м3 на III - IV группах и объемом 6000 м3 на IV группе подрабатываемых территорий.

Резервуары на Iк - IVк группах подрабатываемых территорий следует проектировать по жестким конструктивным схемам.

16.42. Емкостные сооружения станций водоподготовки следует проектировать:

осветлители, вертикальные отстойники, смесители, камеры реакции, фильтры - по жесткой схеме;

горизонтальные отстойники - по податливой или комбинированной схеме;

радиальные отстойники - по жесткой или комбинированной схеме, обеспечивающей постоянный зазор между днищем и механизмом для удаления осадка.

16.43. Открытые емкостные сооружения следует проектировать по податливой конструктивной схеме в виде емкостей в грунте с облицовкой откосов и днища. Заложение откосов необходимо принимать равным 1:3.

16.44. При проектировании открытых емкостных сооружений на площадках, сложенных связными необводненными грунтами ненарушенной структуры при и облицовку емкостей допускается принимать непосредственно по основанию полимерными листовыми материалами. В других случаях облицовку следует предусматривать железобетонными плитами с устройством деформационных швов.

16.45. Днище железобетонных емкостных сооружений следует проектировать монолитным для территорий Iк - IVк групп - однослойным, для территорий I - IV групп - двухслойным.

Однослойное днище в виде железобетонной плиты должно рассчитываться на восприятие основного и особых сочетаний нагрузок.

Двухслойное днище должно включать железобетонную плиту, рассчитанную на основное сочетание нагрузок и деформацию искривления, и армированную подготовку, рассчитанную на горизонтальные деформации растяжения с учетом нелинейной работы основания и трещинообразования железобетона. При этом предельно допустимая ширина раскрытия трещин в армированной подготовке должна приниматься , .

Между плитой и подготовкой необходимо предусматривать слой мастичной гидроизоляции.

16.46. При необходимости уменьшения лобового давления на стены закрытого емкостного сооружения, возникающего при воздействии горизонтальных деформаций сжатия земной поверхности, следует предусматривать обваловку сооружения песчаным грунтом.

16.47. При необходимости уменьшения горизонтальных нагрузок по подошве емкостного сооружения, возникающих при воздействии горизонтальных деформаций растяжения, а также для снижения влияния вертикальных деформаций скального основания, возникающих при уступах и искривлении земной поверхности, следует предусматривать под днищем песчаную или грунтовую подушку.

Толщина подушки должна назначаться по расчету с учетом величин неравномерных деформаций, конструктивной схемы сооружения и его размеров в плане.

Многолетнемерзлые грунты (в ред. Изменения N 4, утв. Приказом Минстроя РФ от 21.01.2019 N 21/пр)

Общие указания

16.48. При проектировании сетей и сооружений водоснабжения следует принимать I или II принцип использования многолетнемерзлых грунтов в качестве основания согласно СП 25.13330. (в ред. Изменения N 4, утв. Приказом Минстроя РФ от 21.01.2019 N 21/пр)

16.49. Расчетные расходы воды допускается увеличивать за счет сброса воды для предохранения сетей и водоводов от замерзания. Целесообразность и расход сбрасываемой воды должны обосновываться.

16.50. При использовании в качестве источника водоснабжения подземных вод (надмерзлотных, межмерзлотных, подмерзлотных) следует использовать источники с более высокой температурой воды.

16.51. При определении диаметра водозаборных скважин следует (при необходимости) учитывать размеры устройств для их обогрева.

16.52. Искусственное регулирование и пополнение запасов подземных вод следует применять:

для внутригодового перераспределения и увеличения запасов надмерзлотных вод;

для создания запасов слабоминерализованных вод путем вытеснения засоленных межмерзлотных и подмерзлотных вод пресными водами;

для получения воды с требуемой температурой.

16.53. В составе систем искусственного пополнения подземных вод должны предусматриваться инфильтрационные сооружения, как правило, закрытого типа. Применение сооружений открытого типа допускается при обосновании.

16.54. В многолетнемерзлых грунтах на водотоках, имеющих постоянный поверхностный сток и устойчивое русло, тип водозаборных сооружений должен приниматься с учетом: (в ред. Изменения N 4, утв. Приказом Минстроя РФ от 21.01.2019 N 21/пр)

степени промерзания водотоков;

формирования зоны оттаивания и изменения в связи с этим качества воды;

мер защиты воды в водоприемных и водоотводящих элементах водозабора от замерзания.

16.55. Схемы водозабора следует принимать:

с сильно развитым фронтом берегового или затопленного водоприемника, в месте расположения которого русло следует регулировать системой невысоких запруд, размещаемых у противоположного берега;

с фильтрующим водоприемником, входное отверстие которого расположено на уровне русла водотока;

комбинированную, приспособленную для забора поверхностных и подрусловых вод.

Примечание - При наличии талых водопроницаемых подрусловых пород с хорошими фильтрационными свойствами устройство водозабора поверхностных вод взамен водозабора подрусловых вод необходимо обосновать.

16.56. Водозаборные сооружения из поверхностных источников следует располагать на естественно талых или многолетнемерзлых грунтах, при оттаивании которых деформации грунтов оснований не будут превышать допускаемых величин. (в ред. Изменения N 4, утв. Приказом Минстроя РФ от 21.01.2019 N 21/пр)

16.57. На водотоках, промерзающих до дна, следует принимать водозаборы из подрусловых вод.

16.58. Схема водоснабжения должна обеспечивать непрерывное движение воды на всех участках водоводов и сети.

16.59. В насосных станциях должна предусматриваться возможность подачи воды в обратном направлении - во всасывающие трубопроводы, при этом количество всасывающих линий должно быть не менее двух.

16.60. В насосных станциях независимо от их категории следует устанавливать не менее трех насосных агрегатов.

16.61. В резервуарах подводящих и отводящих трубопроводов должно предусматриваться постоянное движение воды.

Резервуары вместимостью до 100 м3 допускается размещать в отапливаемых помещениях с устройством вентилируемого подполья.

Водоводы и сети

16.62. При проектировании водоводов и сетей следует предусматривать:

предохранение транспортируемой воды от замерзания;

обеспечение устойчивости трубопроводов на многолетнемерзлых грунтах с учетом механического воздействия оттаивающих и промерзающих грунтов на трубопроводы и сооружения на них; (в ред. Изменения N 4, утв. Приказом Минстроя РФ от 21.01.2019 N 21/пр)

защиту многолетнемерзлых грунтов оснований от воздействия на них воды при авариях на трубопроводах; (в ред. Изменения N 4, утв. Приказом Минстроя РФ от 21.01.2019 N 21/пр)

организацию контроля за тепловым режимом водоводов и сетей и тепловым воздействием их на основания трубопроводов и близрасположенных зданий и сооружений.

16.63. При размещении сетей водопровода на генеральном плане следует предусматривать:

максимальное совмещение с сетями теплоснабжения;

минимальную протяженность сетей; использование блокировки зданий, позволяющей прокладывать сети на подвесках в вентилируемых подпольях;

сокращение числа подключений к сети водопровода за счет присоединения нескольких зданий к одному вводу водопровода.

16.64. Надземная прокладка, исключающая тепловое воздействие трубопроводов на грунт основания, должна предусматриваться на лежневых, городковых, подвесных, свайных опорах, на мачтах, эстакадах и по конструкциям зданий и сооружений в вентилируемых подпольях зданий.

В сложных грунтовых условиях и при сейсмической активности вне населенных пунктов следует предусматривать подвесную зигзагообразную прокладку трубопроводов.

16.65. При надземной прокладке трубопроводов следует принимать кольцевую тепловую изоляцию из нестареющего теплоизоляционного материала с гидроизоляцией и защитой от механических повреждений. Водоводы и сети, прокладываемые надземно, при любых способах компенсации температурных деформаций трубопроводов следует прокладывать ближе к поверхности земли в слое снежного покрова.

При расчете тепловых потерь трубопроводов термическое сопротивление снега учитывать не следует.

16.66. Подземная бесканальная прокладка трубопроводов должна приниматься на основе теплотехнических расчетов, при этом в летнее время зона протаивания грунта вокруг трубы не должна влиять на устойчивость оснований трубопроводов и близрасположенных зданий и сооружений, а в зимнее время - должна предохранять транспортируемую жидкость от замерзания.

При защите водопроводных труб от замерзания автоматическими выпусками воды или греющим электрическим кабелем допускается прокладка их в слое сезонного промерзания грунта.

16.67. Расстояния от подземных трубопроводов до фундаментов и сооружений следует принимать по теплотехническому расчету, но не менее 6 м при бесканальной прокладке трубопроводов.

16.68. Каналы допускается предусматривать на коротких участках сети.

16.69. Тоннели следует принимать при совмещенной прокладке водопровода с другими инженерными коммуникациями.

16.70. Вводы трубопроводов в здания, сооружаемые по принципу сохранения мерзлоты в основании фундаментов, следует предусматривать надземные, в вентилируемых каналах или подвесными к цокольному перекрытию в подпольях зданий.

Каналы и укладываемые в них трубопроводы должны иметь уклон от зданий.

16.71. Переходы трубопроводов через улицы или дороги в каналах или стальных футлярах следует ограничивать колодцами с размещением в них вентиляционных шахт и водосборных приямков и прокладывать только по непросадочным (на расчетную глубину протаивания) грунтам оснований.

16.72. При проектировании трубопроводов для предохранения транспортируемой воды от замерзания предусматриваются:

тепловая изоляция трубопроводов;

подогрев воды;

подогрев трубопроводов;

непрерывное движение воды в трубопроводах;

повышение гидродинамического трения в трубопроводах;

применение стальной арматуры в исполнении, устойчивом против замерзания;

установка автоматических выпусков воды.

16.73. Минимальная температура воды в водоводах и сетях должна определяться теплотехническими расчетами, при этом допускается принимать колебание температуры в интервале от нескольких долей градуса до нескольких градусов (3 - 5 °C).

При отсутствии теплотехнических расчетов температуру воды в концевых участках сети и водоводов допускается принимать для труб диаметром:

до 300 мм - не менее 5 °C;

свыше 300 мм - не менее 3 °C.

16.74. Для снижения затрат на подогрев воды следует использовать:

тепловые вторичные энергетические ресурсы;

теплоту гидродинамического трения за счет повышения скорости движения воды в трубопроводах, оптимальное значение которых следует определять расчетом.

16.75. Подогрев трубопроводов следует предусматривать с помощью теплового сопровождения или греющего электрокабеля. Греющий кабель при подземной бесканальной прокладке следует располагать над трубопроводом.

16.76. Непрерывное движение воды в трубопроводах должно обеспечиваться:

подключением крупных потребителей воды к концевым участкам тупиковой сети;

применением минимального числа колец сети, вытянутых по направлению основного потока воды к крупному потребителю;

принятием схемы водопроводных кольцевых сетей, замкнутых на циркуляционных насосных станциях, совмещенных в необходимых случаях с пунктами подогрева воды;

сбросом воды на концевом участке тупиковой сети;

бесперебойным электроснабжением насосной станции от двух независимых источников, установкой на площадке насосной станции резервной электростанции на жидком топливе или установкой дополнительного агрегата с двигателем внутреннего сгорания (при наличии одного источника электроснабжения);

организацией непрерывного контроля за расходом воды в водоводах и сетях.

16.77. Необходимо предусматривать автоматический контроль за температурой воды в начале и в конце водовода, на промежуточных станциях подогрева воды, в резервуарах и других сооружениях, а также на участках сети, наиболее опасных в отношении замерзания, при этом передача показаний должна предусматриваться на диспетчерский пункт.

16.78*. Для водоводов и сетей необходимо применять стальные, стеклокомпозитные, полимерные трубы и трубы из ВЧШГ (с раструбными стыковыми или замковыми соединениями под резиновое уплотнительное кольцо); чугунные трубы (из серого чугуна) допускается применять при прокладке в тоннелях. (в ред. Изменения N 2, утв. Приказом Минстроя РФ от 30.12.2015 N 960/пр, Изменения N 3, утв. Приказом Минстроя РФ от 24.05.2018 N 307/пр)

16.79. В местах пересечений трубопроводами строительных конструкций следует предусматривать эластичные уплотнения, допускающие перемещение труб.

16.80. Водоводы и водопроводные сети следует укладывать с уклоном не менее 0,002 по направлению к выпуску.

Длину ремонтных участков и диаметр выпусков следует принимать с учетом опорожнения участков за время, определяемое теплотехническим расчетом.

16.81. Пожарные гидранты специальной конструкции для районов с многолетнемерзлыми грунтами следует располагать на магистральных участках сети. (в ред. Изменения N 4, утв. Приказом Минстроя РФ от 21.01.2019 N 21/пр)

16.82. Диаметр труб на вводах в здания должен быть не менее 50 мм.

16.83. Для восприятия температурных удлинений надземных стальных трубопроводов следует применять гнутые и самоуплотняющиеся компенсаторы.

16.84. Установка запорной и регулирующей арматуры, сальниковых компенсаторов, спускных и воздушных кранов на трубопроводах, прокладываемых в вентилируемых подпольях зданий, не допускается.

Строительные конструкции

16.85. Заглубление емкостных сооружений и отапливаемых частей зданий, а также коммуникаций между ними ниже планировочных отметок земли без обоснований не допускается.

16.86. При проектировании емкостных сооружений на нескальных основаниях необходимо предусматривать сохранение грунтов основания в многолетнемерзлом состоянии. Емкостные сооружения следует размещать на насыпи из непучинистых грунтов (крупнозернистый песок, гравелистые грунты и т.д.); в случаях когда устройство насыпи невозможно или нецелесообразно - на свайных фундаментах. (в ред. Изменения N 4, утв. Приказом Минстроя РФ от 21.01.2019 N 21/пр)

16.87. При проектировании емкостных сооружений, тоннелей и каналов допускается просадочные при оттаивании грунты в основании заменять на расчетную величину оттаивания непросадочными грунтами с необходимым их уплотнением.

16.88. Под днищем каналов и тоннелей следует предусматривать подготовку из слоя песка толщиной до 0,15 м и глинобетона толщиной до 0,2 м.

16.89. При проектировании емкостных сооружений должны предусматриваться мероприятия, исключающие замерзание хранящейся в них воды и намерзание ее на конструкциях путем устройства теплоизолирующей обсыпки, подогрева воды, устройства обогревающих камер с коридорами по периметру.

16.90. В тех случаях, когда грунты основания используются в оттаявшем состоянии, конструктивные решения сооружений должны обеспечивать надежную эксплуатацию их при осадках основания.

16.91. Для уменьшения теплового воздействия тоннелей и каналов на грунты оснований следует предусматривать их вентиляцию с устройством приточных и вытяжных шахт, размещаемых в местах, исключающих возможность заноса шахт снегом; кроме того, необходимо обеспечивать контроль температуры и удаление аварийных вод.

Естественную вентиляцию каналов на вводах в здания следует принимать раздельно от вентиляции тоннелей и каналов для магистральных линий водопровода, при этом движение воздуха должно быть от здания.

Просадочные грунты

Общие указания

16.92. Здания и сооружения водоснабжения, подлежащие строительству на просадочных грунтах, необходимо проектировать с учетом указаний СП 22.13330.

16.93. При разработке генеральных планов должно обеспечиваться сохранение естественных условий отведения дождевых и талых вод. Емкостные сооружения должны располагаться, как правило, на участках с наличием дренирующего слоя, минимальной величиной толщин просадочных грунтов.

Примечание - При расположении площадки строительства на склоне должна предусматриваться нагорная канава для отведения дождевых и талых вод.

16.94. Расстояние от емкостных сооружений до зданий различного назначения должно приниматься в грунтовых условиях:

I типа по просадочности - не менее 1,5 толщины слоя просадочного грунта;

II типа по просадочности при дренирующих подстилающих грунтах - не менее 1,5 толщины просадочного слоя, а при недренирующих подстилающих грунтах - не менее трех толщин просадочного слоя, но не более 40 м.

Примечания

1. Величину слоя просадочного грунта следует принимать от поверхности естественного рельефа, а при планировке площадки - от уровня срезки.

2. Тип грунтовых условий по просадочности и возможные величины просадок грунтов от их собственной массы следует принимать с учетом возможной срезки и подсыпки грунта при планировке.

3. При полном устранении просадочных свойств грунтов в пределах застраиваемой площадки, а также при устройстве водонепроницаемых поддонов под емкостными сооружениями с отведением с них воды утечек за пределы площадки допускается принимать расстояния от емкостных сооружений до зданий без учета просадочности грунтов.

16.95. Расстояния от постоянно действующих источников замачивания систем водоснабжения до строящихся зданий и сооружений допускается уменьшать в 1,5 раза по сравнению с расстояниями, указанными в 16.94, при условии полного или частичного устранения просадочных свойств грунтов в пределах деформируемой зоны или прорезки просадочных грунтов свайными фундаментами, столбами из закрепленного грунта и т.п.

16.96. При проектировании зданий, сооружений и трубопроводов, подлежащих строительству на просадочных грунтах, необходимо предусматривать герметизацию емкостных сооружений и трубопроводов, мероприятия по предотвращению проникания воды в грунт из трубопроводов и сооружений, по контролю за утечками воды, по сбору и отводу воды в местах возможных утечек, а также по защите котлованов и траншей от замачивания дождевыми и талыми водами.

16.97. Укладка трубопроводов в зданиях и сооружениях водоснабжения должна предусматриваться над поверхностью пола; допускается укладка трубопроводов ниже пола в водонепроницаемых каналах с отводом аварийных вод.

16.98. При наличии просадочных грунтов опирание ограждающих конструкций зданий на стены емкостных сооружений не допускается.

16.99. Для обеспечения контроля за состоянием и работой сооружений водоснабжения необходимо предусматривать возможность свободного доступа к их основным конструктивным элементам и узлам технологического оборудования.

16.100. Вводы и выводы из зданий следует предусматривать согласно СП 30.13330. При разности осадок здания или сооружения и трубопровода на вводе, вызывающей повреждение труб или ограждающих конструкций, на трубопроводах в колодцах следует предусматривать установку компенсаторов.

Жесткая заделка труб в стены емкостных сооружений и подземных частей зданий не допускается, для пропуска труб через стены следует предусматривать сальники.

16.101. В ограждающих конструкциях, к которым не предъявляются требования герметичности, следует назначать увеличенные размеры отверстий для пропуска труб и лотков. Зазоры между верхом и низом трубы или лотка и соответствующим краем отверстия рекомендуется принимать равным 1/3 возможной величины просадки грунта в основании. Зазоры должны заполняться плотным эластичным материалом.

Необходимо предусматривать при этом возможность выравнивания в процессе эксплуатации водосливных кромок лотков и желобов.

16.102. Трубопроводы и лотки между отдельными сооружениями должны иметь возможность их относительного поворота и смещения.

Заделка труб и лотков в стенах должна обеспечивать горизонтальное их смещение внутрь и за пределы сооружения на 1/5 от возможной величины просадки грунтов в основании.

16.103. Подсыпка при планировке территории, обратные засыпки котлованов и траншей должны предусматриваться из местных глинистых грунтов.

Необходимую степень уплотнения грунта следует принимать в зависимости от возможных нагрузок на уплотненный грунт.

Обратная засыпка должна предусматриваться грунтом с оптимальной влажностью отдельными слоями с уплотнением их до плотности сухого грунта не менее 1,6 т/м3. Толщину слоев следует принимать в зависимости от применяемых грунтоуплотняющих механизмов.

16.104. Вокруг водопроводных сооружений следует предусматривать водонепроницаемые отмостки с уклоном 0,03 от сооружений. Ширина отмостки должна быть:

1,5 м - для емкостных сооружений в грунтовых условиях I типа и 2 м - для II типа по просадочности;

3 м - для водонапорных башен.

Под отмостками необходимо предусматривать уплотнение грунта.

Водоводы и сети

16.105*. Требования к основаниям под напорные трубопроводы в грунтовых условиях I и II типов по просадочности приведены в таблице 32*.

Таблица 32*

Тип грунта по просадочности Категория обеспеченности подачи воды по 7.4 Характеристика территории Требования к основанию под трубопроводы
I I и II Застроенная Уплотнение грунта
Незастроенная Без учета просадочности
III Застроенная Без учета просадочности
Незастроенная То же
I (величина просадки более 20 см) III Застроенная Уплотнение грунта и устройство поддона
Незастроенная Уплотнение грунта
II
(величина просадки до 20 см)
I и II Застроенная Уплотнение грунта и устройство поддона
Незастроенная Уплотнение грунта
III Застроенная Уплотнение грунта
Незастроенная Без учета просадочности
II
(величина просадки более 20 см)
I и II Застроенная Уплотнение грунта, укладка труб в канале или тоннеле
Незастроенная Уплотнение грунта
III Застроенная Уплотнение грунта и устройство поддона
Незастроенная Уплотнение грунта
Примечания
1. Незастроенная территория - территория, на которой в ближайшие 15 лет не предусматривается строительство населенных пунктов и объектов народного хозяйства.
2. Уплотнение грунта - трамбование грунта основания на глубину 0,3 м до плотности сухого грунта не менее 1,65 тс/м3 на нижней границе уплотненного слоя.
 
 
В электронном документе текст соответствует официальному источнику.
 
 
3. Поддон - водонепроницаемая конструкция с бортами высотой 0,1 - 0,15 м, на которую укладывается дренажный слой толщиной 0,1 м.
4. Требования к основаниям под трубопроводы следует уточнять в зависимости от класса ответственности зданий и сооружений, расположенных вблизи трубопровода.
5. Для углубления траншей под стыковые соединения трубопроводов следует применять трамбование грунта.
6. На территории населенных пунктов в системах водоснабжения I и II категорий прокладка трубопроводов в каналах и тоннелях должна приниматься только в случаях, когда расстояние в свету между наружной поверхностью труб и фундаментами зданий менее длины каналов на вводах водопровода в здания по СП 30.13330.

16.106. Поддоны, днища каналов и тоннелей должны иметь уклон в сторону контрольных колодцев.

16.107. При обосновании допускается принимать наземную или надземную прокладку водоводов и водопроводных сетей.

16.108*. При грунтовых условиях I и II типов с возможной просадкой грунта до 20 см систем водоснабжения всех категорий следует принимать материал труб, указанный в 11.20*. Для заделки раструбных и муфтовых труб следует применять эластичные материалы.

При грунтовых условиях II типа с возможной просадкой грунта более 20 см для систем водоснабжения I и II категорий водоводы и сети следует проектировать из стальных, полимерных или стеклокомпозитных труб, а также из труб из ВЧШГ высокопрочного чугуна с шаровидным графитом с раструбными замковыми соединениями под резиновое уплотнительное кольцо. (в ред. Изменения N 2, утв. Приказом Минстроя РФ от 30.12.2015 N 960/пр, Изменения N 3, утв. Приказом Минстроя РФ от 24.05.2018 N 307/пр)

Для систем водоснабжения III категории следует применять полимерные и стеклокомпозитные трубы или напорные железобетонные трубы с эластичной заделкой стыков, а также трубы из высокопрочного чугуна с шаровидным графитом ВЧШГ с раструбными замковыми соединениями под резиновое уплотнительное кольцо. (в ред. Изменения N 2, утв. Приказом Минстроя РФ от 30.12.2015 N 960/пр, Изменения N 3, утв. Приказом Минстроя РФ от 24.05.2018 N 307/пр)

16.109. Для наблюдения во время эксплуатации за трубопроводами, прокладка которых предусматривается на поддонах, в каналах или тоннелях, следует предусматривать контрольные колодцы на расстояниях, определяемых местными условиями, но не более 200 м. При этом должен быть обеспечен отвод воды в обход колодцев на сети.

Подошва, днища каналов и тоннелей должны иметь уклон в сторону контрольных колодцев.

Примечание - При обосновании допускается принимать наземную или подземную прокладку водоводов и водопроводных сетей.

16.110. При траншейной прокладке водопроводных сетей в грунтовых условиях I типа по просадочности расстояние по горизонтали (в свету) от сетей до фундаментов зданий и сооружений должно быть не менее 5 м, в грунтовых условиях II типа по просадочности - согласно таблице 33.

Таблица 33

Минимальные расстояния (в свету) от сетей до фундаментов зданий и сооружений в грунтовых условиях II типа

Толщина слоя просадочного грунта, м Минимальные расстояния (в свету), м, от сетей до фундаментов зданий и сооружений в грунтовых условиях II типа по просадочности при диаметре труб, мм
до 100 св. 100 до 300 св. 300
До 5 Без учета просадочности
Св. 5 до 12 5 7,5 10
Св. 12 7,5 10 15
Примечания
1. При возведении зданий и сооружений в грунтовых условиях II типа, просадочные свойства которых полностью устранены, расстояния от сетей до фундаментов зданий и сооружений следует принимать без учета просадочности.
2. При прокладке водопроводных линий, работающих при давлении свыше 0,6 МПа, указанные расстояния следует увеличивать на 30%.
(в ред. Изменения N 4, утв. Приказом Минстроя РФ от 21.01.2019 N 21/пр)
3. При невозможности соблюдения указанных в таблице расстояний прокладка трубопроводов должна предусматриваться в водонепроницаемых каналах, тоннелях или на поддонах с обязательным устройством выпусков аварийных вод в контрольные колодцы.
(в ред. Изменения N 2, утв. Приказом Минстроя РФ от 30.12.2015 N 960/пр)
4. При невозможности соблюдения этих расстояний, а также на вводах водопровода в здания и сооружения прокладка трубопроводов должна предусматриваться в грунтовых условиях I категории по просадочности на водонепроницаемых поддонах, II категории - в каналах или тоннелях.

16.111. На водоводах и водопроводных сетях перед фланцевой арматурой следует предусматривать установку в колодцах, каналах и тоннелях подвижных стыковых соединений.

16.112. Колодцы на сетях водопровода следует проектировать в грунтовых условиях I типа по просадочности с уплотнением грунта в основании на глубину 0,3 м, в грунтовых условиях II типа - с уплотнением грунта на глубину 1 м и устройством водонепроницаемых днища и стен колодца ниже трубопровода.

Поверхность земли вокруг люков колодцев на 0,3 м шире пазух должна быть спланирована с уклоном 0,03 от колодца.

16.113. Водозаборные колонки следует размещать на пониженных участках на расстоянии не менее 20 м от зданий и сооружений.

16.114. Нижняя часть контрольных колодцев должна быть водонепроницаемой.

Отвод воды из контрольных колодцев следует предусматривать согласно 8.15. При отсутствии отвода воды объем и заглубление нижней части колодца должны обеспечивать необходимость ее опорожнения не чаще одного раза в сутки.

При необходимости контрольные колодцы должны быть оборудованы водоизмерительным устройством или автоматической сигнализацией уровня воды с подачей сигнала на диспетчерский пункт.

Строительные конструкции

16.115. При грунтовых условиях I типа по просадочности основание под емкостными сооружениями следует принимать:

естественное, если в пределах слоя просадочного грунта суммарное давление от сооружения и собственной массы грунта меньше или равно начальному просадочному , т.е. или суммарная величина осадки S и просадки фундамента сооружения меньше или равна предельно допустимой для рассматриваемого сооружения величине, т.е. ;

уплотненные просадочные грунты при или .

16.116. Уплотнение грунтов оснований I типа по просадочности следует предусматривать тяжелыми трамбовками на глубину не менее 1,5 м в пределах площадки, превышающей размеры сооружений на 2 м в каждую сторону от наружных граней фундаментов. Плотность сухого грунта на нижней границе уплотненной зоны должна быть не менее 1,65 т/м3.

Примечание - При невозможности уплотнения просадочных грунтов тяжелыми трамбовками до заданной степени плотности следует предусматривать грунтовую подушку толщиной 1,5 м из местных глинистых грунтов с уплотнением их до плотности сухого грунта не менее 1,65 т/м3.

16.117. Под емкостные сооружения с конусообразными днищами уплотнение грунтов I типа по просадочности следует принимать в несколько этапов (слоев).

Каждым этапом следует предусматривать уплотнение слоя грунта с последующим рытьем (углублением) котлована на глубину 0,8 мощности уплотненного грунта на данном этапе. При этом контур дна котлована на каждом этапе должен быть на 0,2 м больше габаритов конусной части сооружения в данном сечении.

Уплотнение последнего слоя следует принимать конусной трамбовкой методом вытрамбовывания.

16.118. Под фундаментами стен и колонн зданий, в которых размещены емкостные сооружения, а также под полами в насосных станциях, помещениях с мокрым технологическим процессом и под емкостями необходимо предусматривать уплотнение грунта в пределах площади, превышающей размеры сооружений на 2 м в каждую сторону от наружных граней фундаментов на глубину 1,5 м для грунтовых условий I типа по просадочности и 2 м - для грунтовых условий II типа до плотности сухого грунта не менее 1,7 т/м3 на нижней границе уплотненной зоны.

16.119. Полы в помещениях, где возможен разлив воды, должны быть водонепроницаемыми, иметь бортики высотой 0,1 м по периметру примыкания к стенам, колоннам, фундаментам оборудования. Уклон пола следует принимать не менее 0,01 к водосборному водонепроницаемому приямку.

В заглубленных машинных залах нижняя часть ограждающих конструкций на высоту не менее 0,6 м должна быть водонепроницаемой.

16.120. При грунтовых условиях II типа по просадочности под емкостными сооружениями следует предусматривать:

частичное устранение просадочных свойств грунтов;

полное устранение просадочных свойств грунтов в пределах всей просадочной толщи или прорезку просадочных грунтов.

Примечание - Частичное устранение просадочных свойств грунтов в пределах деформируемой зоны допускается при условии, если суммарные величины осадок и просадок не превышают предельно допустимых значений для проектируемых сооружений.

16.121. Частичное устранение просадочных свойств грунтов II типа при величине просадки до 20 см следует принимать поверхностным уплотнением грунтов тяжелыми трамбовками или устройством грунтовых подушек.

Толщину уплотненного слоя следует принимать равной 2 - 5 см в зависимости от конструктивных особенностей сооружений и толщины слоя просадочных грунтов.

16.122. При частичном устранении просадочных свойств грунтов II типа под днищем емкостного сооружения по уплотненному грунту необходимо предусматривать противофильтрационный поддон с дренажным слоем и пристенный дренаж с отводом воды в контрольный колодец.

Емкостные сооружения с конусообразными днищами должны проектироваться на колоннах, опирающихся на железобетонную водонепроницаемую плиту, с которой должен быть предусмотрен отвод аварийной воды в контрольный колодец.

16.123. Под водонапорными башнями независимо от типа грунтовых условий по просадочности следует предусматривать уплотнение грунта согласно 16.115.

В грунтовых условиях II типа фундамент водонапорной башни следует принимать в виде сплошной железобетонной плиты и предусматривать устройство для отвода с нее аварийной воды в контрольный колодец.

16.124. В грунтовых условиях II типа при возможных просадках более 20 см под емкостными сооружениями следует предусматривать полное устранение просадочных свойств всей просадочной толщи грунта основания или ее прорезку.

16.125. Полное устранение просадочных свойств грунта в пределах всей просадочной толщи под емкостные сооружения следует принимать уплотнением просадочных грунтов предварительным замачиванием или замачиванием с глубинными взрывами, которые комбинируются с доуплотнением верхнего слоя просадочных грунтов тяжелыми трамбовками.

16.126. При невозможности применения предварительного замачивания (отсутствие воды для замачивания, близкое расположение существующих зданий и сооружений и т.п.) полное устранение просадочных свойств грунтов следует принимать глубинным уплотнением грунтовыми сваями на всю величину просадочной толщи.

16.127. Прорезку просадочных грунтов следует предусматривать:

устройством свайных фундаментов из забивных, набивных, буронабивных и других видов свай;

применением столбов или лент из грунта, закрепленного химическим, термическим или другим способом;

заглублением фундаментов.

Прорезку просадочных грунтов свайными фундаментами следует принимать только при отсутствии возможности полного устранения просадочных свойств грунтов под емкостными сооружениями.

16.128. Для емкостных сооружений при грунтовых условиях II типа должны быть предусмотрены наблюдения за осадками сооружений, утечками воды и уровнем грунтовых вод в период строительства и эксплуатации до стабилизации деформаций.

Приложение А*

(в ред. Изменения N 4, утв. Приказом Минстроя РФ от 21.01.2019 N 21/пр)

ТЕРМИНЫ И ОПРЕДЕЛЕНИЯ

В настоящем своде правил применены следующие термины с соответствующими определениями:

А.1 природные воды: Воды природных водоемов (рек, морей, озер, океанов), а также подземные воды.

А.2 система водоснабжения: Комплекс сооружений, самотечных и напорных сетей, служащий для забора воды из источников водоснабжения, ее очистки до нормативных показателей и подачи потребителю.

А.3 источник водоснабжения: Природный или антропогенный поверхностный водоем (река, море, озеро, океан, водохранилище и т.д.) или подземные воды, обеспечивающие забор необходимого потребителю количества воды в течение длительного времени.

А.4* труба из высокопрочного чугуна с шаровидным графитом (труба ВЧШГ): Труба, изготовленная центробежным способом литья из чугуна, в котором графит присутствует преимущественно в шаровидной форме.

А.5--А.6. Пункты исключены. (в ред. Изменения N 4, утв. Приказом Минстроя РФ от 21.01.2019 N 21/пр)

А.7 восстановленные трубы: Трубы, бывшие в употреблении, прошедшие комплекс восстановительных работ. (в ред. Изменения N 2, утв. Приказом Минстроя РФ от 30.12.2015 N 960/пр)

А.8

стеклокомпозитная труба: Полимерная композитная труба, армированная стекловолокном или различными видами волокон.
Примечание - Стеклокомпозитная труба может быть дополнительно армирована другими видами волокон, при этом основным армирующим материалом является стекловолокно.

[ГОСТ Р 54559-2011, статья 16]

А.9--А.13. Пункты исключены. (в ред. Изменения N 4, утв. Приказом Минстроя РФ от 21.01.2019 N 21/пр)

А.14 пермеат: Очищенная вода, прошедшая сквозь полупроницаемую мембрану. (в ред. Изменения N 4, утв. Приказом Минстроя РФ от 21.01.2019 N 21/пр)

А.15 надежность: Свойство объекта сохранять во времени способность выполнять требуемые функции в заданных режимах и условиях применения, технического обслуживания, хранения и транспортирования. (в ред. Изменения N 4, утв. Приказом Минстроя РФ от 21.01.2019 N 21/пр)

Приложение Б

(в ред. Изменения N 4, утв. Приказом Минстроя РФ от 21.01.2019 N 21/пр)

КЛАССЫ И ПОДКЛАССЫ ПОВЕРХНОСТНЫХ ВОД.

КЛАССИФИКАТОР ТЕХНОЛОГИЙ И МЕТОДОВ ОЧИСТКИ

(в ред. Изменения N 4, утв. Приказом Минстроя РФ от 21.01.2019 N 21/пр)

При рассмотрении качественных характеристик вод следует разделить их на классы и подклассы в соответствии с предложенным классификатором, а затем выбрать технологию подготовки воды с учетом факторов надежности и санитарно-эпидемиологической безопасности.

Таблица Б.1

Классы поверхностных вод по определяющим природным ингредиентам

Класс вод Наименование класса вод Ориентировочные концентрации определяющих ингредиентов Временный фактор присутствия ингредиентов в воде
A1 Цветные маломутные воды Ц = 20 - 200°, М < 20 мг/л,
Т = 0 - 25 °C, pH = 6,8 - 9,
ПО 6 - 10 мг O2/л
t2
A2 Высокоцветные маломутные воды Ц = 200 - 650°, М = 5 - 50 мг/л,
Т = 0 - 30 °C, pH = 6 - 8
ПО 8 - 25 мг O2/л
t1
A3 Цветные маломутные воды с повышенной окисляемостью A1 кроме ПО
ПО 10 - 25 мг O2/л
t2
B1 Воды со средним значением цветности и мутности Ц = 25 - 150°, М = 20 - 150 мг/л,
Т = 0 - 30 °C, pH = 6 - 8
ПО 6 - 10 мг O2/л
t2
B2 Маломутные воды со средними значениями цветности B1 кроме М
М = 5 - 50 мг/л
t2
B3 Воды со средним значением цветности и мутности, содержащие в большом количестве фитопланктон и зоопланктон B2 дополнительно
Ф = 103 - 106 кл/мл
t2
C1 Мутные, малоцветные воды Ц 20°,
М = 250 - 1000 мг/л,
Т = 0 - 25 °C, pH = 7 - 9
ПО 5 - 8 мг O2/л
t2
C2 Высокомутные воды с преобладанием минеральных загрязнений М = 1000 - 5000 мг/л,
Т = 0 - 35 °C, pH = 7 - 9
ПО 3 - 8 мг O2/л
t1
C3 Высокомутные воды с повышенной окисляемостью C2 кроме ПО
ПО 8 - 18 мг O2/л
t1
D1 Воды, содержащие в большом количестве фитопланктон и зоопланктон (дрейсена) Ц 200°, М 5 - 50 мг/л,
Ф = 103 - 106 кл/мл
Т = 0 - 30 °C, pH = 6,5 - 9
ПО 5 - 8 мг O2/л
t1
D2 Воды, содержащие в большом количестве фитопланктон и зоопланктон с повышенным содержанием органического вещества D1 кроме ПО
ПО 8 - 25 мг O2/л
t1
E Жесткие минерализованные воды C > 1000 мг/л,
Жо > 7 мг-экв/л,
М 1000 мг/л,
Ц 20 - 150°
t2
Условные обозначения: Ц - цветность, М - мутность, Т - температура; pH - водородный показатель, ПО - перманганатная окисляемость, С - общая минерализация, Ф - количество клеток фитопланктона, Жо - жесткость общая, t1 - период появления ~ до 3 мес в году, t2 - постоянное присутствие в течение года.

Таблица Б.2

Подклассы поверхностных вод по определяющим антропогенным ингредиентам

Подкласс вод Ингредиенты антропогенного происхождения Ориентировочные концентрации определяющих ингредиентов Нормативы СанПиН (ВОЗ) СанПиН 2.1.4.1074 Временной фактор присутствия ингредиентов в воде
1 Нефтепродукты 0,1 - 0,5 0,1 (0,3) t1
2 Фенолы 0,001 - 0,01 0,001 t1
3 ПАВ анионоактивные 0,5 - 2,5 0,5 (-) t1
4 Азот аммонийный 2 - 10 2,0 (не уст.) t1
  Нитраты 45 - 90 45,0 (не уст.) t1
  Нитриты 3 - 6 3,0 (не уст.) t1
5 Пестициды:     t1
линдан 0,002 - 0,02 0,002 (0,003)
гептахлор 0,05 - 0,30 0,05 (0,1)
ДДТ 0,002 - 0,02 0,002
6 Соли тяжелых металлов:     t1 t2
ртуть 0,0005 - 0,001 0,0005 (0,001)
свинец 0,03 - 0,1 0,03 (0,03)
хром 0,05 - 0,25 0,05 (0,05)
медь 1,0 - 5,0 1,0 (1,0)
цинк 5,0 - 20,0 5,0 (5,0)
железо 0,3 - 1,5 0,3 (0,3)
кадмий 0,001 - 0,005 (0,001)
7 Хлорорганические соединения:     t1 t2
четыреххлористый углерод 0,006 - 0,01 0,006 (0,003)
хлороформ 0,2 - 0,5 0,2 (0,2)
8 Радиационные загрязнители, Бк/л:     t2
общая -радиация 0,1 - 0,4 0,1
общая -радиация 1,0 - 3,0 1,0
Примечание - t1 - период появления ~ до 3 мес в году, t2 - постоянное присутствие в течение года.

Для удобства практического использования классификаторов все основные методы закодированы с использованием условных обозначений. В таблице Б.3 приведены основные технологические методы для очистки воды поверхностных источников.

Таблица Б.3

Основные технологические методы, применяемые при очистке поверхностных природных вод

Методы водоподготовки Удаляемые примеси, форма воздействия на них и условия применения Условные обозначения метода
I Безреагентные методы обработки
Удаление грубодисперсных примесей в центробежном поле Грубо- и тонкодисперсные примеси с плотностью частиц больше 1000 кг/м3 ГЦ
Отстаивание в ковшах и открытых отстойниках, в том числе с тонкослойными модулями и слоем взвешенного осадка ГДП с концентрацией взвеси более 2000 - 5000 мг/л От
Фильтрование через сетчатые перегородки ГДП с размером частиц более 20 - 40 мкм, Ф > 1000 кл/л СтФ
Фильтрование через обсыпку фильтрующих оголовков ГДП, плавающие вещества, щепа, листья, остатки растений водотоков и водоемов ОбФ
Фильтрование через крупнозернистую среду в префильтрах ГДП с размером частиц менее 1,0 мм КПФ
Медленное фильтрование ГДП, коллоидные взвеси и бактерии, М < 50 мг/д МФ
Биологическая предочистка в русле водотоков или во входных биореакторах с использованием прикрепленной микрофлоры Органические и минеральные примеси, при ПО > 5 мг O /л, Т > 5 °C, 2 Ф > 500 кл/л БПБ
Аэрирование воды Газообразные и летучие органические соединения, взвесь с плотностью меньше 1000 кг/м3, низкое содержание кислорода, наличие нефтепродуктов А
Флотация без применения коагулянтов Органические вещества при ПО > 6 - 8 мг O2/л и содержании нефтепродуктов > 1 - 2 мг/л; интенсификация процессов коагулирования ФпБ
II Реагентные методы обработки
Обработка воды коагулянтами и флокулянтами Тонкодисперсные и коллоидные взвеси, агрегативно и кинетически устойчивые, требующие агрегации и придания им когезионных и адгезионных свойств: снижения электрокинетических сил отталкивания К(Ф)
Хлопьеобразование скоагулированных частиц в свободном или стесненном объеме Укрупнение и образование агломератов скоагулированных коллоидов и тонкодисперсной (d < 0,1 мкм) взвеси минерального и органического происхождения ХлО
Обработка хлором (гипохлоритом натрия, кальция) Органические вещества, обуславливающие цветность воды, трудноокисляемая органика (ПО < 15 мг O2/л) и наличие отдельных ингредиентов (железа, марганца, сероводорода), болезнетворные бактерии и другие микроорганизмы ХЛ
Обработка воды озоном Маломутные воды; трудноокисляемые органические вещества, обуславливающие цветность, запах и привкус; болезнетворные бактерии и другие виды микроорганизмов ОЗ
Обработка воды УФ-облучением Воды малоцветные и маломутные, болезнетворные микроорганизмы и вирусы УФ-об
Флотация с применением реагентов Органические вещества, обуславливающие цветность, ПО < 15 мг O2/л; нефтепродукты и масла 2 - 15 мг/л ФлР
Реагентное отстаивание Органические минеральные примеси, (М < 25,00 мг/л, Ц < 250°) ОтР
Реагентное осветление в слое взвешенного осадка с рециркуляцией То же ОВОР
Реагентное скорое фильтрование Коагулированная взвесь с размером частиц меньше 1000 мкм после предочистки М < 200 мг/л, Ц < 200° СкФР
Сорбционная доочистка в стационарном слое адсорбента Ароматические органические вещества, нефтепродукты меньше 1 мг/л, азот аммонийный, фенолы, пестициды, ПАВ, диоксины, хлорорганические соединения; М < 10 мг/л, Ц < 20° СрГУ
Сорбция с вводом мелкогранульных или порошковых сорбентов в очищаемую воду Неприятные привкусы и запахи; азот аммонийный, нефтепродукты, ПАВ, пестициды СрПУ
Реагентное умягчение Жо < 30 мг-экв/л; М < 50 мг/л УмР
Стабилизационная, реагентная обработка При индексе Ланжелье IL > и < 0; при показателе стабильности Пс > 1; при показателе коррозионной активности Пк > 0,35 (при t = 8 - 25 °C) СтР
Стабилизационная фильтрационная обработка воды То же, что и в стабилизационной, реагентной обработке уточняются технико-экономическими расчетами СтФ
Обессоливание реагентное С < 3 - 5 г/л; Жо < 15 мг-экв/л; М < 150 мг/л; Ц < 150° ОсР
Обессоливание на ионообменных фильтрах С < 2 - 3 г/л; Жо < 10 - 15 мг-экв/л; М < 1,5 - 5 мг/л Ц < 20° ИО
Обессоливание и умягчение обратным осмосом С < 35 мг-экв/л, Ц < 20°, М < 10 мг/л ОО
Фильтрация на нанофильтрационных мембранах 100% микроорганизмы, взвешенные вещества и растворенные органические вещества, 20% - 85% растворенные НаФ
(в ред. Изменения N 4, утв. Приказом Минстроя РФ от 21.01.2019 N 21/пр)
Фильтрация на ультрафильтрационных Цисты простейших, бактерии, водоросли, вирусы, взвешенные вещества и УлФ
(в ред. Изменения N 4, утв. Приказом Минстроя РФ от 21.01.2019 N 21/пр)
Фильтрация на микрофильтрационных Цисты простейших, крупные бактерии, водоросли, взвешенные вещества, МкФ
(в ред. Изменения N 4, утв. Приказом Минстроя РФ от 21.01.2019 N 21/пр)
Снижение солесодержания электродиализом С < 10 мг-экв/л; М < 1,5 мг/л; Ц < 20°, содержание железа до 0,3 мг/л эд
Фторирование Содержание фтора < 1,5 мг/л Фт

Таблица Б.4

Классификатор технологий очистки поверхностных вод.

Основные технологии

Класс вод Группа примесей Временной фактор Рекомендуемые технологические схемы Код технологий
A 1 II t2 ХЛ -> К(Ф) -> ХлО -> ОтР -> СкФР -> ХЛ Т1
A 3 II t2 ОЗ1 -> К(Ф) -> ФлР -> СкФР -> ОЗ2 -> СрГУ -> ХЛ Т2
  II, III t1 БПБ -> К(Ф) -> СкФР1 -> ОЗ -> СрПУ -> СкФР -> ХЛ Т3
  II, III t2 БПБ -> К(Ф) -> СкФР -> ОЗ -> СрГУ -> ХЛ Т4
A2 II, III t2 БПБ -> ОЗ1 -> К(Ф) -> ХлО -> РО -> СкФР -> ОЗ2 -> СрГУ -> ХЛ Т1
  II, III t2 ОЗ2 -> К(Ф) -> ХлО -> ОтР -> СкФР1 -> ОЗ2 -> СрПУ -> СкФР2 -> ХЛ Т2
B1 I, II t2 ХЛ -> К(Ф) -> СкФР2 -> СрПУ -> СкФР2 -> ХЛ Т1
B2 I, II t2 БПБ -> К(Ф) -> СкФР -> ОЗ -> СрГУ -> ХЛ Т2
C 1 I t2 ОбФ(ГЦ) -> БПБ -> К(Ф) -> ОВОР -> СкФР -> ХЛ Т1
  I, II t2 ОбФ(ГЦ) -> БПБ -> К(Ф) -> ХлО -> ОтР -> СкФР -> ОЗ -> СрГУ -> ХЛ Т2
  I, II, III t1 От -> БПБ -> К(Ф) -> СкФР1 -> СрПУ -> СкФР2 -> ХЛ Т3
C2 I, II t2 От -> БПБ -> К(Ф) -> ОВОР -> СкФР -> ХЛ Т1
  I, II t2 От -> БПБ -> К(Ф) -> ХлО -> ОР -> СкФР -> ОЗ -> СрГУ -> ХЛ Т2
C3 I, II t1 От -> ОбФ -> К(Ф) -> КПФ -> ОЗ -> СрПУ -> СкФР -> ХЛ Т3
D1 I, II t2 СтФ(МФ) -> БПБ -> К(Ф) -> СкФР1 -> ОЗ -> СрГУ -> ХЛ Т1
  I, II t2 СтФ(МФ) -> БПБ -> К(Ф) -> СкФР1 -> ОЗ -> СрПУ -> СкФР -> ХЛ Т2
D2 I, II, III t1 Фл -> БПБ -> К(Ф) -> Хл -> От -> СрПУ -> -> СкФР -> ХЛ Т3
E IV t2 Об -> К(Ф, Щ) -> ОВОР -> СкФР -> ХЛ Т1
  IV t1 От -> БПБ -> К(Ф) -> ОВОР -> СкФР1 --> СрПУ -> СкФР2 -> ХЛ Т2
  IV t2 ОбФ -> К(Ф) -> ОВОР -> СкФР -> ОЗ -> -> СрГУ -> ХЛ Т3
  IV t2 ОбФ -> К(Ф) -> СкФР -> ОО(ЭД) -> СрГУ -> -> ХЛ Т4
Примечания
1. Технологические схемы уточняются после изысканий в местах водозаборов и технико-экономических расчетов, выполненных с учетом местных условий строительства, расстояний до баз индустрии фильтрующих материалов, реагентов и пр.
2. Все материалы, реагенты и оборудование должны иметь гигиеническое заключение на применение в питьевом водоснабжении.
3. Методы водоподготовки, основанные на баромембранных процессах, могут быть при соответствующем технико-экономическом обосновании включены в состав любой из перечисленных технологий очистки с учетом 9.192 - 9.200.
(в ред. Изменения N 4, утв. Приказом Минстроя РФ от 21.01.2019 N 21/пр)

Таблица Б.5

Классификатор технологий очистки поверхностных вод с учетом антропогенных загрязнений

Класс Подкласс вод
1 2 3 4 5 6 7 8
A1 Т3 Т2 Т2 Т3 Т4 Т1 (К(Ф)) Т2 (СрПУ) Т1 (К(Ф), СрПУ)
A1 Т2 Т1 Т1 Т1 Т2 Т1 (К(Ф)) Т2 (СрГУ) Т2 (К(Ф))
B Т1 Т2 Т2 Т2 Т2 Т1 Т2 (СрПУ) Т1 (СрПУ)
C1 Т2 Т2 Т2 Т2 Т2 Т1 (К(Ф)) Т2 (СрПУ) Т1 (К(Ф), СрГУ)
C2 Т1 Т2 Т2 Т2 Т2 Т2 Т3 Т1 (ПУ, СрГУ)
D Т2 Т2 Т2 Т3 Т2 Т1 (К(Ф)) Т3 (СрГУ) Т3 (К(Ф), СрГУ)
E Т2 Т3 Т3 Т3 Т2 Т2 Т3 (СрПУ) Т1 (К(Ф), СрГУ)
Примечания
1. Технологические параметры методов водообработки, типы реагентов, инертных фильтрующих материалов и сорбентов, дозы коагулянтов и флокулянтов уточняются в процессе технологических изысканий для конкретного водоисточника и места водозабора.
2. Номер технологической схемы соответствует номеру, относящемуся к конкретному классу вод.

Рекомендации по выбору технологических схем подготовки подземных вод для питьевых целей приведены в таблице Б.6.

Таблица Б.6

Технологические схемы очистки подземных вод от природных загрязнений по классам для питьевого водоснабжения

Класс подземных вод Подкласс Условия применения Технологические схемы Степень очистки
1 1.1 Т > 6 °C,
CO2 св < 200 мг/л,
CO2 агр > 0,
I, IL < 0
Глубокая аэрация, стабилизация, обеззараживание IL >= 0,3 (мюСаСО = 4 - 10 мг/л)
1.2 Т < 3 °C,
CO2 св < 200 мг/л;
CO2 аф > 0,
IL < 0 2
Нагрев до 6 °C, аэрация-дегазация, реагентная стабилизация, обеззараживание То же
2 2.1 Fe < 3 мг/л,
Mn < 0,1 мг/л,
CO2 св < 4,5 мг/л,
pH > 6,8, IL < 0
Упрощенная аэрация, фильтрование, стабилизация, обеззараживание Fe < 0,3 мг/л,
Mn < 0,1 мг/л
2.2 Fe <= 5 мг/л,
Mn <= 0,5 мг/л,
CO2 св <= 4,5 мг/л,
pH >= 7
Глубокая аэрация, "сухое фильтрование", стабилизация, обеззараживание Fe < 0,3 мг/л,
Mn < 0,1 мг/л
2.3 Fe < 10 мг/л,
Mn < 1 мг/л,
CO2 св <= 200 мг/л,
pH >= 6
Биосорбция, фильтрование, стабилизация, обеззараживание Fe < 0,05 мг/л,
Mn < 0,05 мг/л
3 3.1 Fe < 15 мг/л,
Mn < 1,0 мг/л,
CO2 св < 200 мг/л;
Биосорбция, фильтрование, стабилизация, обеззараживание Fe < 0,3 мг/л,
Mn < 0,1 мг/л
3.2 Fe < 20 мг/л,
Mn < 2 мг/л,
F < 1,5 мг/л,
CO2 св < 200 мг/л;
а) Биосорбция, ввод перманганата калия, фильтрование, стабилизация, обеззараживание Fe < 0,1 мг/л,
Mn < 0,05 мг/л
б) Глубокая аэрация, фильтрование, озонирование, сорбция на ГАУ, стабилизация, обеззараживание То же
3.3 Fe < 20 мг/л,
Mn < 1,0 мг/л
CO2 св < 200 мг/л,
pH >= 6,0
Глубокая аэрация, фильтрование, озонирование, сорбция на ГАУ, обесфторивание на фильтре с активированным оксидом алюминия, стабилизация, обеззараживание Fe < 0,1 мг/л,
Mn < 0,05 мг/л,
F = (0,7 - 1,5) мг/л
4 4.1 Fe <= 25 мг/л,
Mn < 3 мг/л,
F < 1,5 мг/л,
CO2 св < 200 мг/л,
минерализация < 1000 мг/л,
pH >= 6, IL < 0
Глубокая аэрация, коагуляция, флокуляция, фильтрование, озонирование, сорбция на ГАУ, стабилизация, обеззараживание Fe < 0,3 мг/л,
Mn < 0,1 мг/л,
IL + 0,3
4.2 Fe <= 30 мг/л,
Mn < 5 мг/л,
F < 7 мг/л,
минерализация < 1000 г/л,
CO2 св < 200 мг/л;
pH >= 6,0
Глубокая аэрация, коагуляция, фильтрование, озонирование, сорбция на ГАУ, фильтрование на активированном оксиде алюминия, стабилизация, обеззараживание Fe < 0,3 мг/л,
Mn < 0,1 мг/л,
F = (0,7 - 1,5) мг/л,
IL > 0
4.3 Fe <= 3 мг/л,
Mn <= 5 мг/л,
F <= 7 мг/л,
минерализация < 2000 г/л
CO2 св <= 200 мг/л;
pH >= 6,0
Биосорбция, коагуляция, флокуляция, фильтрование, ввод перманганата калия, фильтрование, электродиализ, сорбция на ГАУ, стабилизация, обеззараживание Fe < 0,1 мг/л,
Mn < 0,05 мг/л,
F < 1,5 мг/л,
минерализация < 400 мг/л
4.4 Fe <= 30 мг/л,
Mn <= 5 мг/л,
F <= 7 мг/л,
CO2 св <= 200 мг/л;
минерализация < 1000 г/л
pH >= 6,0
Биосорбция, коагуляция, флокуляция, фильтрование, фильтрование через модифицированную KMnO4 загрузку, фильтрование, через активированный оксид алюминия, стабилизация, обеззараживание F <= 0,7 - 1,5 мг/л,
Fe <= 0,3 мг/л,
Mn <= 0,1 мг/л,
F = (0,7 - 1,5) мг/л
5 5.1 Fe <= 40 мг/л,
Mn <= 7 мг/л,
F <= 7 мг/л,
минерализация <= 5000 г/л,
CO2 св <= 200 мг/л;
pH >= 6,0
IL < 0
Глубокая аэрация, преозонирование, фильтрование, озонирование, фильтрование, электродиализ, сорбция на ГАУ, стабилизация, обеззараживание Fe < 0,1 мг/л,
Mn < 0,05 мг/л,
F < 1,5 мг/л,
минерализация до 500
5.2 Fe <= 40 мг/л,
Mn <= 7 мг/л,
F <= 10 мг/л,
минерализация <= 5000 г/л
CO2 св <= 200 мг/л;
pH >= 6,0
а) Глубокая аэрация, коагуляция, фильтрование, озонирование, фильтрование, электродиализ, сорбция на ГАУ, стабилизация, обеззараживание Fe < 0,1 мг/л,
Mn < 0,05 мг/л,
минерализация < 300 мг/л,
F = (0,7 - 1,5) мг/л
б) Биосорбция, коагуляция, флокуляция, фильтрование, ввод перманганата калия, фильтрование, обратный осмос (электродиализ) стабилизация, обеззараживание Fe < 0,1 мг/л,
Mn < 0,05 мг/л,
цветность < 5°,
минерализация < 300 мг/л,
F = (0,7 - 1,5) мг/л

Приложение В

ГИДРАВЛИЧЕСКИЕ И ТЕХНИКО-ЭКОНОМИЧЕСКИЕ РАСЧЕТЫ

(в ред. Изменения N 4, утв. Приказом Минстроя РФ от 21.01.2019 N 21/пр)

В.1. Гидравлические расчеты водопроводных сетей следует выполнять с использованием программных комплексов, алгоритм которых построен на расчетных формулах СП 66.13330, СП 32.13330, СП 129.13330, СП 272.1325800, СП 273.1325800, [7] с учетом положений подраздела 5.5 СП 333.1325800.2017.

При отсутствии данных о числе соединительных частей и арматуры, устанавливаемых на трубопроводах, потери напора в них допускается учитывать дополнительно в размере 10% - 20% от потерь напора в трубопроводах.

При технико-экономических расчетах и выполнении гидравлических расчетов систем подачи и распределения воды используют формулу

, (В.1)

где q - расчетный расход воды, л/с;

d - расчетный внутренний диаметр труб, м.

Значения коэффициента K и показателей степени n и p следует принимать согласно таблице В.1.

Таблица В.1

Значения коэффициента K и показателей степени n и p

Вид труб 1000K p n
1 Хризотилцементные 1,180 4,89 1,85
2 Железобетонные виброгидропрессованные 1,688 4,89 1,85
3 Железобетонные центрифугированные 1,486 4,89 1,85
4 Стальные и чугунные с внутренним полимерным или полимерцементным покрытием, нанесенным методом центрифугирования 1,180 4,89 1,85
5 Стальные и чугунные с внутренним цементно-песчаным покрытием, нанесенным методом набрызга с последующим заглаживанием 1,688 4,89 1,85
6 Стальные и чугунные с внутренним цементно-песчаным покрытием, нанесенным методом центрифугирования 1,486 4,89 1,85
7 Полимерные 1,052 4,774 1,774

В.2. Значение коэффициента удельной приведенной стоимости W определяют по формуле

, (В.2)

где q - расчетный расход, м3/с;

- стоимость электроэнергии, коп./(кВт·ч);

- коэффициент неравномерности расходования электроэнергии;

- стоимость насосной станции на 1 кВт мощности, руб.;

- коэффициент запаса насосного оборудования;

- нормативный коэффициент эффективности капитальных вложений, принимаемый равным 0,12 в год;

- общая норма амортизационных отчислений для водопроводных сетей, %;

- то же для насосных станций, %;

- коэффициент полезного действия насосной установки, =0,65 - 0,75.

Приложение Г

РАСЧЕТ ИНТЕНСИВНОСТИ ОТКАЗОВ И РАНЖИРОВАНИЕ ДЕСТАБИЛИЗИРУЮЩИХ ФАКТОРОВ

(в ред. Изменения N 4, утв. Приказом Минстроя РФ от 21.01.2019 N 21/пр)

Г.1. Трубопроводы, интенсивность отказов которых превышает приведенные пороговые значения в таблице Г.1, должны быть включены в число потенциальных объектов реконструкции (восстановления).

Таблица Г.1

Пороговые значения интенсивности отказов

Стальные трубы диаметром Чугунные трубы диаметром
До 200 мм 250 - 600 мм Свыше 600 мм До 200 мм 250 - 600 мм Свыше 600 мм
0,8 0,55 0,11 0,82 0,41 0,1

Г.2. Интенсивность отказов рассчитывают по выражению:

, (Г.1)

где - интенсивность отказов в настоящее время;

- коэффициент (показатель) старения реального объекта;

- время прогноза.

Г.3. Дестабилизирующие надежность труб факторы приведены в таблице Г.2 и расположены последовательно по рангам значимости (высший ранг - 1) и диапазонам изменения численных значений в сторону убывания.

Г.4. Прогнозировать общий объем реконструкции (восстановления) трубопроводов сети следует по методике выбора потенциальных объектов по критерию надежности. Приоритетные объекты реконструкции (восстановления) определяются путем оценки влияния на надежность трубопровода технико-экономических и дестабилизирующих факторов.

Г.5. Определение своевременности и очередности мероприятий по реконструкции (восстановлению) объектов водопроводно-канализационного хозяйства следует проводить после всестороннего технико-экономического обоснования всех вариантов.

Таблица Г.2

Ранжирование дестабилизирующих факторов

Ранг Дестабилизирующий фактор Диапазон, баллы
1 Материал труб 400 - 311
2 Наличие и качество изоляционного покрытия 310 - 261
3 Возраст трубопровода, (год укладки трубопровода) 260 - 241
4 Защита от электрокоррозии 240 - 211
5 Диаметр трубопровода 210 - 191
6 Коррозионная активность грунта 190 - 171
7 Гидравлические характеристики 170 - 141
8 Тип (характер) грунтов 140 - 111
9 Величина давления (напоров) в сети 110 - 101
10 Число зафиксированных повреждений и аварий на участке трубопровода 100 - 90
11 Интенсивность транспортных потоков 89 - 80
12 Наличие и глубина залегания подземных вод 79 - 60
13 Глубина заложения труб 59 - 40
14 Роль участка в системе, плотность населения 39 - 20

Г.6. Оценка реального воздействия на трубопровод дестабилизирующих его надежность факторов и условий эксплуатации осуществляется на основании анализа результатов технической диагностики труб и причин образования дефектов труб, опыта эксплуатации с учетом взаимного влияния (сочетаемости) нагрузок и воздействий различного происхождения.

Г.7. Указанные в таблице баллы сводятся в паспорт ранжирования участков трубопроводов.

БИБЛИОГРАФИЯ

[1] Федеральный закон от 22 июня 2008 г. N 123-ФЗ "Технический регламент о требованиях пожарной безопасности"

Официальный источник электронного документа содержит неточность: имеется в виду Федеральный закон от 22.07.2008 N 123-ФЗ.

[2] ПУЭ Правила устройства электроустановок

[3] Приказ Министерства природных ресурсов Российской Федерации от 30 июля 2007 г. N 195 "Об утверждении Классификации запасов и прогнозных ресурсов питьевых, технических и минеральных подземных вод" (в ред. Изменения N 4, утв. Приказом Минстроя РФ от 21.01.2019 N 21/пр)

[4] ГН 2.1.5.1315-03 Предельно допустимые концентрации (ПДК) химических веществ в воде водных объектов хозяйственно-питьевого и культурно-бытового водопользования

ГН 2.1.5.1315-03 отменен. Взамен него с 01.03.2021 введен в действие СаНПиН 1.2.3685-21. (в ред. Изменения N 4, утв. Приказом Минстроя РФ от 21.01.2019 N 21/пр)

[5] ГН 2.1.5.2307-07 Ориентировочные допустимые уровни (ОДУ) химических веществ в воде водных объектов хозяйственно-питьевого и культурно-бытового водопользования (в ред. Изменения N 4, утв. Приказом Минстроя РФ от 21.01.2019 N 21/пр)

ГН 2.1.5.2307-07 отменен. Взамен него с 01.03.2021 введен в действие СаНПиН 1.2.3685-21.

[6] ГН 2.1.5.2280-07 Предельно допустимые концентрации (ПДК) химических веществ в воде водных объектов хозяйственно-питьевого и культурно-бытового водопользования. Дополнения и изменения N 1 к ГН 2.1.5.1315-03 (в ред. Изменения N 4, утв. Приказом Минстроя РФ от 21.01.2019 N 21/пр)

ГН 2.1.5.2280-07 отменен. Взамен него с 01.03.2021 введен в действие СаНПиН 1.2.3685-21.

[7] СП 40-102-2000 Проектирование и монтаж трубопроводов систем водоснабжения и канализации из полимерных материалов (в ред. Изменения N 2, утв. Приказом Минстроя РФ от 30.12.2015 N 960/пр)

[8] Федеральный закон от 7 декабря 2011 г. N 416-ФЗ "О водоснабжении и водоотведении"

[9] Федеральный закон от 3 июня 2006 г. N 74-ФЗ "Водный кодекс Российской Федерации"

[10] Приказ Федеральной службы по экологическому, технологическому и атомному надзору от 25 марта 2014 г. N 116 "Об утверждении Федеральных норм и правил в области промышленной безопасности "Правила промышленной безопасности опасных производственных объектов, на которых используется оборудование, работающее под избыточным давлением"

В связи с утратой силы Приказа Ростехнадзора от 25.03.2014 N 116 с 01.01.2021 следует руководствоваться принятым взамен Приказом Ростехнадзора от 15.12.2020 N 536.

[11] Единые санитарно-эпидемиологические и гигиенические требования к продукции (товарам), подлежащей санитарно-эпидемиологическому надзору (контролю) (утверждено Решением Комиссии Таможенного союза от 28 мая 2010 г. N 299)

[12] Постановление Правительства Российской Федерации от 25 апреля 2012 г. N 390 "О противопожарном режиме"

В связи с утратой силы Постановления Правительства РФ от 25.04.2012. N 390 с 01.01.2021 следует руководствоваться принятым взамен Постановлением Правительства РФ от 16.09.2020 N 1479.

[13] Постановление Правительства Российской Федерации от 27 декабря 2004 г. N 861 "Об утверждении Правил недискриминационного доступа к услугам по передаче электрической энергии и оказания этих услуг, Правил недискриминационного доступа к услугам по оперативно-диспетчерскому управлению в электроэнергетике и оказания этих услуг, Правил недискриминационного доступа к услугам администратора торговой системы оптового рынка и оказания этих услуг и Правил технологического присоединения энергопринимающих устройств потребителей электрической энергии, объектов по производству электрической энергии, а также объектов электросетевого хозяйства, принадлежащих сетевым организациям и иным лицам, к электрическим сетям (в ред. Изменения N 4, утв. Приказом Минстроя РФ от 21.01.2019 N 21/пр)

[14] Приказ Государственного комитета Российской Федерации по строительству и жилищно-коммунальному комплексу от 10 декабря 1999 г. N 145 "Об утверждении нормативно-производственного регламента содержания озелененных территорий" (в ред. Изменения N 5, утв. Приказом Минстроя РФ от 23.12.2019 N 838/пр)